Fine-Tuning of the Optical and Electrochemical Properties of Ruthenium(II) Complexes with 2-Arylbenzimidazoles and 4,4′-Dimethoxycarbonyl-2,2′-bipyridine
Abstract
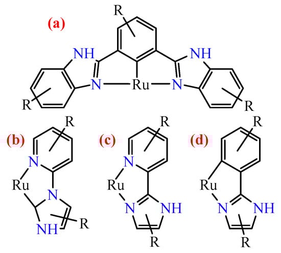
:1. Introduction
2. Results
2.1. Synthesis and Characterization
2.1.1. NMR Spectroscopy
2.1.2. Crystal Structures
2.2. Optical Properties
2.3. Quantum Chemical Calculations
2.4. Electrochemical Studies
3. Materials and Methods
3.1. Synthesis of the Ligands
3.2. Synthesis of the Complexes 1–4
4. Conclusions
Supplementary Materials
Author Contributions
Funding
Institutional Review Board Statement
Informed Consent Statement
Data Availability Statement
Acknowledgments
Conflicts of Interest
Sample Availability
References
- Bell, J.D.; Murphy, J.A. Recent Advances in Visible Light-Activated Radical Coupling Reactions Triggered by (i) Ruthenium, (ii) Iridium and (iii) Organic Photoredox Agents. Chem. Soc. Rev. 2021, 50, 9540–9685. [Google Scholar] [CrossRef] [PubMed]
- Rashid, A.; Mondal, S.; Ghosh, P. Development and Application of Ruthenium(II) and Iridium(III) Based Complexes for Anion Sensing. Molecules 2023, 28, 1231. [Google Scholar] [CrossRef]
- Tomar, N.; Agrawal, A.; Dhaka, V.S.; Surolia, P.K. Ruthenium Complexes Based Dye Sensitized Solar Cells: Fundamentals and Research Trends. Sol. Energy 2020, 207, 59–76. [Google Scholar] [CrossRef]
- Mauri, L.; Colombo, A.; Dragonetti, C.; Roberto, D.; Fagnani, F. Recent Investigations on Thiocyanate-Free Ruthenium(II) 2,2′-Bipyridyl Complexes for Dye-Sensitized Solar Cells. Molecules 2021, 26, 7638. [Google Scholar] [CrossRef] [PubMed]
- Vougioukalakis, G.C.; Philippopoulos, A.I.; Stergiopoulos, T.; Falaras, P. Contributions to the Development of Ruthenium-Based Sensitizers for Dye-Sensitized Solar Cells. Coord. Chem. Rev. 2011, 255, 2602–2621. [Google Scholar] [CrossRef]
- Lee, S.Y.; Kim, C.Y.; Nam, T.G. Ruthenium Complexes as Anticancer Agents: A Brief History and Perspectives. Drug Des. Dev. Ther. 2020, 14, 5375–5392. [Google Scholar] [CrossRef]
- Bomben, P.G.; Robson, K.C.D.; Koivisto, B.D.; Berlinguette, C.P. Cyclometalated Ruthenium Chromophores for the Dye-Sensitized Solar Cell. Coord. Chem. Rev. 2012, 256, 1438–1450. [Google Scholar] [CrossRef]
- Aghazada, S.; Nazeeruddin, M.K. Ruthenium Complexes as Sensitizers in Dye-Sensitized Solar Cells. Inorganics 2018, 6, 52. [Google Scholar] [CrossRef]
- Freedman, D.A.; Evju, J.K.; Pomije, M.K.; Mann, K.R. Convenient Synthesis of Tris-Heteroleptic Ruthenium(II) Polypyridyl Complexes. Inorg. Chem. 2001, 40, 5711–5715. [Google Scholar] [CrossRef] [PubMed]
- Ertl, C.D.; Ris, D.P.; Meier, S.C.; Constable, E.C.; Housecroft, C.E.; Neuburger, M.; Zampese, J.A. Sticking and Patching: Tuning and Anchoring Cyclometallated Ruthenium(Ii) Complexes. Dalton Trans. 2015, 44, 1557–1570. [Google Scholar] [CrossRef]
- Medved’ko, A.V.; Ivanov, V.K.; Kiskin, M.A.; Sadovnikov, A.A.; Apostolova, E.S.; Grinberg, V.A.; Emets, V.V.; Chizhov, A.O.; Nikitin, O.M.; Magdesieva, T.V.; et al. The Design and Synthesis of Thiophene-Based Ruthenium(II) Complexes as Promising Sensitizers for Dye-Sensitized Solar Cells. Dye. Pigment. 2017, 140, 169–178. [Google Scholar] [CrossRef]
- Funaki, T.; Otsuka, H.; Onozawa-Komatsuzaki, N.; Kasuga, K.; Sayama, K.; Sugihara, H. New Class of NCS-Free Cyclometalated Ruthenium(II) Complexes with 6-Phenylpyridine-2-Carboxylate for Use as near-Infrared Sensitizers in Dye-Sensitized Solar Cells. Inorg. Chem. Commun. 2014, 46, 137–139. [Google Scholar] [CrossRef]
- Abbotto, A.; Coluccini, C.; Dell’Orto, E.; Manfredi, N.; Trifiletti, V.; Salamone, M.M.; Ruffo, R.; Acciarri, M.; Colombo, A.; Dragonetti, C.; et al. Thiocyanate-Free Cyclometalated Ruthenium Sensitizers for Solar Cells Based on Heteroaromatic-Substituted 2-Arylpyridines. Dalton Trans. 2012, 41, 11731–11738. [Google Scholar] [CrossRef] [PubMed]
- Bessho, T.; Yoneda, E.; Yum, J.-H.; Guglielmi, M.; Tavernelli, I.; Imai, H.; Rothlisberger, U.; Nazeeruddin, M.K.; Grätzel, M. New Paradigm in Molecular Engineering of Sensitizers for Solar Cell Applications. J. Am. Chem. Soc. 2009, 131, 5930–5934. [Google Scholar] [CrossRef]
- Bomben, P.G.; Koivisto, B.D.; Berlinguette, C.P. Cyclometalated Ru Complexes of Type [RuII(N∧N)2(C∧N)]z: Physicochemical Response to Substituents Installed on the Anionic Ligand. Inorg. Chem. 2010, 49, 4960–4971. [Google Scholar] [CrossRef]
- Nguyen, T.D.; Lin, C.H.; Wu, C.G. Effect of the CF3 Substituents on the Charge-Transfer Kinetics of High-Efficiency Cyclometalated Ruthenium Sensitizers. Inorg. Chem. 2017, 56, 252–260. [Google Scholar] [CrossRef]
- Lavrova, M.A.; Lunev, A.M.; Goncharenko, V.E.; Taidakov, I.V.; Dolzhenko, V.D.; Belousov, Y.A. Cyclometallated Ruthenium Complex with 3,3′,5,5′-Tetramethyl-1,1′-Biphenyl-4,4′-Bipyrazole and 2,2′-Dicarboxybipyridine: Synthesis, Optical Properties, and Quantum Chemical Modeling. Russ. J. Coord. Chem. Khimiya 2022, 48, 353–361. [Google Scholar] [CrossRef]
- Sasaki, I.; Vendier, L.; Sournia-Saquet, A.; Lacroix, P.G. Facile Synthesis of Cyclometalated Ruthenium Complexes with Substituted Phenylpyridines. Eur. J. Inorg. Chem. 2006, 2006, 3294–3302. [Google Scholar] [CrossRef]
- Labat, L.; Lamère, J.F.; Sasaki, I.; Lacroix, P.G.; Vendier, L.; Asselberghs, I.; Pérez-Moreno, J.; Clays, K. Synthesis, Crystal Structure, and Second-Order Nonlinear Optical Properties of Ruthenium(II) Complexes with Substituted Bipyridine and Phenylpyridine Ligands. Eur. J. Inorg. Chem. 2006, 2006, 3105–3113. [Google Scholar] [CrossRef]
- Zhao, H.; Simpson, P.V.; Barlow, A.; Moxey, G.J.; Morshedi, M.; Roy, N.; Philip, R.; Zhang, C.; Cifuentes, M.P.; Humphrey, M.G. Syntheses, Spectroscopic, Electrochemical, and Third-Order Nonlinear Optical Studies of a Hybrid Tris{ruthenium(Alkynyl)/(2-Phenylpyridine)}iridium Complex. Chem.-A Eur. J. 2015, 21, 11843–11854. [Google Scholar] [CrossRef]
- Huang, H.; Zhang, P.; Chen, H.; Ji, L.; Chao, H. Comparison between Polypyridyl and Cyclometalated Ruthenium(II) Complexes: Anticancer Activities against 2d and 3d Cancer Models. Chem.-A Eur. J. 2015, 21, 715–725. [Google Scholar] [CrossRef]
- Bomben, P.G.; Thériault, K.D.; Berlinguette, C.P. Strategies for Optimizing the Performance of Cyclometalated Ruthenium Sensitizers for Dye-Sensitized Solar Cells. Eur. J. Inorg. Chem. 2011, 2011, 1806–1814. [Google Scholar] [CrossRef]
- Bomben, P.G.; Gordon, T.J.; Schott, E.; Berlinguette, C.P. A Trisheteroleptic Cyclometalated RuII Sensitizer That Enables High Power Output in a Dye-Sensitized Solar Cell. Angew. Chem. 2011, 123, 10870–10873. [Google Scholar] [CrossRef]
- Robson, K.C.D.; Koivisto, B.D.; Yella, A.; Sporinova, B.; Nazeeruddin, M.K.; Baumgartner, T.; Grätzel, M.; Berlinguette, C.P. Design and Development of Functionalized Cyclometalated Ruthenium Chromophores for Light-Harvesting Applications. Inorg. Chem. 2011, 50, 5494–5508. [Google Scholar] [CrossRef] [PubMed]
- Aghazada, S.; Gao, P.; Yella, A.; Marotta, G.; Moehl, T.; Teuscher, J.; Moser, J.E.; De Angelis, F.; Grätzel, M.; Nazeeruddin, M.K. Ligand Engineering for the Efficient Dye-Sensitized Solar Cells with Ruthenium Sensitizers and Cobalt Electrolytes. Inorg. Chem. 2016, 55, 6653–6659. [Google Scholar] [CrossRef] [PubMed]
- Wang, H.; Shao, J.Y.; Duan, R.; Wang, K.Z.; Zhong, Y.W. Synthesis and Electronic Coupling Studies of Cyclometalated Diruthenium Complexes Bridged by 3,3′,5,5′-Tetrakis(Benzimidazol-2-Yl)-Biphenyl. Dalton Trans. 2021, 50, 4219–4230. [Google Scholar] [CrossRef]
- Bodedla, G.B.; Zhu, X.; Zhou, Z.; Wong, W.-Y. Small Molecules Containing Amphoteric Imidazole Motifs as Sensitizers for Dye-Sensitized Solar Cells: An Overview. Top. Curr. Chem. 2022, 380, 49. [Google Scholar] [CrossRef] [PubMed]
- Yang, W.W.; Zhong, Y.W.; Yoshikawa, S.; Shao, J.Y.; Masaoka, S.; Sakai, K.; Yao, J.; Haga, M.A. Tuning of Redox Potentials by Introducing a Cyclometalated Bond to Bis-Tridentate Ruthenium(II) Complexes Bearing Bis(N-Methylbenzimidazolyl) Benzene or -Pyridine Ligands. Inorg. Chem. 2012, 51, 890–899. [Google Scholar] [CrossRef] [PubMed]
- Maeda, S.; Koizumi, T.A.; Yamamoto, T.; Tanaka, K.; Kanbara, T. Aerobic Oxidative Dehydrogenation of Coordinated Imidazoline Units of Pincer Ruthenium Complex. J. Organomet. Chem. 2007, 692, 5495–5500. [Google Scholar] [CrossRef]
- Motoyama, D.; Yoshikawa, K.; Ozawa, H.; Tadokoro, M.; Haga, M.A. Energy-Storage Applications for a PH Gradient between Two Benzimidazole-Ligated Ruthenium Complexes That Engage in Proton-Coupled Electron-Transfer Reactions in Solution. Inorg. Chem. 2017, 56, 6419–6428. [Google Scholar] [CrossRef]
- Tabrizi, L.; Chiniforoshan, H. New RuII Pincer Complexes: Synthesis, Characterization and Biological Evaluation for Photodynamic Therapy. Dalton Trans. 2016, 45, 18333–18345. [Google Scholar] [CrossRef]
- Yang, W.W.; Shao, J.Y.; Zhong, Y.W. Cyclometalated Diruthenium Complexes Bridged by 3,3′,5,5′-Tetra(Pyrid-2-Yl)Biphenyl: Tuning of Electronic Properties and Intervalence Charge Transfer by Terminal Ligand Effects. Eur. J. Inorg. Chem. 2015, 2015, 3195–3204. [Google Scholar] [CrossRef]
- Shao, J.Y.; Zhong, Y.W. Tuning the Electronic Coupling in Cyclometalated Diruthenium Complexes through Substituent Effects: A Correlation between the Experimental and Calculated Results. Chem.-A Eur. J. 2014, 20, 8702–8713. [Google Scholar] [CrossRef]
- Zhang, G.; Chen, K.; Chen, H.; Yao, J.; Shaik, S. What Factors Control O2 Binding and Release Thermodynamics in Mononuclear Ruthenium Water Oxidation Catalysts? A Theoretical Exploration. Inorg. Chem. 2013, 52, 5088–5096. [Google Scholar] [CrossRef] [PubMed]
- Cui, B.B.; Nie, H.J.; Yao, C.J.; Shao, J.Y.; Wu, S.H.; Zhong, Y.W. Reductive Electropolymerization of Bis-Tridentate Ruthenium Complexes with 5,5″-Divinyl-4′-Tolyl-2,2′:6′, 2″-Terpyridine. Dalton Trans. 2013, 42, 14125–14133. [Google Scholar] [CrossRef]
- Shao, J.Y.; Yao, J.; Zhong, Y.W. Mononuclear Cyclometalated Ruthenium(II) Complexes of 1,2,4,5-Tetrakis(N- Methylbenzimidazolyl)Benzene: Synthesis and Electrochemical and Spectroscopic Studies. Organometallics 2012, 31, 4302–4308. [Google Scholar] [CrossRef]
- Shao, J.; Yang, W.; Yao, J.; Zhong, Y. Biscyclometalated Ruthenium Complexes Bridged by 3,3′,5,5′-Tetrakis( N -Methylbenzimidazol-2-Yl)Biphenyl: Synthesis and Spectroscopic and Electronic Coupling Studies. Inorg. Chem. 2012, 51, 4343–4351. [Google Scholar] [CrossRef] [PubMed]
- Akula, S.B.; Chen, H.S.; Su, C.; Chen, B.R.; Chiou, J.J.; Shieh, C.H.; Lin, Y.F.; Li, W.R. Effect of Extended Conjugation of N-Heterocyclic Carbene-Based Sensitizers on the Performance of Dye-Sensitized Solar Cells. Inorg. Chem. 2017, 56, 12987–12995. [Google Scholar] [CrossRef] [PubMed]
- Nazeeruddin, M.K.; Müller, E.; Humphry-Baker, R.; Vlachopoulos, N.; Grätzel, M. Redox Regulation in Ruthenium(II) Polypyridyl Complexes and Their Application in Solar Energy Conversion. J. Chem. Soc. Dalton Trans. 1997, 23, 4571–4578. [Google Scholar] [CrossRef]
- Monjushiro, H.; Harada, K.; Nakaura, M.; Kato, N.; Masa-akihaga; Ryan, M.F.; Lever, A.B.P. Preparation of Surfactant Ruthenium Complexes Containing 6,6′-BIS(N-Alkylbenzimidazolyl)-2,2′-Bipyridine with Long Alkyl Chains. Mol. Cryst. Liq. Cryst. Sci. Technol. Sect. A 1997, 294, 15–18. [Google Scholar] [CrossRef]
- Kohle, O.; Ruile, S.; Grätzel, M. Ruthenium(II) Charge-Transfer Sensitizers Containing 4,4′-Dicarboxy-2,2′-Bipyridine. Synthesis, Properties, and Bonding Mode of Coordinated Thio- and Selenocyanates. Inorg. Chem. 1996, 35, 4779–4787. [Google Scholar] [CrossRef]
- Ashraf, S.; Akhtar, J.; Siddiqi, H.M.; El-Shafei, A. Thiocyanate-Free Ruthenium(II) Sensitizers with a Bi-Imidazole Ligand in Dye-Sensitized Solar Cells (DSSCs). New J. Chem. 2017, 41, 6272–6277. [Google Scholar] [CrossRef]
- Tercan, M.; Dayan, O. Synthesis and DSSC Applications of Ru(II) Complexes Bearing Benzimidazole Type Ligands. J. Electron. Mater. 2019, 48, 642–648. [Google Scholar] [CrossRef]
- Huang, W.K.; Cheng, C.W.; Chang, S.M.; Lee, Y.P.; Diau, E.W.G. Synthesis and Electron-Transfer Properties of Benzimidazole-Functionalized Ruthenium Complexes for Highly Efficient Dye-Sensitized Solar Cells. Chem. Commun. 2010, 46, 8992–8994. [Google Scholar] [CrossRef]
- Huang, W.-K.; Wu, H.-P.; Lin, P.-L.; Lee, Y.-P.; Diau, E.W.-G. Design and Characterization of Heteroleptic Ruthenium Complexes Containing Benzimidazole Ligands for Dye-Sensitized Solar Cells: The Effect of Fluorine Substituents on Photovoltaic Performance. J. Phys. Chem. Lett. 2012, 3, 1830–1835. [Google Scholar] [CrossRef]
- Huang, W.; Wu, H.; Lin, P.; Diau, E.W. Design and Characterization of Heteroleptic Ruthenium Complexes Containing Benzimidazole Ligands for Dye-Sensitized Solar Cells: The Effect of Thiophene and Alkyl Substituents on Photovoltaic Performance. J. Phys. Chem. C 2013, 117, 2059–2065. [Google Scholar] [CrossRef]
- Lai, H.; Zeng, D.; Liu, C.; Zhang, Q.; Wang, X.; Chen, T. Selenium-Containing Ruthenium Complex Synergizes with Natural Killer Cells to Enhance Immunotherapy against Prostate Cancer via Activating TRAIL/FasL Signaling. Biomaterials 2019, 219, 119377. [Google Scholar] [CrossRef] [PubMed]
- Jella, T.; Srikanth, M.; Soujanya, Y.; Singh, S.P.; Giribabu, L.; Islam, A.; Han, L.; Bedja, I.; Gupta, R.K. Heteroleptic Ru(II) Cyclometalated Complexes Derived from Benzimidazole-Phenyl Carbene Ligands for Dye-Sensitized Solar Cells: An Experimental and Theoretical Approach. Mater. Chem. Front. 2017, 1, 947–957. [Google Scholar] [CrossRef]
- Novohradsky, V.; Yellol, J.; Stuchlikova, O.; Santana, M.D.; Kostrhunova, H.; Yellol, G.; Kasparkova, J.; Bautista, D.; Ruiz, J.; Brabec, V. Organoruthenium Complexes with C^N Ligands Are Highly Potent Cytotoxic Agents That Act by a New Mechanism of Action. Chem.-A Eur. J. 2017, 23, 15294–15299. [Google Scholar] [CrossRef]
- Soukharev, V.S.; Ryabov, A.D.; Csöregi, E. Synthesis, Properties, and Biosensor Applications of Cycloruthenated 2-Phenylimidazoles. J. Organomet. Chem. 2003, 668, 75–81. [Google Scholar] [CrossRef]
- Malladi, S.; Yarasi, S.; Sastry, G.N. Exploring the Potential of Iron to Replace Ruthenium in Photosensitizers: A Computational Study. J. Mol. Model. 2018, 24, 341. [Google Scholar] [CrossRef] [PubMed]
- Zakharov, A.Y.; Kovalenko, I.V.; Meshcheriakova, E.A.; Nykhrikova, E.V.; Zharova, A.O.; Kiseleva, M.A.; Kalle, P.; Tekshina, E.V.; Kozyukhin, S.A.; Emets, V.V.; et al. The Effect of the Ancillary Ligand on Optical and Redox Properties of Cyclometalated Iridium(III) 2,5-Diphenyloxazole Complexes. Russ. J. Coord. Chem. Khimiya 2022, 48, 846–858. [Google Scholar] [CrossRef]
- Tatarin, S.V.; Smirnov, D.E.; Taydakov, I.V.; Metlin, M.T.; Emets, V.V.; Bezzubov, S.I. Tailoring the π-System of Benzimidazole Ligands towards Stable Light-Harvesting Cyclometalated Iridium(III) Complexes. Dalton Trans. 2023, 52, 6435–6450. [Google Scholar] [CrossRef] [PubMed]
- Kalle, P.; Kiseleva, M.A.; Tatarin, S.V.; Smirnov, D.E.; Zakharov, A.Y.; Emets, V.V.; Churakov, A.V.; Bezzubov, S.I. A Panchromatic Cyclometalated Iridium Dye Based on 2-Thienyl-Perimidine. Molecules 2022, 27, 3201. [Google Scholar] [CrossRef] [PubMed]
- Tatarin, S.V.; Kalle, P.; Taydakov, I.V.; Varaksina, E.A.; Korshunov, V.M.; Bezzubov, S.I. Sterically Hindered Phenanthroimidazole Ligands Drive the Structural Flexibility and Facile Ligand Exchange in Cyclometalated Iridium(III) Complexes. Dalton Trans. 2021, 50, 6889–6900. [Google Scholar] [CrossRef]
- Lavrova, M.A.; Mishurinskiy, S.A.; Smirnov, D.E.; Kalle, P.; Krivogina, E.V.; Kozyukhin, S.A.; Emets, V.V.; Mariasina, S.S.; Dolzhenko, V.D.; Bezzubov, S.I. Cyclometalated Ru(Ii) Complexes with Tunable Redox and Optical Properties for Dye-Sensitized Solar Cells. Dalton Trans. 2020, 49, 16935–16945. [Google Scholar] [CrossRef]
- Bezzubov, S.I.; Zharinova, I.S.; Khusyainova, A.A.; Kiselev, Y.M.; Taydakov, I.V.; Varaksina, E.A.; Metlin, M.T.; Tobohova, A.S.; Korshunov, V.M.; Kozyukhin, S.A.; et al. Aromatic β-Diketone as a Novel Anchoring Ligand in Iridium(III) Complexes for Dye-Sensitized Solar Cells. Eur. J. Inorg. Chem. 2020, 2020, 3277–3286. [Google Scholar] [CrossRef]
- Ridley, H.F.; Spickett, R.G.W.; Timmis, G.M. A New Synthesis of Benzimidazoles and Aza-Analogs. J. Heterocycl. Chem. 1965, 2, 453–456. [Google Scholar] [CrossRef]
- Yuste, F.; Saldaña, M.; Walls, F. Selective Reduction of Aromatic Nitro Compounds Containing O- and n-Benzyl Groups with Hydrazine and Raney Nickel. Tetrahedron Lett. 1982, 23, 147–148. [Google Scholar] [CrossRef]
- Kommi, D.N.; Kumar, D.; Bansal, R.; Chebolu, R.; Chakraborti, A.K. “All-Water” Chemistry of Tandem N-Alkylation–Reduction–Condensation for Synthesis of N-Arylmethyl-2-Substituted Benzimidazoles. Green Chem. 2012, 14, 3329. [Google Scholar] [CrossRef]
- Hofmann, A.; Dahlenburg, L.; Van Eldik, R. Cyclometalated Analogues of Platinum Terpyridine Complexes: Kinetic Study of the Strong σ-Donor Cis and Trans Effects of Carbon in the Presence of a π-Acceptor Ligand Backbone. Inorg. Chem. 2003, 42, 6528–6538. [Google Scholar] [CrossRef] [PubMed]
- Cardona, C.M.; Li, W.; Kaifer, A.E.; Stockdale, D.; Bazan, G.C. Electrochemical Considerations for Determining Absolute Frontier Orbital Energy Levels of Conjugated Polymers for Solar Cell Applications. Adv. Mater. 2011, 23, 2367–2371. [Google Scholar] [CrossRef] [PubMed]
- Dolomanov, O.V.; Bourhis, L.J.; Gildea, R.J.; Howard, J.A.K.; Puschmann, H. OLEX2: A Complete Structure Solution, Refinement and Analysis Program. J. Appl. Crystallogr. 2009, 42, 339–341. [Google Scholar] [CrossRef]
- Sheldrick, G.M. Crystal Structure Refinement with SHELXL. Acta Crystallogr. Sect. C Struct. Chem. 2015, 71, 3–8. [Google Scholar] [CrossRef]
- Sheldrick, G.M. SHELXT—Integrated Space-Group and Crystal-Structure Determination. Acta Crystallogr. Sect. A Found. Adv. 2015, 71, 3–8. [Google Scholar] [CrossRef] [PubMed]
- Ghilene, J.; Haplot, P.; Bard, A.J. Metal/Polypyrrole Quasi-Reference Electrode for Voltammetry in Nonaqueous and Aqueous Solutions. Anal. Chem. 2006, 78, 6868–6872. [Google Scholar] [CrossRef]
- Pritchard, B.P.; Altarawy, D.; Didier, B.; Gibson, T.D.; Windus, T.L. New Basis Set Exchange: An Open, Up-to-Date Resource for the Molecular Sciences Community. J. Chem. Inf. Model. 2019, 59, 4814–4820. [Google Scholar] [CrossRef]
- Andrae, D.; Häußermann, U.; Dolg, M.; Stoll, H.; Preuß, H. Energy-Adjusted Ab Initio Pseudopotentials for the Second and Third Row Transition Elements. Theor. Chim. Acta 1990, 77, 123–141. [Google Scholar] [CrossRef]
- Dolg, M.; Stoll, H.; Preuss, H. A Combination of Quasirelativistic Pseudopotential and Ligand Field Calculations for Lanthanoid Compounds. Theor. Chim. Acta 1993, 85, 441–450. [Google Scholar] [CrossRef]
- Dolg, M.; Stoll, H.; Savin, A.; Preuss, H. Energy-Adjusted Pseudopotentials for the Rare Earth Elements. Theor. Chim. Acta 1989, 75, 173–194. [Google Scholar] [CrossRef]
- O’boyle, N.M.; Tenderholt, A.L.; Langner, K.M. Cclib: A Library for Package-Independent Computational Chemistry Algorithms. J. Comput. Chem. 2008, 29, 839–845. [Google Scholar] [CrossRef] [PubMed]
- Ronzio, A.R.; Waugh, T.D. Glyoxal Bisulfite. In Organic Syntheses; Major Reference Works; Wiley: Hoboken, NJ, USA, 2003; p. 61. ISBN 9780471264224. [Google Scholar]











| Bond | Bond Length in 1, Å | Bond Length in 3, Å |
|---|---|---|
| Ru1-C1 | 2.056 (6) | 2.052 (6) |
| Ru1-N1 | 2.047 (5) | 2.087 (5) |
| Ru1-N3 | 2.034 (4) | 2.016 (5) |
| Ru1-N4 | 2.023 (4) | 2.021 (4) |
| Ru1-N5 | 2.055 (4) | 2.049 (4) |
| Ru1-N6 | 2.115 (4) | 2.122 (5) |
| Complex | λabs 1 nm | λabs 2 nm | εmax × 103 * mol × 1−1 × cm−1 | λem77 (λex) nm | λem298 (λex) nm | τ77 (λreg) ns (nm) | τ298 (λreg) ns (nm) |
|---|---|---|---|---|---|---|---|
| 1 | 601 | 711 | 9.0 | 792 (580) | 852 (580) | 392 (850) | 12.3 (790) |
| 2 | 596 | 760 | 5.9 | 840 (580) | 870 (550) | 191 (840) | 9.0 (840) |
| 3 | 606 | 773 | 3.8 | 874 (630) | 905 (630) | 96 (860) | 3.8 (860) |
| 4 | 577 | 719 | 6.5 | 862 (580) | 896 (560) | 88 (850) | 3.3 (850) |
| Complex | Exp. T1, eV/nm | Calc. T1, eV/nm | T1 Nature | λabsexp, eV/nm | λabscalc, eV/nm | S1 Nature | f |
|---|---|---|---|---|---|---|---|
| 1 | 1.65 751 | 1.60 773 | MLCT (Ru→N^N)+ LLCT (C^N→N^N) | 1.72 719 | 1.74 713 | MLCT (Ru→N^N)+ LLCT (C^N→N^N) | 0.003 |
| 2.15 577 | 2.23 555 | MLCT (Ru→N^N) + LLCT (C^N→N^N) | 0.17 | ||||
| 2 | 1.58 785 | 1.50 824 | MLCT (Ru→N^N) | 1.63 760 | 1.66 748 | MLCT (Ru→N^N)+ LLCT (C^N→N^N) | 0.003 |
| 2.08 596 | 2.18 569 | MLCT (Ru→N^N) + LLCT (C^N→N^N) | 0.17 | ||||
| 3 | 1.52 816 | 1.42 873 | LLCT (C^N→N^N) | 1.74 711 | 1.56 797 | LLCT (C^N→N^N)+ MLCT (Ru→N^N) | 0.002 |
| 2.06 601 | 2.13 582 | MLCT (Ru→N^N)+ LLCT (C^N→N^N) | 0.14 | ||||
| 4 | 1.56 795 | 1.45 853 | LLCT (C^N→N^N)+ MLCT (Ru→N^N) | 1.60 773 | 1.60 775 | LLCT (C^N→N^N)+ MLCT (Ru→N^N) | 0.004 |
| 2.05 606 | 2.23 556 | MLCT (Ru→N^N) + LLCT (C^N→N^N) | 0.11 |
| Complex | Eox, eV | Ered, eV | EHOMO, eV | ELUMO, eV | Eg, eV |
|---|---|---|---|---|---|
| 1 | 0.46 | −1.48 | −5.56 | −3.62 | 1.95 |
| 2 | 0.29 | −1.55 | −5.39 | −3.55 | 1.84 |
| 3 | 0.17 | −1.56 | −5.27 | −3.54 | 1.73 |
| 4 | 0.19 | −1.58 | −5.29 | −3.52 | 1.77 |
Disclaimer/Publisher’s Note: The statements, opinions and data contained in all publications are solely those of the individual author(s) and contributor(s) and not of MDPI and/or the editor(s). MDPI and/or the editor(s) disclaim responsibility for any injury to people or property resulting from any ideas, methods, instructions or products referred to in the content. |
© 2023 by the authors. Licensee MDPI, Basel, Switzerland. This article is an open access article distributed under the terms and conditions of the Creative Commons Attribution (CC BY) license (https://creativecommons.org/licenses/by/4.0/).
Share and Cite
Lavrova, M.A.; Verzun, S.A.; Mishurinskiy, S.A.; Sirotin, M.A.; Bykova, S.K.; Gontcharenko, V.E.; Mariasina, S.S.; Korshunov, V.M.; Taydakov, I.V.; Belousov, Y.A.; et al. Fine-Tuning of the Optical and Electrochemical Properties of Ruthenium(II) Complexes with 2-Arylbenzimidazoles and 4,4′-Dimethoxycarbonyl-2,2′-bipyridine. Molecules 2023, 28, 6541. https://doi.org/10.3390/molecules28186541
Lavrova MA, Verzun SA, Mishurinskiy SA, Sirotin MA, Bykova SK, Gontcharenko VE, Mariasina SS, Korshunov VM, Taydakov IV, Belousov YA, et al. Fine-Tuning of the Optical and Electrochemical Properties of Ruthenium(II) Complexes with 2-Arylbenzimidazoles and 4,4′-Dimethoxycarbonyl-2,2′-bipyridine. Molecules. 2023; 28(18):6541. https://doi.org/10.3390/molecules28186541
Chicago/Turabian StyleLavrova, Maria A., Stepan A. Verzun, Sergey A. Mishurinskiy, Maxim A. Sirotin, Sofya K. Bykova, Victoria E. Gontcharenko, Sofia S. Mariasina, Vladislav M. Korshunov, Ilya V. Taydakov, Yury A. Belousov, and et al. 2023. "Fine-Tuning of the Optical and Electrochemical Properties of Ruthenium(II) Complexes with 2-Arylbenzimidazoles and 4,4′-Dimethoxycarbonyl-2,2′-bipyridine" Molecules 28, no. 18: 6541. https://doi.org/10.3390/molecules28186541
APA StyleLavrova, M. A., Verzun, S. A., Mishurinskiy, S. A., Sirotin, M. A., Bykova, S. K., Gontcharenko, V. E., Mariasina, S. S., Korshunov, V. M., Taydakov, I. V., Belousov, Y. A., & Dolzhenko, V. D. (2023). Fine-Tuning of the Optical and Electrochemical Properties of Ruthenium(II) Complexes with 2-Arylbenzimidazoles and 4,4′-Dimethoxycarbonyl-2,2′-bipyridine. Molecules, 28(18), 6541. https://doi.org/10.3390/molecules28186541

