Nickel-Imidazolium Low Transition Temperature Mixtures with Lewis-Acidic Character
Abstract
:1. Introduction
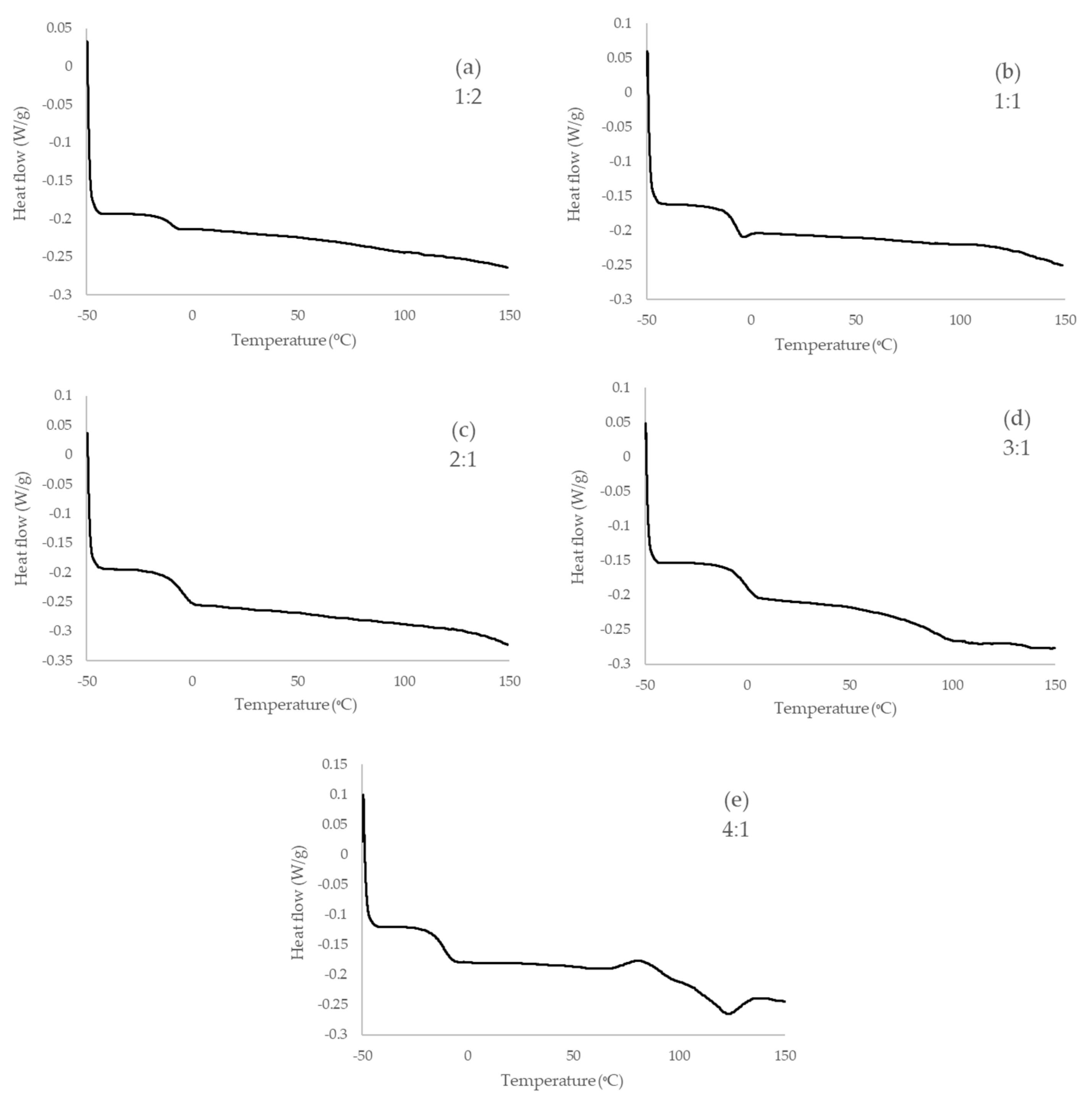
2. Results and Discussion
3. Materials and Methods
3.1. Procedure for the Preparation of 1-(Methoxycarbonylmethyl)-3-methylimidazolium Chloride (mcmimCl)
3.2. Procedure for the Preparation of the McmimCl:xNiCl2·(6H2O) Mixtures
3.3. General Procedure for the Allylation of Heterocycles Promoted by Ni-imidazolium LTTMs
3.4. Spectral Data of Compounds 1 to 14
- (E)-3-(1,3-Diphenylallyl)-1H-indole (1) [37,41]: Yellow oil, obtained pure, 99% yield; 1H NMR (400 MHz, CDCl3): δH = 7.97 (br s, 1H, NH), 7.52 (d, J = 8.1 Hz, 1H, CHAr), 7.45–7.28 (m, 12H, CHAr), 7.11 (ddd, J = 8.1, 7.1, 0.8 Hz, 1H, CHAr), 6.94 (d, J = 1.3 Hz, 1H, CHAr), 6.80 (dd, J = 15.9, 7.4 Hz, 1H, PhC=CH), 6.52 (br d, J = 15.9 Hz, 1H, C=CHPh), 5.20 (br d, J = 7.4 Hz, 1H, C=CCH); 13C NMR (100 MHz, CDCl3): δC = 143.5, 137.7, 136.8, 132.7, 130.7, 128.6, 128.6, 128.5, 127.3, 126.9, 126.5, 126.5, 122.8, 122.2, 119.9, 119.5, 118.8, 111.3, 46.4; MS (EI, 70 eV) m/z (%): 310 (M+ + 1, 24), 309 (M+, 100), 308 (M+ − 1, 39), 294 (10), 232 (36), 230 (16), 218 (16), 217 (17), 206 (28), 204 (17), 202 (8), 192 (15), 191 (16), 130 (18), 115 (17).
- (E)-3-(1,3-Diphenylallyl)-1-methyl-1H-indole (2) [37]: Yellow oil, obtained pure, 98% yield; 1H NMR (400 MHz, CDCl3): δH = 7.52–7.49 (m, 1H, CHAr), 7.45–7.24 (m, 12H, CHAr), 7.09 (ddd, J = 8.0, 6.9, 1.1 Hz, 1H, CHAr), 6.84 (s, 1H, CHN), 6.80 (dd, J = 16.0, 7.4 Hz, 1H, PhC=CH), 6.52 (d, J = 16.0 Hz, 1H, C=CHPh), 5.19 (br d, J = 7.4 Hz, 1H, C=CCH), 3.78 (s, 3H, CH3); 13C NMR (100 MHz, CDCl3): δC = 143.7, 137.6, 137.5, 132.8, 130.5, 128.6, 128.5, 127.5, 127.3, 127.3, 126.5, 126.4, 121.7, 120.1, 119.0, 117.2, 109.3, 46.3, 32.8; MS (EI, 70 eV) m/z (%): 324 (M+ + 1, 25), 323 (M+, 100), 322 (M+ − 1, 36), 247 (9), 246 (45), 244 (9), 232 (14), 231 (9), 220 (28), 219 (8), 218 (12), 217 (8), 204 (8), 192 (11), 191 (16), 144 (27), 131 (8), 122 (10), 115 (11).
- (E)-3-(1,3-Diphenylallyl)-2-methyl-1H-indole (3) [37,41]: Yellow oil, obtained pure, 92% yield; 1H NMR (400 MHz, CDCl3): δH = 7.63 (br s, 1H, NH), 7.28–7.24 (m, 5H, CHAr), 7.19–7.14 (m, 6H, CHAr), 7.12–7.09 (m, 2H, CHAr) 6.99 (ddd, J = 8.1, 7.1, 1.2 Hz, 1H, CHAr), 6.88 (ddd, J = 8.1, 7.1, 1.2 Hz, 1H, CHAr), 6.74 (dd, J = 15.8, 7.2 Hz, 1H, PhC=CH), 6.32 (dd, J = 15.8, 1.2 Hz, 1H, C=CHPh), 5.05 (d, J = 7.2 Hz, 1H, C=CCH), 2.24 (s, 3H, CH3); 13C NMR (100 MHz, CDCl3): δC = 143.6, 137.7, 135.5, 132.3, 131.7, 130.7, 128.6, 128.4, 128.4, 128.1, 127.2, 126.4, 126.2, 121.0, 119.5, 119.4, 112.9, 110.4, 45.2, 12.5; MS (EI, 70 eV) m/z (%): 324 (M+ + 1, 26), 323 (M+, 100), 322 (M+ − 1, 20), 309 (17), 308 (69), 246 (28), 244 (10), 232 (15), 231 (12), 230 (21), 220 (15), 218 (29), 217 (20), 202 (9), 192 (11), 191 (27), 144 (29), 131 (10), 130 (10), 115 (17).
- (E)-3-(1,3-Diphenylallyl)-2-phenyl-1H-indole (4) [37]: Yellow oil, obtained pure, 98% yield; 1H NMR (400 MHz, CDCl3): δH = 8.11 (br s, 1H, NH), 7.62–7.59 (m, 2H, CHAr), 7.55–7.50 (m, 3H, CHAr), 7.48–7.41 (m, 6H, CHAr), 7.37–7.33 (m, 4H, CHAr), 7.28–7.24 (m, 3H, CHAr) 7.09 (ddd, J = 8.1, 7.1, 1.0 Hz, 1H, CHAr), 6.99 (dd, J = 15.8, 7.3 Hz, 1H, PhC=CH), 6.50 (dd, J = 15.8, 1.0 Hz, 1H, C=CHPh), 5.38 (d, J = 7.3 Hz, 1H, C=CCH); 13C NMR (100 MHz, CDCl3): δC = 143.6, 137.6, 136.3, 135.7, 133.0, 132.4, 131.2, 128.9, 128.7, 128.6, 128.4, 128.4, 128.1, 128.0, 127.2, 126.4, 126.2, 122.2, 121.3, 119.8, 113.9, 111.1, 45.3.; MS (EI, 70 eV) m/z (%): 386 (M+ + 1, 31), 385 (M+, 100), 384 (M+ − 1, 19), 341 (22), 331 (16), 309 (12), 308 (46), 306 (17), 304 (11), 295 (26), 294 (97), 292 (9), 291 (11), 280 (18), 278 (8), 230 (14), 218 (9), 217 (13), 205 (8), 204 (23), 203 (8), 202 (9), 194 (9), 193 (45), 192 (22), 191 (22), 189 (8), 178 (9), 176 (7), 165 (14), 153 (9), 152 (10), 146 (10), 115 (9).
- (E)-3-(1,3-Diphenylallyl)-9-ethyl-1H-indole (5) [37]: Reddish oil, obtained pure, 99% yield; 1H NMR (300 MHz, CDCl3) δH = 7.95 (br s, 1H, NH), 7.50–7.30 (m, 11H, CHAr), 7.14–7.11 (m, 2H, CHAr), 6.94 (dd, J = 2.4, 0.7 Hz, 1H, CHAr), 6.86 (dd, J = 15.8, 7.4 Hz, 1H, PhC=CH), 6.58 (d, J = 15.8 Hz, 1H, C=CHPh), 5.24 (d, J = 7.4 Hz, 1H, C=CCH), 2.93 (q, J = 7.6 Hz, 2H, CH2), 1.47 (t, J = 7.6 Hz, 3H, CH3); 13C NMR (100 MHz, CDCl3): δC = 143.6, 137.6, 135.6, 132.8, 130.6, 128.6, 128.6, 128.5, 127.2, 126.7, 126.6, 126.4, 122.4, 120.7, 119.8, 119.2, 117.7, 46.4, 24.0, 13.9.; MS (EI, 70 eV) m/z (%): 338 (M+ + 1, 26), 337 (M+, 100), 336 (M+ − 1, 32), 308 (23), 281 (10) 261 (7), 260 (34), 235 (7), 234 (27), 231 (9), 230 (19), 218 (9), 217 (13), 204 (9), 192 (13), 191 (21), 158 (17), 115 (11).
- (E)-4-Bromo-3-(1,3-diphenylallyl)-1H-indole (6) [37]: Faint yellow oil, obtained pure, 98% yield; 1H NMR (400 MHz, CDCl3): δH = 8.08 (br s, 1H, NH), 7.43–7.25 (m, 12H, CHAr), 7.07–7.03 (m, 1H, CHAr), 6.94 (d, J = 2.0 Hz, 1H, CHAr), 6.81 (dd, J = 15.9, 6.6 Hz, 1H, PhC=CH), 6.32 (dd, J = 15.9, 1.4 Hz, 1H, C=CHPh), 5.99 (d, J = 6.6 Hz, 1H, C=CCH); 13C NMR (100 MHz, CDCl3): δC = 144.0, 137.9, 137.7, 133.9, 130.8, 129.1, 128.6, 128.3, 127.2, 126.4, 126.3, 125.0, 124.9, 124.5, 123.1, 119.2, 114.6, 110.7, 44.9.; MS (EI, 70 eV) m/z (%): 390 (M+ + 3, 25), 389 (M+ + 2, 99), 388 (M+ + 1, 43), 387 (M+, 100), 386 (M+ − 1, 19), 312 (25), 311 (8), 310 (30), 309 (13), 308 (40), 307 (11), 306 (14), 298 (9), 296 (9), 286 (23), 284 (27), 231 (17), 230 (38), 229 (7), 228 (9), 217 (36), 210 (21), 208 (26), 205 (10), 204 (29), 203 (12), 202 (14), 192 (36), 191 (37), 189 (8), 177 (8), 176 (10).
- (E)-3-(1,3-Diphenylallyl)-5-methoxy-1H-indole (7) [37]: Brownish oil, obtained pure, 99% yield; 1H NMR (300 MHz, CDCl3): δH = 7.98 (br s, 1H, NH), 7.43–7.25 (m, 11H, CHAr), 6.90–6.87 (m, 3H, CHAr), 6.77 (dd, J = 15.8, 7.3 Hz, 1H, PhC=CH), 6.50 (d, J = 15.8 Hz, 1H, C=CHPh), 5.13 (d, J = 7.3 Hz, 1H, C=CCH), 3.76 (s, 3H, OCH3); 13C NMR (75 MHz, CDCl3): δC = 153.8, 143.4, 137.5, 132.5, 131.9, 130.6, 128.5, 128.5, 128.5, 127.3, 127.2, 126.4, 126.3, 123.5, 118.3, 112.2, 111.9, 101.8, 55.8, 46.3; MS (EI, 70 eV) m/z (%): 340 (M+ + 1, 25), 339 (M+, 100), 338 (M+ − 1, 32), 324 (11), 308 (11), 263 (9), 262 (34), 253 (11), 236 (25), 209 (12), 204 (10), 192 (16), 191 (26), 160 (17), 147 (9), 115 (8).
- (E)-3-(1,3-Diphenylallyl)-5-formyl-1H-indole (8) [37]: Faint yellow oil, 99% yield; 1H NMR (400 MHz, CDCl3): δH = 9.92 (s, 1H, CHO), 8.92 (br s, 1H, NH), 7.99 (m, 1H, CHAr), 7.78 (dd, J = 8.5, 1.5 Hz, 1H, CHAr), 7.46–7.25 (m, 11H, CHAr), 7.06 (dd, J = 2.2, 0.7 Hz, 1H, CHAr), 6.77 (dd, J = 15.8, 7.3 Hz, 1H, PhC=CH), 6.49 (d, J = 15.8 Hz, 1H, C=CHPh), 5.21 (d, J = 7.3 Hz, 1H, C=CCH); 13C NMR (100 MHz, CDCl3): δC = 192.9, 142.9, 140.4, 137.3, 132.0, 131.1, 129.2, 128.7, 128.6, 128.5, 127.5, 126.8, 126.4, 125.7, 124.7, 122.3, 120.6, 112.1, 46.0.; MS (EI, 70 eV) m/z (%): 338 (M+ + 1, 32), 337 (M+, 100), 336 (M+ − 1, 26), 308 (22), 260 (25), 234 (9), 218 (14), 217 (8), 209 (15), 204 (25), 193 (21), 192 (35), 191 (31), 115 (21).
- (E)-3-(1,3-Diphenylallyl)-5-fluoro-1H-indole (9) [37,41]: Faint yellow oil, obtained pure, 99% yield; 1H NMR (400 MHz, CDCl3): δH = 7.96 (br s, 1H, NH), 7.46–7.26 (m, 12H, CHAr), 7.15 (dd, J = 9.8, 2.5 Hz, 1H, CHAr), 7.01–6.97 (m, 2H, CHAr), 6.78 (dd, J = 15.8, 7.4 Hz, 1H, PhC=CH), 6.53 (d, J = 15.8 Hz, 1H, C=CHPh), 5.13 (d, J =7.3 Hz, 1H, C=CCH); 13C NMR (100 MHz, CDCl3): δC = 157.7 (d, J = 234.5 Hz), 143.1, 137.5, 133.3, 132.2, 130.9, 128.6, 128.5, 127.4, 127.3 (d, J = 9.8 Hz), 126.7, 126.5, 124.5, 118.9 (d, J = 4.7 Hz), 111.9 (d, J = 9.7 Hz), 110.6 (d, J = 26.5 Hz), 104.9 (d, J = 23.6 Hz), 46.3; MS (EI, 70 eV) m/z (%): 328 (M+ + 1, 24), 327 (M+, 100), 326 (M+ − 1, 35), 312 (11), 250 (31), 249 (9), 248 (16), 236 (18), 235 (16), 224 (28), 223 (7), 222 (16), 192 (20), 191 (22), 148 (21), 115 (17).
- (E)-1-(1,3-Diphenylallyl)-1H-1,2,4-triazole (10) [37]: Colorless oil, obtained pure, 96% yield; 1H NMR (400 MHz, CDCl3): δH = 8.17 (s, 1H, CHAr), 8.05 (s, 1H, CHAr), 7.45–7.28 (m, 10H, CHAr), 6.70 (dd, J = 15.8, 7.0 Hz, 1H, PhC=CH), 6.54 (d, J = 15.8 Hz, 1H, C=CHPh), 6.21 (br d, J = 7.0 Hz, 1H, C=CCH); 13C NMR (100 MHz, CDCl3): δC = 152.1, 142.7, 137.7, 135.6, 134.8, 129.2, 128.8, 128.8, 128.6, 127.5, 126.9, 125.7, 66.2; MS (EI, 70 eV) m/z (%): 261 (M+, 26), 233 (17), 206 (11), 193 (25), 192 (70), 191 (59), 190 (9), 189 (14), 178 (20), 165 (14), 157 (14), 146 (11), 145 (100), 144 (17), 130 (7), 117 (17), 116 (8), 115 (59), 91 (22), 89 (10), 77 (11).
- (E)-2-(1,3-Diphenylallyl)-5-phenyl-2H-tetrazole (11) [37]: Colorless oil, obtained pure, 96% yield; 1H NMR (400 MHz, CDCl3): δH = 8.25–8.23 (m, 2H, CHAr), 7.54–7.32 (m, 13H, CHAr), 6.97 (dd, J = 15.8, 7.7 Hz, 1H, PhC=CH), 6.80–6.71 (m, 2H, HC=CH); 13C NMR (100 MHz, CDCl3): δC = 165.3, 137.2, 135.6, 135.1, 130.4, 129.1, 128.9, 128.8, 128.7, 127.53, 127.5, 127.0, 124.9, 69.9; MS (EI, 70 eV) m/z (%): 283 (19), 282 (90), 267 (20), 265 (14), 252 (9), 205 (31), 204 (37), 203 (44), 202 (35), 192 (13), 191 (100), 190 (11), 189 (19), 178 (16), 165 (18), 152 (7), 126 (10), 91 (8).
- (E)-9-(1,3-Diphenylallyl)-9H-carbazole (12) [37]: Yellow oil, obtained pure, 99% yield; 1H NMR (400 MHz, CDCl3): δH = 8.23 (dt, J = 7.7, 0.9 Hz, 2H, CHAr), 7.48–7.28 (m, 16H, CHAr), 7.03 (dd, J = 15.8, 7.0 Hz, 1H, PhC=CH), 6.72–6.68 (m, 2H, C=CHPh, C=CCH); 13C NMR (100 MHz, CDCl3): δC = 140.2, 139.1, 136.3, 134.2, 128.8, 128.7, 128.2, 127.9, 127.3, 126.8, 125.9, 125.7, 123.7, 120.4, 119.3, 110.5, 59.9; MS (EI, 70 eV) m/z (%): 359 (M+, 8), 194 (18), 193 (100), 192 (40), 191 (29), 189 (13), 178 (19), 167 (61), 166 (18), 165 (13), 140 (8), 139 (10), 115 (44), 91 (7).
- (E)-3,6-dichloro-9-(1,3-diphenylallyl)-9H-carbazole (13): White oil, obtained with traces of 3,6-dichlorocarbazole, 99% NMR yield; 1H NMR (400 MHz, CDCl3): δH = 8.08–8.07 (m, 2H, CHAr), 7.44–7.28 (m, 14H, CHAr), 6.93 (dd, J = 15.7, 6.9 Hz, 1H, PhC=CH), 6.64–6.59 (m, 2H, C=CHPh, C=CCH); MS (EI, 70 eV) m/z (%): 431 (M+ + 4, 14), 430 (M+ + 3, 22), 429 (M+ + 2, 72), 428 (M+ + 1, 41), 427(M+, 100), 426 (18), 394 (9), 393 (9), 392 (26), 356 (8), 341 (7), 327 (7), 322 (8), 314 (12), 253 (20), 237 (11), 235 (15), 193 (41), 192 (61), 191 (50), 189 (7), 178 (19), 165 (10).
- (E)-2-(1,3-diphenylallyl)-1,3,5-trimethoxybenzene (14) [43]: Colorless oil, obtained with leftover 1,3,5-trimethoxybenzene, 96% NMR yield; 1H NMR (400 MHz, CDCl3): δH = 7.49 (m, 2H, CHAr), 7.38–7.22 (m, 8H, CHAr), 7.05 (dd, J = 15.8, 8.6 Hz, 1H, PhC=CH), 6.60 (d, J = 15.8 Hz, 1H, C=CHPh), 6.26 (s, 2H, CHAr), 5.54 (d, J = 8.6 Hz, 1H, C=CCH), 3.88 (s, 3H, OCH3), 3.80 (s, 6H, 2xOCH3); MS (EI, 70 eV) m/z (%): 361 (M+ + 1, 28), 360 (M+, 100), 330 (20), 329 (75), 283 (14), 269 (23), 255 (7), 254 (19), 252 (8), 251 (8), 239 (13), 238 (18), 193 (14), 192 (66), 191 (42), 182 (11), 181 (83), 179 (7), 168 (12), 167 (7), 165 (11), 141 (9), 121 (8), 115 (13), 91 (25).
4. Conclusions
Supplementary Materials
Author Contributions
Funding
Institutional Review Board Statement
Informed Consent Statement
Data Availability Statement
Acknowledgments
Conflicts of Interest
Sample Availability
References
- Jessop, P.G. Searching for Green Solvents. Green Chem. 2011, 13, 1391–1398. [Google Scholar] [CrossRef]
- Alonso, D.A.; Baeza, A.; Chinchilla, R.; Guillena, G.; Pastor, I.M.; Ramón, D.J. Deep Eutectic Solvents: The Organic Reaction Medium of the Century. Eur. J. Org. Chem. 2016, 2016, 612–632. [Google Scholar] [CrossRef]
- Handy, S.; Lavender, K. Organic Synthesis in Deep Eutectic Solvents: Paal-Knorr Reactions. Tetrahedron Lett. 2013, 54, 4377–4379. [Google Scholar] [CrossRef]
- Abbott, A.P.; Capper, G.; Davies, D.L.; Rasheed, R.K.; Tambyrajah, V. Novel Solvent Properties of Choline Chloride/Urea Mixtures. Chem. Commun. 2003, 1, 70–71. [Google Scholar] [CrossRef] [PubMed]
- Martins, M.A.R.; Pinho, S.P.; Coutinho, J.A.P. Insights into the Nature of Eutectic and Deep Eutectic Mixtures. J. Solution Chem. 2019, 48, 962–982. [Google Scholar] [CrossRef]
- Francisco, M.; van den Bruinhorst, A.; Kroon, M.C. Low-Transition-Temperature Mixtures (LTTMs): A New Generation of Designer Solvents. Angew. Chem. Int. Ed. 2013, 52, 3074–3085. [Google Scholar] [CrossRef]
- Hooshmand, S.E.; Afshari, R.; Ramón, D.J.; Varma, R.S. Deep Eutectic Solvents: Cutting-Edge Applications in Cross-Coupling Reactions. Green Chem. 2020, 22, 3668–3692. [Google Scholar] [CrossRef]
- González-Gallardo, N.; Saavedra, B.; Guillena, G.; Ramón, D.J. A Jackpot C–H Activation Protocol Using Simple Ruthenium Catalyst in Deep Eutectic Solvents. Green Chem. 2022, 24, 4941–4951. [Google Scholar] [CrossRef]
- Torregrosa-Chinillach, A.; Sánchez-Laó, A.; Santagostino, E.; Chinchilla, R. Organocatalytic Asymmetric Conjugate Addition of Aldehydes to Maleimides and Nitroalkenes in Deep Eutectic Solvents. Molecules 2019, 24, 4058. [Google Scholar] [CrossRef] [PubMed]
- Alonso, D.A.; Burlingham, S.-J.; Chinchilla, R.; Guillena, G.; Ramón, D.J.; Tiecco, M. Asymmetric Organocatalysis in Deep Eutectic Solvents. Eur. J. Org. Chem. 2021, 29, 4065–4071. [Google Scholar] [CrossRef]
- Procopio, D.; Marset, X.; Guillena, G.; Di Gioia, M.L.; Ramón, D. Visible-Light-Mediated Amide Synthesis in Deep Eutectic Solvents. Adv. Synth. Catal. 2023, in press. [Google Scholar] [CrossRef]
- González-Gallardo, N.; Saavedra, B.; Guillena, G.; Ramón, D.J. Indium-Mediated Allylation of Carbonyl Compounds in Deep Eutectic Solvents. Appl. Organomet. Chem. 2021, 35, e6418. [Google Scholar] [CrossRef]
- Cicco, L.; Salomone, A.; Vitale, P.; Ríos-Lombardía, N.; González-Sabín, J.; García-Álvarez, J.; Perna, F.M.; Capriati, V. Addition of Highly Polarized Organometallic Compounds to N-Tert-Butanesulfinyl Imines in Deep Eutectic Solvents under Air: Preparation of Chiral Amines of Pharmaceutical Interest. ChemSusChem 2020, 13, 3583–3588. [Google Scholar] [CrossRef]
- Perrone, S.; Messa, F.; Troisi, L.; Salomone, A. N-, O- and S-Heterocycles Synthesis in Deep Eutectic Solvents. Molecules 2023, 28, 3459. [Google Scholar] [CrossRef]
- Curti, F.; Tiecco, M.; Pirovano, V.; Germani, R.; Caselli, A.; Rossi, E.; Abbiati, G. P-TSA-Based DESs as “Active Green Solvents” for Microwave Enhanced Cyclization of 2-Alkynyl-(Hetero)-Arylcarboxylates: An Alternative Access to 6-Substituted 3,4-Fused 2-Pyranones. Eur. J. Org. Chem. 2019, 2019, 1904–1914. [Google Scholar] [CrossRef]
- Rollo, M.; Raffi, F.; Rossi, E.; Tiecco, M.; Martinelli, E.; Ciancaleoni, G. Depolymerization of Polyethylene Terephthalate (PET) under Mild Conditions by Lewis/Brønsted Acidic Deep Eutectic Solvents. Chem. Eng. J. 2023, 456, 141092. [Google Scholar] [CrossRef]
- Martos, M.; Pastor, I.M. Iron-Based Imidazolium Salt as Dual Lewis Acid and Redox Catalyst for the Aerobic Synthesis of Quinazolines. Eur. J. Org. Chem. 2022, 36, e202200839. [Google Scholar] [CrossRef]
- Bowlas, C.J.; Bruce, D.W.; Seddon, K.R. Liquid-Crystalline Ionic Liquids. Chem. Commun. 1996, 14, 1625–1626. [Google Scholar] [CrossRef]
- Goossens, K.; Lava, K.; Bielawski, C.W.; Binnemans, K. Ionic Liquid Crystals: Versatile Materials. Chem. Rev. 2016, 116, 4643–4807. [Google Scholar] [CrossRef]
- Ferraro, J.R.; Sherren, A.T. Some New Thermochromic Complexes of Nickel(II) of the Type [RxNH4-x]2NiCl4. Inorg. Chem. 1978, 17, 2498–2502. [Google Scholar] [CrossRef]
- Chinnappan, A.; Bandal, H.; Ramakrishna, S.; Kim, H. Facile Synthesis of Polypyrrole/Ionic Liquid Nanoparticles and Use as an Electrocatalyst for Oxygen Evolution Reaction. Chem. Eng. J. 2018, 335, 215–220. [Google Scholar] [CrossRef]
- Seyedi, N.; Shirini, F.; Tajik, H. Nickel Ion-Containing DABCO Based Ionic Liquid: An Efficient Catalyst for the Convenient Chemoselective Reduction of Nitroarenes, N-Acetylation of Arylamines, and One-Pot Reductive Acetylation of Nitroarenes. J. Mol. Struct. 2023, 1285, 135547. [Google Scholar] [CrossRef]
- Chinnappan, A.; Jadhav, A.H.; Kim, H.; Chung, W.-J. Ionic Liquid with Metal Complexes: An Efficient Catalyst for Selective Dehydration of Fructose to 5-Hydroxymethylfurfural. Chem. Eng. J. 2014, 237, 95–100. [Google Scholar] [CrossRef]
- Zhong, C.; Sasaki, T.; Tada, M.; Iwasawa, Y. Ni Ion-Containing Ionic Liquid Salt and Ni Ion-Containing Immobilized Ionic Liquid on Silica: Application to Suzuki Cross-Coupling Reactions between Chloroarenes and Arylboronic Acids. J. Catal. 2006, 242, 357–364. [Google Scholar] [CrossRef]
- Yarinia, R.; Shirini, F.; Langarudi, M.S.N.; Seyyedi, N. Introduction of a New Nano Sized Ni-Based Salt for the Acceleration of the Synthesis of Pyrano[2,3-d]Pyrimidinone and 1,4-Dihydropyridine Derivatives. Polycycl. Aromat. Compd. 2022, 42, 6795–6809. [Google Scholar] [CrossRef]
- Martos, M.; Pastor, I.M. Imidazolium-Urea Low Transition Temperature Mixtures for the UHP-Promoted Oxidation of Boron Compounds. J. Mol. Liq. 2022, 347, 118349. [Google Scholar] [CrossRef]
- Gathergood, N.; Garcia, M.T.; Scammells, P.J. Biodegradable Ionic Liquids: Part I. Concept, Preliminary Targets and Evaluation. Green Chem. 2004, 6, 166–175. [Google Scholar] [CrossRef]
- Gore, R.G.; Myles, L.; Spulak, M.; Beadham, I.; Garcia, T.M.; Connon, S.J.; Gathergood, N. A New Generation of Aprotic yet Brønsted Acidic Imidazolium Salts: Effect of Ester/Amide Groups in the C-2, C-4 and C-5 on Antimicrobial Toxicity and Biodegradation. Green Chem. 2013, 15, 2747–2760. [Google Scholar] [CrossRef]
- Hall, C.L.; Potticary, J.; Hamilton, V.; Gaisford, S.; Buanz, A.; Hall, S.R. Metastable Crystalline Phase Formation in Deep Eutectic Systems Revealed by Simultaneous Synchrotron XRD and DSC. Chem. Commun. 2020, 56, 10726–10729. [Google Scholar] [CrossRef]
- Astrain-Redin, N.; Sanmartin, C.; Sharma, A.K.; Plano, D. From Natural Sources to Synthetic Derivatives: The Allyl Motif as a Powerful Tool for Fragment-Based Design in Cancer Treatment. J. Med. Chem. 2023, 66, 3706–3731. [Google Scholar] [CrossRef]
- Wang, M.-Z.; Zhou, C.-Y.; Guo, Z.; Wong, E.L.-M.; Wong, M.-K.; Che, C.-M. Gold(I)-Catalyzed Enantioselective Intermolecular Hydroarylation of Allenes with Indoles and Reaction Mechanism by Density Functional Theory Calculations. Chem. Asian J. 2011, 6, 812–824. [Google Scholar] [CrossRef]
- Feng, B.; Pu, X.-Y.; Liu, Z.-C.; Xiao, W.-J.; Chen, J.-R. Highly Enantioselective Pd-Catalyzed Indole Allylic Alkylation Using Binaphthyl-Based Phosphoramidite-Thioether Ligands. Org. Chem. Front. 2016, 3, 1246–1249. [Google Scholar] [CrossRef]
- Bhattacharya, R.; Ghosh, A. Thermal Analysis of Pyridinium Tetrachloronickelate(II); Tetrahedral ⇌ Octahedral Structural Transformation. J. Chem. Res. 2001, 8, 332–333. [Google Scholar] [CrossRef]
- Gu, C.-D.; Tu, J.-P. Thermochromic Behavior of Chloro-Nickel(II) in Deep Eutectic Solvents and Their Application in Thermochromic Composite Films. RSC Adv. 2011, 1, 1220–1227. [Google Scholar] [CrossRef]
- Andraos, J. Reaction Green Metrics: Problems, Exercises and Solutions; CRC Press (Taylor & Francis Group): Boca Raton, FL, USA, 2019. [Google Scholar]
- Van Aken, K.; Strekowski, L.; Patiny, L. EcoScale, a Semi-Quantitative Tool to Select an Organic Preparation Based on Economical and Ecological Parameters. Beilstein J. Org. Chem. 2006, 2, 3. [Google Scholar] [CrossRef] [PubMed]
- Martos, M.; Pérez-Almarcha, Y.; Pastor, I.M. DES-Type Interactions To Promote Solvent-Free and Metal-Free Reactions between Nitrogen-Containing Heterocycles and Allylic Alcohols. Eur. J. Org. Chem. 2022, 44, e202201221. [Google Scholar] [CrossRef]
- Trillo, P.; Baeza, A.; Nájera, C. Direct Nucleophilic Substitution of Free Allylic Alcohols in Water Catalyzed by FeCl3⋅6 H2O: Which Is the Real Catalyst? ChemCatChem 2013, 5, 1538–1542. [Google Scholar] [CrossRef]
- Trillo, P.; Baeza, A.; Nájera, C. Fluorinated Alcohols As Promoters for the Metal-Free Direct Substitution Reaction of Allylic Alcohols with Nitrogenated, Silylated, and Carbon Nucleophiles. J. Org. Chem. 2012, 77, 7344–7354. [Google Scholar] [CrossRef] [PubMed]
- Le Bras, J.; Muzart, J. Brønsted-Acid-Catalyzed Coupling of Electron-Rich Arenes with Substituted Allylic and Secondary Benzylic Alcohols. Tetrahedron 2007, 63, 7942–7948. [Google Scholar] [CrossRef]
- Zárate-Roldán, S.; Gimeno, M.C.; Herrera, R.P. Alkylation of Amines with Allylic Alcohols and Deep Eutectic Solvents as Metal-Free and Green Promoters. Green Chem. 2023, 25, 5601–5612. [Google Scholar] [CrossRef]
- Sheldon, R.A. The E-Factor: Fifteen Years On. Green Chem. 2007, 9, 1273–1283. [Google Scholar] [CrossRef]
- Liu, Y.-L.; Liu, L.; Wang, Y.-L.; Han, Y.-C.; Wang, D.; Chen, Y.-J. Calix[n]arene Sulfonic Acids Bearing Pendant Aliphatic Chains as Recyclable Surfactant-Type Brønsted Acid Catalysts for Allylic Alkylation with Allyl Alcohols in Water. Green Chem. 2008, 10, 635–640. [Google Scholar] [CrossRef]






![]() | ||
|---|---|---|
| Entry | [Cat.] | Conversion to 1 |
| 1 | 2:1 mcmimCl:NiCl2 | 99 |
| 2 | 1:1 mcmimCl:NiCl2 | 99 |
| 3 | 1:1 mcmimCl:NiCl2·6H2O | 99 (99) b |
| 4 | NiCl2 | 48 |
| 5 | NiCl2·6H2O | 5 |
| 6 | mcmimCl | 16 |
![]() | |||||
|---|---|---|---|---|---|
| Entry Ref. | Catalyst | Conditions | E-Factor | VMR | EcoScale |
| 1 | 5 mol% 1:1 mcmimCl:NiCl2·6H2O | Neat, 2 h, 80 °C 1:1 (Alcohol/Indole) | 3.9 | 0.771 | 79 |
| 2 [37] | 10 mol% bcmimCl | Neat, 2 h, 80 °C 1:1 (Alcohol/Indole) | 1.9 | 0.790 | 89 |
| 3 [38] | 10 mol% FeCl3·6H2O | H2O, 24 h, 90 °C 1:2 (Alcohol/Indole) | 17.6 † | 0.668 † | 70 |
| 4 [39] | - | HFIP, 24 h, 50 °C 1:1.5 (Alcohol/Indole) | 1.4 † | 0.748 † | 77 |
| 5 [40] | 10 mol% p-TSA | DCM, 2 h, 50 °C 1:1 (Alcohol/Indole) | 94.8 † | 0.776 † | 79 |
| 6 [41] | - | 1:2 choline chloride:lactic acid, 29 h, 60 °C 1:1 (Alcohol/Indole) | 360.4 † | 0.750 † | 69 |
Disclaimer/Publisher’s Note: The statements, opinions and data contained in all publications are solely those of the individual author(s) and contributor(s) and not of MDPI and/or the editor(s). MDPI and/or the editor(s) disclaim responsibility for any injury to people or property resulting from any ideas, methods, instructions or products referred to in the content. |
© 2023 by the authors. Licensee MDPI, Basel, Switzerland. This article is an open access article distributed under the terms and conditions of the Creative Commons Attribution (CC BY) license (https://creativecommons.org/licenses/by/4.0/).
Share and Cite
Martos, M.; Pastor, I.M. Nickel-Imidazolium Low Transition Temperature Mixtures with Lewis-Acidic Character. Molecules 2023, 28, 6338. https://doi.org/10.3390/molecules28176338
Martos M, Pastor IM. Nickel-Imidazolium Low Transition Temperature Mixtures with Lewis-Acidic Character. Molecules. 2023; 28(17):6338. https://doi.org/10.3390/molecules28176338
Chicago/Turabian StyleMartos, Mario, and Isidro M. Pastor. 2023. "Nickel-Imidazolium Low Transition Temperature Mixtures with Lewis-Acidic Character" Molecules 28, no. 17: 6338. https://doi.org/10.3390/molecules28176338
APA StyleMartos, M., & Pastor, I. M. (2023). Nickel-Imidazolium Low Transition Temperature Mixtures with Lewis-Acidic Character. Molecules, 28(17), 6338. https://doi.org/10.3390/molecules28176338



