Theoretical Studies for the Discovery of Potential Sucrase-Isomaltase Inhibitors from Maize Silk Phytochemicals: An Approach to Treatment of Type 2 Diabetes
Abstract
:1. Introduction
2. Results
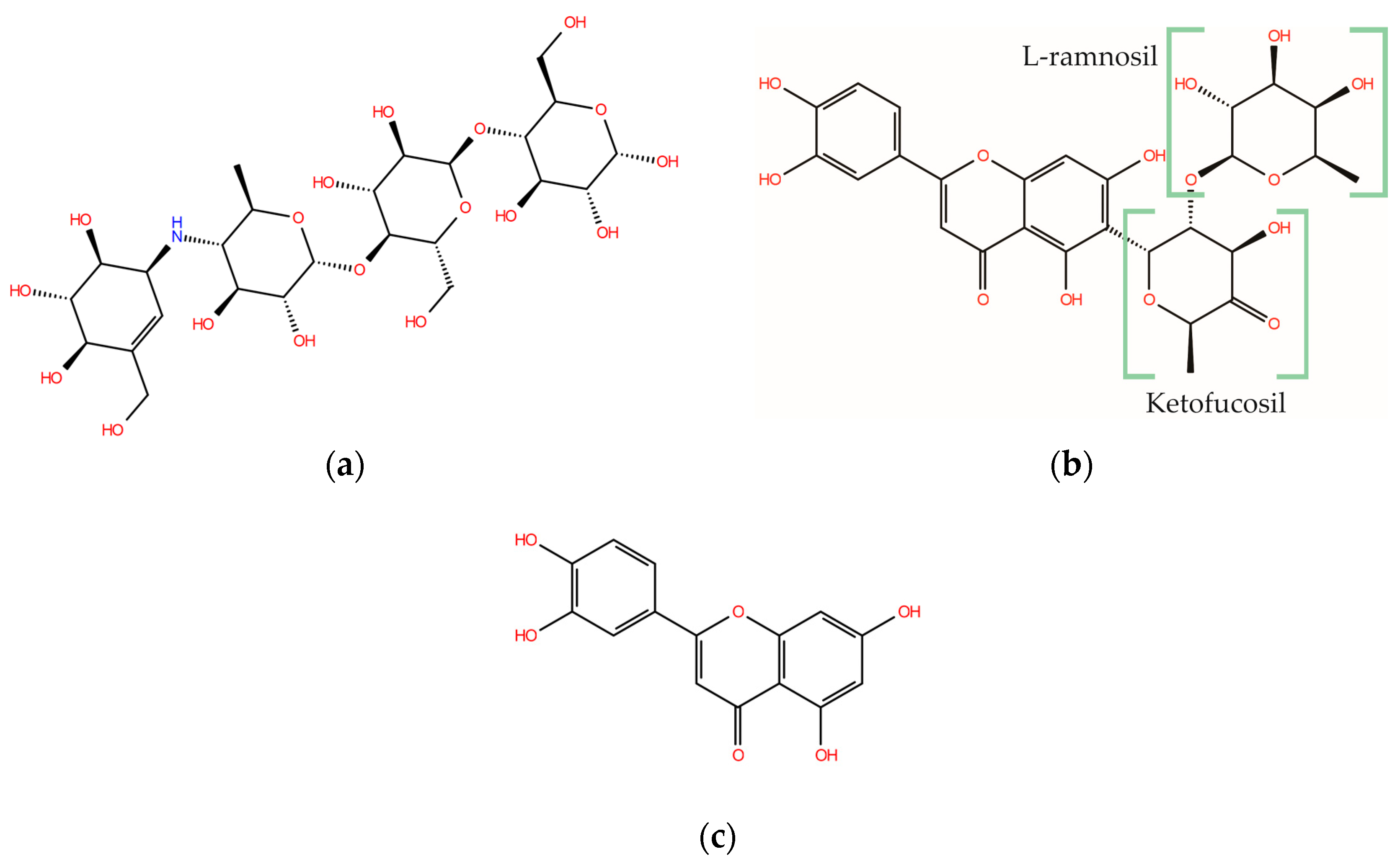
2.1. Structural Optimization of Ligands
2.2. Molecular Docking Analysis between Ligands, ACA, MAY, and LUT, with the Sucrase-Isomaltase Domain B and D
2.3. Molecular Dynamics Simulation Analysis
2.4. Chemical Reactivity Parameters and Charge Transfer Descriptor
3. Discussion
4. Methods
4.1. Structural Optimization
4.2. Molecular Docking Calculations
4.3. Molecular Dynamics Simulations
4.4. Binding Free Energy Calculations
4.5. Chemical Reactivity and Charge Transfer Calculations
5. Conclusions
Author Contributions
Funding
Institutional Review Board Statement
Informed Consent Statement
Data Availability Statement
Acknowledgments
Conflicts of Interest
Sample Availability
Appendix A


| ID Compound | vdW | elec | PB | SA | Ggas | Gsol | Gbind |
|---|---|---|---|---|---|---|---|
| ACA | −17.42 | −105.35 | 110.22 | −2.97 | −122.77 | 107.25 | −15.52 |
| MAY | −27.61 | −58.28 | 75.05 | −3.26 | −85.89 | 71.79 | −14.09 |
| LUT | −18.85 | −53.90 | 66.27 | −2.85 | −72.75 | 63.43 | −9.32 |
References
- Preedy, V.R.; Watson, R.R.R. Handbook of Disease Burdens and Quality of Life Measures; Springer: New York, NY, USA, 2010; p. 6-v. [Google Scholar]
- Rother, K.I. Diabetes Treatment—Bridging the Divide. N. Engl. J. Med. 2007, 356, 1499. [Google Scholar] [CrossRef] [PubMed]
- Cipriani-Thorne, E.; Quintanilla, A. Diabetes Mellitus Tipo 2 y Resistencia a La Insulina. Rev. Medica Hered. 2010, 21, 160–171. [Google Scholar] [CrossRef]
- Nair, S.S.; Kavrekar, V.; Mishra, A. In Vitro Studies on Alpha Amylase and Alpha Glucosidase Inhibitory Activities of Selected Plant Extracts. Eur. J. Exp. Biol. 2013, 3, 128–132. [Google Scholar]
- Lin, A.H.-M.; Lee, B.-H.; Chang, W.-J. Small Intestine Mucosal α-Glucosidase: A Missing Feature of in Vitro Starch Digestibility. Food Hydrocoll. 2016, 53, 163–171. [Google Scholar] [CrossRef]
- Ernst, H.A.; Leggio, L.L.; Willemoës, M.; Leonard, G.; Blum, P.; Larsen, S. Structure of the Sulfolobus Solfataricus α-Glucosidase: Implications for Domain Conservation and Substrate Recognition in GH31. J. Mol. Biol. 2006, 358, 1106–1124. [Google Scholar] [CrossRef]
- Gericke, B.; Schecker, N.; Amiri, M.; Naim, H.Y. Structure-Function Analysis of Human Sucrase-Isomaltase Identifies Key Residues Required for Catalytic Activity. J. Biol. Chem. 2017, 292, 11070–11078. [Google Scholar] [CrossRef]
- Rose, D.R.; Chaudet, M.M.; Jones, K. Structural Studies of the Intestinal α-Glucosidases, Maltase-Glucoamylase and Sucrase-Isomaltase. J. Pediatr. Gastroenterol. Nutr. 2018, 66, S11–S13. [Google Scholar] [CrossRef]
- Clissold, S.P.; Edwards, C. Acarbose: A Preliminary Review of Its Pharmacodynamic and Pharmacokinetic Properties, and Therapeutic Potential. Drugs 1988, 35, 214–243. [Google Scholar] [CrossRef]
- Alvarado-Díaz, C.S.; Gutiérrez-Méndez, N.; Mendoza-López, M.L.; Rodríguez-Rodríguez, M.Z.; Quintero-Ramos, A.; Landeros-Martínez, L.L.; Rodríguez-Valdez, L.M.; Rodríguez-Figueroa, J.C.; Pérez-Vega, S.; Salmeron-Ochoa, I. Inhibitory Effect of Saccharides and Phenolic Compounds from Maize Silks on Intestinal α-Glucosidases. J. Food Biochem. 2019, 43, e12896. [Google Scholar] [CrossRef]
- Sabiu, S.; O’neill, F.H.; Ashafa, A.O.T. Kinetics of α-Amylase and α-Glucosidase Inhibitory Potential of Zea Mays Linnaeus (Poaceae), Stigma Maydis Aqueous Extract: An in Vitro Assessment. J. Ethnopharmacol. 2016, 183, 1–8. [Google Scholar] [CrossRef]
- Wang, K.-J.; Zhao, J.-L. Corn Silk (Zea Mays L.), a Source of Natural Antioxidants with α-Amylase, α-Glucosidase, Advanced Glycation and Diabetic Nephropathy Inhibitory Activities. Biomed. Pharmacother. 2019, 110, 510–517. [Google Scholar] [CrossRef]
- Landeros-Martínez, L.-L.; Gutiérrez-Méndez, N.; Palomares-Báez, J.P.; Sánchez-Bojorge, N.-A.; Flores-De los Ríos, J.P.; Piñón-Castillo, H.A.; Chávez-Rojo, M.A.; Rodriguez-Valdez, L.-M. The Oxidative Process of Acarbose, Maysin, and Luteolin with Maltase-Glucoamylase: Molecular Docking and Molecular Dynamics Study. Appl. Sci. 2021, 11, 4067. [Google Scholar] [CrossRef]
- Lim, J.; Zhang, X.; Ferruzzi, M.G.; Hamaker, B.R. Starch Digested Product Analysis by HPAEC Reveals Structural Specificity of Flavonoids in the Inhibition of Mammalian α-Amylase and α-Glucosidases. Food Chem. 2019, 288, 413–421. [Google Scholar] [CrossRef] [PubMed]
- Yan, J.; Zhang, G.; Pan, J.; Wang, Y. α-Glucosidase Inhibition by Luteolin: Kinetics, Interaction and Molecular Docking. Int. J. Biol. Macromol. 2014, 64, 213–223. [Google Scholar] [CrossRef]
- Djeujo, F.M.; Ragazzi, E.; Urettini, M.; Sauro, B.; Cichero, E.; Tonelli, M.; Froldi, G. Magnolol and Luteolin Inhibition of α-Glucosidase Activity: Kinetics and Type of Interaction Detected by in Vitro and in Silico Studies. Pharmaceuticals 2022, 15, 205. [Google Scholar] [CrossRef] [PubMed]
- Djeujo, F.M.; Stablum, V.; Pangrazzi, E.; Ragazzi, E.; Froldi, G. Luteolin and Vernodalol as Bioactive Compounds of Leaf and Root Vernonia Amygdalina Extracts: Effects on α-Glucosidase, Glycation, ROS, Cell Viability, and in Silico ADMET Parameters. Pharmaceutics 2023, 15, 1541. [Google Scholar] [CrossRef]
- Vonia, S.; Hartati, R.; Insanu, M. In Vitro Alpha-Glucosidase Inhibitory Activity and the Isolation of Luteolin from the Flower of Gymnanthemum Amygdalinum (Delile) Sch. Bip Ex Walp. Molecules 2022, 27, 2132. [Google Scholar] [CrossRef]
- Stefaniu, A. Introductory Chapter: Molecular Docking and Molecular Dynamics Techniques to Achieve Rational Drug Design. In Molecular Docking and Molecular Dynamics; IntechOpen: London, UK, 2019. [Google Scholar]
- Rozhenko, A.B. Density Functional Theory Calculations of Enzyme–Inhibitor Interactions in Medicinal Chemistry and Drug Design. In Application of Computational Techniques in Pharmacy and Medicine; Springer: Berlin/Heidelberg, Germany, 2014; pp. 207–240. [Google Scholar]
- Merugu, R.; Neerudu, U.K.; Dasa, K.; Singh, K.V. Molecular Docking Studies of Deacetylbisacodyl with Intestinal Sucrase-Maltase Enzyme. Int. J. Adv. Sci. Res. 2016, 2, 191–193. [Google Scholar] [CrossRef]
- Heidari, A. Molecular Dynamics and Monte–Carlo Simulations for Replacement Sugars in Insulin Resistance, Obesity, LDL Cholesterol, Triglycerides, Metabolic Syndrome, Type 2 Diabetes and Cardiovascular Disease: A Glycobiological Study. J. Glycobiol. 2016, 5, e111. [Google Scholar] [CrossRef]
- Luo, F.; Gao, J.; Cheng, Y.-H.; Cui, W.; Ji, M.-J. Interaction Mechanisms of Inhibitors of Glucoamylase by Molecular Dynamics Simulations and Free Energy Calculations. Acta Phys. Chim. Sin. 2012, 28, 2191–2201. [Google Scholar]
- Sim, L.; Quezada-Calvillo, R.; Sterchi, E.E.; Nichols, B.L.; Rose, D.R. Human Intestinal Maltase–Glucoamylase: Crystal Structure of the N-Terminal Catalytic Subunit and Basis of Inhibition and Substrate Specificity. J. Mol. Biol. 2008, 375, 782–792. [Google Scholar] [CrossRef] [PubMed]
- Arredondo, A.; Reyes, G. Health Disparities from Economic Burden of Diabetes in Middle-Income Countries: Evidence from México. PLoS ONE 2013, 8, e68443. [Google Scholar] [CrossRef] [PubMed]
- Adler, A.I.; Stratton, I.M.; Neil, H.A.W.; Yudkin, J.S.; Matthews, D.R.; Cull, C.A.; Wright, A.D.; Turner, R.C.; Holman, R.R. Association of Systolic Blood Pressure with Macrovascular and Microvascular Complications of Type 2 Diabetes (UKPDS 36): Prospective Observational Study. BMJ 2000, 321, 412–419. [Google Scholar] [CrossRef] [PubMed]
- The Action to Control Cardiovascular Risk in Diabetes Study Group. Effects of Intensive Glucose Lowering in Type 2 Diabetes. N. Engl. J. Med. 2008, 358, 2545–2559. [Google Scholar] [CrossRef]
- Proença, C.; Rufino, A.T.; de Oliveira, J.M.P.F.; Freitas, M.; Fernandes, P.A.; Silva, A.M.; Fernandes, E. Inhibitory Activity of Flavonoids against Human Sucrase-Isomaltase (α-Glucosidase) Activity in a Caco-2/TC7 Cellular Model. Food Funct. 2022, 13, 1108–1118. [Google Scholar] [CrossRef]
- Lee, B.-H.; Lin, A.H.-M.; Nichols, B.L.; Jones, K.; Rose, D.R.; Quezada-Calvillo, R.; Hamaker, B.R. Mucosal C-Terminal Maltase-Glucoamylase Hydrolyzes Large Size Starch Digestion Products That May Contribute to Rapid Postprandial Glucose Generation. Mol. Nutr. Food Res. 2014, 58, 1111–1121. [Google Scholar] [CrossRef]
- Lim, J.; Kim, D.K.; Shin, H.; Hamaker, B.R.; Lee, B.-H. Different Inhibition Properties of Catechins on the Individual Subunits of Mucosal α-Glucosidases as Measured by Partially-Purified Rat Intestinal Extract. Food Funct. 2019, 10, 4407–4413. [Google Scholar] [CrossRef]
- Eskandari, R.; Jones, K.; Rose, D.R.; Pinto, B.M. Selectivity of 3′-O-Methylponkoranol for Inhibition of N-and C-Terminal Maltase Glucoamylase and Sucrase Isomaltase, Potential Therapeutics for Digestive Disorders or Their Sequelae. Bioorg. Med. Chem. Lett. 2011, 21, 6491–6494. [Google Scholar] [CrossRef]
- Li, X.; Qian, K.; Han, W. Prediction of Hyaluronic Acid Target on Sucrase-Isomaltase (SI) with Reverse Docking and Molecular Dynamics Simulations for Inhibitors Binding to SI. PLoS ONE 2021, 16, e0255351. [Google Scholar] [CrossRef]
- Patil, R.; Chikhale, R.; Khanal, P.; Gurav, N.; Ayyanar, M.; Sinha, S.; Prasad, S.; Dey, Y.N.; Wanjari, M.; Gurav, S.S. Computational and Network Pharmacology Analysis of Bioflavonoids as Possible Natural Antiviral Compounds in COVID-19. Inform. Med. Unlocked 2021, 22, 100504. [Google Scholar] [CrossRef]
- Holick, M.; Ramanathan, H. Glycosides and Orthoester Glycosides of Glucocorticoids and Uses Thereof. U.S. Patent Application No. 09/759,371, 15 November 2001. [Google Scholar]
- Holick, M.F.; Ramanathan, H. Glycuronamides, Glycosides and Orthoester Glycosides of Fluoxetine, Analogs and Uses Thereof. U.S. Patent No 7,217,696, 15 May 2007. [Google Scholar]
- MacCormick, S.; Veeneman, G.H. Method for Improving the Oral Bioavailability of a Drug. U.S. Patent No. 11,633,484, 25 April 2023. [Google Scholar]
- Sim, L.; Willemsma, C.; Mohan, S.; Naim, H.Y.; Pinto, B.M.; Rose, D.R. Structural Basis for Substrate Selectivity in Human Maltase-Glucoamylase and Sucrase-Isomaltase N-Terminal Domains. J. Biol. Chem. 2010, 285, 17763–17770. [Google Scholar] [CrossRef]
- Nichols, B.L.; Avery, S.; Sen, P.; Swallow, D.M.; Hahn, D.; Sterchi, E. The Maltase-Glucoamylase Gene: Common Ancestry to Sucrase-Isomaltase with Complementary Starch Digestion Activities. Proc. Natl. Acad. Sci. USA 2003, 100, 1432–1437. [Google Scholar] [CrossRef]
- Landeros-Martinez, L.-L.; Glossman-Mitnik, D.; Orrantia-Borunda, E.; Flores-Holguin, N. A Combined Molecular Docking and Electronic Structure Study for a Breast Cancer Drug Design. In Molecular Docking; IntechOpen: London, UK, 2018. [Google Scholar]
- Padmanabhan, J.; Parthasarathi, R.; Subramanian, V.; Chattaraj, P.K. Electrophilicity-Based Charge Transfer Descriptor. J. Phys. Chem. A 2007, 111, 1358–1361. [Google Scholar] [CrossRef] [PubMed]
- Wan, C.; Fiebig, T.; Schiemann, O.; Barton, J.K.; Zewail, A.H. Femtosecond Direct Observation of Charge Transfer between Bases in DNA. Proc. Natl. Acad. Sci. USA 2000, 97, 14052–14055. [Google Scholar] [CrossRef]
- Kanvah, S.; Schuster, G.B. The Sacrificial Role of Easily Oxidizable Sites in the Protection of DNA from Damage. Nucleic Acids Res. 2005, 33, 5133–5138. [Google Scholar] [CrossRef]
- Bannwarth, C.; Ehlert, S.; Grimme, S. GFN2-xTB—An Accurate and Broadly Parametrized Self-Consistent Tight-Binding Quantum Chemical Method with Multipole Electrostatics and Density-Dependent Dispersion Contributions. J. Chem. Theory Comput. 2019, 15, 1652–1671. [Google Scholar] [CrossRef] [PubMed]
- Grimme, S.; Bannwarth, C.; Shushkov, P. A Robust and Accurate Tight-Binding Quantum Chemical Method for Structures, Vibrational Frequencies, and Noncovalent Interactions of Large Molecular Systems Parametrized for All Spd-Block Elements (Z = 1–86). J. Chem. Theory Comput. 2017, 13, 1989–2009. [Google Scholar] [CrossRef]
- Bannwarth, C.; Caldeweyher, E.; Ehlert, S.; Hansen, A.; Pracht, P.; Seibert, J.; Spicher, S.; Grimme, S. Extended Tight-Binding Quantum Chemistry Methods. Wiley Interdiscip. Rev. Comput. Mol. Sci. 2021, 11, e1493. [Google Scholar] [CrossRef]
- Pracht, P.; Bohle, F.; Grimme, S. Automated Exploration of the Low-Energy Chemical Space with Fast Quantum Chemical Methods. Phys. Chem. Chem. Phys. 2020, 22, 7169–7192. [Google Scholar] [CrossRef] [PubMed]
- Hariharan, P.C.; Pople, J.A. The Influence of Polarization Functions on Molecular Orbital Hydrogenation Energies. Theor. Chim. Acta 1973, 28, 213–222. [Google Scholar] [CrossRef]
- Francl, M.M.; Pietro, W.J.; Hehre, W.J.; Binkley, J.S.; Gordon, M.S.; DeFrees, D.J.; Pople, J.A. Self-Consistent Molecular Orbital Methods. XXIII. A Polarization-Type Basis Set for Second-Row Elements. J. Chem. Phys. 1982, 77, 3654–3665. [Google Scholar] [CrossRef]
- Marenich, A.V.; Cramer, C.J.; Truhlar, D.G. Universal Solvation Model Based on Solute Electron Density and on a Continuum Model of the Solvent Defined by the Bulk Dielectric Constant and Atomic Surface Tensions. J. Phys. Chem. B 2009, 113, 6378–6396. [Google Scholar] [CrossRef]
- Frisch, M.J.; Trucks, G.W.; Schlegel, H.B.; Scuseria, G.E.; Robb, M.A.; Cheeseman, J.R.; Scalmani, G.; Barone, V.; Mennucci, B.; Petersson, G.A.; et al. Gaussian16; Revision, B. 01; Programme; Gaussian Inc.: Wallingford, CT, USA, 2016. [Google Scholar]
- Trott, O.; Olson, A.J. AutoDock Vina: Improving the Speed and Accuracy of Docking with a New Scoring Function, Efficient Optimization, and Multithreading. J. Comput. Chem. 2010, 31, 455–461. [Google Scholar] [CrossRef]
- Morris, G.M.; Goodsell, D.S.; Halliday, R.S.; Huey, R.; Hart, W.E.; Belew, R.K.; Olson, A.J. Automated Docking Using a Lamarckian Genetic Algorithm and an Empirical Binding Free Energy Function. J. Comput. Chem. 1998, 19, 1639–1662. [Google Scholar] [CrossRef]
- Huey, R.; Morris, G.M.; Forli, S. Using AutoDock 4 and AutoDock Vina with AutoDockTools: A Tutorial. Scripps Res. Inst. Mol. Graph. Lab. 2012, 10550, 1000. [Google Scholar]
- Vanommeslaeghe, K.; Hatcher, E.; Acharya, C.; Kundu, S.; Zhong, S.; Shim, J.; Darian, E.; Guvench, O.; Lopes, P.; Vorobyov, I. CHARMM General Force Field: A Force Field for Drug-like Molecules Compatible with the CHARMM All-Atom Additive Biological Force Fields. J. Comput. Chem. 2010, 31, 671–690. [Google Scholar] [CrossRef]
- Phillips, J.C.; Braun, R.; Wang, W.; Gumbart, J.; Tajkhorshid, E.; Villa, E.; Chipot, C.; Skeel, R.D.; Kale, L.; Schulten, K. Scalable Molecular Dynamics with NAMD. J. Comput. Chem. 2005, 26, 1781–1802. [Google Scholar] [CrossRef] [PubMed]
- Jo, S.; Kim, T.; Iyer, V.G.; Im, W. CHARMM-GUI: A Web-Based Graphical User Interface for CHARMM. J. Comput. Chem. 2008, 29, 1859–1865. [Google Scholar] [CrossRef]
- Sousa da Silva, A.W.; Vranken, W.F. ACPYPE-Antechamber Python Parser Interface. BMC Res. Notes 2012, 5, 367. [Google Scholar] [CrossRef] [PubMed]
- Wang, J.; Wang, W.; Kollman, P.A.; Case, D.A. Antechamber: An Accessory Software Package for Molecular Mechanical Calculations. J. Am. Chem. Soc. 2001, 222, 1–41. [Google Scholar]
- Case, D.A.; Aktulga, H.M.; Belfon, K.; Ben-Shalom, I.Y.; Berryman, J.T.; Brozell, S.R.; Cerutti, D.S.; Cheatham, T.E.; Cisneros, G.A.; Cruzeiro, V.W.D. Amber 2022; University of California: San Francisco, CA, USA, 2022. [Google Scholar]
- Humphrey, W.; Dalke, A.; Schulten, K. VMD: Visual Molecular Dynamics. J. Mol. Graph. 1996, 14, 33–38. [Google Scholar] [CrossRef]
- Martyna, G.J.; Tobias, D.J.; Klein, M.L. Constant Pressure Molecular Dynamics Algorithms. J. Chem. Phys. 1994, 101, 4177–4189. [Google Scholar] [CrossRef]
- Feller, S.E.; Zhang, Y.; Pastor, R.W.; Brooks, B.R. Constant Pressure Molecular Dynamics Simulation: The Langevin Piston Method. J. Chem. Phys. 1995, 103, 4613–4621. [Google Scholar] [CrossRef]
- Deniz, U.; Ozkirimli, E.; Ulgen, K.O. A Systematic Methodology for Large Scale Compound Screening: A Case Study on the Discovery of Novel S1PL Inhibitors. J. Mol. Graph. Model. 2016, 63, 110–124. [Google Scholar] [CrossRef]
- Kollman, P.A.; Massova, I.; Reyes, C.; Kuhn, B.; Huo, S.; Chong, L.; Lee, M.; Lee, T.; Duan, Y.; Wang, W. Calculating Structures and Free Energies of Complex Molecules: Combining Molecular Mechanics and Continuum Models. Acc. Chem. Res. 2000, 33, 889–897. [Google Scholar] [CrossRef] [PubMed]
- Baker, N.A.; Sept, D.; Joseph, S.; Holst, M.J.; McCammon, J.A. Electrostatics of Nanosystems: Application to Microtubules and the Ribosome. Proc. Natl. Acad. Sci. USA 2001, 98, 10037–10041. [Google Scholar] [CrossRef]
- Hou, T.; Wang, J.; Li, Y.; Wang, W. Assessing the Performance of the MM/PBSA and MM/GBSA Methods. 1. The Accuracy of Binding Free Energy Calculations Based on Molecular Dynamics Simulations. J. Chem. Inf. Model. 2011, 51, 69–82. [Google Scholar] [CrossRef]
- Liu, H.; Hou, T. CaFE: A Tool for Binding Affinity Prediction Using End-Point Free Energy Methods. Bioinformatics 2016, 32, 2216–2218. [Google Scholar] [CrossRef]
- Foresman, J.B.; Frisch, A. Exploring Chemistry with Electronic Structure Methods; Gaussian, Inc.: Pittsburgh, PA, USA, 1996. [Google Scholar]
- Berger, R. Computational Chemistry. Introduction to the Theory and Applications of Molecular and Quantum Mechanics. Von Errol G. Lewars. Angew. Chem. Int. Ed. 2004, 43, 4979–4980. [Google Scholar] [CrossRef]
- Parr, R.G.; Pearson, R.G. Absolute Hardness: Companion Parameter to Absolute Electronegativity. J. Am. Chem. Soc. 1983, 105, 7512–7516. [Google Scholar] [CrossRef]
- Parr, R.G.; Szentpály, L.V.; Liu, S. Electrophilicity Index. J. Am. Chem. Soc. 1999, 121, 1922–1924. [Google Scholar] [CrossRef]
- Wang, X.; Song, L.; Tian, C.; He, J.; Wang, S.; Wang, J.; Li, C. DFT Investigation of the Effects of Coexisting Cations and Complexing Reagents on Ni (II) Adsorption by a Polyvinylidene Fluoride-Type Chelating Membrane Bearing Poly (Amino Phosphonic Acid) Groups. Metals 2017, 7, 61. [Google Scholar] [CrossRef]






| Conformer | Difference in Relative Energy and Structure | |
|---|---|---|
| ACA | MAY | |
| Global minimum | 0.0![]() | 0.0![]() |
| Conformer 1 | 2.8![]() | 3.5![]() |
| Conformer 2 | 7.1![]() | 5.0![]() |
| Conformer 3 | 8.4![]() | 7.4![]() |
| Conformer 4 | NA | 9.7![]() |
| Ligand | Domain | Binding Free Energy (Kcal/mol) | Binding Site Residues |
|---|---|---|---|
| ACA | B | −7.8 | TRP327, ASN328, LYS330, ILE356, TRP435 (H-bond), TRP470, ASP472 (H-bond), MET473, ARG555, ASP571 (H-bond), PHE604, HIS629, and ASP632 |
| D | −8.8 | ASN43 (H-bond), ILE45, PRO46, GLU47, GLN48, PHE49 (H-bond), PRO50, SER68, LEU69, THR224, PHE272, ARG282, and LYS594 | |
| MAY | B | −8.0 | ASP231, LEU233, TRP327, ASP355 (H-bond), ILE356, TRP435 (π–π interaction), TRP470, ASP472, MET473, SER477, PHE479, LYS509 (H-bond), HIS629 (H-bond), and SER631 |
| D | −7.5 | ASP231, GLN232, LEU233, TRP327, ASP355 (H-bond), ILE392, TRP435, TRP470, and LYS509 | |
| LUT | B | −8.6 | ASP231 (H-bond), TRP327, ASP355 (H-bond), ILE392, TRP435, TRP470, ASP472, PHE479, LYS509 (H-bond), ASP571, PHE600, and SER631 |
| D | −7.4 | LEU311, ALA313, ARG549, ARG563, HIS629, and LYS805 (π–π interaction) |
| Ligand | Molecular Interactions | ||
|---|---|---|---|
| H-Bonds (Occupancy in %) | π–π Interaction | Aromatic H-Bond | |
| ACA | ASP472 (55.43), ASP571 (40.72) ASP632 (15.17) | NA | NA |
| MAY | ASP355 (87.89) | TRP435 | TRP327 |
| LUT | ASP472 (88.61), SER631 (17.29) | TRP327 | NA |
| Ligand | EA | IP | η | χ | ω | μ |
|---|---|---|---|---|---|---|
| ACA | 0.01 | 6.12 | 3.05 | 3.07 | 1.54 | −3.07 |
| MAY | 1.95 | 5.83 | 1.94 | 3.89 | 3.90 | −3.89 |
| LUT | 1.74 | 5.88 | 2.07 | 3.81 | 3.50 | −3.81 |
| Ligand | Residue Active Site | η | µ | ΔN |
|---|---|---|---|---|
| ACA | TRP327-ASN328 | 2.15 | −3.23 | −0.016 |
| LYS330 | 3.06 | −3.68 | −0.050 | |
| ILE356 | 2.97 | −3.52 | −0.037 | |
| TRP435 | 2.24 | −3.08 | −0.001 | |
| TRP470 | 2.25 | −2.87 | 0.018 | |
| ASP472-MET473 | 2.73 | −3.27 | −0.018 | |
| TRP568 | 2.27 | −3.04 | 0.002 | |
| ASP571 | 2.72 | −3.21 | −0.013 | |
| PHE604 | 2.80 | −3.45 | −0.033 | |
| ASP632 | 2.67 | −3.33 | −0.023 | |
| MAY | ASP231 | 2.71 | −3.41 | 0.052 |
| TRP327-ASN328 | 2.07 | −3.09 | 0.100 | |
| ASP355-ILE356-ASP357 | 2.83 | −3.03 | 0.090 | |
| ILE392 | 3.07 | −3.55 | 0.034 | |
| TRP435 | 2.28 | −3.03 | 0.102 | |
| MET473 | 2.52 | −3.14 | 0.084 | |
| PHE479 | 2.80 | −3.53 | 0.038 | |
| LYS509 | 3.01 | −3.65 | 0.024 | |
| LUT | LEU233 | 3.04 | −3.65 | 0.016 |
| TRP327 | 2.30 | −3.12 | 0.078 | |
| ILE356 | 3.06 | −3.44 | 0.036 | |
| ILE392 | 3.14 | −3.54 | 0.026 | |
| TRP470 | 2.19 | −3.04 | 0.090 | |
| ASP472-MET473 | 2.64 | −3.25 | 0.060 | |
| ASP571 | 2.76 | −3.10 | 0.074 | |
| PHE604-VAL605 | 2.70 | −3.45 | 0.037 | |
| SER631 | 2.96 | −3.89 | −0.008 |
Disclaimer/Publisher’s Note: The statements, opinions and data contained in all publications are solely those of the individual author(s) and contributor(s) and not of MDPI and/or the editor(s). MDPI and/or the editor(s) disclaim responsibility for any injury to people or property resulting from any ideas, methods, instructions or products referred to in the content. |
© 2023 by the authors. Licensee MDPI, Basel, Switzerland. This article is an open access article distributed under the terms and conditions of the Creative Commons Attribution (CC BY) license (https://creativecommons.org/licenses/by/4.0/).
Share and Cite
Landeros-Martínez, L.-L.; Campos-Almazán, M.I.; Sánchez-Bojorge, N.-A.; Flores, R.; Palomares-Báez, J.P.; Rodríguez-Valdez, L.M. Theoretical Studies for the Discovery of Potential Sucrase-Isomaltase Inhibitors from Maize Silk Phytochemicals: An Approach to Treatment of Type 2 Diabetes. Molecules 2023, 28, 6778. https://doi.org/10.3390/molecules28196778
Landeros-Martínez L-L, Campos-Almazán MI, Sánchez-Bojorge N-A, Flores R, Palomares-Báez JP, Rodríguez-Valdez LM. Theoretical Studies for the Discovery of Potential Sucrase-Isomaltase Inhibitors from Maize Silk Phytochemicals: An Approach to Treatment of Type 2 Diabetes. Molecules. 2023; 28(19):6778. https://doi.org/10.3390/molecules28196778
Chicago/Turabian StyleLanderos-Martínez, Linda-Lucila, Mara Ibeth Campos-Almazán, Nora-Aydeé Sánchez-Bojorge, Raul Flores, Juan Pedro Palomares-Báez, and Luz María Rodríguez-Valdez. 2023. "Theoretical Studies for the Discovery of Potential Sucrase-Isomaltase Inhibitors from Maize Silk Phytochemicals: An Approach to Treatment of Type 2 Diabetes" Molecules 28, no. 19: 6778. https://doi.org/10.3390/molecules28196778
APA StyleLanderos-Martínez, L.-L., Campos-Almazán, M. I., Sánchez-Bojorge, N.-A., Flores, R., Palomares-Báez, J. P., & Rodríguez-Valdez, L. M. (2023). Theoretical Studies for the Discovery of Potential Sucrase-Isomaltase Inhibitors from Maize Silk Phytochemicals: An Approach to Treatment of Type 2 Diabetes. Molecules, 28(19), 6778. https://doi.org/10.3390/molecules28196778










