Four New Diterpenoids from the South China Sea Soft Coral Sinularia nanolobata and DFT-Based Structure Elucidation
Abstract
:1. Introduction
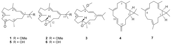
2. Results
3. Discussion
4. Materials and Methods
4.1. The General Experimental Procedures
4.2. Biological Material
4.3. Extraction and Isolation
4.3.1. 12α-methyl-1E,3E,7E-cembratrien-10-one (1)
4.3.2. 15-methoxyl-11,12-epoxy-1E,3E,7E-cembratrien (2)
4.3.3. 4α-methoxyl-11,12-epoxy-1,2E,7E-cembratrien (3)
4.3.4. 2E,7E,10E,12-casbatetraen (4)
4.4. Computational Methods
4.5. Bioactivity Assays
5. Conclusions
Supplementary Materials
Author Contributions
Funding
Institutional Review Board Statement
Informed Consent Statement
Data Availability Statement
Acknowledgments
Conflicts of Interest
Sample Availability
References
- Chen, W.-T.; Li, Y.; Guo, Y.-W. Terpenoids of Sinularia soft corals: Chemistry and bioactivity. Acta Pharm. Sin. B 2012, 2, 227–237. [Google Scholar] [CrossRef]
- Yan, X.; Liu, J.; Leng, X.; Ouyang, H. Chemical diversity and biological activity of secondary metabolites from soft coral genus Sinularia since 2013. Mar. Drugs 2021, 19, 335. [Google Scholar] [CrossRef] [PubMed]
- Kamel, H.N.; Slattery, M. Terpenoids of Sinularia: Chemistry and biomedical applications. Pharm. Biol. 2008, 43, 253–269. [Google Scholar] [CrossRef]
- Yamada, K.; Ujiie, T.; Yoshida, K.; Miyamoto, T.; Higuchi, R. Sinulobatins A-D, New amphilectane-type diterpenoids from the Japanese soft coral Sinularia nanolobata. Tetrahedron 1997, 53, 4569–4578. [Google Scholar] [CrossRef]
- Ahmed, A.F.; Su, J.-H.; Shiue, R.-T.; Pan, X.-J.; Dai, C.-F.; Kuo, Y.-H.; Sheu, J.-H. New β-caryophyllene-derived terpenoids from the soft coral Sinularia nanolobata. J. Nat. Prod. 2004, 67, 592–597. [Google Scholar] [CrossRef] [PubMed]
- Ahmed, A.F.; Tai, S.-H.; Wen, Z.-H.; Su, J.-H.; Wu, Y.-C.; Hu, W.-P.; Sheu, J.-H. A C-3 methylated isocembranoid and 10-oxocembranoids from a Formosan soft coral, Sinularia grandilobata. J. Nat. Prod. 2008, 71, 946–951. [Google Scholar] [CrossRef] [PubMed]
- Tseng, Y.-J.; Wen, Z.-H.; Dai, C.-F.; Chiang, M.Y.; Sheu, J.-H. Nanolobatolide, a new C18 metabolite from the Formosan soft coral Sinularia nanolobata. Org. Lett. 2009, 11, 5030–5032. [Google Scholar] [CrossRef] [PubMed]
- Tseng, Y.-J.; Wang, S.-K.; Duh, C.-Y. Secosteroids and norcembranoids from the soft coral Sinularia nanolobata. Mar. Drugs 2013, 11, 3288–3296. [Google Scholar] [CrossRef] [PubMed]
- Chao, C.-H.; Huang, T.-Z.; Wu, C.-Y.; Chen, B.-W.; Huang, C.-Y.; Hwang, T.-L.; Dai, C.-F.; Sheu, J.-H. Steroidal and α-tocopherylhydroquinone glycosides from two soft corals Cladiella hirsute and Sinularia nanolobata. RSC Adv. 2015, 5, 74256–74262. [Google Scholar] [CrossRef]
- Chao, C.-H.; Wu, C.-Y.; Huang, C.-Y.; Wang, H.-C.; Dai, C.-F.; Wu, Y.-C.; Sheu, J.-H. Cubitanoids and cembranoids from the soft coral Sinularia nanolobata. Mar. Drugs 2016, 14, 150. [Google Scholar] [CrossRef] [PubMed]
- Ngoc, N.-T.; Huong, P.T.M.; Thanh, N.V.; Cuong, N.X.; Nam, N.H.; Thung, D.C.; Kiem, P.V.; Minh, C.V. Steroid constituents from the soft coral Sinularia nanolobata. Chem. Pharm. Bull. 2016, 64, 1417–1419. [Google Scholar] [CrossRef] [PubMed]
- Ngoc, N.-T.; Huong, P.T.M.; Thanh, N.V.; Cuong, N.X.; Nam, N.H.; Thung, D.C.; Kiem, P.V.; Minh, C.V. Sesquiterpene constituents from the soft coral Sinularia nanolobata. Nat. Prod. Res. 2017, 31, 1799–1804. [Google Scholar] [CrossRef] [PubMed]
- Hsu, F.-Y.; Wang, S.-K.; Duh, C.-Y. Xeniaphyllane-derived terpenoids from soft coral Sinularia nanolobata. Mar. Drugs 2018, 14, 40. [Google Scholar] [CrossRef] [PubMed]
- Liu, J.; Li, S.-W.; Zhao, Q.-M.; Zhang, Z.-Y.; Yao, L.-G.; Gu, Y.-C.; Lan, L.-F.; Guo, Y.-W. Nanolobatone A, unprecedented diterpenoid and related casbanoids from the Hainan soft coral Sinularia nanolobata. Chem.-Eur. J. 2023, 29, e202300055. [Google Scholar] [CrossRef] [PubMed]
- Duh, C.-Y.; Hou, R.-S. Cytotoxic cembranoids from the soft corals Sinularia gibberosa and Sarcophyton trocheliophorum. J. Nat. Prod. 1996, 59, 595–598. [Google Scholar] [CrossRef]
- Sitton, D.; West, C.A. Casbene: An anti-fungal diterpene produced in cell-free extracts of Ricznus communis seedings. Phytochemistry 1975, 14, 1921–1925. [Google Scholar] [CrossRef]
- Grimblat, N.; Zanardi, M.M.; Sarotti, A.M. Beyond DP4: An improved probability for the stereochemical assignment of isomeric compounds using quantum chemical calculations of NMR shifts. J. Org. Chem. 2015, 80, 12526–12534. [Google Scholar] [CrossRef] [PubMed]
- Grimblat, N.; Gavin, J.A.; Daranas, A.H.; Sarotti, A.M. Combining the power of J coupling and DP4 analysis on stereochemical assignments: The J-DP4 methods. Org. Lett. 2019, 21, 4003–4007. [Google Scholar] [CrossRef] [PubMed]
- Rodrigues, I.G.; Miguel, M.G.; Mnif, W. A brief review on new naturally occurring cembranoid diterpene derivatives from the soft corals of the genera Sarcophyton, Sinularia, and Lobophytum since 2016. Molecules 2019, 24, 781. [Google Scholar] [CrossRef] [PubMed]




| No. | 1 | 2 | ||
|---|---|---|---|---|
| δH, Mult (J in Hz) | δC, Mult | δH, Mult (J in Hz) | δC, Mult | |
| 1 | - | 143.2, s | - | 143.0, s |
| 2 | 6.17, d (10.7) | 122.1, d | 6.14, d (10.0) | 122.3, d |
| 3 | 5.82, d (10.7) | 121.8, d | 5.82, d (10.0) | 120.3, d |
| 4 | - | 137.3, s | - | 138.8, s |
| 5 | 2.18, m | 39.0, t | 2.17, m | 38.2, t |
| 2.18, m | 2.17, m | |||
| 6 | 2.23, m | 25.5, t | 2.27, m | 25.1, t |
| 2.23, m | 2.17, m | |||
| 7 | 5.24, m | 128.9, d | 5.28, m | 127.2, d |
| 8 | - | 129.4, s | - | 133.6, s |
| 9 | 3.03, m | 53.1, t | 2.26, m | 37.0, t |
| 3.03, m | 2.11, m | |||
| 10 | - | 209.9, s | 2.01, m | 24.5, t |
| 1.45, m | ||||
| 11 | 2.55, dd (14.6, 8.7) | 50.9, t | 2.90, dd (9.2, 3.5) | 61.3, t |
| 2.19, m | ||||
| 12 | 2.06, m | 30.2, d | - | 61.4, d |
| 13 | 1.43, m | 37.4, t | 2.08, m | 38.8, t |
| 1.27, m | 1.33, m | |||
| 14 | 2.23, m | 24.6, t | 2.12, m | 23.1, t |
| 1.97, m | 2.03, m | |||
| 15 | - | 78.2, s | - | 78.0, s |
| 16 | 1.29, s | 27.0, q | 1.29, s | 26.4, q |
| 17 | 1.30, s | 25.2, q | 1.29, s | 25.8, q |
| 18 | 1.75, s | 17.4, q | 1.74, s | 18.3, q |
| 19 | 1.70, s | 17.6, q | 1.66, s | 15.1, q |
| 20 | 0.98, d (6.9) | 20.4, q | 1.25, s | 17.4, q |
| −OMe | 3.02, s | 50.4, q | 3.02, s | 50.4, q |
| No. | 3 | 4 | ||
|---|---|---|---|---|
| δH, Mult (J in Hz) | δC, Mult | δH, Mult (J in Hz) | δC, Mult | |
| 1 | - | 129.5, s | 0.62, dt (8.2, 2.6) | 29.5, d |
| 2 | 6.48, d (16.3) | 127.4, d | 1.32, m | 26.0, d |
| 3 | 5.71, d (16.3) | 130.5, d | 4.83, d (8.2) | 122.9, d |
| 4 | - | 77.3, s | - | 134.8, s |
| 5 | 1.92, m | 41.7, t | 2.22, dd (12.1, 4.2) | 39.6, t |
| 1.60, m | 2.06, dd (12.1, 4.9) | |||
| 6 | 2.64, m | 23.0, t | 2.16, m | 23.8, t |
| 1.95, m | 2.16, m | |||
| 7 | 5.34, br d (7.7) | 128.6, d | 5.14, t (5.7) | 124.2, d |
| 8 | - | 132.5, s | - | 134.2, s |
| 9 | 2.33, d (13.0) | 36.9, t | 2.73, dd (16.4, 5.0) | 40.8, t |
| 2.10, dd (13.0, 3.1) | 2.62, dd (16.4, 9.1) | |||
| 10 | 2.18, dt (12.9, 3.0) | 24.4, t | 5.67, ddd (16.2, 9.1, 5.0) | 130.5, d |
| 1.32, m | ||||
| 11 | 2.79, dd (10.8, 2.6) | 62.6, d | 5.94, d (16.2) | 130.8, d |
| 12 | - | 61.6, s | - | 147.5, s |
| 13 | 2.01, m | 37.6, t | 2.31, m | 34.3, t |
| 1.02, m | 2.31, m | |||
| 14 | 2.46, m | 26.4, t | 1.49, m | 25.5, t |
| 2.04, m | 1.38, m | |||
| 15 | - | 131.7, s | - | 20.1, s |
| 16 | 1.81, s | 21.5, q | 1.07, s | 29.2, q |
| 17 | 1.81, s | 20.4, q | 0.93, s | 16.1, q |
| 18 | 1.31, s | 23.3, q | 1.65, s | 15.8, q |
| 19 | 1.70, s | 14.8, q | 1.64, s | 18.0, q |
| 20 | 1.30, s | 16.3, q | 4.87, s | 113.0, t |
| 4.82, s | ||||
| −OMe | 3.07, s | 50.3, q | ||
Disclaimer/Publisher’s Note: The statements, opinions and data contained in all publications are solely those of the individual author(s) and contributor(s) and not of MDPI and/or the editor(s). MDPI and/or the editor(s) disclaim responsibility for any injury to people or property resulting from any ideas, methods, instructions or products referred to in the content. |
© 2023 by the authors. Licensee MDPI, Basel, Switzerland. This article is an open access article distributed under the terms and conditions of the Creative Commons Attribution (CC BY) license (https://creativecommons.org/licenses/by/4.0/).
Share and Cite
Yu, D.-D.; Ke, L.-M.; Liu, J.; Li, S.-W.; Su, M.-Z.; Yao, L.-G.; Luo, H.; Guo, Y.-W. Four New Diterpenoids from the South China Sea Soft Coral Sinularia nanolobata and DFT-Based Structure Elucidation. Molecules 2023, 28, 6892. https://doi.org/10.3390/molecules28196892
Yu D-D, Ke L-M, Liu J, Li S-W, Su M-Z, Yao L-G, Luo H, Guo Y-W. Four New Diterpenoids from the South China Sea Soft Coral Sinularia nanolobata and DFT-Based Structure Elucidation. Molecules. 2023; 28(19):6892. https://doi.org/10.3390/molecules28196892
Chicago/Turabian StyleYu, Dan-Dan, Lin-Mao Ke, Jiao Liu, Song-Wei Li, Ming-Zhi Su, Li-Gong Yao, Hui Luo, and Yue-Wei Guo. 2023. "Four New Diterpenoids from the South China Sea Soft Coral Sinularia nanolobata and DFT-Based Structure Elucidation" Molecules 28, no. 19: 6892. https://doi.org/10.3390/molecules28196892
APA StyleYu, D.-D., Ke, L.-M., Liu, J., Li, S.-W., Su, M.-Z., Yao, L.-G., Luo, H., & Guo, Y.-W. (2023). Four New Diterpenoids from the South China Sea Soft Coral Sinularia nanolobata and DFT-Based Structure Elucidation. Molecules, 28(19), 6892. https://doi.org/10.3390/molecules28196892

