Phase Diagram and Quantum Entanglement Properties of a Pentamer S = 1/2 Heisenberg Spin Cluster
Abstract
1. Introduction
2. Theoretical Model and Its Thermodynamics
3. Results and Discussion
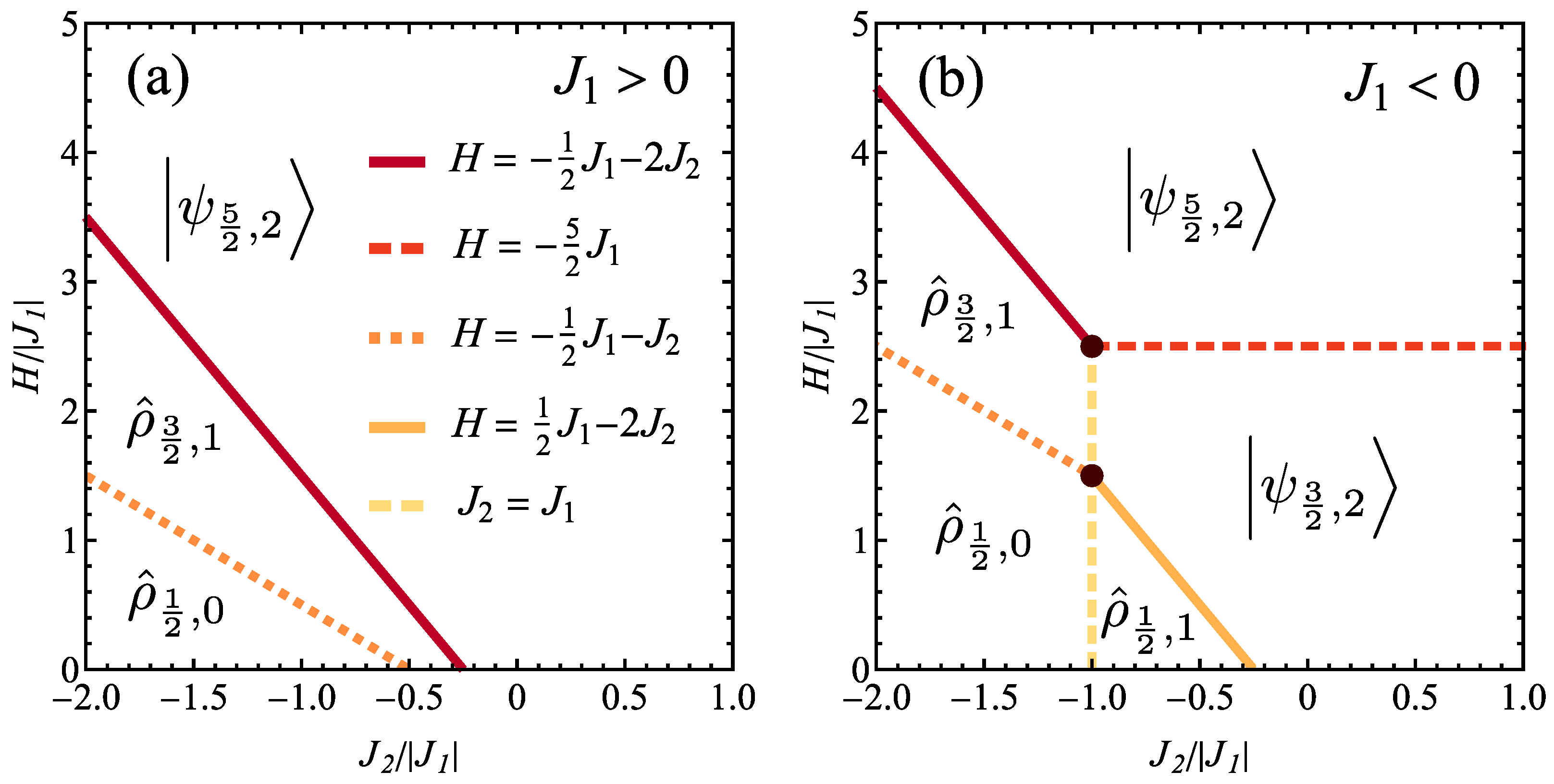
3.1. Ground-State Phase Diagram
3.1.1. Ferromagnetic
3.1.2. Antiferromagnetic
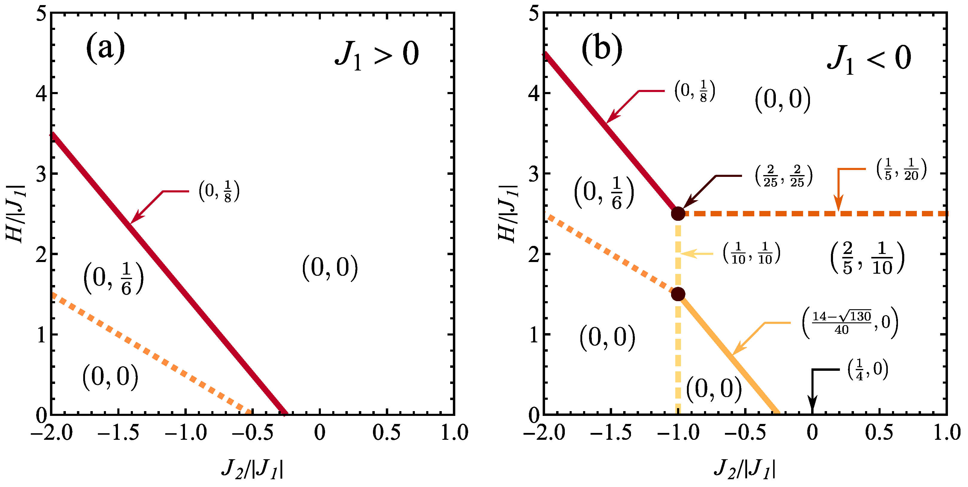
3.2. Ground-State Entanglement
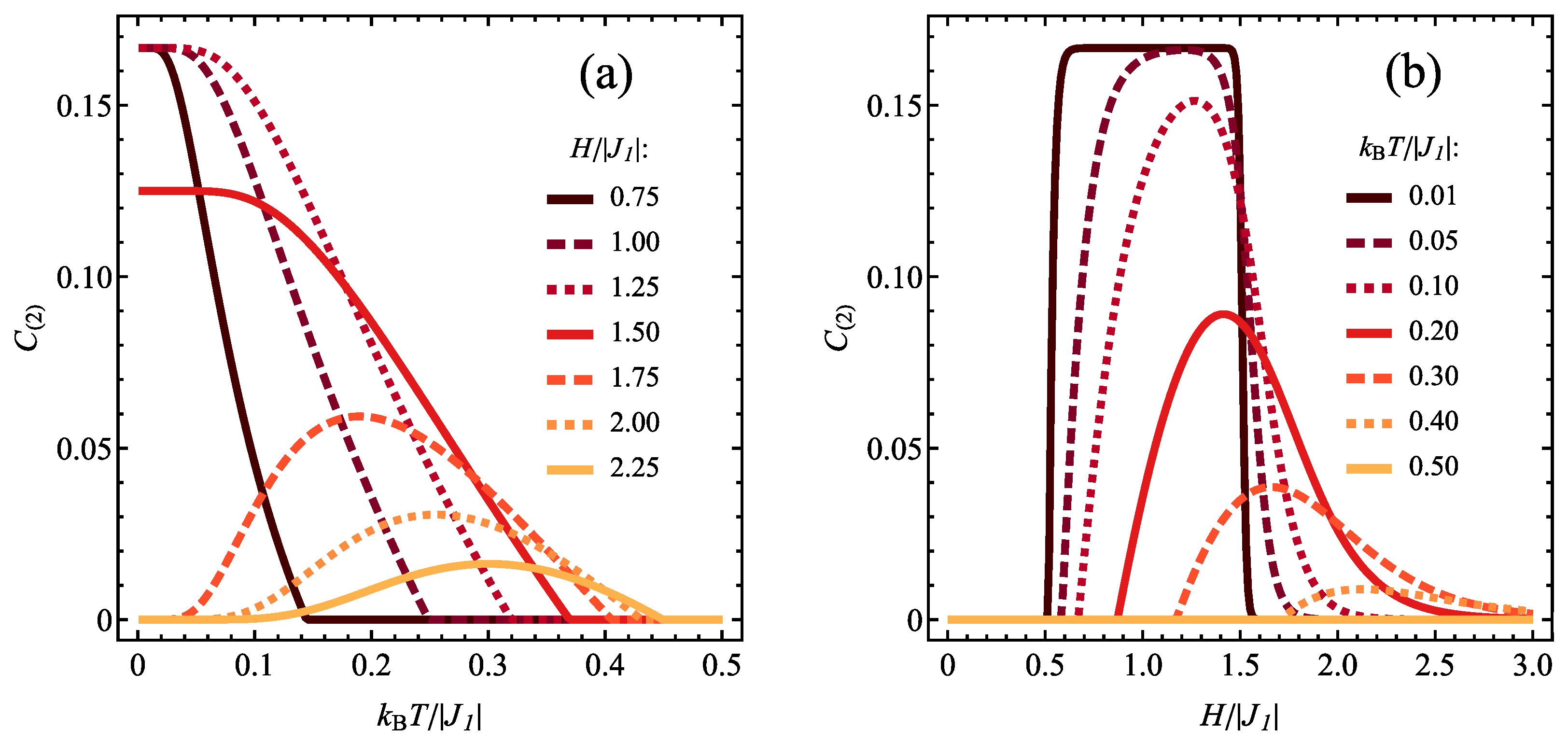
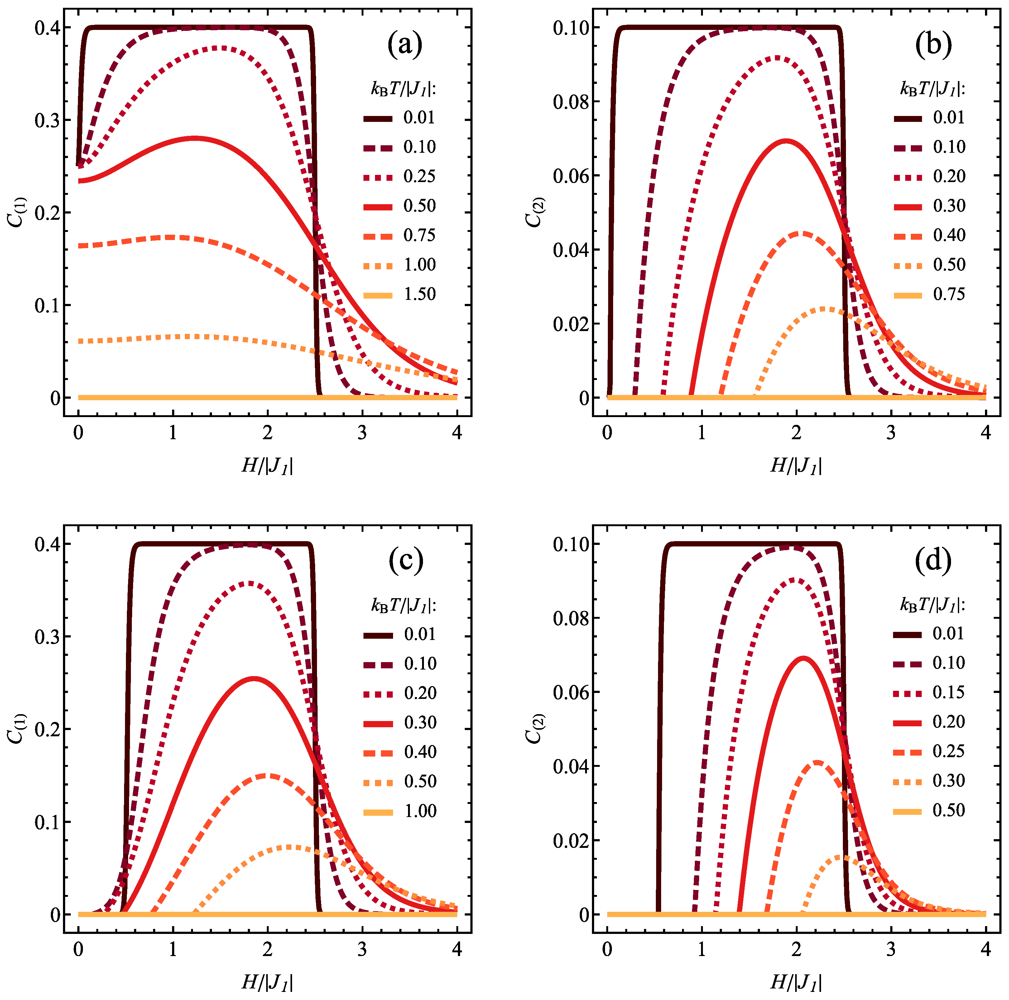
3.3. Finite Temperature Entanglement
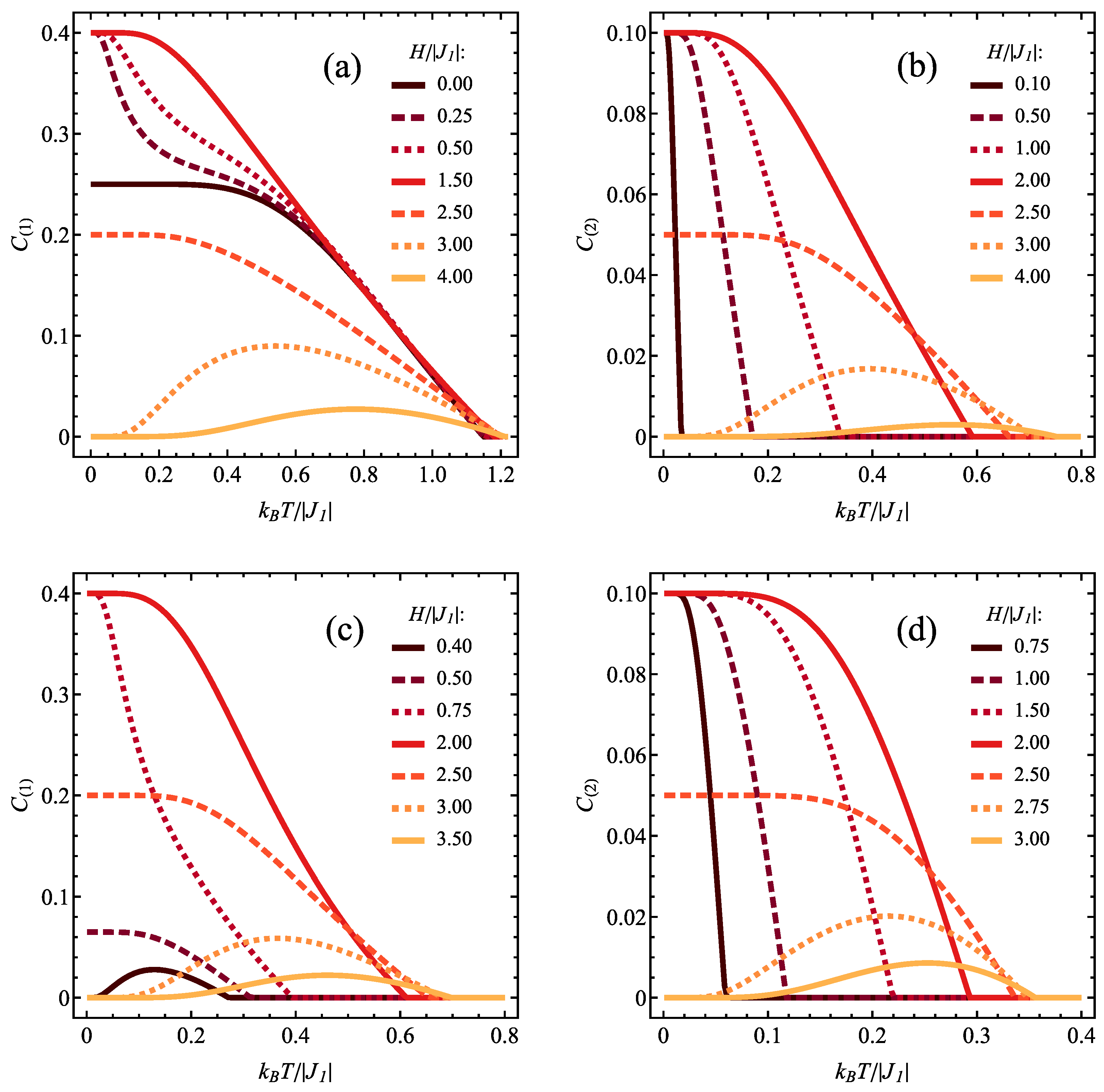
3.3.1. Ferromagnetic
3.3.2. Antiferromagnetic
4. Conclusions
Funding
Data Availability Statement
Conflicts of Interest
Sample Availability
Appendix A. Complete Set of the Eigenvalues and Eigenstates of the Cluster Hamiltonian
| Eigenenergy | Eigenstate | |
|---|---|---|
| Eigenenergy | Eigenstate | |
|---|---|---|
References
- Gatteschi, D. Molecular Magnetism: A Basis for New Materials. Adv. Mater. 1994, 6, 635–645. [Google Scholar] [CrossRef]
- Gatteschi, D.; Bogani, L.; Cornia, A.; Mannini, M.; Sorace, L.; Sessoli, R. Molecular Magnetism, Status and Perspectives. Solid State Sci. 2008, 10, 1701–1709. [Google Scholar] [CrossRef]
- Dei, A.; Gatteschi, D. Molecular (Nano) Magnets as Test Grounds of Quantum Mechanics. Angew. Chem. Int. Ed. 2011, 50, 11852–11858. [Google Scholar] [CrossRef] [PubMed]
- Moreno-Pineda, E.; Wernsdorfer, W. Measuring Molecular Magnets for Quantum Technologies. Nat. Rev. Phys. 2021, 3, 645–659. [Google Scholar] [CrossRef]
- Evangelisti, M.; Brechin, E.K. Recipes for Enhanced Molecular Cooling. Dalton Trans. 2010, 39, 4672–4676. [Google Scholar] [CrossRef] [PubMed]
- Konieczny, P.; Sas, W.; Czernia, D.; Pacanowska, A.; Fitta, M.; Pełka, R. Magnetic Cooling: A Molecular Perspective. Dalton Trans. 2022, 51, 12762–12780. [Google Scholar] [CrossRef]
- Coronado, E. Molecular Magnetism: From Chemical Design to Spin Control in Molecules, Materials and Devices. Nat. Rev. Mater. 2020, 5, 87–104. [Google Scholar] [CrossRef]
- Chilton, N.F. Molecular Magnetism. Annu. Rev. Mater. Res. 2022, 52, 79–101. [Google Scholar] [CrossRef]
- Cruz, C. Quantum Entanglement in Low-Dimensional Metal Complexes: An Outlook. Phys. B Condens. Matter 2023, 653, 414485. [Google Scholar] [CrossRef]
- Moneo-Corcuera, A.; Nieto-Castro, D.; Cirera, J.; Gómez, V.; Sanjosé-Orduna, J.; Casadevall, C.; Molnár, G.; Bousseksou, A.; Parella, T.; Martínez-Agudo, J.M.; et al. Molecular Memory near Room Temperature in an Iron Polyanionic Complex. Chem 2023, 9, 377–393. [Google Scholar] [CrossRef]
- Leuenberger, M.N.; Loss, D. Quantum Computing in Molecular Magnets. Nature 2001, 410, 789–793. [Google Scholar] [CrossRef]
- Stepanenko, D.; Trif, M.; Loss, D. Quantum Computing with Molecular Magnets. Inorganica Chim. Acta 2008, 361, 3740–3745. [Google Scholar] [CrossRef]
- Ghirri, A.; Candini, A.; Affronte, M. Molecular Spins in the Context of Quantum Technologies. Magnetochemistry 2017, 3, 12. [Google Scholar] [CrossRef]
- Gaita-Ariño, A.; Luis, F.; Hill, S.; Coronado, E. Molecular Spins for Quantum Computation. Nat. Chem. 2019, 11, 301–309. [Google Scholar] [CrossRef] [PubMed]
- Wasielewski, M.R.; Forbes, M.D.E.; Frank, N.L.; Kowalski, K.; Scholes, G.D.; Yuen-Zhou, J.; Baldo, M.A.; Freedman, D.E.; Goldsmith, R.H.; Goodson, T.; et al. Exploiting Chemistry and Molecular Systems for Quantum Information Science. Nat. Rev. Chem. 2020, 4, 490–504. [Google Scholar] [CrossRef]
- Galindo, A.; Martín-Delgado, M.A. Information and Computation: Classical and Quantum Aspects. Rev. Mod. Phys. 2002, 74, 347–423. [Google Scholar] [CrossRef]
- Amico, L.; Fazio, R.; Osterloh, A.; Vedral, V. Entanglement in Many-Body Systems. Rev. Mod. Phys. 2008, 80, 517–576. [Google Scholar] [CrossRef]
- Horodecki, R.; Horodecki, P.; Horodecki, M.; Horodecki, K. Quantum Entanglement. Rev. Mod. Phys. 2009, 81, 865–942. [Google Scholar] [CrossRef]
- Latorre, J.I.; Riera, A. A Short Review on Entanglement in Quantum Spin Systems. J. Phys. A Math. Theor. 2009, 42, 504002. [Google Scholar] [CrossRef]
- Laflorencie, N. Quantum Entanglement in Condensed Matter Systems. Phys. Rep. 2016, 646, 1–59. [Google Scholar] [CrossRef]
- Bose, I.; Tribedi, A. Thermal Entanglement Properties of Small Spin Clusters. Phys. Rev. A 2005, 72, 022314. [Google Scholar] [CrossRef]
- Tribedi, A.; Bose, I. Entangled Spin Clusters: Some Special Features. Phys. Rev. A 2006, 74, 012314. [Google Scholar] [CrossRef]
- Souza, A.M.; Reis, M.S.; Soares-Pinto, D.O.; Oliveira, I.S.; Sarthour, R.S. Experimental Determination of Thermal Entanglement in Spin Clusters Using Magnetic Susceptibility Measurements. Phys. Rev. B 2008, 77, 104402. [Google Scholar] [CrossRef]
- Pal, A.K.; Bose, I. Quantum Discord in the Ground and Thermal States of Spin Clusters. J. Phys. B At. Mol. Opt. Phys. 2011, 44, 045101. [Google Scholar] [CrossRef]
- Arnesen, M.C.; Bose, S.; Vedral, V. Natural Thermal and Magnetic Entanglement in the 1D Heisenberg Model. Phys. Rev. Lett. 2001, 87, 017901. [Google Scholar] [CrossRef] [PubMed]
- Lagmago Kamta, G.; Starace, A.F. Anisotropy and Magnetic Field Effects on the Entanglement of a Two Qubit Heisenberg XY Chain. Phys. Rev. Lett. 2002, 88, 107901. [Google Scholar] [CrossRef]
- Guo-Feng, Z.; Jiu-Qing, L.; Qi-Wei, Y. Thermal Entanglement in Spin-Dimer V4+ with a Strong Magnetic Field. Chin. Phys. Lett. 2003, 20, 452. [Google Scholar] [CrossRef]
- Terzis, A.F.; Paspalakis, E. Entanglement in a Two-Qubit Ising Model under a Site-Dependent External Magnetic Field. Phys. Lett. A 2004, 333, 438–445. [Google Scholar] [CrossRef]
- Soares-Pinto, D.O.; Souza, A.M.; Sarthour, R.S.; Oliveira, I.S.; Reis, M.S.; Brandão, P.; Rocha, J.; dos Santos, A.M. Entanglement Temperature in Molecular Magnets Composed of S-spin Dimers. Europhys. Lett. 2009, 87, 40008. [Google Scholar] [CrossRef]
- Del Cima, O.M.; Franco, D.H.T.; Silva, M.M. Magnetic Shielding of Quantum Entanglement States. Quantum Stud. Math. Found. 2019, 6, 141–150. [Google Scholar] [CrossRef]
- Čenčariková, H.; Strečka, J. Unconventional Strengthening of the Bipartite Entanglement of a Mixed Spin-(1/2,1) Heisenberg Dimer Achieved through Zeeman Splitting. Phys. Rev. B 2020, 102, 184419. [Google Scholar] [CrossRef]
- Ghannadan, A.; Strečka, J. Magnetic-Field-Orientation Dependent Thermal Entanglement of a Spin-1 Heisenberg Dimer: The Case Study of Dinuclear Nickel Complex with an Uniaxial Single-Ion Anisotropy. Molecules 2021, 26, 3420. [Google Scholar] [CrossRef] [PubMed]
- Vargová, H.; Strečka, J. Unconventional Thermal and Magnetic-Field-Driven Changes of a Bipartite Entanglement of a Mixed Spin-(1/2,S) Heisenberg Dimer with an Uniaxial Single-Ion Anisotropy. Nanomaterials 2021, 11, 3096. [Google Scholar] [CrossRef]
- Vargová, H.; Strečka, J. Conventional and Inverse Magnetocaloric and Electrocaloric Effects of a Mixed Spin-(1/2, 1) Heisenberg Dimer. Eur. Phys. J. Plus 2022, 137, 490. [Google Scholar] [CrossRef]
- Naveena, P.; Bhuvaneswari, S.; Radha, R.; Muthuganesan, R. Quantum Correlations in a Mixed Spin-(1/2,1) Heisenberg Dimer. J. Magn. Magn. Mater. 2022, 563, 169863. [Google Scholar] [CrossRef]
- Oumennana, M.; Mansour, M. Quantum Coherence versus Quantum-Memory-Assisted Entropic Uncertainty Relation in a Mixed Spin-(1/2,1) Heisenberg Dimer. Opt. Quantum Electron. 2023, 55, 594. [Google Scholar] [CrossRef]
- Wang, X.; Fu, H.; Solomon, A.I. Thermal Entanglement in Three-Qubit Heisenberg Models. J. Phys. A Math. Gen. 2001, 34, 11307. [Google Scholar] [CrossRef]
- Li, C.X.; Wang, C.Z.; Lin, X.M.; Guo, G.C. Thermal Entanglement versus Mixture in a Spin Chain: Generation of Maximally Entangled Mixed States. Phys. A Stat. Mech. Its Appl. 2006, 370, 430–440. [Google Scholar] [CrossRef]
- Liu, R.; Liang, M.L.; Yuan, B. Entanglement in the Three-Qubit Heisenberg Model with next Nearest Neighbor Interaction and a Nonuniform Magnetic Field. Eur. Phys. J. D 2007, 41, 571–578. [Google Scholar] [CrossRef]
- Pal, A.K.; Bose, I. Entanglement in a Molecular Three-Qubit System. J. Phys. Condens. Matter 2009, 22, 016004. [Google Scholar] [CrossRef][Green Version]
- Cima, O.M.D.; Franco, D.H.T.; da Silva, S.L.L. Quantum Entanglement in Trimer Spin-1/2 Heisenberg Chains with Antiferromagnetic Coupling. Quantum Stud. Math. Found. 2016, 3, 57–63. [Google Scholar] [CrossRef]
- Milivojević, M. Maximal Thermal Entanglement Using Three-Spin Interactions. Quantum Inf. Process. 2019, 18, 48. [Google Scholar] [CrossRef]
- Benabdallah, F.; Anouz, K.E.; Strecka, J.; Daoud, M. Thermal Non-Classical Correlation via Skew Information, Quantum Fisher Information, and Quantum Teleportation of a Spin-1/2 Heisenberg Trimer System. Eur. Phys. J. Plus 2022, 137, 1096. [Google Scholar] [CrossRef]
- Wu, K.D.; Zhou, B.; Cao, W.Q. Thermal Entanglement in a Four-Qubit Heisenberg Spin Model with External Magnetic Fields. Phys. Lett. A 2007, 362, 381–389. [Google Scholar] [CrossRef]
- Irons, H.R.; Quintanilla, J.; Perring, T.G.; Amico, L.; Aeppli, G. Control of Entanglement Transitions in Quantum Spin Clusters. Phys. Rev. B 2017, 96, 224408. [Google Scholar] [CrossRef]
- Karľová, K.; Strečka, J. Interplay of Bipartite Entanglement between Two Geometrically Inequivalent Spin Pairs of a Spin-1/2 Heisenberg Distorted Tetrahedron. Acta Phys. Pol. A 2020, 137, 595–597. [Google Scholar] [CrossRef]
- Karlóvá, K.; Strečka, J. Distribution of Bipartite and Tripartite Entanglement within a Spin-1/2 Heisenberg Star in a Magnetic Field. Molecules 2023, 28, 4037. [Google Scholar] [CrossRef] [PubMed]
- Szałowski, K. Two-Spin and Multi-Spin Quantum Entanglement in V12 Polyoxovanadate Molecular Nanomagnet. J. Magn. Magn. Mater. 2022, 546, 168782. [Google Scholar] [CrossRef]
- Zad, H.A.; Zoshki, A.; Ananikian, N.; Jaščur, M. Robust Quantum Entanglement and Teleportation in the Tetrapartite Spin-1/2 Square Clusters: Theoretical Study on the Effect of a Cyclic Four-Spin Exchange. J. Magn. Magn. Mater. 2022, 559, 169533. [Google Scholar] [CrossRef]
- Ghannadan, A.; Karl’ová, K.; Strečka, J. On the Concurrent Bipartite Entanglement of a Spin-1 Heisenberg Diamond Cluster Developed for Tetranuclear Nickel Complexes. Magnetochemistry 2022, 8, 156. [Google Scholar] [CrossRef]
- Kuzmak, A.R. Entanglement of the Ising–Heisenberg Diamond Spin- Cluster in Evolution. J. Phys. A Math. Theor. 2023, 56, 165302. [Google Scholar] [CrossRef]
- Vargová, H.; Strečka, J. Distribution of a Bipartite Entanglement in a Mixed Spin-(1/2,1) Heisenberg Tetramer. Phys. A Stat. Mech. Its Appl. 2023, 625, 129046. [Google Scholar] [CrossRef]
- Chiesa, A.; Petiziol, F.; Chizzini, M.; Santini, P.; Carretta, S. Theoretical Design of Optimal Molecular Qudits for Quantum Error Correction. J. Phys. Chem. Lett. 2022, 13, 6468–6474. [Google Scholar] [CrossRef] [PubMed]
- Chizzini, M.; Crippa, L.; Chiesa, A.; Tacchino, F.; Petiziol, F.; Tavernelli, I.; Santini, P.; Carretta, S. Molecular Nanomagnets with Competing Interactions as Optimal Units for Qudit-Based Quantum Computation. Phys. Rev. Res. 2022, 4, 043135. [Google Scholar] [CrossRef]
- Rycerz, A. Pairwise Entanglement and the Mott Transition for Correlated Electrons in Nanochains. New J. Phys. 2017, 19, 053025. [Google Scholar] [CrossRef]
- Sousa, H.S.; Pereira, M.S.S.; de Oliveira, I.N.; Strečka, J.; Lyra, M.L. Phase Diagram and Re-Entrant Fermionic Entanglement in a Hybrid Ising-Hubbard Ladder. Phys. Rev. E 2018, 97, 052115. [Google Scholar] [CrossRef]
- Souza, F.; Almeida, G.M.A.; Lyra, M.L.; Pereira, M.S.S. Interplay between Charge and Spin Thermal Entanglement in Hubbard Dimers. Phys. Rev. A 2020, 102, 032421. [Google Scholar] [CrossRef]
- Lo Schiavo, M.; Cipriani, F.; De Riso, G.; Romano, A.; Noce, C. Quantum entanglement in an extended Hubbard model as evaluated from a spin concurrence measure. J. Magn. Magn. Mater. 2023, 584, 171066. [Google Scholar] [CrossRef]
- Ansbro, S.; Moreno-Pineda, E.; Yu, W.; Ollivier, J.; Mutka, H.; Ruben, M.; Chiesa, A. Magnetic Properties of Transition Metal Dimers Probed by Inelastic Neutron Scattering. Dalton Trans. 2018, 47, 11953–11959. [Google Scholar] [CrossRef]
- Garlatti, E.; Guidi, T.; Ansbro, S.; Santini, P.; Amoretti, G.; Ollivier, J.; Mutka, H.; Timco, G.; Vitorica-Yrezabal, I.J.; Whitehead, G.F.S.; et al. Portraying Entanglement between Molecular Qubits with Four-Dimensional Inelastic Neutron Scattering. Nat. Commun. 2017, 8, 14543. [Google Scholar] [CrossRef]
- Chakraborty, T.; Singh, H.; Mitra, C. Experimental Evidences of Singlet to Triplet Transition in a Spin Cluster Compound. J. Magn. Magn. Mater. 2015, 396, 247–253. [Google Scholar] [CrossRef]
- Das, D.; Singh, H.; Chakraborty, T.; Gopal, R.K.; Mitra, C. Experimental Detection of Quantum Information Sharing and Its Quantification in Quantum Spin Systems. New J. Phys. 2013, 15, 013047. [Google Scholar] [CrossRef]
- Reis, M.S.; Soriano, S.; dos Santos, A.M.; Sales, B.C.; Soares-Pinto, D.O.; Brandão, P. Evidence for Entanglement at High Temperatures in an Engineered Molecular Magnet. Europhys. Lett. 2012, 100, 50001. [Google Scholar] [CrossRef][Green Version]
- Sahling, S.; Remenyi, G.; Paulsen, C.; Monceau, P.; Saligrama, V.; Marin, C.; Revcolevschi, A.; Regnault, L.P.; Raymond, S.; Lorenzo, J.E. Experimental Realization of Long-Distance Entanglement between Spins in Antiferromagnetic Quantum Spin Chains. Nat. Phys. 2015, 11, 255–260. [Google Scholar] [CrossRef]
- Laurell, P.; Scheie, A.; Mukherjee, C.J.; Koza, M.M.; Enderle, M.; Tylczynski, Z.; Okamoto, S.; Coldea, R.; Tennant, D.A.; Alvarez, G. Quantifying and Controlling Entanglement in the Quantum Magnet Cs2CoCl4. Phys. Rev. Lett. 2021, 127, 037201. [Google Scholar] [CrossRef]
- Scheie, A.; Laurell, P.; Samarakoon, A.M.; Lake, B.; Nagler, S.E.; Granroth, G.E.; Okamoto, S.; Alvarez, G.; Tennant, D.A. Witnessing Entanglement in Quantum Magnets Using Neutron Scattering. Phys. Rev. B 2021, 103, 224434. [Google Scholar] [CrossRef]
- Haraldsen, J.T. Heisenberg Pentamer: Insights into Inelastic Neutron Scattering on Magnetic Clusters. Phys. Rev. Lett. 2011, 107, 037205. [Google Scholar] [CrossRef] [PubMed]
- Haraldsen, J.T. Evolution of Thermodynamic Properties and Inelastic Neutron Scattering Intensities for Spin-1/2 Antiferromagnetic Quantum Rings. Phys. Rev. B 2016, 94, 054436. [Google Scholar] [CrossRef]
- Szałowski, K.; Kowalewska, P. Magnetocaloric Effect in Cu5-NIPA Molecular Magnet: A Theoretical Study. Materials 2020, 13, 485. [Google Scholar] [CrossRef] [PubMed]
- Torrico, J.; Plascak, J.A. Study of the Ground State and Thermodynamic Properties of Cu5-NIPA-like Molecular Nanomagnets. J. Magn. Magn. Mater. 2022, 552, 169151. [Google Scholar] [CrossRef]
- Rajca, A.; Wongsriratanakul, J.; Rajca, S. Organic Spin Clusters: Macrocyclic-Macrocyclic Polyarylmethyl Polyradicals with Very High Spin S = 5–13. J. Am. Chem. Soc. 2004, 126, 6608–6626. [Google Scholar] [CrossRef]
- Shatruk, M.; Chambers, K.E.; Prosvirin, A.V.; Dunbar, K.R. Systematic Investigation of Trigonal-Bipyramidal Cyanide-Bridged Clusters of the First-Row Transition Metals. Inorg. Chem. 2007, 46, 5155–5165. [Google Scholar] [CrossRef] [PubMed]
- Nath, R.; Tsirlin, A.A.; Khuntia, P.; Janson, O.; Förster, T.; Padmanabhan, M.; Li, J.; Skourski, Y.; Baenitz, M.; Rosner, H.; et al. Magnetization and Spin Dynamics of the Spin S = 1/2 Hourglass Nanomagnet Cu5(OH)2(NIPA)4·10H2O. Phys. Rev. B 2013, 87, 214417. [Google Scholar] [CrossRef]
- Werner, T.W.; Reschke, S.; Bunzen, H.; von Nidda, H.A.K.; Deisenhofer, J.; Loidl, A.; Volkmer, D. [Co5Tp*4(Me2bta)6]: A Highly Symmetrical Pentanuclear Kuratowski Complex Featuring Tris(Pyrazolyl)Borate and Benzotriazolate Ligands. Inorg. Chem. 2016, 55, 1053–1060. [Google Scholar] [CrossRef]
- Bai, Y.L.; Tao, J.; Huang, R.B.; Zheng, L.S. The Designed Assembly of Augmented Diamond Networks From Predetermined Pentanuclear Tetrahedral Units. Angew. Chem. Int. Ed. 2008, 47, 5344–5347. [Google Scholar] [CrossRef] [PubMed]
- Fedulin, A.; Gupta, S.K.; Rüter, I.; Meyer, F.; Jacobi von Wangelin, A. Polynuclear Iron(II) Pyridonates: Synthesis and Reactivity of Fe4 and Fe5 Clusters. Inorg. Chem. 2022, 61, 6149–6159. [Google Scholar] [CrossRef]
- Cui, L.; Geng, Y.F.; Leong, C.F.; Ma, Q.; D’Alessandro, D.M.; Deng, K.; Zeng, Q.D.; Zuo, J.L. Synthesis, Properties and Surface Self-Assembly of a Pentanuclear Cluster Based on the New π-Conjugated TTF-triazole Ligand. Sci. Rep. 2016, 6, 25544. [Google Scholar] [CrossRef]
- Wang, F.; Chen, Z. Geometric Spin Frustration for Isolated Plaquettes of the Lattices: An Extended Irreducible Tensor Operator Method. Chem. Phys. 2006, 327, 427–433. [Google Scholar] [CrossRef]
- Kuratowski, C. Sur le problème des courbes gauches en Topologie. Fundam. Math. 1930, 15, 271–283. [Google Scholar] [CrossRef]
- Biswas, S.; Tonigold, M.; Speldrich, M.; Kögerler, P.; Weil, M.; Volkmer, D. Syntheses and Magnetostructural Investigations on Kuratowski-Type Homo- and Heteropentanuclear Coordination Compounds [MZn4Cl4(L)6] (MII = Zn, Fe, Co, Ni, or Cu; L = 5,6-Dimethyl-1,2,3-Benzotriazolate) Represented by the Nonplanar K3,3 Graph. Inorg. Chem. 2010, 49, 7424–7434. [Google Scholar] [CrossRef]
- Buvaylo, E.A.; Nesterova, O.V.; Kokozay, V.N.; Vassilyeva, O.Y.; Skelton, B.W.; Boča, R.; Nesterov, D.S. Discussion of Planarity of Molecular Structures Using Novel Pentanuclear Cu/Ni Complexes as an Example. Cryst. Growth Des. 2012, 12, 3200–3208. [Google Scholar] [CrossRef]
- Kambe, K. On the Paramagnetic Susceptibilities of Some Polynuclear Complex Salts. J. Phys. Soc. Jpn. 1950, 5, 48–51. [Google Scholar] [CrossRef]
- Nielsen, M.A.; Chuang, I.L. Quantum Computation and Quantum Information; Cambridge University Press: Cambridge, UK, 2000. [Google Scholar]
- Castellano, G. Thermodynamic Potentials for Simple Magnetic Systems. J. Magn. Magn. Mater. 2003, 260, 146–150. [Google Scholar] [CrossRef]
- Plascak, J.A. Ensemble Thermodynamic Potentials of Magnetic Systems. J. Magn. Magn. Mater. 2018, 468, 224–229. [Google Scholar] [CrossRef]
- Hill, S.A.; Wootters, W.K. Entanglement of a Pair of Quantum Bits. Phys. Rev. Lett. 1997, 78, 5022–5025. [Google Scholar] [CrossRef]
- Wootters, W.K. Entanglement of Formation of an Arbitrary State of Two Qubits. Phys. Rev. Lett. 1998, 80, 2245–2248. [Google Scholar] [CrossRef]
- Torrico, J.; Plascak, J.A. Ground State and Thermodynamic Properties of Spin-1/2 Isosceles Heisenberg Triangles for V6-like Magnetic Molecules. Phys. Rev. E 2020, 102, 062116. [Google Scholar] [CrossRef]
- Wang, A.-M. A Simplified and Obvious Expression of Concurrence in Wootters’ Measure of Entanglement of a Pair of Qubits. Chin. Phys. Lett. 2003, 20, 1907–1909. [Google Scholar] [CrossRef]
- Osenda, O.; Raggio, G.A. Entanglement in Thermal Equilibrium States. Phys. Rev. A 2005, 72, 064102. [Google Scholar] [CrossRef]
- Markham, D.; Anders, J.; Vedral, V.; Murao, M.; Miyake, A. Survival of Entanglement in Thermal States. Europhys. Lett. 2008, 81, 40006. [Google Scholar] [CrossRef][Green Version]
- Sadiek, G.; Kais, S. Persistence of Entanglement in Thermal States of Spin Systems. J. Phys. B At. Mol. Opt. Phys. 2013, 46, 245501. [Google Scholar] [CrossRef]
- Berry, D.W.; Dowling, M.R. Two Qubits Can Be Entangled in Two Distinct Temperature Regions. Phys. Rev. A 2006, 74, 062301. [Google Scholar] [CrossRef]
- Sharma, S.; Kothari, R. Antiferromagnetic Materials Pave the Path for Quantum Entanglement. Mater. Today Proc. 2021, 43, 2428–2431. [Google Scholar] [CrossRef]
- Schnack, J. Influence of Intermolecular Interactions on Magnetic Observables. Phys. Rev. B 2016, 93, 054421. [Google Scholar] [CrossRef]
- Gálisová, L.; Strečka, J.; Verkholyak, T.; Havadej, S. Magnetization Plateaus and Bipartite Entanglement of an Exactly Solved Spin-1/2 Ising-Heisenberg Orthogonal-Dimer Chain. Phys. E Low-Dimens. Syst. Nanostruct. 2021, 125, 114089. [Google Scholar] [CrossRef]
- Gálisová, L. Insight into Ground-State Spin Arrangement and Bipartite Entanglement of the Polymeric Coordination Compound [Dy2Cu2]n through the Symmetric Spin-1/2 Ising–Heisenberg Orthogonal-Dimer Chain. J. Magn. Magn. Mater. 2022, 561, 169721. [Google Scholar] [CrossRef]











Disclaimer/Publisher’s Note: The statements, opinions and data contained in all publications are solely those of the individual author(s) and contributor(s) and not of MDPI and/or the editor(s). MDPI and/or the editor(s) disclaim responsibility for any injury to people or property resulting from any ideas, methods, instructions or products referred to in the content. |
© 2023 by the author. Licensee MDPI, Basel, Switzerland. This article is an open access article distributed under the terms and conditions of the Creative Commons Attribution (CC BY) license (https://creativecommons.org/licenses/by/4.0/).
Share and Cite
Szałowski, K. Phase Diagram and Quantum Entanglement Properties of a Pentamer S = 1/2 Heisenberg Spin Cluster. Molecules 2023, 28, 6418. https://doi.org/10.3390/molecules28176418
Szałowski K. Phase Diagram and Quantum Entanglement Properties of a Pentamer S = 1/2 Heisenberg Spin Cluster. Molecules. 2023; 28(17):6418. https://doi.org/10.3390/molecules28176418
Chicago/Turabian StyleSzałowski, Karol. 2023. "Phase Diagram and Quantum Entanglement Properties of a Pentamer S = 1/2 Heisenberg Spin Cluster" Molecules 28, no. 17: 6418. https://doi.org/10.3390/molecules28176418
APA StyleSzałowski, K. (2023). Phase Diagram and Quantum Entanglement Properties of a Pentamer S = 1/2 Heisenberg Spin Cluster. Molecules, 28(17), 6418. https://doi.org/10.3390/molecules28176418

