Tyrosinase Inhibitors: A Perspective
Abstract
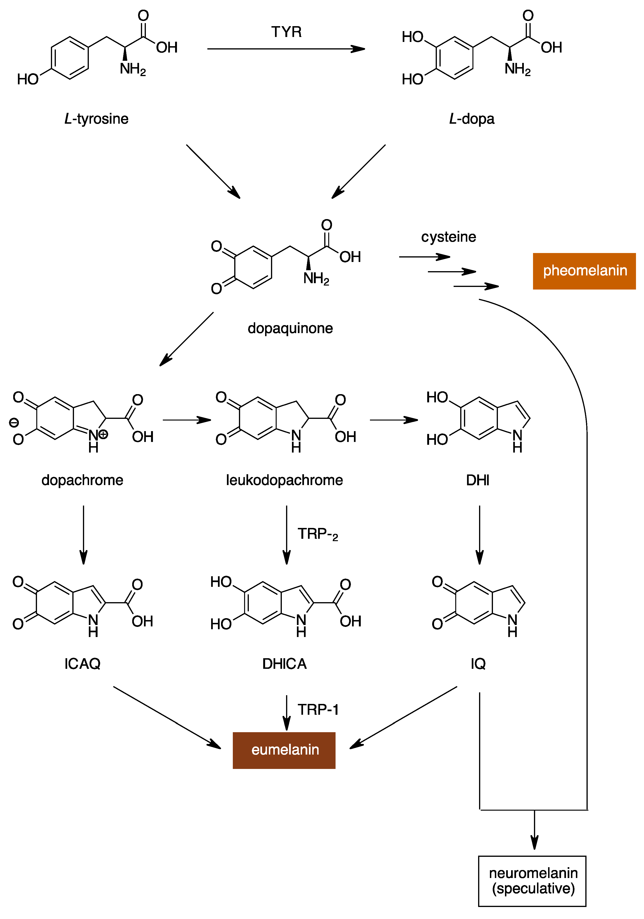
1. Introduction


2. Highlighted Tyrosinase Inhibitors
2.1. 2003
2.2. 2004
2.3. 2005
2.4. 2006
2.5. 2007
2.6. 2008
2.7. 2009
2.8. 2010
2.9. 2011
2.10. 2012
2.11. 2013
2.12. 2014
2.13. 2015
2.14. 2016
2.15. 2017
2.16. 2018
2.17. 2019
2.18. 2020
2.19. 2021
2.20. 2022
2.21. 2023
3. Conclusions
Author Contributions
Funding
Institutional Review Board Statement
Informed Consent Statement
Data Availability Statement
Conflicts of Interest
References
- Riley, P.A. Melanin. Int. J. Biochem. Cell Biol. 1997, 29, 1235–1239. [Google Scholar] [CrossRef] [PubMed]
- Smit, N.; Vicanova, J.; Pavel, S. The Hunt for Natural Skin Whitening Agents. Int. J. Mol. Sci. 2009, 10, 5326–5349. [Google Scholar] [PubMed]
- Hałdys, K.; Goldeman, W.; Jewgiński, M.; Wolińska, E.; Anger-Góra, N.; Rossowska, J.; Latajka, R. Halogenated Aromatic Thiosemicarbazones as Potent Inhibitors of Tyrosinase and Melanogenesis. Bioorg. Chem. 2020, 94, 103419. [Google Scholar] [CrossRef] [PubMed]
- Hasegawa, T. Tyrosinase-Expressing Neuronal Cell Line as in Vitro Model of Parkinson’s Disease. Int. J. Mol. Sci. 2010, 11, 1082–1089. [Google Scholar] [CrossRef]
- Zecca, L.; Tampellini, D.; Gerlach, M.; Riederer, P.; Fariello, R.G.; Sulzer, D. Substantia Nigra Neuromelanin: Structure, Synthesis, and Molecular Behaviour. Mol. Pathol. 2001, 54, 414. [Google Scholar]
- Haining, R.; Achat-Mendes, C. Neuromelanin, One of the Most Overlooked Molecules in Modern Medicine, Is Not a Spectator. Neural Regen. Res. 2017, 12, 372. [Google Scholar] [CrossRef]
- Yu, F.; Pan, Z.; Qu, B.; Yu, X.; Xu, K.; Deng, Y.; Liang, F. Identification of a Tyrosinase Gene and Its Functional Analysis in Melanin Synthesis of Pteria Penguin. Gene 2018, 656, 1–8. [Google Scholar] [CrossRef]
- Chang, T.S. An Updated Review of Tyrosinase Inhibitors. Int. J. Mol. Sci. 2009, 10, 2440–2475. [Google Scholar]
- Seo, S.Y.; Sharma, V.K.; Sharma, N. Mushroom Tyrosinase: Recent Prospects. J. Agric. Food Chem. 2003, 51, 2837–2853. [Google Scholar]
- Zaidi, K.U.; Ali, A.S.; Ali, S.A.; Naaz, I. Microbial Tyrosinases: Promising Enzymes for Pharmaceutical, Food Bioprocessing, and Environmental Industry. Biochem. Res. Int. 2014, 2014, 854687. [Google Scholar] [CrossRef]
- Matoba, Y.; Kihara, S.; Bando, N.; Yoshitsu, H.; Sakaguchi, M.; Kayama, K.; Yanagisawa, S.; Ogura, T.; Sugiyama, M. Catalytic Mechanism of the Tyrosinase Reaction toward the Tyr 98 Residue in the Caddie Protein. PLoS Biol. 2018, 16, e3000077. [Google Scholar] [CrossRef] [PubMed]
- Gasparetti, C.; Nordlund, E.; Jänis, J.; Buchert, J.; Kruus, K. Extracellular Tyrosinase from the Fungus Trichoderma Reesei Shows Product Inhibition and Different Inhibition Mechanism from the Intracellular Tyrosinase from Agaricus Bisporus. Biochim. Biophys. Acta BBA Proteins Proteom. 2012, 1824, 598–607. [Google Scholar] [CrossRef]
- Brenner, M.; Hearing, V.J. The Protective Role of Melanin against UV Damage in Human Skin. Photochem. Photobiol. 2008, 84, 539–549. [Google Scholar]
- Deering, R.W.; Chen, J.; Sun, J.; Ma, H.; Dubert, J.; Barja, J.L.; Seeram, N.P.; Wang, H.; Rowley, D.C. N-Acyl Dehydrotyrosines, Tyrosinase Inhibitors from the Marine Bacterium Thalassotalea Sp. PP2-459. J. Nat. Prod. 2016, 79, 447–450. [Google Scholar] [CrossRef] [PubMed]
- Li, J.; Feng, L.; Liu, L.; Wang, F.; Ouyang, L.; Zhang, L.; Hu, X.; Wang, G. Recent Advances in the Design and Discovery of Synthetic Tyrosinase Inhibitors. Eur. J. Med. Chem. 2021, 224, 113744. [Google Scholar] [CrossRef]
- Roulier, B.; Pérès, B.; Haudecoeur, R. Advances in the Design of Genuine Human Tyrosinase Inhibitors for Targeting Melanogenesis and Related Pigmentations. J. Med. Chem. 2020, 63, 13428–13443. [Google Scholar] [CrossRef]
- Peng, Z.; Wang, G.; Zeng, Q.H.; Li, Y.; Liu, H.; Wang, J.J.; Zhao, Y. A Systematic Review of Synthetic Tyrosinase Inhibitors and Their Structure-Activity Relationship. Crit. Rev. Food Sci. Nutr. 2022, 62, 4053–4094. [Google Scholar] [CrossRef]
- Kim, Y.J.; Uyama, H. Tyrosinase Inhibitors from Natural and Synthetic Sources: Structure, Inhibition Mechanism and Perspective for the Future. Cell. Mol. Life Sci. 2005, 62, 1707–1723. [Google Scholar] [CrossRef]
- Loizzo, M.R.; Tundis, R.; Menichini, F. Natural and Synthetic Tyrosinase Inhibitors as Antibrowning Agents: An Update. Compr. Rev. Food Sci. Food Saf. 2012, 11, 378–398. [Google Scholar] [CrossRef]
- Song, Y.; Chen, S.; Li, L.; Zeng, Y.; Hu, X. The Hypopigmentation Mechanism of Tyrosinase Inhibitory Peptides Derived from Food Proteins: An Overview. Molecules 2022, 27, 2710. [Google Scholar] [CrossRef] [PubMed]
- Lai, X.; Wichers, H.J.; Soler-Lopez, M.; Dijkstra, B.W. Structure and Function of Human Tyrosinase and Tyrosinase-Related Proteins. Chem. A Eur. J. 2018, 24, 47–55. [Google Scholar] [CrossRef]
- Klabunde, T.; Eicken, C.; Sacchettini, J.C.; Krebs, B. Crystal Structure of a Plant Catechol Oxidase Containing a Dicopper Center. Nat. Struct. Biol. 1998, 5, 1084–1090. [Google Scholar] [CrossRef]
- Decker, H.; Schweikardt, T.; Tuczek, F. The First Crystal Structure of Tyrosinase: All Questions Answered? Angew. Chem. Int. Ed. 2006, 45, 4546–4550. [Google Scholar] [CrossRef] [PubMed]
- Ismaya, W.T.; Rozeboom, H.J.; Weijn, A.; Mes, J.J.; Fusetti, F.; Wichers, H.J.; Dijkstra, B.W. Crystal Structure of Agaricus Bisporus Mushroom Tyrosinase: Identity of the Tetramer Subunits and Interaction with Tropolone. Biochemistry 2011, 50, 5477–5486. [Google Scholar] [CrossRef] [PubMed]
- Lai, X.; Soler-Lopez, M.; Wichers, H.J.; Dijkstra, B.W. Large-Scale Recombinant Expression and Purification of Human Tyrosinase Suitable for Structural Studies. PLoS ONE 2016, 11, e0161697. [Google Scholar] [CrossRef] [PubMed]
- Chen, G.H.; Chen, W.M.; Huang, Y.C.; Jiang, S.T. Expression of Recombinant Mature Human Tyrosinase from Escherichia Coli and Exhibition of Its Activity without Phosphorylation or Glycosylation. J. Agric. Food Chem. 2012, 60, 2838–2843. [Google Scholar] [CrossRef]
- Di Petrillo, A.; González-Paramás, A.M.; Era, B.; Medda, R.; Pintus, F.; Santos-Buelga, C.; Fais, A. Tyrosinase Inhibition and Antioxidant Properties of Asphodelus Microcarpus Extracts. BMC Complement. Altern. Med. 2016, 16, 453. [Google Scholar] [CrossRef]
- Park, D.; Swayambhu, G.; Lyga, T.; Pfeifer, B.A. Complex Natural Product Production Methods and Options. Synth. Syst. Biotechnol. 2021, 6, 1–11. [Google Scholar] [CrossRef] [PubMed]
- Lahlou, M. The Success of Natural Products in Drug Discovery. Pharmacol. Pharm. 2013, 04, 17–31. [Google Scholar] [CrossRef]
- Chen, W.-C.; Tseng, T.-S.; Hsiao, N.-W.; Lin, Y.-L.; Wen, Z.-H.; Tsai, C.-C.; Lee, Y.-C.; Lin, H.-H.; Tsai, K.-C. Discovery of Highly Potent Tyrosinase Inhibitor, T1, with Significant Anti-Melanogenesis Ability by Zebrafish in Vivo Assay and Computational Molecular Modeling. Sci. Rep. 2015, 5, 7995. [Google Scholar] [CrossRef]
- Shin, J.W.; Park, K.C. Current Clinical Use of Depigmenting Agents. Dermatol. Sin. 2014, 32, 205–210. [Google Scholar] [CrossRef]
- Ando, H.; Kondoh, H.; Ichihashi, M.; Hearing, V.J. Approaches to Identify Inhibitors of Melanin Biosynthesis via the Quality Control of Tyrosinase. J. Investig. Dermatol. 2007, 127, 751–761. [Google Scholar] [PubMed]
- Kim, S.J.; Son, K.H.; Chang, H.W.; Kang, S.S.; Kim, H.P. Prenylated Flavonoids BioPharmBull. Biol. Pharm. Bull. 2003, 26, 1348–1350. [Google Scholar] [CrossRef] [PubMed]
- Nerya, O.; Vaya, J.; Musa, R.; Izrael, S.; Ben-Arie, R.; Tamir, S. Glabrene and Isoliquiritigenin as Tyrosinase Inhibitors from Licorice Roots. J. Agric. Food Chem. 2003, 51, 1201–1207. [Google Scholar] [CrossRef]
- Shimizu, K.; Geng, X.; Hashiguchi, M.; Suhara, H.; Fukunaga, S.; Yasutake, S.; Kondo, R.; Tsutsui, M.; Sato, I. Indole-3-Carbaldehyde: A Tyrosinase Inhibitor from Fungus YL185. J. Wood Sci. 2003, 49, 349–354. [Google Scholar] [CrossRef]
- Nihei, K.I.; Yamagiwa, Y.; Kamikawa, T.; Kubo, I. 2-Hydroxy-4-Isopropylbenzaldehyde, a Potent Partial Tyrosinase Inhibitor. Bioorg. Med. Chem. Lett. 2004, 14, 681–683. [Google Scholar] [CrossRef]
- Uddin AHMAD, V.; Ullah, F.; Hussain, J.; Farooq, U.; Zubair, M.; Khan, M.T.H.; Choudhary, M.I. Tyrosinase Inhibitors from Rhododendron Collettianum and Their Structure-Activity Relationship (SAR) Studies. Chem. Pharm. Bull. 2004, 52, 1458–1461. [Google Scholar] [CrossRef]
- Kim, H.; Choi, J.; Cho, J.K.; Kim, S.Y.; Lee, Y.S. Solid-Phase Synthesis of Kojic Acid-Tripeptides and Their Tyrosinase Inhibitory Activity, Storage Stability, and Toxicity. Bioorg. Med. Chem. Lett. 2004, 14, 2843–2846. [Google Scholar] [CrossRef]
- Khatib, S.; Nerya, O.; Musa, R.; Shmuel, M.; Tamir, S.; Vaya, J. Chalcones as Potent Tyrosinase Inhibitors: The Importance of a 2,4-Substituted Resorcinol Moiety. Bioorg. Med. Chem. 2005, 13, 433–441. [Google Scholar] [CrossRef]
- Sugimoto, K.; Nomura, K.; Nishimura, T.; Kiso, T.; Sugimoto, K.; Kuriki, T. Syntheses of α-Arbutin-α-Glycosides and Their Inhibitory Effects on Human Tyrosinase. J. Biosci. Bioeng. 2005, 99, 272–276. [Google Scholar] [CrossRef]
- Boissy, R.E.; Visscher, M.; Delong, M.A. DeoxyArbutin: A Novel Reversible Tyrosinase Inhibitor with Effective In Vivo Skin Lightening Potency. Exp. Dermatol. 2005, 14, 601–608. [Google Scholar] [CrossRef]
- Khan, M.T.H.; Choudhary, M.I.; Khan, K.M.; Rani, M. Atta-ur-Rahman Structure-Activity Relationships of Tyrosinase Inhibitory Combinatorial Library of 2,5-Disubstituted-1,3,4-Oxadiazole Analogues. Bioorg. Med. Chem. 2005, 13, 3385–3395. [Google Scholar] [CrossRef]
- Ni-Komatsu, L.; Leung, J.K.; Williams, D.; Min, J.; Khersonsky, S.M.; Chang, Y.T.; Orlow, S.J. Triazine-Based Tyrosinase Inhibitors Identified by Chemical Genetic Screening. Pigment. Cell Res. 2005, 18, 447–453. [Google Scholar] [CrossRef] [PubMed]
- Cho, S.J.; Roh, J.S.; Sun, W.S.; Kim, S.H.; Park, K.D. N-Benzylbenzamides: A New Class of Potent Tyrosinase Inhibitors. Bioorg. Med. Chem. Lett. 2006, 16, 2682–2684. [Google Scholar] [CrossRef]
- Likhitwitayawuid, K.; Sornsute, A.; Sritularak, B.; Ploypradith, P. Chemical Transformations of Oxyresveratrol (Trans-2,4,3′,5′-Tetrahydroxystilbene) into a Potent Tyrosinase Inhibitor and a Strong Cytotoxic Agent. Bioorg. Med. Chem. Lett. 2006, 16, 5650–5653. [Google Scholar] [CrossRef]
- Okombi, S.; Rival, D.; Bonnet, S.; Mariotte, A.M.; Perrier, E.; Boumendjel, A. Discovery of Benzylidenebenzofuran-3(2H)-One (Aurones) as Inhibitors of Tyrosinase Derived from Human Melanocytes. J. Med. Chem. 2006, 49, 329–333. [Google Scholar] [CrossRef]
- Ha, Y.M.; Chung, S.W.; Song, S.; Lee, H.; Suh, H.; Chung, H.Y. Materials Mushroom Tyrosinase, L-Tyrosine [3-(4-Hy-4-(6-Hydroxy-2-Naphthyl)-1,3-Bezendiol: A Potent, New Tyrosinase Inhibitor. Biol. Pharm. Bull. 2007, 30, 1711–1715. [Google Scholar] [CrossRef]
- Jun, N.; Hong, G.; Jun, K. Synthesis and Evaluation of 2′,4′,6′-Trihydroxychalcones as a New Class of Tyrosinase Inhibitors. Bioorg. Med. Chem. 2007, 15, 2396–2402. [Google Scholar] [CrossRef]
- Takahashi, S.; Iwai, H.; Kosaka, K.; Miyazaki, T.; Osanai, Y.; Arao, N.; Tanaka, K.; Nagai, K.; Nakagawa, A. Byelyankacin: A Novel Melanogenesis Inhibitor Produced by Enterobacter sp. B20. J. Antibiot. 2007, 60, 717–720. [Google Scholar] [CrossRef] [PubMed]
- Oozeki, H.; Tajima, R.; Nihei, K. ichi Molecular Design of Potent Tyrosinase Inhibitors Having the Bibenzyl Skeleton. Bioorg. Med. Chem. Lett. 2008, 18, 5252–5254. [Google Scholar] [CrossRef] [PubMed]
- Nesterov, A.; Zhao, J.; Minter, D.; Hertel, C.; Ma, W.; Abeysinghe, P.; Hong, M.; Jia, Q. 1-(2,4-Dihydroxyphenyl)-3-(2,4-Dimethoxy-3-Methylphenyl)Propane, a Novel Tyrosinase Inhibitor with Strong Depigmenting Effects. Chem. Pharm. Bull. 2008, 56, 1292–1296. [Google Scholar] [CrossRef] [PubMed]
- Kang, S.S.; Kim, H.J.; Jin, C.; Lee, Y.S. Synthesis of Tyrosinase Inhibitory (4-Oxo-4H-Pyran-2-Yl)Acrylic Acid Ester Derivatives. Bioorg. Med. Chem. Lett. 2009, 19, 188–191. [Google Scholar] [CrossRef] [PubMed]
- Fais, A.; Corda, M.; Era, B.; Fadda, M.B.; Matos, M.J.; Quezada, E.; Santana, L.; Picciau, C.; Podda, G.; Delogu, G. Tyrosinase Inhibitor Activity of Coumarin-Resveratrol Hybrids. Molecules 2009, 14, 2514–2520. [Google Scholar] [CrossRef] [PubMed]
- Baek, Y.S.; Ryu, Y.B.; Curtis-Long, M.J.; Ha, T.J.; Rengasamy, R.; Yang, M.S.; Park, K.H. Tyrosinase Inhibitory Effects of 1,3-Diphenylpropanes from Broussonetia Kazinoki. Bioorg. Med. Chem. 2009, 17, 35–41. [Google Scholar] [CrossRef]
- Tai, S.S.K.; Lin, C.G.; Wu, M.H.; Chang, T.S. Evaluation of Depigmenting Activity by 8-Hydroxydaidzein in Mouse B16 Melanoma Cells and Human Volunteers. Int. J. Mol. Sci. 2009, 10, 4257–4266. [Google Scholar] [CrossRef]
- Lam, K.W.; Syahida, A.; Ul-Haq, Z.; Rahman, M.B.A.; Lajis, N.H. Synthesis and Biological Activity of Oxadiazole and Triazolothiadiazole Derivatives as Tyrosinase Inhibitors. Bioorg. Med. Chem. Lett. 2010, 20, 3755–3759. [Google Scholar] [CrossRef]
- Bandgar, B.P.; Totre, J.V.; Gawande, S.S.; Khobragade, C.N.; Warangkar, S.C.; Kadam, P.D. Synthesis of Novel 3,5-Diaryl Pyrazole Derivatives Using Combinatorial Chemistry as Inhibitors of Tyrosinase as Well as Potent Anticancer, Anti-Inflammatory Agents. Bioorg. Med. Chem. 2010, 18, 6149–6155. [Google Scholar] [CrossRef]
- Yamazaki, Y.; Kawano, Y. N-(3,5-Dihydroxybenzoyl)-6-Hydroxytryptamine as a Novel Human. Tyrosinase Inhibitor That Inactivates the Enzyme in Cooperation with L-3, 4-dihydroxyphenylalanine. Chem. Pharm. Bull. 2010, 58, 1536–1540. [Google Scholar] [CrossRef][Green Version]
- Thanigaimalai, P.; Lee, K.C.; Sharma, V.K.; Joo, C.; Cho, W.J.; Roh, E.; Kim, Y.; Jung, S.H. Structural Requirement of Phenylthiourea Analogs for Their Inhibitory Activity of Melanogenesis and Tyrosinase. Bioorg. Med. Chem. Lett. 2011, 21, 6824–6828. [Google Scholar] [CrossRef]
- Ha, Y.M.; Kim, J.A.; Park, Y.J.; Park, D.; Choi, Y.J.; Kim, J.M.; Chung, K.W.; Han, Y.K.; Park, J.Y.; Lee, J.Y.; et al. Synthesis and Biological Activity of Hydroxybenzylidenyl Pyrrolidine-2,5-Dione Derivatives as New Potent Inhibitors of Tyrosinase. Medchemcomm 2011, 2, 542–549. [Google Scholar] [CrossRef]
- Bae, S.J.; Ha, Y.M.; Park, Y.J.; Park, J.Y.; Song, Y.M.; Ha, T.K.; Chun, P.; Moon, H.R.; Chung, H.Y. Design, Synthesis, and Evaluation of (E)-N-Substituted Benzylidene-Aniline Derivatives as Tyrosinase Inhibitors. Eur. J. Med. Chem. 2012, 57, 383–390. [Google Scholar] [CrossRef]
- Baek, H.S.; Hong, Y.D.; Lee, C.S.; Rho, H.S.; Shin, S.S.; Park, Y.H.; Joo, Y.H. Adamantyl N-Benzylbenzamide: New Series of Depigmentation Agents with Tyrosinase Inhibitory Activity. Bioorg. Med. Chem. Lett. 2012, 22, 2110–2113. [Google Scholar] [CrossRef]
- Ha, Y.M.; Park, Y.J.; Kim, J.A.; Park, D.; Park, J.Y.; Lee, H.J.; Lee, J.Y.; Moon, H.R.; Chung, H.Y. Design and Synthesis of 5-(Substituted Benzylidene)Thiazolidine-2,4-Dione Derivatives as Novel Tyrosinase Inhibitors. Eur. J. Med. Chem. 2012, 49, 245–252. [Google Scholar] [CrossRef]
- Park, J.W.; Ha, Y.M.; Moon, K.M.; Kim, S.R.; Jeong, H.O.; Park, Y.J.; Lee, H.J.; Park, J.Y.; Song, Y.M.; Chun, P.; et al. De Novo Tyrosinase Inhibitor: 4-(6,7-Dihydro-5H-Indeno[5,6-d]Thiazol-2-Yl) Benzene-1,3-Diol (MHY1556). Bioorg. Med. Chem. Lett. 2013, 23, 4172–4176. [Google Scholar] [CrossRef]
- Zhou, Z.; Zhuo, J.; Yan, S.; Ma, L. Design and Synthesis of 3,5-Diaryl-4,5-Dihydro-1H-Pyrazoles as New Tyrosinase Inhibitors. Bioorg. Med. Chem. 2013, 21, 2156–2162. [Google Scholar] [CrossRef] [PubMed]
- Li, D.F.; Hu, P.P.; Liu, M.S.; Kong, X.L.; Zhang, J.C.; Hider, R.C.; Zhou, T. Design and Synthesis of Hydroxypyridinone-l-Phenylalanine Conjugates as Potential Tyrosinase Inhibitors. J. Agric. Food Chem. 2013, 61, 6597–6603. [Google Scholar] [CrossRef]
- Chen, Z.; Cai, D.; Mou, D.; Yan, Q.; Sun, Y.; Pan, W.; Wan, Y.; Song, H.; Yi, W. Design, Synthesis and Biological Evaluation of Hydroxy- or Methoxy-Substituted 5-Benzylidene(Thio) Barbiturates as Novel Tyrosinase Inhibitors. Bioorg. Med. Chem. 2014, 22, 3279–3284. [Google Scholar] [CrossRef]
- Mojzych, M.; Dolashki, A.; Voelter, W. Synthesis of Pyrazolo[4,3-e][1,2,4]Triazine Sulfonamides, Novel Sildenafil Analogs with Tyrosinase Inhibitory Activity. Bioorg. Med. Chem. 2014, 22, 6616–6624. [Google Scholar] [CrossRef] [PubMed]
- You, A.; Zhou, J.; Song, S.; Zhu, G.; Song, H.; Yi, W. Rational Design, Synthesis and Structure-Activity Relationships of 4-Alkoxy- and 4-Acyloxy-Phenylethylenethiosemicarbazone Analogues as Novel Tyrosinase Inhibitors. Bioorg. Med. Chem. 2015, 23, 924–931. [Google Scholar] [CrossRef] [PubMed]
- Choi, J.; Park, S.J.; Jee, J.G. Analogues of Ethionamide, a Drug Used for Multidrug-Resistant Tuberculosis, Exhibit Potent Inhibition of Tyrosinase. Eur. J. Med. Chem. 2015, 106, 157–166. [Google Scholar] [CrossRef]
- Xie, J.; Dong, H.; Yu, Y.; Cao, S. Inhibitory Effect of Synthetic Aromatic Heterocycle Thiosemicarbazone Derivatives on Mushroom Tyrosinase: Insights from Fluorescence, 1H NMR Titration and Molecular Docking Studies. Food Chem. 2016, 190, 709–716. [Google Scholar] [CrossRef] [PubMed]
- Tang, J.; Liu, J.; Wu, F. Molecular Docking Studies and Biological Evaluation of 1,3,4-Thiadiazole Derivatives Bearing Schiff Base Moieties as Tyrosinase Inhibitors. Bioorg. Chem. 2016, 69, 29–36. [Google Scholar] [CrossRef] [PubMed]
- Tan, X.; Song, Y.H.; Park, C.; Lee, K.W.; Kim, J.Y.; Kim, D.W.; Kim, K.D.; Lee, K.W.; Curtis-Long, M.J.; Park, K.H. Highly Potent Tyrosinase Inhibitor, Neorauflavane from Campylotropis Hirtella and Inhibitory Mechanism with Molecular Docking. Bioorg. Med. Chem. 2016, 24, 153–159. [Google Scholar] [CrossRef] [PubMed]
- Zhang, L.; Tao, G.; Chen, J.; Zheng, Z.P. Characterization of a New Flavone and Tyrosinase Inhibition Constituents from the Twigs of Morus Alba L. Molecules 2016, 21, 1130. [Google Scholar] [CrossRef]
- Haudecoeur, R.; Carotti, M.; Gouron, A.; Maresca, M.; Buitrago, E.; Hardre, R.; Bergantino, E.; Jamet, H.; Belle, C.; Reglier, M.; et al. 2-Hydroxypyridine-N-Oxide-Embedded Aurones as Potent Human Tyrosinase Inhibitors. ACS Med. Chem. Lett. 2017, 8, 55–60. [Google Scholar] [CrossRef]
- Saeed, A.; Mahesar, P.A.; Channar, P.A.; Abbas, Q.; Larik, F.A.; Hassan, M.; Raza, H.; Seo, S.Y. Synthesis, Molecular Docking Studies of Coumarinyl-Pyrazolinyl Substituted Thiazoles as Non-Competitive Inhibitors of Mushroom Tyrosinase. Bioorg. Chem. 2017, 74, 187–196. [Google Scholar] [CrossRef]
- Kim, C.S.; Noh, S.G.; Park, Y.; Kang, D.; Chun, P.; Chung, H.Y.; Jung, H.J.; Moon, H.R. A Potent Tyrosinase Inhibitor, (E)-3-(2,4-Dihydroxyphenyl)-1-(Thiophen-2-Yl)Prop-2-En-1-One, with Anti-Melanogenesis Properties in α-MSH and IBMX-Induced B16F10 Melanoma Cells. Molecules 2018, 23, 2725. [Google Scholar] [CrossRef]
- Ferro, S.; Deri, B.; Germanò, M.P.; Gitto, R.; Ielo, L.; Buemi, M.R.; Certo, G.; Vittorio, S.; Rapisarda, A.; Pazy, Y.; et al. Targeting Tyrosinase: Development and Structural Insights of Novel Inhibitors Bearing Arylpiperidine and Arylpiperazine Fragments. J. Med. Chem. 2018, 61, 3908–3917. [Google Scholar] [CrossRef]
- Mann, T.; Gerwat, W.; Batzer, J.; Eggers, K.; Scherner, C.; Wenck, H.; Stäb, F.; Hearing, V.J.; Röhm, K.H.; Kolbe, L. Inhibition of Human Tyrosinase Requires Molecular Motifs Distinctively Different from Mushroom Tyrosinase. J. Investig. Dermatol. 2018, 138, 1601–1608. [Google Scholar] [CrossRef]
- Ishioka, W.; Oonuki, S.; Iwadate, T.; Nihei, K. ichi Resorcinol Alkyl Glucosides as Potent Tyrosinase Inhibitors. Bioorg. Med. Chem. Lett. 2019, 29, 313–316. [Google Scholar] [CrossRef]
- Mahajan, P.G.; Dige, N.C.; Vanjare, B.D.; Raza, H.; Hassan, M.; Seo, S.Y.; Kim, C.H.; Lee, K.H. Facile Synthesis of New Quinazolinone Benzamides as Potent Tyrosinase Inhibitors: Comparative Spectroscopic and Molecular Docking Studies. J. Mol. Struct. 2019, 1198, 126915. [Google Scholar] [CrossRef]
- Mustafa, M.N.; Saeed, A.; Channar, P.A.; Larik, F.A.; Zain-ul Abideen, M.; Shabir, G.; Abbas, Q.; Hassan, M.; Raza, H.; Seo, S.Y. Synthesis, Molecular Docking and Kinetic Studies of Novel Quinolinyl Based Acyl Thioureas as Mushroom Tyrosinase Inhibitors and Free Radical Scavengers. Bioorg. Chem. 2019, 90, 103063. [Google Scholar] [CrossRef]
- Raza, H.; Abbasi, M.A.; Rehman, A.U.; Siddiqui, S.Z.; Hassan, M.; Shah, S.A.A.; Shahid, M.; Hong, H.; Seo, S.Y. Design, Synthesis and Computational Studies of N-(Substituted-Phenyl)-4-(4-Phenyl-1-Piperazinyl)Butanamides as Potent Anti-Melanogenic and Tyrosinase Inhibitors. J. Mol. Struct. 2020, 1210, 127969. [Google Scholar] [CrossRef]
- Raza, H.; Abbasi, M.A.; Aziz-ur-Rehman; Siddiqui, S.Z.; Hassan, M.; Abbas, Q.; Hong, H.; Shah, S.A.A.; Shahid, M.; Seo, S.Y. Synthesis, Molecular Docking, Dynamic Simulations, Kinetic Mechanism, Cytotoxicity Evaluation of N-(Substituted-Phenyl)-4-{(4-[(E)-3-Phenyl-2-Propenyl]-1-Piperazinyl} Butanamides as Tyrosinase and Melanin Inhibitors: In Vitro, in Vivo and in Silico Approaches. Bioorg. Chem. 2020, 94, 103445. [Google Scholar] [CrossRef] [PubMed]
- Georgousaki, K.; Tsafantakis, N.; Gumeni, S.; Gonzalez, I.; Mackenzie, T.A.; Reyes, F.; Lambert, C.; Trougakos, I.P.; Genilloud, O.; Fokialakis, N. Screening for Tyrosinase Inhibitors from Actinomycetes; Identification of Trichostatin Derivatives from Streptomyces Sp. CA-129531 and Scale up Production in Bioreactor. Bioorg. Med. Chem. Lett. 2020, 30, 126952. [Google Scholar] [CrossRef]
- Vanjare, B.D.; Choi, N.G.; Mahajan, P.G.; Raza, H.; Hassan, M.; Han, Y.; Yu, S.M.; Kim, S.J.; Seo, S.Y.; Lee, K.H. Novel 1,3,4-Oxadiazole Compounds Inhibit the Tyrosinase and Melanin Level: Synthesis, in-Vitro, and in-Silico Studies. Bioorg. Med. Chem. 2021, 41, 116222. [Google Scholar] [CrossRef] [PubMed]
- Fu, D.; Yuan, Y.; Qin, F.; Xu, Y.; Cui, X.; Li, G.; Yao, S.; Deng, Y.; Tang, Z. Design, Synthesis and Biological Evaluation of Tyrosinase-Targeting PROTACs. Eur. J. Med. Chem. 2021, 226, 113850. [Google Scholar] [CrossRef]
- Iraji, A.; Sheikhi, N.; Attarroshan, M.; Reaz Sharifi Ardani, G.; Kabiri, M.; Naghibi Bafghi, A.; Kobarfard, F.; Rezaei, Z.; Khoshneviszadeh, M.; Foroumadi, A.; et al. Design, Synthesis, Spectroscopic Characterization, in Vitro Tyrosinase Inhibition, Antioxidant Evaluation, in Silico and Kinetic Studies of Substituted Indole-Carbohydrazides. Bioorg. Chem. 2022, 129, 106140. [Google Scholar] [CrossRef]
- Xu, W.; Bai, M.; Du, N.N.; Song, S.J.; Lin, B.; Huang, X.X. Chemical Structures and Anti-Tyrosinase Activity of the Constituents from Elephantopus Scaber L. Fitoterapia 2022, 162, 105259. [Google Scholar] [CrossRef]
- Alizadeh, N.; Hossein Sayahi, M.; Iraji, A.; Yazzaf, R.; Moazzam, A.; Mobaraki, K.; Adib, M.; Attarroshan, M.; Larijani, B.; Rastegar, H.; et al. Evaluating the Effects of Disubstituted 3-Hydroxy-1H-Pyrrol-2(5H)-One Analog as Novel Tyrosinase Inhibitors. Bioorg. Chem. 2022, 126, 105876. [Google Scholar] [CrossRef]
- Roulier, B.; Rush, I.; Lazinski, L.M.; Pérès, B.; Olleik, H.; Royal, G.; Fishman, A.; Maresca, M.; Haudecoeur, R. Resorcinol-Based Hemiindigoid Derivatives as Human Tyrosinase Inhibitors and Melanogenesis Suppressors in Human Melanoma Cells. Eur. J. Med. Chem. 2023, 246, 114972. [Google Scholar] [CrossRef] [PubMed]

Disclaimer/Publisher’s Note: The statements, opinions and data contained in all publications are solely those of the individual author(s) and contributor(s) and not of MDPI and/or the editor(s). MDPI and/or the editor(s) disclaim responsibility for any injury to people or property resulting from any ideas, methods, instructions or products referred to in the content. |
© 2023 by the authors. Licensee MDPI, Basel, Switzerland. This article is an open access article distributed under the terms and conditions of the Creative Commons Attribution (CC BY) license (https://creativecommons.org/licenses/by/4.0/).
Share and Cite
Baber, M.A.; Crist, C.M.; Devolve, N.L.; Patrone, J.D. Tyrosinase Inhibitors: A Perspective. Molecules 2023, 28, 5762. https://doi.org/10.3390/molecules28155762
Baber MA, Crist CM, Devolve NL, Patrone JD. Tyrosinase Inhibitors: A Perspective. Molecules. 2023; 28(15):5762. https://doi.org/10.3390/molecules28155762
Chicago/Turabian StyleBaber, Mason A., Cole M. Crist, Noah L. Devolve, and James D. Patrone. 2023. "Tyrosinase Inhibitors: A Perspective" Molecules 28, no. 15: 5762. https://doi.org/10.3390/molecules28155762
APA StyleBaber, M. A., Crist, C. M., Devolve, N. L., & Patrone, J. D. (2023). Tyrosinase Inhibitors: A Perspective. Molecules, 28(15), 5762. https://doi.org/10.3390/molecules28155762

