Effect of Electron-Beam Irradiation on Functional Compounds and Biological Activities in Peanut Shells
Abstract
:1. Introduction
2. Results and Discussion
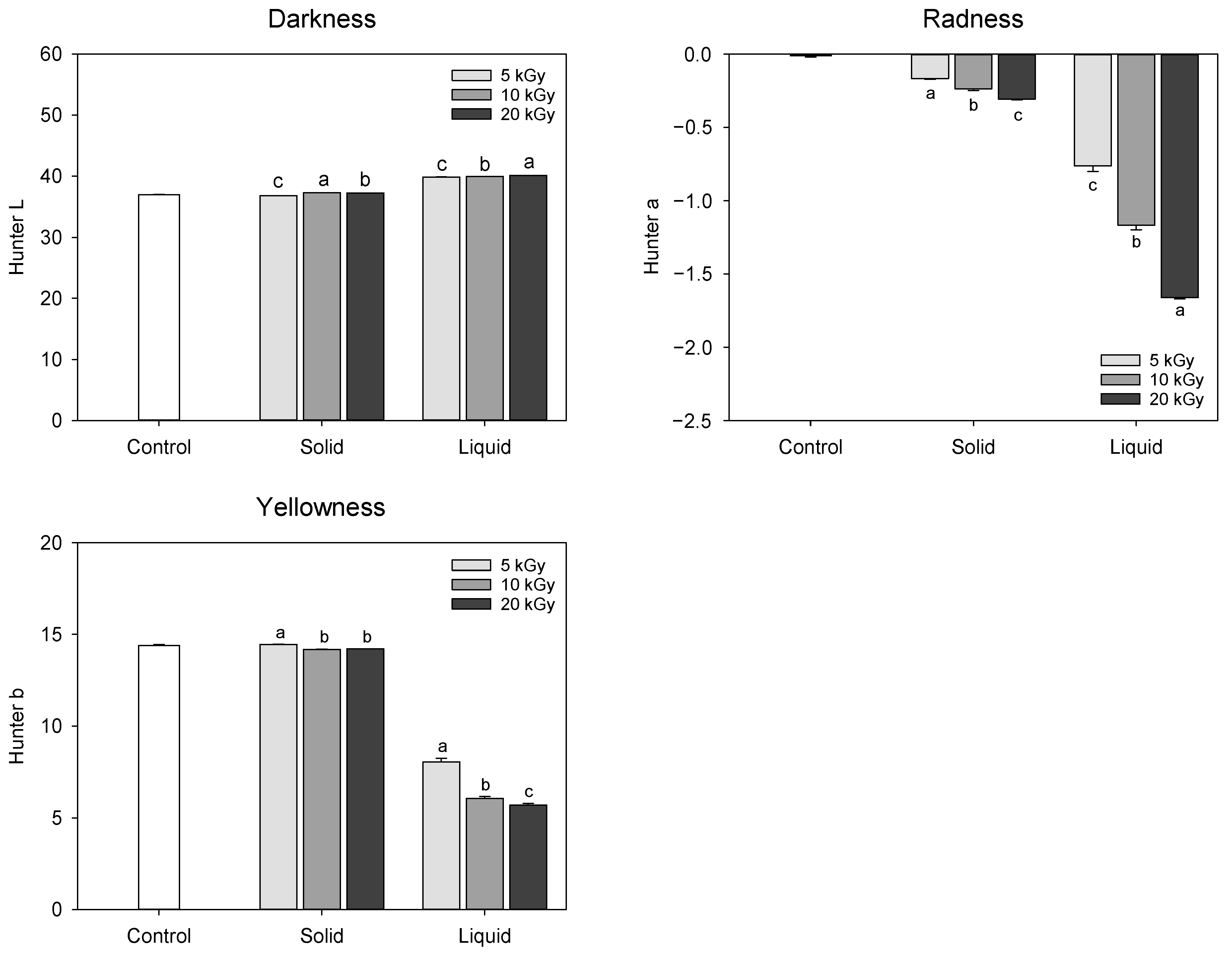
2.1. Evaluation of Extract Color and Functional Compound Content in Electron-Beam-Irradiated Peanut Shell
2.2. Evaluation of Biological Activities in Electron-Beam-Irradiated Peanut Shell
2.3. Identification of Phenolic Compounds in Peanut Shell Using Ultra-Performance Liquid Chromatography–Ion Mobility Mass Spectrometry–Quadrupole Time-of-Flight (UPLC–IMS–QTOf) and Relative Quantification of Major Phenolic Compounds in Electron-Beam-Irradiated Peanut Shell Using High-Performance Liquid Chromatography Coupled with Photodiode Arrary Detector (HPLC–PDA)
2.4. Mutagenicity Assay
3. Materials and Methods
3.1. Reagents and Standards
3.2. Plant Materials and Sample Preparation
3.3. Electron-Beam Irradiation
3.4. Determination of Extract Color
3.5. Determination of Functional Compound Contents
3.6. Evaluation of Antioxidant Activities
3.7. Evaluation of Biological Activities
3.8. Identification and Relative Quantification of Phenolic Compounds in Peanut Shell Using UPLC–IMS–QTOf and HPLC-PDA
3.9. Mutagenicity Assay
3.10. Statistical Analysis
4. Conclusions
Author Contributions
Funding
Institutional Review Board Statement
Informed Consent Statement
Data Availability Statement
Conflicts of Interest
Sample Availability
References
- Hassan, A.B.; Al Maiman, S.A.; Alshammari, G.M.; Mohammed, M.A.; Alhuthayli, H.F.; Ahmed, I.A.M.; Alfawaz, M.A.; Yagoub, A.E.A.; Fickak, A.; Osman, M.A. Effects of boiling and roasting treatments on the content of total phenolics and flavonoids and the antioxidant activity of peanut (Arachis hypogaea L.) pod shells. Processes 2021, 9, 1542. [Google Scholar] [CrossRef]
- Bodoira, R.; Cecilia Cittadini, M.; Velez, A.; Rossi, Y.; Montenegro, M.; Martínez, M.; Maestri, D. An overview on extraction, composition, bioactivity and food applications of peanut phenolics. Food Chem. 2022, 381, 132250. [Google Scholar] [CrossRef]
- Han, N.; Woo, K.S.; Lee, J.Y.; Song, S.B.; Lee, Y.-Y.; Kim, M.; Kang, M.S.; Kim, H.-J. Comparison of physicochemical characteristics, functional compounds, and physiological activities in adzuki bean cultivars. J. Korean Soc. Food Sci. Nutr. 2022, 51, 428–438. [Google Scholar] [CrossRef]
- Zhang, G.; Hu, M.; He, L.; Fu, P.; Wang, L.; Zhou, J. Optimization of microwave-assisted enzymatic extraction of polyphenols from waste peanut shells and evaluation of its antioxidant and antibacterial activities in vitro. Food Bioprod. Process. 2013, 91, 158–168. [Google Scholar] [CrossRef]
- Manzoor, M.F.; Ahmad, N.; Ahmed, Z.; Siddique, R.; Zeng, X.A.; Rahaman, A.; Muhammad Aadil, R.; Wahab, A. Novel extraction techniques and pharmaceutical activities of luteolin and its derivatives. J. Food Biochem. 2019, 43, e12974. [Google Scholar] [CrossRef]
- Tian, C.; Liu, X.; Chang, Y.; Wang, R.; Lv, T.; Cui, C.; Liu, M. Investigation of the anti-inflammatory and antioxidant activities of luteolin, kaempferol, apigenin and quercetin. S. Afr. J. Bot. 2021, 137, 257–264. [Google Scholar] [CrossRef]
- Barbulova, A.; Colucci, G.; Apone, F. New trends in cosmetics: By-products of plant origin and their potential use as cosmetic active ingredients. Cosmetics 2015, 2, 82–92. [Google Scholar] [CrossRef]
- Theeraraksakul, K.; Jaengwang, K.; Choowongkomon, K.; Tabtimmai, L. Exploring the biological functions and anti-melanogenesis of Phallus indusiatus for mushroom-based cosmetic applications. Cosmetics 2023, 10, 121. [Google Scholar] [CrossRef]
- Cruz, A.M.; Gonçalves, M.C.; Marques, M.S.; Veiga, F.; Paiva-Santos, A.C.; Pires, P.C. In Vitro models for anti-aging efficacy assessment: A critical update in dermocosmetic research. Cosmetics 2023, 10, 66. [Google Scholar] [CrossRef]
- Mechqoq, H.; Hourfane, S.; El Yaagoubi, M.; El Hamdaoui, A.; da Silva Almeida, J.R.G.; Rocha, J.M.; El Aouad, N. Molecular docking, tyrosinase, collagenase, and elastase inhibition activities of argan by-products. Cosmetics 2022, 9, 24. [Google Scholar] [CrossRef]
- Hwang, K.-E.; Ham, Y.-K.; Song, D.-H.; Kim, H.-W.; Lee, M.-A.; Jeong, J.-Y.; Choi, Y.-S. Effect of gamma-ray, electron-beam, and X-ray irradiation on antioxidant activity of mugwort extracts. Radiat. Phys. Chem. 2021, 186, 109476. [Google Scholar] [CrossRef]
- Rodrigues, F.T.; Ramos Koike, A.C.; Galo da Silva, P.; Negrão, B.G.; Matias de Alencar, S.; Filho, J.M.; Villavicencio, A.L.C.H. Effects of electron beam irradiation on the bioactive components of goji-berry. Radiat. Phys. Chem. 2021, 179, 109144. [Google Scholar] [CrossRef]
- Zhang, Y.; Kong, Y.; Xu, W.; Yang, Z.; Bao, Y. Electron beam irradiation alters the physicochemical properties of chickpea proteins and the peptidomic profile of its digest. Molecules 2023, 28, 6161. [Google Scholar] [CrossRef] [PubMed]
- Farkas, J.; Mohácsi-Farkas, C. History and future of food irradiation. Trends Food Sci. Technol. 2011, 22, 121–126. [Google Scholar] [CrossRef]
- Han, N.; Kim, J.; Bae, J.H.; Kim, M.; Lee, J.Y.; Lee, Y.Y.; Kang, M.S.; Han, D.; Park, S.; Kim, H.J. Effect of atmospheric-pressure plasma on functional compounds and physiological activities in peanut shells. Antioxidants 2022, 11, 2214. [Google Scholar] [CrossRef] [PubMed]
- Pandiselvam, R.; Mitharwal, S.; Rani, P.; Shanker, M.A.; Kumar, A.; Aslam, R.; Barut, Y.T.; Kothakota, A.; Rustagi, S.; Bhati, D.; et al. The influence of non-thermal technologies on color pigments of food materials: An updated review. Curr. Res Food Sci. 2023, 6, 100529. [Google Scholar] [CrossRef] [PubMed]
- El-Rawas, A.; Hvizdzak, A.; Davenport, M.; Beamer, S.; Jaczynski, J.; Matak, K. Effect of electron beam irradiation on quality indicators of peanut butter over a storage period. Food Chem. 2012, 133, 212–219. [Google Scholar] [CrossRef]
- Lee, S.-C.; Jeong, S.-M.; Kim, S.-Y.; Park, H.-R.; Nam, K.C.; Ahn, D.U. Effect of far-infrared radiation and heat treatment on the antioxidant activity of water extracts from peanut hulls. Food Chem. 2006, 94, 489–493. [Google Scholar] [CrossRef]
- Zhang, Z.; Diao, E.; Shen, X.; Ma, W.; Ji, N.; Dong, H. Ozone-induced changes in phenols and antioxidant capacities of peanut skins. J. Food Process Eng. 2014, 37, 506–514. [Google Scholar] [CrossRef]
- Bose, B.; Choudhury, H.; Tandon, P.; Kumaria, S. Studies on secondary metabolite profiling, anti-inflammatory potential, in vitro photoprotective and skin-aging related enzyme inhibitory activities of Malaxis acuminata, a threatened orchid of nutraceutical importance. J. Photochem. Photobiol. B 2017, 173, 686–695. [Google Scholar] [CrossRef]
- Qiu, J.; Chen, L.; Zhu, Q.; Wang, D.; Wang, W.; Sun, X.; Liu, X.; Du, F. Screening natural antioxidants in peanut shell using DPPH–HPLC–DAD–TOF/MS methods. Food Chem. 2012, 135, 2366–2371. [Google Scholar] [CrossRef] [PubMed]
- Maron, D.M.; Ames, B.N. Revised methods for the Salmonella mutagenicity test. Mutat. Res. 1983, 113, 173–215. [Google Scholar] [CrossRef] [PubMed]
- Slinkard, K.; Singleton, V.L. Total phenol analysis: Automation and comparison with manual methods. Am. J. Enol. Vitic. 1977, 28, 49–55. [Google Scholar] [CrossRef]
- Sakanaka, S.; Tachibana, Y.; Okada, Y. Preparation and antioxidant properties of extracts of Japanese persimmon leaf tea (kakinoha-cha). Food Chem. 2005, 89, 569–575. [Google Scholar] [CrossRef]
- Jo, C.; Lee, N.Y.; Kang, H.; Hong, S.; Kim, Y.; Kim, H.J.; Byun, M.W. Radio-sensitivity of pathogens in inoculated prepared foods of animal origin. Food Microbiol. 2005, 22, 329–336. [Google Scholar] [CrossRef]






| Peak No. | Tentative Identification | Rt (min) | Molecular Formula | Theoretical (m/z) | Error (ppm) |
|---|---|---|---|---|---|
| 1 | 5,7-Dihydroxychromone | 4.99 | C9H6O4 | 177.0193 | 1.19 |
| 2 | 5-Hydroxyferulic acid | 5.94 | C10H10O5 | 209.045547 | 2.32 |
| 3 | Eriodictyol | 6.46 | C15H12O6 | 287.0561 | 0.91 |
| 4 | Luteolin | 6.52 | C15H10O6 | 285.0406 | 3.60 |
| 5 | Apigenin | 7.01 | C15H10O5 | 269.0455 | 1.72 |
| 6 | Chrysoeriol | 7.53 | C16H12O6 | 299.0561 | 0.36 |
| 7 | Pratensein | 7.72 | C16H12O6 | 299.0561 | 0.36 |
| 8 | 8-Prenyl luteolin | 9.57 | C20H18O6 | 353.1031 | 1.73 |
| 9 | Caflanone | 10.30 | C21H20O6 | 367.1187 | 0.96 |
| Sample | Concentration (mg/plate) | Number of Revertant Colonies (His+) per Plate | |||
|---|---|---|---|---|---|
| TA98 (−S9) | TA98 (+S9) | TA100 (−S9) | TA100 (+S9) | ||
| 0 kGy | 4 | 23 ± 6 | 44 ± 4 | 299 ± 16 | 277 ± 17 |
| (non-treated) | 2 | 33 ± 4 | 52 ± 8 | 243 ± 24 | 230 ± 23 |
| 1 | 25 ± 8 | 30 ± 6 | 202 ± 13 | 223 ± 14 | |
| 0.5 | 23 ± 6 | 33 ± 5 | 241 ± 8 | 271 ± 10 | |
| 0.25 | 19 ± 4 | 51 ± 4 | 218 ± 16 | 210 ± 10 | |
| 20 kGy | 4 | 29 ± 7 | 48 ± 5 | 170 ± 14 | 167 ± 14 |
| 2 | 32 ± 4 | 42 ± 8 | 241 ± 15 | 228 ± 22 | |
| 1 | 28 ± 6 | 44 ± 3 | 213 ± 25 | 233 ± 23 | |
| 0.5 | 26 ± 3 | 41 ± 8 | 241 ± 24 | 245 ± 21 | |
| 0.25 | 29 ± 4 | 44 ± 6 | 256 ± 7 | 244 ± 22 | |
| Negative control | DMSO | 28 ± 8 | 41 ± 9 | 188 ± 19 | 202 ± 8 |
| Positive control | 4-NQO | 323 ± 6 | |||
| 2-AA | 500 ± 60 | ||||
| SA | 403 ± 31 | ||||
| 2-AA | 737 ± 23 | ||||
Disclaimer/Publisher’s Note: The statements, opinions and data contained in all publications are solely those of the individual author(s) and contributor(s) and not of MDPI and/or the editor(s). MDPI and/or the editor(s) disclaim responsibility for any injury to people or property resulting from any ideas, methods, instructions or products referred to in the content. |
© 2023 by the authors. Licensee MDPI, Basel, Switzerland. This article is an open access article distributed under the terms and conditions of the Creative Commons Attribution (CC BY) license (https://creativecommons.org/licenses/by/4.0/).
Share and Cite
Han, N.; Lee, J.Y.; Kim, M.; Kim, J.-K.; Lee, Y.-Y.; Kang, M.S.; Kim, H.-J. Effect of Electron-Beam Irradiation on Functional Compounds and Biological Activities in Peanut Shells. Molecules 2023, 28, 7258. https://doi.org/10.3390/molecules28217258
Han N, Lee JY, Kim M, Kim J-K, Lee Y-Y, Kang MS, Kim H-J. Effect of Electron-Beam Irradiation on Functional Compounds and Biological Activities in Peanut Shells. Molecules. 2023; 28(21):7258. https://doi.org/10.3390/molecules28217258
Chicago/Turabian StyleHan, Narae, Jin Young Lee, Mihyang Kim, Jae-Kyung Kim, Yu-Young Lee, Moon Seok Kang, and Hyun-Joo Kim. 2023. "Effect of Electron-Beam Irradiation on Functional Compounds and Biological Activities in Peanut Shells" Molecules 28, no. 21: 7258. https://doi.org/10.3390/molecules28217258
APA StyleHan, N., Lee, J. Y., Kim, M., Kim, J.-K., Lee, Y.-Y., Kang, M. S., & Kim, H.-J. (2023). Effect of Electron-Beam Irradiation on Functional Compounds and Biological Activities in Peanut Shells. Molecules, 28(21), 7258. https://doi.org/10.3390/molecules28217258

