Influence of Methods of Corn Starch Modification and Used Sweetener on the Functional Properties of Blackberry Jelly-like Dessert
Abstract
1. Introduction
2. Results and Discussion
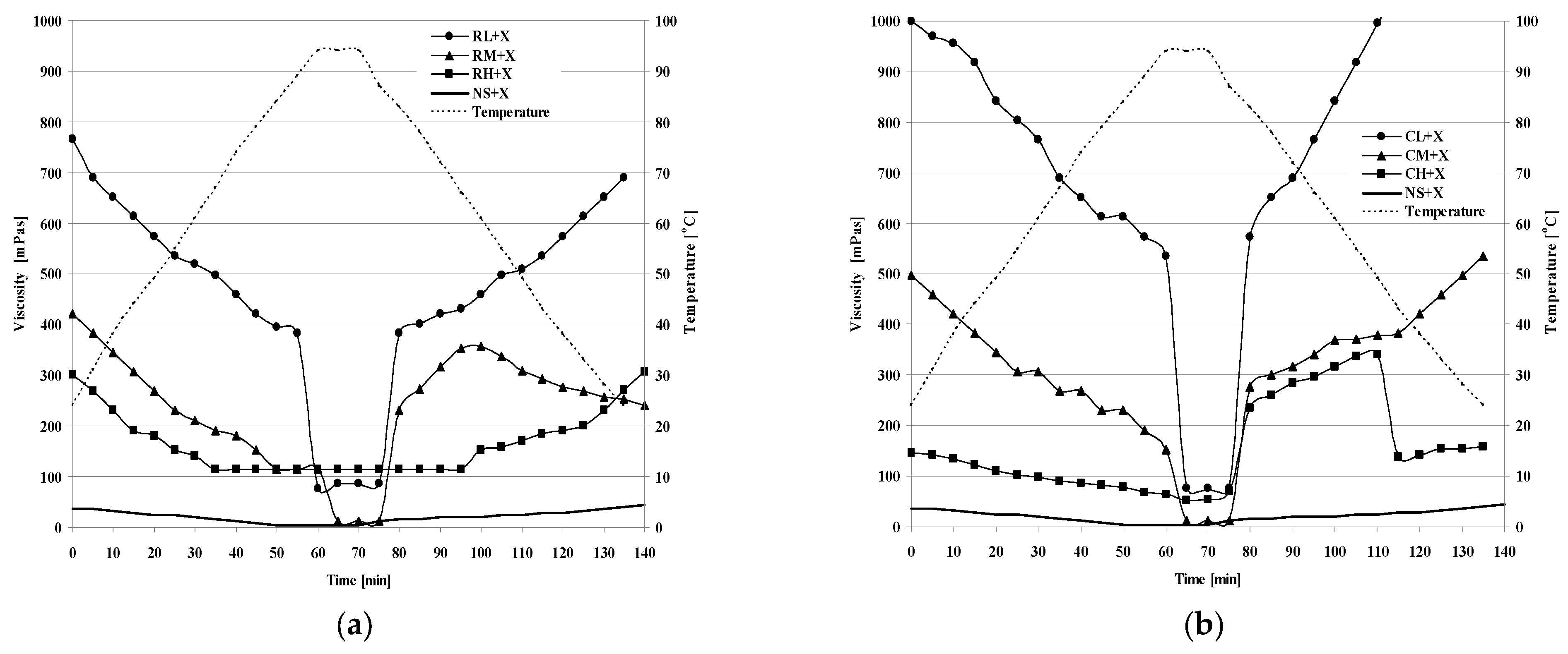
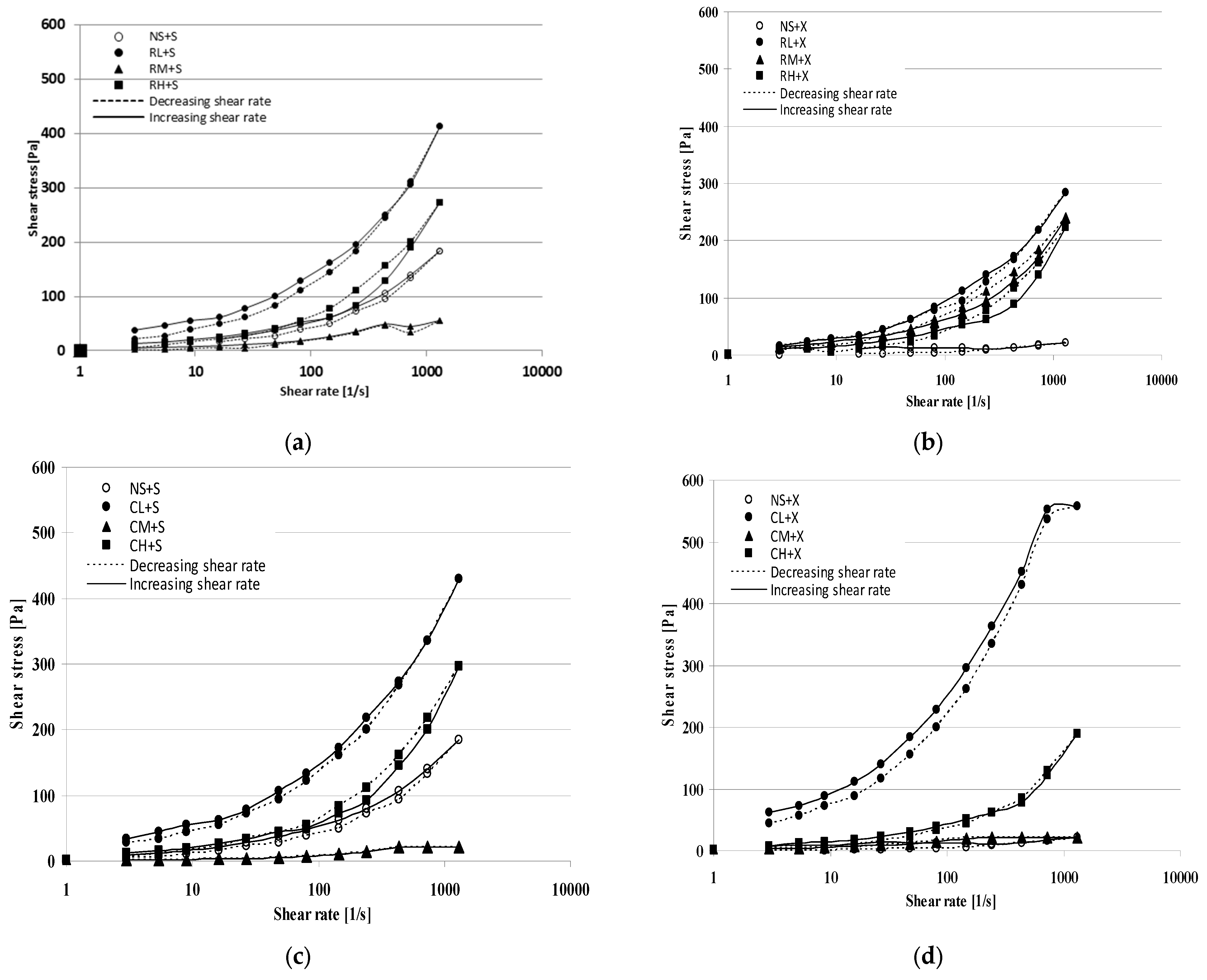
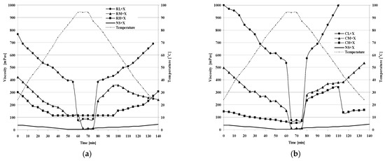
2.1. Rheological Properties
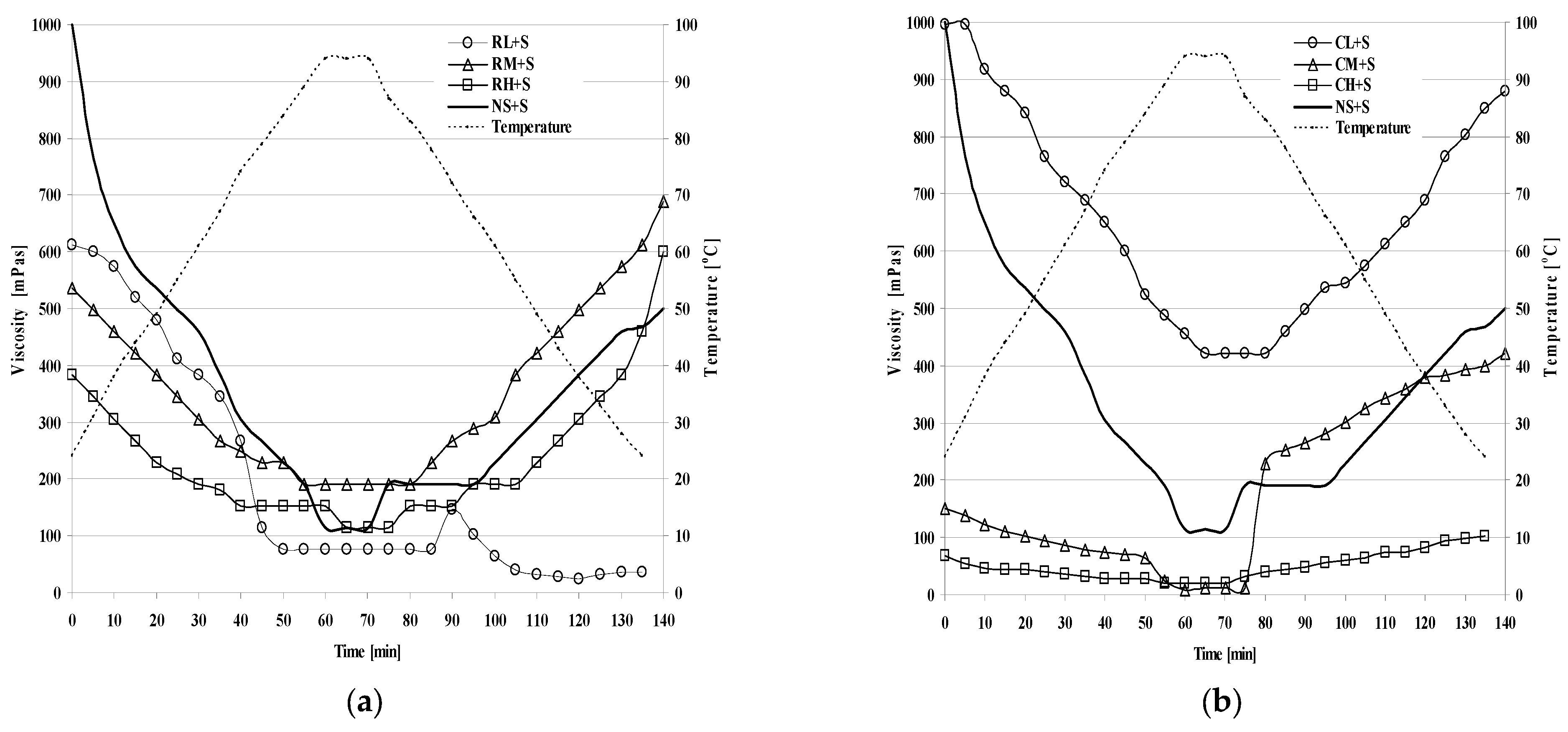
Thixotropy
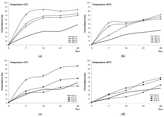
2.2. Retrogradation and Syneresis as a Measure of Ageing of Blackberry Jelly-like Desserts
2.3. The Effect of Sweetener on the Colour of Blackberry Kissels
3. Materials and Methods
3.1. Materials
3.2. Preparation of the Desserts
3.3. Methods
3.3.1. Rheological Properties
Change of Viscosity of Blackberry Kissels in the Gradient of Temperature and Time
Flow Curves of Blackberry Jelly-like Desserts at Increasing and Decreasing Shear Rates
3.3.2. Functional Properties
Paste Clarity
Degree of Syneresis
3.4. Colour Measurement in the L*a*b System
3.5. Statistical Analysis
4. Conclusions
Author Contributions
Funding
Institutional Review Board Statement
Informed Consent Statement
Data Availability Statement
Conflicts of Interest
References
- Arocas, A.; Sanz, T.; Fiszman, S.M. Clean label starches as thickeners in white sauces. Shearing, heating and freeze/thaw stability. Food Hydrocoll. 2009, 23, 2031–2037. [Google Scholar] [CrossRef]
- Pasternak, M. Czysta etykieta a dodatki do żywności. Przem. Spożywczy 2019, 1, 50–53. [Google Scholar] [CrossRef]
- Radeloff, M.A.; Beck, R.H. “Clean label”—Starches and their functional diversity. Sugar Ind. 2016, 141, 209–215. [Google Scholar] [CrossRef]
- Włodarczyk-Stasiak, M.; Mazurek, A.; Jamroz, J.; Pikus, S.; Kowalski, R. Physicochemical properties and structure of hydrothermally modified starches. Food Hydrocoll. 2019, 95, 88–97. [Google Scholar] [CrossRef]
- Han, X.Z.; Hutton, T.K. Inhibited Non-Pregelatinized Granular Starches. U.S. Patent 11,166,483, 9 November 2021. [Google Scholar]
- Abdelwahab, D.H.; Allam, G.G.; Abdel Aziz, A.M. Effect of xylitol and sugar-free chewing gums on salivary bacterial count of streptococcus mutans and lactobacilli in a group of Egyptian school children of different ages: A randomized clinical trial. Future Dent. J. 2018, 4, 216–220. [Google Scholar] [CrossRef]
- Salli, K.M.; Forssten, S.D.; Lahtinen, S.J.; Ouwehand, A.C. Influence of sucrose and xylitol on an early Streptococcus mutans biofilm in a dental simulator. Arch. Oral Biol. 2016, 70, 39–46. [Google Scholar] [CrossRef]
- Kommineni, A.; Amamcharla, J.; Metzger, L.E. Effect of xylitol on the functional properties of low-fat process cheese. J. Dairy Sci. 2012, 95, 6252–6259. [Google Scholar] [CrossRef]
- Grembecka, M. Xylitol—The role in the diet as well as in the prevention and therapy of human diseases (in Polish). Bromat. Chem. Toksykol. 2015, 3, 340–343. [Google Scholar]
- Włodarczyk-Stasiak, M.; Mazurek, A.; Kowalski, R.; Pankiewicz, U.; Jamroz, J. Physicochemical properties of waxy corn starch after three-stage modification. Food Hydrocoll. 2017, 62, 182–190. [Google Scholar] [CrossRef]
- Lai, L.N.; Karim, A.A.; Norziah, M.H.; Seow, C.C. Effects of Na2CO3 and NaOH on Pasting Properties of Selected Native Cereal Starches. J. Food Sci. 2004, 69, FCT249–FCT256. [Google Scholar] [CrossRef]
- Chiotelli, E.; Rolée, A.; Le Meste, M. Effect of Sucrose on the Thermomechanical Behavior of Concentrated Wheat and Waxy Corn Starch−Water Preparations. J. Agric. Food Chem. 2000, 48, 1327–1339. [Google Scholar] [CrossRef]
- Hansen, L.M.; Setser, C.S.; Paukselis, J.V. Investigations of sugar-starch interactions using carbon-13 nuclear magnetic resonance. I. Sucrose. Cereal Chem. 1989, 66, 411–415. [Google Scholar]
- O’Brien, S.; Wang, Y.J.; Vervaet, C.; Remon, J.P. Starch phosphates prepared by reactive extrusion as a sustained release agent. Carbohydr. Polym. 2009, 76, 557–566. [Google Scholar] [CrossRef]
- Zhou, H.; Wang, J.; Li, J.; Fang, X.; Sun, Y. Pasting properties of Angelica dahurica starches in the presence of NaCl, Na2CO3, NaOH, glucose, fructose and sucrose. Starch-Stärke 2011, 63, 323–332. [Google Scholar] [CrossRef]
- Spies, R.D. Effect of sugars on search gelatinization. Cereal Chem. 1982, 59, 128–131. [Google Scholar]
- Chang, S.T.; Lim, B.Y. Effect of sucrose on the rheological properties of corn starch. Korean Soc. Food Sci. Technol. 2001, 33, 700–705. [Google Scholar]
- Owczarz, P.; Orczykowska, M.; Rył, A.; Ziółkowski, P. The effects of sucrose on the sol-gel phase transition and viscoelastic properties of potato starch solutions. Food Chem. 2019, 271, 94–101. [Google Scholar] [CrossRef] [PubMed]
- Pourmohammadi, K.; Abedi, E.; Hashemi, S.M.B.; Torri, L. Effects of sucrose, isomalt and maltodextrin on microstructural, thermal, pasting and textural properties of wheat and cassava starch gel. Int. J. Biol. Macromol. 2018, 120, 1935–1943. [Google Scholar] [CrossRef] [PubMed]
- Dziubiński, M.; Kiljański, T.; Sęk, J. Theoretical Basis and Measurement Methods of Rheology; Politechnika Łódzka: Łódź, Poland, 2014; ISBN 978-83-7283-641-0. (In Polish) [Google Scholar]
- Modzielewska, D.; Dołhańczuk-Śródka, A.; Ziembik, Z. Research on the rheological properties of kefirs (in Polish). Proc. ECOpole 2016, 10, 219–237. [Google Scholar] [CrossRef]
- Sikora, M.; Kowalski, S.; Tomasik, P.; Sady, M. Rheological and sensory properties of dessert sauces thickened by starch-xanthan gum combinations. J. Food Eng. 2007, 79, 1144–1151. [Google Scholar] [CrossRef]
- Sikora, M.; Adamczyk, G.K.M. Thixotropy as a measure of liquid food producs. Food. Sci. Technol. Qual. 2011, 1, 5–14. (In Polish) [Google Scholar] [CrossRef]
- Marsh, R.D.L. A Study of Retrogradation of Weat Starch System Using X-ray Diffraction. Ph.D. Thesis, Food Sciences, University of Nottingham, Nottingham, UK, 1986. [Google Scholar]
- Tako, M.; Hizukuri, S. Retrogradation mechanism of rice starch. Cereal Chem. 2000, 77, 473–477. [Google Scholar] [CrossRef]
- Ding, T.; Kan, L.; Wu, Y.; Bai, Y.; Ouyang, J. Influence of Storage Period on the Physicochemical Properties and In Vitro Digestibility of Starch in Packaged Cooked Chestnut Kernel. Starch-Staerke 2020, 72, 1900080. [Google Scholar] [CrossRef]
- Cairns, P.; I’Anson, K.J.; Morris, V.J. The effect of added sugars on the retrogradation of wheat starch gels by X-ray diffraction. Food Hydrocoll. 1991, 5, 151–153. [Google Scholar] [CrossRef]
- Prokopowich, D.J.; Biliaderis, C.G. A comparative study of the effect of sugars on the thermal and mechanical properties of concentrated waxy maize, wheat, potato and pea starch gels. Food Chem. 1995, 52, 255–262. [Google Scholar] [CrossRef]
- Farhat, I.A.; Blanshard, J.M.V.; Descamps, M.; Mitchell, J.R. Effect of Sugars on Retrogradation of Waxy Maize Starch-Sugar Extrudates. Cereal Chem. J. 2000, 77, 202–208. [Google Scholar] [CrossRef]
- Yoo, D.; Yoo, B. Rheology of Rice Starch-Sucrose Composites. Starch-Stärke 2005, 57, 254–261. [Google Scholar] [CrossRef]
- Ahmad, F.B.; Williams, P.A. Effect of sugars on the thermal and rheological properties of sago starch. Biopolymers 1999, 50, 401–412. [Google Scholar] [CrossRef]
- Katsuta, K.; Nishimura, A.; Miura, M. Effects of saccharides on stabilities of rice starch gels. 1. Mono- and disaccharides. Food Hydrocoll. 1992, 6, 387–398. [Google Scholar] [CrossRef]
- Navarro, A.S.; Martino, M.N.; Zaritzky, N.E. Modelling of rheological behaviour in starch-lipid systems. LWT—Food Sci. Technol. 1996, 29, 632–639. [Google Scholar] [CrossRef]
- Martínez, M.M.; Pico, J.; Gómez, M. Effect of different polyols on wheat and maize starches paste and gel properties. Food Hydrocoll. 2015, 44, 81–85. [Google Scholar] [CrossRef]
- Włodarczyk-Stasiak, M.; Mazurek, A.; Jamroz, J.; Hajnos, M.; Sokołowska, Z. Influence of physico-chemical modification of waxy corn starch on changes in its structure. Food Hydrocoll. 2017, 70, 201–210. [Google Scholar] [CrossRef]
- Winkler, S.; Luckow, G.; Donie, H. Absolute und relative Verkleisterungscharakteristik von Stärken. Teil II. Die relative Viskositätsmessung mit dem Schrägflügelkörper und der Einfluß amylolytischer Enzyme auf das Viskogramm. Starch-Stärke 1972, 24, 58–68. [Google Scholar] [CrossRef]
- Cisse, M.; Zoue, L.; Soro, Y.; Meganaou, R.; Miamke, S. Physicochemical and functional properties of starches of two quality protein maize (QPM) grown in Côte d’Ivoire. J. Appl. Biosci. 2013, 66, 5130. [Google Scholar] [CrossRef]








| Code | Minimum Viscosity, ηmax (mPa∙s) | Temperature at Minimum Viscosity, t ηmax (°C) | Viscosity at 96 °C, η96 °C (mPa∙s) | Viscosity after 20 min of Storage at 96 °C, η96 °C/20′ (mPa∙s) | Viscosity to 20 °C, η20 °C (mPa∙s) | |
|---|---|---|---|---|---|---|
| with Sucrose | Start | Finish | ||||
| NS + S | 114.81 b | 94 a | 114.81 b | 114.81 b | 1000 d | 500 |
| CL + S | 420.98 c | 94 a | 420.98 c | 420.98 d | 995 d | 880 |
| CM + S | 3.95 a | 90–95 a | 3.95 a | 225.5 c | 167 b | 420 |
| CH + S | 19.78 a | 85–94 a | 19.78 a | 30.65 a | 65 a | 103 |
| RL + S | 23.74 a | 95 a | 76.54 a | 76.54 a | 612 c | 35 |
| RM + S | 191.35 b | 85–94 a | 191.35 b | 191.35 bc | 535 c | 688 |
| RH + S | 114.81 b | 94 a | 114.81 b | 114.81 b | 382 bc | 600 |
| with Xylitol | start | finish | ||||
| NS + X | 3.95 a | 85–94 b | 3.95 a | 3.95 a | 35 a | 43 a |
| CL + X | 76.54 b | 94 b | 76.54 b | 76.54 b | 1000 e | 1530 e |
| CM + X | 11.87 a | 94 b | 11.87 a | 11.87 a | 497 d | 535 c |
| CH + X | 51.44 b | 94 b | 51.44 b | 51.44 b | 146 b | 158 b |
| RL + X | 76.54 b | 90 b | 87.06 bc | 87.06 bc | 765 | 720 d |
| RM + X | 11.87 a | 94 b | 11.87 a | 11.87 a | 420 cd | 240 b |
| RH + X | 114.81 c | 60–70 a | 114.81 c | 114.81 c | 300 c | 306 bc |
| Hysteresis Loop Area | |||||||
|---|---|---|---|---|---|---|---|
| with Sucrose | NS + S | CL + S | CM + S | CH + S | RL + S | RM + S | RH + S |
| −66 | −92 | +4 | +52 | −140 | −42 | +61 | |
| with Xylitol | NS + X | CL + X | CM + X | CH + X | RL + X | RM + X | RH + X |
| −57 | −251 | −2 | +34 | −39 | +46 | −25 | |
| Code | L* | a* | b* | ΔE |
|---|---|---|---|---|
| with Sucrose | ||||
| NS + S | 26.6 ± 0.03 a | 2.1 ± 0.04 b | 0.10 ± 0.02 a | - |
| CL + S | 26.13 ± 0.01 a | 1.34 ± 0.01 a | 0.05 ± 0.02 a | 0.89 |
| CM + S | 26.02 ± 0.11 a | 1.49 ±0.01 a | 0.06 ± 0.01 a | 0.84 |
| CH + S | 25.69 ± 0.16 a | 1.55 ± 0.02 a | 0.07 ± 0.01 a | 1.06 |
| RL + S | 25.04 ± 0.41 a | 1.00 ± 0.02 a | 0.00 ± 0.01 a | 1.91 |
| RM + S | 25.93 ± 0.05 a | 1.04 ± 0.01 a | −0.03 ± 0.01 ab | 1.26 |
| RH + S | 24.30 ± 0.62 a | 0.87 ± 0.02 a | −0.09 ± 0.02 ab | 2.79 |
| with Xylitol | ||||
| NS + X | 29.79 ± 0.05 c | 2.77 ± 0.02 b | 0.09 ± 0.01 a | - |
| CL + X | 29.13 ± 0.03 ab | 1.01 ± 0.01 a | 0.07 ± 0.01 a | 1.88 a |
| CM + X | 28.78 ± 0.41 ab | 1.24 ± 0.01 a | 0.10 ± 0.02 a | 1.83 a |
| CH + X | 28.51 ± 0.33 ab | 1.99 ± 0.02 ab | 0.22 ± 0.01 b | 1.50 a |
| RL + X | 26.91 ± 0.45 a | 1.12 ± 0.01 a | 0.00 ± 0.01 a | 3.32 b |
| RM + X | 26.86 ± 0.19 a | 1.46 ± 0.01 a | 0.06 ± 0.02 a | 3.21 b |
| RH + X | 25.45 ± 0.56 a | 1.80 ± 0.02 ab | 0.10 ± 0.01 a | 4.45 c |
| Commercial Name | Type of Modification | Degree of Cross-Linking | Code | |
|---|---|---|---|---|
| with Sucrose | with Xylitol | |||
| Waxy corn starch | - | Native | NS + S | NS + X |
| Claria Essential | Physical (inhibition) | Low | CL + S | CL + X |
| Claria Plus | Medium | CM + S | CM + X | |
| Claria Elite | High | CH + S | CM + X | |
| Resistamyl 341 | Chemical (substitution and crosslinking) | Low | RL + S | RL + X |
| Resistamyl 347 | Medium | RM + S | RM + X | |
| Resistamyl 342 | High | RH + S | RH + X | |
| Water | Starch Material (Physical or Chemical Modified Corn starch) | Sweetener (Sucrose or Xylitol) | Fruit (Blackberry) |
|---|---|---|---|
| g/100 g | |||
| 60.6 | 3.2 | 3.9 | 32.3 |
Disclaimer/Publisher’s Note: The statements, opinions and data contained in all publications are solely those of the individual author(s) and contributor(s) and not of MDPI and/or the editor(s). MDPI and/or the editor(s) disclaim responsibility for any injury to people or property resulting from any ideas, methods, instructions or products referred to in the content. |
© 2023 by the authors. Licensee MDPI, Basel, Switzerland. This article is an open access article distributed under the terms and conditions of the Creative Commons Attribution (CC BY) license (https://creativecommons.org/licenses/by/4.0/).
Share and Cite
Włodarczyk-Stasiak, M.; Mazurek, A.; Kowalski, R. Influence of Methods of Corn Starch Modification and Used Sweetener on the Functional Properties of Blackberry Jelly-like Dessert. Molecules 2023, 28, 498. https://doi.org/10.3390/molecules28020498
Włodarczyk-Stasiak M, Mazurek A, Kowalski R. Influence of Methods of Corn Starch Modification and Used Sweetener on the Functional Properties of Blackberry Jelly-like Dessert. Molecules. 2023; 28(2):498. https://doi.org/10.3390/molecules28020498
Chicago/Turabian StyleWłodarczyk-Stasiak, Marzena, Artur Mazurek, and Radosław Kowalski. 2023. "Influence of Methods of Corn Starch Modification and Used Sweetener on the Functional Properties of Blackberry Jelly-like Dessert" Molecules 28, no. 2: 498. https://doi.org/10.3390/molecules28020498
APA StyleWłodarczyk-Stasiak, M., Mazurek, A., & Kowalski, R. (2023). Influence of Methods of Corn Starch Modification and Used Sweetener on the Functional Properties of Blackberry Jelly-like Dessert. Molecules, 28(2), 498. https://doi.org/10.3390/molecules28020498

