Hybrid Chlorides with Methylhydrazinium Cation: [CH3NH2NH2]CdCl3 and Jahn-Teller Distorted [CH3NH2NH2]CuCl3
Abstract
1. Introduction
2. Results and Discussion
2.1. Structural Properties
2.2. Phonon Properties
2.3. Optical Properties
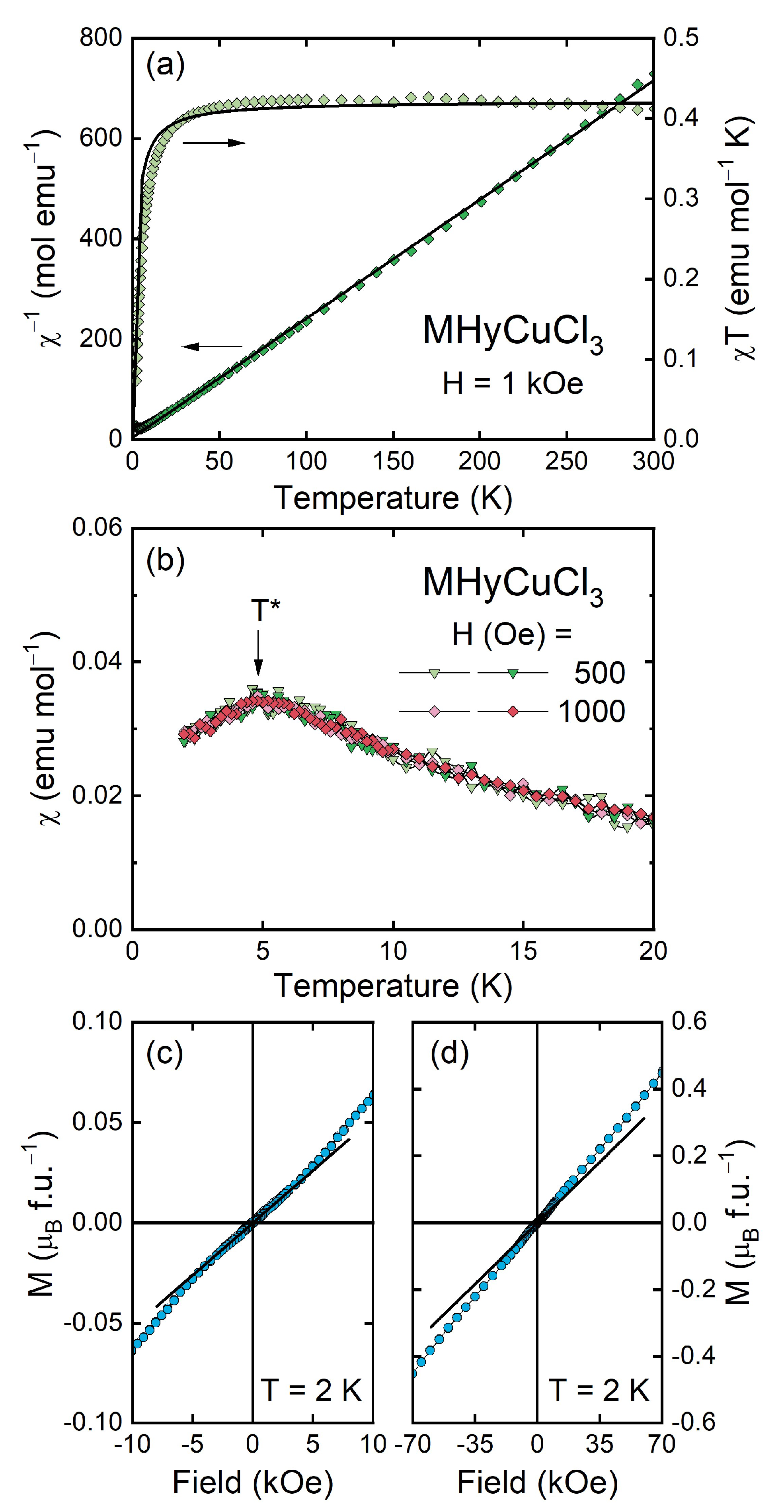
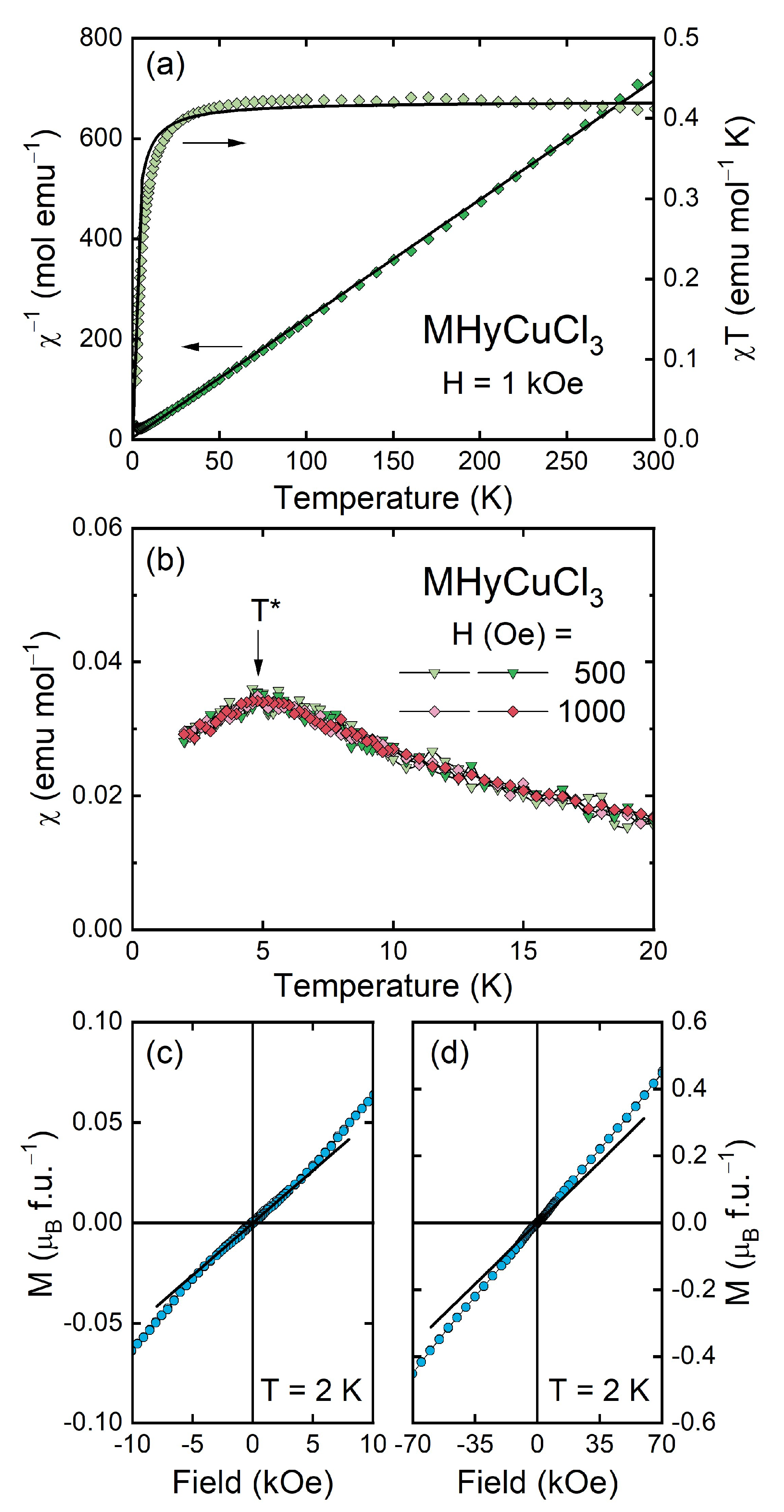
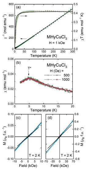
2.4. Magnetic Properties
2.5. Effect of Cd2+ and Cu2+ on the Properties
3. Materials and Methods
3.1. Synthesis
3.2. Single-Crystal and Powder X-ray Diffraction
3.3. Spectroscopic Measurements
3.4. Magnetic Measurements
4. Conclusions
Supplementary Materials
Author Contributions
Funding
Institutional Review Board Statement
Informed Consent Statement
Data Availability Statement
Conflicts of Interest
Sample Availability
References
- Quan, L.N.; Rand, B.P.; Friend, R.H.; Mhaisalkar, S.G.; Lee, T.W.; Sargent, E.H. Perovskites for Next-Generation Optical Sources. Chem. Rev. 2019, 119, 7444–7477. [Google Scholar] [CrossRef] [PubMed]
- Liu, H.; Zhang, H.; Xu, X.; Zhang, L. The Opto-Electronic Functional Devices Based on Three-Dimensional Lead Halide Perovskites. Appl. Sci. 2021, 11, 1453. [Google Scholar] [CrossRef]
- Fu, A.; Yang, P. Lower Threshold for Nanowire Lasers. Nat. Mater. 2015, 14, 557–558. [Google Scholar] [CrossRef] [PubMed]
- Brenner, T.M.; Egger, D.A.; Kronik, L.; Hodes, G.; Cahen, D. Hybrid Organic-Inorganic Perovskites: Low-Cost Semiconductors with Intriguing Charge-Transport Properties. Nat. Rev. Mater. 2016, 1, 15007. [Google Scholar] [CrossRef]
- Li, W.; Zhang, Z.; Bithell, E.G.; Batsanov, A.S.; Barton, P.T.; Saines, P.J.; Jain, P.; Howard, C.J.; Carpenter, M.A.; Cheetham, A.K. Ferroelasticity in a Metal-Organic Framework Perovskite; towards a New Class of Multiferroics. Acta Mater. 2013, 61, 4928–4938. [Google Scholar] [CrossRef]
- Wang, K.; Xiong, J.B.; Xia, B.; Wang, Q.L.; Tong, Y.Z.; Ma, Y.; Bu, X.H. Ferroelastic Phase Transition and Switchable Dielectric Constant in Heterometallic Niccolite Formate Frameworks. Inorg. Chem. 2018, 57, 537–540. [Google Scholar] [CrossRef]
- Nagabhushana, G.P.; Shivaramaiah, R.; Navrotsky, A. Thermochemistry of Multiferroic Organic-Inorganic Hybrid Perovskites [(CH3)2NH2][M(HCOO)3] (M = Mn, Co, Ni, and Zn). J. Am. Chem. Soc. 2015, 137, 10351–10356. [Google Scholar] [CrossRef]
- Wang, Z.; Hu, K.; Gao, S.; Kobayashi, H. Formate-Based Magnetic Metal-Organic Frameworks Templated by Protonated Amines. Adv. Mater. 2010, 22, 1526–1533. [Google Scholar] [CrossRef]
- Britvin, S.N.; Spiridonova, D.V.; Siidra, O.I.; Lotnyk, A.; Kienle, L.; Krivovichev, S.V.; Depmeier, W. Synthesis, Structure and Properties of Hydrazinium Germanate Pharmacosiderite, (N2H5)3Ge7O15(OH)·2.5H2O. Microporous Mesoporous Mater. 2010, 131, 282–288. [Google Scholar] [CrossRef]
- Zhao, T.M.; Chen, S.; Shang, R.; Wang, B.W.; Wang, Z.M.; Gao, S. Perovskite-Like Polar Lanthanide Formate Frameworks of [NH2NH3][Ln(HCOO)4] (Ln=Tb-Lu and Y): Synthesis, Structures, Magnetism, and Anisotropic Thermal Expansion. Inorg. Chem. 2016, 55, 10075–10082. [Google Scholar] [CrossRef]
- Mączka, M.; Sobczak, S.; Kryś, M.; Leite, F.F.; Paraguassu, W.; Katrusiak, A. Mechanism of Pressure-Induced Phase Transitions and Structure-Property Relations in Methylhydrazinium Manganese Hypophosphite Perovskites. J. Phys. Chem. C 2021, 125, 10121–10129. [Google Scholar] [CrossRef]
- Mączka, M.; Ptak, M.; Vasconcelos, D.L.M.; Giriunas, L.; Freire, P.T.C.; Bertmer, M.; Banys, J.; Simenas, M. NMR and Raman Scattering Studies of Temperature-and Pressure-Driven Phase Transitions in CH3NH2NH2PbCl3 Perovskite. J. Phys. Chem. C 2020, 124, 26999–27008. [Google Scholar] [CrossRef]
- Mączka, M.; Gągor, A.; Ptak, M.; Paraguassu, W.; Da Silva, T.A.; Sieradzki, A.; Pikul, A. Phase Transitions and Coexistence of Magnetic and Electric Orders in the Methylhydrazinium Metal Formate Frameworks. Chem. Mater. 2017, 29, 2264–2275. [Google Scholar] [CrossRef]
- Mączka, M.; Gagor, A.; Zareba, J.K.; Stefanska, D.; Drozd, M.; Balciunas, S.; Šimenas, M.; Banys, J.; Sieradzki, A. Three-Dimensional Perovskite Methylhydrazinium Lead Chloride with Two Polar Phases and Unusual Second-Harmonic Generation Bistability above Room Temperature. Chem. Mater. 2020, 32, 4072–4082. [Google Scholar] [CrossRef]
- Mączka, M.; Ptak, M.; Gągor, A.; Stefańska, D.; Zaręba, J.K.; Sieradzki, A. Methylhydrazinium Lead Bromide: Noncentrosymmetric Three-Dimensional Perovskite with Exceptionally Large Framework Distortion and Green Photoluminescence. Chem. Mater. 2020, 32, 1667–1673. [Google Scholar] [CrossRef]
- Oku, T. Crystal Structures of Perovskite Halide Compounds Used for Solar Cells. Rev. Adv. Mater. Sci. 2020, 59, 264–305. [Google Scholar] [CrossRef]
- Capitaine, A.; Sciacca, B. Monocrystalline Methylammonium Lead Halide Perovskite Materials for Photovoltaics. Adv. Mater. 2021, 33, 2102588. [Google Scholar] [CrossRef]
- Rosales, B.A.; Hanrahan, M.P.; Boote, B.W.; Rossini, A.J.; Smith, E.A.; Vela, J. Lead Halide Perovskites: Challenges and Opportunities in Advanced Synthesis and Spectroscopy. ACS Energy Lett. 2017, 2, 906–914. [Google Scholar] [CrossRef]
- Ünlü, F.; Jung, E.; Haddad, J.; Kulkarni, A.; Öz, S.; Choi, H.; Fischer, T.; Chakraborty, S.; Kirchartz, T.; Mathur, S. Understanding the Interplay of Stability and Efficiency in A-Site Engineered Lead Halide Perovskites. APL Mater. 2020, 8, 070901. [Google Scholar] [CrossRef]
- Jena, A.K.; Kulkarni, A.; Miyasaka, T. Halide Perovskite Photovoltaics: Background, Status, and Future Prospects. Chem. Rev. 2019, 119, 3036–3103. [Google Scholar] [CrossRef]
- Stoumpos, C.C.; Malliakas, C.D.; Kanatzidis, M.G. Semiconducting Tin and Lead Iodide Perovskites with Organic Cations: Phase Transitions, High Mobilities, and near-Infrared Photoluminescent Properties. Inorg. Chem. 2013, 52, 9019–9038. [Google Scholar] [CrossRef]
- Raval, P.; Kennard, R.M.; Vasileiadou, E.S.; Dahlman, C.J.; Spanopoulos, I.; Chabinyc, M.L.; Kanatzidis, M.; Manjunatha Reddy, G.N. Understanding Instability in Formamidinium Lead Halide Perovskites: Kinetics of Transformative Reactions at Grain and Subgrain Boundaries. ACS Energy Lett. 2022, 7, 1534–1543. [Google Scholar] [CrossRef]
- Petrosova, H.R.; Kucheriv, O.I.; Shova, S.; Gural’skiy, I.A. Aziridinium Cation Templating 3D Lead Halide Hybrid Perovskites. Chem. Commun. 2022. [Google Scholar] [CrossRef] [PubMed]
- Ferrandin, S.; Slawin, A.M.Z.; Harrison, W.T.A. Syntheses and Crystal Structures of a New Family of Hybrid Perovskites: C5H14N2·ABr3·0.5H2O (A = K, Rb, Cs). Acta Crystallogr. Sect. E Crystallogr. Commun. 2019, 75, 1243–1248. [Google Scholar] [CrossRef]
- Paton, L.A.; Harrison, W.T.A. Structural Diversity in Non-Layered Hybrid Perovskites of the RMCl3 Family. Angew. Chemie Int. Ed. 2010, 49, 7684–7687. [Google Scholar] [CrossRef]
- Zhang, W.Y.; Tang, Y.Y.; Li, P.F.; Shi, P.P.; Liao, W.Q.; Fu, D.W.; Ye, H.Y.; Zhang, Y.; Xiong, R.G. Precise Molecular Design of High-Tc 3D Organic-Inorganic Perovskite Ferroelectric: [MeHdabco]RbI3 (MeHdabco = N-Methyl-1,4-Diazoniabicyclo[2.2.2]Octane). J. Am. Chem. Soc. 2017, 139, 10897–10902. [Google Scholar] [CrossRef]
- Chen, X.-G.; Gao, J.-X.; Hua, X.-N.; Liao, W.-Q. Three-Dimensional Organic-Inorganic Hybrid Sodium Halide Perovskite: C4H12N2·NaI3 and a Hydrogen-Bonded Supramolecular Three-Dimensional Network in 3C4H12N2·NaI4·3I·H2O. Acta Crystallogr. Sect. C Struct. Chem. 2018, 74, 728–733. [Google Scholar] [CrossRef]
- Mączka, M.; Sobczak, S.; Ratajczyk, P.; Leite, F.F.; Paraguassu, W.; Dybała, F.; Herman, A.P.; Kudrawiec, R.; Katrusiak, A. Pressure-Driven Phase Transition in Two-Dimensional Perovskite MHy2PbBr4. Chem. Mater. 2022, 34, 7867–7877. [Google Scholar] [CrossRef]
- Drozdowski, D.; Gągor, A.; Mączka, M. Methylhydrazinium Lead Iodide—One Dimensional Chain Phase with Excitonic Absorption and Large Energy Band Gap. J. Mol. Struct. 2022, 1249, 131660. [Google Scholar] [CrossRef]
- Zienkiewicz, J.A.; Ptak, M.; Drozdowski, D.; Fedoruk, K.; Stefanski, M.; Pikul, A. Hybrid Organic-Inorganic Crystals of [Methylhydrazinium]MIICl3. J. Phys. Chem. C 2022, 3, 15809–15818. [Google Scholar] [CrossRef]
- Ciupa-Litwa, A.; Ptak, M.; Kucharska, E.; Hanuza, J.; Mączka, M. Vibrational Properties and DFT Calculations of Perovskite-Type Methylhydrazinium Manganese Hypophosphite. Molecules 2020, 25, 5215. [Google Scholar] [CrossRef] [PubMed]
- 3Sreenivasa Kumar, N.R.; Nethaji, M.; Patil, K.C. Synthesis, Characterization and Structure of (N2H5)3MnX5 (X = Cl and Br). J. Coord. Chem. 1991, 24, 333–337. [Google Scholar] [CrossRef]
- Goedken, V.L.; Vallarino, L.M.; Quagliano, J.V. Cationic Ligands. Coordination of the 1,1,1-Trimethylhydrazinium Cation to Nickel(II). Inorg. Chem. 1971, 10, 2682–2685. [Google Scholar] [CrossRef]
- Burns, P.; Hawthorne, F. Static and Dynamic Jahn-Teller Effects in Cu2+ Oxysalt Minerals. Can. Mineral. 1996, 34, 1089–1105. [Google Scholar]
- Momma, K.; Izumi, F. IUCr VESTA 3 for Three-Dimensional Visualization of Crystal, Volumetric and Morphology Data. J. Appl. Crystallogr. 2011, 44, 1272–1276. [Google Scholar] [CrossRef]
- Kubiak, M.; Głowiak, T.; Kozłowski, H. Structure of 2-Amino-4,5-Dihydro-3H+-1,3-Thiazolium Trichlorocadmate(II), C3H7N2S+ CdCl3−. Acta Crystallogr. Sect. C Cryst. Struct. Commun. 1983, 39, 1637–1639. [Google Scholar] [CrossRef]
- Mączka, M.; Zienkiewicz, J.A.; Ptak, M. Comparative Studies of Phonon Properties of Three-Dimensional Hybrid Organic-Inorganic Perovskites Comprising Methylhydrazinium, Methylammonium, and Formamidinium Cations. J. Phys. Chem. C 2022, 2022, 4056. [Google Scholar] [CrossRef]
- Nakada, K.; Matsumoto, Y.; Shimoi, Y.; Yamada, K.; Furukawa, Y. Temperature-Dependent Evolution of Raman Spectra of Methylammonium Lead Halide Perovskites, CH3NH3PbX3 (X=I, Br). Molecules 2019, 24, 626. [Google Scholar] [CrossRef]
- Mączka, M.; Stefańska, D.; Ptak, M.; Gągor, A.; Pikul, A.; Sieradzki, A. Cadmium and Manganese Hypophosphite Perovskites Templated by Formamidinium Cations: Dielectric, Optical and Magnetic Properties. Dalt. Trans. 2021. [Google Scholar] [CrossRef]
- Mączka, M.; Stefańska, D.; Zaręba, J.K.; Nyk, M.; Sieradzki, A. Temperature-Dependent Luminescence and Second-Harmonic Generation of Perovskite-Type Manganese and Cadmium Dicyanamide Frameworks Templated by Tetrapropylammonium Cations. J. Alloys Compd. 2020, 821, 153464. [Google Scholar] [CrossRef]
- Bourwina, M.; Msalmi, R.; Walha, S.; Turnbull, M.M.; Roisnel, T.; Costantino, F.; Mosconi, E.; Naïli, H. A New Lead-Free 1D Hybrid Copper Perovskite and Its Structural, Thermal, Vibrational, Optical and Magnetic Characterization. J. Mater. Chem. C 2021, 9, 5970–5976. [Google Scholar] [CrossRef]
- Valiente, R.; de Lucas, M.C.M.; Rodriguez, F. Polarized Charge Transfer Spectroscopy of Cu2+ in Doped One-Dimensional [N(CH3)4]CdCl3 and [N(CH3)4]CdBr3 Crystals. J. Phys. Condens. Matter 1994, 6, 4527–4540. [Google Scholar] [CrossRef]
- Cortecchia, D.; Dewi, H.A.; Yin, J.; Bruno, A.; Chen, S.; Baikie, T.; Boix, P.P.; Grätzel, M.; Mhaisalkar, S.; Soci, C.; et al. Lead-Free MA2CuClxBr4-x Hybrid Perovskites. Inorg. Chem. 2016, 55, 1044–1052. [Google Scholar] [CrossRef] [PubMed]
- Jaffe, A.; Lin, Y.; Mao, W.L.; Karunadasa, H.I. Pressure-Induced Conductivity and Yellow-to-Black Piezochromism in a Layered Cu–Cl Hybrid Perovskite. J. Am. Chem. Soc. 2015, 137, 1673–1678. [Google Scholar] [CrossRef]
- Shannon, R.D. Revised Effective Ionic Radii and Systematic Studies of Interatomie Distances in Halides and Chaleogenides. Acta Cryst. A 1976, 32, 751–767. [Google Scholar] [CrossRef]
- Ptak, M.; Sieradzki, A.; Šimėnas, M.; Maczka, M. Molecular Spectroscopy of Hybrid Organic-Inorganic Perovskites and Related Compounds. Coord. Chem. Rev. 2021, 448, 214180. [Google Scholar] [CrossRef]
- Gómez-Aguirre, L.C.; Pato-Doldán, B.; Stroppa, A.; Yáñez-Vilar, S.; Bayarjargal, L.; Winkler, B.; Castro-García, S.; Mira, J.; Sánchez-Andújar, M.; Señarís-Rodríguez, M.A. Room-Temperature Polar Order in [NH4][Cd(HCOO)3]—A Hybrid Inorganic-Organic Compound with a Unique Perovskite Architecture. Inorg. Chem. 2015, 54, 2109–2116. [Google Scholar] [CrossRef]
- Szymborska-Małek, K.; Trzebiatowska-Gusowska, M.; Maczka, M.; Gagor, A. Temperature-Dependent IR and Raman Studies of Metal-Organic Frameworks [(CH3)2NH2][M(HCOO)3], M = Mg and Cd. Spectrochim. Acta—Part A Mol. Biomol. Spectrosc. 2016, 159, 35–41. [Google Scholar] [CrossRef]
- Dolomanov, O.V.; Bourhis, L.J.; Gildea, R.J.; Howard, J.A.K.; Puschmann, H. OLEX2: A Complete Structure Solution, Refinement and Analysis Program. J. Appl. Crystallogr. 2009, 42, 339–341. [Google Scholar] [CrossRef]
- Sheldrick, G.M. SHELXT—Integrated Space-Group and Crystal-Structure Determination. Acta Crystallogr. Sect. A Found. Adv. 2015, 71, 3–8. [Google Scholar] [CrossRef]
- Sheldrick, G.M. Crystal Structure Refinement with SHELXL. Acta Crystallogr. Sect. C Struct. Chem. 2015, 71, 3–8. [Google Scholar] [CrossRef] [PubMed]
- Degen, T.; Sadki, M.; Bron, E.; König, U.; Nénert, G. The HighScore Suite. Powder Diffr. 2014, 29, S13–S18. [Google Scholar] [CrossRef]





Disclaimer/Publisher’s Note: The statements, opinions and data contained in all publications are solely those of the individual author(s) and contributor(s) and not of MDPI and/or the editor(s). MDPI and/or the editor(s) disclaim responsibility for any injury to people or property resulting from any ideas, methods, instructions or products referred to in the content. |
© 2023 by the authors. Licensee MDPI, Basel, Switzerland. This article is an open access article distributed under the terms and conditions of the Creative Commons Attribution (CC BY) license (https://creativecommons.org/licenses/by/4.0/).
Share and Cite
Zienkiewicz, J.A.; Kowalska, D.A.; Drozdowski, D.; Pikul, A.; Ptak, M. Hybrid Chlorides with Methylhydrazinium Cation: [CH3NH2NH2]CdCl3 and Jahn-Teller Distorted [CH3NH2NH2]CuCl3. Molecules 2023, 28, 473. https://doi.org/10.3390/molecules28020473
Zienkiewicz JA, Kowalska DA, Drozdowski D, Pikul A, Ptak M. Hybrid Chlorides with Methylhydrazinium Cation: [CH3NH2NH2]CdCl3 and Jahn-Teller Distorted [CH3NH2NH2]CuCl3. Molecules. 2023; 28(2):473. https://doi.org/10.3390/molecules28020473
Chicago/Turabian StyleZienkiewicz, Jan A., Dorota A. Kowalska, Dawid Drozdowski, Adam Pikul, and Maciej Ptak. 2023. "Hybrid Chlorides with Methylhydrazinium Cation: [CH3NH2NH2]CdCl3 and Jahn-Teller Distorted [CH3NH2NH2]CuCl3" Molecules 28, no. 2: 473. https://doi.org/10.3390/molecules28020473
APA StyleZienkiewicz, J. A., Kowalska, D. A., Drozdowski, D., Pikul, A., & Ptak, M. (2023). Hybrid Chlorides with Methylhydrazinium Cation: [CH3NH2NH2]CdCl3 and Jahn-Teller Distorted [CH3NH2NH2]CuCl3. Molecules, 28(2), 473. https://doi.org/10.3390/molecules28020473

