Photocatalytic Oxygen Evolution under Visible Light Mediated by Molecular Heterostructures
Abstract
:1. Introduction
2. Results and Discussions
2.1. Synthesis and Characterizations
2.2. Photophysical and Electrochemical Properties
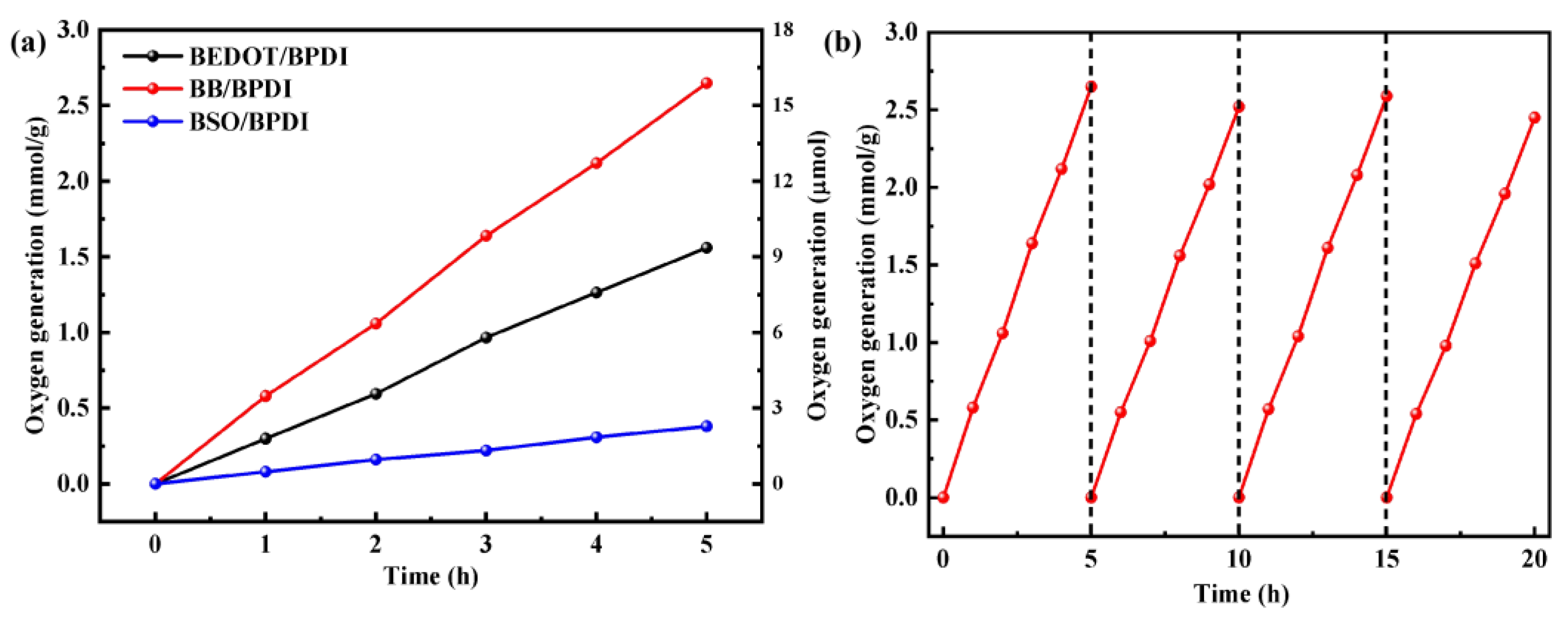
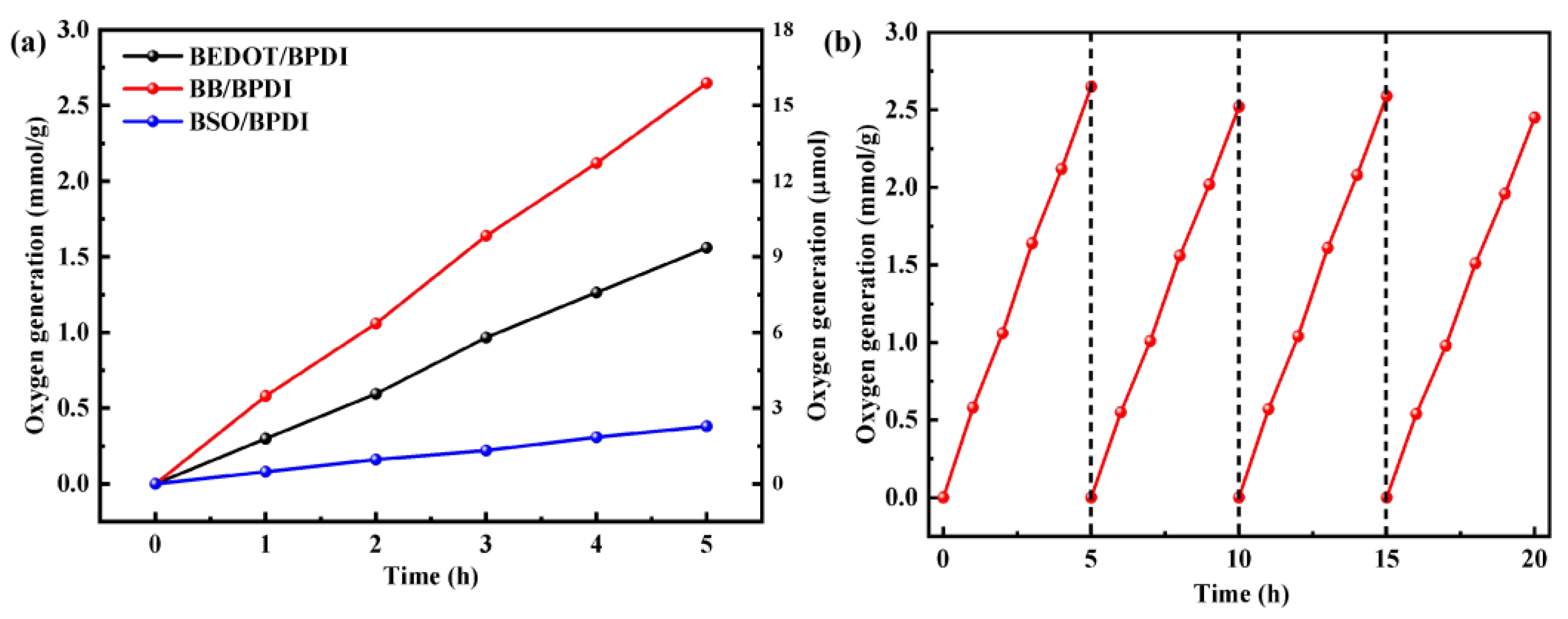
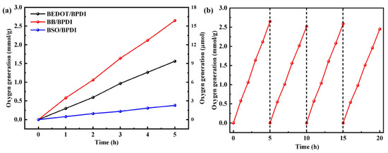
2.3. Photocatalytic Performances
3. Materials and Methods
3.1. Chemicals and Materials
3.2. Synthesis of All Polymers
3.3. Characterization
3.4. Measurement of Photocatalytic Activity
4. Conclusions
Supplementary Materials
Author Contributions
Funding
Conflicts of Interest
References
- Fang, S.; Hu, Y.H. Recent progress in photocatalysts for overall water splitting. Int. J. Energy Res. 2019, 43, 1082. [Google Scholar] [CrossRef]
- Wageh, S. Light emitting devices based on CdSe nanoparticles capped with mercaptoacetic acid. IEEE J. Quant. Electron. 2014, 50, 1. [Google Scholar] [CrossRef]
- Chen, Z.; Yan, Y.; Lu, C.; Lin, X.; Fu, Z.; Shi, W.; Guo, F. Photocatalytic Self-Fenton System of g-C3N4-Based for Degradation of Emerging Contaminants: A Review of Advances and Prospects. Molecules 2023, 28, 5916. [Google Scholar] [CrossRef] [PubMed]
- Sun, B.; Lu, S.; Qian, Y.; Zhang, X.; Tian, J. Recent progress in research and design concepts for the characterization, testing, and photocatalysts for nitrogen reduction reaction. Carbon Energy 2023, 5, 305. [Google Scholar] [CrossRef]
- Xue, Y.; Ma, C.; Yang, Q.; Wang, X.; An, S.; Zhang, X.; Tian, J. Construction of g-C3N4 with three coordinated nitrogen (N3C) vacancies for excellent photocatalytic activities of N2 fixation and H2O2 production. Chem. Eng. J. 2023, 457, 141146. [Google Scholar] [CrossRef]
- Hayat, A.; Sohail, M.; Hamdy, M.S.; Taha, T.A.; AlSalem, H.S.; Alenad, A.M.; Amin, M.A.; Shah, R.; Palamanit, A.; Khan, J.; et al. Fabrication, characteristics, and applications of boron nitride and their composite nanomaterials. Surf. Interf. 2022, 29, 101725. [Google Scholar] [CrossRef]
- Barber, J. Photosynthetic energy conversion: Natural and artificial. Chem. Soc. Rev. 2009, 38, 185. [Google Scholar] [CrossRef] [PubMed]
- McConnell, I.; Li, G.; Brudvig, G.W. Energy conversion in natural and artificial photosynthesis. Chem. Biol. 2010, 17, 434. [Google Scholar] [CrossRef]
- Hayat, A.; Sohail, M.; Anwar, U.; Taha, T.A.; El-Nasser, K.S.; Alenad, A.M.; Al-Sehemi, A.G.; Alghamdi, N.A.; Al-Hartomy, O.A.; Aminm, M.A.; et al. Enhanced photocatalytic overall water splitting from an assembly of donor-π-acceptor conjugated polymeric carbon nitride. J. Colloid Inter. Sci. 2022, 624, 411. [Google Scholar] [CrossRef]
- Wang, L.; Zhang, Y.; Chen, L.; Xu, H.; Xiong, Y. 2D Polymers as Emerging Materials for Photocatalytic Overall Water Splitting. Adv. Mater. 2018, 30, 1801955. [Google Scholar] [CrossRef]
- Fujishima, A.; Honda, K. Electrochemical Photolysis of Water at a Semiconductor Electrode. Nature 1972, 238, 37. [Google Scholar] [CrossRef]
- Chu, S.; Wang, Y.; Guo, Y.; Feng, J.; Wang, C.; Luo, W.; Fan, X.; Zou, Z. Band Structure Engineering of Carbon Nitride: In Search of a Polymer Photocatalyst with High Photooxidation Property. ACS Catal. 2013, 3, 912. [Google Scholar] [CrossRef]
- Xu, S.-Q.; Zhan, T.-G.; Wen, Q.; Pang, Z.-F.; Zhao, X. Diversity of Covalent Organic Frameworks (COFs): A 2D COF Containing Two Kinds of Triangular Micropores of Different Sizes. ACS Macro Lett. 2016, 5, 99. [Google Scholar] [CrossRef]
- Smith, B.J.; Overholts, A.C.; Hwang, N.; Dichtel, W.R. Insight into the Crystallization of Amorphous Imine-Linked Polymer Networks to 2D Covalent Organic Frameworks. Chem. Commun. 2016, 52, 3690. [Google Scholar] [CrossRef] [PubMed]
- Zhang, G.; Lan, Z.A.; Wang, X. Conjugated Polymers: Catalysts for Photocatalytic Hydrogen Evolution. Angew. Chem. Int. Ed. 2016, 55, 15712. [Google Scholar] [CrossRef]
- Dai, C.; Liu, B. Conjugated Polymers for Visible-Light-Driven Photocatalysis. Energy Environ. Sci. 2020, 13, 24. [Google Scholar] [CrossRef]
- Wang, Q.; Li, Y.; Huang, F.; Song, S.; Ai, G.; Xin, X.; Zhao, B.; Zheng, Y.; Zhang, Z. Recent Advances in g-C3N4-Based Materials and Their Application in Energy and Environmental Sustainability. Molecules 2023, 28, 4324. [Google Scholar] [CrossRef] [PubMed]
- Cote, A.P.; Benin, A.I.; Ockwig, N.W.; O’Keeffe, M.; Matzger, A.J.; Yaghi, O.M. Porous, Crystalline, Covalent Organic Frameworks. Science 2005, 310, 1166. [Google Scholar] [CrossRef]
- Wang, H.; Cheng, H.; Lv, H.; HXu, H.; Wu, X.; Yang, J. Molecular Design of Two-Dimensional Covalent Heptazine Frameworks for Photocatalytic Overall Water Splitting under Visible Light. J. Phys. Chem. Lett. 2022, 13, 3949. [Google Scholar] [CrossRef]
- Lu, C.; Cao, D.; Zhang, H.; Gao, L.; Shi, W.; Guo, F.; Zhou, Y.; Liu, J. Boosted Tetracycline and Cr(VI) Simultaneous Cleanup over Z-Scheme WO3/CoO p-n Heterojunction with 0D/3D Structure under Visible Light. Molecules 2023, 28, 4727. [Google Scholar] [CrossRef]
- Mikhnenko, O.V.; Blom, P.W.; Nguyen, T.-Q. Exciton diffusion in organic semiconductors. Energy Environ. Sci. 2015, 8, 1867. [Google Scholar] [CrossRef]
- Marschall, R. Semiconductor Composites: Strategies for Enhancing Charge Carrier Separation to Improve Photocatalytic Activity. Adv. Funct. Mater. 2014, 24, 2421. [Google Scholar] [CrossRef]
- Moniz, S.J.; Shevlin, S.A.; Martin, D.J.; Guo, Z.-X.; Tang, J. Visible-light driven heterojunction photocatalysts for water splitting —A critical review. Energy Environ. Sci. 2015, 8, 731. [Google Scholar] [CrossRef]
- Wu, J.; Huang, Y.; Ye, W.; Li, Y. CO2 Reduction: From the Electrochemical to Photochemical Approach. Adv. Sci. 2017, 4, 1700194. [Google Scholar] [CrossRef] [PubMed]
- Li, H.; Zhou, Y.; Tu, W.; Ye, J.; Zou, Z. State-of-the-Art Progress in Diverse Heterostructured Photocatalysts toward Promoting Photocatalytic Performance. Adv. Funct. Mater. 2015, 25, 998. [Google Scholar] [CrossRef]
- Sui, Y.; Liu, J.; Zhang, Y.; Tian, X.; Chen, W. Dispersed conductive polymer nanoparticles on graphitic carbon nitride for enhanced solar-driven hydrogen evolution from pure water. Nanoscale 2013, 5, 9150. [Google Scholar] [CrossRef]
- He, F.; Chen, G.; Yu, Y.; Hao, S.; Zhou, Y.; Zheng, Y. Facile Approach to Synthesize g-PAN/g-C3N4 Composites with Enhanced Photocatalytic H2 Evolution Activity. ACS Appl. Mater. Interfaces 2014, 6, 7171. [Google Scholar] [CrossRef]
- Yan, H.; Huang, Y. Polymer composites of carbon nitride and poly (3-hexylthiophene) to achieve enhanced hydrogen production from water under visible light. Chem. Commun. 2011, 47, 4168. [Google Scholar] [CrossRef]
- Zhang, X.; Peng, B.; Zhang, S.; Peng, T. Robust Wide Visible-Light-Responsive Photoactivity for H2 Production over a Polymer/Polymer Heterojunction Photocatalyst: The Significance of Sacrificial Reagent. ACS Sustain. Chem. Eng. 2015, 3, 1501. [Google Scholar] [CrossRef]
- Xing, Z.; Chen, Z.; Zong, X.; Wang, L. A new type of carbon nitride-based polymer composite for enhanced photocatalytic hydrogen production. Chem. Commun. 2014, 50, 6762. [Google Scholar] [CrossRef]
- Chen, J.; Dong, C.-L.; Zhao, D.; Huang, Y.-C.; Wang, X.; Samad, L.; Dang, L.; Shearer, M.; Shen, S.; Guo, L. Molecular Design of Polymer Heterojunctions for Efficient Solar–Hydrogen Conversion. Adv. Mater. 2017, 29, 1606198. [Google Scholar] [CrossRef] [PubMed]
- Huang, W.; He, Q.; Hu, Y.; Li, Y. Molecular Heterostructures of Covalent Triazine Frameworks for Highly Enhanced Photocatalytic Hydrogen Production. Angew. Chem. Int. Ed. 2019, 131, 8768. [Google Scholar] [CrossRef]
- Zhang, Z.; Chen, X.; Zhang, H.; Liu, W.; Zhu, W.; Zhu, Y. A Highly Crystalline Perylene Imide Polymer with the Robust Built-In Electric Field for Efficient Photocatalytic Water Oxidation. Adv. Mater. 2020, 32, 1907746. [Google Scholar] [CrossRef]
- Feng, D.; Gu, Z.-Y.; Li, J.-R.; Jiang, H.-L.; Wei, Z.; Zhou, H.-C. Zirconium-Metalloporphyrin PCN-222: Mesoporous Metal–Organic Frameworks with Ultrahigh Stability as Biomimetic Catalysts. Angew. Chem. Int. Ed. 2012, 51, 10307. [Google Scholar] [CrossRef] [PubMed]
- Chu, S.; Wang, Y.; Wang, C.; Yang, J.; Zou, Z. Bandgap modulation of polyimide photocatalyst for optimum H2 production activity under visible light irradiation. Int. J. Hydrogen Energy 2013, 38, 10768. [Google Scholar] [CrossRef]
- Lan, Z.-A.; Ren, W.; Chen, X.; Zhang, Y.; Wang, X. Conjugated donor-acceptor polymer photocatalysts with electron-output “tentacles” for efficient hydrogen evolution. Appl. Catal. B-Environ. 2019, 245, 596. [Google Scholar] [CrossRef]
- Huang, W.-Y.; Shen, Z.-Q.; Cheng, J.-Z.; Liu, L.-L.; Yang, K.; Chen, X.; Wen, H.-R.; Liu, S.-Y. C–H activation derived CPPs for photocatalytic hydrogen production excellently accelerated by a DMF cosolvent. J. Mater. Chem. A 2019, 7, 24222. [Google Scholar] [CrossRef]
- Yin, L.; Zhao, Y.; Xing, Y.; Tan, H.; Lang, Z.; Ho, W.; Wang, Y.; Li, Y. Structure-Property relationship in β-keto-enamine-based covalent organic frameworks for highly efficient photocatalytic hydrogen production. Chem. Eng. J. 2021, 419, 129984. [Google Scholar] [CrossRef]
- Liu, J.; Liu, Y.; Liu, N.; Han, Y.; Zhang, X.; Huang, H.; Lifshitz, Y.; Lee, S.T.; Zhong, J.; Kang, Z. Metal-free efficient photocatalyst for stable visible water splitting via a two-electron pathway. Science 2015, 347, 970. [Google Scholar] [CrossRef]
- Zhang, K.; Wang, L.; Sheng, X.; Ma, M.; Jung, M.S.; Kim, W.; Lee, H.; Park, J.H. Tunable Bandgap Energy and Promotion of H2O2 Oxidation for Overall Water Splitting from Carbon Nitride Nanowire Bundles. Adv. Energy Mater. 2016, 6, 1502352. [Google Scholar] [CrossRef]
- Tan, Z.R.; Xing, Y.Q.; Cheng, J.Z.; Zhang, G.; Shen, Z.; Zhang, Y.J.; Liao, G.; Chen, L.; Liu, S.-Y. EDOT-based conjugated polymers accessed via C–H direct arylation for efficient photocatalytic hydrogen production. Chem. Sci. 2022, 13, 1725. [Google Scholar] [CrossRef]
- Liu, H.; Zhang, X.; Wang, L.; Chen, L.; Wen, H.-R.; Liu, S.-Y. One-Pot Synthesis of 3- to 15-Mer π-Conjugated Discrete Oligomers with widely Tunable Optical Properties. Chin. J. Chem. 2021, 39, 577. [Google Scholar] [CrossRef]
- Huang, X.; Chen, N.; Ye, D.; Zhong, A.; Liu, H.; Li, Z.; Liu, S. Structurally Complementary Star-Shaped Unfused Ring Electron Acceptors with Simultaneously Enhanced Device Parameters for Ternary Organic Solar Cells. Sol. RRL 2023, 7, 2300143. [Google Scholar] [CrossRef]






| Polymer | pH Buffer Agent | Sacrificial Agent | Co-Catalyst | Solvent | OER/mmol g−1 h−1 |
|---|---|---|---|---|---|
| BEDOT | La2O3 | AgNO3 | Co(NO3)2 | H2O/DMF | 0 |
| BB | La2O3 | AgNO3 | Co(NO3)2 | H2O/DMF | 0 |
| BSO | La2O3 | AgNO3 | Co(NO3)2 | H2O/DMF | 0 |
| BPDI | La2O3 | AgNO3 | Co(NO3)2 | H2O/DMF | 0 |
| BEDOT/BPDI | La2O3 | AgNO3 | Co(NO3)2 | H2O/DMF | 0.31 |
| BB/BPDI | La2O3 | AgNO3 | Co(NO3)2 | H2O/DMF | 0.53 |
| BSO/BPDI | La2O3 | AgNO3 | Co(NO3)2 | H2O/DMF | 0.08 |
| BB/BPDI | - | AgNO3 | Co(NO3)2 | H2O/DMF | 0 |
| BB/BPDI | La2O3 | - | Co(NO3)2 | H2O/DMF | 0 |
| BB/BPDI | La2O3 | AgNO3 | - | H2O/DMF | 0 |
| BB/BPDI | La2O3 | AgNO3 | Co(NO3)2 | H2O | 0 |
| BB and BPDI | La2O3 | AgNO3 | Co(NO3)2 | H2O/DMF | 0 |
Disclaimer/Publisher’s Note: The statements, opinions and data contained in all publications are solely those of the individual author(s) and contributor(s) and not of MDPI and/or the editor(s). MDPI and/or the editor(s) disclaim responsibility for any injury to people or property resulting from any ideas, methods, instructions or products referred to in the content. |
© 2023 by the authors. Licensee MDPI, Basel, Switzerland. This article is an open access article distributed under the terms and conditions of the Creative Commons Attribution (CC BY) license (https://creativecommons.org/licenses/by/4.0/).
Share and Cite
Shen, Z.; Zhang, Y.; Zhang, G.; Liu, S. Photocatalytic Oxygen Evolution under Visible Light Mediated by Molecular Heterostructures. Molecules 2023, 28, 7500. https://doi.org/10.3390/molecules28227500
Shen Z, Zhang Y, Zhang G, Liu S. Photocatalytic Oxygen Evolution under Visible Light Mediated by Molecular Heterostructures. Molecules. 2023; 28(22):7500. https://doi.org/10.3390/molecules28227500
Chicago/Turabian StyleShen, Zhaoqi, Yujie Zhang, Guang Zhang, and Shiyong Liu. 2023. "Photocatalytic Oxygen Evolution under Visible Light Mediated by Molecular Heterostructures" Molecules 28, no. 22: 7500. https://doi.org/10.3390/molecules28227500
APA StyleShen, Z., Zhang, Y., Zhang, G., & Liu, S. (2023). Photocatalytic Oxygen Evolution under Visible Light Mediated by Molecular Heterostructures. Molecules, 28(22), 7500. https://doi.org/10.3390/molecules28227500

