An Imidazo[1,5-a]pyridine Benzopyrylium-Based NIR Fluorescent Probe with Ultra-Large Stokes Shifts for Monitoring SO2
Abstract
1. Introduction
2. Results and Discussion
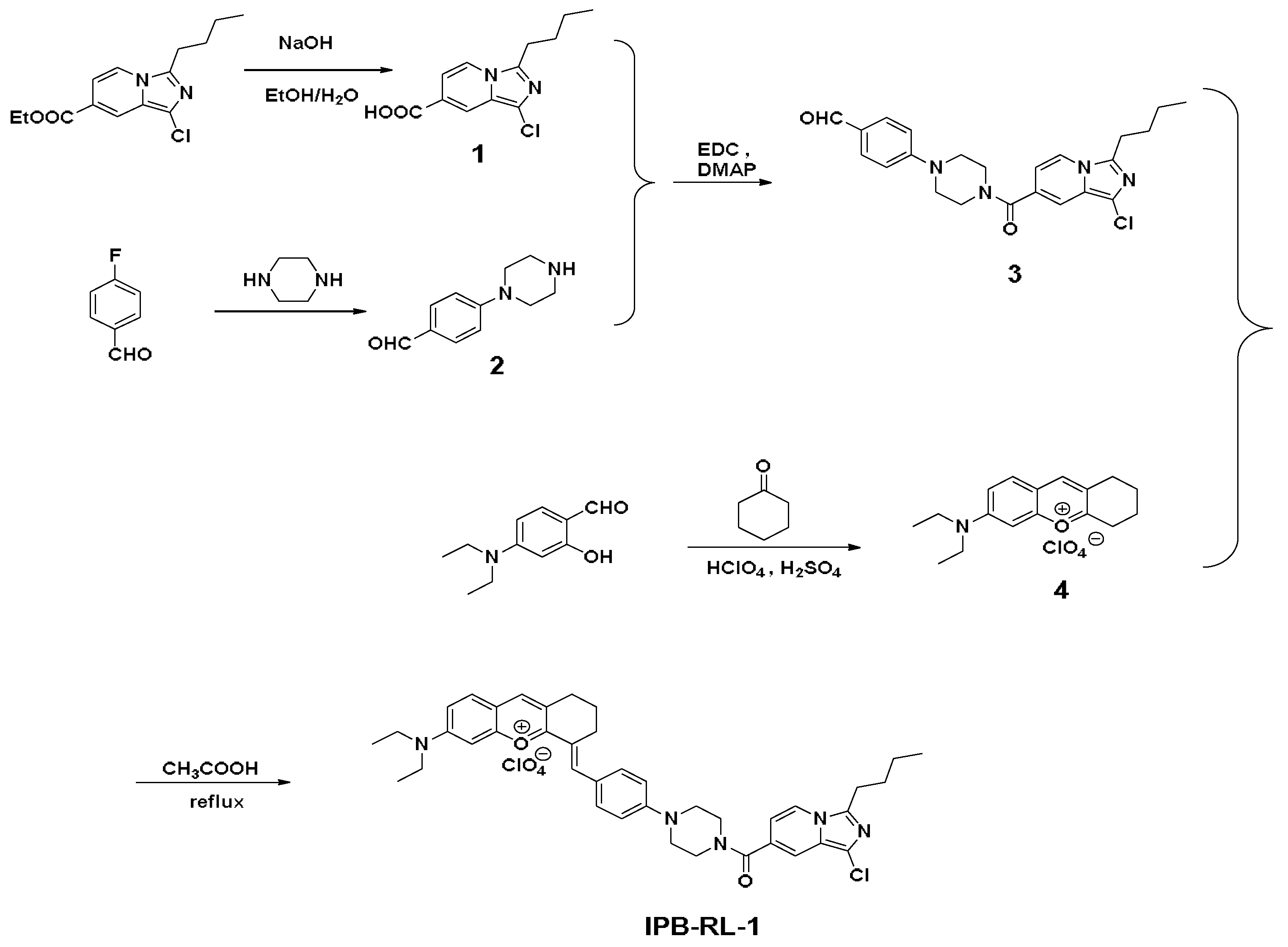
2.1. Synthesis of IPB-RL-1
2.2. Optical Properties of IPB-RL-1
3. Experimental
Synthesis of the Probe IPB-RL-1
4. Conclusions
Supplementary Materials
Author Contributions
Funding
Institutional Review Board Statement
Informed Consent Statement
Data Availability Statement
Conflicts of Interest
References
- Lin, V.S.; Chen, W.; Xian, M.; Chang, C.J. Chemical probes for molecular imaging and detection of hydrogen sulfide and reactive sulfur species in biological systems. Chem. Soc. Rev. 2015, 44, 4596–4618. [Google Scholar] [CrossRef] [PubMed]
- Jiao, X.; Li, Y.; Niu, J.; Xie, X.; Wang, X.; Tang, B. Small-Molecule Fluorescent Probes for Imaging and Detection of Reactive Oxygen, Nitrogen, and Sulfur Species in Biological Systems. Anal. Chem. 2018, 90, 533–555. [Google Scholar] [CrossRef] [PubMed]
- Wu, L.; Sedgwick, A.C.; Sun, X.; Bull, S.D.; He, X.-P.; James, T.D. Reaction-Based Fluorescent Probes for the Detection and Imaging of Reactive Oxygen, Nitrogen, and Sulfur Species. Acc. Chem. Res. 2019, 52, 2582–2597. [Google Scholar] [CrossRef] [PubMed]
- Li, K.; Li, L.-L.; Zhou, Q.; Yu, K.-K.; Kim, J.S.; Yu, X.-Q. Reaction-based fluorescent probes for SO2 derivatives and their biological applications. Co-ord. Chem. Rev. 2019, 388, 310–333. [Google Scholar] [CrossRef]
- Liu, A.; Ji, R.; Shen, S.; Cao, X.; Ge, Y. A ratiometric fluorescent probe for sensing sulfite based on a pyrido[1,2-a]benzimidazole fluorophore. New J. Chem. 2017, 41, 10096–10100. [Google Scholar] [CrossRef]
- Ma, C.; Zhang, L.; Hou, L.; Chen, F.; Liu, A.; Ji, R.; Wang, Q.; Yuan, C.; Ge, Y. A fluorescent probe with a large Stokes shift for sensing sulfite in dry white wine based on pyrazolo[1,5-a]pyridine fluorophore. Tetrahedron Lett. 2021, 76, 153210. [Google Scholar] [CrossRef]
- Duan, G.Y.; Wang, H.; Sun, H.; Yuan, C.; Xu, Z.; Ge, Y.Q. Near-infrared TBET cassette with ultra large stokes shift and its application for SO2 imaging in cells. Chem. Eng. J. Adv. 2021, 8, 100141. [Google Scholar] [CrossRef]
- Cui, R.; Gao, Y.; Ge, H.; Shi, G.; Li, Y.; Liu, H.; Ma, C.; Ge, Y.; Liu, C. A turn-on fluorescent probe based on indolizine for the detection of sulfite. New J. Chem. 2022, 46, 8088–8093. [Google Scholar] [CrossRef]
- Zhang, W.; Huo, F.; Zhang, Y.; Chao, J.; Yin, C. Mitochondria-targeted NIR fluorescent probe for reversible imaging H2O2/SO2 redox dynamics in vivo. Sens. Actuators B 2019, 297, 126747. [Google Scholar] [CrossRef]
- Ren, H.; Huo, F.; Wu, X.; Liu, X.; Yin, C. An ESIPT-induced NIR fluorescent probe to visualize mitochondrial sulfur dioxide during oxidative stress in vivo. Chem. Commun. 2021, 57, 655–658. [Google Scholar] [CrossRef]
- He, L.; Yang, Y.; Lin, W. Rational Design of a Rigid Fluorophore–Molecular Rotor-Based Probe for High Signal-to-Background Ratio Detection of Sulfur Dioxide in Viscous System. Anal. Chem. 2019, 91, 15220–15228. [Google Scholar] [CrossRef] [PubMed]
- Gao, W.; Ma, Y.; Lin, W. Design of a FRET-based fluorescent probe for the reversible detection of SO2and formaldehyde in living cells and mice. New J. Chem. 2020, 44, 13654–13658. [Google Scholar] [CrossRef]
- Wu, L.; Huang, C.; Emery, B.P.; Sedgwick, A.C.; Bull, S.D.; He, X.-P.; Tian, H.; Yoon, J.; Sessler, J.L.; James, T.D. Förster resonance energy transfer (FRET)-based small-molecule sensors and imaging agents. Chem. Soc. Rev. 2020, 49, 5110–5139. [Google Scholar] [CrossRef] [PubMed]
- Yuan, L.; Lin, W.; Zheng, K.; Zhu, S. FRET-Based Small-Molecule Fluorescent Probes: Rational Design and Bioimaging Applications. Acc. Chem. Res. 2013, 46, 1462–1473. [Google Scholar] [CrossRef] [PubMed]
- Lee, M.H.; Kim, J.S.; Sessler, J.L. Small molecule-based ratiometric fluorescence probes for cations, anions, and biomolecules. Chem. Soc. Rev. 2015, 44, 4185–4191. [Google Scholar] [CrossRef]
- Tan, L.; Ding, H.; Chanmungkalakul, S.; Peng, L.; Yuan, G.; Yang, Q.; Liu, X.; Zhou, L. A smart TP-FRET-based ratiometric fluorescent sensor for bisulfite/formaldehyde detection and its imaging application. Sens. Actuators B 2021, 345, 130331. [Google Scholar] [CrossRef]
- Zhu, X.; Zhu, L.; Liu, H.-W.; Hu, X.; Peng, R.-Z.; Zhang, J.; Zhang, X.-B.; Tan, W. A two-photon fluorescent turn-on probe for imaging of SO2 derivatives in living cells and tissues. Anal. Chim. Acta 2016, 937, 136–142. [Google Scholar] [CrossRef]
- Shen, W.; Xu, H.; Feng, J.; Sun, W.; Hu, G.; Hu, Y.; Yang, W. A ratiometric and colorimetric fluorescent probe designed based on FRET for detecting SO32−/HSO3− in living cells and mice. Spectrochim. Acta Part A 2021, 263, 120183. [Google Scholar] [CrossRef]
- Liu, W.; Zhang, D.; Ni, B.; Li, J.; Weng, H.; Ye, Y. Mitochondria-targeted and FRET based ratiometric fluorescent probe for SO2 and its cell imaging. Sens. Actuators B 2019, 284, 330–336. [Google Scholar] [CrossRef]
- Zhang, W.; Huo, F.; Cheng, F.; Yin, C. Employing an ICT-FRET Integration Platform for the Real-Time Tracking of SO2 Metabolism in Cancer Cells and Tumor Models. J. Am. Chem. Soc. 2020, 142, 6324–6331. [Google Scholar] [CrossRef]
- Huang, Y.; Zhang, Y.; Huo, F.; Chao, J.; Yin, C. A dual-targeted organelles SO2 specific probe for bioimaging in related diseases and food analysis. Chem. Eng. J. 2022, 433, 133750. [Google Scholar] [CrossRef]
- Huang, M.-F.; Chen, L.-N.; Ning, J.-Y.; Wu, W.-L.; He, X.-D.; Miao, J.-Y.; Zhao, B.-X. A new lipid droplets-targeted fluorescence probe for specific detection of SO2 derivatives in living cells. Sens. Actuators B 2018, 261, 196–202. [Google Scholar] [CrossRef]
- Yan, Y.-H.; Cui, X.-L.; Li, Z.-Y.; Ding, M.-M.; Che, Q.-L.; Miao, J.-Y.; Zhao, B.-X.; Lin, Z.-M. A synergetic FRET/ICT platform-based fluorescence probe for ratiometric imaging of bisulfite in lipid droplets. Anal. Chim. Acta 2020, 1137, 47–55. [Google Scholar] [CrossRef]
- Sun, W.-X.; Li, N.; Li, Z.-Y.; Yuan, Y.-C.; Miao, J.-Y.; Zhao, B.-X.; Lin, Z.-M. A mitochondria-targeted ratiometric fluorescence probe for detection of SO2 derivatives in living cells. Dye. Pigment. 2020, 182, 108658. [Google Scholar] [CrossRef]
- Liu, F.-T.; Li, N.; Chen, Y.-S.; Yu, H.-Y.; Miao, J.-Y.; Zhao, B.-X. A quinoline-coumarin near-infrared ratiometric fluorescent probe for detection of sulfur dioxide derivatives. Anal. Chim. Acta 2022, 1211, 339908. [Google Scholar] [CrossRef]
- Sun, W.; Guo, S.; Hu, C.; Fan, J.; Peng, X. Recent Development of Chemosensors Based on Cyanine Platforms. Chem. Rev. 2016, 116, 7768–7817. [Google Scholar] [CrossRef]
- Zhang, D.; Liu, A.; Ji, R.; Dong, J.; Ge, Y. A mitochondria-targeted and FRET-based ratiometric fluorescent probe for detection of SO2 derivatives in water. Anal. Chim. Acta 2018, 1055, 133–139. [Google Scholar] [CrossRef]
- Song, G.; Liu, A.; Jiang, H.; Ji, R.; Dong, J.; Ge, Y. A FRET-based ratiometric fluorescent probe for detection of intrinsically generated SO2 derivatives in mitochondria. Anal. Chim. Acta 2018, 1053, 148–154. [Google Scholar] [CrossRef]
- Chen, F.; Liu, A.; Ji, R.; Xu, Z.; Dong, J.; Ge, Y. A FRET-based probe for detection of the endogenous SO2 in cells. Dye. Pigment. 2019, 165, 212–216. [Google Scholar] [CrossRef]
- Ge, Y.; Ji, R.; Shen, S.; Cao, X.; Li, F. A ratiometric fluorescent probe for sensing Cu2+ based on new imidazo[1,5-a]pyridine fluorescent dye. Sens. Actuators B 2017, 245, 875–881. [Google Scholar] [CrossRef]
- Yan, Y.; He, X.; Miao, J.; Zhao, B. A near-infrared and mitochondria-targeted fluorescence probe for ratiometric monitoring of sulfur dioxide derivatives in living cells. J. Mater. Chem. B. 2019, 7, 6585–6591. [Google Scholar] [CrossRef]
- Shen, R.; Qian, Y. A novel ratiometric fluorescent probe for specific detection of HSO3− at nanomolar level through 1,4-Michael addition. J. Photochem. Photobiol. A. 2020, 387, 112110. [Google Scholar] [CrossRef]
- Wu, W.; Ma, H.; Huang, M.; Miao, J.; Zhao, B. Mitochondria-targeted ratiometric fluorescent probe based on FRET for bisulfite. Sens. Actuators, B. 2017, 241, 239–244. [Google Scholar] [CrossRef]
- Yang, D.; Ning, J.; Wu, X.; Yao, W.; Shi, H.; Miao, J.; Zhao, B.; Lin, Z. Ratiometric fluorescence sensing of endogenous sulfur dioxide derivatives: Bio-imaging application in lipid droplets. Dyes Pigm. 2021, 192, 109457. [Google Scholar] [CrossRef]
- Li, D.; Wang, Z.; Cui, J.; Wang, X.; Miao, J.; Zhao, B. A new fluorescent probe for colorimetric and ratiometric detection of sulfur dioxide derivatives in liver cancer cells. Sci. Rep. 2017, 7, 45294. [Google Scholar] [CrossRef]
- Zhao, J.; Huang, L.; Yan, M.; Qu, Y.; Feng, H.; Sun, Y. A lysosome specific ratiometric fluorescent probe for detection of bisulfite ion based on hybrid coumarin-benzimidazolium compounds. Phosphorus. Sulfur. 2021, 196, 321–327. [Google Scholar] [CrossRef]
- Shen, R.; Qian, Y. A mitochondria-oriented fluorescent probe for ultrafast and ratiometric detection of HSO3− based on naphthalimide–hemicyanine. New J. Chem. 2019, 43, 7606–7612. [Google Scholar] [CrossRef]
- Wang, Y.; Meng, Q.; Zhang, R.; Jia, H.; Wang, C.; Zhang, Z. A mitochondria-targeted ratiometric probe for the fluorescent and colorimetric detection of SO2 derivatives in live cells. J. Lumin. 2017, 192, 297–302. [Google Scholar] [CrossRef]
- Liu, K.; Chen, Y.; Sun, H.; Wang, S.; Kong, F. Construction of a novel near-infrared fluorescent probe with multiple fluorescence emission and its application for SO2 derivative detection in cells and living zebrafish. J. Mater. Chem. B. 2018, 6, 7060–7065. [Google Scholar] [CrossRef]
- Yang, D.; He, X.; Wu, X.; Shi, H.; Miao, J.; Zhao, B.; Lin, Z. A novel mitochondria-targeted ratiometric fluorescent probe for endogenous sulfur dioxide derivatives as a cancer-detecting tool. J. Mater. Chem. B. 2020, 8, 5722–5728. [Google Scholar] [CrossRef]
- Yin, G.; Gan, Y.; Yu, T.; Niu, T.; Yin, P.; Chen, H.; Zhang, Y.; Li, H.; Yao, S. A dual-emission and mitochondria-targeted fluorescent probe for rapid detection of SO2 derivatives and its imaging in living cells. Talanta. 2019, 191, 428–434. [Google Scholar] [CrossRef]
- Huang, Y.; Zhang, Y.; Huo, F.; Yin, C. FRET-dependent single/two-channel switch endowing a dual detection for sulfite and its organelle targeting applications. Dyes Pigm. 2021, 184, 108869. [Google Scholar] [CrossRef]
- Wang, M.; Liu, Q.; Sun, X.; Zheng, S.; Ma, Y.; Wang, Y.; Yan, M.; Lu, Z.; Fan, C.; Lin, W. Ratiometric and reversible detection of endogenous SO2 and HCHO in living cells and mice by a near-infrared and dual-emission fluorescent probe. Sensors Actuators B Chem. 2021, 335, 129649. [Google Scholar] [CrossRef]
- Zhang, L.; Wang, Z.; Liu, J.; Miao, J.; Zhao, B. A rational design of ratiomet-ric fluorescent probes based on new ICT/FRET platform and imaging of endogenous sulfite in living cells. Sens. Actuators, B. 2017, 253, 19–26. [Google Scholar] [CrossRef]
- Song, G.; Luo, J.; Xing, X.; Ma, H.; Yang, D.; Cao, X.; Ge, Y.; Zhao, B. A ratiometric fluorescence probe for rapid detection of mitochondrial SO2 derivatives. New J. Chem. 2018, 42, 3063–3068. [Google Scholar] [CrossRef]
- Li, D.; Han, X.; Yan, Z.; Cui, Y.; Miao, J.; Zhao, B. A far-red ratiometric fluorescent probe for SO2 derivatives based on the ESIPT enhanced FRET platform with improved performance. Dyes Pigm. 2018, 151, 95–101. [Google Scholar] [CrossRef]
- Yan, Y.; Wu, Q.; Che, Q.; Ding, M.; Xu, M.; Miao, J.; Zhao, B.; Lin, Z. A mitochondria-targeted fluorescent probe for the detection of endogenous SO2 derivatives in living cells. Analyst. 2020, 145, 2937–2944. [Google Scholar] [CrossRef]
- Li, D.; Wang, Z.; Su, H.; Miao, J.; Zhao, B. Fluorescence detection of endogenous bisulfite in liver cancer cells using an effective ESIPT enhanced FRET platform. Chem. Commun. 2017, 53, 577–580. [Google Scholar] [CrossRef]
- Lu, Y.; Dong, B.; Song, W.; Sun, Y.; Mehmood, A.; Lin, W. A mitochondria-targeting ratiometric fluorescent probe for the detection of sulfur dioxide in living cells. New J. Chem. 2020, 44, 11988–11992. [Google Scholar] [CrossRef]
- Li, Z.; Cui, X.; Yan, Y.; Che, Q.; Miao, J.; Zhao, B.; Lin, Z. A novel endoplasmic reticulum-targeted ratiometric fluorescent probe based on FRET for the detection of SO2 derivatives. Dyes Pigm. 2021, 188, 109180. [Google Scholar] [CrossRef]
- Li, D.; Wang, Z.; Cao, X.; Cui, J.; Wang, X.; Cui, H.; Miao, J.; Zhao, B. A mitochondria-targeted fluorescent probe for ratiometric detection of endogenous sulfur dioxide derivatives in cancer cells. Chem. Commun. 2016, 52, 2760–2763. [Google Scholar] [CrossRef]
- Zhang, G.; Ji, R.; Kong, X.; Ning, F.; Liu, A.; Cui, J.; Ge, Y. A FRET based ratiometric fluorescent probe for detection of sulfite in food. RSC Adv. 2019, 9, 1147–1150. [Google Scholar] [CrossRef]
- Yang, Y.; He, L.; Xu, K.; Lin, W. Development of a mitochondria-targeted fluorescent probe for the ratiometric visualization of sulfur dioxide in living cells and zebrafish. Anal. Methods. 2019, 11, 3931–3935. [Google Scholar] [CrossRef]
- Shen, W.; Xu, H.; Feng, J.; Sun, W.; Hu, G.; Yang, W. A ratiometric and colorimetric fluorescent probe designed based on FRET for detecting SO32-/HSO3- in living cells and mice. Spectrochim. Acta, Part A. 2021, 263, 120183. [Google Scholar] [CrossRef]
- Yang, X.; Zhou, X.; Zhang, S.; Yang, Y.; Chen, J.; Guo, X.; Li, Z.; Yang, R.; Zhou, Y. A TP-FRET-based two-photon fluorescent probe for ratiometric visualization of endogenous sulfur dioxide derivatives in mitochondria of living cells and tissues. Chem. Commun. 2016, 52, 10289–10292. [Google Scholar] [CrossRef]
- Li, T.; Huo, F.; Chao, J.; Yin, C. Independent bi-reversible reactions and regulable FRET efficiency achieving real-time visualization of Cys metabolizing into SO2. Chem. Commun. 2020, 56, 11453–11456. [Google Scholar] [CrossRef]
- Chen, X.; Chen, Q.; He, D.; Yang, S.; Yang, Y.; Qian, J.; Long, L.; Wang, K. Mitochondria targeted and immobilized ratiometric NIR fluorescent probe for investigating SO2 phytotoxicity in plant mitochondria. Sens. Actuators, B. 2022, 370, 132433. [Google Scholar] [CrossRef]








Disclaimer/Publisher’s Note: The statements, opinions and data contained in all publications are solely those of the individual author(s) and contributor(s) and not of MDPI and/or the editor(s). MDPI and/or the editor(s) disclaim responsibility for any injury to people or property resulting from any ideas, methods, instructions or products referred to in the content. |
© 2023 by the authors. Licensee MDPI, Basel, Switzerland. This article is an open access article distributed under the terms and conditions of the Creative Commons Attribution (CC BY) license (https://creativecommons.org/licenses/by/4.0/).
Share and Cite
Cui, R.; Liu, C.; Zhang, P.; Qin, K.; Ge, Y. An Imidazo[1,5-a]pyridine Benzopyrylium-Based NIR Fluorescent Probe with Ultra-Large Stokes Shifts for Monitoring SO2. Molecules 2023, 28, 515. https://doi.org/10.3390/molecules28020515
Cui R, Liu C, Zhang P, Qin K, Ge Y. An Imidazo[1,5-a]pyridine Benzopyrylium-Based NIR Fluorescent Probe with Ultra-Large Stokes Shifts for Monitoring SO2. Molecules. 2023; 28(2):515. https://doi.org/10.3390/molecules28020515
Chicago/Turabian StyleCui, Renle, Caihong Liu, Ping Zhang, Kun Qin, and Yanqing Ge. 2023. "An Imidazo[1,5-a]pyridine Benzopyrylium-Based NIR Fluorescent Probe with Ultra-Large Stokes Shifts for Monitoring SO2" Molecules 28, no. 2: 515. https://doi.org/10.3390/molecules28020515
APA StyleCui, R., Liu, C., Zhang, P., Qin, K., & Ge, Y. (2023). An Imidazo[1,5-a]pyridine Benzopyrylium-Based NIR Fluorescent Probe with Ultra-Large Stokes Shifts for Monitoring SO2. Molecules, 28(2), 515. https://doi.org/10.3390/molecules28020515
