Synthesis and Characterization of Phosphorus-Containing Sorbent for Basic Dye Removal
Abstract
:1. Introduction
2. Results and Discussion
2.1. Synthesis of DPVO and DPVO–EGDMA–TMVS Sorbent
2.2. Characteristics of Polymeric Sorbent
2.2.1. Morphology
2.2.2. ATR–FT–IR Analysis
2.2.3. The pH of Zero-Point Charge (pHPZC)
3. Assessment of the DPVO–EGDMA–TMVS Adsorption Properties
3.1. Determination of Equilibrium Parameters
3.2. Determination of Kinetic Parameters
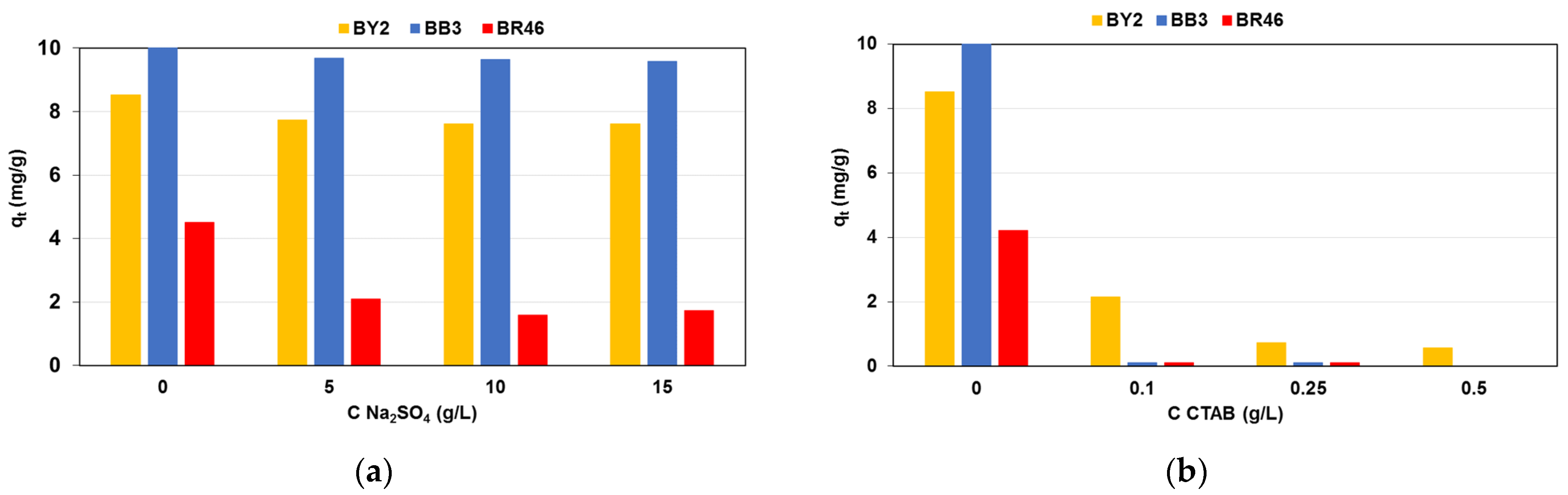
3.3. Auxiliaries Impact on Basic Dye Sorption
3.4. Regeneration Studies
4. Materials and Methods
4.1. Synthesis of Diphenylvinylphosphine Oxide (DPVO)
4.1.1. Synthesis of Diphenylphosphine Oxide
4.1.2. Synthesis of Diphenylphosphinoylacetic Acid 2
- White solid; yield: 18.10 g (91%); mp 145–146 °C (Lit. [43] mp 145–146 °C).
- 1H NMR (500 MHz, CDCl3): δ = 7.75–7.68 (m, 4 H), 7.55–7.32 (m, 6 H), 6.81 (br s, 1 H), 3.46 (d, J = 14.2 Hz, 2 H).
- 13C NMR (126 MHz, CDCl3): δ = 167.31 (d, J = 5.6 Hz), 132.44 (d, J = 2.8 Hz), 131.07 (d, J = 10.3 Hz), 130.85 (d, J = 105.7 Hz), 128.75 (d, J = 12.6 Hz), 38.36 (d, J = 62.2 Hz).
- 31P NMR (202 MHz, CDCl3): δ = 30.42.
4.1.3. Synthesis of Diphenylvinylphosphine Oxide 3
4.2. Synthesis of Polymeric Microspheres
4.3. Adsorption and Desorption Tests
5. Conclusions
Author Contributions
Funding
Institutional Review Board Statement
Informed Consent Statement
Data Availability Statement
Acknowledgments
Conflicts of Interest
Sample Availability
References
- Shen, A.; Zhang, L.; Xie, Y.; Zhu, X.; Hu, J.; Liu, S. Engineering discrete synthetic macromolecules for biomedical applications. Nano Today 2023, 48, 101728. [Google Scholar] [CrossRef]
- Chyr, G.; DeSimone, J.M. Review of high-performance sustainable polymers in additive manufacturing. Green Chem. 2023, 25, 453–466. [Google Scholar] [CrossRef]
- Makvandi, P.; Iftekhar, S.; Pizzetti, F.; Zarepour, A.; Zare, E.N.; Ashrafizadeh, M.; Agarwal, T.; Padil, V.V.T.; Mohammadinejad, R.; Sillanpaa, M.; et al. Functionalization of polymers and nanomaterials for water treatment, food packaging, textile and biomedical applications: A review. Environ. Chem. Lett. 2020, 19, 583–611. [Google Scholar] [CrossRef]
- Mane, S. Functional polymers: A review. Can. Chem. Trans. 2016, 4, 316–327. [Google Scholar]
- Monge, S.; David, G. Phosphorus-Based Polymers: From Synthesis to Applications; Burlington House: London, UK, 2014. [Google Scholar]
- Monge, S.; Canniccioni, B.; Graillot, A.; Robin, J.-J. Phosphorus-Containing Polymers: A Great Opportunity for the Biomedical Field. Biomacromolecules 2011, 12, 1973–1982. [Google Scholar] [CrossRef] [PubMed]
- Hiranphinyophata, S.; Iwasaki, Y. Controlled biointerfaces with biomimetic phosphorus-containing polymers. Sci. Technol. Adv. Mater. 2021, 22, 301–316. [Google Scholar] [CrossRef]
- Akhmedov, V.M.; Maharramov, A.M.; Azizov, A.A.; Alosmanov, R.M.; Bunyad-Zadeh, I.A.; Aliyeva, S.B. Equilibrium, kinetic, and thermodynamic studies on the sorption of some heavy metal ions by the phosphorus-containing polymer sorbent. Russ. Chem. Bull. Int. Ed. 2019, 68, 514–520. [Google Scholar] [CrossRef]
- Hamed, F.; Biji, P. A novel polymer containing phosphorus–nitrogen ligands for stabilization of palladium nanoparticles: An efficient and recyclable catalyst for Suzuki and Sonogashira reactions in neat water. Dalton Trans. 2015, 44, 14293–14303. [Google Scholar] [CrossRef]
- Chen, D.-P.; Wang, J. Synthesis and characterization of block copolymer of polyphosphoester and poly(ε-caprolactone). Macromolecules 2006, 39, 473–475. [Google Scholar] [CrossRef]
- Allcock, H.R. A Perspective of polyphosphazene research. J. Inorg. Organomet. Polym. Mat. 2006, 16, 277–294. [Google Scholar] [CrossRef]
- Chen, L.; Wang, Y.-Z. Aryl polyphosphonates: Useful halogen-free flame retardants for polymers. Materials 2010, 3, 4746–4760. [Google Scholar] [CrossRef]
- Kloda, M.; Ondrušová, S.; Lang, K.; Demel, J. Phosphinic acids as building units in materials chemistry. Coordin. Chem. Rev. 2021, 433, 213748. [Google Scholar] [CrossRef]
- Wehbi, M.; Mehdi, A.; Negrell, C.; David, G.; Alaaeddine, A.; Ameduri, B. Phosphorus-containing fluoropolymers: State of the art and applications. ACS Appl. Mater. Interfaces 2020, 12, 38–59. [Google Scholar] [CrossRef]
- Karpus, A.; Mignani, S.; Apartsin, E.; Zabłocka, M.; Shi, X.; Majoral, J.P. Useful synthetic pathways to original, stable tunable neutral and anionic phosphorus dendrimers: New opportunities to expand dendrimer space. New J. Chem. 2023, 47, 2474–2478. [Google Scholar] [CrossRef]
- Rabinowitz, R.; Marcus, R.; Pellon, J. Synthesis, polymerization, and copolymerization of diphenyl-p-styrylphosphine, phosphine oxide, and phosphine sulfide. J. Polym. Sci. A 1964, 2, 1241. [Google Scholar] [CrossRef]
- Rabinovitz, R.; Pellon, J. Phosphorus-Containing Monomers. I. The Synthesis of Vinyl Phosphines, Oxides, Sulfides, and Phosphonium Compounds. J.Org. Chem. 1961, 26, 4623. [Google Scholar] [CrossRef]
- Ebdon, J.R.; Price, D.; Hunt, B.J.; Joseph, P.; Gao, F.; Milnes, G.J.; Cunliffe, L.K. Flame retardance in some polystyrenes and poly(methyl methacrylate)s with covalently bound phosphorus-containing groups: Initial screening experiments and some laser pyrolysis mechanistic studies. Polym. Degrad. Stab. 2000, 69, 267–277. [Google Scholar] [CrossRef]
- Trochimczuk, A.; Czerwińska, S. In(III) and Ga(III) sorption by polymeric resins with substituted phenylphosphinic acid ligands. React. Funct. Polym. 2005, 63, 215–220. [Google Scholar] [CrossRef]
- Alosmanov, R.M. Adsorption of arsenazo III dye by phosphorus-containing polymer sorbent. J. Serb. Chem. Soc. 2016, 81, 907–921. [Google Scholar] [CrossRef]
- Naini, N.; Sid Kalal, H.; Almasian, M.R.; Niknafs, D.; Taghiof, M.; Hoveidi, H. Phosphine-functionalized Fe3O4/SiO2/composites as efficient magnetic nanoadsorbents for the removal of palladium ions from aqueous solution: Kinetic, thermodynamic and isotherm studies. Mater. Chem. Phys. 2022, 287, 126242. [Google Scholar] [CrossRef]
- Li, Y.; Li, X.; Li, J.; Liu, W.; Cheng, G.; Ke, H. Phosphine-based covalent organic framework for highly efficient iodine capture. Micropor. Mesopor. Mater. 2021, 325, 111351. [Google Scholar] [CrossRef]
- Islam, M.S.; Rahaman, M.S.; Yeum, J.H. Phosphine-functionalized electrospun poly(vinyl alcohol)/silica nanofibers as highly effective adsorbent for removal of aqueous manganese and nickel ions. Colloids Surf. A 2015, 484, 9–18. [Google Scholar] [CrossRef]
- Zhang, A.; Kuraoka, E.; Hoshi, H.; Kumagai, M. Synthesis of two novel macroporous silica-based impregnated polymeric composites and their application in highly active liquid waste partitioning by extraction chromatography. J. Chromatogr. A 2004, 1061, 175–182. [Google Scholar] [CrossRef]
- Zhang, A.; Wei, Y.; Kumagai, M.; Koma, Y.; Koyama, T. Resistant behavior of a novel silica-based octyl(phenyl)-N,N-diisobutyl carbamoylmethylphoshine oxide neutral extraction resin against nitric acid, temperature and γ-radiation. Radiat. Phys. Chem. 2005, 72, 455–463. [Google Scholar] [CrossRef]
- Davidescu, C.-M.; Ardelean, R.; Popa, A. New polymeric adsorbent materials used for removal of phenolic derivatives from wastewaters. Pure Appl. Chem. 2019, 91, 443–458. [Google Scholar] [CrossRef]
- Chauhdary, Y.; Hanif, M.A.; Rashid, U.; Bhatti, I.A.; Anwar, H.; Jamil, Y.; Alharthi, F.A.; Kazerooni, E.A. Effective removal of reactive and direct dyes from colored wastewater using low-cost novel bentonite nanocomposites. Water 2022, 14, 3604. [Google Scholar] [CrossRef]
- Akhtar, A.; Hanif, M.A.; Rashid, U.; Bhatti, I.A.; Alharthi, F.A.; Kazerooni, E.A. Advanced treatment of direct dye wastewater using novel composites produced from hoshanar and sunny grey waste. Separations 2022, 9, 425. [Google Scholar] [CrossRef]
- Frynas, S.; Wawrzkiewicz, M. Synthesis, characterization and application of a new functionalized polymeric sorbent based on alkenylphoshine oxide. Polymers 2023, 15, 1591. [Google Scholar] [CrossRef]
- Murphy, O.P.; Vashishtha, M.; Palanisamy, P.; Vasanth Kumar, K. A review on the adsorption isotherms and design calculations for the optimization of adsorbent mass and contact time. ACS Omega 2023, 8, 17407–17430. [Google Scholar] [CrossRef]
- Mall, I.D.; Srivastava, V.C.; Agarwal, N.K. Adsorptive removal of auramine-O: Kinetic and equilibrium study. J. Hazard. Mater. 2007, 143, 386–395. [Google Scholar] [CrossRef]
- Wawrzkiewicz, M.; Podkościelna, B. Innovative polymer microspheres with chloride groups synthesis, characterization and application for dye removal. Processes 2022, 10, 1568. [Google Scholar] [CrossRef]
- Wawrzkiewicz, M.; Podkościelna, B.; Jesionowski, T.; Klapiszewski, Ł. Functionalized microspheres with co-participated lignin hybrids as a novel sorbents for toxic C.I. Basic Yellow 2 and C.I. Basic Blue 3 dyes removal from textile sewage. Ind. Crops Products 2022, 180, 114785. [Google Scholar] [CrossRef]
- Ong, S.T.; Lee, C.K.; Zainal, Z. A comparison of sorption and photodegradation study in the removal of basic and reactive dyes. Aust. J. Basic Appl. Sci. 2009, 3, 3408–3416. [Google Scholar]
- Bartczak, P.; Wawrzkiewicz, M.; Borysiak, S.; Jesionowski, T. Cladium mariscus saw-sedge versus sawdust—Efficient biosorbents for removal of hazardous textile dye C.I. Basic Blue 3 from aqueous solutions. Processes 2022, 10, 586. [Google Scholar] [CrossRef]
- Wiśniewska, M.; Wawrzkiewicz, M.; Onyszko, M.; Medykowska, M.; Nosal-Wiercińska, A.; Bogatyrov, V. Carbon-silica composite as adsorbent for removal of hazardous C.I. Basic Yellow 2 and C.I. Basic Blue 3 dyes. Materials 2021, 14, 3245. [Google Scholar] [CrossRef]
- Paredes-Quevedo, L.C.; González-Caicedo, C.; Torres-Luna, J.A. Removal of a Textile Azo-Dye (Basic Red 46) in Water by Efficient Adsorption on a Natural Clay. Water Air Soil Pollut. 2021, 232, 4. [Google Scholar] [CrossRef]
- Sheshdeh, R.K.; Nikou, M.R.K.; Badii, K.; Limaee, N.Y.; Golkarnarenji, G. Equilibrium and kinetics studies for the adsorption of Basic Red 46 on nickel oxide nanoparticles-modified diatomite in aqueous solutions. J. Taiwan Inst. Chem. Eng. 2014, 859, 1792–1802. [Google Scholar] [CrossRef]
- Wiśniewska, M.; Chibowski, S.; Wawrzkiewicz, M.; Onyszko, M.; Bogatyrov, V.C.I. Basic Red 46 removal from sewage by carbon and silica based composite: Equilibrium, kinetic and electrokinetic studies. Molecules 2022, 27, 1043. [Google Scholar] [CrossRef]
- Lagergren, S. About the theory of so-called adsorption of soluble substances, Kungliga Svenska Vetenskapsakademiens. Handlingar 1898, 24, 1–39. [Google Scholar]
- Ho, Y.S.; McKay, G. Pseudo-second order model for sorption processes. Process Biochem. 1999, 34, 451–465. [Google Scholar] [CrossRef]
- Weber, W.; Morris, J. Kinetics of adsorption on carbon from solutions. J. Sanit. Eng. Div. 1963, 89, 31–60. [Google Scholar] [CrossRef]
- Dziuba, K.; Frynas, S.; Szwaczko, K. Knoevenagel Cnondensation of Phosphinoylacetic Acids with Aldehydes: An Efficient One-Pot strategy for the Synthesis of P-functionalized Alkenyl Compounds. Synthesis 2021, 53, 2142–2154. [Google Scholar] [CrossRef]
- Kabat, M.; Garofalo, L.M.; Daniewski, A.R.; Hutchings, S.D.; Liu, W.; Okabe, M.; Radinov, R.; Zhou, Y. Efficient synthesis of 1r-fluoro A-ring phosphine oxide, a useful building block for vitamin D analogues, from (S)-carvone via a highly selective palladium-catalyzed isomerization of dieneoxide to dieneol. J. Org. Chem. 2001, 66, 6141–6150. [Google Scholar] [CrossRef] [PubMed]
- Wan Ngah, W.S.; Hanafiah, M.A.K.M. Adsorption of copper on rubber (Hevea brasiliensis) leaf powder: Kinetic, equilibrium and thermodynamic studies. Biochem. Eng. J. 2008, 39, 521–530. [Google Scholar] [CrossRef]












| Sorbent | Surface Area BET | Pore Total Volume | Pore Mean Size |
|---|---|---|---|
| (m2/g) | (cm3/g) | (nm) | |
| EGDMA–TMVS | 223 | 0.444 | 7.754 |
| DPVO–EGDMA–TMVS | 137 | 0.504 | 15.029 |
| Isotherm | Parameter | Basic Dye | ||
|---|---|---|---|---|
| BY2 | BB3 | BR46 | ||
| Freundlich | (mg1−1/n L1/n/g) | 13.8 | 32.3 | 2.23 |
| 1/n | 0.53 | 0.61 | 0.05 | |
| R2 | 0.938 | 0.974 | 0.746 | |
| χ2 | 16.8 | 5.12 | 0.014 | |
| SSE | 1166 | 668 | 0.034 | |
| Langmuir | kL (L/mg) | 0.057 | 0.205 | 2.13 |
| Q0 (mg/g) | 148.1 | 189.2 | 2.7 | |
| R2 | 0.707 | 0.737 | 0.999 | |
| χ2 | 16.9 | 14.9 | 0.003 | |
| SSE | 969 | 883 | 0.008 | |
| Temkin | bT (J g/mol mg) | 149.9 | 112.8 | 18,725 |
| A (L/mg) | 3.87 | 11.1 | 20,059,104 | |
| R2 | 0.697 | 0.745 | 0.755 | |
| χ2 | 95.8 | 87.2 | 0.416 | |
| SSE | 3333 | 4090 | 0.944 | |
| Dubinin–Radushkevich | qm (mg/g) | 47.8 | 62.6 | 2.7 |
| kDR (mol2 J2) | 5.15 × 10−8 | 3.62 × 10−8 | 2.86 × 10−7 | |
| E (kJ/mol) | 3.11 | 3.71 | 1.32 | |
| R2 | 0.485 | 0.644 | 0.992 | |
| χ2 | 271.9 | 173.5 | 0.0005 | |
| SSE | 11,230 | 12,904 | 0.0013 | |
| Basic Dye | Sorbent | Equilibrium Sorption Data | Ref. |
|---|---|---|---|
| BY2 | Bagasse fly ash | Langmuir model: qe = 31.18 mg/g at 30 °C, pH = 7, a.d. = 1 g/L | [31] |
| poly(DVB), DVB-VBCl, poly(EGDMA), EGDMA–VBCl | Freundlich model: kF = 4.56–7.85 mg1−1/n L1/n/g at 25 °C, a.d. = 0.02 g/20 mL | [32] | |
| poly(DVB), CyP(Ph)4-DVB, poly(DVB)-CyP(Ph)4-DVB | Freundlich model: kF = 4.56–14.2 mg1−1/n L1/n/g at 25 °C, a.d. = 0.02 g/20 mL | [29] | |
| Co-participated lignin hybrid with ZrO2 and SiO2 | Freundlich model: kF = 11.1–45.7 mg1−1/n L1/n/g at 20–60 °C, a.d. = 0.02 g/20 mL | [33] | |
| DPVO–EGDMA–TMVS sorbent | Freundlich model: kF = 13.8 mg1−1/n L1/n/g at 25 °C, pH = 8, a.d. = 0.02 g/20 mL | This study | |
| BB3 | Ethylenediamine modified rice hull | Langmuir model: qe = 3.29 mg/g at 25 °C, pH = 4.7, a.d. = 0.05 g/20 mL | [34] |
| Sawdust | Langmuir model: qe = 28.69–27.5 mg/g at 20–50 °C, a.d. = 0.2 g/20 mL | [35] | |
| Cladium mariscus saw-sedge | Langmuir model: qe = 44.29–42.07 mg/g at 20–50 °C, a.d. = 0.2 g/20 mL | ||
| C/SiO2 composite | Langmuir model: qe = 925–1296 mg/g at 20–60 °C, a.d. = 0.02 g/20 mL | [36] | |
| poly(DVB), CyP(Ph)4-DVB, poly(DVB)-CyP(Ph)4-DVB | Freundlich model: kF = 20.1–53.7 mg1−1/n L1/n/g at 25 °C, a.d. = 0.02 g/20 mL | [29] | |
| DPVO–EGDMA–TMVS sorbent | Freundlich model: kF = 32.3 mg1−1/n L1/n/g at 25 °C, pH = 8, a.d. = 0.02 g/20 mL | This study | |
| BR46 | Natural bentonite from Valle del Cauca (Colombia) | Langmuir model: qe = 555.6 mg/g at 25 °C, pH = 7, a.d. = 0.01 g/100 mL | [37] |
| Nickel oxide nanoparticle-modified diatomite | Langmuir model: qe = 105 mg/g pH = 8, a.d.= 0.005 g/25 mL | [38] | |
| C/SiO2 composite | qe = 41.9–176.1 mg/g at 20–60 oC, pH = 4.7, a.d. = 0.02 g/20 mL | [39] | |
| DPVO–EGDMA–TMVS sorbent | Langmuir model: qe = 2.13 mg/g at 25 °C, pH = 8, a.d. = 0.02 g/20 mL | This study |
| Model | Parameter | Basic Dye | ||
|---|---|---|---|---|
| BY2 | BB3 | BR46 | ||
| qe,exp (mg/g) | 9.0 | 10.0 | 4.5 | |
| PFO | qe (mg/g) | 0.83 | 0.37 | 2.6 |
| k1 (1/min) | 0.011 | 0.011 | 0.086 | |
| R2 | 0.835 | 0.804 | 0.925 | |
| χ2 | 56.6 | 67.6 | 13.6 | |
| SSE | 469.9 | 655.3 | 47.6 | |
| PSO | qe (mg/g) | 8.54 | 9.83 | 4.58 |
| k2 (g/mg min) | 0.544 | 0.738 | 0.087 | |
| R2 | 0.999 | 0.999 | 0.997 | |
| χ2 | 0.152 | 0.094 | 0.147 | |
| SSE | 1.234 | 0.913 | 0.347 | |
| IPD | ki (mg/g min0.5) | 0.083 | 0.005 | 0.467 |
| R2 | 0.899 | 0.058 | 0.753 | |
| χ2 | 0.003 | 0.002 | 0.551 | |
| SSE | 0.265 | 0.023 | 1.822 | |
Disclaimer/Publisher’s Note: The statements, opinions and data contained in all publications are solely those of the individual author(s) and contributor(s) and not of MDPI and/or the editor(s). MDPI and/or the editor(s) disclaim responsibility for any injury to people or property resulting from any ideas, methods, instructions or products referred to in the content. |
© 2023 by the authors. Licensee MDPI, Basel, Switzerland. This article is an open access article distributed under the terms and conditions of the Creative Commons Attribution (CC BY) license (https://creativecommons.org/licenses/by/4.0/).
Share and Cite
Wawrzkiewicz, M.; Frynas, S.; Podkościelna, B. Synthesis and Characterization of Phosphorus-Containing Sorbent for Basic Dye Removal. Molecules 2023, 28, 6731. https://doi.org/10.3390/molecules28186731
Wawrzkiewicz M, Frynas S, Podkościelna B. Synthesis and Characterization of Phosphorus-Containing Sorbent for Basic Dye Removal. Molecules. 2023; 28(18):6731. https://doi.org/10.3390/molecules28186731
Chicago/Turabian StyleWawrzkiewicz, Monika, Sławomir Frynas, and Beata Podkościelna. 2023. "Synthesis and Characterization of Phosphorus-Containing Sorbent for Basic Dye Removal" Molecules 28, no. 18: 6731. https://doi.org/10.3390/molecules28186731
APA StyleWawrzkiewicz, M., Frynas, S., & Podkościelna, B. (2023). Synthesis and Characterization of Phosphorus-Containing Sorbent for Basic Dye Removal. Molecules, 28(18), 6731. https://doi.org/10.3390/molecules28186731

