Next Article in Journal
Dissipation and Dietary Risk Assessment of Prochloraz in Strawberries under Greenhouse Conditions
Next Article in Special Issue
Unveiling the Potential of B3O3 Nanoflake as Effective Transporter for the Antiviral Drug Favipiravir: Density Functional Theory Analysis
Previous Article in Journal
Lateral Flow Immunoassay Based on Quantum-Dot Nanobeads for Detection of Chloramphenicol in Aquatic Products
Previous Article in Special Issue
Theoretical Prediction of the Anti-Icing Activity of Two-Dimensional Ice I
 
 
Due to scheduled maintenance work on our servers, there may be short service disruptions on this website between 11:00 and 12:00 CEST on March 28th.
Font Type:
Arial Georgia Verdana
Font Size:
Aa Aa Aa
Line Spacing:
Column Width:
Background:
Article

Density Functional Theory and Density Functional Tight Binding Studies of Thiamine Hydrochloride Hydrates

by
Ewa Napiórkowska
1,2,
Łukasz Szeleszczuk
1,*,
Katarzyna Milcarz
1 and
Dariusz Maciej Pisklak
1
1
Department of Organic and Physical Chemistry, Faculty of Pharmacy, Medical University of Warsaw, Banacha 1 Str., 02-093 Warsaw, Poland
2
Doctoral School, Medical University of Warsaw, Żwirki i Wigury 81 Str., 02-093 Warsaw, Poland
*
Author to whom correspondence should be addressed.
Molecules 2023, 28(22), 7497; https://doi.org/10.3390/molecules28227497
Submission received: 13 October 2023 / Revised: 1 November 2023 / Accepted: 7 November 2023 / Published: 9 November 2023
(This article belongs to the Special Issue Advances in Density Functional Theory (DFT) Calculation)

Abstract

:
Thiamine hydrochloride (THCL), also known as vitamin B1, is an active pharmaceutical ingredient (API), present on the list of essential medicines developed by the WHO, which proves its importance for public health. THCL is highly hygroscopic and can occur in the form of hydrates with varying degrees of hydration, depending on the air humidity. Although experimental characterization of the THCL hydrates has been described in the literature, the questions raised in previously published works suggest that additional research and in-depth analysis of THCL dehydration behavior are still needed. Therefore, the main aim of this study was to characterize, by means of quantum chemical calculations, the behavior of thiamine hydrates and explain the previously obtained results, including changes in the NMR spectra, at the molecular level. To achieve this goal, a series of DFT (CASTEP) and DFTB (DFTB+) calculations under periodic boundary conditions have been performed, including molecular dynamics simulations and GIPAW NMR calculations. The obtained results explain the differences in the relative stability of the studied forms and changes in the spectra observed for the samples of various degrees of hydration. This work highlights the application of periodic DFT calculations in the analysis of various solid forms of APIs.

1. Introduction

Most of the chemical compounds exist in a variety of crystal forms depending on the temperature, pressure, humidity, and solvents used during the crystallization process, which is the definition of the phenomenon known as polymorphism [1]. Polymorphic forms of active pharmaceutical ingredients (APIs) may differ in certain crucial characteristics, including solubility in water, dissolution rate, melting point, stability, tabletability, and others, which may ultimately affect the drug’s stability and bioavailability [2,3,4].
Hydrates, a subtype of solid solvates, are a distinct set of structures, although they share certain similarities with polymorphs. Once water molecules are incorporated into a compound’s crystal lattice, they modify the intricate H-bonding network [5]. Therefore, hydrates display a distinct structure when compared to corresponding anhydrates [6]. As a result, hydrates could differ from their anhydrous counterparts in terms of their physical and chemical characteristics [7]. Hydrates were once referred to as pseudo-polymorphs because of their similarities to polymorphs [8]. This term, however, is no longer considered to be the proper one when referring to hydrates [9].
Among the solid API solvates, hydrates are particularly interesting for several reasons. First of all, the water molecule stands out because of its special properties, which include its tiny size and ability to form interactions as both a donor and acceptor of H-bonding, occasionally concurrently; this makes it a crucial “building material” in the field of crystal engineering [10]. In addition, unlike the majority of other organic solvents, water is a safe and non-toxic substance. Finally, due to the air’s moisture content, spontaneous hydration may happen at any point during the manufacture or storage of an API, resulting in the development or phase transition of hydrates [11].
Non-stoichiometric hydrates, sometimes referred to as variable hydrates, are a unique type of hydrates in which the water content is constantly changeable as a function of the atmospheric water vapor pressure [12]. The water molecules in the non-stoichiometric hydrate lattice may occupy any or all of the predetermined places [13]. Such hydrate lattices frequently have channels or connected routes that allow water to easily enter or exit the lattice, causing the water content to continuously fluctuate as a function of the water vapor pressure.
The stability of both the API and the drug product can be affected by changes in hydration status. A formed drug may experience a chemical breakdown of one or more formulation components as a result of released water. Three outcomes are possible when water is removed from a drug’s crystal lattice: (1) the lattice structure is unaffected by the water removal, (2) the lattice collapses, or (3) the lattice packing is changed upon dehydration. Due to vacancies within the lattice, the product phase is frequently more reactive and less stable when the lattice structure is preserved following dehydration (outcome 1 above). Similar to outcome 1, the noncrystalline product phase is metastable when dehydration causes a collapsed lattice. Properties like the rate of dissolution can be impacted by changes in the physical form (outcome 3). Therefore, the process of dehydration and the subsequent release of water into the formulation might have a significant impact on overall drug stability [14,15].
As previously stated, the stability, solubility, bioavailability, and formulatability of solid-state APIs are influenced by their physical and chemical characteristics, which are the result of how molecules are arranged in the solid state. Therefore, it is intriguing from a strictly scientific perspective, as well as having significant practical significance in the pharmaceutical industry, to be able to precisely foresee and explain such qualities utilizing molecular modeling tools [16].
When it concerns solid APIs, molecular modeling techniques are typically used to forecast their physicochemical and structural characteristics, explain experimental findings, or predict the conditions necessary to produce novel forms of solid pharmaceutics in order to reduce the number of experiments or improve the experimental setup. Additionally, calculated properties like Nuclear Magnetic Resonance (NMR) shielding constants can make solid-state analysis much easier [17].
However, molecular modeling techniques that simulate a single molecule in vacuum or in solution were proven to be inadequate and erroneous as the distinctive properties of each solid form result from short- and long-distance intermolecular interactions [18]. While those “single molecules” approaches are often utilized effectively in other areas of pharmaceutical sciences, such as to examine drug–biomolecule interactions or predict the formation of complexes, alternative types of calculations should be used to study solid-state pharmaceutics. Those kinds of calculations, DFT and DFTB, under periodic boundary conditions, were performed in the present study.
Thiamine (Figure 1), also known as vitamin B1 and thiamin, is one of the most important vitamins and must be supplied with food [19]. In a properly balanced diet in healthy people, the effects of its deficiency are rarely observed because of its rich content in wholegrain products and an artificial enrichment of some food products with B-group vitamins. On the other hand, vitamin B1 is sensitive to UV radiation and high temperatures, especially in alkaline pH [20]. In addition, some drugs, e.g., chemotherapeutics, may inactivate thiamine [21], while others may reduce its absorption by competing for the transporter, such as metformin, used as the first choice drug in the treatment of diabetes [22]. All these factors may contribute to the occurrence of deficiencies of this vitamin, even in developed countries. Thiamine in a dose of 50 mg of thiamine hydrochloride (THCL) in tablets is on the List of Essential Medicines developed by the World Health Organization (WHO), which proves its importance for public health [23].
The object of this study, THCL, is hygroscopic and can occur in the form of hydrates with varying degrees of hydration, depending on the humidity. The anhydrous hydrochloride absorbs water and transforms into a non-stoichiometric hydrate (NSH) with a heterogeneous water content in the crystal, up to a compound with an equimolar ratio. In addition, NSH at room temperature and air humidity >53% can transform into a thermodynamically more stable form, i.e., hemihydrate (HH) [24]. Such transformation can start already at the stage of tablet production by wet granulation, which is used in the production of drugs from poorly tableting substances, such as NSH. The use of water in the granulation process causes the NSH to dissolve and then recrystallize into the more stable HH. As a result of an incomplete transformation, thiamine hydrochloride can be present in both forms: NSH and HH. During storage, the remaining part of NSH may be transformed into HH, while the addition of some excipients may slow down the transformation process [25]. The conversion of NSH into HH changes the properties of the tablets, e.g., an increase in hardness and an increase in the disintegration time of the tablet, which results in lower bioavailability of the drug [26].
Although experimental characterization of thiamine hydrates has been described in the literature [14,24,25,27,28,29], the questions raised in previously published works suggest that additional research and in-depth analysis of NSH and HH dehydration behavior are still needed. For example, Chakravarty et al. [28] speculated whether the respective physical stabilities of NSH and HH can be explained by the water-binding environment in the NSH and HH lattices. In their other work, they explicitly stated that “Molecular modeling studies will be necessary to further understand the observed dehydration-induced SSNMR spectral changes.” [27].
Inspired by those previously raised questions, we have decided to address the topic of thiamine dehydration using a variety of molecular modeling methods. Therefore, the main aim of this study was to characterize, by means of quantum chemical calculations, the behavior of thiamine hydrates and explain the previously obtained NMR spectroscopic results at the molecular level.

2. Results and Discussion

2.1. Crystal Structure Analysis

As stated in the introduction, THCL exists in a variety of forms, differing in the degree of hydration.
One of them, NSH, is characterized by variable water content in the crystal lattice up to an equimolar ratio. In extreme cases, this can lead to the formation of a monohydrate. The crystal structure of NSH in the form of monohydrate was deposited in CCDC under refcodes THIAMC12 and THIAMC14. The authors of THIAMC12 also deposited the structure of NSH after complete dehydration (refcode UNEXOA), which resulted in the formation of an anhydrous version of NSH.
Another solvate form of THCL is a stoichiometric hemihydrate (HH), whose structure has been deposited under refcode WUWJAA. This hemihydrate is a thermodynamically stable form. Its forced dehydration results in the collapse of the crystal lattice and sample amorphization; this is the reason why the crystal structure of the dehydrated form of HH has never been recorded before.
Chosen crystallographic information on the structures that we will be referring to in this study is presented in Table 1.

2.2. Crystal Structure Preparation

2.2.1. NSH

As presented in Figure 2, there are four crystallographically equivalent water molecules in the unit cell of the monohydrate form of NSH (THIAMC12), labeled as UL (upper left), BL (bottom left), UR (upper right), and BR (bottom right). As our aim was to simulate the gradual dehydration of this form, we decided to remove the water molecules one by one. Due to the symmetry of the system, the choice of one of the four water molecules to remove had no influence on the results of the calculations. Therefore, the UL molecule was removed, resulting in the formation of the 0.75 hydrate, named MH3W, due to the three water molecules left in the unit cell. However, the number of possible different versions of unit cells increased significantly when creating the hemihydrate form of NSH. While the number of permutations describing the possible options of removing two out of four water molecules present in the unit cell equals six, among those six structures, three crystallographically equivalent pairs existed. Finally, the structure of the 0.25 hydrate was obtained by leaving one water molecule in the unit cell. Again, due to the symmetry of the system, the choice of the molecule to be left had no influence on the results of the calculations. To clarify the process of structures’ generation, Table 2 was created.

2.2.2. HH

As presented in Figure 3, there are four crystallographically equivalent water molecules in the unit cell of hemihydrate (HH) form of THCL (WUWJAA), labeled as UL (upper left), BL (bottom left), UR (upper right), and BR (bottom right). As our aim was to simulate the gradual dehydration of this form as well, we have decided to remove the water molecules by one, similarly to NSH. Again, due to the symmetry of the system, the choice of one of the present four water molecules to remove had no influence on the results. Therefore, the UL molecule was removed, resulting in the formation of the 0.375 hydrate, named HH3W, due to the three water molecules left in the unit cell. However, the number of possible versions of unit cells increased significantly when creating the 0.25 hydrate from HH. Similarly to the NSH, the number of permutations describing the possible options of removing two out of four water molecules present in the unit cell equals six; among those six structures, three crystallographically equivalent pairs existed. Finally, the structure of the 0.125 hydrate was obtained by leaving one water molecule in the unit cell. Again, due to the symmetry of the system, the choice of the molecule to be left had no influence on the results of the calculations. To clarify the process of structures’ generation, Table 3 was created.

2.3. Crystal Structure Optimization

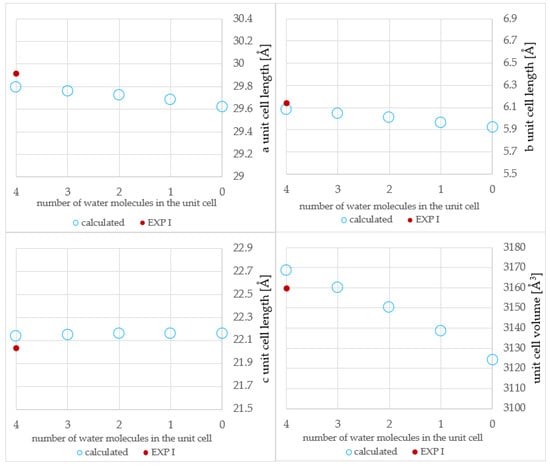
The results of the geometry optimization of structures described in Table 2 and Table 3 are presented in Table 4 and Table 5. For more facile comparison, chosen experimental structures (EXP) were also included in Table 4 and Table 5. For better clarity, the results of optimization are also presented in Figure 4 and Figure 5.
A good agreement has been observed between the corresponding experimental and computational results for both NSH and HH. What is interesting is that the difference between the theoretical value of the volume of MH4W and EXP I was found to be significantly lower than between EXP I and EXP II (3 Å3 versus 33 Å3); this is probably due to the temperature at which the SCXRD measurements were performed, namely 296 K and 173 K for EXP I and EXP II, respectively (Table 1). The structure recorded at a lower temperature is closer to the DFT-optimized one, as during the geometry optimization, the temperature was not included in the calculations. Also, as described in the introduction, the unit cell dimensions of NSH changed only slightly upon dehydration, with the exception of b length.
Even smaller changes in the unit cell dimensions have been observed for HH. In this case, the predictability of calculations was harder to assess due to the presence of solely one experimental structure of this form. According to the experimental results, any attempt to dehydrate the HH results in the collapse of the crystal lattice and sample amorphization. However, the results of geometry optimization from this work suggest that such structures could potentially exist; this can be explained by the fact that during geometry optimization, the influence of temperature is neglected, and the dynamic stability cannot be confirmed [30,31,32]. Therefore, we have conducted the ab initio molecular dynamics simulations (aiMD), which are described in detail in Section 2.6. However, before the analysis of aiMD results, some energetic aspects should be discussed, which is carried out in the next Section 2.4.

2.4. Energetic Considerations

A comparison of the structures with the same THCL: water ratio is presented in Table 6.
The results of the calculations are in very good agreement with the experimental observations. They show that the HH4W is more stable than any of the modeled hemihydrates based on the structure of NSH, MH2W BLUR, MH2W ULBL, and MH2W ULUR by a few kcal/mol, which was reported previously; this also explains the conversion of MH2W to HH4W upon dehydration of MH4W. The positive (+1.688 kcal/mol) value of the Δ(HH-MH) for the anhydrous “0W” structures is in agreement with the experimental findings, revealing that it is possible to obtain the crystalline MH0W while the complete dehydration of HH0W results in the complete crystal structure destruction and sample amorphization.
To compute the energy change upon dehydration, calculation of the energy of the single water molecule was necessary as the H2O is a product of such a reaction. While it is technically impossible to perform the calculations for nonperiodic systems in CASTEP, there is an alternative way to obtain such results, often called “molecule in the box” calculations. It consists of the creation of the unit cell, usually cubic, with a single molecule of interest inside it and unit cell lengths long enough to suppress any intermolecular interactions. Such a system is then optimized but with constrained unit cell dimensions. In this study, the cubic unit cell with equal lengths of 20 Å and a single water molecule inside it has been used to calculate the energy of H2O; this allowed us to determine the dehydration energies at each step, which are presented in Table 7.
Analysis of the values presented in Table 7 shows that, as expected, each dehydration step is endothermic for both HH and MH. Also, dehydration of HH requires more energy at each stage of this process; this is in agreement with the experimental results showing that dehydration of MH is significantly less demanding than HH. The lowest values observed in the last step for both HH and MH are probably due to the creation of a higher symmetry structure upon complete dehydration and reduction of Z’ to 1.

2.5. NMR Calculations

As stated in the introduction, NSH and HH have been extensively studied previously using solid-state NMR (ssNMR). However, for both those solvates the NMR experimentalists have found some observations that were not fully explained. Therefore, to understand, at the molecular level, the changes in the 13C ssNMR spectra of NSH and HH occurring upon dehydration, the GIPAW calculations of NMR chemical shielding constants have been conducted, and the results are presented below. Due to the differences in the atom numbering between the previously published works, in this work, the atom numbering presented in Figure 6 has been used.

2.5.1. NMR Calculations of NSH

The results of the NMR calculations for the NSH of various degrees of hydration are presented in Table 8. As can be seen, the presence of water molecules has a major impact on the chemical shift (δ) value for most of the carbon atoms. For example, in C3, when the structure presents the monohydrate (MH4W), the values for all four atoms in the unit cell are close to 140.76 ppm (blue color), and the dehydration results in the increase of this value to 143.28 ppm (red color). Similarly, in MH3W, three “blue” (hydrated) values and one “red” (dehydrated) value were obtained, while for MH1W, one “blue” and three “red” values are present. Similar behavior has also been observed for C8, C1, C2, and C4.
Interestingly, major differences have been observed among the three structures presenting hemihydrate MH2W, which is well demonstrated by the SD values. For example, in C8, in the cases of MH2W BLUR and ULUR, the two distinct sets of values are observed, close to either 162.5 ppm (red) or 165 ppm (blue), which results in the high values of SD, over 1.2 ppm. On the contrary, in MH2W ULBL, chemical shifts for all four carbon atoms are averaged, and the SD equals only 0.27 ppm. Similar observations have been made for C9, C2 and C3.
Analysis of the changes in the experimental 13C CP MAS NMR spectra resulting from dehydration of NSH (Figure 7) revealed that this process has the greatest impact on the chemical shift values of C3, C6, C5, and C4.
For C3, the increase of δ has been observed both experimentally (1.9 ppm) as well as in the calculation’s results (2.5 ppm). Since in the spectrum of the 0.41 hydrate, the broadened peak of the averaged value of δ is observed instead of the two separate signals; this could indicate that MH2W ULBL is the dominant structure of the hemihydrate form, as in this one, the lowest value of SD for the calculated chemical shifts is observed (0.53 ppm vs. 1.96 ppm and 1.75 ppm for ULUR and BLUR, respectively). It should also be noted that among those three structures of MH2W, ULBL was the one with the lowest energy and, therefore, theoretically, the most stable one (Table 6). Similar observations can also be made for C4, C5, and C6 with even better accuracy between the experimental and theoretical increase of the δ upon dehydration. For example, for C4, the experimental one was 1.00 ppm, and the calculated one was 0.75 ppm.
For all of the carbon atoms, with the exception of C9, the sign of the calculated differences between the δ of the monohydrate and anhydrous forms (MH0W-MH4W) was in agreement with the experimental observations (EXPII MH0W-EXPII MH4W).
The NMR calculations also helped to properly assign the chemical shifts of C8 (C 2′) and C9 (C 4′). In the experimental spectrum (Figure 8), those two atoms were assigned to the broad peak at 163.20 ppm. According to the calculations results, the δ of C8 (163.95 ppm) is slightly higher than that of C9 (160.45 ppm). The experimentally observed averaging of this value, resulting in the overlapping of those two peaks, is probably a result of molecular dynamics.

2.5.2. NMR Calculations of HH

The results of the NMR calculations for the HH of various degrees of hydration are presented in Table 9. It should be noted that in the only work in which the 13C ssNMR spectra of HH are being presented [27], the authors have not assigned any of the peaks to the particular carbon atom. In addition, the chemical shift values have not been provided either; therefore, the data presented in Table 9 in rows entitled “EXP HH4W” have been read by us directly from the spectra; this is why they have been rounded to either whole or half values, ±0.5 ppm.
As can be seen, similarly to the NSH, the presence of water molecules has a major impact on the chemical shift (δ) value for some of the carbon atoms. The authors of [27] have created a “partially dehydratedHH2 form of HH, “HH was dried at 60 °C in a bench-top freeze dryer (Unitop 400L, Virtis, Gardiner, NY) under reduced pressure (20–60 mTorr) for 7 days. This product phase will be referred to as HH2.” They then recorded the 13C ssNMR spectra of both HH and HH2 and found some differences, which are presented in Figure 9.
As noticed by the authors of [27], “(…) partial dehydration of HH under low pressure for 7 days (HH2) resulted in a new peak at 157 ppm and the appearance of shoulders on the peaks at 148, 138, 65 ppm (…).” Those researchers were speculating on the origin of those extra peaks and concluded that “Molecular modeling studies will be necessary to further understand the observed dehydration-induced SSNMR spectral changes.
The results of the calculations, presented in Table 9, are in excellent agreement with the experimental observations. The largest difference of the calculated δ for the same atom, observed for HH4W and HH0W, was found for C1, and only for this atom did the difference in δ calculated for the “hydrated” and “dehydrated” structure exceed 1 ppm. Further, this was the only peak with direct splitting and evident separation observed in the experimental spectra (Figure 9). Also, the calculated δ was larger for C1 in the dehydrated structure (HH0W) than in the hydrated one (HH4W), which is also in agreement with the experimental observations.
To explain this observation made for the peak of C1, the authors of [27] have postulated two hypotheses. The first one stated that the loss of water causes changes in 13C–14N quadrupolar coupling. This hypothesis has been ruled out by the same authors based on the comparison of the spectra recorded at 300 MHz and 400 MHz spectrometers, as the differences in the width of signals were not significant. The second hypothesis was that the removal of water changes the physical location of the chloride ions within the crystal lattice. This hypothesis could not have been tested so far because of the lack of the experimental structure of the dehydrated form of HH.
It should be noted that in the structure of HH, two crystallographically inequivalent chloride ions can be found (Figure 10). The first one, Cl1, forms three intermolecular interactions with thiamine, two of them with H atoms of amine groups and one with the hydroxyl group. The second one, Cl2, forms one interaction with the H atom of water and one with the H atom of the thiazole ring of thiamine.
During the geometry optimization of the subsequently dehydrated structures of HH (Figure 11), we noticed that the RMSD of Cl1 was much higher than this of Cl2, which was caused by the fact that removing the water molecule that forms the intermolecular interaction with Cl2 causes this ion to move, and also results in the increase of the C1–H bond length; this consequently resulted in the increase of chemical shift of C1 and the presence of two peaks in the 13C ssNMR spectrum of HH2 (Figure 9).
In the case of the peak at 148 ppm, the authors of [27] have noticed a slight downfield shift, and this was also observed in the calculations results for C11 as the increase of the δ by 0.4 ppm. The change of this magnitude did not result in the peak separation, only with the increase of its width.
For the peak at 138 ppm, the experimentalists have observed the formation of another peak at the right shoulder of the one present in HH, resulting from partial dehydration; this was also present in the calculation results for C3—the upfield change by 0.5 ppm was observed as the result of the dehydration.
No major changes in the values of δ computed for the other atoms, occurring as a result of dehydration, have been observed, which is also in agreement with experimental results.
It should also be noted that the differences in the values of δ found between the different versions of HH2W, namely ULBL, BLUR, and ULUR, within the same carbon atom, are much smaller than those observed for the NSH. Also, the difference between the highest and lowest energy forms of HH2W, ULBL, and ULUR is much lower than in the case of MH2W (Table 6)—0.188 versus 0.644 kcal/mol, respectively; this indicates that, unlike for MH2W, the various forms of HH2W are energetically similar and that the order in which the water molecules are removed from the crystal lattice is more random for HH than it was for NSH.

2.6. Molecular Dynamics Simulations

Despite the high accuracy in predicting the structure, energy, and NMR parameters, the ab initio CASTEP calculations were computationally too expensive to perform the Molecular Dynamics (MD) simulations using them. Therefore, for this purpose, we have chosen the DFTB semi-empirical method, which has been proven to provide accurate results at an affordable computational cost [33].
Before the MD simulations, all of the structures were optimized; the results of those calculations are presented in Table 10 and Table 11.
During the simulations, no significant conformational changes have been observed (Figures S1 and S2). Due to the experimentally determined very low stability of dehydrated HH and its almost instant amorphization, we have anticipated some changes either in the conformations of the molecules or in the unit cell dimensions. However, none of them have been observed; this could be possibly caused by a too-short simulation time, 20 ps, or an inadequate level of theory. However, during our previous studies [34,35], we have found that major changes accompanying polymorphic phase transitions occur during the first few picoseconds of simulations. However, in those mentioned cases, we have performed the MD simulations at the DFT level using CASTEP due to the significantly smaller unit cells in those previous studies.

3. Materials and Methods

3.1. Periodic DFT Calculations

The density functional theory (DFT) calculations of geometry optimization and NMR parameters under periodic boundary conditions were carried out with the CASTEP program [36] implemented in the Materials Studio 2020 software [37] using the plane wave pseudopotential formalism. Ultrasoft pseudopotentials were generated using the Koelling–Harmon scalar relativistic approach [38]. The Perdew–Burke–Ernzerhof (PBE) [39] exchange–correlation functional, defined within the generalized gradient approximation, with the Tkatchenko–Scheffler (TS) [40] dispersion correction, was used in the calculations.

3.1.1. Geometry Optimization

Geometry optimization was carried out using the limited memory Broyden–Fletcher–Goldfarb–Shanno (LBFGS) [41] optimization scheme and smart method for finite basis set correction. The kinetic energy cutoff for the plane waves (Ecut) was set to 630.0 eV. The number of Monkhorst–Pack k-points during sampling for a primitive cell Brillouin zone integration [42] were set to 2 × 1 × 1 (for thiamine monohydrate-based structures) and 1 × 2 × 1 (for thiamine hemihydrate based structures), respectively. The details on the structure preparation can be found in Section 2.1.
During geometry optimization, all atoms’ positions and the cell parameters were optimized with no constraints. The convergence criteria were set at 5 × 10−6 eV/atom for the energy, 1 × 10−2 eV/Å for the interatomic forces, 2 × 10−2 GPa for the stresses, and 5 × 10−4 Å for the maximum displacement. The fixed basis set quality method for the cell optimization calculations and the 5 × 10−7 eV/atom tolerance for SCF were used.

3.1.2. NMR Parameters Calculations

The computation of shielding tensors was performed using the Gauge Including Projector Augmented Wave Density Functional Theory (GIPAW) method of Pickard et al. [43]. To compare the theoretical and experimental data, the calculated chemical shielding constants (σiso) were converted to chemical shifts (δiso) using the following equation: δiso = (σGly + δGly) − σiso, where σGly and δGly stand for the shielding constant and the experimental chemical shift, respectively, of the glycine carbonyl carbon atom (176.50 ppm).

3.2. Periodic DFTB Calculations

The Density Functional Tight Binding (DFTB) calculations of geometry optimization and molecular dynamics simulations under periodic boundary conditions were carried out with the DFTB+ program [44] implemented in the Materials Studio 2020 software [37]. The calculations utilized a library containing Slater–Koster atomic parameters, incorporating the UFF-based Lennard–Jones dispersion corrections and charge self-consistency.

3.2.1. Geometry Optimization

Geometry optimization was carried out using the “smart” algorithm for calculations, the “divide and conquer” method for diagonalizing the Hamiltonian (eigensolver), the Broyden charge mixing scheme, and the Methfessel–Paxton distribution function used for smearing. The number of Monkhorst–Pack k-points during sampling for a primitive cell Brillouin zone integration [42] were set to 4 × 1 × 2 (for thiamine monohydrate-based structures) and 1 × 4 × 1 (for thiamine hemihydrate based structures), respectively. The details on the structure preparation can be found in Section 2.1.
During geometry optimization, all atoms’ positions and the cell parameters were optimized with no constraints. The convergence criteria were set at 1 × 10−2 kcal/mol for the energy, 5 × 10−2 kcal/mol/Å for the interatomic forces, 2 × 10−2 GPa for the stresses, and 5 × 10−4 Å for the maximum displacement and the 1 × 10−8 kcal/mol tolerance for SCC were used.

3.2.2. Molecular Dynamics Simulations

Molecular dynamics (MD) simulations were run using an NPT ensemble maintained at a constant temperature of 293 K and pressure of 0.01 GPa, using a Nosé thermostat with 0.01 Q ratio and Berendsen barostat with 0.1 ps decay constant. The time step was set to 0.5 fs, and the total time of the simulation was set to 20 ps. All of the settings and electronic options were set at the same values as for geometry optimization (Section 3.2.1). No symmetry constraints were applied during the simulations.

4. Conclusions

In this work, two different forms of THCL hydrates, NSH and HH, have been studied using various molecular modeling methods. The first step of this work included the creation of the structures of hydrates with decreasing water: THCL molar ratio, starting either from monohydrate (NSH) or hemihydrate (HH) up to the fully dehydrated forms. After the optimization of all of the structures, we have found a good agreement between theoretically modeled and experimentally determined values describing the unit cell dimensions; this indicates that modeled structures obtained for the forms that have not been studied experimentally yet should also be accurate. Also, a comparison of the energy of the structures based on NSH and HH was in agreement with the experimental findings, indicating higher relative stability of the NSH.
GIPAW NMR calculations performed for the optimized structures allowed not only to assign all of the peaks in the experimental 13C CP MAS NMR spectra to particular carbon atoms but also to explain, at the molecular level, all of the changes observed in the spectra occurring as a result of the experimental dehydration. Comparison of the NMR calculations results with the energy of the partially dehydrated structures enables us to predict the structure of the intermediate forms occurring between the fully hydrated forms of NSH and HH and their dehydrated counterparts.
During the molecular dynamics simulations performed at the semi-empirical QM level, we did not observe major changes in the studied structures. For all of the forms of NSH, those results were anticipated, as this form is a variable hydrate that can exist at various THCL: water ratios, depending on the air humidity. However, the lack of changes in the unit cell dimensions of the dehydrated structure of HH is intriguing, as the previous experimental works reported on the instability of this form. We aim to investigate this aspect deeply in the near future.
This work highlights the accuracy and versatility of the “solid-state DFT” calculations in the analysis of various forms of molecular solids, in particular solvates of active pharmaceutical ingredients of various degrees of hydration.

Supplementary Materials

The following supporting information can be downloaded at https://www.mdpi.com/article/10.3390/molecules28227497/s1, Figure S1: Changes in the unit cell dimensions of NSH observed during the molecular dynamics simulations; Figure S2: Changes in the unit cell dimensions of HH observed during the molecular dynamics simulations.

Author Contributions

Conceptualization, E.N., K.M., Ł.S. and D.M.P.; methodology, E.N., K.M. and Ł.S.; software, E.N. and Ł.S.; validation, E.N., K.M., Ł.S. and D.M.P.; formal analysis, E.N., K.M., Ł.S. and D.M.P.; investigation, E.N., K.M., Ł.S. and D.M.P.; resources, E.N., K.M., Ł.S. and D.M.P.; data curation, E.N. and Ł.S.; writing—original draft preparation, E.N., Ł.S. and D.M.P.; writing—review and editing, E.N., Ł.S. and D.M.P.; visualization, E.N., Ł.S. and D.M.P.; supervision, Ł.S.; project administration, Ł.S.; funding acquisition, E.N. and Ł.S. All authors have read and agreed to the published version of the manuscript.

Funding

This research was funded by the Medical University of Warsaw, Poland, grant number F/MG/06/22.

Institutional Review Board Statement

Not applicable.

Informed Consent Statement

Not applicable.

Data Availability Statement

Data can be obtained from the corresponding author (Ł.S.) by email.

Conflicts of Interest

The authors declare no conflict of interest. The funders had no role in the design of this study, in the collection, analyses, or interpretation of data, in the writing of the manuscript, or in the decision to publish the results.

References

  1. Brog, J.-P.; Chanez, C.-L.; Crochet, A.; Fromm, K.M. Polymorphism, What It Is and How to Identify It: A Systematic Review. RSC Adv. 2013, 3, 16905. [Google Scholar] [CrossRef]
  2. Braga, D.; Casali, L.; Grepioni, F. The Relevance of Crystal Forms in the Pharmaceutical Field: Sword of Damocles or Innovation Tools? Int. J. Mol. Sci. 2022, 23, 9013. [Google Scholar] [CrossRef]
  3. Karagianni, A.; Malamatari, M.; Kachrimanis, K. Pharmaceutical Cocrystals: New Solid Phase Modification Approaches for the Formulation of APIs. Pharmaceutics 2018, 10, 18. [Google Scholar] [CrossRef]
  4. Chistyakov, D.; Sergeev, G. The Polymorphism of Drugs: New Approaches to the Synthesis of Nanostructured Polymorphs. Pharmaceutics 2020, 12, 34. [Google Scholar] [CrossRef] [PubMed]
  5. Jurczak, E.; Mazurek, A.H.; Szeleszczuk, Ł.; Pisklak, D.M.; Zielińska-Pisklak, M. Pharmaceutical Hydrates Analysis—Overview of Methods and Recent Advances. Pharmaceutics 2020, 12, 959. [Google Scholar] [CrossRef]
  6. Liu, H.-B.; Chen, Y.; Zhang, X.-C. Characterization of Anhydrous and Hydrated Pharmaceutical Materials with THz Time-Domain Spectroscopy. J. Pharm. Sci. 2007, 96, 927–934. [Google Scholar] [CrossRef] [PubMed]
  7. Tian, F.; Qu, H.; Louhi-Kultanen, M.; Rantanen, J. Insight into Crystallization Mechanisms of Polymorphic Hydrate Systems. Chem. Eng. Technol. 2010, 33, 833–838. [Google Scholar] [CrossRef]
  8. Seddon, K.R. Pseudopolymorph: A Polemic. Cryst. Growth Des. 2004, 4, 1087. [Google Scholar] [CrossRef]
  9. Bernstein, J. ...And Another Comment on Pseudopolymorphism. Cryst. Growth Des. 2005, 5, 1661–1662. [Google Scholar] [CrossRef]
  10. Li, S.; Wang, T.; Huang, X.; Zhou, L.; Chen, M.; Liu, W.; Zhang, X.; Dong, Y.; Hao, H. The Role of Water in the Formation of Crystal Structures: A Case Study of Valnemulin Hydrochloride. CrystEngComm 2021, 23, 47–55. [Google Scholar] [CrossRef]
  11. Takahashi, M.; Uekusa, H. Dehydration and Rehydration Mechanisms of Pharmaceutical Crystals: Classification of Hydrates by Activation Energy. J. Pharm. Sci. 2022, 111, 618–627. [Google Scholar] [CrossRef]
  12. Sathisaran, I.; Dalvi, S. Engineering Cocrystals of Poorly Water-Soluble Drugs to Enhance Dissolution in Aqueous Medium. Pharmaceutics 2018, 10, 108. [Google Scholar] [CrossRef]
  13. Tian, F.; Qu, H.; Zimmermann, A.; Munk, T.; Jørgensen, A.C.; Rantanen, J. Factors Affecting Crystallization of Hydrates. J. Pharm. Pharmacol. 2010, 62, 1534–1546. [Google Scholar] [CrossRef] [PubMed]
  14. Chakravarty, P.; Suryanarayanan, R. Characterization and Structure Analysis of Thiamine Hydrochloride Methanol Solvate. Cryst. Growth Des. 2010, 10, 4414–4420. [Google Scholar] [CrossRef]
  15. Larsen, A.S.; Rantanen, J.; Johansson, K.E. Computational Dehydration of Crystalline Hydrates Using Molecular Dynamics Simulations. J. Pharm. Sci. 2017, 106, 348–355. [Google Scholar] [CrossRef] [PubMed]
  16. Mazurek, A.H.; Szeleszczuk, Ł.; Pisklak, D.M. Periodic DFT Calculations—Review of Applications in the Pharmaceutical Sciences. Pharmaceutics 2020, 12, 415. [Google Scholar] [CrossRef] [PubMed]
  17. Szeleszczuk, Ł.; Pisklak, D.M.; Zielińska-Pisklak, M. Does the Choice of the Crystal Structure Influence the Results of the Periodic DFT Calculations? A Case of Glycine Alpha Polymorph GIPAW NMR Parameters Computations. J. Comput. Chem. 2018, 39, 853–861. [Google Scholar] [CrossRef]
  18. Czernek, J.; Pawlak, T.; Potrzebowski, M.J.; Brus, J. The Comparison of Approaches to the Solid-State NMR-Based Structural Refinement of Vitamin B1 Hydrochloride and of Its Monohydrate. Chem. Phys. Lett. 2013, 555, 135–140. [Google Scholar] [CrossRef]
  19. Lonsdale, D. A Review of the Biochemistry, Metabolism and Clinical Benefits of Thiamin(e) and Its Derivatives. Evid.-Based Complement. Altern. Med. 2006, 3, 49–59. [Google Scholar] [CrossRef] [PubMed]
  20. Schnellbaecher, A.; Binder, D.; Bellmaine, S.; Zimmer, A. Vitamins in Cell Culture Media: Stability and Stabilization Strategies. Biotechnol. Bioeng. 2019, 116, 1537–1555. [Google Scholar] [CrossRef]
  21. Isenberg-Grzeda, E.; Rahane, S.; DeRosa, A.P.; Ellis, J.; Nicolson, S.E. Wernicke-Korsakoff Syndrome in Patients with Cancer: A Systematic Review. Lancet Oncol. 2016, 17, e142–e148. [Google Scholar] [CrossRef] [PubMed]
  22. Aleshin, V.A.; Mkrtchyan, G.V.; Bunik, V.I. Mechanisms of Non-Coenzyme Action of Thiamine: Protein Targets and Medical Significance. Biochemistry 2019, 84, 829–850. [Google Scholar] [CrossRef] [PubMed]
  23. EEML—World Health Organization Model List of Essential Medicines—22nd List. Available online: https://list.essentialmeds.org/ (accessed on 23 May 2023).
  24. Chakravarty, P.; Suryanarayanan, R.; Govindarajan, R. Phase Transformation in Thiamine Hydrochloride Tablets: Influence on Tablet Microstructure, Physical Properties, and Performance. J. Pharm. Sci. 2012, 101, 1410–1422. [Google Scholar] [CrossRef] [PubMed]
  25. Chakravarty, P.; Govindarajan, R.; Suryanarayanan, R. Investigation of Solution and Vapor Phase Mediated Phase Transformation in Thiamine Hydrochloride. J. Pharm. Sci. 2010, 99, 3941–3952. [Google Scholar] [CrossRef]
  26. Zhang, G.G.Z.; Law, D.; Schmitt, E.A.; Qiu, Y. Phase Transformation Considerations during Process Development and Manufacture of Solid Oral Dosage Forms. Adv. Drug Deliv. Rev. 2004, 56, 371–390. [Google Scholar] [CrossRef]
  27. Chakravarty, P.; Berendt, R.T.; Munson, E.J.; Young, V.G.; Govindarajan, R.; Suryanarayanan, R. Insights into the Dehydration Behavior of Thiamine Hydrochloride (Vitamin B1) Hydrates: Part II. J. Pharm. Sci. 2010, 99, 1882–1895. [Google Scholar] [CrossRef]
  28. Chakravarty, P.; Berendt, R.T.; Munson, E.J.; Young, V.G.; Govindarajan, R.; Suryanarayanan, R. Insights into the Dehydration Behavior of Thiamine Hydrochloride (Vitamin B1) Hydrates: Part I. J. Pharm. Sci. 2010, 99, 816–827. [Google Scholar] [CrossRef]
  29. Te, R.L.; Griesser, U.J.; Morris, K.R.; Byrn, S.R.; Stowell, J.G. X-ray Diffraction and Solid-State NMR Investigation of the Single-Crystal to Single-Crystal Dehydration of Thiamine Hydrochloride Monohydrate. Cryst. Growth Des. 2003, 3, 997–1004. [Google Scholar] [CrossRef]
  30. Castillo-Quevedo, C.; Buelna-Garcia, C.E.; Paredes-Sotelo, E.; Robles-Chaparro, E.; Zamora-Gonzalez, E.; Martin-del-Campo-Solis, M.F.; Quiroz-Castillo, J.M.; del-Castillo-Castro, T.; Martínez-Guajardo, G.; de-Leon-Flores, A.; et al. Effects of Temperature on Enantiomerization Energy and Distribution of Isomers in the Chiral Cu13 Cluster. Molecules 2021, 26, 5710. [Google Scholar] [CrossRef]
  31. Li, Z.H.; Truhlar, D.G. Nanothermodynamics of Metal Nanoparticles. Chem. Sci. 2014, 5, 2605–2624. [Google Scholar] [CrossRef]
  32. Buelna-García, C.E.; Robles-Chaparro, E.; Parra-Arellano, T.; Quiroz-Castillo, J.M.; del-Castillo-Castro, T.; Martínez-Guajardo, G.; Castillo-Quevedo, C.; de-León-Flores, A.; Anzueto-Sánchez, G.; Martin-del-Campo-Solis, M.F.; et al. Theoretical Prediction of Structures, Vibrational Circular Dichroism, and Infrared Spectra of Chiral Be4B8 Cluster at Different Temperatures. Molecules 2021, 26, 3953. [Google Scholar] [CrossRef]
  33. Salomon, G.; Tarrat, N.; Schön, J.C.; Rapacioli, M. Low-Energy Transformation Pathways between Naphthalene Isomers. Molecules 2023, 28, 5778. [Google Scholar] [CrossRef]
  34. Szeleszczuk, Ł.; Mazurek, A.H.; Milcarz, K.; Napiórkowska, E.; Pisklak, D.M. Can We Predict the Isosymmetric Phase Transition? Application of DFT Calculations to Study the Pressure Induced Transformation of Chlorothiazide. Int. J. Mol. Sci. 2021, 22, 10100. [Google Scholar] [CrossRef] [PubMed]
  35. Mazurek, A.; Szeleszczuk, Ł.; Pisklak, D.M. Can We Predict the Pressure Induced Phase Transition of Urea? Application of Quantum Molecular Dynamics. Molecules 2020, 25, 1584. [Google Scholar] [CrossRef]
  36. Clark, S.J.; Segall, M.D.; Pickard, C.J.; Hasnip, P.J.; Probert, M.I.J.; Refson, K.; Payne, M.C. First Principles Methods Using CASTEP. Z. Kristallogr. Cryst. Mater. 2005, 220, 567–570. [Google Scholar] [CrossRef]
  37. Model the Biosphere|BIOVIA—Dassault Systèmes. Available online: https://www.3ds.com/products-services/biovia/ (accessed on 1 October 2023).
  38. Koelling, D.D.; Harmon, B.N. A Technique for Relativistic Spin-Polarised Calculations. J. Phys. C Solid State Phys. 1977, 10, 3107–3114. [Google Scholar] [CrossRef]
  39. Perdew, J.P.; Burke, K.; Ernzerhof, M. Generalized Gradient Approximation Made Simple. Phys. Rev. Lett. 1996, 77, 3865–3868. [Google Scholar] [CrossRef] [PubMed]
  40. Tkatchenko, A.; Scheffler, M. Accurate Molecular Van Der Waals Interactions from Ground-State Electron Density and Free-Atom Reference Data. Phys. Rev. Lett. 2009, 102, 073005. [Google Scholar] [CrossRef] [PubMed]
  41. Packwood, D.; Kermode, J.; Mones, L.; Bernstein, N.; Woolley, J.; Gould, N.; Ortner, C.; Csányi, G. A Universal Preconditioner for Simulating Condensed Phase Materials. J. Chem. Phys. 2016, 144, 164109. [Google Scholar] [CrossRef]
  42. Pack, J.D.; Monkhorst, H.J. “Special Points for Brillouin-Zone Integrations”—A Reply. Phys. Rev. B 1977, 16, 1748–1749. [Google Scholar] [CrossRef]
  43. Pickard, C.J.; Mauri, F. All-Electron Magnetic Response with Pseudopotentials: NMR Chemical Shifts. Phys. Rev. B 2001, 63, 245101. [Google Scholar] [CrossRef]
  44. Bremen Center for Computational Materials Science—Universität Bremen. Available online: https://www.uni-bremen.de/bccms (accessed on 23 May 2023).
Figure 1. Chemical structure of thiamine cation.
Figure 1. Chemical structure of thiamine cation.
Molecules 28 07497 g001
Figure 2. Unit cell of NSH, refcode THIAMC12. Water molecules have been named UL (upper left), BL (bottom left), UR (upper right), and BR (bottom right).
Figure 2. Unit cell of NSH, refcode THIAMC12. Water molecules have been named UL (upper left), BL (bottom left), UR (upper right), and BR (bottom right).
Molecules 28 07497 g002
Figure 3. Unit cell of HH, refcode WUWJAA. Water molecules have been named UL (upper left), BL (bottom left), UR (upper right), and BR (bottom right).
Figure 3. Unit cell of HH, refcode WUWJAA. Water molecules have been named UL (upper left), BL (bottom left), UR (upper right), and BR (bottom right).
Molecules 28 07497 g003
Figure 4. Experimental (exp I, exp II) and calculated unit cell dimensions of MH; for better comparison, the equal range of vertical axis–1.2 Å–has been used for all three unit cell lengths (a, b, and c). For MH2W, the arithmetic mean of the results (MH2W BLUR, MH2W ULBL, and MH2W ULUR) was shown.
Figure 4. Experimental (exp I, exp II) and calculated unit cell dimensions of MH; for better comparison, the equal range of vertical axis–1.2 Å–has been used for all three unit cell lengths (a, b, and c). For MH2W, the arithmetic mean of the results (MH2W BLUR, MH2W ULBL, and MH2W ULUR) was shown.
Molecules 28 07497 g004
Figure 5. Experimental (exp I) and calculated unit cell dimensions of HH; for better comparison, the equal range of vertical axis–1.4 Å–has been used for all three unit cell lengths (a, b, and c). For HH2W, the arithmetic mean of the results (HH2W BLUR, HH2W ULBL, and HH2W ULUR) was shown.
Figure 5. Experimental (exp I) and calculated unit cell dimensions of HH; for better comparison, the equal range of vertical axis–1.4 Å–has been used for all three unit cell lengths (a, b, and c). For HH2W, the arithmetic mean of the results (HH2W BLUR, HH2W ULBL, and HH2W ULUR) was shown.
Molecules 28 07497 g005
Figure 6. Carbon atom numbering of THCL used in the NMR analysis.
Figure 6. Carbon atom numbering of THCL used in the NMR analysis.
Molecules 28 07497 g006
Figure 7. Chosen regions of the 13C CP MAS NMR spectra of NSH at various degrees of hydration (0.90, 0.41, and 0.04). Reprinted from [28] with permission from Elsevier.
Figure 7. Chosen regions of the 13C CP MAS NMR spectra of NSH at various degrees of hydration (0.90, 0.41, and 0.04). Reprinted from [28] with permission from Elsevier.
Molecules 28 07497 g007
Figure 8. 13C CP MAS NMR spectra of 0.9 hydrate of NSH. Reprinted from [28] with permission from Elsevier.
Figure 8. 13C CP MAS NMR spectra of 0.9 hydrate of NSH. Reprinted from [28] with permission from Elsevier.
Molecules 28 07497 g008
Figure 9. The chosen region of the 13C CP MAS NMR spectra of HH and the partially dehydrated form of HH named HH2. Asterisk indicates spinning sideband. Reprinted from [27] with permission from Elsevier.
Figure 9. The chosen region of the 13C CP MAS NMR spectra of HH and the partially dehydrated form of HH named HH2. Asterisk indicates spinning sideband. Reprinted from [27] with permission from Elsevier.
Molecules 28 07497 g009
Figure 10. Optimized crystal unit cell of HH4W; pink dashed lines represent the intermolecular interactions. Atom coloring: N—blue, C grey, S—yellow, H—white, and O—red. The colors of symmetry equivalent Cl atoms are either violet (Cl1) or green (Cl2).
Figure 10. Optimized crystal unit cell of HH4W; pink dashed lines represent the intermolecular interactions. Atom coloring: N—blue, C grey, S—yellow, H—white, and O—red. The colors of symmetry equivalent Cl atoms are either violet (Cl1) or green (Cl2).
Molecules 28 07497 g010
Figure 11. Optimized crystal unit cells of HH4W, HH3W, HH2W, HH1W, and HH0W. For comparison, please refer to Figure 10.
Figure 11. Optimized crystal unit cells of HH4W, HH3W, HH2W, HH1W, and HH0W. For comparison, please refer to Figure 10.
Molecules 28 07497 g011
Table 1. Crystallographic information concerning the chosen structures of thiamine hydrochloride.
Table 1. Crystallographic information concerning the chosen structures of thiamine hydrochloride.
CCDC
Refcode
Space GroupZT [K]a
[Å]
b
[Å]
c
[Å]
α [°]β
[°]
γ [°]V
3]
Structure
Description
Structure Code in This WorkRef.
THIAMC12P21/n42966.99320.66311.779098.699901681Thiamine
hydrochloride
monohydrate
EXP II MH4W[29]
THIAMC14P21/n41736.96520.50111.679098.406901648Thiamine
hydrochloride
monohydrate
EXP I MH4W[27]
UNEXOAP21/n42637.09919.80811.63890101.529901604Thiamine
hydrochloride
anhydrous
EXP II MH0W[29]
WUWJAAC2/c817329.9216.13822.04190128.684903160Thiamine
hydrochloride
hemihydrate
EXP I
HH4W
[27]
Table 2. Structures used for calculations prepared from the THIAMC12-NSH.
Table 2. Structures used for calculations prepared from the THIAMC12-NSH.
CodeWater Molecules RemovedWater Molecules LeftWater: THCL Stoichiometry
MH4WnoneUL, BL, UR, BR1
MH3WULBL, UR, RR 0.75
MH2W BLURUL, BRBL, UR0.5
MH2W ULBLUR, BRUL, BL0.5
MH2W ULURBL, BRUL, UR0.5
MH1WBL, UR, RRUL0.25
MH0WUL, BL, UR, BRnone0
Table 3. Structures used for calculations prepared from the WUWJAA-HH.
Table 3. Structures used for calculations prepared from the WUWJAA-HH.
CodeWater Molecules RemovedWater Molecules LeftWater: THCL Stoichiometry
HH4WnoneUL, BL, UR, BR0.5
HH3WULBL, UR, RR 0.375
HH2W BLURUL, BRBL, UR0.25
HH2W ULBLUR, BRUL, BL0.25
HH2W ULURBL, BRUL, UR0.25
HH1WBL, UR, RRUL0.125
HH0WUL, BL, UR, BRnone0
Table 4. Optimized unit cell dimensions of the MH structures of various hydration ratios, compared with the experimental ones.
Table 4. Optimized unit cell dimensions of the MH structures of various hydration ratios, compared with the experimental ones.
CodeEnergy
[kcal/mol]
Relative Energy
[kcal/mol]
a [Å]b [Å]c [Å]α [°]β [°]γ [°]V [Å3]
MH4W−499,908.604−43,190.8057.02220.59811.50089.99898.36890.0121645.507
MH3W−489,110.139−32,392.3407.03120.47811.47790.03199.14890.6471631.380
MH2W BLUR−478,312.186−21,594.3877.03420.36511.46289.858100.18491.4721615.564
MH2W ULBL−478,312.416−21,594.6177.02120.36411.44990.00399.77890.0061613.213
MH2W ULUR−478,311.772−21,593.9737.03120.33711.42490.00499.97489.9841608.722
MH1W−467,514.597−10,796.7987.03020.22511.42389.945100.79390.7401595.441
MH0W−456,717.79907.02220.06411.48290.004101.71490.0021584.016
EXPII MH4W- 6.99320.66311.77090.00098.69990.0001681.047
EXPII MH0W- 7.09919.80811.63890.000101.52990.0001603.545
EXPI MH4W- 6.96520.50111.67090.00098.40690.0001648.428
Table 5. Optimized unit cell dimensions of the HH structures of various hydration ratios, compared with the experimental ones.
Table 5. Optimized unit cell dimensions of the HH structures of various hydration ratios, compared with the experimental ones.
CodeEnergy
[kcal/mol]
Relative Energy
[kcal/mol]
a [Å]b [Å]c [Å]α [°]β [°]γ [°]V [Å3]
HH4W−956,630.306−43,198.08529.7986.08322.14190.089127.85589.9303168.616
HH3W−945,830.348−32,398.12729.7616.04622.15090.030127.54189.9783160.184
HH2W BLUR−935,030.608−21,598.38729.7346.00922.16090.005127.26089.9953151.170
HH2W ULBL−935,030.916−21,598.69529.7266.00322.16290.105127.23089.9153148.795
HH2W ULUR−935,030.539−21,598.31829.7306.01222.16189.996127.28990.0013151.079
HH1W−924,231.287−10,799.06629.6865.96622.16789.961126.92490.0313138.81
HH0W−913,432.221029.6185.92222.16490.000126.52290.0003124.258
EXP HH4W- 29.9216.13822.04190.000128.68490.0003160.049
Table 6. Energy values of the optimized structures. Due to the differences in Z, eight for HH, and four for MH, values obtained for HH have been divided by two to enable the comparison. Explanations of the abbreviations can be found in Table 2 and Table 3.
Table 6. Energy values of the optimized structures. Due to the differences in Z, eight for HH, and four for MH, values obtained for HH have been divided by two to enable the comparison. Explanations of the abbreviations can be found in Table 2 and Table 3.
CodeEnergy
[kcal/mol]
CodeEnergy
[kcal/mol]
Δ(HH-MH)
[kcal/mol]
THCL: water ratio 2:1
HH4W−478,315.153MH2W BLUR−478,312.186−2.967
MH2W ULBL−478,312.416−2.737
MH2W ULUR−478,311.772−3.381
THCL: water ratio 4:1
HH2W BLUR−467,515.304MH1W−467,514.597−0.707
HH2W ULBL−467,515.458 −0.861
HH2W ULUR−467,515.270 −0.672
Anhydrous structures
HH0W−456,716.111MH0W−456,717.7991.688
Table 7. Dehydration energies are defined as the energy required to remove one water molecule for each step (1–4) of this process. HH—hemihydrate, MH—monohydrate.
Table 7. Dehydration energies are defined as the energy required to remove one water molecule for each step (1–4) of this process. HH—hemihydrate, MH—monohydrate.
StepNumber of Water MoleculesHH
[kcal/mol]
MH
[kcal/mol]
Δ(HH-MH)
[kcal/mol]
14 W → 3 W18.84817.3561.492
23 W → 2 W18.32216.6131.709
32 W → 1 W18.52016.7091.811
41 W → 0 W17.95615.6882.268
Table 8. Calculated chemical shift values for carbon atoms, compared with the experimental ones. Atom numbering is presented in Figure 6. Explanations of the abbreviations (structure codes) can be found in Table 2. Due to Z = 4, for each carbon atom, four theoretical values have been obtained from calculations. To facilitate the analysis of the data in the table, the two-color scale was applied. The cell that holds the minimum is colored red, and the cell that holds the maximum value is colored blue. All other cells are colored proportionally. SD—standard deviation of the four values.
Table 8. Calculated chemical shift values for carbon atoms, compared with the experimental ones. Atom numbering is presented in Figure 6. Explanations of the abbreviations (structure codes) can be found in Table 2. Due to Z = 4, for each carbon atom, four theoretical values have been obtained from calculations. To facilitate the analysis of the data in the table, the two-color scale was applied. The cell that holds the minimum is colored red, and the cell that holds the maximum value is colored blue. All other cells are colored proportionally. SD—standard deviation of the four values.
Structure Code C8C9C1C11C2C3
SD1 [ppm]2 [ppm]3 [ppm]4 [ppm]SD1 [ppm]2 [ppm]3 [ppm]4 [ppm]SD1 [ppm]2 [ppm]3 [ppm]4 [ppm]SD1 [ppm]2 [ppm]3 [ppm]4 [ppm]SD1 [ppm]2 [ppm]3 [ppm]4 [ppm]SD1 [ppm]2 [ppm]3 [ppm]4 [ppm]
MH4W0.01163.92163.95163.94163.950.02160.45160.43160.46160.410.01149.78149.79149.76149.780.01148.00148.00148.02148.000.02147.21147.19147.22147.180.02140.73140.77140.74140.79
MH3W0.83162.54163.93163.91164.870.12160.57160.42160.50160.260.43149.40148.45149.23149.560.23147.99148.35148.30147.790.79147.23148.65146.52147.021.24140.93139.83143.26141.22
MH2W BLUR1.28162.52165.07162.54165.090.22160.75160.30160.74160.300.35149.05148.33149.04148.360.12148.26148.02148.25148.020.95146.61148.52146.59148.491.75143.61140.10143.60140.11
MH2W ULBL0.27163.94163.40163.40163.940.02160.51160.47160.47160.510.56148.35149.46149.47148.330.27148.44147.91147.90148.450.32147.70147.09147.05147.720.53142.59141.44141.52142.50
MH2W ULUR1.21164.89164.88162.46162.460.14160.31160.32160.59160.590.59149.11149.15147.93147.960.10147.96147.97148.18148.161.16146.38146.33148.68148.671.96143.77143.78139.87139.84
MH1W0.96162.39163.48163.49165.070.17160.78160.45160.59160.310.41147.95148.15149.04148.280.10148.33148.07148.10148.110.75147.72148.54146.43147.711.49142.84140.04144.15142.71
MH0W0.01162.68162.68162.69162.670.01160.96160.94160.95160.950.01148.41148.41148.38148.420.00148.27148.27148.28148.270.01148.29148.28148.28148.270.01143.28143.27143.26143.28
EXPII MH4W0.00163.50163.50163.50163.500.00163.50163.50163.50163.500.00153.20153.20153.20153.200.00147.70147.70147.70147.700.00145.50145.50145.50145.500.00134.50134.50134.50134.50
EXPII MH0W0.00163.20163.20163.20163.200.00163.20163.20163.20163.200.00153.10153.10153.10153.100.00148.00148.00148.00148.000.00145.50145.50145.50145.500.00136.40136.40136.40136.40
EXPI 0.90H2O0.00163.20163.20163.20163.200.00163.20163.20163.20163.200.00153.10153.10153.10153.100.00147.70147.70147.70147.700.00145.20145.20145.20145.200.00134.50134.50134.50134.50
EXPI 0.41H2O0.00163.00163.00163.00163.000.00163.00163.00163.00163.000.00153.00153.00153.00153.000.00147.70147.70147.70147.700.00145.20145.20145.20145.200.00135.20135.20135.20135.20
EXPI 0.04H2O0.00163.00163.00163.00163.000.00163.00163.00163.00163.000.00153.00153.00153.00153.000.00147.70147.70147.70147.700.00145.20145.20145.20145.200.00136.50136.50136.50136.50
MH0W-MH4W−1.24−1.27−1.25−1.28 0.510.510.490.54 −1.37−1.38−1.38−1.36 0.270.270.260.27 1.081.091.061.09 2.552.502.522.49
EXPII MH0W-EXPII MH4W−0.30−0.30−0.30−0.30 −0.30−0.30−0.30−0.30 −0.10−0.10−0.10−0.10 0.300.300.300.30 0.000.000.000.00 1.901.901.901.90
Structure CodeC10C6C7C5C12C4
SD1 [ppm]2 [ppm]3 [ppm]4 [ppm]SD1 [ppm]2 [ppm]3 [ppm]4 [ppm]SD1 [ppm]2 [ppm]3 [ppm]4 [ppm]SD1 [ppm]2 [ppm]3 [ppm]4 [ppm]SD1 [ppm]2 [ppm]3 [ppm]4 [ppm]SD1 [ppm]2 [ppm]3 [ppm]4 [ppm]
MH4W0.01109.25109.27109.25109.260.0062.2662.2662.2662.250.0151.4751.5051.4851.470.0126.5826.6026.5926.580.0219.4219.4719.4519.450.0112.4712.4712.4512.48
MH3W0.45109.96108.94108.83109.070.2162.2762.1361.862.350.4451.2252.2352.1151.400.3326.6227.4327.2626.790.4920.5019.5719.1619.570.6212.1213.6012.3312.08
MH2W BLUR0.51109.68108.65109.66108.640.3161.7662.3761.7562.370.1551.9852.2751.9952.280.2227.3227.7427.3127.780.1920.2519.8320.1819.830.6712.0013.4012.0313.32
MH2W ULBL0.59108.68109.86109.85108.680.2961.8562.4462.4361.870.8052.9151.3051.3052.870.4727.8826.9426.9527.870.5519.4320.5220.5319.430.9513.6911.8411.8113.74
MH2W ULUR0.61108.55108.54109.77109.750.2161.8361.8262.2362.250.0251.9951.9852.0352.000.0527.3027.3427.4227.420.6719.4619.4220.7920.750.6512.1012.1013.4013.41
MH1W0.50109.40109.32109.30108.200.2361.7962.4161.9162.010.3752.7852.1051.9652.750.2227.8827.9027.4428.030.4320.5220.7520.3919.600.7613.4213.0611.7313.72
MH0W0.01108.47108.45108.47108.460.0164.0964.164.0964.110.0052.8652.8652.8652.860.0127.9627.9527.9527.970.0121.0321.0421.0421.020.0213.2013.2413.2113.23
EXPII MH4W0.00107.70107.70107.70107.700.0059.9059.9059.9059.900.0052.4052.4052.4052.400.0028.3028.3028.3028.300.0022.6022.6022.6022.600.0014.6014.6014.6014.60
EXPII MH0W0.00107.10107.10107.10107.100.0062.4062.4062.4062.400.0052.6052.6052.6052.600.0030.1030.1030.1030.100.0023.1023.1023.1023.100.0015.6015.6015.6015.60
EXPI 0.90H2O0.00107.80107.80107.80107.800.0060.0060.0060.0060.000.0052.5052.5052.5052.500.0028.7028.7028.7028.700.0022.5022.5022.5022.500.0014.7014.7014.7014.70
EXPI 0.41H2O0.00107.50107.50107.50107.500.0060.8060.8060.8060.800.0052.6052.6052.6052.600.0029.5029.5029.5029.500.0022.6022.6022.6022.600.0015.3015.3015.3015.30
EXPI 0.04H2O0.00107.00107.00107.00107.000.0062.6062.6062.6062.600.0052.7052.7052.7052.700.0030.4030.4030.4030.400.0023.0023.0023.0023.000.0015.7015.7015.7015.70
MH0W-MH4W−0.78−0.82−0.78−0.80 1.831.841.831.86 1.391.361.381.39 1.381.351.361.39 1.611.571.591.57 0.730.770.760.75
EXPII MH0W-EXPII MH4W−0.60−0.60−0.60−0.60 2.502.502.502.50 0.200.200.200.20 1.801.801.801.80 0.500.500.500.50 1.001.001.001.00
Table 9. Calculated chemical shift values for carbon atoms, compared with the experimental ones. Atom numbering is presented in Figure 6. Explanations of the abbreviations (structure codes) can be found in Table 2. Due to Z = 8, for each carbon atom, eight theoretical values have been obtained from calculations. To facilitate the analysis of the data in the table, the two-color scale was applied. The cell that holds the minimum is colored red, and the cell that holds the maximum value is colored blue. All other cells are colored proportionally. SD—standard deviation of the four values.
Table 9. Calculated chemical shift values for carbon atoms, compared with the experimental ones. Atom numbering is presented in Figure 6. Explanations of the abbreviations (structure codes) can be found in Table 2. Due to Z = 8, for each carbon atom, eight theoretical values have been obtained from calculations. To facilitate the analysis of the data in the table, the two-color scale was applied. The cell that holds the minimum is colored red, and the cell that holds the maximum value is colored blue. All other cells are colored proportionally. SD—standard deviation of the four values.
Structure CodeC8C9C1
SD1
[ppm]
2
[ppm]
3
[ppm]
4
[ppm]
5
[ppm]
6
[ppm]
7
[ppm]
8
[ppm]
SD1
[ppm]
2
[ppm]
3
[ppm]
4
[ppm]
5
[ppm]
6
[ppm]
7
[ppm]
8
[ppm]
SD1
[ppm]
2
[ppm]
3
[ppm]
4
[ppm]
5
[ppm]
6
[ppm]
7
[ppm]
8
[ppm]
HH4W0.04164.49164.39164.42164.50164.45164.44164.41164.470.03164.73164.65164.66164.72164.69164.66164.71164.730.06155.6155.57155.73155.72155.65155.67155.72155.6
HH3W0.17164.66164.49164.64164.57164.31164.24164.29164.260.05164.74164.71164.71164.75164.71164.59164.72164.740.44155.81155.63155.85155.73155.75156.77155.73156.81
HH2W ULBL0.07164.37164.44164.30164.48164.35164.40164.29164.460.09164.59164.67164.54164.76164.56164.66164.53164.590.45156.66155.75156.77155.88156.67155.76156.76156.66
HH2W BLUR0.04164.43164.30164.41164.36164.35164.41164.36164.430.04164.65164.69164.61164.71164.71164.6164.7164.650.52156.81155.77156.86155.81155.8156.86155.78156.81
HH2W ULUR0.30164.12163.97164.00164.09164.62164.64164.64164.630.06164.62164.54164.54164.63164.69164.64164.64164.620.46156.76156.67156.71156.7155.82155.75155.75156.76
HH1W0.16164.23164.05164.15164.11164.45164.45164.43164.430.07164.58164.49164.52164.51164.68164.47164.63164.580.42156.81156.72156.74156.7155.87156.84155.75156.81
HH0W0.01164.29164.31164.30164.30164.30164.28164.30164.290.01164.52164.52164.52164.51164.51164.51164.51164.520.02156.79156.81156.75156.81156.78156.8156.77156.79
EXP HH4W0.00164.50164.50164.50164.50164.50164.50164.50164.500.00164.50164.50164.50164.50164.50164.50164.50164.500.00155.50155.50155.50155.50155.50155.50155.50155.50
HH0W-HH4W−0.20−0.08−0.12−0.20−0.15−0.16−0.11−0.18 −0.21−0.13−0.14−0.21−0.18−0.15−0.20−0.24 1.191.241.021.091.131.131.051.07
Structure CodeC11C2C3
SD1
[ppm]
2
[ppm]
3
[ppm]
4
[ppm]
5
[ppm]
6
[ppm]
7
[ppm]
8
[ppm]
SD1
[ppm]
2
[ppm]
3
[ppm]
4
[ppm]
5
[ppm]
6
[ppm]
7
[ppm]
8
[ppm]
SD1
[ppm]
2
[ppm]
3
[ppm]
4
[ppm]
5
[ppm]
6
[ppm]
7
[ppm]
8
[ppm]
HH4W0.02148.87148.85148.88148.92148.90148.87148.89148.910.06147.45147.37147.35147.43147.33147.33147.47147.480.25140.16140.62140.56140.12140.62140.62140.06140.16
HH3W0.18149.04149.17149.04149.21148.93148.68148.91148.720.10147.37147.53147.28147.48147.44147.24147.51147.340.37140.43139.68140.73139.68140.6140.51140.19140.43
HH2W ULBL0.02149.05149.04149.05149.08149.04149.05149.03149.080.03147.34147.36147.39147.40147.38147.32147.38147.420.50139.67140.83139.6140.36139.66140.81139.63139.67
HH2W BLUR0.19148.84149.23148.87149.23149.24148.83149.21148.870.19147.23147.58147.13147.56147.55147.18147.60147.240.48140.42139.64140.75139.62139.66140.71139.59140.42
HH2W ULUR0.29148.74148.68148.72148.69149.31149.26149.28149.300.06147.31147.27147.26147.32147.40147.40147.43147.380.33140.13140.6140.55140.16139.81139.77139.79140.13
HH1W0.18148.86149.04148.83149.07149.36149.18149.32149.220.10147.26147.43147.19147.42147.47147.28147.49147.320.38140.32139.56140.72139.6139.79139.72139.8140.32
HH0W0.01149.29149.31149.32149.30149.29149.30149.30149.310.01147.38147.39147.41147.39147.39147.39147.40147.410.01139.81139.77139.8139.79139.81139.8139.81139.81
EXP HH4W0.00148.00148.00148.00148.00148.00148.00148.00148.000.00146.00146.00146.00146.00146.00146.00146.00146.000.00140.00140.00140.00140.00140.00140.00140.00140.00
HH0W-HH4W0.420.460.440.380.390.430.410.40 −0.070.020.06−0.040.060.06−0.07−0.07 −0.35−0.85−0.76−0.33−0.81−0.82−0.25−0.28
Structure CodeC10C6C7
SD1
[ppm]
2
[ppm]
3
[ppm]
4
[ppm]
5
[ppm]
6
[ppm]
7
[ppm]
8
[ppm]
SD1
[ppm]
2
[ppm]
3
[ppm]
4
[ppm]
5
[ppm]
6
[ppm]
7
[ppm]
8
[ppm]
SD1
[ppm]
2
[ppm]
3
[ppm]
4
[ppm]
5
[ppm]
6
[ppm]
7
[ppm]
8
[ppm]
HH4W0.03108.17108.20108.15108.09108.14108.16108.18108.140.2167.6768.0768.0567.6668.0768.1067.6567.630.0350.2450.3150.3150.2250.2650.2850.2950.28
HH3W0.22108.15108.16108.12108.09108.24108.68108.29108.670.2267.8267.4868.1567.5468.0067.9767.6467.750.0650.1150.1750.1750.1550.2550.0750.2650.13
HH2W ULBL0.18108.52108.22108.55108.17108.51108.20108.57108.130.3067.3968.1067.3367.6967.4068.1067.3367.690.0649.9850.1350.0450.0749.9650.1150.0050.07
HH2W BLUR0.23108.61108.18108.62108.13108.14108.65108.21108.630.2567.7367.4268.0467.4567.4968.0167.3967.780.0949.9550.1649.9850.1150.1149.9650.1449.96
HH2W ULUR0.34108.67108.71108.69108.67107.98108.02108.01107.990.1667.5567.8967.9067.5167.5967.4767.4867.560.0450.0350.0650.0850.0049.9949.9849.9849.99
HH1W0.22108.59108.58108.59108.54108.04108.39108.05108.400.2067.5867.2467.9267.2767.4867.3967.4067.430.0449.8749.9349.8849.9149.9449.8249.9449.83
HH0W0.01108.47108.48108.47108.47108.48108.49108.48108.490.0167.3567.3567.3467.3667.3567.3567.3267.360.0149.8249.8349.8249.8149.8149.8349.8149.82
EXP HH4W0.00107.00107.00107.00107.00107.00107.00107.00107.000.0065.5065.5065.5065.5065.5065.5065.5065.500.0052.0052.0052.0052.0052.0052.0052.0052.00
HH0W-HH4W0.300.280.320.380.340.330.300.35 −0.32−0.72−0.71−0.30−0.72−0.75−0.33−0.27 −0.42−0.48−0.49−0.41−0.45−0.45−0.48−0.46
Structure CodeC5C12C4
SD1
[ppm]
2
[ppm]
3
[ppm]
4
[ppm]
5
[ppm]
6
[ppm]
7
[ppm]
8
[ppm]
SD1
[ppm]
2
[ppm]
3
[ppm]
4
[ppm]
5
[ppm]
6
[ppm]
7
[ppm]
8
[ppm]
SD1
[ppm]
2
[ppm]
3
[ppm]
4
[ppm]
5
[ppm]
6
[ppm]
7
[ppm]
8
[ppm]
HH4W0.1430.2229.9629.9630.2229.9329.9430.2330.210.0524.4324.4424.5224.5324.4924.4224.4924.430.1115.6615.5215.5615.7115.5915.4115.6215.78
HH3W0.3530.3729.4330.1029.4330.0530.0430.2830.300.0924.5624.3324.624.424.3824.4724.3524.560.1015.6915.8915.5915.8615.7215.6015.8115.75
HH2W ULBL0.4029.5030.1029.5330.4429.5230.1029.5330.450.0624.2824.3424.2924.4524.2924.3224.3224.280.1315.9615.6215.9115.9015.9315.6315.9115.89
HH2W BLUR0.3930.3729.4930.1229.4729.5030.1029.4930.390.1624.5424.1624.4824.2324.224.5124.1924.540.1515.7915.9515.6015.9915.9315.6015.9515.71
HH2W ULUR0.3730.3629.9929.9830.3529.4729.4929.5029.440.0624.2724.2324.2424.2624.3824.3424.3324.270.0715.8215.6815.6715.8515.8315.7815.7615.89
HH1W0.3230.4929.5730.0929.5929.5829.6229.5729.600.0924.3324.1124.324.124.2424.3124.1724.330.0815.8215.9715.7015.9415.9115.8015.9115.84
HH0W0.0129.7229.7529.7329.7629.7329.7529.7429.760.0124.2324.2624.2324.2424.2624.2524.2624.230.0116.0015.9816.0115.9815.9815.9715.9815.98
EXP HH4W0.0031.0031.0031.0031.0031.0031.0031.0031.000.0024.0024.0024.0024.0024.0024.0024.0024.000.0018.5018.5018.5018.5018.5018.5018.5018.50
HH0W-HH4W−0.50−0.21−0.23−0.46−0.20−0.19−0.49−0.45 −0.20−0.18−0.29−0.29−0.23−0.17−0.23−0.31 0.340.460.450.270.390.560.360.20
Table 10. Optimized (DFTB+) unit cell dimensions of the MH structures of various hydration ratios, compared with the experimental ones.
Table 10. Optimized (DFTB+) unit cell dimensions of the MH structures of various hydration ratios, compared with the experimental ones.
CodeEnergy
[kcal/mol]
a [Å]b [Å]c [Å]α [°]β [°]γ [°]V [Å3]
MH4W−133,137.107.01420.83111.13990.00099.64490.0001604.557
MH3W−130,565.986.96520.80911.19289.843100.17790.9441596.371
MH2W BLUR−127,995.216.90520.79611.27290.07101.03491.4231588.170
MH2W ULBL−127,995.756.92720.77311.19890.000100.53690.0001584.090
MH2W ULUR−127,994.896.96720.49711.29490.000100.75390.0001584.492
MH1W−125,424.936.94120.38811.32190.296101.28490.0721571.063
MH0W−122,856.046.93420.07811.40290.000101.66490.0001554.529
EXPII MH4W-6.99320.66311.77090.00098.69990.0001681.047
EXPII MH0W-7.09919.80811.63890.000101.52990.0001603.545
EXPI MH4W-6.96520.50111.67090.00098.40690.0001648.428
EXPI MH0W-nd19.79011.600ndndndnd
Table 11. Optimized (DFTB+) unit cell dimensions of the HH structures of various hydration ratios, compared with the experimental ones.
Table 11. Optimized (DFTB+) unit cell dimensions of the HH structures of various hydration ratios, compared with the experimental ones.
CodeEnergy
[kcal/mol]
a [Å]b [Å]c [Å]α [°]β [°]γ [°]V [Å3]
HH4W−256,549.7530.4456.15922.19089.688131.55890.3793113.379
HH3W−255,972.9629.9736.11722.23190.169129.50589.8423144.949
HH2W BLUR−253,402.5230.1166.03722.24490.091128.99689.9163143.336
HH2W ULBL−250,832.7130.1115.98022.22290.000128.34290.0003138.280
HH2W ULUR−250,833.1630.1675.95122.23190.182128.23089.8533135.101
HH1W−250,832.6530.1635.96222.23590.000128.34390.0003136.250
HH0W−256,549.7530.4456.15922.19089.688131.55890.3793113.379
EXP HH4W-29.9216.13822.04190.000128.68490.0003160.049
Disclaimer/Publisher’s Note: The statements, opinions and data contained in all publications are solely those of the individual author(s) and contributor(s) and not of MDPI and/or the editor(s). MDPI and/or the editor(s) disclaim responsibility for any injury to people or property resulting from any ideas, methods, instructions or products referred to in the content.

Share and Cite

MDPI and ACS Style

Napiórkowska, E.; Szeleszczuk, Ł.; Milcarz, K.; Pisklak, D.M. Density Functional Theory and Density Functional Tight Binding Studies of Thiamine Hydrochloride Hydrates. Molecules 2023, 28, 7497. https://doi.org/10.3390/molecules28227497

AMA Style

Napiórkowska E, Szeleszczuk Ł, Milcarz K, Pisklak DM. Density Functional Theory and Density Functional Tight Binding Studies of Thiamine Hydrochloride Hydrates. Molecules. 2023; 28(22):7497. https://doi.org/10.3390/molecules28227497

Chicago/Turabian Style

Napiórkowska, Ewa, Łukasz Szeleszczuk, Katarzyna Milcarz, and Dariusz Maciej Pisklak. 2023. "Density Functional Theory and Density Functional Tight Binding Studies of Thiamine Hydrochloride Hydrates" Molecules 28, no. 22: 7497. https://doi.org/10.3390/molecules28227497

APA Style

Napiórkowska, E., Szeleszczuk, Ł., Milcarz, K., & Pisklak, D. M. (2023). Density Functional Theory and Density Functional Tight Binding Studies of Thiamine Hydrochloride Hydrates. Molecules, 28(22), 7497. https://doi.org/10.3390/molecules28227497

Article Metrics

Back to TopTop