Changes in Arsenic Speciation in Wild Edible Fungi after Different Cooking Processes and Gastrointestinal Digestion
Abstract
1. Introduction
2. Results and Discussion
2.1. As Speciation Analysis Method
2.2. Quality Assurance and Quality Control
2.3. As Content in Soaked and Cooked Edible Fungi
2.3.1. Total As Content and Its Speciation in Soaked Edible Fungi
2.3.2. Total As Content and Its Speciation in Cooked Edible Fungi
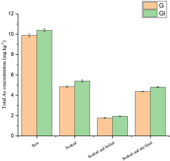
2.4. Bioaccessible As in Raw, Soaked and Cooked Edible Fungi
2.4.1. Bioaccessible As in Raw and Soaked Edible Fungi
2.4.2. Bioaccessible As in Cooked Edible Fungi
3. Materials and Methods
3.1. Instrumentation
3.2. Chemicals and Standards
3.3. Samples and Sample Pretreatment
3.4. Cooking Procedures for Edible Fungi
3.4.1. Boiling
3.4.2. Stir-Frying
3.4.3. Sample Homogenization
3.5. In Vitro PBET
3.6. Determination of Total As
3.7. As Speciation Analysis
3.7.1. Sample Preparation of Raw and Cooked Edible Fungi
3.7.2. As Speciation Analysis of Bioaccessible Extracts
3.8. Statistical Analysis
4. Conclusions
Author Contributions
Funding
Institutional Review Board Statement
Informed Consent Statement
Data Availability Statement
Conflicts of Interest
Sample Availability
References
- Reis, F.S.; Barros, L.; Martins, A.; Ferreira, I.C. Chemical composition and nutritional value of the most widely appreciated cultivated mushrooms: An inter-species comparative study. Food Chem. Toxicol. 2012, 50, 191–197. [Google Scholar] [CrossRef] [PubMed]
- Chatterjee, S.; Sarma, M.K.; Deb, U.; Steinhauser, G.; Walther, C.; Gupta, D.K. Mushrooms: From nutrition to mycoremediation. Environ. Sci. Pollut. Res. Int. 2017, 24, 19480–19493. [Google Scholar] [CrossRef]
- Wasser, S.P. Medicinal mushrooms as a source of antitumor and immunomodulating polysaccharides. Appl. Microbiol. Biotechnol. 2002, 60, 258–274. [Google Scholar] [PubMed]
- Borchers, A.T.; Stern, J.S.; Hackman, R.M.; Keen, C.L.; Gershwin, M.E. Mushrooms, tumors, immunity. Proc. Soc. Exp. Biol. Med 1999, 221, 281–293. [Google Scholar] [PubMed]
- An, J.M.; Gu, S.Y.; Kim, D.J.; Shin, H.C.; Kim, Y.K. Arsenic, cadmium, lead, and mercury contents of mushroom species in Korea and associated health risk. Int. J. Food Prop. 2020, 23, 992–998. [Google Scholar] [CrossRef]
- Liu, S.; Fu, Y.; Shi, M.; Wang, H.; Guo, J. Pollution level and risk assessment of lead, cadmium, mercury, and as in edible mushrooms from Jilin Province, China. J. Food Sci. 2021, 86, 3374–3383. [Google Scholar] [CrossRef]
- Zhang, J.; Barałkiewicz, D.; Wang, Y.; Falandysz, J.; Cai, C. Arsenic and arsenic speciation in mushrooms from China: A review. Chemosphere 2020, 246, 125685. [Google Scholar] [CrossRef] [PubMed]
- Braeuer, S.; Goessler, W.; Kameník, J.; Konvalinková, T.; Žigová, A.; Borovička, J. As hyperaccumulation and speciation in the edible ink stain bolete (Cyanoboletus pulverulentus). Food Chem. 2018, 242, 225–231. [Google Scholar] [CrossRef]
- Nearing, M.M.; Koch, I.; Reimer, K.J. As speciation in edible mushrooms. Environ. Sci. Technol. 2014, 48, 14203–14210. [Google Scholar] [CrossRef]
- Taylor, V.; Goodale, B.; Raab, A.; Schwerdtle, T.; Reimer, K.; Conklin, S.; Karagas, M.R.; Francesconi, K.A. Human exposure to organic as species from seafood. Sci. Total Environ. 2017, 580, 266–282. [Google Scholar] [CrossRef]
- Feldmann, J.; Krupp, E.M. Critical review or scientific opinion paper: Arsenosugars-a class of benign arsenic species or justification for developing partly speciated arsenic fractionation in foodstuffs? Anal. Bioanal. Chem. 2011, 399, 1735–1741. [Google Scholar] [CrossRef]
- Hughes, M.F.; Beck, B.D.; Chen, Y.; Lewis, A.S.; Thomas, D.J. As exposure and toxicology: A historical perspective. Toxicological. Sci. 2011, 123, 305–332. [Google Scholar] [CrossRef] [PubMed]
- Koch, I.; Dee, J.; House, K.; Sui, J.; Zhang, J.; McKnight-Whitford, A.; Reimer, K.J. Bioaccessibility and speciation of as in country foods from contaminated sites in Canada. Sci. Total. Environ. 2013, 449, 1–8. [Google Scholar] [CrossRef] [PubMed]
- Ruby, M.V.; Schoof, R.; Brattin, W.; Goldade, M.; Post, G.; Harnoi, M.; Mosby, D.E.; Casteel, S.W.; Berti, W.; Carpenter, M.; et al. Advances in evaluating the oral bioavailability of inorganics in soil for use in human health risk assessment. Environ. Sci. Technol. 1999, 33, 3697–3705. [Google Scholar] [CrossRef]
- Karadas, C.; Kara, D. In vitro gastro-intestinal method for the assessment of heavy metal bioavailability in contaminated soils. Environ. Sci. Pollut. Res. 2011, 18, 620–628. [Google Scholar] [CrossRef]
- Moreda-Piñeiro, J.; Moreda-Piñeiro, A.; Romarís-Hortas, V.; Moscoso-Pérez, C.; López-Mahía, P.; Muniategui-Lorenzo, S.; Bermejo-Barrera, P.; Prada-Rodríguez, D. In-vivo and in-vitro testing to assess the bioaccessibility and the bioavailability of As, selenium and mercury species in food samples. TrAC Trends Anal. Chem. 2010, 30, 324–345. [Google Scholar] [CrossRef]
- Devesa, V.; Vélez, D.; Montoro, R. Effect of thermal treatments on as species contents in food. Food Chem. Toxicol. 2008, 46, 1–8. [Google Scholar] [CrossRef]
- Llorente-Mirandes, T.; Llorens-Muñoz, M.; Funes-Collado, V.; Sahuquillo, À.; López-Sánchez, J.F. Assessment of as bioaccessibility in raw and cooked edible mushrooms by a PBET method. Food Chem. 2016, 194, 849–856. [Google Scholar] [CrossRef]
- Zou, H.; Zhou, C.; Li, Y.; Yang, X.; Wen, J.; Song, S.; Li, C.; Sun, C. Speciation analysis of as in edible mushrooms by high-performance liquid chromatography hyphenated to inductively coupled plasma mass spectrometry. Food Chem. 2020, 327, 127033. [Google Scholar] [CrossRef]
- CBI (Centre for the Promotion of Imports from Developing Countries). The Netherlands Ministry of Foreign Affairs. The European Market Potential for Dried Mushrooms. 2020. Available online: https://www.cbi.eu/market-information/processed-fruit-vegetables-edible-nuts/dried-mushrooms/market-potential (accessed on 25 November 2022).
- Reid, T.; Munyanyi, M.; Mduluza, T. Effect of cooking and preservation on nutritional and phytochemical composition of the mushroom Amanita zambiana. Food Sci. Nutr. 2016, 5, 538–544. [Google Scholar] [CrossRef]
- Chiocchetti, G.M.; Latorre, T.; Clemente, M.J.; Jadán-Piedra, C.; Devesa, V.; Vélez, D. Toxic trace elements in dried mushrooms: Effects of cooking and gastrointestinal digestion on food safety. Food Chem. 2020, 306, 125478. [Google Scholar] [CrossRef]
- Hanaoka, K.; Yosida, K.; Tamano, M.; Kuroiwa, T.; Kaise, T.; Maeda, S. As in the prepared edible brown alga hijiki, Hizikia fusiforme. Appl. Organomet. Chem. 2001, 15, 561. [Google Scholar] [CrossRef]
- Laparra, J.M.; Ve’lez, D.; Montoro, R.; Barberá, R.; Farré, R. Estimation of as bioaccessibility in edible seaweed by an in vitro digestion method. J. Agric. Food Chem. 2003, 51, 6080–6085. [Google Scholar] [CrossRef] [PubMed]
- Cheyns, K.; Waegeneers, N.; Van de Wiele, T.; Ruttens, A. As Release from Foodstuffs upon Food Preparation. J. Agric. Food Chem. 2017, 65, 2443–2453. [Google Scholar] [CrossRef]
- Liu, K.; Zheng, J.; Chen, F. Effects of washing, soaking and domestic cooking on cadmium, As and lead bioaccessibilities in rice. J. Sci. Food Agric. 2018, 98, 3829–3835. [Google Scholar] [CrossRef]
- He, Y.; Pedigo, C.E.; Lam, B.; Cheng, Z.; Zheng, Y. Bioaccessibility of as in various types of rice in an in vitro gastrointestinal fluid system. J. Environ. Sci. Health B 2012, 47, 74–80. [Google Scholar] [CrossRef] [PubMed]
- Moreda, J.; Alonso-Rodríguez, E.; Romarís-Hortas, V.; Moreda-Piñeiro, A.; López-Mahía, P.; Muniategui-Lorenzo, S.; Prada-Rodríguez, D.; Bermejo-Barrera, P. Assessment of the bioavailability of toxic and non-toxic as species in seafood samples. Food Chem. 2012, 130, 552–560. [Google Scholar] [CrossRef]
- Chi, H.; Zhang, Y.; Williams, P.N.; Lin, S.; Hou, Y.; Cai, C. In Vitro Model to Assess Arsenic Bioaccessibility and Speciation in Cooked Shrimp. J. Agric. Food Chem. 2018, 66, 4710–4715. [Google Scholar] [CrossRef]
- Fu, Y.; Yin, N.; Cai, X.; Du, H.; Wang, P.; Sultana, M.S.; Sun, G.; Cui, Y. Arsenic speciation and bioaccessibility in raw and cooked seafood: Influence of seafood species and gut microbiota. Environ. Pollut. 2021, 280, 116958. [Google Scholar] [CrossRef]
- Hu, L.; Zhang, B.; Wu, D.; Fan, H.; Tu, J.; Liu, W.; Huang, R.; Huang, X. Estimation of as bioaccessibility in raw and cooked radish using simulated in vitro digestion. Food Funct. 2019, 10, 1426–1432. [Google Scholar] [CrossRef]
- Laparra, J.M.; Vélez, D.; Barberá, R.; Montoro, R.; Farré, R. Bioaccessibility and transport by Caco-2 cells of organoAsal species present in seafood. J. Agric. Food Chem. 2007, 55, 5892–5897. [Google Scholar] [CrossRef] [PubMed]
- Liao, W.; Wang, G.; Li, K.; Zhao, W. Change of As Speciation in Shellfish after Cooking and Gastrointestinal Digestion. J. Agric. Food Chem. 2018, 66, 7805–7814. [Google Scholar] [CrossRef] [PubMed]
- Leufroy, A.; Noël, L.; Beauchemin, D.; Guérin, T. Bioaccessibility of total as and as species in seafood as determined by a continuous online leaching method. Anal. Bioanal. Chem. 2012, 402, 2849–2859. [Google Scholar] [CrossRef] [PubMed]





| Certified Reference Material | Matrix | Accuracy | Recovery (%) | Repeatability (RSD %) | |
|---|---|---|---|---|---|
| Certified Value (μg kg−1) | Measured Value (μg kg−1) | ||||
| NIST SRM 1568b | Rice | 285 ± 14 | 291.6 ± 4.7 | 102.7 ± 1.7 | 1.6 |
| ERM-BC211 | Rice | 260 ± 13 | 256.2 ± 2.2 | 98.6 ± 0.8 | 0.8 |
| Sample | Cooking Treatment | Total As | AsB | DMA | MMA | iAs |
|---|---|---|---|---|---|---|
| Pleurotus citrinipileatus | Raw | 13.3 ± 0.6 | 0.078 ± 0.001 | 0.265 ± 0.02 | 0.273 ± 0.01 | 10.3 ± 0.4 |
| Soaked | 6.45 ± 0.08 | 0.067 ± 0.003 | 0.105 ± 0.002 | 0.095 ± 0.002 | 5.28 ± 0.1 | |
| Soaked + Stir-fried | 5.93 ± 0.2 | 0.066 ± 0.002 | 0.121 ± 0.002 | 0.224 ± 0.007 | 4.57 ± 0.05 | |
| Soaked + Boiled | 2.74 ± 0.04 | 0.015 ± 0.0001 | 0.040 ± 0.001 | 0.054 ± 0.0001 | 1.92 ± 0.009 | |
| Boiling water | 6.47 ± 0.005 | 0.073 ± 0.001 | 0.179 ± 0.0004 | 0.185 ± 0.004 | 5.90 ± 0.03 | |
| Soaking solution | 4.68 ± 0.09 | 0.049 ± 0.002 | 0.220 ± 0.005 | 0.248 ± 0.005 | 3.82 ± 0.04 | |
| Agaricus blazei Murill | Raw | 7.37 ± 0.02 | 5.48 ± 0.03 | 0.060 ± 0.001 | 0.411 ± 0.008 | 0.094 ± 0.004 |
| Soaked | 3.00 ± 0.1 | 2.33 ± 0.01 | 0.040 ± 0.001 | 0.277 ± 0.002 | 0.064 ± 0.003 | |
| Soaked + Stir-fried | 2.00 ± 0.07 | 1.51 ± 0.03 | 0.036 ± 0.001 | 0.216 ± 0.008 | 0.060 ± 0.002 | |
| Soaked + Boiled | 0.49 ± 0.02 | 0.23 ± 0.003 | 0.008 ± 0.0002 | 0.040 ± 0.0005 | 0.011 ± 0.001 | |
| Boiling water | 2.04 ± 0.02 | 1.48 ± 0.01 | 0.034 ± 0.002 | 0.154 ± 0.005 | 0.073 ± 0.003 | |
| Soaking solution | 4.49 ± 0.1 | 3.39 ± 0.02 | 0.040 ± 0.001 | 0.196 ± 0.004 | 0.073 ± 0.003 |
| Sample | G and GI Fractions | Bioaccessibility (BA%) | ||||
|---|---|---|---|---|---|---|
| Total As | AsB | DMA | MMA | iAs | ||
| Pleurotus citrinipileatus | Raw G | 74.5 ± 1.1 | 99.0 ± 2.7 | 83.8 ± 6.1 | 79.9 ± 2.5 | 90.8 ± 1.5 |
| Raw GI | 78.2 ± 1.0 | 99.3 ± 1.8 | 81.9 ± 5.6 | 81.3 ± 1.4 | 99.5 ± 1.4 | |
| Soaked G | 75.0 ± 1.4 | 84.3 ± 1.3 | 92.1 ± 3.8 | 82.0 ± 1.4 | 87.2 ± 1.6 | |
| Soaked GI | 83.5 ± 2.0 | 101.5 ± 1.0 | 100.8 ± 4.9 | 95.1 ± 2.3 | 97.0 ± 2.3 | |
| Soaked + Stir-fried G | 73.7 ± 0.3 | 84.5 ± 2.6 | 88.6 ± 3.3 | 79.1 ± 0.03 | 87.3 ± 0.4 | |
| Soaked + Stir-fried GI | 81.0 ± 0.9 | 95.0 ± 2.3 | 95.5 ± 1.5 | 98.1 ± 2.2 | 95.6 ± 1.4 | |
| Soaked + Boiled G | 64.4 ± 1.3 | 89.8 ± 1.7 | 89.2 ± 1.3 | 64.9 ± 2.1 | 86.6 ± 1.9 | |
| Soaked + Boiled GI | 70.8 ± 0.6 | 106.0 ± 2.3 | 100.8 ± 1.4 | 79.8 ± 2.5 | 94.6 ± 1.0 | |
| Agaricus blazei Murill | Raw G | 93.0 ± 1.0 | 95.7 ± 1.1 | 88.3 ± 1.3 | 77.1 ± 1.1 | 96.1 ± 0.9 |
| Raw GI | 98.1 ± 1.1 | 99.2 ± 1.2 | 97.8 ± 1.3 | 104.8 ± 3.1 | 102.7 ± 0.1 | |
| Soaked G | 79.0 ± 2.2 | 90.9 ± 2.8 | 82.4 ± 2.4 | 55.0 ± 2.2 | 109.8 ± 1.0 | |
| Soaked GI | 90.3 ± 2.0 | 97.3 ± 2.6 | 98.2 ± 2.3 | 114.5 ± 1.5 | 151.0 ± 0.5 | |
| Soaked + Stir-fried G | 80.6 ± 0.7 | 91.4 ± 0.6 | 81.5 ± 1.0 | 64.6 ± 1.5 | 100.8 ± 3.2 | |
| Soaked + Stir-fried GI | 92.0 ± 0.8 | 98.6 ± 0.7 | 97.2 ± 1.0 | 106.5 ± 1.9 | 139.2 ± 4.6 | |
| Soaked + Boiled G | 51.7 ± 0.4 | 96.2 ± 0.7 | 82.4 ± 2.9 | 46.0 ± 1.3 | 68.6 ± 3.2 | |
| Soaked + Boiled GI | 63.5 ± 1.1 | 105.1 ± 2.0 | 116.7 ± 2.7 | 111.4 ± 3.8 | 147.2 ± 2.9 | |
| ICP-MS Parameters | |||
|---|---|---|---|
| RF power (W) | 1550 | ||
| Carrier gas flow (L min−1) | 1.05 | ||
| Sampling depth (mm) | 8.0 | ||
| He gas flow (mL min−1) | 3.6 | ||
| Auxiliary flow (L min−1) | 0.46 | ||
| Spray chamber temperature (°C) | 2.0 | ||
| Peristaltic pump speed (rps) | 0.30 | ||
| HPLC Parameters | |||
| Analytical column | Dionex IonPac As7 | ||
| Sample injection volume (μL) | 20 | ||
| Mobile phase flow (mL min−1) | 1.2 | ||
| Mobile phase A | 20 mM Ammonium carbonate | ||
| Mobile phase B | 100 mM Ammonium carbonate | ||
| Gradient elution ramp: | |||
| Time (min) | Flow rate (mL min−1) | A% | B% |
| 0.000 | 1.2 | 100 | 0 |
| 1.599 | 1.2 | 100 | 0 |
| 1.600 | 1.2 | 100 | |
| 5.599 | 1.2 | 100 | |
| 5.600 | 1.2 | 100 | |
| 8.000 | 1.2 | 100 |
Disclaimer/Publisher’s Note: The statements, opinions and data contained in all publications are solely those of the individual author(s) and contributor(s) and not of MDPI and/or the editor(s). MDPI and/or the editor(s) disclaim responsibility for any injury to people or property resulting from any ideas, methods, instructions or products referred to in the content. |
© 2023 by the authors. Licensee MDPI, Basel, Switzerland. This article is an open access article distributed under the terms and conditions of the Creative Commons Attribution (CC BY) license (https://creativecommons.org/licenses/by/4.0/).
Share and Cite
Liu, Y.; Chen, S.; Li, Q.; Liu, L. Changes in Arsenic Speciation in Wild Edible Fungi after Different Cooking Processes and Gastrointestinal Digestion. Molecules 2023, 28, 603. https://doi.org/10.3390/molecules28020603
Liu Y, Chen S, Li Q, Liu L. Changes in Arsenic Speciation in Wild Edible Fungi after Different Cooking Processes and Gastrointestinal Digestion. Molecules. 2023; 28(2):603. https://doi.org/10.3390/molecules28020603
Chicago/Turabian StyleLiu, Yang, Shaozhan Chen, Qianyu Li, and Liping Liu. 2023. "Changes in Arsenic Speciation in Wild Edible Fungi after Different Cooking Processes and Gastrointestinal Digestion" Molecules 28, no. 2: 603. https://doi.org/10.3390/molecules28020603
APA StyleLiu, Y., Chen, S., Li, Q., & Liu, L. (2023). Changes in Arsenic Speciation in Wild Edible Fungi after Different Cooking Processes and Gastrointestinal Digestion. Molecules, 28(2), 603. https://doi.org/10.3390/molecules28020603
