The Experimental Development of Emulsions Enriched and Stabilized by Recovering Matter from Spirulina Biomass: Valorization of Residue into a Sustainable Protein Source
Abstract
:1. Introduction
2. Results
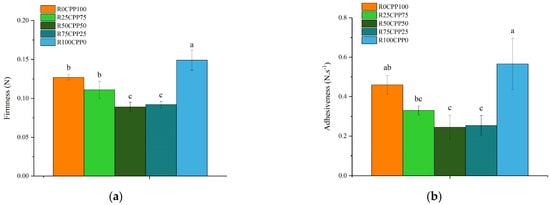
2.1. Texture Analysis Results
2.2. Rheology Results
2.3. Color Parameters
2.4. Antioxidant Activity
3. Discussion
4. Materials and Methods
4.1. Spirulina Residual Biomass (RB)
4.2. Emulsions Formulation
4.3. Rheology Analysis and Measurements
4.4. Texture Analysis and Measurements
4.5. Evaluation of Emulsion Stability and Structure
4.6. Antioxidant Activity
4.7. Microscopy
4.8. Color Measurements
4.9. Statistical Analysis
5. Conclusions
Author Contributions
Funding
Institutional Review Board Statement
Informed Consent Statement
Data Availability Statement
Acknowledgments
Conflicts of Interest
Sample Availability
References
- European Comission A Farm to Fork Strategy for a Fair, Healthy and Environmentally-Friendly Food System. Available online: https://eur-lex.europa.eu/legal-content/EN/TXT/?uri=CELEX:52020DC0381 (accessed on 15 January 2023).
- Costa, J.A.V.; Freitas, B.C.B.; Rosa, G.M.; Moraes, L.; Morais, M.G.; Mitchell, B.G. Operational and Economic Aspects of Spirulina-Based Biorefinery. Bioresour. Technol. 2019, 292, 121946. [Google Scholar] [CrossRef]
- Banakar, V.; Alam, Q.; Rajendra, S.V.; Pandit, A.; Cladious, A.; Gnanaprakash, K. Spirulina, the Boon of Nature. Int. J. Res. Pharm. Sci. 2020, 11, 57–62. [Google Scholar] [CrossRef]
- Grahl, S.; Strack, M.; Mensching, A.; Mörlein, D. Alternative Protein Sources in Western Diets: Food Product Development and Consumer Acceptance of Spirulina-Filled Pasta. Food Qual. Prefer. 2020, 84, 103933. [Google Scholar] [CrossRef]
- Thevarajah, B.; Nishshanka, G.K.S.H.; Premaratne, M.; Nimarshana, P.H.V.; Nagarajan, D.; Chang, J.-S.; Ariyadasa, T.U. Large-Scale Production of Spirulina-Based Proteins and c-Phycocyanin: A Biorefinery Approach. Biochem. Eng. J. 2022, 185, 108541. [Google Scholar] [CrossRef]
- Kent, K.; Charlton, K.E.; Netzel, M.; Fanning, K. Food-based Anthocyanin Intake and Cognitive Outcomes in Human Intervention Trials: A Systematic Review. J. Hum. Nutr. Diet. 2017, 30, 260–274. [Google Scholar] [CrossRef]
- Baretta, D.; Pscheidt, A.; Alberto, C.; Jr, M.; Secchi, M.A. System and Method to Electro-Neutralize Agrochemicals from Food and Water. Lond. J. Res. Sci. Nat. Form. 2018, 18, 1–2. [Google Scholar]
- Swinburn, B.A.; Kraak, V.I.; Allender, S.; Atkins, V.J.; Baker, P.I.; Bogard, J.R.; Brinsden, H.; Calvillo, A.; Larijani, B.; Lobstein, T.; et al. The Lancet Commissions The Global Syndemic of Obesity, Undernutrition, and Climate Change: The Lancet Commission Report. Lancet 2019, 6736, 1–56. [Google Scholar] [CrossRef]
- Arashiro, L.T.; Boto-Ordóñez, M.; Van Hulle, S.W.H.; Ferrer, I.; Garfí, M.; Rousseau, D.P.L. Natural Pigments from Microalgae Grown in Industrial Wastewater. Bioresour. Technol. 2020, 303, 122894. [Google Scholar] [CrossRef]
- Lim, H.R.; Khoo, K.S.; Chew, K.W.; Chang, C.K.; Munawaroh, H.S.H.; Kumar, P.S.; Huy, N.D.; Show, P.L. Perspective of Spirulina Culture with Wastewater into a Sustainable Circular Bioeconomy. Environ. Pollut. 2021, 284, 117492. [Google Scholar] [CrossRef] [PubMed]
- USDA. Livestock and Poultry: World Markets and Trade: Brazil Meat Exports Continue to Grow; United States Department of Agriculture: Washington, DC, USA, 2021.
- USDA FoodData Central. Available online: https://fdc.nal.usda.gov/fdc-app.html#/food-details/1104766/nutrients (accessed on 10 January 2023).
- Pez Jaeschke, D.; Rocha Teixeira, I.; Damasceno Ferreira Marczak, L.; Domeneghini Mercali, G.; Jaeschke, D.; Rocha Teixeira, I.; Damasceno Ferreira Marczak, L.; Domeneghini Mercali, G. Phycocyanin from Spirulina: A Review of Extraction Methods and Stability. Food Res. Int. 2021, 143, 110314. [Google Scholar] [CrossRef]
- Papini, A. Who Discovered Spirulina? An Answer to Soni et al. “Spirulina- from Growth to Nutritional Product: A Review.” Trends Food Sci. Technol. 2023, 134, 230–231. [Google Scholar] [CrossRef]
- Wu, Q.; Liu, L.; Miron, A.; Klímová, B.; Wan, D.; Kuča, K. The Antioxidant, Immunomodulatory, and Anti-Inflammatory Activities of Spirulina: An Overview. Arch. Toxicol. 2016, 90, 1817–1840. [Google Scholar] [CrossRef] [PubMed]
- Khan, Z.; Bhadouria, P.; Bisen, P. Nutritional and Therapeutic Potential of Spirulina. Curr. Pharm. Biotechnol. 2005, 6, 373–379. [Google Scholar] [CrossRef] [PubMed]
- Marles, R.J.; Barrett, M.L.; Barnes, J.; Chavez, M.L.; Gardiner, P.; Ko, R.; Mahady, G.B.; Dog, T.L.; Sarma, N.D.; Giancaspro, G.I.; et al. United States Pharmacopeia Safety Evaluation of Spirulina. Crit. Rev. Food Sci. Nutr. 2011, 51, 593–604. [Google Scholar] [CrossRef]
- Hoseini, S.M.; Khosravi-Darani, K.; Mozafari, M.R. Nutritional and Medical Applications of Spirulina Microalgae. Mini-Rev. Med. Chem. 2013, 13, 1231–1237. [Google Scholar] [CrossRef]
- Guo, J.; Cui, L.; Huang, Y.; Meng, Z. Spirulina Platensis Protein Isolate Nanoparticle Stabilized O/W Pickering Emulsions: Interfacial Adsorption and Bulk Aggregation. Food Res. Int. 2022, 161, 111815. [Google Scholar] [CrossRef]
- Ramírez-Rodrigues, M.M.; Estrada-Beristain, C.; Metri-Ojeda, J.; Pérez-Alva, A.; Baigts-Allende, D.K. Spirulina Platensis Protein as Sustainable Ingredient for Nutritional Food Products Development. Sustainability 2021, 13, 6849. [Google Scholar] [CrossRef]
- Paternina, L.P.R.; Moraes, L.; Santos, T.D.; de Morais, M.G.; Costa, J.A.V. Spirulina and Açai as Innovative Ingredients in the Development of Gummy Candies. J. Food Process. Preserv. 2022, 46, e17261. [Google Scholar] [CrossRef]
- Kuntzler, S.G.; Costa, J.A.V.; Morais, M.G. de Development of Electrospun Nanofibers Containing Chitosan/PEO Blend and Phenolic Compounds with Antibacterial Activity. Int. J. Biol. Macromol. 2018, 117, 800–806. [Google Scholar] [CrossRef]
- Schmatz, D.A.; Costa, J.A.V.; Morais, M.G. de A Novel Nanocomposite for Food Packaging Developed by Electrospinning and Electrospraying. Food Packag. Shelf Life 2019, 20, 100314. [Google Scholar] [CrossRef]
- Lucas, B.F.; de Morais, M.G.; Santos, T.D.; Costa, J.A.V. Spirulina for Snack Enrichment: Nutritional, Physical and Sensory Evaluations. LWT Food Sci. Technol. 2018, 90, 270–276. [Google Scholar] [CrossRef]
- da Silva Figueira, F.; Gettens, J.G.; Costa, J.A.V.; de Morais, M.G.; Moraes, C.C.; Kalil, S.J.; Garcia Gettens, J.; Vieira Costa, J.A.; de Morais, M.G.; Moraes, C.C.; et al. Production of Nanofibers Containing the Bioactive Compound C-Phycocyanin. J. Nanosci. Nanotechnol. 2016, 16, 944–949. [Google Scholar] [CrossRef] [PubMed]
- Uribe-Wandurraga, Z.N.; Martínez-Sánchez, I.; Savall, C.; García-Segovia, P.; Martínez-Monzó, J. Microalgae Fortification of Low-Fat Oil-in-Water Food Emulsions: An Evaluation of the Physicochemical and Rheological Properties. J. Food Sci. Technol. 2021, 58, 3701–3711. [Google Scholar] [CrossRef] [PubMed]
- Shimada, R.T.; Fonseca, M.S.; Petri, D.F.S. The Role of Hydroxypropyl Methylcellulose Structural Parameters on the Stability of Emulsions Containing Spirulina Biomass. Colloids Surf. A Physicochem. Eng. Asp. 2017, 529, 137–145. [Google Scholar] [CrossRef]
- Silva, S.C.; Almeida, T.; Colucci, G.; Santamaria-Echart, A.; Manrique, Y.A.; Dias, M.M.; Barros, L.; Fernandes, Â.; Colla, E.; Barreiro, M.F. Spirulina (Arthrospira Platensis) Protein-Rich Extract as a Natural Emulsifier for Oil-in-Water Emulsions: Optimization through a Sequential Experimental Design Strategy. Colloids Surf. A Physicochem. Eng. Asp. 2022, 648, 129264. [Google Scholar] [CrossRef]
- Ding, J.; Li, Y.; Wang, Q.; Chen, L.; Mao, Y.; Mei, J.; Yang, C.; Sun, Y. Pickering High Internal Phase Emulsions with Excellent UV Protection Property Stabilized by Spirulina Protein Isolate Nanoparticles. Food Hydrocoll. 2023, 137, 108369. [Google Scholar] [CrossRef]
- Fratelli, C.; Bürck, M.; Silva-Neto, A.F.; Oyama, L.M.; De Rosso, V.V.; Braga, A.R.C. Green Extraction Process of Food Grade C-Phycocyanin: Biological Effects and Metabolic Study in Mice. Processes 2022, 10, 1793. [Google Scholar] [CrossRef]
- Fratelli, C.; Burck, M.; Amarante, M.C.A.; Braga, A.R.C. Antioxidant Potential of Nature’s “Something Blue”: Something New in the Marriage of Biological Activity and Extraction Methods Applied to C-Phycocyanin. Trends Food Sci. Technol. 2021, 107, 309–323. [Google Scholar] [CrossRef]
- Weaver, C.M. Bioactive Foods and Ingredients for Health. Adv. Nutr. 2014, 5, 306S–311S. [Google Scholar] [CrossRef]
- Domínguez, H. Algae as a Source of Biologically Active Ingredients for the Formulation of Functional Foods and Nutraceuticals. In Functional Ingredients from Algae for Foods and Nutraceuticals; Elsevier: Amsterdam, The Netherlands, 2013; pp. 1–19. [Google Scholar]
- Banwo, K.; Olojede, A.O.; Adesulu-Dahunsi, A.T.; Verma, D.K.; Thakur, M.; Tripathy, S.; Singh, S.; Patel, A.R.; Gupta, A.K.; Aguilar, C.N.; et al. Functional Importance of Bioactive Compounds of Foods with Potential Health Benefits: A Review on Recent Trends. Food Biosci. 2021, 43, 101320. [Google Scholar] [CrossRef]
- Arenas-Jal, M.; Suñé-Negre, J.M.; Pérez-Lozano, P.; García-Montoya, E. Trends in the Food and Sports Nutrition Industry: A Review. Crit. Rev. Food Sci. Nutr. 2020, 60, 2405–2421. [Google Scholar] [CrossRef] [PubMed]
- Jiang, H.; Zheng, L.; Zou, Y.; Tong, Z.; Han, S.; Wang, S. 3D Food Printing: Main Components Selection by Considering Rheological Properties. Crit. Rev. Food Sci. Nutr. 2019, 59, 2335–2347. [Google Scholar] [CrossRef] [PubMed]
- Álvarez-Castillo, E.; Oliveira, S.; Bengoechea, C.; Sousa, I.; Raymundo, A.; Guerrero, A. A Rheological Approach to 3D Printing of Plasma Protein Based Doughs. J. Food Eng. 2021, 288, 110255. [Google Scholar] [CrossRef]
- Joyner, H.S.; Wicklund, R.A.; Templeton, C.M.; Howarth, L.G.; Wong, S.-S.S.; Anvari, M.; Whaley, J.K. Development of Starch Texture Rheological Maps through Empirical Modeling of Starch Swelling Behavior. Food Hydrocoll. 2021, 120, 106920. [Google Scholar] [CrossRef]
- Wang, M.; Yin, Z.; Sun, W.; Zhong, Q.; Zhang, Y.; Zeng, M. Microalgae Play a Structuring Role in Food: Effect of Spirulina Platensis on the Rheological, Gelling Characteristics, and Mechanical Properties of Soy Protein Isolate Hydrogel. Food Hydrocoll. 2023, 136, 108244. [Google Scholar] [CrossRef]
- Barbieri, S.F.; da Costa Amaral, S.; Ruthes, A.C.; de Oliveira Petkowicz, C.L.; Kerkhoven, N.C.; da Silva, E.R.A.; Silveira, J.L.M. Pectins from the Pulp of Gabiroba (Campomanesia Xanthocarpa Berg): Structural Characterization and Rheological Behavior. Carbohydr. Polym. 2019, 214, 250–258. [Google Scholar] [CrossRef]
- Delfan-Hosseini, S.; Nayebzadeh, K.; Mirmoghtadaie, L.; Kavosi, M.; Hosseini, S.M. Effect of Extraction Process on Composition, Oxidative Stability and Rheological Properties of Purslane Seed Oil. Food Chem. 2017, 222, 61–66. [Google Scholar] [CrossRef]
- Junqueira, L.A.; Amaral, T.N.; Leite Oliveira, N.; Prado, M.E.T.; de Resende, J.V. Rheological Behavior and Stability of Emulsions Obtained from Pereskia Aculeata Miller via Different Drying Methods. Int. J. Food Prop. 2018, 21, 21–35. [Google Scholar] [CrossRef]
- Nieto-Calvache, J.E.; Gerschenson, L.N.; de Escalada Pla, M.F. Papaya By-Products for Providing Stability and Antioxidant Activity to Oil in Water Emulsions. J. Food Sci. Technol. 2021, 58, 1693–1702. [Google Scholar] [CrossRef]
- Parthasarathi, S.; Muthukumar, S.P.; Anandharamakrishnan, C. The Influence of Droplet Size on the Stability: In Vivo Digestion, and Oral Bioavailability of Vitamin E Emulsions. Food Funct. 2016, 7, 2294–2302. [Google Scholar] [CrossRef]
- Ozcan, I.; Ozyigit, E.; Erkoc, S.; Tavman, S.; Kumcuoglu, S. Investigating the Physical and Quality Characteristics and Rheology of Mayonnaise Containing Aquafaba as an Egg Substitute. J. Food Eng. 2023, 344, 111388. [Google Scholar] [CrossRef]
- Bertsch, P.; Böcker, L.; Mathys, A.; Fischer, P. Proteins from Microalgae for the Stabilization of Fluid Interfaces, Emulsions, and Foams. Trends Food Sci. Technol. 2021, 108, 326–342. [Google Scholar] [CrossRef]
- McClements, D.J.; Jafari, S.M. Improving Emulsion Formation, Stability and Performance Using Mixed Emulsifiers: A Review. Adv. Colloid. Interface Sci. 2018, 251, 55–79. [Google Scholar] [CrossRef] [PubMed]
- Simões, S.; Carrera Sanchez, C.; Santos, A.J.; Figueira, D.; Prista, C.; Raymundo, A. Impact of Grass Pea Sweet Miso Incorporation in Vegan Emulsions: Rheological, Nutritional and Bioactive Properties. Foods 2023, 12, 1362. [Google Scholar] [CrossRef]
- Cabrita, M.; Simões, S.; Álvarez-Castillo, E.; Castelo-Branco, D.; Tasso, A.; Figueira, D.; Guerrero, A.; Raymundo, A. Development of Innovative Clean Label Emulsions Stabilized by Vegetable Proteins. Int. J. Food Sci. Technol. 2023, 58, 406–422. [Google Scholar] [CrossRef]
- Lucakova, S.; Branyikova, I.; Hayes, M. Microalgal Proteins and Bioactives for Food, Feed, and Other Applications. Appl. Sci. 2022, 12, 4402. [Google Scholar] [CrossRef]
- Raymundo, A.; Gouveia, L.; Batista, A.P.; Empis, J.; Sousa, I. Fat Mimetic Capacity of Chlorella Vulgaris Biomass in Oil-in-Water Food Emulsions Stabilized by Pea Protein. Food Res. Int. 2005, 38, 961–965. [Google Scholar] [CrossRef]
- Batista, A.P.; Raymundo, A.; Sousa, I.; Empis, J. Rheological Characterization of Coloured Oil-in-Water Food Emulsions with Lutein and Phycocyanin Added to the Oil and Aqueous Phases. Food Hydrocoll. 2006, 20, 44–52. [Google Scholar] [CrossRef]
- da Silva, M.E.T.; Leal, M.A.; de Oliveira Resende, M.; Martins, M.A.; dos Reis Coimbra, J.S. Scenedesmus Obliquus Protein Concentrate: A Sustainable Alternative Emulsifier for the Food Industry. Algal Res. 2021, 59, 102468. [Google Scholar] [CrossRef]
- Ebert, S.; Grossmann, L.; Hinrichs, J.; Weiss, J. Emulsifying Properties of Water-Soluble Proteins Extracted from the Microalgae Chlorella sorokiniana and Phaeodactylum tricornutum. Food Funct. 2019, 10, 754–764. [Google Scholar] [CrossRef]
- Bermejo-Bescós, P.; Piñero-Estrada, E.; Villar del Fresno, Á.M. Neuroprotection by Spirulina Platensis Protean Extract and Phycocyanin against Iron-Induced Toxicity in SH-SY5Y Neuroblastoma Cells. Toxicol. Vitr. 2008, 22, 1496–1502. [Google Scholar] [CrossRef] [PubMed]
- Abdelkhalek, N.K.M.; Ghazy, E.W.; Abdel-Daim, M.M. Pharmacodynamic Interaction of Spirulina Platensis and Deltamethrin in Freshwater Fish Nile Tilapia, Oreochromis Niloticus: Impact on Lipid Peroxidation and Oxidative Stress. Environ. Sci. Pollut. Res. 2015, 22, 3023–3031. [Google Scholar] [CrossRef] [PubMed]
- de Amarante, M.C.A.; Braga, A.R.C.; Sala, L.; Moraes, C.C.; Kalil, S.J. Design Strategies for C-Phycocyanin Purification: Process Influence on Purity Grade. Sep. Purif. Technol. 2020, 252, 117453. [Google Scholar] [CrossRef]
- Wu, S. Chain Structure and Entanglement. J. Polym. Sci. B Polym. Phys. 1989, 27, 723–741. [Google Scholar] [CrossRef]
- Franco, J.M.; Gallegos, C.; Barnes, H.A. On Slip Effects in Steady-State Flow Measurements of Oil-in-Water Food Emulsions. J. Food Eng. 1998, 36, 89–102. [Google Scholar] [CrossRef]
- de Amarante, M.C.A.; Cavalcante Braga, A.R.; Sala, L.; Juliano Kalil, S.; Campos Assumpção de Amarante, M.; Cavalcante Braga, A.R.; Sala, L.; Juliano Kalil, S. Colour Stability and Antioxidant Activity of C-Phycocyanin-Added Ice Creams after in Vitro Digestion. Food Res. Int. 2020, 137, 109602. [Google Scholar] [CrossRef]
- Brand-Williams, W.; Cuvelier, M.E.; Berset, C. Use of a Free Radical Method to Evaluate Antioxidant Activity. LWT Food Sci. Technol. 1995, 28, 25–30. [Google Scholar] [CrossRef]
- Benzie, I.F.F.; Strain, J.J. The Ferric Reducing Ability of Plasma (FRAP) as a Measure of “Antioxidant Power”: The FRAP Assay. Anal. Biochem. 1996, 239, 70–76. [Google Scholar] [CrossRef]





| Sample | η0 (103 Pa.s) | k (Pa.s) | m (Dimensionless) |
|---|---|---|---|
| R0CPP100 | 5.61 d,b ± 0.62 | 282.0 c ± 26.5 | 1.49 a ± 0.1 |
| R25CPP75 | 2.89 c ± 0.29 | 210.7 b ± 25.8 | 1.12 a ± 0.3 |
| R50CPP50 | 4.46 b,c,d ± 0.61 | 270.0 b,c ± 26.1 | 1.42 a ± 0.2 |
| R75CPP25 | 6.13 b ± 0.32 | 252.7 b,c ± 25.2 | 1.25 a ± 0.2 |
| R100CPP0 | 8.89 a ± 1.30 | 500.0 a ± 1.00 | 1.34 a ± 0.1 |
| Sample | t = 0 | t = 30 Days | ||||||
|---|---|---|---|---|---|---|---|---|
| L* | a* | b* | Hue Angle | L* | a* | b* | Hue Angle | |
| R0CPP100 | 85.46 a ± 1.25 | −0.63 a ± 0.01 | 11.14 a ± 0.85 | 93.7 a ± 0.23 | 86.44 a ± 0.02 | −0.63 a ± 0.00 | 12.26 a ± 0.13 | 92.96 a ± 0.03 |
| R25CPP75 | 55.21 a ± 0.51 | −9.10 a ± 0.10 | 13.80 a ± 0.07 | 123.41 a ± 0.28 | 54.41 a ± 0.53 | −9.18 a ± 0.07 | 13.65 a ± 0.02 | 123.93 a ± 0.18 |
| R50CPP50 | 47.44 a ± 0.32 | −9.20 a ± 0.06 | 12.46 a ± 0.17 | 126.45 a ± 0.27 | 46.55 a ± 0.27 | −9.27 a ± 0.14 | 12.44 a ± 0.00 | 126.67 a ± 0.41 |
| R75CPP25 | 43.66 a ± 0.24 | −9.49 a ± 0.15 | 11.59 a ± 0.34 | 129.33 a ± 0.68 | 43.53 a ± 0.14 | −9.57 a ± 0.07 | 11.48 a ± 0.07 | 129.80 a ± 0.30 |
| R100CPP0 | 41.16 a ± 0.41 | −9.52 a ± 0.09 | 11.51 a ± 0.19 | 132.18 a ± 0.30 | 40.64 a ± 0.58 | −9.55 a ± 0.06 | 10.68 a ± 0.05 | 131.82 a ± 0.06 |
| Samples | Antioxidant Activity (µmol Trolox/100 g) | |
|---|---|---|
| DPPH | FRAP | |
| R0CPP100 | 15.4 c ± 0.16 | 169.4 c ± 5.75 |
| R25CPP75 | 16.6 c ± 2.17 | 181.7 c ± 3.34 |
| R50CPP50 | 26.2 b ± 2.37 | 226.6 b ± 10.69 |
| R75CPP25 | 29.6 b ± 3.47 | 249.0 b ± 3.08 |
| R100CPP0 | 43.0 a ± 1.50 | 343.9 a ± 21.12 |
Disclaimer/Publisher’s Note: The statements, opinions and data contained in all publications are solely those of the individual author(s) and contributor(s) and not of MDPI and/or the editor(s). MDPI and/or the editor(s) disclaim responsibility for any injury to people or property resulting from any ideas, methods, instructions or products referred to in the content. |
© 2023 by the authors. Licensee MDPI, Basel, Switzerland. This article is an open access article distributed under the terms and conditions of the Creative Commons Attribution (CC BY) license (https://creativecommons.org/licenses/by/4.0/).
Share and Cite
Braga, A.R.C.; Nunes, M.C.; Raymundo, A. The Experimental Development of Emulsions Enriched and Stabilized by Recovering Matter from Spirulina Biomass: Valorization of Residue into a Sustainable Protein Source. Molecules 2023, 28, 6179. https://doi.org/10.3390/molecules28176179
Braga ARC, Nunes MC, Raymundo A. The Experimental Development of Emulsions Enriched and Stabilized by Recovering Matter from Spirulina Biomass: Valorization of Residue into a Sustainable Protein Source. Molecules. 2023; 28(17):6179. https://doi.org/10.3390/molecules28176179
Chicago/Turabian StyleBraga, Anna Rafaela Cavalcante, Maria Cristiana Nunes, and Anabela Raymundo. 2023. "The Experimental Development of Emulsions Enriched and Stabilized by Recovering Matter from Spirulina Biomass: Valorization of Residue into a Sustainable Protein Source" Molecules 28, no. 17: 6179. https://doi.org/10.3390/molecules28176179
APA StyleBraga, A. R. C., Nunes, M. C., & Raymundo, A. (2023). The Experimental Development of Emulsions Enriched and Stabilized by Recovering Matter from Spirulina Biomass: Valorization of Residue into a Sustainable Protein Source. Molecules, 28(17), 6179. https://doi.org/10.3390/molecules28176179
