Development of Quinazolinone Derivatives as Modulators of Virulence Factors of Pseudomonas aeruginosa Cystic Fibrosis Strains
Abstract
:1. Introduction
2. Results and Discussion
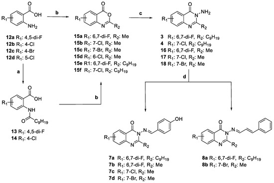
2.1. Compounds’ Synthesis
2.2. Antivirulence Activity
2.2.1. Antibiofilm Activity and SAR Study
2.2.2. Activity against Pigment Production
2.3. Cytotoxic Effects
2.4. Molecular Modeling
3. Materials and Methods
3.1. General Chemistry Methods
- General procedure for the synthesis of 13–14. To a solution of anthranilic acid (12a or 12b) (500 mg, 1 eq.) in dry pyridine (5 mL), decanoyl chloride (850 µL, 1.5 eq.) was dropped. The reaction mixture was stirred at 25 °C for 24 h. Then, the reaction was warmed to room temperature (RT) and treated with 15 mL of 5% HCl. The mixture was then partitioned between H2O and EtOAc (3 × 20 mL). The combined organics were dried, filtered, and evaporated under reduced pressure.
- 2-Decanamido-4,5-difluorobenzoic acid (13). Pale brown solid, 76% yield. Spectroscopic data are in agreement with those reported [25].
- 4-Chloro-2-decanamidobenzoic acid (14). White solid, 91% yield. Spectroscopic data are in agreement with those reported [16].
- General procedure for the synthesis of compounds 15a–f. Anthranilic acids 12a–d or substituted anthranilic acids 13–14 (500 mg, 1 eq.) were heated at 140 °C in acetic anhydride (2.8 mL, 10 eq.) for 2 h. The reaction was warmed to RT and pH adjusted to 7 by adding solid NaHCO3. Then, the mixture was partitioned between H2O and DCM. The organic layer was dried, filtered, and evaporated under reduced pressure to obtain the title compounds 15a–f as solids.
- 6,7-Difluoro-2-methyl-4H-benzo[d][1,3]oxazin-4-one (15a). Yellow solid, 83% yield. Spectroscopic data are in agreement with those reported [16].
- 7-Chloro-2-methyl-4H-benzo[d][1,3]oxazin-4-one (15b). Yellow solid, 92% yield. Spectroscopic data are in agreement with those reported [16].
- 7-Bromo-2-methyl-4H-benzo[d][1,3]oxazin-4-one (15c). White solid, 94% yield. Spectroscopic data are in agreement with those reported [26].
- 6-Chloro-2-methyl-4H-benzo[d][1,3]oxazin-4-one (15d). Yellow solid, 90% yield. 1H NMR (300 MHz, DMSO-d6) δ 8.02 (d, J = 2.3 Hz, 1H), 7.91 (dd, J = 8.6, 2.4 Hz, 1H), 7.56 (d, J = 8.6 Hz, 1H), 2.38 (s, 3H).
- 6,7-Difluoro-2-nonyl-4H-benzo[d][1,3]oxazin-4-one (15e). White solid, 52% yield. Spectroscopic data are in agreement with those reported [27].
- 7-Chloro-2-nonyl-4H-benzo[d][1,3]oxazin-4-one (15f). White solid, 50% yield. Spectroscopic data are in agreement with those reported [25].
- General procedure for the synthesis of compounds 3, 4, and 16–18. To a solution of the corresponding lactone 15a–f (356 mg, 1 eq.) in EtOH (6 mL), hydrazine hydrate (150 µL, 4 eq.) was added. The mixture was heated at 80 °C for 15 h. Then, the mixture was warmed at RT and treated with a saturated solution of NaHCO3 and EtOAc (3 × 10 mL). The combined organics were dried, filtered, and evaporated under reduced pressure. The title compounds 3, 4, and 16–18 have been purified through silica gel column chromatography, eluent petroleum ether/EtOAc (3:1).
- 3-Amino-6,7-difluoro-2-nonylquinazolin-4(3H)-one (3). White solid, 26% yield. Spectroscopic data are in agreement with those reported [16].
- 3-Amino-7-chloro-2-nonylquinazolin-4(3H)-one (4). White solid, 66% yield. Spectroscopic data are in agreement with those reported [25].
- 3-Amino-6,7-difluoro-2-methylquinazolin-4(3H)-one (16). Yellow solid, 62% yield. Spectroscopic data are in agreement with those reported [28].
- 3-Amino-7-chloro-2-methylquinazolin-4(3H)-one (17). Yellow solid, 100% yield. 1H NMR (300 MHz, CDCl3) δ 8.15 (d, 1H J = 8.6 Hz), 7.63 (d, 1H, J = 2.0 Hz), 7.40 (dd, 1H, J = 8.6, 2.0 Hz), 4.88 (bs, 2H), 2.70 (s, 3H). ESI-MS m/z: 210 [M + H]+.
- 3-Amino-7-bromo-2-methylquinazolin-4(3H)-one (18). White solid, 68% yield. 1H NMR (300 MHz, Acetone-d6) δ 8.04 (s, 1H), 7.82–7.71 (m, 1H), 7.66–7.54 (m, 1H), 5.59 (s, 2H), 2.65 (s, 3H). ESI-MS m/z: 255 [M + H]+.
- General procedure for the synthesis of compounds 7a–d and 8a,b. To a mixture of 3, 16–18 (100 mg, 1 eq.) and the appropriate aldehyde (1 eq.) in EtOH (3 mL), AcOH (2 drops) was added. The mixture was heated at 80 °C for 20 h. The reaction mixture was then cooled to 25 °C and partitioned between H2O and EtOAc (3 × 10 mL). The combined organics were dried, filtered, and evaporated under reduced pressure. The title compounds were purified through silica gel column chromatography, eluent petroleum ether/EtOAc (3:1).
- (E)-6,7-Difluoro-3-((4-hydroxybenzylidene)amino)-2-nonylquinazolin-4(3H)-one (7a). White solid, Mp: 134 °C, 59% yield. 1H NMR (300 MHz, DMSO-d6) δ 10.42 (s, 1H), 8.69 (s, 1H), 8.07–7.90 (m, 1H), 7.82–7.57 (m, 3H), 6.91 (d, J = 8.6 Hz, 2H), 2.86–2.61 (m, 2H), 1.74–1.40 (m, 2H), 1.43–0.94 (m, 12H), 0.80 (t, J = 6.8 Hz, 3H). 13C NMR (75 MHz, DMSO-d6) δ 170.4, 162.4, 157.2 (d, J = 14.9 Hz), 152.5 (m), 150.9 (m), 145.66 (d, J = 14.3 Hz), 144.5 (d, J = 45.9 Hz), 131.4, 123.4, 118.5 (d, J = 18.3 Hz), 116.4, 115.4, 34.3, 31.7, 29.2, 29.0, 28.9, 26.2, 22.5, 14.4. ESI-MS m/z: 428 [M + H]+. LC-MS Rt: 14.036 min, purity 100%, MS: 428.2. HRMS ESI m/z [M + H]+ calcd for C24H28F2N3O2 428.2144, found 428.2126.
- (E)-6,7-Difluoro-3-((4-hydroxybenzylidene)amino)-2-methylquinazolin-4(3H)-one (7b). White solid, Mp: 245 °C, 32% yield. 1H NMR (300 MHz, DMSO-d6) δ 10.41 (s, 1H), 8.69 (s, 1H), 8.13–7.92 (m, 1H), 7.87–7.59 (m, 3H), 6.92 (d, J = 8.5 Hz, 2H), 2.46 (s, 3H). 13C NMR (75 MHz, DMSO-d6) δ 170.3, 162.5, 154.9 (m), 147.0 (m), 144.7 (m), 131.5, 130.4, 123.4, 116.5, 115.2 (d, J = 17.6 Hz), 114.2, 49.0, 22.6. ESI-MS m/z: 316 [M + H]+. LC-MS Rt: 10.135 min, purity 95.5%, MS: 316.0.
- (E)-7-Chloro-3-((4-hydroxybenzylidene)amino)-2-methylquinazolin-4(3H)-one (7c). White solid, Mp: 285 °C, 47% yield. 1H NMR (300 MHz, DMSO-d6) δ 10.40 (s, 1H), 8.70 (s, 1H), 8.11 (d, J = 8.6 Hz, 1H), 7.83–7.65 (m, 3H), 7.53 (dd, J = 8.5, 1.6 Hz, 1H), 6.92 (d, J = 8.5 Hz, 2H), 2.47 (s, 3H, under DMSO). 13C NMR (75 MHz, CDCl3) δ 169.1, 158.1, 155.2, 146.8, 134.9, 130.3, 129.8, 129.4, 129.0, 128.6, 127.8, 123.6, 120.2, 22.7. ESI-MS m/z: 314 [M + H]+. LC-MS Rt: 10.341 min, purity 98.7%, MS: 313.9.
- (E)-7-Bromo-3-((4-hydroxybenzylidene)amino)-2-methylquinazolin-4(3H)-one (7d). White solid, Mp: 280 °C, 65% yield. 1H NMR (300 MHz, DMSO-d6) δ 10.39 (s, 1H), 8.70 (s, 1H), 8.03 (d, J = 8.5 Hz, 1H), 7.85 (d, J = 1.8 Hz, 1H), 7.78 (d, J = 8.6 Hz, 2H), 7.66 (dd, J = 8.5, 1.8 Hz, 1H), 6.92 (d, J = 8.6 Hz, 2H), 2.50 (m, 3H, under DMSO). 13C NMR (75 MHz, DMSO-d6) δ 171.5, 164.0, 159.2, 156.5, 148.9, 134.5, 133.0, 132.1, 129.4, 126.7, 121.3, 117.4, 115.1, 24.0 (under DMSO). ESI-MS m/z: 358 [M + H]+, 356 [M − H]−. LC-MS Rt: 10.494 min, purity 100%, MS: 357.90, 359.9.
- (E)-6,7-Difluoro-2-nonyl-3-4-phenylbuta-1,3-dien-1-yl)quinazolin-4(3H)-one (8a). White solid, Mp: 94 °C, 49% yield. 1H NMR (300 MHz, CDCl3) δ 8.64 (d, J = 8.9 Hz, 1H), 7.98 (t, J = 9.3 Hz, 1H), 7.67–6.92 (m, 8H), 2.99–2.70 (m, 2H), 1.93–1.57 (m, 2H), 1.55–1.04 (m, 12H), 0.85 (t, J = 6.0 Hz, 3H). 13C NMR (75 MHz, CDCl3) δ 169.48, 157.4, δ 156.5 (d, J = 14.9 Hz), 152.9 (d, J = 11.8 Hz), 150.99 (d, J = 14.5 Hz), 147.66 (d, J = 14.3 Hz), 144.3 (m), 134.9, 131.2, 130.3, 129.1, 128.9, 128.5, 127.8, 123.6, 118.1, 115.0 (m), 34.8, 31.9, 29.4, 29.3, 26.6, 22.7, 14.1. ESI-MS m/z: 438 [M + H]+. LC-MS Rt: 16.889 min, purity 95.8%, MS: 438.2.
- (E)-7-Bromo-2-methyl-3-(-(3-phenylallylidene)amino)quinazolin-4(3H)-one (8b). White solid, Mp: 200 °C, 52% yield. 1H NMR (300 MHz, CDCl3) δ 8.69 (d, J = 8.9 Hz, 1H), 8.10 (d, J = 8.5 Hz, 1H), 7.84 (d, J = 1.7 Hz, 1H), 7.63–7.48 (m, 3H), 7.46–7.35 (m, 3H), 7.27–7.03 (m, 2H), 2.50 (s, 3H). 13C NMR (75 MHz, CDCl3) δ 169.1, 158.1, 155.2, 146.8, 134.9, 130.3, 129.8, 129.4, 129.0, 128.6, 127.8, 123.6, 120.2, 22.7. ESI-MS m/z: 368 [M + H]+. LC-MS Rt: 11.960 min, purity 95.5%, MS: 368.9, 370.0.
- General procedure for the synthesis of compounds 19a,b. Carboxylic acid 12b or 12d (2.0 g, 1 eq.) was diluted in formamide (4 mL). The reaction was heated at 150 °C for 20 h. Then, ice (2.0 g) was added to the reaction to favor the precipitation of the product, which was filtered and washed with H2O. Then, it was dried at 50 °C for 2 h.
- 6-Chloroquinazolin-4(3H)-one (19a). Starting from 12d, the title compound was obtained as a white solid, 93% yield. Spectroscopic data are in agreement with those reported [29].
- 7-Chloroquinazolin-4(3H)-one (19b). Starting from 12b, the title compound was obtained as a white solid, 90% yield. 1H NMR (300 MHz, DMSO-d6) δ 12.39 (s, 1H), 8.25–7.92 (m, 2H), 7.71 (d, J = 2.0 Hz, 1H), 7.54 (dd, J = 8.6, 2.1 Hz, 1H).
- General procedure for the synthesis of compounds 20a,b and 21. To a mixture of 19a,b (207 mg, 1 eq.) in acetone (13 mL), the appropriate aryl halide (178 mg, 1 eq.), K2CO3 (718 mg, 5 eq.), and NaI (155 mg, 1 eq.) were added. The mixture was stirred at 50 °C for 24 h. After this time, the reaction was partitioned between brine and EtOAc and the aqueous layer was washed again with EtOAc (3 × 10 mL). The combined organics were dried, filtered, and evaporated in vacuo. The title compound was purified through silica gel column chromatography, eluent petroleum ether/EtOAc (3:1).
- 6-Chloro-3-(4-nitrobenzyl)quinazolin-4(3H)-one (20a). Yellow solid, 66% yield. 1H NMR (300 MHz, DMSO-d6) δ 8.63 (s, 1H), 8.18 (d, J = 8.6 Hz, 2H), 8.05 (d, J = 2.3 Hz, 1H), 7.86 (dd, J = 8.7, 2.4 Hz, 1H), 7.73 (d, J = 8.7 Hz, 1H), 7.59 (d, J = 8.6 Hz, 2H), 5.32 (s, 2H). 13C NMR (75 MHz, DMSO-d6) δ 159.7, 148.9, 147.4, 147.1, 144.5, 135.1, 132.0, 130.0, 129.2, 125.5, 124.2, 123.3, 49.3. ESI-MS m/z: 316 [M + H]+.
- 7-Chloro-3-(4-nitrobenzyl)quinazolin-4(3H)-one (20b). Yellow solid, 60% yield. 1H NMR (300 MHz, DMSO-d6) δ 8.65 (s, 1H), 8.14 (dd, J = 23.0, 8.6 Hz, 3H), 7.76 (d, J = 1.9 Hz, 1H), 7.57 (dd, J = 12.5, 5.4 Hz, 3H), 5.30 (s, 2H). 13C NMR (75 MHz, DMSO-d6) δ 160.0, 149.8, 149.4, 147.3, 144.6, 139.6, 129.1, 128.6, 128.0, 126.9, 124.1, 120.8, 49.2. ESI-MS m/z: 316 [M + H]+.
- 3-(4-Bromobenzyl)-7-chloroquinazolin-4(3H)-one (21). Yellow solid, 67% yield. 1H NMR (300 MHz, CDCl3) δ 8.19 (t, J = 15.5 Hz, 1H), 8.08 (s, 1H), 7.69 (s, 1H), 7.47 (d, J = 7.4 Hz, 3H), 7.22 (d, J = 7.7 Hz, 2H), 5.11 (s, 2H). 13C NMR (75 MHz, CDCl3) δ 160.0, 148.9, 146.9, 134.5, 131.8, 129.7, 128.2, 127.0, 122.5, 120.1, 49.2. ESI-MS m/z: 350 [M + H]+.
- General procedure for the synthesis of compounds 22a,b. To a mixture of 20a,b (182 mg, 1 eq.) in EtOH (6 mL), heated at 55 °C, saturated NH4Cl (6 mL) was added. After that, iron powder (330 mg, 10 eq.) was added and the mixture was heated at 70 °C for 2 h. Solvent was removed, the mixture was diluted in EtOAc and filtered on Celite®, then pH was adjusted to 8 by adding saturated NaHCO3. The mixture was then partitioned between H2O and EtOAc. The organic layer was dried, filtered, and evaporated to afford the final product.
- 3-(4-Aminobenzyl)-6-chloroquinazolin-4(3H)-one (22a). White solid, Mp: 194 °C, 54% yield. 1H NMR (300 MHz, DMSO-d6) δ 8.53 (s, 1H), 8.07 (d, J = 2.4 Hz, 1H), 7.82 (dd, J = 8.7, 2.5 Hz, 1H), 7.68 (d, J = 8.7 Hz, 1H), 7.07 (d, J = 8.3 Hz, 2H), 6.48 (d, J = 8.3 Hz, 2H), 5.09 (s, 2H), 4.97 (s, 2H). 13C NMR (75 MHz, DMSO-d6) δ 159.5, 148.9, 148.8, 147.0, 131.8, 129.9, 129.6, 125.5, 123.7, 123.3, 114.1, 49.2. ESI-MS m/z: 286 [M + H]+. LC-MS Rt: 8.251 min, purity 99.4%, MS: 286.0.
- 3-(4-Aminobenzyl)-7-chloroquinazolin-4(3H)-one (22b). Yellow solid, Mp: 168 °C, 95% yield. 1H NMR (300 MHz, DMSO-d6) δ 8.55 (s, 1H), 8.12 (d, J = 8.6 Hz, 1H), 7.73 (d, J = 1.9 Hz, 1H), 7.53 (dt, J = 30.1, 15.1 Hz, 1H), 7.03 (t, J = 19.0 Hz, 2H), 6.48 (d, J = 8.4 Hz, 2H), 5.11 (s, 2H), 4.96 (s, 2H). 13C NMR (75 MHz, DMSO-d6) δ 159.8, 149.8, 149.2, 148.9, 148.7, 139.3, 129.7, 128.5, 127.9, 126.4, 123.4, 114.1, 48.9. ESI-MS m/z: 286 [M + H]+. LC-MS Rt: 8.233 min, purity 97.7%, MS: 286.0.
- Synthesis of 7-Chloro-3-((4′-(trifluoromethyl)-[1,1′-biphenyl]-4-yl)methyl)quinazolin-4(3H)-one (9). To a solution of 21 (100 mg, 1 eq.) in anhydrous EtOH (2.5 mL) and anhydrous 1,2-diethoxyethane (2.5 mL), Pd0 (1.3 mg, 0.04 eq.) was added. The mixture was refluxed and after 30 min, Na2CO3 (189 mg, 6 eq.) in H2O (1 mL) and (4-(trifluoromethyl)phenyl)boronic acid (80 mg, 1.4 eq.) in EtOH (0.5 mL) were added. The mixture was refluxed for 12 h. After this time, H2O was added (1 mL) and the mixture was extracted with EtOAc (10 mL). The aqueous layer was extracted twice with EtOAc (2 × 5 mL). The combined organic layers were dried, filtered, and evaporated under reduced pressure. The title compound 9 was purified through silica gel column chromatography, eluent petroleum ether/EtOAc (3:1). Yellow solid, Mp: 167 °C, 63% yield. 1H NMR (300 MHz, CDCl3) δ 8.30–7.92 (m, 2H), 7.90–7.06 (m, 10H), 5.17 (s, 2H). 13C NMR (75 MHz, CDCl3) δ 160.4, 148.9, 147.4, 147.3 (dd, J = 14.3, 3.6 Hz), 143.7, 140.6, 138.9, 135.4, 132.1, 129.6, 128.6, 128.3 (d, J = 2.0 Hz), 128.1 (d, J = 2.9 Hz), 127.9, 127.3, 127.1 (d, J = 2.7 Hz), 127.0, 125.9, 125.8 (d, J = 3.8 Hz), 125.7, 120.6, 49.5. ESI-MS m/z: 437 [M + Na]+. LC-MS Rt: 12.716 min, purity 95.0%, MS: 415.1.
- Synthesis of 3-(4-(1H-pyrrol-1-yl)benzyl)-7-chloroquinazolin-4(3H)-one (10). According to published procedures [30,31], a mixture of 4-chloropyridine hydrochloride (79.5 mg, 5 eq.) in 1,4-dioxane was heated at 150 °C for 30 min. Then, 22b (125 mg, 1 eq.) and 2,5-dimethoxy tetrahydrofuran (57 µL, 1 eq.) were added and the mixture was heated at 150 °C for 2 h. The reaction mixture was then filtered on Celite® and the product was purified through silica gel column chromatography, eluent petroleum ether/EtOAc (3:1). White solid, Mp: 195 °C, 92% yield. 1H NMR (300 MHz, CDCl3) δ 8.24 (d, J = 8.6 Hz, 1H), 8.14 (s, 1H), 7.70 (d, J = 1.7 Hz, 1H), 7.56–7.30 (m, 5H), 7.05 (d, J = 1.9 Hz, 2H), 6.33 (d, J = 1.9 Hz, 2H), 5.18 (s, 2H). 13C NMR (75 MHz, CDCl3) δ 160.4, 148.9, 147.3, 147.2, 140.7, 140.6, 132.6, 129.4, 128.3, 128.1, 127.1, 120.8, 120.6, 119.1, 110.7, 49.3. ESI-MS m/z: 336 [M + H]+. LC-MS Rt: 11.546 min, purity 97.5%, MS: 336.0.
- General procedure for the synthesis of compounds 11a–f. To a well-stirred solution of 22a,b (180 mg, 1 eq.) in MeOH (5 mL), the appropriate aldehyde (1 eq.) and AcOH (5 drops) were added. The mixture was heated at 50 °C for 12 h. After this time, the reaction was cooled to 25 °C and NaBH3CN (60 mg, 1.5 eq.) was added. The mixture was stirred for an additional 2 h. Then, pH was adjusted to 8 by adding a saturated NaHCO3 aqueous solution. The crude was partitioned between H2O and EtOAc; the aqueous layer was extracted with EtOAc (3 × 10 mL). The title compound was purified through silica gel column chromatography, eluent petroleum ether/EtOAc (3:1).
- 6-Chloro-3-(4-((furan-2-ylmethyl)amino)benzyl)quinazolin-4(3H)-one (11a). Yellow solid, Mp: 161 °C, 73% yield. 1H NMR (300 MHz, CDCl3) δ 8.26 (d, J = 1.8 Hz, 1H), 8.06 (s, 1H), 7.63 (q, J = 8.7 Hz, 2H), 7.33 (s, 1H), 7.19 (d, J = 8.4 Hz, 2H), 6.62 (d, J = 8.4 Hz, 2H), 6.30 (s, 1H), 6.20 (d, J = 2.8 Hz, 1H), 5.04 (s, 2H), 4.37–4.08 (m, 3H). 13C NMR (75 MHz, CDCl3) δ 160.0, 152.2, 147.7, 146.5, 142.0, 134.5, 133.0, 129.7, 129.1, 126.2, 124.3, 123.2, 113.2, 110.4, 110.4, 107.1, 49.5, 41.1. ESI-MS m/z: 366 [M + H]+, 388 [M + Na]+. LC-MS Rt: 11.122 min, purity 100%, MS: 365.9. HRMS ESI m/z [M + Na]+ calcd for C20H16ClN3O2Na 388.0823, found 388.0809.
- 7-Chloro-3-(4-((furan-2-ylmethyl)amino)benzyl)quinazolin-4(3H)-one (11b). White solid, Mp: 126 °C, 70% yield. 1H NMR (300 MHz, Acetone-d6) δ 8.41 (s, 1H), 8.19 (d, J = 8.6 Hz, 1H), 7.64 (d, J = 1.9 Hz, 1H), 7.50 (dd, J = 8.6, 2.0 Hz, 1H), 7.42 (s, 1H), 7.25 (d, J = 8.5 Hz, 3H), 6.69 (d, J = 8.5 Hz, 3H), 6.27 (dd, J = 17.7, 2.4 Hz, 2H), 5.47 (t, J = 5.3 Hz, 1H), 5.10 (s, 3H), 4.30 (d, J = 5.9 Hz, 3H). 13C NMR (75 MHz, Acetone-d6) δ 159.7, 153.3, 149.4, 148.7, 148.3, 141.7, 139.3, 129.4, 128.2, 127.1, 126.6, 124.5, 121.0, 112.6, 110.2, 106.6, 48.8, 40.3. ESI-MS m/z: 366 [M + H]+. LC-MS Rt: 11.154 min, purity 99.1%, MS: 366.1. HRMS ESI m/z [M + H]+ calcd for C20H17ClN3O2 366.1004, found 366.0993.
- 6-Chloro-3-(4-(((2,3-dihydrobenzofuran-5-yl)methyl)amino)benzyl)quinazolin-4(3H)-one (11c). White solid, Mp: 153 °C, 75% yield. 1H NMR (300 MHz, DMSO-d6) δ 8.53 (s, 1H), 8.05 (s, 1H), 7.82 (dd, J = 8.7, 2.5 Hz, 1H), 7.67 (d, J = 8.7 Hz, 1H), 7.23–7.05 (m, 3H), 7.00 (d, J = 7.9 Hz, 1H), 6.64 (d, J = 8.1 Hz, 1H), 6.49 (d, J = 8.5 Hz, 2H), 6.23 (t, J = 5.9 Hz, 1H), 4.97 (s, 2H), 4.44 (t, J = 8.7 Hz, 2H), 4.09 (d, J = 5.8 Hz, 2H), 3.08 (t, J = 8.6 Hz, 2H). 13C NMR (75 MHz, DMSO-d6) δ 159.6, 159.1, 148.8, 147.1, 134.9, 132.2, 131.9, 129.9, 129.6, 127.6, 127.1, 125.5, 124.4, 123.7, 123.3, 112.5, 108.9, 71.2, 49.2, 46.3, 29.6. ESI-MS m/z: 418 [M + H]+. LC-MS Rt: 11.383 min, purity 95.1%, MS: 418.0. HRMS ESI m/z [M + H]+ calcd for C24H21ClN3O2 418.1317, found 418.1302.
- 7-Chloro-3-(4-(((2,3-dihydrobenzofuran-5-yl)methyl)amino)benzyl)quinazolin-4(3H)-one (11d). White solid, 181 °C, 72% yield. 1H NMR (300 MHz, DMSO-d6) δ 8.54 (s, 1H), 8.11 (d, J = 8.6 Hz, 1H), 7.72 (d, J = 1.9 Hz, 1H), 7.55 (dd, J = 8.6, 2.0 Hz, 1H), 7.24–6.90 (m, 4H), 6.64 (d, J = 8.1 Hz, 1H), 6.50 (d, J = 8.5 Hz, 2H), 6.20 (t, J = 5.9 Hz, 1H), 4.96 (s, 2H), 4.44 (t, J = 8.7 Hz, 2H), 4.10 (d, J = 5.9 Hz, 2H), 3.09 (t, J = 8.7 Hz, 2H). 13C NMR (75 MHz, DMSO-d6) δ 159.9, 159.0, 149.8, 148.7, 132.2, 129.6, 128.9, 127.8, 127.2, 126.8, 124.7, 123.6, 120.7, 112.7, 108.8, 71.2, 49.3, 46.7, 29.5. ESI-MS m/z: 418 [M + H]+. LC-MS Rt: 11.418 min, purity 99.1%, MS: 418.0. HRMS ESI m/z [M + H]+ calcd forC24H21ClN3O2 418.1317, found 418.1304.
- 6-Chloro-3-(4-((ferrocene-2-ylmethyl)amino)benzyl)quinazolin-4(3H)-one (11e). Red solid, Mp: 112 °C, 70% yield. 1H NMR (300 MHz, CDCl3) δ 8.29 (d, J = 2.6 Hz, 1H), 8.09 (d, J = 6.1 Hz, 1H), 7.71–7.55 (m, 3H), 7.18 (dd, J = 17.4, 7.8 Hz, 2H), 6.61 (d, J = 8.5 Hz, 2H), 5.07 (s, 3H), 4.22 (s, 3H), 4.17 (s, 6H), 4.14 (s, 2H), 3.93 (s, 2H). 13C NMR (75 MHz, CDCl3) δ 160.1, 148.3, 146.5, 135.3, 134.6, 133.0, 129.8, 129.1, 126.2, 123.8, 123.3, 113.0, 86.0, 70.3, 69.5, 69.1, 68.3, 49.6, 43.2. ESI-MS m/z: 484 [M + H]+. LC-MS Rt: 12.287 min, purity 97.9%, MS: 483.0.
- 7-Chloro-3-(4-((ferrocene-2-ylmethyl)amino)benzyl)quinazolin-4(3H)-one (11f). Red solid, Mp: 155 °C, 75% yield. 1H NMR (300 MHz, CDCl3) δ 8.22 (d, J = 8.5 Hz, 1H), 8.07 (s, 1H), 7.66 (s, 1H), 7.40 (d, J = 8.5 Hz, 1H), 7.20 (d, J = 8.2 Hz, 2H), 6.60 (d, J = 8.2 Hz, 2H), 5.03 (s, 2H), 4.31–4.01 (m, 9H), 3.92 (s, 2H). 13C NMR (75 MHz, CDCl3) δ 160.5, 149.0, 148.3, 147.6, 140.2, 129.8, 128.3, 127.7, 126.9, 123.8, 120.7, 112.9, 86.0, 68.5, 68.1, 67.9, 49.5, 43.2. ESI-MS m/z: 484 [M + H]+. LC-MS Rt: 12.302 min, purity 99.4%, MS: 483.1.
3.2. Biological Methods
3.2.1. Bacterial Strains
3.2.2. “CF-like” Experimental Conditions
3.2.3. Drug Susceptibility Assays of Planktonic Cells: MIC and MBC Measurements
3.2.4. Biofilm Formation Assay
3.2.5. Pyocyanin and Pyoverdine Formation Assays
3.2.6. Cytotoxicity Evaluation
3.3. Statistical Analysis
3.4. Molecular Modeling
3.4.1. Protein and Ligand Preparation
3.4.2. Molecular Docking
3.4.3. Molecular Dynamics Simulation
4. Conclusions
Supplementary Materials
Author Contributions
Funding
Institutional Review Board Statement
Informed Consent Statement
Data Availability Statement
Conflicts of Interest
Sample Availability
References
- Grace, A.; Sahu, R.; Owen, D.R.; Dennis, V.A. Pseudomonas aeruginosa reference strains PAO1 and PA14: A genomic, phenotypic, and therapeutic review. Front. Microbiol. 2022, 13, 1023523. [Google Scholar] [CrossRef] [PubMed]
- Pang, Z.; Raudonis, R.; Glick, B.R.; Lin, T.J.; Cheng, Z. Antibiotic Resistance in Pseudomonas aeruginosa: Mechanisms and Alternative Therapeutic Strategies. Biotechnol. Adv. 2019, 37, 177–192. [Google Scholar] [CrossRef]
- Karruli, A.; Catalini, C.; D’amore, C.; Foglia, F.; Mari, F.; Harxhi, A.; Galdiero, M.; Durante-Mangoni, E. Evidence-Based Treatment of Pseudomonas aeruginosa Infections: A Critical Reappraisal. Antibiotics 2023, 12, 399. [Google Scholar] [CrossRef]
- Li, D.; Schneider-Futschik, E.K. Current and Emerging Inhaled Antibiotics for Chronic Pulmonary Pseudomonas aeruginosa and Staphylococcus aureus Infections in Cystic Fibrosis. Antibiotics 2023, 12, 484. [Google Scholar] [CrossRef]
- Reyne, N.; McCarron, A.; Cmielewski, P.; Parsons, D.; Donnelley, M. To bead or not to bead: A review of Pseudomonas aeruginosa lung infection models for cystic fibrosis. Front. Physiol. 2023, 14, 1104856. [Google Scholar] [CrossRef] [PubMed]
- Bonyadi, P.; Saleh, N.T.; Dehghani, M.; Yamini, M.; Amini, K. Prevalence of antibiotic resistance of Pseudomonas aeruginosa in cystic fibrosis infection: A systematic review and meta-analysis. Microb. Pathog. 2022, 165, 105461. [Google Scholar] [CrossRef]
- Singh, V.K.; Almpani, M.; Maura, D.; Kitao, T.; Ferrari, L.; Fontana, S.; Bergamini, G.; Calcaterra, E.; Pignaffo, C.; Negri, M.; et al. Tackling recalcitrant Pseudomonas aeruginosa infections in critical illness via anti-virulence monotherapy. Nat. Commun. 2022, 13, 5103. [Google Scholar] [CrossRef]
- Soukarieh, F.; Williams, P.; Stocks, M.J.; Cámara, M. Pseudomonas aeruginosa Quorum Sensing Systems as Drug Discovery Targets: Current Position and Future Perspectives. J. Med. Chem. 2018, 61, 10385–10402. [Google Scholar] [CrossRef]
- Jurado-Martín, I.; Sainz-Mejías, M.; McClean, S. Pseudomonas aeruginosa: An Audacious Pathogen with an Adaptable Arsenal of Virulence Factors. Int. J. Mol. Sci. 2021, 22, 3128. [Google Scholar] [CrossRef]
- Soheili, V.; Sadat Tajani, A.; Ghodsi, R.; Fazly Bazzaz, B.S. Anti-PqsR compounds as next-generation antibacterial agents against Pseudomonas aeruginosa: A review. Eur. J. Med. Chem. 2019, 172, 26–35. [Google Scholar] [CrossRef]
- Dubern, J.-F.; Diggle, S.P. Quorum sensing by 2-alkyl-4-quinolones in Pseudomonas aeruginosa and other bacterial species. Mol. Biosyst. 2008, 4, 882–888. [Google Scholar] [CrossRef]
- Déziel, E.; Gopalan, S.; Tampakaki, A.P.; Lépine, F.; Padfield, K.E.; Saucier, M.; Xiao, G.; Rahme, L.G. The contribution of MvfR to Pseudomonas aeruginosa pathogenesis and quorum sensing circuitry regulation: Multiple quorum sensing-regulated genes are modulated without affecting lasRI, rhlRI or the production of N-acyl- l-homoserine lactones. Mol. Microbiol. 2005, 55, 998–1014. [Google Scholar] [CrossRef]
- Liu, J.; Hou, J.-S.; Li, Y.-B.; Miao, Z.-Y.; Sun, P.-H.; Lin, J.; Chen, W.-M. Novel 2-Substituted 3-Hydroxy-1,6-Dimethylpyridin-4(1H)-Ones as Dual-Acting Biofilm Inhibitors of Pseudomonas aeruginosa. J. Med. Chem. 2020, 63, 10921–10945. [Google Scholar] [CrossRef]
- Liu, J.; Hou, J.-S.; Chang, Y.-Q.; Peng, L.-J.; Zhang, X.-Y.; Miao, Z.-Y.; Sun, P.-H.; Lin, J.; Chen, W.-M. New Pqs Quorum Sensing System Inhibitor as an Antibacterial Synergist against Multidrug-Resistant Pseudomonas aeruginosa. J. Med. Chem. 2022, 65, 688–709. [Google Scholar] [CrossRef]
- Hamed, M.M.; Abdelsamie, A.S.; Rox, K.; Schütz, C.; Kany, A.M.; Röhrig, T.; Schmelz, S.; Blankenfeldt, W.; Arce-Rodriguez, A.; Borrero-de Acuña, J.M.; et al. Towards Translation of PqsR Inverse Agonists: From In Vitro Efficacy Optimization to In Vivo Proof-of-Principle. Adv. Sci. 2023, 10, e2204443. [Google Scholar] [CrossRef]
- Ilangovan, A.; Fletcher, M.; Rampioni, G.; Pustelny, C.; Rumbaugh, K.; Heeb, S.; Cámara, M.; Truman, A.; Chhabra, S.R.; Emsley, J.; et al. Structural Basis for Native Agonist and Synthetic Inhibitor Recognition by the Pseudomonas aeruginosa Quorum Sensing Regulator PqsR (MvfR). PLOS Pathog. 2013, 9, e1003508. [Google Scholar] [CrossRef] [PubMed]
- Soukarieh, F.; Mashabi, A.; Richardson, W.; Oton, E.V.; Romero, M.; Roberston, S.N.; Grossman, S.; Sou, T.; Liu, R.; Halliday, N.; et al. Design and Evaluation of New Quinazolin-4(3H)-one Derived PqsR Antagonists as Quorum Sensing Quenchers in Pseudomonas aeruginosa. ACS Infect. Dis. 2021, 7, 2666–2685. [Google Scholar] [CrossRef] [PubMed]
- Grossman, S.; Soukarieh, F.; Richardson, W.; Liu, R.; Mashabi, A.; Emsley, J.; Williams, P.; Cámara, M.; Stocks, M.J. Novel quinazolinone inhibitors of the Pseudomonas aeruginosa quorum sensing transcriptional regulator PqsR. Eur. J. Med. Chem. 2020, 208, 112778. [Google Scholar] [CrossRef] [PubMed]
- Munir, R.; Javid, N.; Zia-Ur-Rehman, M.; Zaheer, M.; Huma, R.; Roohi, A.; Athar, M.M. Synthesis of Novel N-Acylhydrazones and Their C-N/N-N Bond Conformational Characterization by NMR Spectroscopy. Molecules 2021, 26, 4908. [Google Scholar] [CrossRef] [PubMed]
- Patorski, P.; Wyrzykiewicz, E.; Bartkowiak, G. Synthesis and Conformational Assignment of N-(E)-Stilbenyloxymethylenecarbonyl-Substituted Hydrazones of Acetone and o-(m- and p-) Chloro- (nitro-) benzaldehydes by Means of 1H and 13C NMR Spectroscopy. J. Spectrosc. 2013, 2013, 197475. [Google Scholar] [CrossRef]
- Zender, M.; Witzgall, F.; Kiefer, A.F.; Kirsch, B.; Maurer, C.K.; Kany, A.M.; Xu, N.; Schmelz, S.; Börger, C.; Blankenfeldt, W.; et al. Flexible Fragment Growing Boosts Potency of Quorum-Sensing Inhibitors against Pseudomonas aeruginosa Virulence. ChemMedChem 2020, 15, 188–194. [Google Scholar] [CrossRef] [PubMed]
- Soukarieh, F.; Liu, R.; Romero, M.; Roberston, S.N.; Richardson, W.; Lucanto, S.; Oton, E.V.; Qudus, N.R.; Mashabi, A.; Grossman, S.; et al. Hit Identification of New Potent PqsR Antagonists as Inhibitors of Quorum Sensing in Planktonic and Biofilm Grown Pseudomonas aeruginosa. Front. Chem. 2020, 8, 204. [Google Scholar] [CrossRef] [PubMed]
- Schütz, C.; Hodzic, A.; Hamed, M.; Abdelsamie, A.S.; Kany, A.M.; Bauer, M.; Röhrig, T.; Schmelz, S.; Scrima, A.; Blankenfeldt, W.; et al. Divergent synthesis and biological evaluation of 2-(trifluoromethyl)pyridines as virulence-attenuating inverse agonists targeting PqsR. Eur. J. Med. Chem. 2021, 226, 113797. [Google Scholar] [CrossRef] [PubMed]
- Kitao, T.; Lepine, F.; Babloudi, S.; Walte, F.; Steinbacher, S.; Maskos, K.; Blaesse, M.; Negri, M.; Pucci, M.; Zahler, B.; et al. Molecular Insights into Function and Competitive Inhibition of Pseudomonas aeruginosa Multiple Virulence Factor Regulator. mBio 2018, 9, e02158-17. [Google Scholar] [CrossRef]
- Murray, E.J.; Dubern, J.-F.; Chan, W.C.; Chhabra, S.R.; Williams, P. A Pseudomonas aeruginosa PQS quorum-sensing system inhibitor with anti-staphylococcal activity sensitizes polymicrobial biofilms to tobramycin. Cell Chem. Biol. 2022, 29, 1187–1199.e6. [Google Scholar] [CrossRef]
- Jiao, L.; Dong, Y.; Xin, X.; Wang, R.; Lv, H. Three-in-one: Achieving a robust and effective hydrogen-evolving hybrid material by integrating polyoxometalate, a photo-responsive metal–organic framework, and in situ generated Pt nanoparticles. J. Mater. Chem. A 2021, 9, 19725–19733. [Google Scholar] [CrossRef]
- Wang, C.-X.; Zhang, Z.-L.; Yin, Q.-K.; Tu, J.-L.; Wang, J.-E.; Xu, Y.-H.; Rao, Y.; Ou, T.-M.; Huang, S.-L.; Li, D.; et al. Design, Synthesis, and Evaluation of New Quinazolinone Derivatives that Inhibit Bloom Syndrome Protein (BLM) Helicase, Trigger DNA Damage at the Telomere Region, and Synergize with PARP Inhibitors. J. Med. Chem. 2020, 63, 9752–9772. [Google Scholar] [CrossRef]
- Laeva, A.A.; Nosova, E.V.; Lipunova, G.N.; Golovchenko, A.V.; Adonin, N.Y.; Parmon, V.N.; Charushin, V.N. Fluorine-containing heterocycles: XIX. Synthesis of fluorine-containing quinazolin-4-ones from 3,1-benzoxazin-4-ones. Russ. J. Org. Chem. 2009, 45, 913–920. [Google Scholar] [CrossRef]
- Pedgaonkar, G.S.; Sridevi, J.P.; Jeankumar, V.U.; Saxena, S.; Devi, P.B.; Renuka, J.; Yogeeswari, P.; Sriram, D. Development of 2-(4-oxoquinazolin-3(4H)-yl)acetamide derivatives as novel enoyl-acyl carrier protein reductase (InhA) inhibitors for the treatment of tuberculosis. Eur. J. Med. Chem. 2014, 86, 613–627. [Google Scholar] [CrossRef]
- Carullo, G.; Mazzotta, S.; Giordano, F.; Aiello, F. Green Synthesis of New Pyrrolo [1,2-a] quinoxalines as Antiproliferative Agents in GPER-expressing Breast Cancer Cells. J. Chem. 2021, 2021, 5596816. [Google Scholar] [CrossRef]
- Aiello, F.; Carullo, G.; Giordano, F.; Spina, E.; Nigro, A.; Garofalo, A.; Tassini, S.; Costantino, G.; Vincetti, P.; Bruno, A.; et al. Identification of Breast Cancer Inhibitors Specific for G Protein-Coupled Estrogen Receptor (GPER)-Expressing Cells. ChemMedChem 2017, 12, 1279–1285. [Google Scholar] [CrossRef] [PubMed]
- Bragonzi, A.; Wiehlmann, L.; Klockgether, J.; Cramer, N.; Worlitzsch, D.; Döring, G.; Tümmler, B. Sequence diversity of the mucABD locus in Pseudomonas aeruginosa isolates from patients with cystic fibrosis. Microbiology 2006, 152, 3261–3269. [Google Scholar] [CrossRef] [PubMed]
- Hassett, D.J.; Cuppoletti, J.; Trapnell, B.; Lymar, S.V.; Rowe, J.J.; Yoon, S.S.; Hilliard, G.M.; Parvatiyar, K.; Kamani, M.C.; Wozniak, D.J.; et al. Anaerobic metabolism and quorum sensing by Pseudomonas aeruginosa biofilms in chronically infected cystic fibrosis airways: Rethinking antibiotic treatment strategies and drug targets. Adv. Drug Deliv. Rev. 2002, 54, 1425–1443. [Google Scholar] [CrossRef] [PubMed]
- Worlitzsch, D.; Tarran, R.; Ulrich, M.; Schwab, U.; Cekici, A.; Meyer, K.C.; Birrer, P.; Bellon, G.; Berger, J.; Weiss, T.; et al. Effects of reduced mucus oxygen concentration in airway Pseudomonas infections of cystic fibrosis patients. J. Clin. Investig. 2002, 109, 317–325. [Google Scholar] [CrossRef] [PubMed]
- Sriramulu, D.D.; Lünsdorf, H.; Lam, J.S.; Römling, U. Microcolony formation: A novel biofilm model of Pseudomonas aeruginosa for the cystic fibrosis lung. J. Med. Microbiol. 2005, 54, 667–676. [Google Scholar] [CrossRef] [PubMed]
- CLSI M100-ED29; Performance Standards for Antimicrobial Susceptibility Testing. Clinical Laboratory Standards Institute: Wayne, PA, USA, 2019; ISBN 9781684400324.
- Gradwohl’s Clinical Laboratory Methods and Diagnosis|WorldCat.Org. Available online: https://www.worldcat.org/it/title/gradwohls-clinical-laboratory-methods-and-diagnosis/oclc/36904373 (accessed on 18 April 2023).
- Essar, D.W.; Eberly, L.; Hadero, A.; Crawford, I.P. Identification and characterization of genes for a second anthranilate synthase in Pseudomonas aeruginosa: Interchangeability of the two anthranilate synthases and evolutionary implications. J. Bacteriol. 1990, 172, 884–900. [Google Scholar] [CrossRef]
- Di Bonaventura, G.; Lupetti, V.; De Fabritiis, S.; Piccirilli, A.; Porreca, A.; Di Nicola, M.; Pompilio, A. Giving Drugs a Second Chance: Antibacterial and Antibiofilm Effects of Ciclopirox and Ribavirin against Cystic Fibrosis Pseudomonas aeruginosa Strains. Int. J. Mol. Sci. 2022, 23, 5029. [Google Scholar] [CrossRef]
- Carullo, G.; Bottoni, L.; Pasquini, S.; Papa, A.; Contri, C.; Brogi, S.; Calderone, V.; Orlandini, M.; Gemma, S.; Varani, K.; et al. Synthesis of Unsymmetrical Squaramides as Allosteric GSK-3β Inhibitors Promoting β-Catenin-Mediated Transcription of TCF/LEF in Retinal Pigment Epithelial Cells. ChemMedChem 2022, 17, e202200456. [Google Scholar] [CrossRef]
- Relitti, N.; Saraswati, A.P.; Carullo, G.; Papa, A.; Monti, A.; Benedetti, R.; Passaro, E.; Brogi, S.; Calderone, V.; Butini, S.; et al. Design and Synthesis of Oligopeptidic Parvulin Inhibitors. ChemMedChem 2022, 17, e202200050. [Google Scholar] [CrossRef]
- Federico, S.; Khan, T.; Fontana, A.; Brogi, S.; Benedetti, R.; Sarno, F.; Carullo, G.; Pezzotta, A.; Saraswati, A.P.; Passaro, E.; et al. Azetidin-2-one-based small molecules as dual hHDAC6/HDAC8 inhibitors: Investigation of their mechanism of action and impact of dual inhibition profile on cell viability. Eur. J. Med. Chem. 2022, 238, 114409. [Google Scholar] [CrossRef]
- Jorgensen, W.L.; Maxwell, D.S.; Tirado-Rives, J. Development and Testing of the OPLS All-Atom Force Field on Conformational Energetics and Properties of Organic Liquids. J. Am. Chem. Soc. 1996, 118, 11225–11236. [Google Scholar] [CrossRef]
- Friesner, R.A.; Banks, J.L.; Murphy, R.B.; Halgren, T.A.; Klicic, J.J.; Mainz, D.T.; Repasky, M.P.; Knoll, E.H.; Shelley, M.; Perry, J.K.; et al. Glide: A New Approach for Rapid, Accurate Docking and Scoring. 1. Method and Assessment of Docking Accuracy. J. Med. Chem. 2004, 47, 1739–1749. [Google Scholar] [CrossRef]
- Sirous, H.; Chemi, G.; Gemma, S.; Butini, S.; Debyser, Z.; Christ, F.; Saghaie, L.; Brogi, S.; Fassihi, A.; Campiani, G.; et al. Identification of Novel 3-Hydroxy-pyran-4-One Derivatives as Potent HIV-1 Integrase Inhibitors Using in silico Structure-Based Combinatorial Library Design Approach. Front. Chem. 2019, 7, 574. [Google Scholar] [CrossRef]
- Jorgensen, W.L.; Chandrasekhar, J.; Madura, J.D.; Impey, R.W.; Klein, M.L. Comparison of simple potential functions for simulating liquid water. J. Chem. Phys. 1983, 79, 926–935. [Google Scholar] [CrossRef]
- Hoover, W.G. Canonical dynamics: Equilibrium phase-space distributions. Phys. Rev. A 1985, 31, 1695–1697. [Google Scholar] [CrossRef] [PubMed]
- Essmann, U.; Perera, L.; Berkowitz, M.L.; Darden, T.; Lee, H.; Pedersen, L.G. A smooth particle mesh Ewald method. J. Chem. Phys. 1995, 103, 8577–8593. [Google Scholar] [CrossRef]












Disclaimer/Publisher’s Note: The statements, opinions and data contained in all publications are solely those of the individual author(s) and contributor(s) and not of MDPI and/or the editor(s). MDPI and/or the editor(s) disclaim responsibility for any injury to people or property resulting from any ideas, methods, instructions or products referred to in the content. |
© 2023 by the authors. Licensee MDPI, Basel, Switzerland. This article is an open access article distributed under the terms and conditions of the Creative Commons Attribution (CC BY) license (https://creativecommons.org/licenses/by/4.0/).
Share and Cite
Carullo, G.; Di Bonaventura, G.; Rossi, S.; Lupetti, V.; Tudino, V.; Brogi, S.; Butini, S.; Campiani, G.; Gemma, S.; Pompilio, A. Development of Quinazolinone Derivatives as Modulators of Virulence Factors of Pseudomonas aeruginosa Cystic Fibrosis Strains. Molecules 2023, 28, 6535. https://doi.org/10.3390/molecules28186535
Carullo G, Di Bonaventura G, Rossi S, Lupetti V, Tudino V, Brogi S, Butini S, Campiani G, Gemma S, Pompilio A. Development of Quinazolinone Derivatives as Modulators of Virulence Factors of Pseudomonas aeruginosa Cystic Fibrosis Strains. Molecules. 2023; 28(18):6535. https://doi.org/10.3390/molecules28186535
Chicago/Turabian StyleCarullo, Gabriele, Giovanni Di Bonaventura, Sara Rossi, Veronica Lupetti, Valeria Tudino, Simone Brogi, Stefania Butini, Giuseppe Campiani, Sandra Gemma, and Arianna Pompilio. 2023. "Development of Quinazolinone Derivatives as Modulators of Virulence Factors of Pseudomonas aeruginosa Cystic Fibrosis Strains" Molecules 28, no. 18: 6535. https://doi.org/10.3390/molecules28186535
APA StyleCarullo, G., Di Bonaventura, G., Rossi, S., Lupetti, V., Tudino, V., Brogi, S., Butini, S., Campiani, G., Gemma, S., & Pompilio, A. (2023). Development of Quinazolinone Derivatives as Modulators of Virulence Factors of Pseudomonas aeruginosa Cystic Fibrosis Strains. Molecules, 28(18), 6535. https://doi.org/10.3390/molecules28186535

