Biosorption of Pb(II) Using Natural and Treated Ardisia compressa K. Leaves: Simulation Framework Extended through the Application of Artificial Neural Network and Genetic Algorithm
Abstract
:1. Introduction
2. Results and Discussion
2.1. Physicochemical Characterization
2.2. Characterization
2.2.1. Zero-Point Charge
2.2.2. Scanning Electron Microscopy
2.2.3. FTIR Analysis
2.3. Biosorption Results
2.3.1. Effect of Solution pH
2.3.2. Adsorbent Mass Effect
2.3.3. Effect of Contact Time
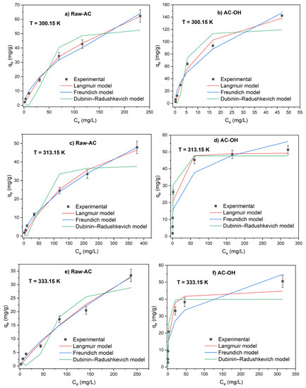
2.3.4. Temperature Effect on Sorption Capacity
2.4. Adsorption and Desorption Study
2.5. Comparison of Natural and Alkali Ardisia Compressa K. with Other Biosorbents
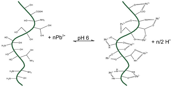
2.6. Proposed Mechanism of Interaction of Pb2+ with Raw-AC and AC-OH
2.7. Data-Driven Optimization
- In the first step: the original data was arranged in the form of a database (see Table 11), where all the tuning variables and the performance indicators were placed together. The database contained a total of 178 experimental points. Bringing the data in such a format would help in the development of an empirical model [61]. It was necessary to develop an empirical model because the optimization algorithms required a direct correlation between the tuning variables and the performance indicator. Thus, it was also necessary to understand the data through the heatmap of the Pearson coefficient of correlation (see Table 12) [62]. It was noted that the initial concentration of Pb was the variable with the highest level of sensitivity for qe, and it was also noted that material 2 had a relatively higher tendency for higher values of qe. The temperature and the pH of the solution were the least sensitive.
- 2.
- In the second step, an empirical model was developed for the selected database. Such a model was developed through the application of artificial neural networks for regression models. The MATLAB environment using the nftool box was implemented. All the input variables were placed in the input layer, and the performance indicator was placed in the performance indicator. A backpropagation method called Bayesian regularization backpropagation was implemented, which was suitable for the noisy database as the origin was experimentation [63]. The training, testing, and validation percentages were set to be 70, 15, and 15, respectively. The number of hidden neurons was iterated and a total of eight neurons came out to be optimal for the minimum mean square error. The regression fit and the error histogram are displayed in Figure 11. During the training, testing, and total phase, the values of R came out to be 0.99276, 0.977, and 0.9905, respectively, which indicates a high goodness of fit. The error histogram also fulfills the normality assumption of errors.
- 3.
- Once the empirical model was developed, in the last step, an optimization study could be conducted. The optimization study was conducted to maximize qe for the given range of each of the tuning variables. The genetic algorithm was implemented in the MATLAB environment through its Optimization toolbox. All the generic configuration of the algorithm was taken to be default [64]. The optimization was conducted two times, one for each material, and the results are shown in Table 13. It is noted that the combination of tuning variables for each type of material was quite similar. For example, for Raw-AC, the optimal combination of temperature, pH of the solution, and contact time came out to be the same, which was 298.15 K, 6, and 1440 min, respectively. The only difference was noted in the cases of initial concentration of Pb and mass, which were 854.16 mg/L and 0.1 g for Raw-AC and 1012.98 mg/L and 0.05 g for AC-OH, respectively. It is quite interesting that even though a couple of variables were the same, the value of optimal qe was quite different. For the combination of Raw-AC and AC-OH, the optimal qe values came out to be 62.287 mg/g and 147.475 mg/g, respectively. It is remarkable how doing such a treatment can improve the results by 57.76%. It is also to be stressed here that the optimal point evaluated through the computational method was placed back into the experimental conditions and conformity between the optimal point through the computational method and the experimentation was met.
3. Materials and Methods
3.1. Pb standard Solutions
3.2. Biosorbents
3.3. Physicochemical Analysis
3.4. Characterization Techniques
3.5. Biosorption Study
3.6. Kinetic Models
3.7. Isotherm Models
3.8. Adsorption–Desorption Cycles
3.9. Framework of Empirical Model and Optimization Process
4. Conclusions
Supplementary Materials
Author Contributions
Funding
Institutional Review Board Statement
Informed Consent Statement
Data Availability Statement
Acknowledgments
Conflicts of Interest
Sample Availability
References
- Kinuthia, G.K.; Ngure, V.; Beti, D.; Lugalia, R.; Wangila, A.; Kamau, L. Levels of heavy metals in wastewater and soil samples from open drainage channels in Nairobi, Kenya: Community health implication. Sci. Rep. 2020, 10, 8434. [Google Scholar] [CrossRef]
- Ben Omar, M.; Mendiguchía, C.; Er-Raioui, H.; Marhraoui, M.; Lafraoui, G.; Oulad-Abdellah, M.K.; García-Vargas, M.; Moreno, C. Distribution of heavy metals in marine sediments of Tetouan coast (North of Morocco): Natural and anthropogenic sources. Environ. Earth Sci. 2015, 74, 4171–4185. [Google Scholar] [CrossRef]
- Mendiguchía, C.; Moreno, C.; García-Vargas, M. Evaluation of natural and anthropogenic influences on the Guadalquivir River (Spain) by dissolved heavy metals and nutrients. Chemosphere 2007, 69, 1509–1517. [Google Scholar] [CrossRef] [PubMed]
- Sandeep, G.; Vijayalatha, K.R.; Anitha, T. Heavy metals and its impact in vegetable crops. Int. J. Chem. Stud. 2019, 7, 1612–1621. [Google Scholar]
- Vajargah, M.F. A Review on the Effects of Heavy Metals on Aquatic Animals. J. Biomed. Res. Environ. Sci. 2021, 2, 865–869. [Google Scholar] [CrossRef]
- Munir, N.; Jahangeer, M.; Bouyahya, A.; El Omari, N.; Ghchime, R.; Balahbib, A.; Aboulaghras, S.; Mahmood, Z.; Akram, M.; Shah, S.M.A.; et al. Heavy metal contamination of natural foods is a serious health issue: A review. Sustainability 2022, 14, 161. [Google Scholar] [CrossRef]
- Vievard, J.; Alem, A.; Pantet, A.; Ahfir, N.-D.; Arellano-Sánchez, M.G.; Devouge-Boyer, C.; Mignot, M. Bio-Based Adsorption as Ecofriendly Method for Wastewater Decontamination: A Review. Toxics 2023, 11, 404. [Google Scholar] [CrossRef]
- Rajendran, S.; Priya, A.K.; Kumar, P.S.; Hoang, T.K.; Sekar, K.; Chong, K.Y.; Khoo, K.S.; Ng, H.S.; Show, P.L. A critical and recent developments on adsorption technique for removal of heavy metals from wastewater—A review. Chemosphere 2022, 303, 135146. [Google Scholar] [CrossRef]
- Pandey, P.K.; Sharma, S.K.; Sambi, S.S. Removal of lead(II) from waste water on zeolite-NaX. J. Environ. Chem. Eng. 2015, 3, 2604–2610. [Google Scholar] [CrossRef]
- Uddin, M.K. A review on the adsorption of heavy metals by clay minerals, with special focus on the past decade. Chem. Eng. J. 2017, 308, 438–462. [Google Scholar] [CrossRef]
- Nordin, N.A.; Rahman, N.A.; Abdullah, A.H. Effective Removal of Pb(II) Ions by Electrospun PAN/Sago Lignin-Based Activated Carbon Nanofibers. Molecules 2020, 25, 3081. [Google Scholar] [CrossRef] [PubMed]
- Nguyen, T.; Ngo, H.; Guo, W.; Zhang, J.; Liang, S.; Yue, Q.; Li, Q. Applicability of agricultural waste and by-products for adsorptive removal of heavy metals from wastewater. Bioresour. Technol. 2013, 148, 574–585. [Google Scholar] [CrossRef]
- Ge, Y.; Qin, L.; Li, Z. Lignin microspheres: An effective and recyclable natural polymer-based adsorbent for lead ion removal. Mater. Des. 2016, 95, 141–147. [Google Scholar] [CrossRef]
- Chakraborty, R.; Asthana, A.; Singh, A.K.; Jain, B.; Susan, A.B.H. Adsorption of heavy metal ions by various low-cost adsorbents: A review. Int. J. Environ. Anal. Chem. 2022, 102, 342–379. [Google Scholar] [CrossRef]
- Hegazi, H.A. Removal of heavy metals from wastewater using agricultural and industrial wastes as adsorbents. HBRC J. 2013, 9, 276–282. [Google Scholar] [CrossRef]
- Joseph, L.; Jun, B.M.; Flora, J.R.V.; Park, C.M.; Yoon, Y. Removal of heavy metals from water sources in the developing world using low-cost materials: A review. Chemosphere 2019, 229, 142–159. [Google Scholar] [CrossRef]
- Demirbas, A. Heavy metal adsorption onto agro-based waste materials: A review. J. Hazard. Mater. 2008, 157, 220–229. [Google Scholar] [CrossRef]
- Elkhaleefa, A.; Ali, I.H.; Brima, E.I.; Shigidi, I.; Elhag, A.B.; Karama, B. Evaluation of the adsorption efficiency on the removal of lead(II) ions from aqueous solutions using Azadirachta indica leaves as an adsorbent. Processes 2021, 9, 559. [Google Scholar] [CrossRef]
- Jayasree, R.; Kumar, P.S.; Saravanan, A.; Hemavathy, R.; Yaashikaa, P.; Arthi, P.; Shreshta, J.; Jeevanantham, S.; Karishma, S.; Arasu, M.V.; et al. Sequestration of toxic Pb(II) ions using ultrasonic modified agro waste: Adsorption mechanism and modelling study. Chemosphere 2021, 285, 131502. [Google Scholar] [CrossRef]
- Zhang, Z.; Wang, T.; Zhang, H.; Liu, Y.; Xing, B. Adsorption of Pb(II) and Cd(II) by magnetic activated carbon and its mechanism. Sci. Total Environ. 2021, 757, 143910. [Google Scholar] [CrossRef]
- Saleh Al-Hashemi, Z.S.; Hossain, M.A. Biological activities of different neem leaf crude extracts used locally in Ayurvedic medicine. Pac. Sci. Rev. A Nat. Sci. Eng. 2016, 18, 128–131. [Google Scholar] [CrossRef]
- Tran, H.N.; Chao, H.P. Adsorption and desorption of potentially toxic metals on modified biosorbents through new green grafting process. Environ. Sci. Pollut. Res. 2018, 25, 12808–12820. [Google Scholar] [CrossRef] [PubMed]
- Joaquín-Cruz, E.; Dueñas, M.; García-Cruz, L.; Salinas-Moreno, Y.; Santos-Buelga, C.; García-Salinas, C. Anthocyanin and phenolic characterization, chemical composition and antioxidant activity of chagalapoli (Ardisia compressa K.) fruit: A tropical source of natural pigments. Food Res. Int. 2015, 70, 151–157. [Google Scholar] [CrossRef]
- Vázquez-Sánchez, A.Y.; Corfield, R.; Sosa, N.; Salvatori, D.; Schebor, C. Physicochemical, functional, and sensory characterization of apple leathers enriched with acáchul (Ardisia compressa Kunth) powder. LWT 2021, 146, 111472. [Google Scholar] [CrossRef]
- Chandra, S.; De Mejia, E.G. Polyphenolic compounds, antioxidant capacity, and quinone reductase activity of an aqueous extract of Ardisia compressa in comparison to mate (llex paraguariensis) and green (Camellia sinensis) teas. J. Agric. Food Chem. 2004, 52, 3583–3589. [Google Scholar] [CrossRef] [PubMed]
- Thamaga, M.W.; Mokoboki, H.K.; Sebola, N.A.; Ravhuhali, K.E. Apparent digestibility and nutritional composition of Leucaena leucocephala (Lam) leaf meal incorporated in the diets of Black Australorp and Potchefstroom Koekoek chicken breeds. Trop. Anim. Health Prod. 2021, 53, 458. [Google Scholar] [CrossRef] [PubMed]
- Garcia, G.W.; Ferguson, T.U.; Neckles, F.A.; Archibald, K.A.E. The nutritive value and forage productivity of Leucaena leucocephala. Anim. Feed. Sci. Technol. 1996, 60, 29–41. [Google Scholar] [CrossRef]
- Lavado-Meza, C.; De la Cruz-Cerrón, L.; Lavado-Puente, C.; Angeles-Suazo, J.; Dávalos-Prado, J.Z. Efficient Lead Pb(II) Removal with Chemically Modified Nostoc commune Biomass. Molecules 2023, 28, 268. [Google Scholar] [CrossRef] [PubMed]
- Ayssiwede, S.B.; Dieng, A.; Chrysostome, C.; Ossebi, W.; Hornick, J.L.; Missohou, A. Digestibility, metabolic utilization and nutritional value of Leuceana leucocephala (Lam.) leaf meal incorporated in indigenous Senegal chickens diets. Adv. Anim. Biosci. 2010, 1, 425–426. [Google Scholar] [CrossRef]
- Torres-Maza, A.; Yupanqui-Bacilio, C.; Castro, V.; Aguirre, E.; Villanueva, E.; Rodríguez, G. Comparison of the hydrocolloids Nostoc commune and Nostoc sphaericum: Drying, spectroscopy, rheology and application in nectar. Sci. Agropecu. 2020, 11, 583–589. [Google Scholar] [CrossRef]
- Šoštarić, T.D.; Petrović, M.S.; Pastor, F.T.; Lončarević, D.R.; Petrović, J.T.; Milojković, J.V.; Stojanović, M.D. Study of heavy metals biosorption on native and alkali-treated apricot shells and its application in wastewater treatment. J. Mol. Liq. 2018, 259, 340–349. [Google Scholar] [CrossRef]
- Abatal, M.; Lima, E.C.; Anastopoulos, I.; Giannakoudakis, D.A.; Vargas, J.; Aguilar, C.; Olguín, M.; Anguebes-Fransechi, F. Effect of alkali treatment on the removal of Co(II) ions by Leucaena leucephala biomass. J. Mol. Liq. 2022, 367, 120419. [Google Scholar] [CrossRef]
- Fernandez, M.E.; Nunell, G.V.; Bonelli, P.R.; Cukierman, A.L. Batch and dynamic biosorption of basic dyes from binary solutions by alkaline-treated cypress cone chips. Bioresour. Technol. 2012, 106, 55–62. [Google Scholar] [CrossRef] [PubMed]
- Farnane, M.; Tounsadi, H.; Elmoubarki, R.; Mahjoubi, F.; Elhalil, A.; Saqrane, S.; Abdennouri, M.; Qourzal, S.; Barka, N. Alkaline treated carob shells as sustainable biosorbent for clean recovery of heavy metals: Kinetics, equilibrium, ions interference and process optimisation. Ecol. Eng. 2017, 101, 9–20. [Google Scholar] [CrossRef]
- Bayramoǧlu, G.; Çelik, G.; Arica, M.Y. Biosorption of Reactive Blue 4 dye by native and treated fungus Phanerocheate chrysosporium: Batch and continuous flow system studies. J. Hazard. Mater. 2006, 137, 1689–1697. [Google Scholar] [CrossRef] [PubMed]
- Chen, G.Q.; Zeng, G.M.; Tu, X.; Niu, C.G.; Huang, G.H.; Jiang, W. Application of a by-product of Lentinus edodes to the bioremediation of chromate contaminated water. J. Hazard. Mater. 2006, 135, 249–255. [Google Scholar] [CrossRef] [PubMed]
- Rezaei, M.; Pourang, N.; Moradi, A.M. Removal of lead from aqueous solutions using three biosorbents of aquatic origin with the emphasis on the affective factors. Sci. Rep. 2022, 12, 751. [Google Scholar] [CrossRef] [PubMed]
- Bhattacharya, P.; Mallick, K.; Ghosh, S.; Banerjee, P.; Mukhopadhyay, A.; Bandyopadhyay, S. Algal biomass as potential biosorbent for reduction of organic load in gray water and subsequent reuse: Effect on seed germination and enzyme activity. Bioremediat. J. 2014, 18, 56–70. [Google Scholar] [CrossRef]
- Faghihian, H.; Peyvandi, S. Adsorption isotherm for uranyl biosorption by Saccharomyces cerevisiae biomass. J. Radioanal. Nucl. Chem. 2012, 293, 463–468. [Google Scholar] [CrossRef]
- Aksu, Z.; Açıkel, Ü.; Kabasakal, E.; Tezer, S. Equilibrium modelling of individual and simultaneous biosorption of chromium(VI) and nickel(II) onto dried activated sludge. Water Res. 2002, 36, 3063–3073. [Google Scholar] [CrossRef]
- Huang, Y.; Li, S.; Chen, J.; Zhang, X.; Chen, Y. Adsorption of Pb(II) on mesoporous activated carbons fabricated from water hyacinth using H3PO4 activation: Adsorption capacity, kinetic and isotherm studies. Appl. Surf. Sci. 2014, 293, 160–168. [Google Scholar] [CrossRef]
- Reddy, D.H.K.; Seshaiah, K.; Reddy, A.; Rao, M.M.; Wang, M.C. Biosorption of Pb2+ from aqueous solutions by Moringa oleifera bark: Equilibrium and kinetic studies. J. Hazard. Mater. 2010, 174, 831–838. [Google Scholar] [CrossRef] [PubMed]
- Yuvaraja, G.; Krishnaiah, N.; Subbaiah, M.V.; Krishnaiah, A. Biosorption of Pb(II) from aqueous solution by Solanum melongena leaf powder as a low-cost biosorbent prepared from agricultural waste. Colloids Surf. B Biointerfaces 2014, 114, 75–81. [Google Scholar] [CrossRef] [PubMed]
- Patel, R.; Suresh, S. Kinetic and equilibrium studies on the biosorption of reactive black 5 dye by Aspergillus foetidus. Bioresour. Technol. 2008, 99, 51–58. [Google Scholar] [CrossRef] [PubMed]
- Bhattacharyya, K.G.; Gupta, S.S. Adsorptive accumulation of Cd(II), Co(II), Cu(II), Pb(II), and Ni(II) from water on montmorillonite: Influence of acid activation. J. Colloid. Interface Sci. 2007, 310, 411–424. [Google Scholar] [CrossRef] [PubMed]
- Alsohaimi, I.H.; Wabaidur, S.M.; Kumar, M.; Khan, M.A.; Alothman, Z.A.; Abdalla, M.A. Synthesis, characterization of PMDA/TMSPEDA hybrid nano-composite and its applications as an adsorbent for the removal of bivalent heavy metals ions. Chem. Eng. J. 2015, 270, 9–21. [Google Scholar] [CrossRef]
- Bhattacharyya, K.G.; Sharma, A. Adsorption of Pb(II) from aqueous solution by Azadirachta indica (Neem) leaf powder. J. Hazard. Mater. 2004, 113, 97–109. [Google Scholar] [CrossRef] [PubMed]
- Kumar, K.V.; Sivanesan, S. Prediction of optimum sorption isotherm: Comparison of linear and non-linear method. J. Hazard. Mater. 2005, 126, 198–201. [Google Scholar] [CrossRef]
- Mondal, M.K. Removal of Pb(II) from aqueous solution by adsorption using activated tea waste. Korean J. Chem. Eng. 2010, 27, 144–151. [Google Scholar] [CrossRef]
- Iddou, A.; Hadj Youcef, M.; Aziz, A.; Ouali, M.S. Biosorptive removal of lead (II) ions from aqueous solutions using Cystoseira stricta biomass: Study of the surface modification effect. J. Saudi Chem. Soc. 2011, 15, 83–88. [Google Scholar] [CrossRef]
- Cimá-Mukul, C.A.; Abdellaoui, Y.; Abatal, M.; Vargas, J.; Santiago, A.A.; Barrón-Zambrano, J.A. Eco-Efficient Biosorbent Based on Leucaena leucocephala Residues for the Simultaneous Removal of Pb (II) and Cd (II) Ions from Water System: Sorption and Mechanism. Bioinorg. Chem. Appl. 2019, 2019, 2814047. [Google Scholar] [CrossRef]
- Keskinkan, O.; Goksu, M.Z.L.; Basibuyuk, M.; Forster, C.F. Heavy metal adsorption properties of a submerged aquatic plant (Ceratophyllum demersum). Bioresour. Technol. 2004, 92, 197–200. [Google Scholar] [CrossRef] [PubMed]
- Salehi, P.; Asghari, B.; Mohammadi, F. Biosorption of Ni(II), Cu(II) and Pb(II) by Punica geranatum from Aqueous Solutions. J. Water Resour. Prot. 2010, 2, 701–705. [Google Scholar] [CrossRef]
- Begum, S.A.S.; Tharakeswar, Y.; Kalyan, Y.; Naidu, G.R. Biosorption of Cd (II), Cr (VI) & Pb (II) from Aqueous Solution Using Mirabilis jalapa as Adsorbent. J. Encapsulation Adsorpt. Sci. 2015, 5, 93–104. [Google Scholar] [CrossRef]
- Gümüş, D. Biosorptive application of defatted Laurus nobilis leaves as a waste material for treatment of water contaminated with heavy metal. Int. J. Phytoremediation 2019, 21, 556–563. [Google Scholar] [CrossRef]
- Deng, L.; Su, Y.; Su, H.; Wang, X.; Zhu, X. Sorption and desorption of lead (II) from wastewater by green algae Cladophora fascicularis. J. Hazard. Mater. 2007, 143, 220–225. [Google Scholar] [CrossRef] [PubMed]
- Khoso, W.A.; Haleem, N.; Baig, M.A.; Jamal, Y. Synthesis, characterization and heavy metal removal efficiency of nickel ferrite nanoparticles (NFN’s). Sci. Rep. 2021, 11, 3790. [Google Scholar] [CrossRef]
- Gusain, R.; Kumar, N.; Fosso-Kankeu, E.; Ray, S.S. Efficient Removal of Pb(II) and Cd(II) from Industrial Mine Water by a Hierarchical MoS2/SH-MWCNT Nanocomposite. ACS Omega 2019, 4, 13922–13935. [Google Scholar] [CrossRef] [PubMed]
- Sepehri, S.; Kanani, E.; Abdoli, S.; Rajput, V.D.; Minkina, T.; Lajayer, B.A. Pb(II) Removal from Aqueous Solutions by Adsorption onStabilized Zero-Valent Iron Nanoparticles—A Green Approach. Water 2023, 15, 222. [Google Scholar] [CrossRef]
- Altynbaeva, L.S.; Mashentseva, A.A.; Aimanova, N.A.; Zheltov, D.A.; Shlimas, D.I.; Nurpeisova, D.T.; Barsbay, M.; Abuova, F.U.; Zdorovets, M.V. Eco-Friendly Electroless Template Synthesis of Cu-Based Composite Track-Etched Membranes for Sorption Removal of Lead(II) Ions. Membranes 2023, 13, 495. [Google Scholar] [CrossRef] [PubMed]
- Tariq, R.; Ali, M.; Sheikh, N.A.; Shahzad, M.W.; Xu, B.B. Deep learning artificial intelligence framework for sustainable desiccant air conditioning system: Optimization towards reduction in water footprints. Int. Commun. Heat Mass Transf. 2023, 140, 106538. [Google Scholar] [CrossRef]
- Tariq, R.; Torres-Aguilar, C.E.; Xamán, J.; Zavala-Guillén, I.; Bassam, A.; Ricalde, L.J.; Carvente, O. Digital twin models for optimization and global projection of building-integrated solar chimney. Build. Environ. 2022, 213, 108807. [Google Scholar] [CrossRef]
- Tariq, R.; Cetina-Quiñones, A.J.; Cardoso-Fernández, V.; Daniela-Abigail, H.L.; Soberanis, M.A.E.; Bassam, A.; De Lille, M.V. Artificial intelligence assisted technoeconomic optimization scenarios of hybrid energy systems for water management of an isolated community. Sustain. Energy Technol. Assess. 2021, 48, 101561. [Google Scholar] [CrossRef]
- Tariq, R.; Abatal, M.; Bassam, A. Computational intelligence for empirical modeling and optimization of methylene blue adsorption phenomena using available local zeolites and clay of Morocco. J. Clean. Prod. 2022, 370, 133517. [Google Scholar] [CrossRef]
- Vicente-Flores, M.; Güemes-Vera, N.; Chanona-Pérez, J.J.; Perea-Flores, M.d.J.; Arzate-Vázquez, I.; Quintero-Lira, A.; Sánchez-Fuentes, C.E. Study of cellular architecture and micromechanical properties of cuajilote fruits (Parmentiera edulis D.C.) using different microscopy techniques. Microsc. Res. Tech. 2021, 84, 12–27. [Google Scholar] [CrossRef] [PubMed]
- Pavasant, P.; Apiratikul, R.; Sungkhum, V.; Suthiparinyanont, P.; Wattanachira, S.; Marhaba, T.F. Biosorption of Cu2+, Cd2+, Pb2+, and Zn2+ using dried marine green macroalga Caulerpa lentillifera. Bioresour. Technol. 2006, 97, 2321–2329. [Google Scholar] [CrossRef]
- Imran, M.; Anwar, K.; Akram, M.; Shah, G.M.; Ahmad, I.; Samad Shah, N.; Khan, Z.U.H.; Rashid, M.I.; Akhtar, M.N.; Ahmad, S.; et al. Biosorption of Pb (II) from contaminated water onto Moringa oleifera biomass: Kinetics and equilibrium studies. Int. J. Phytoremediation 2019, 21, 777–789. [Google Scholar] [CrossRef] [PubMed]
- Mashentseva, A.A.; Aimanova, N.A.; Parmanbek, N.; Temirgaziyev, B.S.; Barsbay, M.; Zdorovets, M.V. Serratula coronata L. Mediated Synthesis of ZnO Nanoparticles and Their Application for the Removal of Alizarin Yellow R by Photocatalytic Degradation and Adsorption. Nanomaterials 2022, 12, 3293. [Google Scholar] [CrossRef] [PubMed]
- Parmanbek, N.; Sütekin, D.S.; Barsbay, M.; Mashentseva, A.A. Hybrid PET Track-Etched Membranes Grafted by Well-Defined Poly(2-(dimethylamino)ethyl methacrylate) Brushes and Loaded with Silver Nanoparticles for the Removal of As(III). Polymers 2022, 14, 4026. [Google Scholar] [CrossRef] [PubMed]
- Khanmohammadi, S.; Musharavati, F.; Tariq, R. A framework of data modeling and artificial intelligence for environmental-friendly energy system: Application of Kalina cycle improved with fuel cell and thermoelectric module. Process. Saf. Environ. Prot. 2022, 164, 499–516. [Google Scholar] [CrossRef]













| Parameter | Percent Composition (% w/w) |
|---|---|
| Total soluble solids (%) | 86.49 ± 0.12 |
| Moisture (%) | 13.51 ± 0.12 |
| Ash (%) | 6.74 ± 0.01 |
| Ethereal extract (%) Raw fiber (%) Protein (%) | 3.60 ± 0.29 16.51 ± 0.34 5.83 ± 0.12 |
| Nitrogen-free extract (%) | 53.80 ± 0.36 |
| Biosorbent | pHPZC (Raw Biosorbent) | pHPZC (Alkali-Treated Biosorbent) | Ref. |
|---|---|---|---|
| Prunus armeniaca L. shells | 4.9 | 5.7 | [31] |
| Leucaena leucephala leaves | 6.7 | 7.2 | [32] |
| Cupressus sempervirens Carob shells Nostoc commune | 6.1 5.4 1.3 | 6.7 6.52 2.5 | [33] [34] [28] |
| Ardisia compressa K. | 4.8 | 6.4 | This study |
| pH | Model | Parameters | Raw-AC | AC-OH |
|---|---|---|---|---|
| 2 | Langmuir | Qmax (mg/g) | 26.4 | 43.7 |
| KL·10−2 (L/mg) | 2.001 | 59.431 | ||
| R2 | 0.981 | 0.971 | ||
| Freundlich | KF (mg/g)(L/mg)1/n | 3.580 | 16.226 | |
| n | 3.200 | 5.404 | ||
| R2 | 0.960 | 0.924 | ||
| Dubinin–Radushkevich (D-R) | Qmax (mg/g) | 21.948 | 41.965 | |
| β (mol2/kJ2) | 93.593 | 0.242 | ||
| E (kJ/mol) | 0.073 | 1.437 | ||
| R2 | 0.897 | 0.917 | ||
| 4 | Langmuir | Qmax (mg/g) | 48.1 | 69.41 |
| KL·10−2 (L/mg) | 0.882 | 56.634 | ||
| R2 | 0.992 | 0.984 | ||
| Freundlich | KF (mg/g)(L/mg)1/n | 2.229 | 23.975 | |
| n | 2.084 | 4.979 | ||
| R2 | 0.970 | 0.913 | ||
| Dubinin–Radushkevich (D-R) | Qmax (mg/g) | 34.183 | 62.050 | |
| β (mol2/kJ2) | 413.006 | 0.100 | ||
| E (kJ/mol) | 0.035 | 2.236 | ||
| R2 | 0.932 | 0.867 | ||
| 6 | Langmuir | Qmax (mg/g) | 96.4 | 171.0 |
| KL·10−2 (L/mg) | 0.781 | 9.076 | ||
| R2 | 0.997 | 0.990 | ||
| Freundlich | KF (mg/g)(L/mg)1/n | 2.654 | 22.311 | |
| n | 1.710 | 2.043 | ||
| R2 | 0.992 | 0.976 | ||
| Dubinin–Radushkevich (D-R) | Qmax (mg/g) | 55.216 | 120.205 | |
| β (mol2/kJ2) | 239.383 | 2.729 | ||
| E (kJ/mol) | 0.046 | 0.428 | ||
| R2 | 0.910 | 0.913 |
| Biosorbent | pH | Model | Error Functions | |||||
|---|---|---|---|---|---|---|---|---|
| APE | SSE | ∆q(%) | χ2 | EABS | RMSE | |||
| Raw-AC | 2 | Langmuir | 9.934 | 4.703 | 19.201 | 1.790 | 5.898 | 0.970 |
| Freundlich | 16.261 | 21.035 | 19.881 | 1.581 | 10.604 | 2.051 | ||
| D-R | 36.483 | 51.896 | 57.739 | 353.992 | 15.899 | 3.222 | ||
| 4 | Langmuir | 12.051 | 8.054 | 17.513 | 1.223 | 5.875 | 1.269 | |
| Freundlich | 19.734 | 36.164 | 23.840 | 2.180 | 13.922 | 2.689 | ||
| D-R | 47.706 | 81.307 | 70.448 | 509.599 | 21.196 | 4.033 | ||
| 6 | Langmuir | 16.786 | 9.119 | 30.325 | 3.133 | 6.721 | 1.510 | |
| Freundlich | 17.545 | 25.427 | 29.171 | 1.516 | 12.695 | 2.255 | ||
| D-R | 53.582 | 272.070 | 72.248 | 903.793 | 41.273 | 7.377 | ||
| AC-OH | 2 | Langmuir | 6.402 | 54.695 | 8.453 | 3.009 | 14.617 | 3.307 |
| Freundlich | 17.359 | 142.978 | 24.869 | 7.253 | 28.274 | 5.347 | ||
| D-R | 30.443 | 156.436 | 47.782 | 911.672 | 30.073 | 5.593 | ||
| 4 | Langmuir | 24.359 | 87.296 | 30.821 | 10.184 | 19.823 | 4.178 | |
| Freundlich | 68.640 | 469.134 | 43.902 | 16.675 | 52.871 | 9.686 | ||
| D-R | 38.773 | 719.036 | 53.671 | 51.392 | 54.909 | 11.992 | ||
| 6 | Langmuir | 16.701 | 169.569 | 21.784 | 4.109 | 25.363 | 5.824 | |
| Freundlich | 81.765 | 402.405 | 131.184 | 16.084 | 48.817 | 8.971 | ||
| D-R | 55.164 | 1427.996 | 71.002 | 427.180 | 88.157 | 16.900 | ||
| Dose (g/L) | Model | Parameters | Raw-AC | AC-OH |
|---|---|---|---|---|
| 5 | Langmuir | Qmax (mg/g) | 53.7 | 73.7 |
| KL·10−2 (L/mg) | 2.105 | 0.773 | ||
| R2 | 0.996 | 0.957 | ||
| Freundlich | KF (mg/g)(L/mg)1/n | 4.905 | 23.916 | |
| n | 2.494 | 4.414 | ||
| R2 | 0.953 | 0.953 | ||
| Dubinin–Radushkevich (D-R) | Qmax (mg/g) | 34.771 | 87.074 | |
| β (mol2/kJ2) | 68.942 | 81.735 | ||
| E (kJ/mol) | 0.085 | 0.078 | ||
| R2 | 0.908 | 0.836 | ||
| 15 | Langmuir | Qmax (mg/g) | 53.5 | 53.3 |
| KL·10−2 (L/mg) | 0.613 | 128.915 | ||
| R2 | 0.996 | 0.966 | ||
| Freundlich | KF (mg/g)(L/mg)1/n | 0.952 | 24.446 | |
| n | 1.539 | 2.829 | ||
| R2 | 0.986 | 0.964 | ||
| Dubinin–Radushkevich (D-R) | Qmax (mg/g) | 29.303 | 47.476 | |
| β (mol2/kJ2) | 310.592 | 0.136 | ||
| E (kJ/mol) | 0.040 | 1.916 | ||
| R2 | 0.914 | 0.905 | ||
| 20 | Langmuir | Qmax (mg/g) | 50.1 | 90.6 |
| KL·10−2 (L/mg) | 0.801 | 30.554 | ||
| R2 | 0.998 | 0.993 | ||
| Freundlich | KF (mg/g)(L/mg)1/n | 0.941 | 20.674 | |
| n | 1.472 | 1.395 | ||
| R2 | 0.989 | 0.997 | ||
| Dubinin–Radushkevich (D-R) | Qmax (mg/g) | 25.706 | 42.859 | |
| β (mol2/kJ2) | 157.144 | 0.212 | ||
| E (kJ/mol) | 0.056 | 1.537 | ||
| R2 | 0.955 | 0.951 |
| Biosorbent | Ci (mg/L) | Pseudo-First-Order | Pseudo-Second-Order | ||||
|---|---|---|---|---|---|---|---|
| qe,cal (mg/g) | k1 (1/min) | R2 | qe,cal (mg/g) | k2 (g/mg min) | R2 | ||
| Raw-AC | 25 | 2.4 | 0.341 | 0.976 | 2.4 | 0.970 | 0.994 |
| 50 | 6.0 | 0.118 | 0.985 | 6.2 | 0.038 | 0.987 | |
| 100 | 11.7 | 0.228 | 0.941 | 11.9 | 0.058 | 0.973 | |
| 250 | 16.7 | 0.332 | 0.990 | 16.7 | 0.148 | 0.991 | |
| AC-OH | 25 | 3.2 | 0.409 | 0.999 | 3.2 | 3.175 | 0.999 |
| 50 | 6.7 | 0.298 | 0.999 | 6.8 | 0.728 | 0.999 | |
| 100 | 13.6 | 0.232 | 0.999 | 13.7 | 0.153 | 0.999 | |
| 250 | 34.5 | 0.200 | 0.997 | 34.8 | 0.032 | 1.000 | |
| Biosorbent | Ci (mg/L) | Model | Error Functions | |||||
|---|---|---|---|---|---|---|---|---|
| ARE | SSE (10−2) | ∆q(%) (10−2) | χ2 (10−2) | EABS | RMSE | |||
| Raw-AC | 25 | PFO | 1.486 | 1.531 | 2.099 | 0.635 | 0.251 | 0.055 |
| PSO | 1.285 | 1.065 | 1.728 | 0.444 | 0.218 | 0.046 | ||
| 50 | PFO | 1.758 | 9.475 | 2.218 | 1.633 | 0.698 | 0.138 | |
| PSO | 1.725 | 8.188 | 2.166 | 1.510 | 0.663 | 0.128 | ||
| 100 250 | PFO | 2.790 | 99.482 | 3.577 | 8.505 | 2.252 | 0.446 | |
| PSO | 1.712 | 44.854 | 2.446 | 3.874 | 1.360 | 0.300 | ||
| PFO | 1.051 | 28.115 | 1.297 | 1.688 | 1.226 | 0.237 | ||
| PSO | 0.933 | 26.359 | 1.253 | 1.583 | 1.089 | 0.230 | ||
| AC-OH | 25 | PFO | 0.310 | 0. 093 | 0.424 | 0.029 | 0.060 | 0.015 |
| PSO | 0.298 | 0. 064 | 0.352 | 0.019 | 0.057 | 0.013 | ||
| 50 | PFO | 0.318 | 0.552 | 0.495 | 0.082 | 0.128 | 0.037 | |
| PSO | 0.295 | 0.459 | 0.452 | 0. 068 | 0.119 | 0.034 | ||
| 100 250 | PFO | 0.136 | 0.446 | 0.220 | 0.033 | 0.111 | 0.033 | |
| PSO | 0.341 | 1.560 | 0.414 | 0.116 | 0.276 | 0.062 | ||
| PFO | 0.711 | 46.737 | 0.889 | 1.355 | 1.467 | 0.342 | ||
| PSO | 0.263 | 6.943 | 0.345 | 0.204 | 0.539 | 0.132 | ||
| Temperature (K) | Model | Parameters | Raw-AC | AC-OH |
|---|---|---|---|---|
| 300.15 | Langmuir | Qmax (mg/g) | 96.4 | 171 |
| KL·10−2 (L/mg) | 0.781 | 9.076 | ||
| R2 | 0.997 | 0.990 | ||
| Freundlich | KF (mg/g)(L/mg)1/n | 2.654 | 22.311 | |
| n | 1.71 | 2.043 | ||
| R2 | 0.992 | 0.976 | ||
| Dubinin–Radushkevich (D-R) | Qmax (mg/g) | 53.840 | 120.205 | |
| β (mol2/kJ2) | 227.720 | 2.729 | ||
| E (kJ/mol) | 0.047 | 0.428 | ||
| R2 | 0.899 | 0.913 | ||
| 313.15 | Langmuir | Qmax (mg/g) | 76.1 | 49.6 |
| KL·10−2 (L/mg) | 0.417 | 42.48 | ||
| R2 | 0.988 | 0.971 | ||
| Freundlich | KF (mg/g)(L/mg)1/n | 1.375 | 14.096 | |
| n | 1.671 | 4.173 | ||
| R2 | 0.999 | 0.884 | ||
| Dubinin–Radushkevich (D-R) | Qmax (mg/g) | 38.081 | 47.671 | |
| β (mol2/kJ2) | 264.046 | 0.324 | ||
| E (kJ/mol) | 0.044 | 1.243 | ||
| R2 | 0.865 | 0.970 | ||
| 330.15 | Langmuir | Qmax (mg/g) | 92.4 | 45.3 |
| KL·10−2 (L/mg) | 0.231 | 24.844 | ||
| R2 | 0.981 | 0.959 | ||
| Freundlich | KF (mg/g)(L/mg)1/n | 0.508 | 12.635 | |
| n | 1.311 | 3.329 | ||
| R2 | 0.985 | 0.904 | ||
| Dubinin–Radushkevich (D-R) | Qmax (mg/g) | 30.879 | 39.923 | |
| β (mol2/kJ2) | 494.126 | 0.503 | ||
| E (kJ/mol) | 0.032 | 0.997 | ||
| R2 | 0.904 | 0.887 |
| Biosorbent | T (K) | Model | Error Functions | |||||
|---|---|---|---|---|---|---|---|---|
| APE | SSE | ∆q(%) | χ2 | EABS | RMSE | |||
| Raw-AC | 300.15 | Langmuir | 19.583 | 9.119 | 0.303 | 3.133 | 6.721 | 1.350 |
| Freundlich | 20.027 | 20.996 | 0.291 | 1.405 | 11.534 | 2.049 | ||
| D-R | 52.451 | 298.240 | 70.076 | 608.200 | 42.590 | 7.723 | ||
| 313.15 | Langmuir | 26.940 | 20.969 | 0.397 | 7.404 | 11.441 | 2.048 | |
| Freundlich | 5.468 | 1.262 | 0.114 | 0.211 | 2.160 | 0.502 | ||
| D-R | 52.210 | 244.613 | 67.720 | 210.523 | 35.096 | 6.994 | ||
| 330.15 | Langmuir | 23.035 | 16.390 | 0.305 | 3.404 | 9.584 | 1.811 | |
| Freundlich | 18.858 | 12.375 | 0.242 | 1.310 | 7.947 | 1.573 | ||
| D-R | 47.879 | 75.587 | 63.686 | 94.235 | 19.872 | 3.888 | ||
| AC-OH | 300.15 | Langmuir | 16.701 | 169.569 | 0.218 | 4.109 | 25.363 | 5.824 |
| Freundlich | 81.765 | 402.405 | 1.312 | 16.084 | 48.817 | 8.971 | ||
| D-R | 55.163 | 1427.996 | 71.002 | 427.158 | 88.157 | 16.900 | ||
| 313.15 | Langmuir | 54.847 | 80.379 | 1.131 | 7.002 | 20.212 | 4.009 | |
| Freundlich | 102.467 | 317.822 | 2.177 | 19.917 | 40.802 | 7.973 | ||
| D-R | 37.865 | 97.503 | 57.454 | 78.557 | 23.568 | 4.416 | ||
| 330.15 | Langmuir | 18.713 | 84.480 | 0.244 | 3.088 | 20.839 | 4.110 | |
| Freundlich | 71.759 | 196.337 | 1.261 | 13.284 | 35.860 | 6.266 | ||
| D-R | 43.927 | 231.236 | 59.709 | 10.934 | 35.336 | 6.801 | ||
| Biosorbent | Dose (g/L) | Ci (mg/L) | pH | Kinetic Model | Mechanism | qe,max (mg·g−1) | Ref. |
|---|---|---|---|---|---|---|---|
| Moringa oleifera tree leaves | 4 | 20–200 | 5 | PSO | Chemisorption | 34.6 | [42] |
| Nostoc commune | 0.5 | 127- 442 | 4.5–5.5 | PSO | Chemisorption | 384.6 | [28] |
| Cystoseira stricta | 1 | 0.5–1.0 | 3 | - | - | 65.0 | [50] |
| Leucaena leucocephala leaves | 10 | 10–500 | 6 | PSO | Chemisorption | 25.5 | [51] |
| Ceratophyllum demursum | 0.1 | 1.46–1.73 | 7 | - | Physical, monolayer | 44.8 | [52] |
| Punica geranatum leaves | 0.1 | 1.46–1.73 | 7 | - | Physical, monolayer | 31.78 | [53] |
| Mirabilis jalapa leaves | 0.1 | 50–125 | 4.5 | - | Multimolecular layers | 38.5 | [54] |
| Laurus nobilis leaves waste | 4 | 5–10 | 6 | PFO | Chemisorption | 96.1 | [55] |
| Cladophora fascicularis | 2 | 225.4–838.3 | 5 | PSO | Chemisorption | 227.7 | [56] |
| Nickel ferrite nanoparticle | - | 0.01–0.05 | 5 | PSO | - | 19.2 | [57] |
| MoS2/thiol-functionalized multiwalled carbon nanotube | 2 | 20–150 | 6 | PSO | Multilayer | 90.0 | [58] |
| Nano Zero-Valent Iron particles | 0.1 | 10–1000 | 6 | PSO | Chemisorption | 140.8 | [59] |
| Cu-Based Composite Track-Etched Membranes | 0.0033–0.0052 | 50 | 5 | PSO | Chemisorption | 0.44–0.56 | [60] |
| Raw-AC | 10 | 25–1000 | 6 | PSO | Chemisorption | 96.4 | In this study |
| AC-OH | 10 | 25–1000 | 6 | PSO | Chemisorption | 170.9 | In this study |
| Material | Initial Concentration of Pb (mg/L) | Mass (g) | Temperature (K) | pH of the Solution | Contact Time (min) | qe (mg/g) |
|---|---|---|---|---|---|---|
| 1 | 24.414 | 0.1 | 298.15 | 2 | 1440 | 2.41213 |
| 1 | 48.204 | 0.1 | 298.15 | 2 | 1440 | 4.33674 |
| 1 | 92.492 | 0.1 | 298.15 | 2 | 1440 | 7.1832 |
| 1 | 412.92 | 0.1 | 298.15 | 6 | 1440 | 34.3227 |
| 1 | 531.76 | 0.1 | 298.15 | 6 | 1440 | 41.574 |
| 1 | 854.16 | 0.1 | 298.15 | 6 | 1440 | 62.287 |
| 2 | 26.958 | 0.05 | 298.15 | 2 | 1440 | 5.36626 |
| 2 | 44.613 | 0.05 | 298.15 | 2 | 1440 | 8.84096 |
| 2 | 89.1 | 0.05 | 298.15 | 2 | 1440 | 17.61704 |
| 2 | 333.02 | 0.05 | 298.15 | 6 | 1440 | 63.7672 |
| 2 | 757.88 | 0.05 | 298.15 | 6 | 1440 | 127.848 |
| 2 | 1012.98 | 0.05 | 298.15 | 6 | 1440 | 147.475 |
| Material | Initial Concentration of Pb | Mass | Temperature | pH of the Solution | Contact Time | qe | |
|---|---|---|---|---|---|---|---|
| Material | 1.00 | −0.01 | −0.24 | 0.01 | −0.01 | 0.01 | 0.27 |
| Initial concentration of Pb | −0.01 | 1.00 | 0.14 | −0.02 | −0.12 | 0.27 | 0.79 |
| Mass | −0.24 | 0.14 | 1.00 | −0.06 | 0.06 | 0.38 | −0.18 |
| Temperature | 0.01 | −0.02 | −0.06 | 1.00 | 0.16 | 0.22 | −0.03 |
| pH of the solution | −0.01 | −0.12 | 0.06 | 0.16 | 1.00 | −0.23 | −0.03 |
| Contact time | 0.01 | 0.27 | 0.38 | 0.22 | −0.23 | 1.00 | 0.22 |
| qe | 0.27 | 0.79 | −0.18 | −0.03 | −0.03 | 0.22 | 1.00 |
| Biomass | Initial Concentration of Pb (mg/L) | Mass (g) | Temperature (K) | pH of the Solution | Contact Time (min) | Optimal qe (mg/g) |
|---|---|---|---|---|---|---|
| Raw-AC | 854.16 | 0.1 | 298.15 | 6 | 1440 | 62.287 |
| AC-OH | 1012.98 | 0.05 | 298.15 | 6 | 1440 | 147.475 |
| Experiments | Experimental Parameters | ||||
|---|---|---|---|---|---|
| pH | Time (min) | Ci (mg/L) | Dose (g/L) | Temperature (K) | |
| Solution pH | 2–6 | 1440 | 25–1000 | 10 | 300.15 |
| Dose | 6 | 1440 | 25–1000 | 5–20 | 300.15 |
| Contact times | 6 | 5–1440 | 25–250 | 10 | 300.15 |
| Temperature | 6 | 1440 | 25–1000 | 10 | 300.15–330.15 |
Disclaimer/Publisher’s Note: The statements, opinions and data contained in all publications are solely those of the individual author(s) and contributor(s) and not of MDPI and/or the editor(s). MDPI and/or the editor(s) disclaim responsibility for any injury to people or property resulting from any ideas, methods, instructions or products referred to in the content. |
© 2023 by the authors. Licensee MDPI, Basel, Switzerland. This article is an open access article distributed under the terms and conditions of the Creative Commons Attribution (CC BY) license (https://creativecommons.org/licenses/by/4.0/).
Share and Cite
Vázquez-Sánchez, A.Y.; Lima, E.C.; Abatal, M.; Tariq, R.; Santiago, A.A.; Alfonso, I.; Aguilar, C.; Vazquez-Olmos, A.R. Biosorption of Pb(II) Using Natural and Treated Ardisia compressa K. Leaves: Simulation Framework Extended through the Application of Artificial Neural Network and Genetic Algorithm. Molecules 2023, 28, 6387. https://doi.org/10.3390/molecules28176387
Vázquez-Sánchez AY, Lima EC, Abatal M, Tariq R, Santiago AA, Alfonso I, Aguilar C, Vazquez-Olmos AR. Biosorption of Pb(II) Using Natural and Treated Ardisia compressa K. Leaves: Simulation Framework Extended through the Application of Artificial Neural Network and Genetic Algorithm. Molecules. 2023; 28(17):6387. https://doi.org/10.3390/molecules28176387
Chicago/Turabian StyleVázquez-Sánchez, Alma Y., Eder C. Lima, Mohamed Abatal, Rasikh Tariq, Arlette A. Santiago, Ismeli Alfonso, Claudia Aguilar, and América R. Vazquez-Olmos. 2023. "Biosorption of Pb(II) Using Natural and Treated Ardisia compressa K. Leaves: Simulation Framework Extended through the Application of Artificial Neural Network and Genetic Algorithm" Molecules 28, no. 17: 6387. https://doi.org/10.3390/molecules28176387
APA StyleVázquez-Sánchez, A. Y., Lima, E. C., Abatal, M., Tariq, R., Santiago, A. A., Alfonso, I., Aguilar, C., & Vazquez-Olmos, A. R. (2023). Biosorption of Pb(II) Using Natural and Treated Ardisia compressa K. Leaves: Simulation Framework Extended through the Application of Artificial Neural Network and Genetic Algorithm. Molecules, 28(17), 6387. https://doi.org/10.3390/molecules28176387

