Peculiarities of the Variation of Biologically Active Compounds in Fruit of Vaccinium oxycoccos L. Growing in the Čepkeliai State Strict Nature Reserve
Abstract
1. Introduction
2. Results and Discussion
2.1. Analysis of the Qualitative and Quantitative Composition of Anthocyanins
2.2. Analysis of the Quantitative Composition of Proanthocyanidins
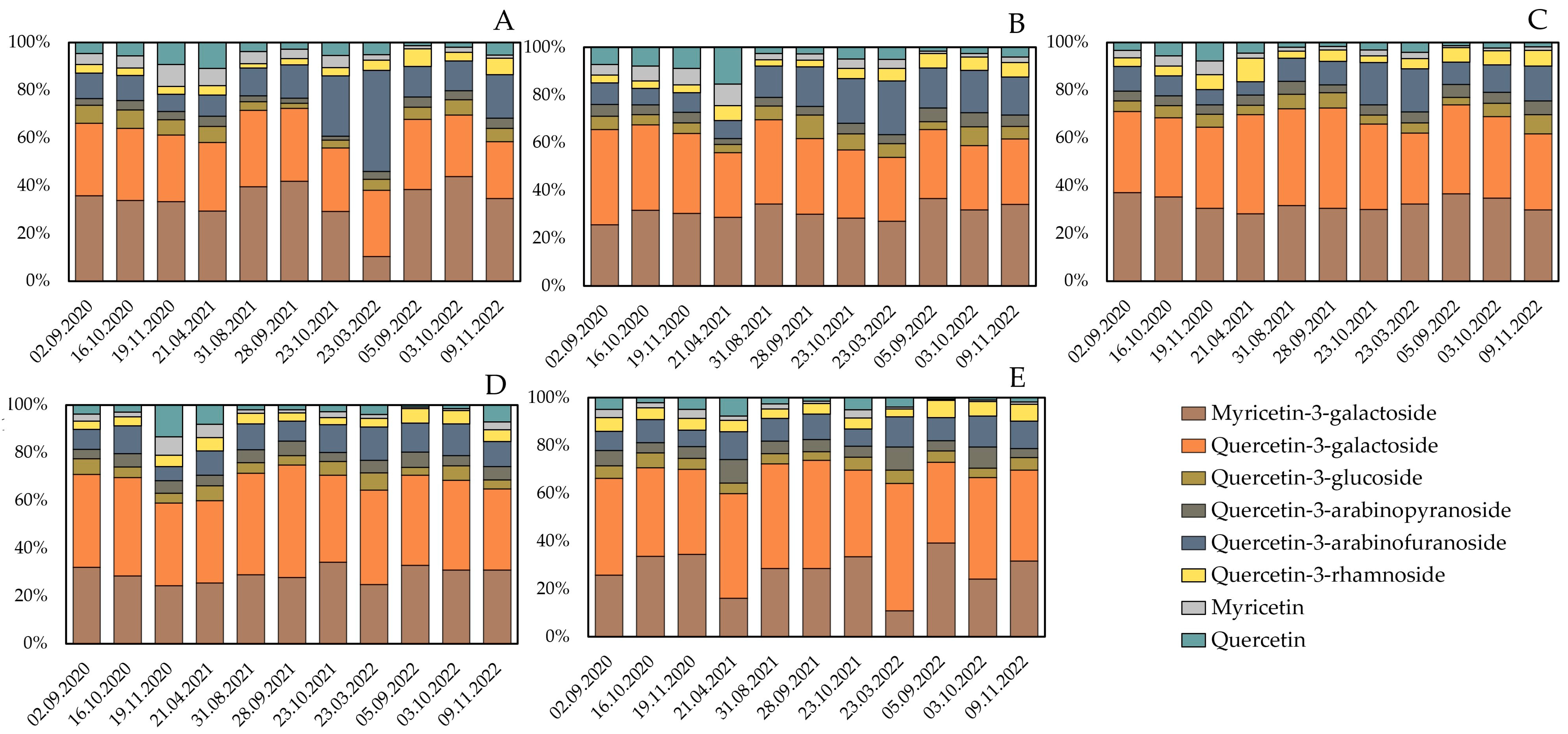
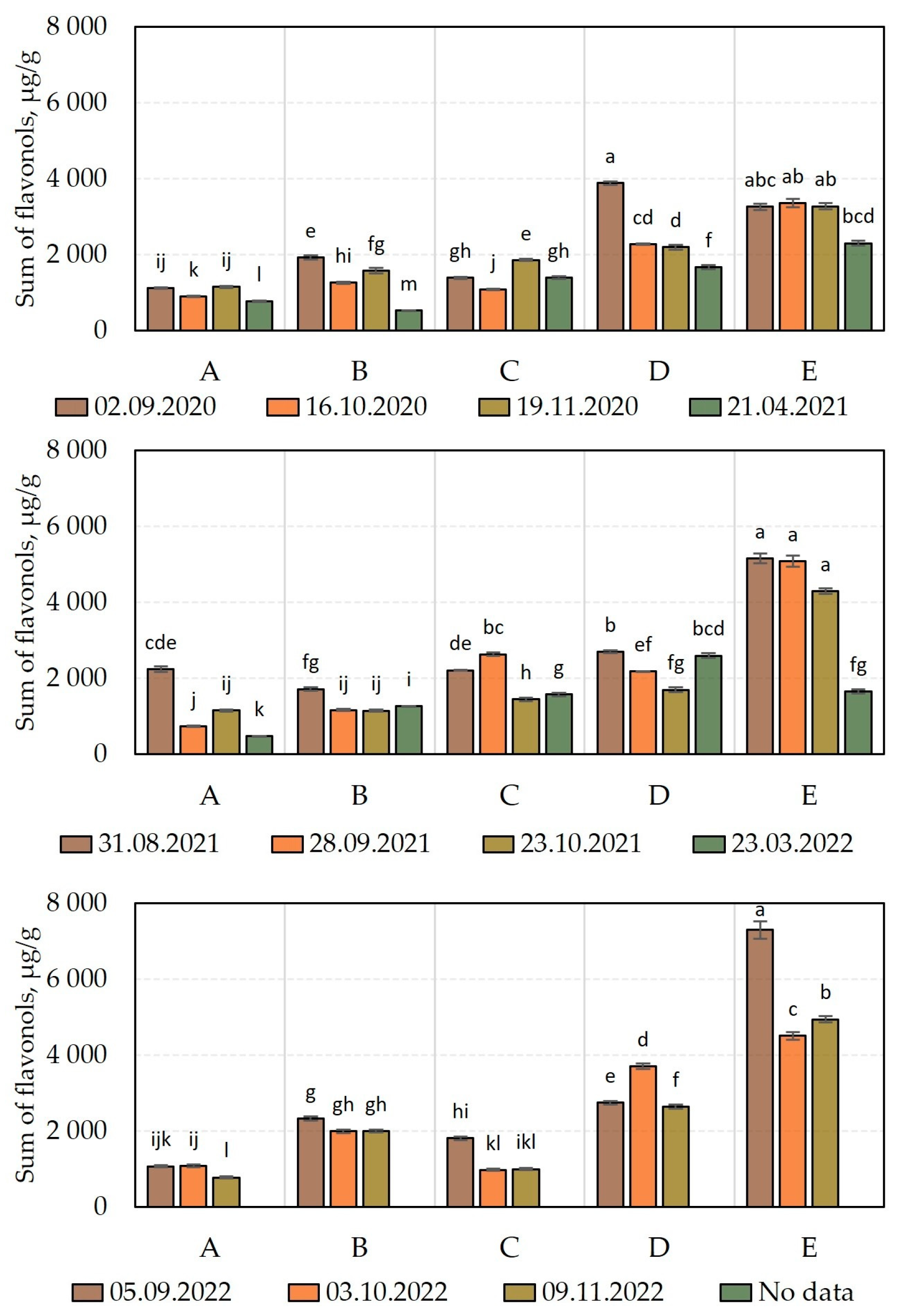
2.3. Analysis of the Qualitative and Quantitative Composition of Flavonols
2.4. Analysis of the Quantitative Composition of Chlorogenic Acid
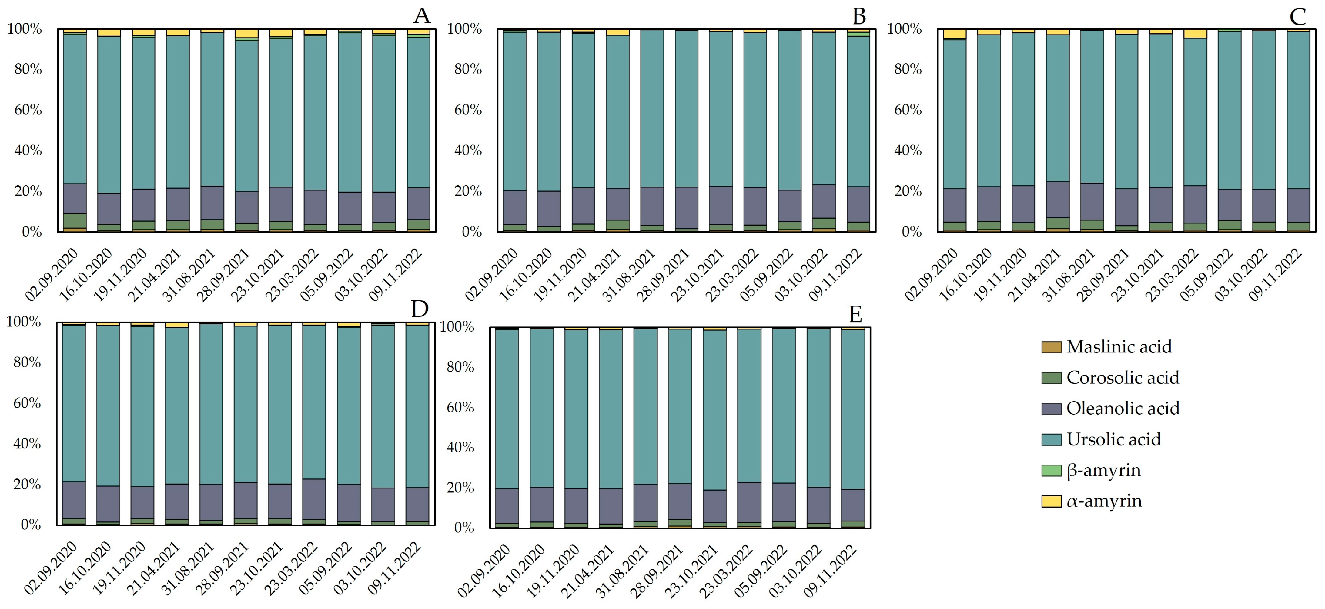
2.5. Analysis of the Qualitative and Quantitative Composition of Triterpenoids
2.6. Comparative Analysis of the Phytochemical Composition of Cranberry Fruit Samples for the Period of 2020–2022
3. Materials and Methods
3.1. Chemicals
3.2. Plant Material
3.3. Sample Preparation by Extraction
3.4. Spectrophotometric Studies
3.5. UPLC Analysis
3.6. Data Analysis
4. Conclusions
Author Contributions
Funding
Institutional Review Board Statement
Informed Consent Statement
Data Availability Statement
Conflicts of Interest
Sample Availability
References
- Ecosystems and Human Well-Being: Wetlands and Water Synthesis: A Report of the Millennium Ecosystem Assessment; Millennium Ecosystem Assessment (Program), Ed.; World Resources Institute: Washington, DC, USA, 2005. [Google Scholar]
- Junk, W.J.; An, S.; Finlayson, C.M.; Gopal, B.; Květ, J.; Mitchell, S.A.; Mitsch, W.J.; Robarts, R.D. Current State of Knowledge Regarding the World’s Wetlands and Their Future under Global Climate Change: A Synthesis. Aquat. Sci. 2013, 75, 151–167. [Google Scholar] [CrossRef]
- Taminskas, J.; Pileckas, M.; Šimanauskienė, R.; Linkevičienė, R. Wetland Classification and Inventory in Lithuania. Baltica 2012, 25, 33–44. [Google Scholar] [CrossRef]
- Mažeika, J.; Guobytė, R.; Kibirkštis, G.; Petrošius, R.; Skuratovič, Ž.; Taminskas, J. The Use of Carbon-14 and Tritium for Peat and Water Dynamics Characterization: Case of Čepkeliai Peatland, Southeastern Lithuania. Geochronometria 2009, 34, 41–48. [Google Scholar] [CrossRef]
- Grigaitė, O.; Lapelė, M. Kontroliuojamo gaisro poveikis viržynų buveinėms ir saugomoms rūšims. In Gamtos Vertybių Būklė saugomose Teritorijose, 1st ed.; Pakalnis, R., Ed.; Lututė: Kaunas, Lithuania, 2017; pp. 27–39. [Google Scholar]
- Taminskas, J.; Linkevičienė, R.; Mažeika, J.; Kibirkštis, G. Raisto hidrometeorologinėms sąlygoms: Vertikaliosios vandens apytakos charakteristikoms. Ann. Geogr. 2008, 40, 50–59. [Google Scholar]
- Jurikova, T.; Skrovankova, S.; Mlcek, J.; Balla, S.; Snopek, L. Bioactive Compounds, Antioxidant Activity, and Biological Effects of European Cranberry (Vaccinium oxycoccos). Molecules 2018, 24, 24. [Google Scholar] [CrossRef]
- Česonienė, L.; Jasutienė, I.; Šarkinas, A. Phenolics and Anthocyanins in Berries of European Cranberry and Their Antimicrobial Activity. Medicina 2009, 45, 992. [Google Scholar] [CrossRef]
- Narwojsz, A.; Tańska, M.; Mazur, B.; Borowska, E.J. Fruit Physical Features, Phenolic Compounds Profile and Inhibition Activities of Cranberry Cultivars (Vaccinium macrocarpon) Compared to Wild-Grown Cranberry (Vaccinium oxycoccus). Plant Foods Hum. Nutr. 2019, 74, 300–306. [Google Scholar] [CrossRef]
- Kondo, M.; MacKinnon, S.L.; Craft, C.C.; Matchett, M.D.; Hurta, R.A.R.; Neto, C.C. Ursolic Acid and Its Esters: Occurrence in Cranberries and Other Vaccinium Fruit and Effects on Matrix Metalloproteinase Activity in DU145 Prostate Tumor Cells: Anti-Tumor Activity and Content of Ursolic Acid from Vaccinium Fruit. J. Sci. Food Agric. 2011, 91, 789–796. [Google Scholar] [CrossRef]
- Brown, P.N.; Murch, S.J.; Shipley, P. Phytochemical Diversity of Cranberry (Vaccinium macrocarpon Aiton) Cultivars by Anthocyanin Determination and Metabolomic Profiling with Chemometric Analysis. J. Agric. Food Chem. 2012, 60, 261–271. [Google Scholar] [CrossRef]
- Stobnicka, A.; Gniewosz, M. Antimicrobial Protection of Minced Pork Meat with the Use of Swamp Cranberry (Vaccinium oxycoccos L.) Fruit and Pomace Extracts. J. Food Sci. Technol. 2018, 55, 62–71. [Google Scholar] [CrossRef]
- Ivavičiūtė, G. Change in the area of Lithuanian wetlands (2002–2021). In Proceedings of the Annual 28th Annual International Scientific Conference “Research for Rural Development 2022”, Conference Proceeding, Jelgava, Latvia, 18–20 May 2022; pp. 266–272. [Google Scholar]
- Osvalde, A.; Karlsons, A. Evaluation of the Nutrient Status of American Cranberry in Latvia during 2001–2007. Acta Hortic. 2010, 868, 213–218. [Google Scholar] [CrossRef]
- Šedbarė, R.; Sprainaitytė, S.; Baublys, G.; Viskelis, J.; Janulis, V. Phytochemical Composition of Cranberry (Vaccinium oxycoccos L.) Fruits Growing in Protected Areas of Lithuania. Plants 2023, 12, 1974. [Google Scholar] [CrossRef]
- Vorsa, N.; Polashock, J.J. Alteration of Anthocyanin Glycosylation in Cranberry Through Interspecific Hybridization. J. Am. Soc. Hortic. Sci. 2005, 130, 711–715. [Google Scholar] [CrossRef]
- Areškevičiūtė, J.; Paulauskas, A.; Česoneinė, L.; Daubaras, R. Genetic Characterisation of Wild Cranberry (Vaccinium oxycoccos) from Čepkeliai Reserve by the RAPD Method. Biologija 2006, 52, 5–7. [Google Scholar]
- Česonienė, L.; Daubaras, R.; Jasutienė, I.; Venclovienė, J.; Miliauskienė, I. Evaluation of the Biochemical Components and Chromatic Properties of the Juice of Vaccinium macrocarpon Aiton and Vaccinium oxycoccos L. Plant Foods Hum. Nutr. 2011, 66, 238–244. [Google Scholar] [CrossRef]
- Zafra-Stone, S.; Yasmin, T.; Bagchi, M.; Chatterjee, A.; Vinson, J.A.; Bagchi, D. Berry Anthocyanins as Novel Antioxidants in Human Health and Disease Prevention. Mol. Nutr. Food Res. 2007, 51, 675–683. [Google Scholar] [CrossRef]
- Singh, I.; Gautam, L.K.; Kaur, I.R. Effect of Oral Cranberry Extract (Standardized Proanthocyanidin-A) in Patients with Recurrent UTI by Pathogenic E. Coli: A Randomized Placebo-Controlled Clinical Research Study. Int. Urol. Nephrol. 2016, 48, 1379–1386. [Google Scholar] [CrossRef]
- Mannino, G.; Di Stefano, V.; Lauria, A.; Pitonzo, R.; Gentile, C. Vaccinium macrocarpon (Cranberry)-Based Dietary Supplements: Variation in Mass Uniformity, Proanthocyanidin Dosage and Anthocyanin Profile Demonstrates Quality Control Standard Needed. Nutrients 2020, 12, 992. [Google Scholar] [CrossRef]
- Rupasinghe, V.; Neir, S.V.; Parmar, I. Polyphenol Characterization, Anti-Oxidant, Anti-Proliferation and Anti-Tyrosinase Activity of Cranberry Pomace. Funct. Foods Health Dis. 2016, 6, 754. [Google Scholar] [CrossRef]
- Yu, D.; Huang, T.; Tian, B.; Zhan, J. Advances in Biosynthesis and Biological Functions of Proanthocyanidins in Horticultural Plants. Foods 2020, 9, 1774. [Google Scholar] [CrossRef]
- Česonienė, L.; Daubaras, R. Phytochemical Composition of the Large Cranberry (Vaccinium macrocarpon) and the Small Cranberry (Vaccinium oxycoccos). In Nutritional Composition of Fruit Cultivars; Elsevier: Amsterdam, The Netherlands, 2016; pp. 173–194. [Google Scholar]
- Oszmiański, J.; Wojdyło, A.; Lachowicz, S.; Gorzelany, J.; Matłok, N. Comparison of Bioactive Potential of Cranberry Fruit and Fruit-Based Products versus Leaves. J. Funct. Foods 2016, 22, 232–242. [Google Scholar] [CrossRef]
- Sharma, A.; Sharma, P.; Singh Tuli, H.; Sharma, A.K. Phytochemical and Pharmacological Properties of Flavonols. In eLS; John Wiley & Sons, Ltd., Ed.; Wiley: Hoboken, NJ, USA, 2018; pp. 1–12. [Google Scholar]
- Prasain, J.K.; Grubbs, C.; Barnes, S. Cranberry Anti-Cancer Compounds and Their Uptake and Metabolism: An Updated Review. J. Berry Res. 2020, 10, 1–10. [Google Scholar] [CrossRef]
- Neto, C.C. Cranberry and Its Phytochemicals: A Review of In Vitro Anticancer Studies. J. Nutr. 2007, 137, 186S–193S. [Google Scholar] [CrossRef]
- Wang, Y.; Han, A.; Chen, E.; Singh, R.K.; Chichester, C.O.; Moore, R.G.; Singh, A.P.; Vorsa, N. The Cranberry Flavonoids PAC DP-9 and Quercetin Aglycone Induce Cytotoxicity and Cell Cycle Arrest and Increase Cisplatin Sensitivity in Ovarian Cancer Cells. Int. J. Oncol. 2015, 46, 1924–1934. [Google Scholar] [CrossRef]
- Li, S.; Zhao, S.; Christman, L.M.; Washington, T.L.; Gu, L. Anti-Adhesion Capacities of Selected Cranberry Polyphenols and Metabolites against P-Type and Type-1 Fimbriated Uropathogenic E. Coli Using a Fluorometric Method. Food Biosci. 2022, 49, 101960. [Google Scholar] [CrossRef]
- Albert, N.W.; Iorizzo, M.; Mengist, M.F.; Montanari, S.; Zalapa, J.; Maule, A.; Edger, P.P.; Yocca, A.E.; Platts, A.E.; Pucker, B.; et al. Vaccinium as a Comparative System for Understanding of Complex Flavonoid Accumulation Profiles and Regulation in Fruit. Plant Physiol. 2023, 192, 1696–1710. [Google Scholar] [CrossRef]
- Stewart, A.J.; Chapman, W.; Jenkins, G.I.; Graham, I.; Martin, T.; Crozier, A. The Effect of Nitrogen and Phosphorus Deficiency on Flavonol Accumulation in Plant Tissues: Flavonol Accumulation in N- and P-Deficient Plant Tissues. Plant Cell Environ. 2001, 24, 1189–1197. [Google Scholar] [CrossRef]
- Wang, F.; Ge, S.; Xu, X.; Xing, Y.; Du, X.; Zhang, X.; Lv, M.; Liu, J.; Zhu, Z.; Jiang, Y. Multiomics Analysis Reveals New Insights into the Apple Fruit Quality Decline under High Nitrogen Conditions. J. Agric. Food Chem. 2021, 69, 5559–5572. [Google Scholar] [CrossRef] [PubMed]
- Liu, L.; Gregan, S.; Winefield, C.; Jordan, B. From UVR8 to Flavonol Synthase: UV-B-Induced Gene Expression in Sauvignon Blanc Grape Berry: UV-B-Induced Gene Expression. Plant Cell Environ. 2015, 38, 905–919. [Google Scholar] [CrossRef] [PubMed]
- Oszmiański, J.; Kolniak-Ostek, J.; Lachowicz, S.; Gorzelany, J.; Matłok, N. Effect of Dried Powder Preparation Process on Polyphenolic Content and Antioxidant Capacity of Cranberry (Vaccinium macrocarpon L.). Ind. Crops Prod. 2015, 77, 658–665. [Google Scholar] [CrossRef]
- Ghasemzadeh, A. Flavonoids and Phenolic Acids: Role and Biochemical Activity in Plants and Human. J. Med. Plants Res. 2011, 5, 6697–6702. [Google Scholar] [CrossRef]
- Robbins, R.J. Phenolic Acids in Foods: An Overview of Analytical Methodology. J. Agric. Food Chem. 2003, 51, 2866–2887. [Google Scholar] [CrossRef] [PubMed]
- Santana-Gálvez, J.; Cisneros-Zevallos, L.; Jacobo-Velázquez, D. Chlorogenic Acid: Recent Advances on Its Dual Role as a Food Additive and a Nutraceutical against Metabolic Syndrome. Molecules 2017, 22, 358. [Google Scholar] [CrossRef] [PubMed]
- Reine Judesse Soviguidi, D.; Pan, R.; Liu, Y.; Rao, L.; Zhang, W.; Yang, X. Chlorogenic Acid Metabolism: The Evolution and Roles in Plant Response to Abiotic Stress. Phyton 2022, 91, 239–255. [Google Scholar] [CrossRef]
- Klavins, L.; Klavins, M. Cuticular Wax Composition of Wild and Cultivated Northern Berries. Foods 2020, 9, 587. [Google Scholar] [CrossRef]
- Szakiel, A.; Pączkowski, C.; Pensec, F.; Bertsch, C. Fruit Cuticular Waxes as a Source of Biologically Active Triterpenoids. Phytochem. Rev. 2012, 11, 263–284. [Google Scholar] [CrossRef]
- Klavins, L.; Viksna, A.; Kviesis, J.; Klavins, M. Lipids of cultivated and wild Vaccinium Spp. Berries from Latvia. In Proceedings of the 13th Baltic Conference on Food Science and Technology “FOOD. NUTRITION. WELL-BEING.” FOODBALT 2019 Conference Proceeding, Jelgava, Latvia, 2–3 May 2019; pp. 198–203. [Google Scholar]
- Oszmiański, J.; Kolniak-Ostek, J.; Lachowicz, S.; Gorzelany, J.; Matłok, N. Phytochemical Compounds and Antioxidant Activity in Different Cultivars of Cranberry (Vaccinium macrocarpon L.). J. Food Sci. 2017, 82, 2569–2575. [Google Scholar] [CrossRef]
- Huang, Y.; Nikolic, D.; Pendland, S.; Doyle, B.J.; Locklear, T.D.; Mahady, G.B. Effects of Cranberry Extracts and Ursolic Acid Derivatives on P-Fimbriated Escherichia Coli, COX-2 Activity, pro-Inflammatory Cytokine Release and the NF-Κβ Transcriptional Response in Vitro. Pharm. Biol. 2009, 47, 18–25. [Google Scholar] [CrossRef]
- Murphy, B.T.; MacKinnon, S.L.; Yan, X.; Hammond, G.B.; Vaisberg, A.J.; Neto, C.C. Identification of Triterpene Hydroxycinnamates with in Vitro Antitumor Activity from Whole Cranberry Fruit (Vaccinium macrocarpon). J. Agric. Food Chem. 2003, 51, 3541–3545. [Google Scholar] [CrossRef]
- Sedbare, R.; Raudone, L.; Zvikas, V.; Viskelis, J.; Liaudanskas, M.; Janulis, V. Development and Validation of the UPLC-DAD Methodology for the Detection of Triterpenoids and Phytosterols in Fruit Samples of Vaccinium macrocarpon Aiton and Vaccinium oxycoccos L. Molecules 2022, 27, 4403. [Google Scholar] [CrossRef]
- Kibirkštis, G. Čepkelių raistas ir jo vandenys. In Gamtos Vertybių Būklė Saugomose Teritorijose, 1st ed.; Pakalnis, R., Ed.; Lututė: Kaunas, Lithuania, 2017; pp. 41–50. [Google Scholar]
- Biswas, T.; Dwivedi, U.N. Plant Triterpenoid Saponins: Biosynthesis, in Vitro Production, and Pharmacological Relevance. Protoplasma 2019, 256, 1463–1486. [Google Scholar] [CrossRef]
- Zhou, Y.; Singh, B.R. Red light stimulates flowering and anthocyanin biosynthesis in American cranberry. Plant Growth Regul. 2002, 38, 165–171. [Google Scholar] [CrossRef]
- Vvedenskaya, I.O.; Vorsa, N. Flavonoid Composition over Fruit Development and Maturation in American Cranberry, Vaccinium macrocarpon Ait. Plant Sci. 2004, 167, 1043–1054. [Google Scholar] [CrossRef]
- Zhou, Y.; Singh, B.R. Effect of Light on Anthocyanin Levels in Submerged, Harvested Cranberry Fruit. J. Biotechnol. Biomed. 2004, 5, 259–263. [Google Scholar] [CrossRef] [PubMed]
- Daryanavard, H.; Postiglione, A.E.; Mühlemann, J.K.; Muday, G.K. Flavonols Modulate Plant Development, Signaling, and Stress Responses. Curr. Opin. Plant Biol. 2023, 72, 102350. [Google Scholar] [CrossRef] [PubMed]
- Aliman, J.; Michalak, I.; Bušatlić, E.; Aliman, L.; Kulina, M.; Radović, M.; Hasanbegović, J. Study of the Physicochemical Properties of Highbush Blueberry and Wild Bilberry Fruit in Central Bosnia. Turk. J. Agric. For. 2020, 44, 156–168. [Google Scholar] [CrossRef]
- Gündüz, K.; Serçe, S.; Hancock, J.F. Variation among Highbush and Rabbiteye Cultivars of Blueberry for Fruit Quality and Phytochemical Characteristics. J. Food Compos. Anal. 2015, 38, 69–79. [Google Scholar] [CrossRef]
- Vorsa, N.; Zalapa, J. Domestication, Genetics, and Genomics of the American Cranberry. In Plant Breeding Reviews, 1st ed.; Goldman, Wiley & Sons: Hoboken, NJ, USA, 2019; pp. 279–315. [Google Scholar]
- Forney, C.F.; Kalt, W.; Jordan, M.A.; Vinqvist-Tymchuk, M.R.; Fillmore, S.A.E. Blueberry and cranberry fruit composition during development. J. Berry Res. 2012, 2, 169–177. [Google Scholar] [CrossRef]
- Karppinen, K.; Zoratti, L.; Nguyenquynh, N.; Häggman, H.; Jaakola, L. On the Developmental and Environmental Regulation of Secondary Metabolism in Vaccinium spp. Berries. Front. Plant Sci. 2016, 7, 655. [Google Scholar] [CrossRef]
- Gardana, C.; Scialpi, A.; Fachechi, C.; Simonetti, P. Identification of Markers for the Authentication of Cranberry Extract and Cranberry-Based Food Supplements. Heliyon 2020, 6, e03863. [Google Scholar] [CrossRef]
- Lee, J. Anthocyanin analyses of Vaccinium fruit dietary supplements. Food Sci. Nutr. 2016, 4, 742–752. [Google Scholar] [CrossRef]
- Council of Europe. European Pharmacopoeia, 10th ed.; Council of Europe: Strasbourg, France, 2019; p. 51. [Google Scholar]
- Heil, M.; Baumann, B.; Andary, C.; Linsenmair, E.K.; McKey, D. Extraction and Quantification of “Condensed Tannins” as a Measure of Plant Anti-Herbivore Defence? Revisiting an Old Problem. Naturwissenschaften 2002, 89, 519–524. [Google Scholar] [CrossRef]
- Vilkickyte, G.; Motiekaityte, V.; Vainoriene, R.; Liaudanskas, M.; Raudone, L. Development, Validation, and Application of UPLC-PDA Method for Anthocyanins Profiling in Vaccinium L. Berries. J. Berry Res. 2021, 11, 583–599. [Google Scholar]
- Urbstaite, R.; Raudone, L.; Liaudanskas, M.; Janulis, V. Development, Validation, and Application of the UPLC-DAD Methodology for the Evaluation of the Qualitative and Quan-titative Composition of Phenolic Compounds in the Fruit of American Cranberry (Vaccinium macrocarpon Aiton). Molecules 2022, 27, 467. [Google Scholar]










| Site | Coordinates | Altitude (m) | Characteristics of the Wetland Environment |
|---|---|---|---|
![]() | 53°59′3.13″ N, 24°26′49.37″ E | 130.7 | Mesotrophic habitat; ass. Betuletum pubescentis (Hueck 29) Tx. 37. Dominant plants: Betula pubescens, Phragmites australis, Carex rostrata, Sphagnum palustre. |
![]() | 53°59′7.31” N, 24°26′49″ E | 131.7 | Mesotrophic habitat; ass. Betuletum pubescentis (Hueck 29) Tx. 37. Dominant plants: Betula pubescens, Calla palustris Eriophorum vaginatum, Oxycoccus palustris, Sphagnum cuspidatum. |
![]() | 53°59′9.85″ N, 24°26′53.7″ E | 132.0 | Oligotrophic habitat; Ass. Ledo-Pinetum Tx.55. Dominant plants: Pinus sylvestris f. Litwinowii, Rhododendron tomentosum, Eriophorum vaginatum, Oxycoccus palustris, Sphagnum magellanicum s. l. |
![]() | 53°59′18.35″ N, 24°27′7.48″ E | 132.3 | Oligotrophic habitat; ass. Sphagnetum magellanici (Malcuit 1929) Kästner et Flössner 1933. Dominant plants: Pinus sylvestris f. Wilkommii, Calluna vulgaris, Oxycoccus palustris, Sphagnum magellanicum s.l., Sphagnum angustifolium. |
![]() | 53°59′37.86″ N, 24°27′44.93″ E | 132.6 | Oligotrophic habitats; ass. Sphagnetum magellanici (Malcuit 1929) Kästner et Flössner 1933. Dominant plants: Oxycoccus palustris, Eriophorum vaginatum, Sphagnum capillifolium ir Polytrichum strictum. |
| Site | Average Weight of 1 Berry 2020 | Average Weight of 1 Berry 2021 | Average Weight of 1 Berry 2022 | pH 2020 | pH 2021 | pH 2022 |
|---|---|---|---|---|---|---|
| A | 0.42 | 0.64 | 0.66 | 4.27 | 4.05 | 3.78 |
| B | 0.54 | 0.66 | 0.45 | 4.42 | 3.93 | 3.66 |
| C | 0.62 | 0.50 | 0.60 | 4.27 | 3.92 | 3.50 |
| D | 0.35 | 0.34 | 0.36 | 3.68 | 3.94 | 3.63 |
| E | 0.37 | 0.32 | 0.20 | 3.60 | 4.28 | 4.36 |
Disclaimer/Publisher’s Note: The statements, opinions and data contained in all publications are solely those of the individual author(s) and contributor(s) and not of MDPI and/or the editor(s). MDPI and/or the editor(s) disclaim responsibility for any injury to people or property resulting from any ideas, methods, instructions or products referred to in the content. |
© 2023 by the authors. Licensee MDPI, Basel, Switzerland. This article is an open access article distributed under the terms and conditions of the Creative Commons Attribution (CC BY) license (https://creativecommons.org/licenses/by/4.0/).
Share and Cite
Šedbarė, R.; Grigaitė, O.; Janulis, V. Peculiarities of the Variation of Biologically Active Compounds in Fruit of Vaccinium oxycoccos L. Growing in the Čepkeliai State Strict Nature Reserve. Molecules 2023, 28, 5888. https://doi.org/10.3390/molecules28155888
Šedbarė R, Grigaitė O, Janulis V. Peculiarities of the Variation of Biologically Active Compounds in Fruit of Vaccinium oxycoccos L. Growing in the Čepkeliai State Strict Nature Reserve. Molecules. 2023; 28(15):5888. https://doi.org/10.3390/molecules28155888
Chicago/Turabian StyleŠedbarė, Rima, Onutė Grigaitė, and Valdimaras Janulis. 2023. "Peculiarities of the Variation of Biologically Active Compounds in Fruit of Vaccinium oxycoccos L. Growing in the Čepkeliai State Strict Nature Reserve" Molecules 28, no. 15: 5888. https://doi.org/10.3390/molecules28155888
APA StyleŠedbarė, R., Grigaitė, O., & Janulis, V. (2023). Peculiarities of the Variation of Biologically Active Compounds in Fruit of Vaccinium oxycoccos L. Growing in the Čepkeliai State Strict Nature Reserve. Molecules, 28(15), 5888. https://doi.org/10.3390/molecules28155888






