Abstract
Creating new insecticide lead compounds based on the design and modification of natural products is a novel process, of which chlorfenapyr is a typical successful example. Chlorfenapyr is an arylpyrrole derivative that has high biological activity, a wide insecticidal spectrum, and a unique mode of action. For decades, a series of chlorfenapyr derivatives were designed and synthesized continuously, of which many highly active insecticidal compounds were discovered sequentially. However, due to the widespread application of chlorfenapyr and its degradation properties, some adverse effects, including pest resistance and environmental toxicity, occurred. In this review, a brief history of the discovery and development of chlorfenapyr is first introduced. Then, the synthesis, structural modification, structure activity relationship, and action mechanism of arylpyrroles are summarized. However, challenges and limitations still exist, especially in regard to the connection with pest resistance and environmental toxicology, which is discussed at the end of this review. This comprehensive summary of chlorfenapyr further promotes its progress and sensible application for pest management.
1. Introduction
For centuries, there has been a critical need for the discovery of new insecticides to control pests and protect the expanding global food population [1,2,3,4,5,6,7]. Resource-rich plants, fungi, bacteria, etc. from the earth provide abundant natural products that could be potential insecticidal candidates. Over the past 60 years, natural products have played a central role in the development of new active ingredients for crop protection [8,9,10,11,12]. Among these numerous instances, chlorfenapyr, which was ultimately commercially produced, is a typical successful case [12]. In the early 1980s, the American Cyanamid Company (ACC) discovered that the antibiotic dioxopyrrolamycin had broad-spectrum insecticidal and acaricidal activity. But it also had the disadvantages of poor stability and high toxicity. Hence, the researchers further modified the structure of dioxopyrrolamycin and obtained a series of analogs, of which the 2-arylpyrrole analogs were found to have excellent activity. Additionally, through further structure activity relationship research, the widely used commercial insecticide and acaricide, chlorfenapyr, was developed [2]. Chlorfenapyr (4-bromo-2-(4-chlorophenyl)-1-(ethoxymethyl)-5-(trifluoromethyl)-1h-pyrrol-3-carbonitrile) belongs to the group of heterocyclic compounds. Epoch-making heterocyclic drugs, such as pyrazoles, pyridines, imidazoles, and pyrroles, have emerged and gradually attracted the attention of researchers, and they also have become hot spots in the field of insecticide research. Recently, heterocyclic pesticides of natural origin, represented by nicotine [13], rotenone [14,15], saxitoxin [16], and physostigmine, and chemically synthesized heterocyclic pesticides, such as fipronil, fenpyroximate, tebufenpyrad, pyrazinone, etoxazole, and chlorfenapyr, have been discovered and developed one after another [17]. Because of their novel structure, unique mechanism of action, high biological activity, and low resistance, these pesticides have gradually replaced the traditional, highly toxic organophosphorus and carbamate pesticides and have become important insecticides and acaricides.
Chlorfenapyr is highly efficient and possesses broad-spectrum activity. It was found that chlorfenapyr can effectively control Plutella xylostella, Spodoptera exigua, Mamestra brassicoe, Pieris rapae, Hellula undalis Fabricius, Lipaphis erysimi, Tetranychid mites, Frankliniella occidentalis, and other major vegetable, fruit tree, and cotton pests [18,19,20,21]. Meanwhile, it is effectively against horticultural plant pests, such as Aleyrodiae, Liriomyza, and Altica Goeffroy as well. In particular, chlorfenapyr shows low interactive resistance to carbamate, organophosphorus, and pyrethroid insecticides. Chlorfenapyr is thought to act as an uncoupler in mitochondrial oxidative phosphorylation. It obstructs the conversion of ADP to ATP, leading to an energy metabolism disorder that ultimately causes insect death [22]. Thus, chlorfenapyr is considered an efficient, low-toxicity, target-specific, and environmentally friendly pesticide. In the quest to find more efficient and broad-spectrum compounds, numerous chlorfenapyr backbone-based compounds have been designed and synthesized, and many promising compounds have been obtained [23]. However, due to the widespread application of chlorfenapyr and its degradation properties, some adverse effects, including pest resistance and environmental toxicity, occurred [24]. Chlorfenapyr residues in the environment and their toxic effects on non-target organisms have also raised concerns regarding the need for the development of its hazard evaluation.
In this review, a brief history of the discovery and development of chlorfenapyr is first introduced. Then, the synthesis, structural modification, structure activity relationship, and action mechanism of chlorfenapyr derivatives are summarized. The connection to pest resistance and environmental toxicology is discussed at the end. This comprehensive summary of chlorfenapyr further promotes its progress and sensible application for pest management.
2. Discovery of Chlorfenapyr
Previous studies have revealed that many microorganisms can produce antibiotics with a pyrrole ring, demonstrating potential antibacterial, antifungal, and insecticidal activity (Figure 1). In the 1960s, pyrrolnitrin (1), which contains a pyrrole ring and which originated from Pseudomonas pyrrocinia, was detected as possessing good antibacterial activity [25]. With pyrrolnitrin acting as the lead compound, the arylpyrrolic fungicides fenpicloni (2) and fludioxonil (3) were consequently discovered [26]. After that, a series of arylpyrrole antibiotics from a variety of microbial metabolites, namely pyrolomycin A, B, C, D, E, F (4, 5, 6, 7, 8, 9) and pyoluteorin (10) [2,26,27], were detected. In 1987, researchers at the ACC isolated a strain of Streptomyces fumanus from soil collected in Oklahoma, USA. From the multitudinous metabolites of the microorganism, dioxapyrrolomycin was isolated and detected to have insecticidal activity [28]. Almost at the same time, two research groups from Meiji Seika and the SS Pharmaceutical company found the same metabolites from S. fumanus to have good bactericidal activity [29].
Figure 1.
The structure of aromatic pyrrole antibiotics.
Dioxapyrrolomycin (11) was found to have good acaricidal activity and moderate insecticidal activity (Table 1). However, it showed extremely high toxicity in mice, as the oral toxicity LD50 value of dioxapyrrolomycin in mice was 14 mg/kg (body weight). In spite of this, the simple structure and insecticidal potential of dioxapyrrolomycin still attracted much attention from researchers [29]. Hence, a large number of derivatives of dioxapyrrolomycin were synthesized and tested to determine their activity. Among them, 12 and 13 were found to have excellent insecticidal activity, while 13 causes intolerable plant phytotoxicity due to it acting as the blocker of oxidative phosphorylation. It not only damages the mitochondria of insects but also affects plant chloroplasts. Through further research by the ACC, the precursor compound 14 was synthetized, which could turn into 13 after insect metabolism. The toxicity of 14 is far lower than the mouse oral toxicity LD50 (662 mg/kg) of dioxapyrrolomycin, and 14 has better physical and chemical properties. Ultimately, compound 14 was developed and commercialized as chlorfenapyr, the famous insecticide and acaricide. Since the 1990s, chlorfenapyr has been registered and listed in more than 30 countries worldwide. Its sales volume has exceeded USD 100 million in the global pesticide market [27,28,30].
Table 1.
The biological activities of compounds 11, 13, and 14.
3. Synthesis of Chlorfenapyr and Its Derivatives
3.1. Chlorfenapyr
Compared to dioxypyrrolomycin, chlorfenapyr shows significant changes in its backbone [31]. Firstly, there is one carbon atom between the benzene ring and the pyrrole ring in dioxypyrrolomycin, while the benzene ring and pyrrole ring in chlorfenapyr are directly connected. Secondly, both compounds show significant differences in the substituents located on the benzene and pyrrole rings. Thirdly, chlorfenapyr has an ethoxymethyl group on the pyrrole nitrogen atom, which is a necessary structural modification to address the issue of the phytotoxicity of chlorfenapyr’s parent compound (13).
There are two main routes for chlorfenapyr synthesis (Figure 2). The first route is to use 4-bromopyrrole (4-bromo-2-(4-chlorophenyl)-5-(trifluoromethyl)-1H-pyrrole-3-carbonitrile) and chloromethyl ethyl ether as raw materials with an inorganic base or organic base, which are then catalyzed to synthesize chlorfenapyr. For example, researchers use sodium carbonate or potassium carbonate as a de-acid reagent and carry out a condensation reaction with 4-bromopyrrole and chloromethyl ether to prepare chlorfenapyr, which has a high yield and purity [32]. This route has the advantages of being a simple process and producing a high synthesis yield. Thus, it is suitable for industrial production and has been widely used. However, it is difficult to purchase commercial products of chloromethyl ether, which increases production costs. In addition, chloromethyl ether is a carcinogen that has a negative impact on staff health.
Figure 2.
The conventional synthetic routes of synthesizing chlorfenapyr.
The second process route is to use 4-bromopyrrole to react with diethyloxymethane, phosphoryl chloride, and N,N-dimethylformamide (DMF) under the condition of an organic base, which acts as the acid binding accelerator to synthesize chlorfenapyr. For instance, Cyanamid reported using phosphoryl chloride and DMF to prepare a Vilsmeier reagent. At the same time, they used chlorinate diethyloxymethane to prepare chloromethyl ether. Finally, all of the above materials were subjected to a condensation reaction under the catalysis of triethylamine to obtain chlorfenapyr [33]. BASF revealed their patent application for a production method of the arylpyrrole compound. In the presence of N-ethyl-N,N-diisopropylamine, diethyloxymethane, phosphoryl chloride, and DMF are used to prepare chlorfenapyr, producing a high yield [34]. This route reduces the cost of raw materials and avoids the use the strong carcinogens, such as chlorodimethyl ether. Nevertheless, the reaction wastewater contains a large amount of DMF and phosphate, making the wastewater costly to treat and environmentally unfriendly.
In these two synthetic routes, 4-bromopyrrole (tralopyril) plays the most important role in the synthesis of chlorfenapyr. Tralopyril is a molluscicide reported by the BASF company to kill oncomelania and is widely used as an antifoulant for shipping [35]. Tralopyril is the brominated compound that originates from arylpyrrolonitrile (2-(4-chlorophenyl)-5-(trifluoromethyl)-1H-pyrrole-3-carbonitrile). The synthesis of arylpyrrolonitriles also has been widely studied. Recently, most researchers have begun to use p-chlorophenylglycine as the starting material, which is methylated with trifluoroacetic anhydride (TFAA), ethyl trifluoroacetate (TFAE), trifluoroacetic acid (TFA), 1,1,1-trifluoroacetic, or other trifluoroacetic reagents to obtain these arylpyrrolonitriles. Xu changed the reaction solvent system and used an acid binding agent, which led the bromination reaction rate to improve greatly, and the product yield reached above 90% [36]. On this basis, Fu found that using TFA and diethoxymethane instead of TFAA and dibromomethane could reduce the reaction cost remarkably. The price of the former is about a quarter of that of TFAA and dibromomethane. Meanwhile, this modified route also avoids the use of methylethyl, a strong carcinogen, which greatly improves the economic benefits and production safety [37]. Overall, the synthesis of arylpyrrolonitriles in recent decades has been developed in the direction of producing a high yield and being low-cost, eco-friendly, and healthy. The synthesis of arylpyrrolonitriles is summarized in Table 2.
Table 2.
Synthesis of arylpyrrolenitriles.
3.2. Chlorfenapyr Derivatives
In view of the excellent effect of chlorfenapyr, many agricultural chemical companies, such as the ACC, Bayer, Rhone Poulenc, and Ciba-Geigy continued their commitment to creating new aromatic pyrrole compounds, publishing a large number of patents and discovering many new highly active compounds. These representative high-activity compounds are summarized below, and mainly include pyrrole-ring- and benzene-ring-modified compounds, N-bridged compounds, and amino acid–compound conjugates that are designed based on the “phloem-mobile insecticides” theory.
3.2.1. N-Substituted Derivatives
Arylpyrrole compounds, as oxidative phosphorylation blockers, tend to damage plant chloroplasts [50]. However, N-derivatization in the pyrrole ring turns aryl-pyrroles into precursor pesticides, thereby reducing the amount of plant damage. Thus, a large number of aryl-pyrrole N-derivatives have been synthesized, in which several highly active compounds have been discovered (Figure 3) [2]. As previously mentioned, in compounds 13 and 14 (chlorfenapyr), the N-derivatization of aryl-pyrroles reduced the toxicity to mammals and plant phytotoxicity. In addition, with the introduction of different groups in the N position, the derivatives could obtain larger insecticidal spectra. For example, N-derivatization of the compounds 15a, 15b, and 15c at 10 mg/L showed 100% lethality against the third-instar larvae of Heliothis virescens, Spodoptera eridania, and Empoasca abrupta and the organophosphorus-resistant leaf mite Tetranychus urticae. Meanwhile, these compounds have good activity against Diabrotic undecimpunctata howawdi and Blattella germanica [26]. N-carboxylic acid ester derivatives 16a, 16b, and 16c showed 90–100% lethality against H. virescens, S. eridania, and E. abrupta (at 10 mg/L), and against the organophosphorus-resistant leaf mite T. urticae (at 100 mg/L) [12]. N-cyclopropyl carboxylate derivatives 17a and 17b also have good efficacy against the above pests [51]. N-aminoalkyl carboxylate ester derivatives, such as glycine ester-substituted 18a, 18b, and 19 at 10 mg/L could completely kill the southern armyworm, western potato leafhopper, and tobacco budworm [52]. N-alkylcarbonylaminomethyl and N-arylaminomethyl derivatives 20a and 20b, as well as N-thiomethyl 21, 22, and 23, also have good insecticidal activity against the soybean aphid and leaf beetle [52]. N-oxyaryl derivatives 24 and 25 not only retain their insecticidal and acaricidal activity, but also have excellent nematocidal activities. The N-oxyaryl derivative 25a at 150 mg/L completely controlled Caenorhabditis elegans adults and larvae [31]. A study of the field efficiency of N-methylcarbamate derivative 26 indicated that at 100 mg/L, after 7 days, it had a value of 98% against organophosphorus-resistant leaf mites, which is better than that of chlorfenapyr [35]. Compound 27, with two ester groups substituted on the nitrogen atom, had better insecticidal activity against Mythimna separate, especially when R was a short-chain alkyl group. The mortality of 28 against Culex pipiens pallens reached 100% at 0.10 mg/kg. Compound 29 had very good insecticidal activity against the vermilion mite, with an LD50 of 0.43 mg/L, which was 2.65 times higher than that of chlorfenapyr [52].
Figure 3.
The structure of N-substituted derivatives.
3.2.2. Aryl-Substituted Derivatives
Researchers reported that they replaced the benzene ring of chlorfenapyr with polyfluorinated benzo-1,4-dioxane to obtain new arylpyrrolenes (Figure 4). These compounds displayed biological activity, as 30 and 31 demonstrated insecticidal activities against the corn weevil, leaf mites, and diamondback moth [53,54]. Using a thiophene or furan ring substitute for the benzene ring could improve the new arylpyrrolenes’ insecticidal and acaricidal activities. Compound 32 showed 100% lethality against the southern armyworm and leaf beetles at 300 μg/mL and 50 μg/mL, respectively. It displayed nearly 100% lethality against resistant leaf mites and the tobacco budworm at 300 μg/mL and 100 μg/mL, respectively. Meanwhile, the thiophene-substituted arylpyrrolenes were found to possess an anti-fungal effect against Venturia inaegualis, Plasmopara viticola, Puccinia recondite, Erysiphe graminis, and other plant pathogens [55].
Figure 4.
The structure of aryl-substituted derivatives.
3.2.3. 5-Position-Substituted Derivatives
Trifluoromethyl is a common electron-withdrawing and lipophilic group that presents in position 5 in the pyrrole ring for chlorfenapyr and its homolog. Ciba-Geigy discovered that by using polyfluoroalkyl to replace trifluoromethyl, they could obtain a series of broadly active arylpyrrolenes (Figure 5) [56]. The indoor activity tests showed that these compounds had good effects against Nilaparvata lugens, H. virescens, bean aphid, leaf mite, Lucilia cuprina, Plutella xylostella, and Blattella germanica. Compounds 33a, 33b, and 33c also had excellent fungicidal activity [56,57]. Bayer reported 5-haloalkane sulfur or sulfinyl substitute arylpyrrolenes to be extremely active against lepidopteran pests. Compound 34 at 10 μg/mL showed 100% lethality against P. xylostella [58,59]. Cyanamid tried something similar and developed compound 35 with a similar structure and effect [60,61]. Researchers also tried to rearrange the 3-, 4-, and 5-position substituents CN, Br, and CF3 of chlorfenapyr interchangeably, but the activity was not prominent [62].
Figure 5.
The structure of 5-position-substituted derivatives.
3.2.4. Other Positions Substituted in the Pyrrole Ring
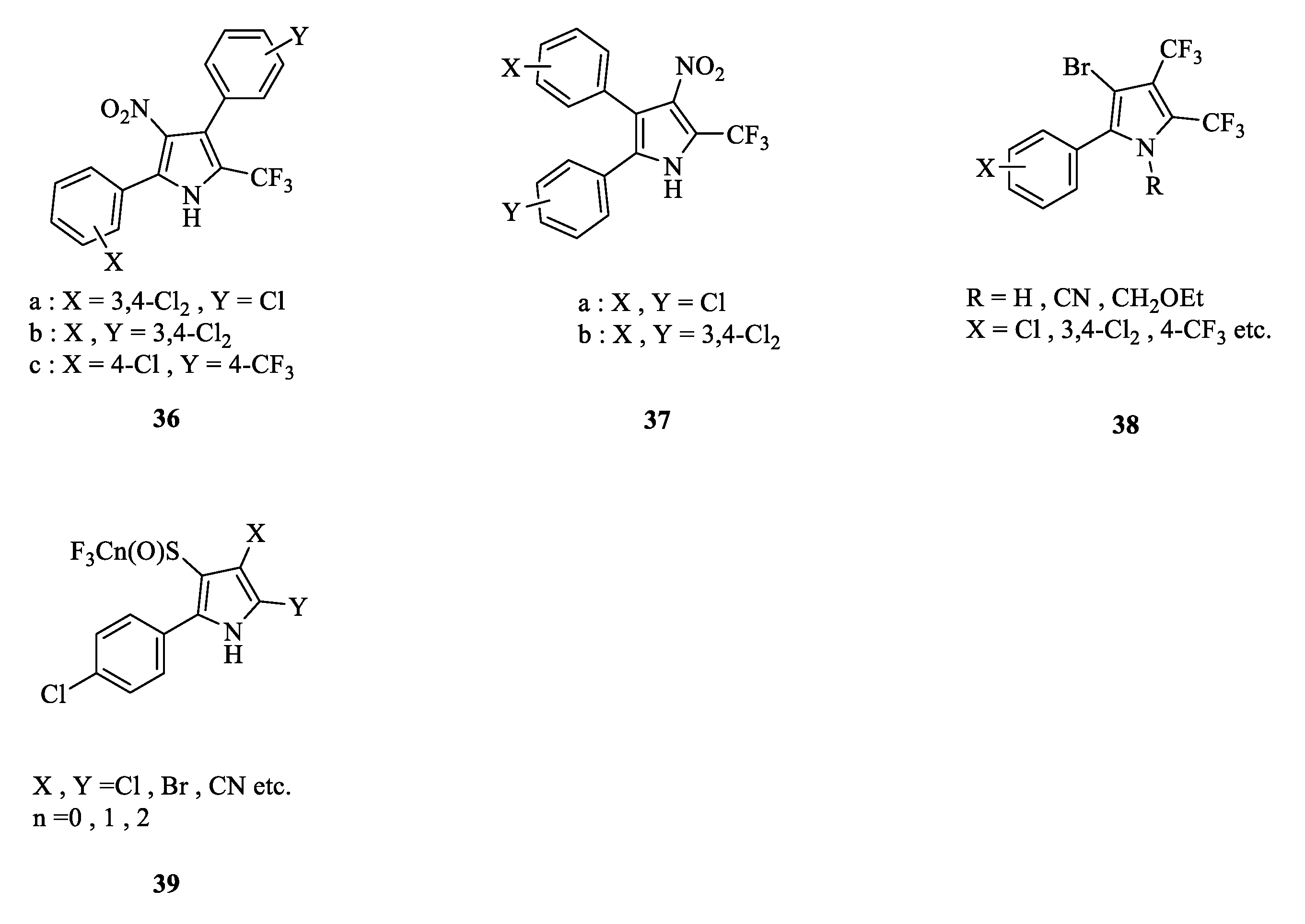
Another benzene ring was introduced in the pyrrole ring to obtain new diarylpyrrolitrile and diarylnitropyrrolitrile compounds (Figure 6). Compound 36 and 37 at 100 μg/mL showed insecticidal activity against the southern armyworm, western potato leafhopper, and tobacco budworm [63]. Similarly, introducing one or more trifluoromethyl groups into the pyrrole ring led to the formation of high-activity bis-trifluoromethyl or tri-trifluoromethyl arylpyrrolenes, such as 38 [64]. For position 3 of the pyrrole ring, researchers attempted to introduce thioamide, haloalkane, sulfur, or sulfinyl one after another, and they obtained several new arylpyrrolenes, including 39, which has good activity for pests, mites, and fungi [65].
Figure 6.
The structure of other position-substituted derivatives.
In summary, N-substituted modifications have led to many derivatives with more prominent insecticidal activity and a broader insecticidal spectrum, which continue to be the hot spots of arylpyrrolene insecticide research and development. Moreover, it can be seen that the introduction of trifluoromethyl and polyfluoroalkyl helps to maintain these compounds’ activity and facilitate their absorption, stabilization, and metabolism within the organism.
3.2.5. Amino Acid Chlorfenapyr Conjugate
The introduction of an endogenous nutrient, such as a monosaccharide or amino acid to the parent insecticide, can enhance plasma membrane permeation and improve the phloem mobility of the conjugate. Based on this, “phloem-mobile insecticides” are designed and synthesized, which are efficient for pest control. For example, a glycosyl fipronil conjugate was synthesized and demonstrated to be involved in the active transport system. An amino acid-herbicide conjugate, 2,4 D-Lys, showed a distinctive distribution in plants due to mediation by the amino acid carrier system [66].
Yang reported that the introduction of glutamic acid or theanine onto pyrrolonitrile obtained several amino acid pyrrolonitrile conjugates [67] (Figure 7). Among them, the glutamic acid pyrrolonitrile conjugate showed good insecticidal activity, while the theanine-pyrrolonitrile conjugate did not. It is noteworthy that the glutamic acid pyrrolonitrile conjugate exhibited insecticidal activity only in the presence of methoxy on a linker arm [68]. Han designed a series of amino acid methyl ester chlorfenapyr conjugates using amide bonds as linker arms. Compound 41a displayed optimal transport properties in rice. Compounds 40, 41b, and 41c showed similar insecticidal activity to chlorfenapyr against S. exigua and P. xylostella. Li obtained nine glutamic acid pyrrolonitrile conjugates with different carbon chain lengths by using click chemistry. These conjugates could improve the transport properties in phloem effectively. And the transport properties improved along with the carbon chain length [69].
Figure 7.
The structure of amino acid chlorfenapyr derivatives.
3.2.6. N-Bridged Chlorfenapyr Derivatives
A bridging method can be used to link two chlorfenapyr derivatives together, forming a N-bridged aryl pyrrole derivative (Figure 8). These compounds maintain the insecticidal activity of their parent while reducing the toxicity to plants and mammals and broadening their insecticidal spectrum [53]. Compounds 42, 43, and 44 at a high concentration (50 mg/kg) showed significant insecticidal activity against M. separate, which was close to that of chlorfenapyr. However, the effects of 43 and 44 were far lower than that of chlorfenapyr when at a medium concentration (20 mg/kg). For the larvae of Culex acutus, 42 and 43 at 0.5 mg/kg caused 100% mortality, which is similar to that of chlorfenapyr. However, 44 demonstrated no activity at all. For T cinnabarinus, 43 possessed an equivalent effect to that of chlorfenapyr at 200 mg/kg. But 42 and 44, at the same dose, only led to half the mortality of chlorfenapyr or no activity, respectively [70].
Figure 8.
The structure of N-bridged chlorfenapyr derivatives.
3.3. Structure Activity Relationship
Extensive research on the structure activity relationship of arylpyrrolenes has been conducted (Figure 9). As shown for 45, different substitutions on the pyrrole ring are listed in Figure 9. Based on a large number of indoor and field experimental studies, it was found that when positions 2- and 3 of the pyrrole ring are replaced by an aryl group and electron-withdrawing group (EWG), respectively, and another position is also substituted once, the pyrrolenes show good insecticidal and acaricidal activity. Therefore, the general structure of arylpyrrole is represented by 46 [27,28]. On this basis, further research has certified the following: (1) When both X and Y are Cl or Br, the compounds have almost the same insecticidal activity. However, when X is replaced by Cl or Br and Y is substituted by CF3, the obtained compounds have the strongest activity. (2) When EWG is NO2, CN or SO2CF3, the compounds have no significant difference in activity. (3) When R1 is the electron-donating group, alkyl or alkoxy substitution weakens the compound’s activity. Meanwhile, if R1 is changed to an EWG or lipophilic group, such as Cl, Br, or CF3, then substitution on position 4 of the benzene ring is preferred, which could strengthen the insecticidal and acaricidal activity. (4) As a precursor pesticide, alkyl or alkoxy substitution is the most suitable for position N. In addition, weakly acidic NH2 groups are required for the uncoupling action. Therefore, there is a strong correlation between compound acidity (pKa), lipophilicity (lgP), and insecticidal activity. The compounds exhibit high insecticidal activity only in the appropriate parameter range [71,72].
Figure 9.
Structure activity relationship of arylpyrrole.
4. Mode of Action of Chlorfenapyr
Arylpyrroles are mitochondrial oxidative phosphorylation uncouplers in insects. They can damage mitochondria by disturbing the proton gradient in the mitochondrial membrane and inhibiting the conversion of adenosine diphosphate (ADP) to adenosine triphosphate (ATP) (Figure 10) [73]. This further causes cell death and ultimately kills pests. As an oxidative phosphorylation uncoupler, the compound should possess appropriate acidity and lipophilicity. Chlorfenapyr is a lipophilic compound with an lgP value of 4.6 at a pH range of 2.4 to 11.0. However, chlorfenapyr does not demonstrate acidity before removing N-substituent group. The lgP and pKa values of proton type N-H arylpyrrole are 5 and 7.6, respectively [23,74]. Hence, chlorfenapyr is a precursor pesticide that only works after removing the N-ethoxymethyl groups using oxidases in insects. The research indicates that the microsomal monooxygenase inhibitor piperonyl butoxide significantly reduced the toxicity of chlorfenapyr against the potato leaf beetle, but it had no effect on CL303268 (the successor of chlorfenapyr). Additionally, the respiratory rate is a key physiological effect phenomenon induced by uncoupling agents. CL303268 at 20 nmol/L doubled the respiratory rate in rats and inhibited it as the concentration increased [23].
Figure 10.
Schematic diagram of mode of action of chlorfenapyr.
5. Resistance of Chlorfenapyr
Chlorfenapyr, as a mitochondrial oxidative phosphorylation uncoupler, has no specific gene or protein target resistance in theory. But this not means it does not have any resistance risk. For example, T. urticae is a well-known pest with a wide range of hosts worldwide. Herron reported that in Australian nectarine orchards, T. urticae developed a 2.9-fold resistance to chlorfenapyr compared to other pesticides, and this value will increase to 8.7-fold in future [75,76]. It was found that chlorfenapyr may have cross-resistance when combined with other insecticides. Citing another case, in Pakistan, Earias vittella and bollworm were found to have 7.7- and 74-fold resistance to chlorfenapyr, respectively. As chlorfenapyr was not commercially available in Pakistan at the time of the study, the researchers attributed the high resistance to chlorfenapyr to its cross-resistance with permethrin [57,59]. Another study showed that in Belgium, T. urticae (MR-VL), a strain with extremely high resistance to bifenthrin, dicofol, and dimethoate, had a 154-fold cross-resistance after the use of chlorfenapyr [60]. According to these reports, the resistance of pests and mites to chlorfenapyr is mostly due to cross-resistance with conventional insecticides. However, there was no target-insensitive cross-resistance found between chlorfenapyr and conventional insecticides. Guessan found that an Anopheles gambiae multi-resistant strain with kdr genes (for resistance to pyrethroids and DDT), Rdl genes (for resistance to dieldrin), and Ace-lR genes (for acetylcholinesterase insensitivity) has no cross-resistance to chlorfenapyr [61].
The resistance of pests or mites to chlorfenapyr is closely related to detoxification metabolizing enzymes. Insect detoxification enzymes are a kind of heterogeneous enzyme that metabolizes large amounts of endogenous or exogenous substrates, allowing insects to survive by rapidly responding to drug stresses. Multifunctional oxidase (MFO) is an important kind of oxidative metabolism enzyme in insects that plays a major role in the oxidative metabolism of exogenous and endogenous compounds, including insecticides. Its content and activity are closely related to insects’ adaptation, resistance, and antimicrobial resistance. T. urticae’s resistance to chlorfenapyr is associated with the increasing activity of esterases and P450 monooxygenases and the reducing activity of the peroxidation reaction [59,77]. For example, the enhanced esterase activity in the bollworm is a major mechanism in its high resistance to pyrethroids and cross-resistance to chlorfenapyr [77]. The MFO of Choristoneura rosaceana and T. urticae are correlated to the resistance to chlorfenapyr [78]. Treated with an MFO or glutathione-S-transferase inhibitor improves these pests’ sensitiveness to cypermethrin and chlorfenapyr.
6. Environmental Toxicology of Chlorfenapyr
Studies have shown that chlorfenapyr has a strong binding force with soil particles, as well as low water solubility and volatility. Chlorfenapyr degrades slowly in soil, sediment, and water, with an average half-life of 1.0 year, 1.1 years, and 0.8 years, respectively [79]. In the past few years, chlorfenapyr was recommended for use on rice to control resistant insects. Accordingly, chlorfenapyr might be released into aquatic environments more easily through spray drift or surface runoff after rainfalls. Chlorfenapyr was detected in northwest Mississippi, with sediment concentrations of up to 2.03 μg/L [80]. In light of the popularity of chlorfenapyr, the potential risks it causes to the environment and non-target organisms have attracted researchers’ attention. The toxic effects of chlorfenapyr have been reported in ducks, fish, silkworm, and mice. It has moderate oral toxicity (LD50 = 662 mg/kg bw for mouse by mouth) and low transdermal toxicity in mammals (LD50 > 2000 mg/kg bw for rabbit by skin). However, aquatic organisms, birds, and bees are sensitive to chlorfenapyr [81]. For explanatory purposes, the chlorfenapyr used against Japanese carp resulted in an LC50 = 0.5 μg/L; in rainbow trout, LC50 = 7.4 μg/L; in earthworm, LD50 = 22 mg/kg; in quail, LD50 = 34 mg/kg; in wild duck, LD50 = 10 mg/kg; in honey bee, LD50 = 0.2 μg each [82] (Figure 11).
Figure 11.
Schematic diagram of chlorfenapyr transfers in the environment and its toxicity in target and non-target organisms.
Consequently, it is vital to re-evaluate the toxic effects and explore the mechanism of action of chlorfenapyr on non-target organisms. As seen in Table 3, Chen found that chlorfenapyr has high bioaccumulation in zebrafish, with bioaccumulation factors of 864.6 and 1321.9 after 21 days of exposure to 1.0 and 10 μg/L of chlorfenapyr, respectively. Furthermore, chlorfenapyr chronic exposure caused oxidative damage, apoptosis, and immune disorders in zebrafish liver [80]. It also altered the levels of endogenous metabolites in the liver and brain. As for humans, a few fatal toxicity cases of chlorfenapyr have been reported. The characteristic features of chlorfenapyr intoxication are high fever and rhabdomyolysis, which gradually worsen until death [83]. Studies have shown that chlorfenapyr ingestion causes damage to high-energy organs, such as the brain, kidney, muscles, and heart. Chlorfenapyr also induces delayed injury, such as Leigh’s disease or mitochondrial neurogastrointestinal encephalopathy, and ultimately results in death [84,85]. Considering the widespread use of chlorfenapyr, non-target organisms, particularly humans, may face potential threats to their health. Ren reported that chlorfenapyr induced toxicity in human hepatocytes (HepG2) and induced cellular mitochondrial damage associated with reactive oxygen species accumulation and calcium overload. In addition, DNA damage and cell cycle arrest were detected in cells treated with chlorfenapyr [67]. Although chlorfenapyr is a promising insecticide, due to its high environmental persistence and potential toxic effects on non-target organisms, chlorfenapyr has been banned or its use has been limited in some countries, such as Europe and the United States [25].
Table 3.
Toxicity and toxicology of chlorfenapyr on non-target organisms.
7. Conclusions
Chlorfenapyr and its derivatives, due to their excellent activity, wide insecticidal spectrum, and unique mode of action, have become commonly used as insecticides worldwide. The discovery and development of chlorfenapyr is a typical successful example of creating new insecticide lead compounds based on the design and modification of natural products. It can also act as a reference for the development of more new insecticides in the future. However, challenges and limits still exist, such as the resistance, residual toxicity to non-target organisms and in-depth mechanism exploration. Nevertheless, recent advances will lead to a solution for these issues, and will promote the development and reasonable application of chlorfenapyr for pest management.
Author Contributions
P.H. and X.Y.: investigation, conceptualization and writing. X.H. and B.Y.: data curation and visualization. P.H. and L.L.: writing—review and editing. Y.R.: conceptualization, supervision, writing and supervision. All authors have read and agreed to the published version of the manuscript.
Funding
This study was supported by the National Natural Science Foundation of China (32102254).
Institutional Review Board Statement
Not applicable.
Informed Consent Statement
Not applicable.
Data Availability Statement
Not applicable.
Conflicts of Interest
The authors declare no conflict of interest.
References
- He, X.; Lu, L.; Huang, P.; Yu, B.; Peng, L.; Zou, L.; Ren, Y. Insect cell-based models cell line establishment and application in insecticide screening and toxicology research. Insects 2023, 14, 104. [Google Scholar] [CrossRef] [PubMed]
- Brown, D.G.; Siddens, J.K.; Diehl, R.E.; Wright, D.P. Arylpyrrole Insecticidal Acaricidal and Nematicidal Agents and Methods for the Preparation. U.S. Patent 5,010,098, 23 April 1991. [Google Scholar]
- Ren, Y.; He, L.; Jin, H.; Jin, H.; Tao, K.; Hou, T.P. Cytotoxicity evaluation and apoptosis-inducing effects of furanone analogues in insect cell line SL2. Food Agric. Immunol. 2018, 29, 964–975. [Google Scholar] [CrossRef]
- Zhao, X.M.; Zhang, Y.F.; Chen, L.; Ma, Z.Q.; Zhang, B. Chitosan-thymol nanoparticle with pH responsiveness as a potential intelligent botanical fungicide against Botrytis cinerea. Pestic. Biochem. Physiol. 2023, 195, 105571. [Google Scholar] [CrossRef] [PubMed]
- Ren, Y.; Yang, N.; Yue, Y.; Jin, H.; Tao, K.; Hou, T.P. Investigation of novel pyrazole carboxamides as new apoptosis inducers on neuronal cells in Helicoverpa zea. Bioorg. Med. Chem. 2018, 26, 2280–2286. [Google Scholar] [CrossRef] [PubMed]
- Ren, Y.H.; Jin, H.; Tao, K.; Hou, T.P. Apoptotic effects of 1, 5-bis-(5-nitro-2-furanyl)-1, 4-pentadien-3-one on Drosophila SL2 cells. Mol. Cell. Toxicol. 2015, 11, 187–192. [Google Scholar] [CrossRef]
- Sharma, S.; Sahu, B.K.; Cao, L.D.; Bindra, P.; Kaur, K.; Chandel, M.; Koratkar, N.; Huang, Q.L.; Shanmugam, V. Porous nanomaterials: Main vein of agricultural nanotechnology. Prog. Mater. Sci. 2021, 121, 100812. [Google Scholar] [CrossRef]
- Ren, Y.; Li, Q.; Lu, L.; Jin, H.; Tao, K.; Hou, T.P. Isochamaejasmin induces toxic effects on Helicoverpa zea via DNA damage and mitochondria-associated apoptosis. Pest Manag. Sci. 2021, 77, 557–567. [Google Scholar] [CrossRef] [PubMed]
- Ren, Y.; Li, Q.; Lu, L.; Jin, H.; Tao, K.; Hou, T.P. Toxicity and physiological actions of biflavones on potassium current in insect neuronal cells. Pestic. Biochem. Physiol. 2021, 171, 104735. [Google Scholar] [CrossRef]
- Ren, Y.; Shi, J.; Mu, Y.; Tao, K.; Jin, H.; Hou, T.P. AW1 neuronal cell cytotoxicity: The mode of action of insecticidal fatty acids. J. Agric. Food Chem. 2019, 67, 12129–12136. [Google Scholar] [CrossRef]
- Ren, Y.; Mu, Y.; Yue, Y.; Jin, H.; Tao, K.; Hou, T. P. Neochamaejasmin A extracted from Stellera chamaejasme L. induces apoptosis involving mitochondrial dysfunction and oxidative stress in Sf9 cells. Pestic. Biochem. Physiol. 2019, 157, 169–177. [Google Scholar] [CrossRef]
- Sparangis, P.; Rumbos, C.I.; Tsiropoulos, N.G.; Athanassiou, C.G. Insecticidal and residual effect of chlorfenapyr on different surfaces for the control of Sitophilus oryzae. J. Stored Prod. Res. 2023, 103, 102153. [Google Scholar] [CrossRef]
- Chen, D.X.; Gong, J.H.; He, L.; Yang, Y.L.; Wang, P.; Fang, G.R.; Wang, C.D.; Chen, S.X. Research progress on extraction and applicationg of nicotine. Guangzhou Chem. Ind. 2021, 49, 1–4. [Google Scholar]
- Xu, H.H.; Huang, J.G. Advances in the researth of rotenone. J. Southwest Agric. Univ. 2001, 140–143. [Google Scholar]
- Huang, D.M.; Shi, D.N.; Li, D.X.; Tian, M.; Guo, X. Preliminary study on insecticidal activity of derris trifoliate extract against Megualurothrips usitatus. For. Environ. Sci. 2020, 36, 71–74. [Google Scholar]
- Zhou, W.S. Marine toxins. Org. Chem. 1984, 193–197. [Google Scholar]
- Wang, Y. Design and Synthesis, Evalution of Fungicidal Activity and Mechanism of Action of Novel Pyrazole-Pyridine Molecules; Hebei Agricultural University: Baoding, China, 2023. [Google Scholar]
- Fang, M. Development of 20.3% Emamectin Benzoate·Chlorfenapyr Dry Flowable for Controlling Spodoptera frugiperda; Sichuan Agricultural University: Ya’an, China, 2022. [Google Scholar]
- Xie, H.J. Stereoscopic Control Methods for Kiwifruit Canker Disease; Horticulture Research Institute of Sichuan Academy of Agricultural Sciences: Chengdu, China, 2015. [Google Scholar]
- Tian, F.J. Study on Resistance and Mechanism of Asian citrus psyllid, Diaphorina citri to Imidacloprid; South China Agricultural University: Guangzhou, China, 2022. [Google Scholar]
- Pei, H.; Ou, X.M.; Wang, Y.J.; Yu, K.; Lin, X.M. Toxicity and mode of action of chlorfenapyr against insects. Mod. Agrochem. 2006, 5, 33–35. [Google Scholar]
- Black, B.C.; Hollingworth, R.M.; Ahammadsahib, K.I.; Kukel, C.D.; Donovan, S. Insecticidal action and mitochondrial uncoupling activity of AC-303,630 and related halogenated pyrroles. Pestic. Biochem. Physiol. 1994, 50, 115–128. [Google Scholar] [CrossRef]
- Yang, J.C.; Dai, R.H.; Liu, Y.P.; Wu, Q.; Liu, C.L. Recent advance and synthesis on pesticides of pyridine series. Pesticide 2011, 50, 625–629+648. [Google Scholar]
- Wang, X.; Martínez, M.A.; Wu, Q.; Ares, I.; Martínez-Larrañaga, M.R.; Anadón, A.; Yuan, Z. Fipronil insecticide toxicology: Oxidative stress and metabolism. Crit. Rev. Toxicol. 2016, 46, 876–899. [Google Scholar] [CrossRef]
- Pachlatko, J.P. Natural Products in Crop Protction. In Proceedings of the 2nd International Electronic Conference on Synthetic Organic Chemistry, Online, 1–30 September 1998. [Google Scholar]
- Ligon, J.M.; Hill, D.S.; Hammer, P.E.; Torkewitz, N.R.; Hofmann, D.; Kempf, H.J.; Pée, K.H. Natural products with antifungal activity from Pseudomonas biocontrol bacteria. Pest Manag. Sci. Former. Pestic. Sci. 2000, 56, 688–695. [Google Scholar] [CrossRef]
- Ruan, L. Discovery and review of pyrrole insecticides. Pestic. Transl. 1995, 24–31. [Google Scholar]
- Addor, R.W.; Babcock, T.J.; Black, B.; Brown, D.G.; Diehl, R.E.; Furch, J.A.; Kameswaran, V.; Kanhi, V.M.; Kremer, K.A.; Kuhn, D.G.; et al. Insecticidal pyrroles: Discovery and overview. In Synthesis and Chemistry of Agrochemicals III; ACS Publication: Washington, DC, USA, 1992; pp. 283–297. [Google Scholar]
- Zhao, Y.; Mao, C.; Li, Y.; Zhang, P.; Huang, Z.; Bi, F.; Huang, R.; Wang, Q. Synthesis, crystal structure, and insecticidal activity of novel N-alkyloxyoxalyl derivatives of 2-arylpyrrole. J. Agric. Food Chem. 2008, 56, 7326–7332. [Google Scholar] [CrossRef] [PubMed]
- Xu, S.C.; Jiang, M.G. Research & development of chlorfenapyr. Pesticide 2003, 5–8. [Google Scholar]
- Ma, Q.Q.; Liu, Y.X.; Zhang, P.X.; Li, Y.Q.; Xiong, L.X.; Wang, Q.M. Design, synthesis, and biological evaluation of various alpha-substituted benzylpyrroles based on the structures of insecticidal chlorfenapyr and natural pyrrolomycins. J. Agric. Food Chem. 2014, 62, 6072–6081. [Google Scholar] [CrossRef] [PubMed]
- Wang, Z.J.; Wang, J.C.; Liu, X.L.; Wang, X.F.; Luo, R.S. Production Process of a Mixed Catalyst for Catalytic Synthesis of Imidacloprid. CN 110218170A, 10 September 2019. [Google Scholar]
- Robert, F.D.; Jerry, M.B. Alkoxymethylation of Pyrroles. U.S. Patent 5,359,090A, 25 October 1994. [Google Scholar]
- Ding, P.J.; Ni, J.F.; Zhao, S.X. A Synthesis Method of Bromfenitrile. CN 116082211A, 9 May 2023. [Google Scholar]
- Dai, J.L.; Chen, M.Y.; Xiang, W.Q.; Zhang, Y.Y.; Zhao, W.J. Progress in the synthesis of chlorfenapyr intermediate 2-(4-chlorophenyl)-5-(trifluoromethyl)-1h-pyrrole-3-carbonitrile. Organo-Fluor. Ind. 2019, 45–49. [Google Scholar]
- Xu, S.C.; Jiang, M.G.; Yu, Y.F.; Wang, X.J.; Wan, Q.; Xu, Z.Z. Synthesis of insecticide chlorfenapyr. J. Nanjing Agric. Univ. 2004, 27, 105–108. [Google Scholar]
- Fu, Q.; Zhang, X.M.; Yao, W.; Kong, X.L.; Lu, Q. Synthesis of chlorfenapyr. Agrochemicals 2006, 385–386+391. [Google Scholar]
- Herman, R.A.; Kukel, C.F. Method of Bait Compositions for Controlling Mollusks. EP 312723, 26 April 1989. [Google Scholar]
- Froyd, J.D.; Simith, D.B. Method of Controlling Phytopathogenic Fungi. EP 358047, 14 March 1990. [Google Scholar]
- Kameswaran, V.; Doehner, R.F., Jr.; Barton, J.M.; George, K.D. 2-aryl-5-(trifluoromethyl)-2-pyrroline Compounds and Process for the Manufacture of Insecticidal, 2-aryl-1-(alkoxymethyl)-4-halo-5-(trifluoromethyl) Pyrroles. EP 492171, 1 July 1992. [Google Scholar]
- Kameswaran, V. Synthesis of 2-aryl-5-(trifluoromethyl) Pyrroles Useful as Pesticidal Agents and as Intermediates for the Preparation of Said Agents. U.S. Patent 5,128,485, 7 July 1992. [Google Scholar]
- Kameswaran, V. Process for the Prepapation of Insecticidalnematicidal and Acaricidal 4-substituted-5-(trifluoro-methyl)-pyrrole-3-carbonitrile Compounds. U.S. Patent 5,106,985, 21 April 1992. [Google Scholar]
- Lu, Y.; Li, C.; Tao, J. New Synthesis Method for a new arylpyrrole insecticide chlorfenapyr. Mod. Agrochem. 2007, 6, 22. [Google Scholar]
- Lu, Y.; Li, C.R.; Tao, J.C.; Zhang, Z.R.; Xu, G.H.; Zhang, J. New synthesis method for arylpyrrole insecticide chlorfenapyr. Chem. Technol. Dev. 2007, 8–11. [Google Scholar]
- Cheng, Y.N.; Xie, G.Y.; Sun, S.J.; You, X.F. New method for synthesis of chlorfenapyr. Pesticide 2010, 560–562+580. [Google Scholar]
- Kameswaran, V. Process for the Preparation of 2-aryl-5-(perfluoroalkyl) pyrrole Compounds from N-(perfluoro-alkylmethyl) Arylimidoyl Chloride Compounds. U.S. Patent 5,965,773, 12 October 1999. [Google Scholar]
- Kameswaran, V. Process for the Preparation of 2-aryl-5-(perfluoro-alkyl) pyrrole Compounds from N-(perfluo-roalkyl-methyl) Arylimidoyl Chloride Compounds. U.S. Patent 5,817,834, 6 October 1998. [Google Scholar]
- Kameswaran, V. Process for the Preparation of Insecticidal, Acaricidal and Nematicidal 2-aryl-3-substituted-5-(trifluoromethyl) Pyrrole Compounds. U.S. Patent 5,225,568, 6 July 1993. [Google Scholar]
- Kameswaran, V. Process for the Manufacture of 2-aryl-5 Perfluoroalkylpyrrole Derivatives. U.S. Patent 5,777,132, 7 July 1998. [Google Scholar]
- Sun, G.Q.; Lu, Y.T. Mechanism, application and developmental future of chlorfenapyr. Anhui Agric. Sci. Bull. 2007, 13, 69–71. [Google Scholar]
- Hong, T.W.; Jimenez, D.R.; Molinski, T.F. Agelastatins C and D, new pentacyclic bromopyrrolrs from the Sponge Cymbastela sp.; and potent aryhropod toxicity of(-)-agelastain a. J. Nat. Prod. 1998, 61, 15–161. [Google Scholar] [CrossRef] [PubMed]
- Zhao, Y.; Li, Y.; Ou, X.; Zhang, P.; Huang, Z.; Bi, F.; Huang, R.; Wang, Q. Synthesis, insecticidal, and acaricidal activities of novel 2-aryl-pyrrole derivatives containing ester groups. J. Agric. Food Chem. 2008, 56, 10176–10182. [Google Scholar] [CrossRef] [PubMed]
- Wang, T.T.; Zhang, C.N. Effects of chlorfenapyr on detoxifying enzyme activities of diamondback moth, Plutella xylostella. Acta Agric. Boreali-Occident. Sin. 2014, 23, 196–200. [Google Scholar]
- Li, R.J.; Wang, K.Y.; Xia, X.M. Resistance selection by meilingmycin and chlorfenapyr and activity changes of detoxicated enzymes in Tetranychus urticae. J. Plant Prot. 2005, 32, 309–313. [Google Scholar]
- Ahmad, M.; Hollingworth, R.M. Synergism of insecticides provides evidence of metabolic mechanisms of resistance in the obliquebanded leafroller choristoneura rosaceana (Lepidotera: Tortricidae). Pest Manag. Sci. Former. Pestic. Sci. 2004, 65, 465–473. [Google Scholar] [CrossRef] [PubMed]
- Ahmad, M.; Arif, M. Resistance of Pakistani field populations of spotted bollworm Earias vittella (Lepidotera: Noctuidae) to pyrethroid, organophosphorus and new chemical insecticides. Pest Manag. Sci. Former. Pestic. Sci. 2009, 65, 433–439. [Google Scholar] [CrossRef] [PubMed]
- Uhr, H.; Marhold, A.; Andres, P.; Erdelen, C.; Wachendorff-Neumann, U.; Stendel, W. Substituted 2-arylpyrroles. U.S. Patent 5,233,051, 3 August 1993. [Google Scholar]
- Barnes, K.D.; Hu, Y.; Diehl, R.E.; Kamhi, V.M. Insecticidal 2-aryl-5-haloalkylthio-sulfinyl-, and sulfonylpyrroles. In Synthesis and Chemistry of Agrochemicals V; ACS Publication: Washington, DC, USA, 1998; pp. 157–167. [Google Scholar]
- Van Leeuwen, T.; Stillatus, V.; Tirry, L. Genetic analysis and cross-resistance spectrum of a laboratory-selected chlorfenapyr resistant strain of two-spotted spider mite (Acari: Tetranychidae). Exp. Appl. Acarol. 2004, 32, 24–261. [Google Scholar] [CrossRef]
- Van Leeuwen, T.; Van Pottelberge, S.; Tirry, L. Comparative acaricide susceptibility and detoxifying enzyme activities in field-collected resistant and susceptible strains of Tetranychus urticae. Pest Manag. Sci. Former. Pestic. Sci. 2005, 61, 499–507. [Google Scholar] [CrossRef]
- N’Guessan, R.; Boko, P.; Odjo, A.; Akogbéto, M.; Yates, A.; Rowland, M. Chlorfenapyr:a pyrrole insecticide for the control of pyrethroid and DDT resistant Anopheles gambiae (Diptera: Culicidae) malaria vectors. Acta Tropica. 2007, 102, 69–78. [Google Scholar] [CrossRef]
- Mascarenhas, R.N.; Boethel, D.J. Response of field-collected strains of soybean Looper (Lepidoptera: Noctuidae) to selected insecticides using an artificial diet overlay bioassay. J. Econ. Entomol. 1997, 90, 1117–1124. [Google Scholar] [CrossRef]
- Kuhn, D.G.; Furch, J.A.; Kamhi, V.M. Insecticidal and Acaricidal Diarylpyrrolcarbonitrile and Diaryni-Tropyrrole Compounds. U.S. Patent 5,180,734, 30 November 1990. [Google Scholar]
- Kameswaran, V.; Kamhi, V.M. Bis-and Tris(Trifluoromethyl) Arylpyrrole Insecticidal and Acaricidal Agents. U.S. Patent 5,157,047, 18 October 1990. [Google Scholar]
- Brown, D.; Diehl, R.E.; Lowen, G.T.; Wright, D.P.; Kukel, C.F.; Herman, R.A.; Addor, R.W. Pyrrole Carbonitrile and Nitropyrrole Insecticidal, Acaricidal and Molluscicidal Agents and Methods for the Preparation Thereof. U.S. Patent 5,162,308, 15 October 1991. [Google Scholar]
- Roblin, G.; Bonnemain, J.L.; Chollet, J.F. Auxinic herbicide conjugates with an α-amino acid function: Structural requirements for biological activity on motor cells. Plant Physiol. Biochem. 2020, 155, 444–454. [Google Scholar] [CrossRef] [PubMed]
- Yang, W.; Chen, Y.; Zhang, Y.; Gao, X.B.; Zhou, Y.F. Effects of introducing theanine or glutamic acid core to tralopyril on systemicity and insecticidal activity. Pestic. Biochem. Physiol. 2017, 141, 29–40. [Google Scholar] [CrossRef] [PubMed]
- Li, T.X. Influence of Straight Chain Carbon Lengths on Phloem Mobility Andinsecticidal Activity of New Tralopyril Derivatives; Guizhou University: Guiyang, China, 2022. [Google Scholar]
- Han, S. Synthesis and Mobility of Amino Acid-Chlorfenapyr Oriented Pesticide; South China Agricultural University: Guangzhou, China, 2023. [Google Scholar]
- Mao, C.H.; Zhao, M.; Li, Y.Q.; Huang, R.Q.; Bi, F.C.; Wang, Q.M. Synthesis, crystal structure, insecticidal and acaricidal activities of novel N-bridged derivatives of 2-(p-chlorophenyl) pyrrole. Chin. J. Org. Chem. 2009, 29, 929–935. [Google Scholar]
- Ishaaya, I.; Horowitz, A.R. Insecticides with Novel Modes of Action: An Overview; Springer: Berlin, Germany, 1998. [Google Scholar]
- Tang, Z.H.; Bi, Q. Molecular Behavior of Insecticide Action; Shanghai Far East Publishers: Shanghai, China, 2003. [Google Scholar]
- Zhang, L.; Ou, X.M.; Pei, H. A review on pyrrole compounds with insecticidal and miticidal activity. Fine-Scale Chem. Intermed. 2009, 39, 1–6. [Google Scholar]
- Treacy, M.; Miller, T.P.; Black, B.C.; Gard, I.; Hunt, D.; Hollingworth, R.M. Uncoupling activity and pesticidal propertier of pyrroles. Biochem. Soc. Trans. 1994, 22, 244–247. [Google Scholar] [CrossRef]
- Herron, G.A.; Rophail, J. First detection of chlorfenapyr resistance in two-spotted spider mite (Acari: Tetranychidae) from nectarines in an Australian orchard. Exp. Appl. Acarol. 2003, 31, 131–134. [Google Scholar] [CrossRef]
- Herron, G.A.; Rophail, J.; Wilson, L.J. Chlorfenapyr resistance in two-spotted spider mite (Acari: Tetranychidae) from Australian cotton. Exp. Appl. Acarol. 2004, 34, 315–321. [Google Scholar] [CrossRef]
- Van Leeuwen, T.; Van Pottelberge, S.; Tirry, L. Biochemical analysis of a chorfenapyr-selected resistant strain of Tetranychus urticae Koch. Pest Manag. Sci. Former. Pestic. Sci. 2006, 62, 425–433. [Google Scholar] [CrossRef]
- Gunning, R.V.; Moores, G.D. Chlorfenapyr resistance in Helicoverpa armigera in Australia. In British Crop Protection Conference on Pests & Disease; British Crop Protection Council: London, British, 2002; pp. 793–798. [Google Scholar]
- Ren, Y.; He, X.; Yan, X.; Yang, Y.; Li, Q.; Yao, T.; Lu, L.; Peng, L.; Zou, L. Unravelling the polytoxicology of chlorfenapyr on non-target HepG2 cells: The involvement of mitochondria-mediated programmed cell death and DNA damage. Molecules 2022, 27, 5722. [Google Scholar] [CrossRef]
- Chen, X.; Zheng, J.; Teng, M.; Zhang, J.; Qian, L.; Duan, M.; Zhao, F.; Zhao, W.; Wang, Z.; Wang, C. Bioaccumulation, metabolism and the toxic effects of chlorfenapyr in zebrafish (Danio rerio). J. Agric. Food Chem. 2021, 69, 8110–8119. [Google Scholar] [CrossRef] [PubMed]
- Giddings, J.M.; Williams, W.M.; Solomon, K.R.; Giesy, J. Risks to aquatic organisms from use of chlorpyrifos in the United States. In Ecological Risk Assessment for Chlorpyrifos in Terrestrial and Aquatic Systems in the United States; Springer: Berlin, Germany, 2014; pp. 119–162. [Google Scholar]
- Fahed, C.; Hayar, S. Conventional vs. organic cucumber production in lebanon: Risk assessment of the recommended agrochemicals on consumer health and the environment. Chem. Afr. 2021, 4, 463–476. [Google Scholar] [CrossRef]
- Gao, S.Y.; Lu, Y.T.; Zhou, P.; Liu, Q. DNA damaging effects of chlorfenapyr on rat peripheral blood lymphocytes. Pesticide 2005, 44, 34–36. [Google Scholar]
- Chen, X.J.; Li, X.Y. DNA damage of spleen, liver and renal cells of mice by chlorfenapyr. Environ. Occup. Med. 2005, 02, 145–148. [Google Scholar]
- Li, H.Y.; Yan, D.Y.; Xu, M.; Tao, Y.Z.; Wang, R. Study on subchronic toxicity of chlorfenapyr in rats. Chin. J. Ind. Med. 2008, 254–256. [Google Scholar]
- Sleem, F.; Elalfy, M.M.; Abd Allah, A.A.; Hamed, M.F.; Abomosallam, M. Developmental and ultrastructure toxicity of greenhouse insecticide chlorfenapyr in rat fetuses. Am.-Eurasian J. Toxicol. Sci. 2019, 11, 1–10. [Google Scholar]
- Al-Sarar, A.S.; Abobakr, Y.; Bayoumi, A.E.; Hussein, H.I. Cytotoxic and genotoxic effects of abamectin, chlorfenapyr, and imidacloprid on CHOK1 cells. Environ. Sci. Pollut. Res. 2015, 22, 17041–17052. [Google Scholar] [CrossRef]
- Davy, R.B.; Campos, S.; Lynch, A.M. Acute chlorfenapyr toxicity in 3 dogs from a single household. J. Vet. Emerg. Crit. Care 2019, 29, 686–689. [Google Scholar] [CrossRef]
- Choi, J.T.; Kang, G.H.; Jang, Y.S.; Ahn, H.C.; Seo, J.Y.; Sohn, Y.D. Fatality from acute chlorfenapyr poisoning. Clin. Toxicol. 2010, 48, 458–459. [Google Scholar] [CrossRef]
- Kang, C.; Kim, D.H.; Kim, S.C.; Kim, D.S. A patient fatality following the ingestion of a small amount of chlorfenapyr. J. Emergencies Trauma Shock 2014, 7, 239. [Google Scholar]
- Tharaknath, V.R.; Prabhakar, Y.V.S.; Kumar, K.S.; Babu, N.K. Clinical and radiological findings in chlorfenapyr poisoning. Ann. Indian Acad. Neurol. 2013, 16, 252. [Google Scholar] [CrossRef] [PubMed]
- Baek, B.H.; Kim, S.K.; Yoon, W.; Heo, T.W.; Lee, Y.Y.; Kang, H.K. Chlorfenapyr-induced toxic leukoencephalopathy with radiologic reversibility:a case report and literature review. Korean J. Radiol. 2016, 17, 277–280. [Google Scholar] [CrossRef] [PubMed]
- Ku, J.E.; Joo, Y.S.; You, J.S.; Chung, S.P.; Lee, H.S. A case of survival after chlorfenapyr intoxication with acute pancreatitis. Clin. Exp. Emerg. Med. 2015, 2, 63. [Google Scholar] [CrossRef]
- Zhang, R.M.; Li, X.Y.; Chen, C.B.; Zhang, B.L.; Zhang, J.; Zhang, H.T.; Sun, G.P. Acute toxicity and bioaccumulation of chlorfenapyr in Brachydanio rerio. J. Ecotoxicol. 2014, 9, 430–436. [Google Scholar]
- Li, T.; Liu, M.; Liu, Z.H.; Fan, Y.H.; Liao, P.F.; Dong, Z.P. Effect of chlorfenapyr stress on economic traits and fecundity of Bombyx mori. Agric. Sci. Guizhou 2023, 51, 93–100. [Google Scholar]
- She, L.T.; Xue, W.D.; Lu, Q.; Qian, X.L. Survey on residual toxicity of insecticide chlorfenapyr to Bombyx mori after spraying in mulberry field at various seasons. Seric. Sci. 2012, 38, 565–570. [Google Scholar]
- Yang, Y.P.; Lin, W.H.; Dai, J.Z.; Zhang, F.; Qian, Q.J.; Sun, H.Y.; Chen, W.G. Effect of 240 g/L chlorfenapyr suspension on controlling mulberry phralidid caterpillar and its toxicity evaluation on silkworm Bombyx mori. Seric. Bull. 2019, 50, 15–19. [Google Scholar]
- Albers, P.H.; Klein, P.N.; Green, D.E.; Melancon, M.J.; Bradley, B.P.; Noguchi, G. Chlorfenapyr and mallard ducks: Overview, study design, macroscopic effects, and analytical chemistry. Environ. Toxicol. Chem. Int. J. 2006, 25, 438–445. [Google Scholar] [CrossRef]
- Wang, D.; Lv, W.; Yuan, Y.; Zhang, T.S.; Teng, H.Y.; Losey, J.E.; Chang, X.L. Assessing the risk of insecticides to Actinopterygii in the combination of ecological planting and rearing. Environ. Pollut. 2021, 276, 116702. [Google Scholar] [CrossRef]
Disclaimer/Publisher’s Note: The statements, opinions and data contained in all publications are solely those of the individual author(s) and contributor(s) and not of MDPI and/or the editor(s). MDPI and/or the editor(s) disclaim responsibility for any injury to people or property resulting from any ideas, methods, instructions or products referred to in the content. |
© 2023 by the authors. Licensee MDPI, Basel, Switzerland. This article is an open access article distributed under the terms and conditions of the Creative Commons Attribution (CC BY) license (https://creativecommons.org/licenses/by/4.0/).





















