Production of Mineral-Carbon Composites and Activated Carbons as a Method of Used Gear Oil, Ashes, and Low-Quality Brown Coals Management
Abstract
:1. Introduction
2. Results and Discussion
2.1. Elemental Composition of the Precursors and Mineral-Carbon Adsorbents Prepared
2.2. Textural Parameters of the Mineral-Carbon Adsorbents Prepared
2.3. Acidic—Basic Properties of the Mineral-Carbon Adsorbents Prepared
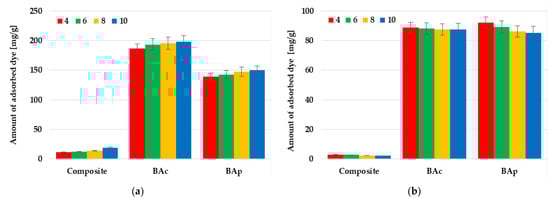
2.4. Sorption Performance of the Mineral-Carbon Adsorbents in Relation to Organic Dyes
3. Materials and Methods
3.1. Mineral-Carbon Adsorbents Preparation
- (step 1)
- heating of the sample in a nitrogen atmosphere (N2 flow 10 dm3/h), from room temperature to 200 °C (heating rate 5 °C/min);
- (step 2)
- annealing of the sample at 200 °C for 0.5 h;
- (step 3)
- heating of the sample to a temperature of 500 °C (heating rate 5 °C/min);
- (step 4)
- annealing of the sample at 500 °C for 1 h.
- (step 1)
- heating of the sample from room temperature to a final activation temperature of 700 °C (heating rate 10 °C/min),
- (step 2)
- annealing of the sample at 700 °C for 0.5 h.
3.2. Physicochemical Characterization of the Precursors and Mineral-Carbon Adsorbents
3.3. Adsorption of Methylene Blue and Methyl Orange
4. Conclusions
Author Contributions
Funding
Institutional Review Board Statement
Informed Consent Statement
Data Availability Statement
Conflicts of Interest
Sample Availability
References
- Ahmed, M.; Mavukkandy, M.O.; Giwa, A.; Giwa, A.; Elektorowicz, M.; Katsou, E.; Khelifi, O.; Naddeo, V.; Hasan, S.W. Recent developments in hazardous pollutants removal from wastewater and water reuse within a circular economy. NPJ Clean Water. 2022, 5, 12. [Google Scholar] [CrossRef]
- Akinapally, S.; Dheeravath, B.; Panga, K.K.; Vurimindi, H.; Sanaga, S. Treatment of pesticide intermediate industrial wastewater using hybrid methodologies. Appl. Water Sci. 2021, 11, 56. [Google Scholar] [CrossRef]
- Wójtowicz, B.; Kordyzon, M.; Bąk-badowska, J.; Gregorczyk, M.; Gworek, B.; Żeber-Dzikowska, I. Chemicals in wastewater and sewage sludge—An underestimated health and environmental threat. J. Elem. 2022, 27, 847–859. [Google Scholar] [CrossRef]
- González, S.O.; Almeida, C.A.; Calderón, M.; Mallea, M.A.; González, P. Assessment of the water self-purification capacity on a river affected by organic pollution: Application of chemometrics in spatial and temporal variations. Environ. Sci. Pollut Res. 2014, 21, 10583–10593. [Google Scholar] [CrossRef] [PubMed]
- Liang, L.; Gong, P. Urban and air pollution: A multi-city study of long-term effects of urban landscape patterns on air quality trends. Sci. Rep. 2020, 10, 18618. [Google Scholar] [CrossRef] [PubMed]
- Tanasa, I.; Cazacu, M.; Sluser, B. Air Quality Integrated Assessment: Environmental Impacts, Risks and Human Health Hazards. Appl. Sci. 2023, 13, 1222. [Google Scholar] [CrossRef]
- Glencross, D.A.; Ho, T.R.; Camiña, N.; Hawrylowicz, C.M.; Pfeffer, P.E. Air pollution and its effects on the immune system. Free Radical Biol. Med. 2020, 151, 56–68. [Google Scholar] [CrossRef] [PubMed]
- Liew, R.K.; Chong, M.Y.; Osazuwa, O.U.; Nam, W.L.; Phang, X.Y.; Su, M.H.; Cheng, C.K.; Chong, C.T.; Lam, S.S. Production of activated carbon as catalyst support by microwave pyrolysis of palm kernel shell: A comparative study of chemical versus physical activation. Res. Chem. Intermed. 2018, 44, 3849–3865. [Google Scholar] [CrossRef]
- Lokteva, E.S.; Golubina, E.V. Metal-support interactions in the design of heterogeneous catalysts for redox processes. Pure Appl. Chem. 2019, 91, 609–631. [Google Scholar] [CrossRef]
- Nowicki, P.; Gruszczyńska, K.; Urban, T.; Wiśniewska, M. Activated biocarbons obtained from post-fermentation residue as potential adsorbents of organic pollutants from the liquid phase. Physicochem. Probl. Miner. Process. 2022, 58, 146357. [Google Scholar] [CrossRef]
- Koul, B.; Yakoob, M.; Shah, M.P. Agricultural waste management strategies for environmental sustainability. Environ. Res. 2022, 206, 112285. [Google Scholar] [CrossRef]
- Arpia, A.A.; Chen, W.H.; Lam, S.S.; Rousset, P.; DE Luna, M.D.G. Sustainable biofuel and bioenergy production from biomass waste residues using microwave-assisted heating: A comprehensive review. Chem. Eng. J. 2021, 403, 126233. [Google Scholar] [CrossRef]
- Olatunji, K.O.; Ahmed, N.A.; Ogunkunle, O. Optimization of biogas yield from lignocellulosic materials with different pretreatment methods: A review. Biotechnol. Biofuels. 2021, 14, 159. [Google Scholar] [CrossRef] [PubMed]
- Bazan-Wozniak, A.; Nowicki, P.; Pietrzak, R. The influence of activation procedure on the physicochemical and sorption properties of activated carbons prepared from pistachio nutshells for removal of NO2/H2S gases and dyes. J. Clean. Prod. 2017, 152, 211–222. [Google Scholar] [CrossRef]
- Saleem, J.; Shahid, U.; Hijab, M.; Mackey, H.; McKay, G. Production and applications of activated carbons as adsorbents from olive stones. Biomass Conv. Bioref. 2019, 9, 775–802. [Google Scholar] [CrossRef]
- Bicil, Z.; Dogan, M. Characterization of activated carbons prepared from almond shells and their hydrogen storage properties. Energy Fuels. 2021, 35, 10227–10240. [Google Scholar] [CrossRef]
- Oladimeji, T.E.; Odunoye, B.O.; Elehinafe, F.B.; Obanla, O.R.; Odunlami, O.A. Production of activated carbon from sawdust and its efficiency in the treatment of sewage water. Heliyon 2021, 7, e05960. [Google Scholar] [CrossRef] [PubMed]
- Jedynak, K.; Charmas, B. Preparation and characterization of physicochemical properties of spruce cone biochars activated by CO2. Materials 2021, 14, 3859. [Google Scholar] [CrossRef]
- Wielgosiński, G. Emissions from waste incineration plants—Primary methods of emission reduction. Energy Policy J. 2003, 6, 131–140. [Google Scholar]
- Assamoi, B.; Lawryshyn, Y. The environmental comparison of landfilling vs. incineration of MSW accounting for waste diversion. Waste Manag. 2012, 32, 1019–1030. [Google Scholar] [CrossRef]
- Kunecki, P.; Panek, R.; Wdowin, M.; Bień, T.; Franus, W. Influence of the fly ash fraction after grinding process on the hydrothermal synthesis efficiency of Na-A, Na-P1, Na-X and sodalite zeolite types. Int. J. Coal Sci. Techn. 2021, 8, 291–311. [Google Scholar] [CrossRef]
- Grabias-Blicharz, E.; Wojciech Franus, W. A critical review on mechanochemical processing of fly ash and fly ash-derived materials. Sci. Total Environ. 2023, 860, 160529. [Google Scholar] [CrossRef]
- Das, D.; Rout, P.K. A Review of coal fly ash utilization to save the environment. Water Air Soil Pollut. 2023, 234, 128. [Google Scholar] [CrossRef]
- Abdulkareem, A.S.; Afolabi, A.S.; Ahanonu, S.O.; Mokrani, T. Effect of treatment methods on used lubricating oil for recycling purposes. Energy Sources Part A Recovery Util. Environ. Eff. 2014, 36, 966–973. [Google Scholar] [CrossRef]
- Nowicki, P.; Supłat, M.; Przepiórski, J.; Pietrzak, R. NO2 removal on adsorbents obtained by pyrolysis and physical activation of corrugated cardboard. Chem. Eng. J. 2012, 195, 7–14. [Google Scholar] [CrossRef]
- Nowicki, P.; Skibiszewska, P.; Nowicki, P. Hydrogen sulphide removal on carbonaceous adsorbents prepared from coffee industry waste materials. Chem. Eng. J. 2014, 248, 208–215. [Google Scholar] [CrossRef]
- Nowicki, P. The effect of mineral matter on the physicochemical and sorption properties of brown coal-based activated carbons. Adsorption 2016, 22, 561–569. [Google Scholar] [CrossRef]
- El-Bery, H.M.; Saleh, M.; El-Gendy, R.A.; Saleh, M.R.; Thabet, S.M. High adsorption capacity of phenol and methylene blue using activated carbon derived from lignocellulosic agriculture wastes. Sci. Rep. 2022, 12, 5499. [Google Scholar] [CrossRef] [PubMed]
- Jawad, A.H.; Ismail, K.; Ishak, M.A.M.; Wilson, L.D. Conversion of Malaysian low-rank coal to mesoporous activated carbon: Structure characterization and adsorption properties. Chinese J. Chem. Eng. 2019, 27, 1716–1727. [Google Scholar] [CrossRef]
- Jasri, K.; Abdulhameed, A.S.; Jawad, A.H.; AL Othman, Z.A.; Yousef, T.A.; Al Duaij, O.K. Mesoporous activated carbon produced from mixed wastes of oil palm frond and palm kernel shell using microwave radiation-assisted K2CO3 activation for methylene blue dye removal: Optimization by response surface methodology. Diamond Relat. Mat. 2023, 131, 109581. [Google Scholar] [CrossRef]
- Khanday, W.A.; Marrakchi, F.; Asif, M.; Hameed, B.H. Mesoporous zeolite–activated carbon composite from oil palm ash as an effective adsorbent for methylene blue. J. Taiwan Inst. Chem. Eng. 2017, 70, 32–41. [Google Scholar] [CrossRef]
- Huang, Y.; Zhu, J.; Liu, H.; Wang, Z.; Zhang, X. Preparation of porous graphene/carbon nanotube composite and adsorption mechanism of methylene blue. SN Appl. Sci. 2019, 1, 37. [Google Scholar] [CrossRef]
- Akartasse, N.; Azzaoui, K.; Mejdoubi, E.; Hammouti, B.; Elansari, L.L.; Abou-salama, M.; Aaddouz, M.; Sabbahi, R.; Rhazi, L.; Siaj, M. Environmental-Friendly Adsorbent Composite Based on Hydroxyapatite/Hydroxypropyl Methyl-Cellulose for Removal of Cationic Dyes from an Aqueous Solution. Polymers 2022, 14, 2147. [Google Scholar] [CrossRef] [PubMed]
- Cheng, X.; Jiang, D.; Chen, H.; Barati, B.; Yuan, C.; Li, H.; Wang, S. Multi-stage adsorption of methyl orange on the nitrogen-rich biomass-derived carbon adsorbent: DFT and MD evaluation. Chemosphere 2023, 338, 139218. [Google Scholar] [CrossRef]
- Nguyen, C.; Nguyen, T.T.H.; Nguyen, T.H.C.; Le, Q.V.; Vo, T.Y.B.; Tran, T.C.P.; La, D.D.; Kumar, G.; Nguyen, V.K.; Chang, S.W.; et al. Sustainable carbonaceous biochar adsorbents derived from agro-wastes and invasive plants for cation dye adsorption from water. Chemosphere 2021, 282, 131009. [Google Scholar] [CrossRef] [PubMed]
- Yu, J.X.; Chi, R.A.; He, Z.Y.; Qi, Y.F.; Zhan, G.; Guo, J. Combination of biosorption and photodegradation to remove methyl orange from aqueous solutions. Eng. Life Sci. 2011, 11, 309–315. [Google Scholar] [CrossRef]
- Zhao, F.; Shan, R.; Li, S.; Yuan, H.; Chen, Y. Characterization and Co-Adsorption Mechanism of Magnetic Clay-Biochar Composite for De-Risking Cd(II) and Methyl Orange Contaminated Water. Int. J. Mol. Sci. 2023, 24, 5755. [Google Scholar] [CrossRef]
- Lamari, R.; Benotmane, B.; Mostefa, F. Removal of Methyl Orange from Aqueous Solution Using Zeolitic Imidazolate Framework-11: Adsorption Isotherms, Kinetics and Error Analysis. Iranian J. Chem. Chem. Eng. 2022, 41, 1985–1999. [Google Scholar] [CrossRef]
- Ma, J.; Yu, F.; Zhou, L.; Jin, L.; Yang, M.; Luan, J.; Tang, Y.; Fan, H.; Yuan, Z.; Chen, J. Enhanced Adsorptive Removal of Methyl Orange and Methylene Blue from Aqueous Solution by Alkali-Activated Multiwalled Carbon Nanotubes. ACS Appl. Mat. Interf. 2012, 4, 5749–5760. [Google Scholar] [CrossRef]
- Ohshima, H. A simple expansion for Henry’s function for the retardation effect in electrophoresis of spherical colloidal particles. J. Colloid Interface Sci. 1994, 168, 269–271. [Google Scholar] [CrossRef]
- Wiśniewska, M.; Rejer, K.; Pietrzak, R.; Nowicki, P. Biochars and activated biocarbons prepared via conventional pyrolysis and chemical or physical activation of mugwort herb as potential adsorbents and renewable fuels. Molecules 2022, 27, 8597. [Google Scholar] [CrossRef] [PubMed]
- Rafati, L.; Ehrampoush, M.H.; RafatI, A.A.; Mokhtari, M.; Mahvi, A.H. Modeling of adsorption kinetic and equilibrium isotherms of naproxen onto functionalized nano-clay composite adsorbent. J. Mol. Liq. 2016, 224, 832–841. [Google Scholar] [CrossRef]
- Simonin, J.P. On the comparison of pseudo-first order and pseudo-second order rate laws in the modeling of adsorption kinetics. Chem. Eng. J. 2016, 300, 254–263. [Google Scholar] [CrossRef]








| Sample | Ash | Nitrogendaf | Carbondaf | Hydrogendaf | Sulphurdaf | Oxygendiff |
|---|---|---|---|---|---|---|
| Brown coal | 27.1 ± 1.27 | 0.5 ± 0.02 | 57.3 ± 0.28 | 5.6 ± 0.08 | 1.2 ± 0.03 | 35.4 ± 0.49 |
| Waste gear oil | 1.1 ± 0.08 | 0.4 ± 0.01 | 84.7 ± 0.92 | 11.3 ± 0.21 | 1.0 ± 0.04 | 2.6 ± 0.13 |
| Composite | 94.9 ± 0.76 | 0.1 ± 0.03 | 3.0 ± 0.18 | 0.2 ± 0.06 | 3.5 ± 0.10 | 93.2 * ± 0.71 |
| BAc | 36.6 ± 0.72 | 0.4 ± 0.02 | 82.6 ± 0.57 | 1.3 ± 0.07 | 0.4 ± 0.01 | 15.3 ± 0.16 |
| BAp | 17.0 ± 0.78 | 0.6 ± 0.04 | 75.9 ± 0.35 | 0.7 ± 0.03 | 2.8 ± 0.13 | 20.0 ± 0.65 |
| Sample | Surface Area 1 [m2/g] | Micropore Area [m2/g] | Total Pore Volume [cm3/g] | Micropore Contribution | Mean Pore Size [nm] |
|---|---|---|---|---|---|
| Composite | 21 | - | 0.072 | - | 13.37 |
| BAc | 656 | 588 | 0.750 | 0.43 | 4.57 |
| BAp | 301 | 159 | 0.345 | 0.26 | 4.58 |
| Sample | pH of Aqueous Extracts | Basic Groups Content [mmol/g] | Acidic Groups Content [mmol/g] | Total Content of Surface Groups [mmol/g] |
|---|---|---|---|---|
| Composite | 11.80 ± 0.07 | 3.10 ± 0.10 | 0.48 ± 0.04 | 3.58 ± 0.08 |
| BAc | 6.11 ± 0.04 | 0.57 ± 0.03 | 0.99 ± 0.03 | 1.56 ± 0.04 |
| BAp | 9.62 ± 0.11 | 4.08 ± 0.14 | 0.25 ± 0.06 | 4.33 ± 0.04 |
| Sample | qexp | Langmuir Model | Freundlich Model | ||||
|---|---|---|---|---|---|---|---|
| qmax | KL | R2 | KF | 1/n | R2 | ||
| Methylene blue | |||||||
| Composite | 34.8 | 45.1 | 0.04 | 0.4585 | 1.79 | 1.037 | 0.9856 |
| BAc | 233.3 | 234.7 | 4.06 | 0.9987 | 186.90 | 0.060 | 0.8869 |
| BAp | 156.4 | 154.1 | 7.55 | 0.9960 | 118.44 | 0.109 | 0.9811 |
| Methyl orange | |||||||
| Composite | 3.1 | 3.3 | 0.15 | 0.7728 | 5.35 | 0.813 | 0.9647 |
| BAc | 83.2 | 85.3 | 1.61 | 0.9939 | 65.16 | 0.071 | 0.7201 |
| BAp | 85.3 | 86.7 | 2.91 | 0.9997 | 62.03 | 0.100 | 0.8719 |
| Sample | qexp | Pseudo-First Order | Pseudo-Second Order | ||||
|---|---|---|---|---|---|---|---|
| k1 | R2 | qcal | k2 | R2 | qcal | ||
| Methylene blue | |||||||
| Composite | 2.698 | 0.013 | 0.8978 | 2.388 | 0.007 | 0.9725 | 3.092 |
| BAc | 117.821 | 0.027 | 0.9386 | 76.243 | 0.001 | 0.9975 | 126.852 |
| BAp | 93.407 | 0.018 | 0.9659 | 30.775 | 0.001 | 0.9997 | 96.154 |
| Methyl orange | |||||||
| Composite | 2.988 | 0.005 | 0.9062 | 0.462 | 0.023 | 0.9988 | 3.435 |
| BAc | 67.537 | 0.012 | 0.9577 | 37.394 | 0.001 | 0.9954 | 71.429 |
| BAp | 74.519 | 0.020 | 0.6920 | 18.450 | 0.003 | 0.9999 | 75.758 |
| Adsorbent | Adsorbed Amount [mg/g] | Reference |
|---|---|---|
| Methylene blue | ||
| Composite | 35 | This study |
| BAp | 156 | This study |
| BAc | 233 | This study |
| Activated carbon derived from lignocellulosic wastes (physically activated by H2O-steam) | 149 | [28] |
| Mesoporous-activated carbon from low-rank coal (microwave-induced KOH-activation method) | 492 | [29] |
| Mesoporous-activated carbon from agricultural wastes including oil palm frond and palm kernel shell (microwave radiation-assisted K2CO3 activation) | 332 | [30] |
| Zeolite–activated carbon composite from oil palm ash (chemical activation with NaOH and hydrothermal treatment) | 144 | [31] |
| Porous graphene–carbon nanotubes composite (hydrothermal reaction) | 232 | [32] |
| Hydroxyapatite and hydroxypropyl methylcellulose-based nanocomposite (dissolution/reprecipitation method) | 52 | [33] |
| Methyl orange | ||
| Composite | 3 | This study |
| BAp | 85 | This study |
| BAc | 83 | This study |
| Nitrogen-rich biomass-derived carbon adsorbent made from Enteromorpha | 270 | [34] |
| Biochars produced from agro-waste and invasive plants: wattle bark, mimosa, coffee husks | 12 | [35] |
| Metal ion (Fe3+, Mg2+, Ca2+, and Na+) modified biomass of waste beer yeast | 23–91 | [36] |
| Magnetic clay-biochar composite | 63 | [37] |
| Imidazolate-zeolite frameworks-11 | 179 | [38] |
| Alkali-activated multiwalled carbon nanotubes | 149 | [39] |
Disclaimer/Publisher’s Note: The statements, opinions and data contained in all publications are solely those of the individual author(s) and contributor(s) and not of MDPI and/or the editor(s). MDPI and/or the editor(s) disclaim responsibility for any injury to people or property resulting from any ideas, methods, instructions or products referred to in the content. |
© 2023 by the authors. Licensee MDPI, Basel, Switzerland. This article is an open access article distributed under the terms and conditions of the Creative Commons Attribution (CC BY) license (https://creativecommons.org/licenses/by/4.0/).
Share and Cite
Wiśniewska, M.; Sadłowska, A.; Herda, K.; Urban, T.; Nowicki, P. Production of Mineral-Carbon Composites and Activated Carbons as a Method of Used Gear Oil, Ashes, and Low-Quality Brown Coals Management. Molecules 2023, 28, 6919. https://doi.org/10.3390/molecules28196919
Wiśniewska M, Sadłowska A, Herda K, Urban T, Nowicki P. Production of Mineral-Carbon Composites and Activated Carbons as a Method of Used Gear Oil, Ashes, and Low-Quality Brown Coals Management. Molecules. 2023; 28(19):6919. https://doi.org/10.3390/molecules28196919
Chicago/Turabian StyleWiśniewska, Małgorzata, Amanda Sadłowska, Karolina Herda, Teresa Urban, and Piotr Nowicki. 2023. "Production of Mineral-Carbon Composites and Activated Carbons as a Method of Used Gear Oil, Ashes, and Low-Quality Brown Coals Management" Molecules 28, no. 19: 6919. https://doi.org/10.3390/molecules28196919
APA StyleWiśniewska, M., Sadłowska, A., Herda, K., Urban, T., & Nowicki, P. (2023). Production of Mineral-Carbon Composites and Activated Carbons as a Method of Used Gear Oil, Ashes, and Low-Quality Brown Coals Management. Molecules, 28(19), 6919. https://doi.org/10.3390/molecules28196919

