Next Article in Journal
Occurrence of Luteolin in the Greek Flora, Isolation of Luteolin and Its Action for the Treatment of Periodontal Diseases
Previous Article in Journal
Antidiabetic Activity, Molecular Docking, and ADMET Properties of Compounds Isolated from Bioactive Ethyl Acetate Fraction of Ficus lutea Leaf Extract
 
 
Due to scheduled maintenance work on our servers, there may be short service disruptions on this website between 11:00 and 12:00 CEST on March 28th.
Font Type:
Arial Georgia Verdana
Font Size:
Aa Aa Aa
Line Spacing:
Column Width:
Background:
Review

Selected Plant Triterpenoids and Their Derivatives as Antiviral Agents

by
Martina Wimmerová
1,2,
Uladzimir Bildziukevich
2 and
Zdeněk Wimmer
1,2,*
1
Department of Chemistry of Natural Compounds, University of Chemistry and Technology in Prague, Technická 5, 16028 Prague, Czech Republic
2
Isotope Laboratory, Institute of Experimental Botany, Academy of Sciences of the Czech Republic, Vídeňská 1083, 14220 Prague, Czech Republic
*
Author to whom correspondence should be addressed.
Molecules 2023, 28(23), 7718; https://doi.org/10.3390/molecules28237718
Submission received: 19 October 2023 / Revised: 8 November 2023 / Accepted: 21 November 2023 / Published: 22 November 2023
(This article belongs to the Topic Natural Compounds in Plants, 2nd Volume)

Abstract

:
The results of the most recent investigation of triterpenoid-based antiviral agents namely in the HIV-1 and HSV-1 treatment were reviewed and summarized. Several key historical achievements are included to stress consequences and continuity in this research. Most of the agents studied belong to a series of compounds derived from betulin or betulinic acid, and their synthetic derivative is called bevirimat. A termination of clinical trials of bevirimat in Phase IIb initiated a search for more successful compounds partly derived from bevirimat or designed independently of bevirimat structure. Surprisingly, a majority of bevirimat mimics are derivatives of betulinic acid, while other plant triterpenoids, such as ursolic acid, oleanolic acid, glycyrrhetinic acid, or other miscellaneous triterpenoids, are relatively rarely involved in a search for a novel antiviral agent. Therefore, this review article is divided into three parts based on the leading triterpenoid core structure.

Graphical Abstract

1. Introduction

Currently, viral infections represent the main infectious disease worldwide [1,2], and they represent more than 65% of total number of infectious diseases [3]. Generally, viruses capable of invading humans belong into two categories: (a) viruses being long-term parasites in the human body (chickenpox, rubella, herpes, measles, smallpox, polio, Japanese encephalitis, mumps, cytomegalovirus, hepatitis B/C virus, dengue virus, human influenza virus, human immunodeficiency virus, human papillomavirus, etc.), and (b) viruses being long-term parasites in animals usually living close to humans (chickens, dogs, pigs, horses, sheep, etc.). These viruses are capable of infecting humans across species [4].
Viruses spread relatively easily in the human population. Over the past decade, the indisputable evidence of this effect of virus action has been documented by a wide transmission of fatal diseases that include severe acute respiratory syndrome (SARS), Middle East respiratory syndrome (MERS), Ebola, and other dangerous viruses having been considered as severe threats to human health. At present, vaccines and screening antiviral drugs represent the main way used for the prevention and treatment of human viral infections [5]. However, it is difficult to develop an effective vaccine because the side effects that have often been detected, have been unpredictable [6], and vaccination has not been effective in 100% of patients [7,8]. The main focus of antiviral drug research is limited to several types of viruses, such as HIV, herpes (HSV), influenza, hepatitis, and respiratory viruses [9]. Namely, anti-HIV-1 and anti-HSV-1 agents have been focused in more details.
The most effective anti-HIV-1 agents are compounds capable of inhibiting HIV-1 maturation [10]. Genetic and enzymatic investigation has resulted in a finding that inhibition of cleavage or even slowing cleavage at the CA-SP1 site should be sufficient to disrupt the maturation process significantly and to destroy virus infectivity quite efficiently. Therefore, maturation inhibitors interfering with CA-SP1 processing, have been the most important candidates for augmenting the current ways of treatment of infection by HIV [11,12]. Biochemical and structural studies revealed that a slow cleavage of CA-SP1 is due to the structural separation of the proteolysis site [13]. The detailed mechanism of inhibition has not yet been determined, however, small-molecule maturation inhibitors, such as 3-O-(3′,3′-dimethylsuccinyl)betulinic acid (bevirimat) and its analogs, have been supposed to interfere with proteolysis by binding to the CA-SP1 junction and stabilizing the 6-helix bundle [14,15,16,17]. Maturation inhibitors do not interfere with substrate binding directly, they rather act indirectly by inhibiting the unfolding of the 6-helix bundle resulting in preventing access of the protease to its substrate. Despite being potent inhibitors of HIV infection under laboratory conditions, maturation inhibitors have not yet been approved for clinical use. Bevirimat underwent Phase I and Phase II clinical trials, during which significant, dose-dependent viral load reductions in HIV-1-infected individuals were observed [18]. However, further studies revealed that in up to 50% of patients, bevirimat did not affect viral loads [19,20]. This resistance of bevirimat is clearly associated with naturally occurring viral sequence polymorphs.
HSV is a double-stranded DNA virus [21]. It exists in two types of HSV strains: HSV-1 causing infection of the oral mucosa, and HSV-2 affecting the genital mucosa and causing neonatal infections [22]. According to the latest report of the WHO, more than 65% of the world population under the age of 50 are infected with HSV-1, and the incidence of herpes simplex virus encephalitis (HSE) caused by HSV-1 infection is increasing every year. Moreover, HSV-1 infections are associated with neurodegenerative diseases, e.g., Alzheimer’s disease [23,24,25]. Intracranial infection caused by HSV-1 was identified as an important factor in the pathogenesis of Alzheimer’s disease [25], and the brain changes in some patients with herpes simplex virus encephalitis have been found to be similar to that of Alzheimer’s disease patients [25]. HSV-1 has also been associated with certain types of cancers, e.g., cervical carcinoma or acute lymphocytic leukemia [26]. At present, anti-HSV-1 drugs mainly belong among nucleoside drugs (e.g., acyclovir, ganciclovir, valacyclovir, etc.), capable of inhibiting viral replication by interfering with viral DNA polymerase. Based on the wide application of these drugs, drug-resistant strains of virus have appeared within a relatively short time period [25]. In order to cope with the problem of drug resistance, investigation has been focused on developing novel anti-HSV agents targeting the viral DNA polymerase. The HSV-1 life cycle includes adsorption and entry into the host cell, intracellular transport to the nucleus, DNA replication, gene transcription, protein synthesis, nucleocapsid assembly, and viral release [27]. Drugs theoretically capable of affecting any stage in the virus life cycle could be inhibitory [27].

2. Triterpenoid-Based Agents for Treating HIV-1 and HSV-1)

2.1. Plant Triterpenoids of the Lupane Family

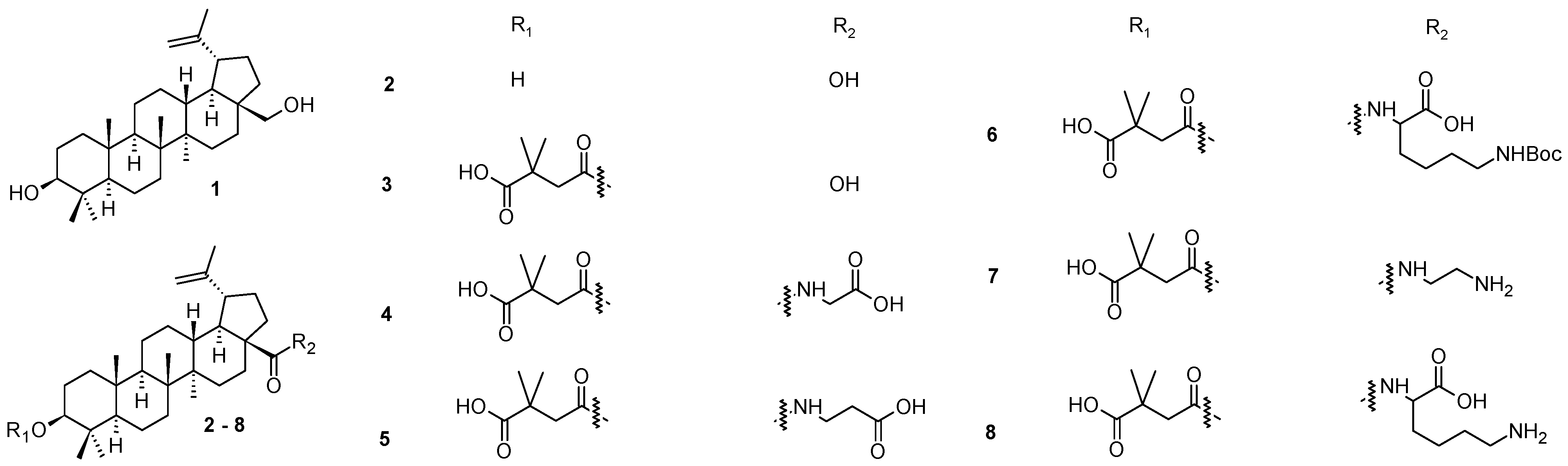
Betulin (1; Figure 1), a pentacyclic natural triterpenoid, represents one of the potent and for a long time known plant-derived products [28]. Mostly, it has been found in the bark of various birch (Betula) species and can be extracted therefrom. The biological effects of betulin (1) have been intensively investigated, and have resulted in discovering its wide-ranging biological activity that involves antiviral, antibacterial, anticancer, and anti-inflammatory effects [29]. The antiviral properties of betulin (1) and its derivatives have been explored in the context of many different viruses [30,31,32]. Betulinic acid (2; Figure 1) represents another plant product extractable from the bark of birch and from other plant sources [33]. It can also be prepared synthetically by oxidation of betulin (1) [34]. The pharmacological characteristics of betulinic acid (2) are similar to betulin (1) [35,36,37]. Bevirimat, 3-O-(3′,3′-dimethylsuccinyl)betulinic acid (3; Figure 1), was one of the most promising derivatives of betulinic acid (2). It has displayed potent anti-HIV activity with a novel mechanism of action [38]. Unfortunately, its further development was terminated at Phase IIb of clinical trials due to the reduced efficacy of the compound against certain HIV strains [39]. Nevertheless, the discovery of bevirimat (3) initiated a subsequent investigation in the field of plant triterpenoids and their derivatives bearing various functional groups or structural modifiers, resulting in a synthesis of several early but successful bevirimat analogs (48; Figure 1) [40,41,42]. However, currently, approved antiviral drugs have very diverse structures [28,43].
Bevirimat (3) was the first-in-class HIV-1 maturation inhibitor. It showed a low efficacy, essentially due to the natural polymorphism of its target, the CA-SP1 junction. Moreover, its low solubility in water and in the physiological environment makes it difficult to study its interaction with the CA-SP1 junction. Therefore, designing new derivatives of bevirimat (3) was performed by introducing different hydrophilic substituents at the C-28 carboxyl group to improve the solubility of the novel compounds in aqueous media. A synthesis of the novel derivatives, the effect of substituents at the C-28 carboxyl group, and their solubility in aqueous media were investigated intensively, and the ability of these molecules to inhibit viral infection and their cytotoxicity was carefully evaluated [43]. Compared to the well-known bevirimat (3), one of the prepared compounds (7) showed higher solubility in aqueous media associated with a 2.5-fold increase in activity, higher selectivity index, and a better antiviral profile (Table 1) [43]. Moreover, for the first time, a direct interaction between the prepared compound (7) and the domain CA-SP1 was shown by the NMR (nuclear magnetic resonance) study [43]. Bevirimat (3) was launched by several pharmaceutical companies for further development and commercialization [44,45]. However, while bevirimat (3) succeeded in Phase IIa of the clinical trials, results obtained in Phase IIb of the clinical trials stopped the development of this new class of anti-HIV drug, principally because of the natural polymorphism of the CA-SP1 junction that led to a natural resistance of the virus to maturation inhibitors. The prepared pioneer bevirimat-based compounds (48; Figure 1) represented novel, attractive, and promising agents for the future development of the next generation of HIV-1 maturation inhibitors [43]. Their anti-HIV-1 effects are summarized in Table 1.
A search for new methods of antiviral therapy has been primarily focused on the use of substances of natural origin. Recently, a synthesis of a novel series of betulinic acid ester derivatives (914)(af) and 1516 (Figure 2) was published [28]. The structures of the novel compounds were established, and the compounds were tested against DNA and RNA viruses, for antiviral activity against several types of viruses, including HSV-1 [28]. Antiviral experiments and monitoring of the time of addition of the active compound confirmed a research hypothesis and showed high antiviral effect of several derivatives against BEV, H1N1, and HSV-1. Compound 10d exhibited 6-fold more potent activity against HSV-1 (EC50 = 17.2 µM) than the reference drug (acyclovir; EC50 = 111.1 µM) (Table 2). Compound 13e possessed the highest selectivity index (SI = 11.8) even when compared with that of acyclovir (SI = 14.0). Overall, all active compounds showed high virus-specific activity, as none of them showed activity in more than one virus. Most of the active compounds were active at the later steps of the replication cycle. This finding resulted in a suggestion of a mode of action during the step of nucleic acids/protein synthesis, assembly, or maturation. The in silico study was in good agreement with the in vitro data, confirming a high affinity of 10d to HSV-1 DNA polymerase. In addition, all ester and amide derivatives were tested for antiproliferative activity in A549 and MDCK (Madin-Darby canine kidney) cell lines (Table 3). Ester derivatives in the series of (914)(af) and 1516, glutaric acid amides 11c and 11d, and succinic acid amides 9b and 9c showed high cytotoxicity values. These findings provided valuable data for further investigation of the active compounds, and for a subsequent betulin derivation to design novel compounds having higher potential to display antiviral activity. The results indicated that natural resources have still been one of the most important sources of priority structures in a search for new drug candidates.
In a continuing search for novel HIV-1 maturation inhibitors, another series of promising compounds were designed and synthesized on the basis of a number of triterpenoid derivatives (1717s; Figure 3), namely the compound 18 (also known GSK3640254 or fipravirimat; Figure 3) [46]. Compound 18 exhibited significantly improved antiviral activity toward a range of clinically relevant polymorphic variants with reduced sensitivity toward the second-generation maturation inhibitor (17s; also known as GSK3532795 or BMS-955176). The key structural difference between 18 and its earlier developed analogs (1717s) is the replacement of the para-substituted benzoic acid moiety located at the C-3 position of the triterpenoid skeleton with a cyclohex-3-ene-1-carboxylic acid substituted with a CH2F moiety with the given absolute configuration (18; Figure 3). The sp3 carbon atom at this site of the molecule provided a new vector for structure-activity relationship exploration and resulted in the identification of compounds with improved polymorphic characteristics while preserving the pharmacokinetic properties of the prototype. This structural element provided a new vector for exploring structure-activity relationships. The approach to the design of 18, the development of a synthetic route, and its preclinical profile were clearly described in detail in the original paper [46]. Compound 18 has completed the Phase IIa of the clinical trials, in which it demonstrated a dose-related reduction in plasma HIV-1 RNA over 7–10 days, and the compound has been advanced into Phase IIb studies [46].
The investigation of the structure-activity relationships of a series of HIV-1 maturation inhibitors based on the compound 17s (Figure 3) continued by the subsequent incorporation of novel C-17 amine substituents to reduce the overall basicity of the target compounds [47]. A replacement of the amine group on the C-17 side chain present in 17s with a tertiary alcohol in combination with either a heterocyclic ring system or a cyclohexyl ring substituted with polar groups provided potent wild-type (WT) HIV-1 maturation inhibitors. They also preserved excellent potency against a T332S/V362I/prR41G variant, a laboratory strain that served as a substitute to assess HIV-1 polymorphic virus characteristics [47]. Compound 19 exhibited a broad anti-HIV-1 activity against relevant Gag polymorphic viruses, and displayed the most desirable overall profile in this series of the studied compounds. In pharmacokinetic studies, 19 had low acquittal and exhibited sufficient oral bioavailability in rats and dogs.
Compounds 18 and 19 had the most desirable overall profile in this series and were evaluated in rat and dog pharmacokinetic studies [47,48]. A comparison of basic anti-HIV-1 activity values is shown in Table 4. An overall summary of antiviral activity values of compounds 1717s, 18, and 19 is presented in Table 5 [46,47,48].
Structurally similar compounds to those mentioned above [46,47,48] were reported recently as second-generation maturation inhibitors (compounds 2022 and 23a23e; Figure 4), displaying effect higher than bevirimat (3) against HIV-1 subtype C [49]. In silico studies on the interaction of bevirimat and their analogs have been limited to HIV-1 subtype B (5I4T) due to the lack of an available 3D structure for HIV-1 subtype C virus. The authors [49] have developed a 3D model of the HIV-1C Gag CA-SP1 region using protein homology modeling with HIV-1 subtype B (514T) as a template. The generated HIV-1 C homology model was extensively validated using several tools and served as a template to perform molecular docking studies with eight well-characterized maturation inhibitors. The docked complex of HIV-1C and the studied maturation inhibitors were subjected to molecular dynamics simulation for 100 ns. Based on the obtained data, it was revealed that the investigation was probably a pioneering report on the construction and validation of a 3D model for the HIV-1C Gag CA-SP1, which could serve as a crucial tool in the structure-aided design of novel and well-acting maturation inhibitors [49]. The docking studies confirmed that modifications at the C-28 carbon centers in bevirimat analogs resulted in increased interactions with HIV-1C Gag CA-SP1 and higher binding energy as compared to the parent bevirimat (3), which may have conferred antiviral activity to these analogs [49]. The authors [49] presented no antiviral activity data, however, the in silico investigation brought a novel motivation in designing more effective antiviral agents for the next generations. However, antiviral activity data of several compounds of the investigated series can be found in [46].
Phosphate and phosphonate derivatives of betulin (1), betulinic acid (2) and bevirimat (3) represent other types of antiviral compounds displaying better pharmacological characteristics than the parent compounds [1,50]. Thus, several compounds of that series (24a24h) are shown in Figure 5, and their antiviral activity values are summarized in Table 6. The inhibitory effect of 24a (Figure 5, Table 6) was of high value, as well as showed high therapeutic index (IC50 = 0.02 µM, TI = 1250) on viral replication, and it displayed high selectivity [1]. The capsid protein (CA) CTD-SP1 might be the target of 24a against HIV. Among additional phosphate and phosphonate derivatives of bevirimat (24b24h), compound 24e showed antiviral activity comparable with that of 24a, however, with a slightly worse therapeutic profile than displayed by 24a.
A novel compound 25 (Figure 6), in principle, also derived from bevirimat (3), bearing a pyrazolone system in the molecule, has been considered to represent a HIV-1 maturation inhibitor of the third generation [51]. It displayed a maturation inhibition effect in HIV-1 with the EC50 = 20.36 ± 2.85 nM [51]. The mechanism of action of 25 is identical to that of the first-generation antiviral maturation inhibitor bevirimat (3). However, the investigation showed that 25 displayed better antiviral potential than bevirimat (3) among the virus strains tested, regardless of the presence or absence of human serum [51]. Further designing and developing of suitable molecules resulted in a synthesis of a compound bearing selected, often called “privileged”, structural motifs (Figure 6) [52]. So far the most successful structure 26 (Figure 6) showed high antiviral activity in HIV-1 NL4-3 (EC50 = 0.012 µM), which is higher than the antiviral activity of 25. Within that series of novel piperazine-based compounds (27a27g; Figure 6), none of them showed a better antiviral effect and therapeutic profile than 26 (Table 7).

2.2. Peptide Derivatives of Triterpenoids of the Lupane, Ursane and Oleanane Family

To demonstrate variability in designing and developing effective structural modifications of bevirimat (3), a specific series of peptide analogs of betulinic acid (2) should be mentioned. This part of the story starts with triterpenoid saponins, natural products bearing glycoside units, which are a major group of active compounds of natural origin with nonspecific antiviral activities. In turn, the T20 peptide (enfuvirtide), containing a helix zone-binding domain, is a gp41-specific HIV-1 fusion inhibitor. One of the early approaches to the design, synthesis, and structure-activity relationship study of a group of hybrid molecules, in which bioactive triterpenoid sapogenins were covalently bound to the peptides containing the helix zone-binding domain, by the 1,3-dipolar cycloaddition, often known as the click chemistry tool. Thus, a series of triterpenoid-peptide conjugates 28a28n (Figure 7; Table 8) appeared as early as a decade ago [53]. The investigation resulted in a finding that either the triterpenoid or the peptide part separately showed only weak activity against HIV-1 Env-mediated cell-cell fusion, while the generated hybrid conjugates displayed strong cooperative effects [53]. Among them, P26-BApc (28k) exhibited anti-HIV-1 activity against both T20-sensitive and T20-resistant HIV-1 strains and improved pharmacokinetic properties. The results have proven that this scaffold design has been a promising strategy for developing novel HIV-1 fusion inhibitors, and possibly, has encouraged designing novel antiviral therapeutics against other viruses with class I fusion proteins (Table 9) [53].

2.3. Miscellaneous Plant Triterpenoids

Investigation of other plant triterpenoids than those of the lupane family can be found in the literature, nevertheless, it is less frequent than could be expected, even if different plant triterpenoids have been reported to display antiviral effects [33].
Ursane-type triterpenoids and 28-nortriterpenoids 29a29i (Figure 8) were isolated from Rhododendron latoucheae [54]. A hyphenated NMR technique (analytical HPLC (high performance liquid chromatography) with a DAD (diode array detector) connected to MS (mass spectrometer), SPE (solid phase extraction), and NMR) has proven effective for the full structural analysis and identification of isolated natural products in complex mixtures [54]. Compounds 29a and 29i inhibited HSV-1 in Vero cells with IC50 values of 6.4 μM and 0.4 μM, respectively, while the compounds 29b29h were less effective (Table 10) [54].
The chalcone derivatives of 20-oxo-lupanes have been synthesized and screened for several types of biological activity by Russian authors [55]. Investigating the antiviral activity of the prepared series of compounds, two of them, 30a and 30b (Figure 9), were evaluated as compounds displaying anti-HSV-1 activity (Table 11). The antiviral activity of 30a and 30b was tested against HCMV, and that of 30b also against HSV-1 and HPV.
A large series of new pentacyclic triterpenoids, including oleanane-type, ursane-type, and taraxerane-type, were isolated from the stems and branches of Enkianthus chinensis [56]. Their structures were elucidated by extensive spectroscopic analyses, X-ray crystallographic data, and electronic circular dichroism (ECD) techniques. The in vitro biological activity evaluation resulted in a finding that the three compounds (31a31c; Figure 10) showed antiviral activity. The most active compound of this small series of natural triterpenoids was 31c showing latent activity against HSV-1 with an IC50 value of 6.4 μM. Their structures and antiviral activity values (in comparison with those of acyclovir used as the positive reference agent) are summarized in Table 12.
Even if triterpenoids and their natural saponin derivatives exhibit anti-HSV-1 activity, there has still been a lack of comprehensive information on the anti-HSV-1 activity of triterpenoids. Therefore, expanding information on the anti-HSV-1 activity of triterpenes and improving the efficiency of their exploration are urgently required. To improve the efficiency of the development of anti-HSV-1 active compounds, recently, Japanese authors constructed a predictive model for the anti-HSV-1 activity of triterpenes by using the information obtained from previous studies [57]. They constructed a binary classification model (i.e., active or inactive) using a logistic regression algorithm. As a result, the assay was performed on 20 triterpenes and triterpenoids, finally identifying the structure 32 (Figure 11) as a potent anti-HSV-1 compound, displaying IC50 = 13.06 μM.
Several so far undescribed cycloartane triterpenoids, pseudolarnoids A−G, together with other known triterpenoids, were isolated from the seeds of Pseudolarix amabilis (J. Nelson) Rehder [58]. Their structures were elucidated on the basis of spectroscopic analysis, X-ray crystallography, and ECD data. Three of these natural products (3335; Figure 12) proved their ability to display potent antiviral effects on HSV-1 in vitro (Table 13). Based on the therapeutic index values, structures 34 and 35 showed a better therapeutic profile than 33 (Table 13). The structures of other less active or inactive cycloartane triterpenoids are not shown, they can be found in the original paper [58].

3. Conclusions

Even if the presented review paper covers a short period of investigation of antiviral agents, it shows a wide variety of triterpenoid-based compounds investigated as potential antiviral agents. Even if a majority of structures are—in principle—structurally derived from bevirimat (3), other types of triterpenoid structures were also included in this type of investigation. Because studies made with the lupane family of triterpenoids were always performed with high intensity, and possibly with high priority as well, the results achieved so far reveal that lupane-based agents seem to be the most successful structures among all triterpenoid-based ones. The review shows achievements in searching for novel structures and clearly shows that this intensive investigation is resulting in designing perspective structures that have a great chance to pass over all phases of clinical trials to give a potent antiviral agent for application in human medicine.
Based on the literature search made while collecting the relevant papers for this review paper, a conclusion was made that no one of the triterpenoids, i.e., other than lupane, when used as a source for designing and developing highly potent antiviral agents, resulted in achieving active compounds with a practical impact. Our current investigation has revealed a very preliminary finding supporting the opposite opinion. Those results will be published later when the relevant data is collected.

Author Contributions

Conceptualization, Z.W.; methodology, U.B.; validation, M.W. and U.B.; writing—original draft preparation, Z.W., M.W. and U.B.; writing—review and editing, Z.W.; funding acquisition, Z.W. All authors have read and agreed to the published version of the manuscript.

Funding

This research was funded by the Ministry of Industry and Commerce (MPO), Czech Republic, grant number FV30300.

Institutional Review Board Statement

Not applicable.

Informed Consent Statement

Not applicable.

Data Availability Statement

Not applicable.

Acknowledgments

The authors thank MPO for financial support through the grant FV30300.

Conflicts of Interest

The authors declare no conflict of interest.

References

  1. Liu, Y.; Yang, L.; Wang, H.; Xiong, Y. Recent advances in antiviral activities of triterpenoids. Pharmaceuticals 2022, 15, 1169. [Google Scholar] [CrossRef] [PubMed]
  2. Sander, W.J.; O’Neill, H.G.; Pohl, C.H. Prostaglandin E(2) as a modulator of viral infections. Front. Physiol. 2017, 8, 89. [Google Scholar] [CrossRef] [PubMed]
  3. He, W.; Gao, Y.; Wen, Y.; Ke, X.; Ou, Z.; Li, Y.; He, H.; Chen, Q. Detection of virus-related sequences associated with potential etiologies of hepatitis in liver tissue samples from rats, mice, shrews, and bats. Front. Microbiol. 2021, 12, 653873. [Google Scholar] [CrossRef] [PubMed]
  4. Yang, X.W. Antiviral effect of glycyrrhizic acid. Mod. Chin. Med. 2020, 22, 533–541. [Google Scholar]
  5. Yang, J.; Yue, L.; Yang, Z.; Miao, Y.; Ouyang, R.; Hu, Y. Metal-based nanomaterials: Work as drugs and carriers against viral infections. Nanomaterials 2021, 11, 2129. [Google Scholar] [CrossRef]
  6. Finsterer, J. Neurological side effects of SARS-CoV-2 vaccinations. Acta Neurol. Scand. 2022, 145, 5–9. [Google Scholar] [CrossRef] [PubMed]
  7. Hacisuleyman, E.; Hale, C.; Saito, Y.; Blachere, N.E.; Bergh, M.; Conlon, E.G.; Schaefer-Babajew, D.J.; DaSilva, J.; Muecksch, F.; Gaebler, C.; et al. Vaccine breakthrough infections with SARS-CoV-2 variants. N. Engl. J. Med. 2021, 384, 2212–2218. [Google Scholar] [CrossRef]
  8. Yi, Y.; Li, J.; Lai, X.; Zhang, M.; Kuang, Y.; Bao, Y.-O.; Yu, R.; Hong, W.; Muturi, E.; Xue, H.; et al. Natural triterpenoids from licorice potently inhibit SARS-CoV-2 infection. J. Adv. Res. 2022, 36, 201–210. [Google Scholar] [CrossRef]
  9. Pu, J.Y.; He, L.; Wu, S.Y.; Zhang, P.; Huang, X. Anti-virus research of triterpenoids in licorice. Chin. J. Virol. 2013, 29, 673–679. [Google Scholar]
  10. Pornillos, O.; Ganser-Pornillos, B.K. Maturation of retroviruses. Curr. Opin. Virol. 2019, 36, 47–55. [Google Scholar] [CrossRef]
  11. Kanamoto, T.; Kashiwada, Y.; Kanbara, K.; Gotoh, K.; Yoshimori, M.; Goto, T.; Sano, K.; Nakashima, H. Anti-human immunodeficiency virus activity of YK-FH312 (a betulinic acid derivative), a novel compound blocking viral maturation. Antimicrob. Agents Chemother. 2001, 45, 1225–1230. [Google Scholar] [CrossRef] [PubMed]
  12. Zhou, J.; Yuan, X.; Dismuke, D.; Forshey, B.M.; Lundquist, C.; Lee, K.-H.; Aiken, C.; Chen, C.H. Small-molecule inhibition of human immunodeficiency virus type 1 replication by specific targeting of the final step of virion maturation. J. Virol. 2004, 78, 922–929. [Google Scholar] [CrossRef] [PubMed]
  13. Adamson, C.S.; Ablan, S.D.; Boeras, I.; Goila-Gaur, R.; Soheilian, F.; Nagashima, K.; Li, F.; Salzwedel, K.; Sakalian, M.; Wild, C.T.; et al. In vitro resistance to the human immunodeficiency virus type 1 maturation inhibitor PA-457 (Bevirimat). J. Virol. 2006, 80, 10957–10971. [Google Scholar] [CrossRef] [PubMed]
  14. Pak, A.J.; Purdy, M.D.; Yeager, M.; Voth, G.A. Preservation of HIV-1 gag helical bundle symmetry by bevirimat is central to maturation inhibition. J. Am. Chem. Soc. 2021, 143, 19137–19148. [Google Scholar] [CrossRef]
  15. Purdy, M.D.; Shi, D.; Christowicz, J.; Hattne, J.; Goner, T.; Yeager, M. MicroED structures of HIV-1GagCTD-SP1 reveal binding interactions with the maturation inhibitor bevirimat. Proc. Natl. Acad. Sci. USA 2018, 115, 13258–13263. [Google Scholar] [CrossRef]
  16. Adamson, C.S.; Salzwedel, K.; Freed, E.O. Virus maturation as a new HIV-1 therapeutic target. Expert Opin. Ther. Targets 2009, 13, 895–908. [Google Scholar] [CrossRef]
  17. Hashimoto, F.; Kashiwada, Y.; Cosentino, L.M.; Chen, C.-H.; Garrett, P.E.; Lee, K.-H. Anti-AIDS agents-XXVII. Synthesis and anti-HIV activity of betulinic acid and dihydrobetulinic acid derivatives. Bioorg. Med. Chem. 1997, 5, 2133–2143. [Google Scholar] [CrossRef]
  18. Lee, K.-H. Discovery and development of natural product-derived chemotherapeutic agents based on a medicinal chemistry approach. J. Nat. Prod. 2010, 73, 500–516. [Google Scholar] [CrossRef]
  19. Van Baelen, K.; Salzwedel, K.; Rondelez, E.; Van Eygen, V.; De Vos, S.; Verheyen, A.; Steegen, K.; Verlinden, Y.; Allaway, G.P.; Stuyver, L.J. Susceptibility of human immunodeficiency virus type 1 to the maturation inhibitor bevirimat is modulated by baseline polymorphisms in gag spacer peptide 1. Antimicrob. Agents Chemother. 2009, 53, 2185–2188. [Google Scholar] [CrossRef]
  20. Adamson, C.S.; Sakalian, M.; Salzwedel, K.; Freed, E.O. Polymorphisms in Gag spacer peptide 1 confer varying levels of resistance to the HIV-1 maturation inhibitor bevirimat. Retrovirology 2010, 7, 36. [Google Scholar] [CrossRef]
  21. Liu, X.; Main, D.; Ma, Y.; He, B. Herpes simplex virus 1 inhibits TANK-binding kinase 1 through formation of the Us11-Hsp90 complex. J. Virol. 2018, 92, e00402-18. [Google Scholar] [CrossRef] [PubMed]
  22. Whitley, R.J. Herpes simplex encephalitis: Adolescents and adults. Antivir. Res. 2006, 71, 141–148. [Google Scholar] [CrossRef] [PubMed]
  23. Navid, M.H.; Laszczyk-Lauer, M.N.; Reichling, J.; Schnitzler, P. Pentacyclic triterpenes in birch bark extract inhibit early step of herpes simplex virus type 1 replication. Phytomedicine 2014, 21, 1273–1280. [Google Scholar] [CrossRef]
  24. Ye, J.; Wang, Z.; Jia, J.; Li, F.; Wang, Y.; Jiang, Y.; Wang, Y.; Ren, Z.; Pu, H. Lupeol impairs herpes simplex virus type 1 replication by inhibiting the promoter activity of the viral immediate early gene α0. Acta Virol. 2021, 65, 254–263. [Google Scholar] [CrossRef] [PubMed]
  25. Ramu, R.; Shirahatti, P.S.; Swamy, S.N.; Zameer, F.; Dhananjaya, B.L.; Prasad, M.N.N. Assessment of in vivo antidiabetic properties of umbelliferone and lupeol constituents of banana (Musa sp. var. Nanjangud Rasa Bale) flower in hyperglycaemic rodent model. PLoS ONE 2016, 11, e0151135. [Google Scholar]
  26. Kolokotronis, A.; Doumas, S. Herpes simplex virus infection, with particular reference to the progression and complications of primary herpetic gingivostomatitis. Clin. Microbiol. Infect. 2006, 12, 202–211. [Google Scholar] [CrossRef]
  27. Coen, D.M.; Schaffer, P.A. Anti-herpesvirus drugs: A promising spectrum of new drugs and drug targets. Nat. Rev. Drug. Discov. 2003, 2, 278–288. [Google Scholar] [CrossRef]
  28. Pecak, P.; Orzechowska, B.; Chrobak, E.; Boryczka, S. Novel betulin dicarboxylic acid ester derivatives as potent antiviral agents: Design, synthesis, biological evaluation, structure-activity relationship and in silico study. Eur. J. Med. Chem. 2021, 225, 113738. [Google Scholar] [CrossRef]
  29. Amiri, S.; Dastghaib, S.; Ahmadi, M.; Mehrbod, P.; Khadem, F.; Behrouj, H.; Aghanoori, M.R.; Machaj, F.; Ghamsari, M.; Rosik, J.; et al. Betulin and its derivatives as novel compounds with different pharmacological effects. Biotechnol. Adv. 2020, 38, 107409. [Google Scholar] [CrossRef]
  30. Kazakova, O.B.; Medvedeva, N.I.; Baikova, I.P.; Tolstikov, G.A.; Lopatina, T.V.; Yunusov, M.S.; Zaprutko, L. Synthesis of triterpenoid acylates: Effective reproduction inhibitors of influenza A (H1N1) and papilloma viruses. Russ. J. Bioorg. Chem. 2010, 36, 771–778. [Google Scholar] [CrossRef]
  31. Pavlova, P.I.; Savinova, O.V.; Nikolaeva, S.N.; Boreko, E.I.; Flekhter, O.B. Antiviral activity of betulin, betulinic and betulonic acids against some enveloped and non-enveloped viruses. Fitoterapia 2003, 74, 489–492. [Google Scholar] [CrossRef] [PubMed]
  32. Sun, I.C.; Shen, J.K.; Wang, H.K.; Cosentino, L.M.; Lee, K.H. Anti-AIDS agents. 32. Synthesis and anti-HIV activity of betulin derivatives. Bioorg. Med. Chem. Lett. 1998, 8, 1267–1272. [Google Scholar] [CrossRef]
  33. Šarek, J.; Kvasnica, M.; Vlk, M.; Urban, M.; Džubák, P.; Hajdúch, M. The potential of triterpenoids in the treatment of melanoma. In Research on Melanoma—A Glimpse into Current Directions and Future Trends; Murph, M., Ed.; InTech: Rijeka, Croatia, 2011; Chapter 7; pp. 125–158. [Google Scholar]
  34. Kim, D.S.H.L.; Chen, Z.; Nguyen, V.T.; Pezzuto, J.M.; Qiu, S.; Lu, Z.-Z. A concise semi-synthetic approach to betulinic acid from betulin. Synth. Commun. 1997, 27, 1607–1612. [Google Scholar] [CrossRef]
  35. Alakurtti, S.; Mäkelä, T.; Koskimies, S.; Yli-Kauhaluoma, J. Pharmacological properties of the ubiquitous natural product betulin. J. Eur. Pharm. Sci. 2006, 29, 1–13. [Google Scholar] [CrossRef] [PubMed]
  36. Bildziukevich, U.; Özdemir, Z.; Wimmer, Z. Recent achievements in medicinal and supramolecular chemistry of betulinic acid and its derivatives. Molecules 2019, 24, 3546. [Google Scholar] [CrossRef] [PubMed]
  37. Özdemir, Z.; Wimmer, Z. Selected plant triterpenoids and their amide derivatives in cancer treatment: A review. Phytochemistry 2022, 203, 113340. [Google Scholar] [CrossRef]
  38. Martin, D.E.; Salzwedel, K.; Allaway, G.P. Bevirimat: A novel maturation inhibitor for the treatment of HIV-1 infection. Antivir. Chem. Chemother. 2008, 19, 107–113. [Google Scholar] [CrossRef]
  39. Martin, D.E.; Blum, R.; Doto, J.; Galbraith, H.; Ballow, C. Multiple-dose pharmacokinetics and safety of bevirimat, a novel inhibitor of HIV maturation, in healthy volunteers. Clin. Pharmacokinet. 2007, 46, 589–598. [Google Scholar] [CrossRef]
  40. Tang, J.; Jones, S.A.; Jeffrey, J.L.; Mirianda, S.R.; Galardi, C.M.; Irlbeck, D.M.; Brown, K.W.; McDanal, C.B.; Johns, B.A. Discovery of a novel and potent class of anti-HIV-1 maturation inhibitors with improved virology profile against gag polymorphisms. Bioorg. Med. Chem. Lett. 2017, 27, 2689–2694. [Google Scholar] [CrossRef]
  41. Marciniec, K.; Chrobak, E.; Dabrowska, A.; Bebenek, E.; Kadela-Tomanek, M.; Pecak, P.; Boryczka, S. Phosphate derivatives of 3-carboxyacylbetulin: Synthesis, in vitro anti-HIV and molecular docking study. Biomolecules 2020, 10, 1148. [Google Scholar] [CrossRef]
  42. Sarkar, S.; Zadrozny, K.K.; Zadoroyhnyi, R.; Russell, R.W.; Quinn, C.M.; Kleinpeter, A.; Ablan, S.; Meshkin, H.; Perilla, J.R.; Freed, E.O.; et al. Structural basis of HIV-1 maturation inhibitor binding and activity. Nat. Commun. 2023, 14, 1237. [Google Scholar] [CrossRef] [PubMed]
  43. Coric, P.; Turcaud, S.; Souquet, F.; Briant, L.; Gay, B.; Royer, J.; Chazal, N.; Bouaziz, S. Synthesis and biological evaluation of a new derivative of bevirimat that targets the Gag CA-SP1 cleavage site. Eur. J. Med. Chem. 2013, 62, 453–465. [Google Scholar] [CrossRef] [PubMed]
  44. Martin, D.E.; Blum, R.; Wilton, J.; Doto, J.; Galbraith, H.; Burgess, G.L.; Smith, P.C.; Ballow, C. Safety and pharmacokinetics of bevirimat (PA-457), a novel inhibitor of human immunodeficiency virus maturation, in healthy volunteers. Antimicrob. Agents Chemother. 2007, 51, 3063–3066. [Google Scholar] [CrossRef] [PubMed]
  45. Smith, P.F.; Ogundele, A.; Forrest, A.; Wilton, J.; Salzwedel, K.; Doto, J.; Allaway, G.P.; Martin, D.E. Phase I and II study of the safety, virological effect, and pharmacokinetics/pharmacodynamics of single-dose 3-O-(3’,3’-dimethylsuccinyl)betulinic acid (bevirimat) against human immunodeficiency virus infection. Antimicrob. Agents Chemother. 2007, 51, 3574–3581. [Google Scholar] [CrossRef] [PubMed]
  46. Regueiro-Ren, A.; Sit, S.-Y.; Chen, Y.; Chen, J.; Swidorski, J.J.; Liu, Z.; Venables, B.L.; Sin. N.; Hartz, R.A.; Protack, T.; et al. The discovery of GSK3640254, a next-generation inhibitor of HIV-1 maturation. J. Med. Chem. 2022, 65, 11927–11948. [Google Scholar] [CrossRef] [PubMed]
  47. Hartz, R.A.; Xu, L.; Sit, S.-Y.; Chen, J.; Venables, B.L.; Lin, Z.; Zhang, S.; Li, Z.; Parker, D.; Simmons, T.S.; et al. Synthesis, structure−activity relationships, and in vivo evaluation of novel C-17 amine derivatives based on GSK3640254 as HIV-1 maturation inhibitors with broad spectrum activity. J. Med. Chem. 2022, 65, 15935–15966. [Google Scholar] [CrossRef] [PubMed]
  48. Meanwell, N.A. Sub-stoichiometric modulation of viral targets-potent antiviral agents that exploit target vulnerability. ACS Med. Chem. Lett. 2023, 14, 1021–1030. [Google Scholar] [CrossRef]
  49. Yuvraj, H.C.; Pal, S.; Nitz, T.J.; Wild, C.; Gaur, R. Construction of a HIV-1 subtype C 3D model using homology modeling and in silico docking, molecular dynamics simulation, and MM-GBSA calculation of second-generation HIV-1 maturation inhibitor(s). J. Biomol. Struct. Dyn. 2023. epub ahead of print. [Google Scholar] [CrossRef]
  50. Chrobak, E.; Marciniec, K.; Dabrowska, A.; Pecak, P.; Bebenek, E.; Kadela-Tomanek, M.; Bak, A.; Jastrzebska, M.; Boryczka, S. New phosphorus analogs of bevirimat: Synthesis, evaluation of anti-HIV-1 activity and molecular docking study. Int. J. Mol. Sci. 2019, 20, 5209. [Google Scholar] [CrossRef]
  51. Zhao, L.; He, H.H.; Ou-Yang, T.; Liu, D.F.; Jiang, C.H.; Yang, H.P.; Wang, P.; Xie, N.; Yan, S.S. Pre-clinical pharmacological profile of QF-036, a potent HIV-1 maturation inhibitor. Basic Clin. Pharm. Toxicol. 2021, 128, 275–285. [Google Scholar] [CrossRef]
  52. Zhao, Y.; Chen, C.-H.; Morris-Natschke, S.L.; Lee, K.-H. Design, synthesis, and structure activity relationship analysis of new betulinic acid derivatives as potent HIV inhibitors. Eur. J. Med. Chem. 2021, 215, 113287. [Google Scholar] [CrossRef] [PubMed]
  53. Wang, C.; Lu, L.; Na, H.; Li, X.; Wang, Q.; Jiang, X.; Xu, X.; Yu, F.; Zhang, T.; Li, J.; et al. Conjugation of a nonspecific antiviral sapogenin with a specific HIV fusion inhibitor: A promising strategy for discovering new antiviral therapeutics. J. Med. Chem. 2014, 57, 7342–7354. [Google Scholar] [CrossRef] [PubMed]
  54. Liu, F.; Wang, Y.-N.; Li, Y.; Ma, S.-G.; Qu, J.; Liu, Y.-B.; Niu, C.-S.; Tang, Z.-H.; Li, Y.-H.; Li, L.; et al. Minor nortriterpenoids from the twigs and leaves of Rhododendron latoucheae. J. Nat. Prod. 2018, 81, 1721–1733. [Google Scholar] [CrossRef] [PubMed]
  55. Khusnutdinova, E.; Galimova, Z.; Lobov, A.; Baikova, I.; Kazakova, O.; Thu, H.N.T.; Tuyen, N.V.; Gatilov, Y.; Csuk, R.; Serbian, I.; et al. Synthesis of messagenin and platanic acid chalcone derivatives and their biological potential. Nat. Prod. Res. 2022, 36, 5189–5198. [Google Scholar] [CrossRef] [PubMed]
  56. Wang, H.-Q.; Ma, S.-G.; Zhang, D.; Li, Y.-H.; Qu, J.; Li, Y.; Liu, Y.-B.; Yu, S.-S. Oxygenated pentacyclic triterpenoids from the stems and branches of Enkianthus chinensis. Bioorg. Chem. 2021, 111, 104866. [Google Scholar] [CrossRef] [PubMed]
  57. Ogawa, K.; Nakamura, S.; Oguri, H.; Ryu, K.; Yoneda, T.; Hosoki, R. Effective search of triterpenes with anti-HSV-1 activity using a classification model by logistic regression. Front. Chem. 2021, 9, 763794. [Google Scholar] [CrossRef] [PubMed]
  58. Zhao, X.-T.; Yu, M.-H.; Su, S.-Y.; Shi, X.-L.; Lei, C.; Hou, A.-J. Cycloartane triterpenoids from Pseudolarix amabilis and their antiviral activity. Phytochemistry 2020, 171, 112229. [Google Scholar] [CrossRef]
Figure 1. Betulin (1), betulinic acid (2), bevirimat (3) and its early stage analogs (48).
Figure 1. Betulin (1), betulinic acid (2), bevirimat (3) and its early stage analogs (48).
Molecules 28 07718 g001
Figure 2. Structures of compounds (914)(af) and 1516.
Figure 2. Structures of compounds (914)(af) and 1516.
Molecules 28 07718 g002
Figure 3. Structures of the compounds 1717s, 18 and 19.
Figure 3. Structures of the compounds 1717s, 18 and 19.
Molecules 28 07718 g003
Figure 4. Structures of compounds 2022 and 23a23e.
Figure 4. Structures of compounds 2022 and 23a23e.
Molecules 28 07718 g004
Figure 5. Structures of compounds 24a24h.
Figure 5. Structures of compounds 24a24h.
Molecules 28 07718 g005
Figure 6. Structures of compounds 25, 26 and 27a27g.
Figure 6. Structures of compounds 25, 26 and 27a27g.
Molecules 28 07718 g006
Figure 7. Triterpenoid-peptide hybrid conjugates. For explanation of the substituent R, see Table 8.
Figure 7. Triterpenoid-peptide hybrid conjugates. For explanation of the substituent R, see Table 8.
Molecules 28 07718 g007
Figure 8. Structures of the compounds 29a29i.
Figure 8. Structures of the compounds 29a29i.
Molecules 28 07718 g008
Figure 9. Structures of the compounds 30a and 30b.
Figure 9. Structures of the compounds 30a and 30b.
Molecules 28 07718 g009
Figure 10. Structures of the compounds 31a31c.
Figure 10. Structures of the compounds 31a31c.
Molecules 28 07718 g010
Figure 11. Structure of the natural compound 32.
Figure 11. Structure of the natural compound 32.
Molecules 28 07718 g011
Figure 12. Structures of the natural compounds 3335.
Figure 12. Structures of the natural compounds 3335.
Molecules 28 07718 g012
Table 1. Efficiency of HIV-1 infection inhibition by betulinic acid derivatives [43].
Table 1. Efficiency of HIV-1 infection inhibition by betulinic acid derivatives [43].
Compd.IC50 [µM]CC50 [µM]SI a
25.3154.520.85
30.04031.00775.00
40.16049.50309.37
50.11848.50411.01
60.17033.90199.41
70.01633.902118.75
84.33048.7011.24
a The selectivity index (SI) represented the CC50/IC50 ratio.
Table 2. Anti-HSV-1 activity of the studied compounds in the mode III post-treatment assay. Compounds that reduced virus titers by at least 2 logarithms were considered active and are presented here. Presented values are medians from three independent experiments [28].
Table 2. Anti-HSV-1 activity of the studied compounds in the mode III post-treatment assay. Compounds that reduced virus titers by at least 2 logarithms were considered active and are presented here. Presented values are medians from three independent experiments [28].
Compd.CC50 [μM]EC50 [μM]SICompd.CC50 [μM]EC50 [μM]SI
10d68.717.24.013c143.535.94.0
11a80.822.43.613d65.432.72.0
11c150.818.98.013e349.629.611.8
12c164.134.84.7Acyclovir1555.6111.114.0
Table 3. In vitro cytotoxicity of tested compounds (914)(af) and 1516 on human lung cancer cell line (A549) and normal canine kidney cell line (MDCK) [28].
Table 3. In vitro cytotoxicity of tested compounds (914)(af) and 1516 on human lung cancer cell line (A549) and normal canine kidney cell line (MDCK) [28].
Compd.CC20 [µM] a,bCompd.CC20 [µM] a,b
A549MDCK A549MDCK
128.2228.2212b38.46153.85
9a11.5111.5112c34.77139.08
9b10.785.3412d127.23127.84
9c9.634.7812e114.811141.81
9d69.8317.4612f102.46102.46
9e69.42124.8413a21.1542.30
9f110.380.7713b39.81159.24
10a11.265.6313c35.87143.47
10b10.5684.4613d65.4532.72
10c37.8237.8213e58.897.30
10d34.344.2613f104.821.57
10e61.5061.5014a21.1542.30
10f54.4754.4714b159.24159.24
11a22.4411.2214c71.74143.47
11b42.091.1814d130.89130.89
11c18.8518.8514e117.79117.79
11d17.124.2514f104.82104.82
11e122.7061.351511.555.73
11f108.70108.701621.0821.08
12a5.0910.20Acyclovir196.08NT c
a Presented values are medians from three independent experiments; b CC20, concentrations required to reduce A549 and MDCK cells viability by 20%; c NT = not tested.
Table 4. A comparison of anti-HIV-1 activity values of bevirimat (3) and the compounds 1719 [47,48].
Table 4. A comparison of anti-HIV-1 activity values of bevirimat (3) and the compounds 1719 [47,48].
3171819
WT, EC50 = 10.0 nMWT, EC50 = 5.0 nMWT, EC50 = 3.0 nMWT, EC50 = 1.6 nM
40% HS, EC50 = 970.0 nM (97×)40% HS, EC50 = 10.0 nM (2×)40% HS, EC50 = 14.0 nM (4.6×)40% HS, EC50 = 9.3 nM (5.8×)
V370A, EC50 = 552.0 nMV370A, EC50 = 6.0 nMV370A, EC50 = 2.0 nMV370A, EC50 = 3.0 nM
ΔV370, EC50 ≥ 10,000 nMΔV370, EC50 = 6.0 nMΔV370, EC50 = 3.6 nMΔV370, EC50 = 5.1 nM
T332S/V362I/prR41G, EC50 = 704 nMT332S/V362I/prR41G, EC50 = 7.0 nMT332S/V362I/prR41G, EC50 = 6.4 nM
Table 5. Anti-HIV-1 activity of compounds 1717s, 18 and 19 [46,47,48].
Table 5. Anti-HIV-1 activity of compounds 1717s, 18 and 19 [46,47,48].
Compd.EC50 [nM]EC50 V370A [nM]EC50 ΔV370 [nM]Compd.EC50 [nM]EC50 V370A [nM]EC50 ΔV370 [nM]
1716233>300017k710359
17a596717l71277
17b369NT17m421561
17c106>200017n1051160
17d37427>400017o3964
17e632200017p2660
17f741>200017q1213
17g1715017r1213
17h52436117s2313
17i383118323.6
17j471011600191.63.05.1
Table 6. Anti-HIV-1 activity (EC50 [µM]) of compounds 24a24h [1,50].
Table 6. Anti-HIV-1 activity (EC50 [µM]) of compounds 24a24h [1,50].
Compd.24a24b24c24d24e24f24g24h
EC50 [µM]0.02 a1>10>100.020.940.6
a Therapeutic index, TI = 1250.
Table 7. Antiviral activity of the piperazine-type compounds 27a27g, compared to 25 and 26 in HIV-1 NL4-3 [51,52].
Table 7. Antiviral activity of the piperazine-type compounds 27a27g, compared to 25 and 26 in HIV-1 NL4-3 [51,52].
Compd.252627a27b27c27d27e27f27g
EC50 [µM]0.0210.0120.0270.0250.0180.0320.0220.0370.040
Table 8. Inhibitory activities of sapogenin-peptide conjugates 28a28n on HIV-1 Env-mediated cell-cell fusion [53].
Table 8. Inhibitory activities of sapogenin-peptide conjugates 28a28n on HIV-1 Env-mediated cell-cell fusion [53].
Compd.Compd. Code aSequence bEC50 [nM] c
28aBAo—P26BAo-a-NNYTSLIHSLIEESQNQQEKNEQELL89.4 ± 2.4
28bUAo—P26UAo-a-NNYTSLIHSLIEESQNQQEKNEQELL145 ± 17
28cOAo—P26OAo-a-NNYTSLIHSLIEESQNQQEKNEQELL176 ± 45
28dBAc—P26BAc-a-NNYTSLIHSLIEESQNQQEKNEQELL15.1 ± 2.5
28eUAc—P26UAc-a-NNYTSLIHSLIEESQNQQEKNEQELL51.5 ± 25
28fOAc—P26OAc-a-NNYTSLIHSLIEESQNQQEKNEQELL28.6 ± 5.1
28gBApc—P26BApc-a-NNYTSLIHSLIEESQNQQEKNEQELL197 ± 55
28hBApo—P26BApo-a-NNYTSLIHSLIEESQNQQEKNEQELL327 ± 21
28iP26—BAoNNYTSLIHSLIEESQNQQEKNEQELL-a-K(BAo)19.6 ± 5.0
28jP26−BAcNNYTSLIHSLIEESQNQQEKNEQELL-a-K(BAc)44.2 ± 10
28kP26 − BApcNNYTSLIHSLIEESQNQQEKNEQELL-a-K(BApc)3.94 ± 0.3
28lP26 − BApoNNYTSLIHSLIEESQNQQEKNEQELL-a-K(BApo)7.94 ± 1.5
28mP26 − UApcNNYTSLIHSLIEESQNQQEKNEQELL-a-K(UApc)3.35 ± 1.1
28nP26 − OApcNNYTSLIHSLIEESQNQQEKNEQELL-a-K(OApc)3.31 ± 1.0
2BABetulinic acid>1,000,000
UAUrsolic acid>1,000,000
OAOleanolic acid>1,000,000
P26NNYTSLIHSLIEESQNQQEKNEQELL3240 ± 560
Ptrz—P26Ptrz-a-NNYTSLIHSLIEESQNQQEKNEQELL3580 ± 156
P26—PtrzNNYTSLIHSLIEESQNQQEKNEQELL-a-K(Ptrz)2183 ± 786
P26 + BAoNNYTSLIHSLIEESQNQQEKNEQELL + BAo2390 ± 612
T20YTSLIHSLIEESQNQQEKNEQELLELDKWASLWNWF10.1 ± 1.4
a When a non-peptide moiety is conjugated to the N-terminus of P26, the hybrid has carboxyamide at the C-terminus. When a non-peptide moiety is attached to the C-terminus of P26, the conjugate has an acetyl group at the N-terminus and carboxyamide at the C-terminus. P26 and T20 have an acetyl group at the N-terminus and carboxyamide at the C-terminus; b a = β-alanine; Ptrz = 4-propyl-1H-1,2,3-triazol; c Compounds were tested in triplicate, and the data are presented as the mean ± standard deviation (SD).
Table 9. Anti-HIV-1 activity and cytotoxicity values of the conjugates 28a28n [53].
Table 9. Anti-HIV-1 activity and cytotoxicity values of the conjugates 28a28n [53].
Compd.Compd. CodeEC50 [nM] for Inhibition a
HIV-1IIIB
Replication
HIV-1BaL
Replication
CC50 [μM]SI b
28aBAo—P26475 ± 87456 ± 72>25>52
28bUAo—P26565 ± 130288 ± 32>25>44
28cOAo—P26369 ± 2.0498 ± 87>25>68
28dBAc—P26133 ± 5398.0 ± 26>25>187
28eUAc—P26387 ± 252113 ± 55>25>64
28fOAc—P2694.0 ± 15150 ± 21>25>266
28gBApc—P26242 ± 11519 ± 98>25>103
28hBApo—P26501 ± 12299.0 ± 12>25>52
28iP26—BAo154 ± 9.0135 ± 15>25>50
28jP26—BAc61.6 ± 1683.1 ± 8.3>25>406
28kP26—BApc4.28 ± 0.76.90 ± 0.114.3 ± 1.03348
28lP26—BApo475 ± 87456 ± 72>25>52
28mP26—UApc565 ± 130288 ± 32>25>44
28nP26—OApc369 ± 2.0498 ± 87>25>68
a Compounds were tested in triplicate, and the data are presented as the mean ± standard deviation; b SI (selectivity index) = CC50/EC50 for inhibiting HIV-1IIIB infection.
Table 10. Antiviral activity against HSV-1 and cytotoxicity for compounds 29a29i in Vero cells a [54].
Table 10. Antiviral activity against HSV-1 and cytotoxicity for compounds 29a29i in Vero cells a [54].
Compd.CC50 [µM] bIC50 [µM]SI c
29a23.116.413.6
29b57.74>11.11-
29c33.33>11.11-
29d69.34>33.33-
29e3.70>1.23-
29f11.11>3.70-
29g5.34>1.23-
29h1.78>0.41-
29i1.780.414.3
Acyclovir>1000.41>243.9
a Data represent mean values for three independent determinations; b Cytotoxic concentration required to inhibit Vero cell growth by 50%; c Selectivity index value equaled CC50/IC50.
Table 11. Antiviral activity values found for 30a and 30b [55].
Table 11. Antiviral activity values found for 30a and 30b [55].
Compd.EC50 [μM]Compd.EC50 [μM]
30a>0.24 (HCMV)30b1.20 (HSV-1)
3.47 (HPV)
Table 12. Antiviral activities of 31a31c against HSV-1 in Vero cells [56].
Table 12. Antiviral activities of 31a31c against HSV-1 in Vero cells [56].
Compd.CC50 [μM]IC50 [μM]SI a
31a33.311.13.0
31b57.714.34.0
31c57.76.49.0
Acyclovir>1000.3>370.4
a Selectivity index value calculated as a ratio CC50/IC50.
Table 13. Antiviral activity values found for 3335 against HSV-1 [58].
Table 13. Antiviral activity values found for 3335 against HSV-1 [58].
Compd.IC50 [μM]SI a
3315.3 ± 1.92.4 ± 0.3
341.1 ± 0.26.8 ± 0.9
354.3 ± 0.47.8 ± 0.7
Acyclovir11.9 ± 1.4>50
a Selectivity index value calculated as a ratio CC50/IC50; CC50 values were calculated in silico.
Disclaimer/Publisher’s Note: The statements, opinions and data contained in all publications are solely those of the individual author(s) and contributor(s) and not of MDPI and/or the editor(s). MDPI and/or the editor(s) disclaim responsibility for any injury to people or property resulting from any ideas, methods, instructions or products referred to in the content.

Share and Cite

MDPI and ACS Style

Wimmerová, M.; Bildziukevich, U.; Wimmer, Z. Selected Plant Triterpenoids and Their Derivatives as Antiviral Agents. Molecules 2023, 28, 7718. https://doi.org/10.3390/molecules28237718

AMA Style

Wimmerová M, Bildziukevich U, Wimmer Z. Selected Plant Triterpenoids and Their Derivatives as Antiviral Agents. Molecules. 2023; 28(23):7718. https://doi.org/10.3390/molecules28237718

Chicago/Turabian Style

Wimmerová, Martina, Uladzimir Bildziukevich, and Zdeněk Wimmer. 2023. "Selected Plant Triterpenoids and Their Derivatives as Antiviral Agents" Molecules 28, no. 23: 7718. https://doi.org/10.3390/molecules28237718

APA Style

Wimmerová, M., Bildziukevich, U., & Wimmer, Z. (2023). Selected Plant Triterpenoids and Their Derivatives as Antiviral Agents. Molecules, 28(23), 7718. https://doi.org/10.3390/molecules28237718

Article Metrics

Back to TopTop