Synthesis of Pseudooligosaccharides Related to the Capsular Phosphoglycan of Haemophilus influenzae Type a
Abstract
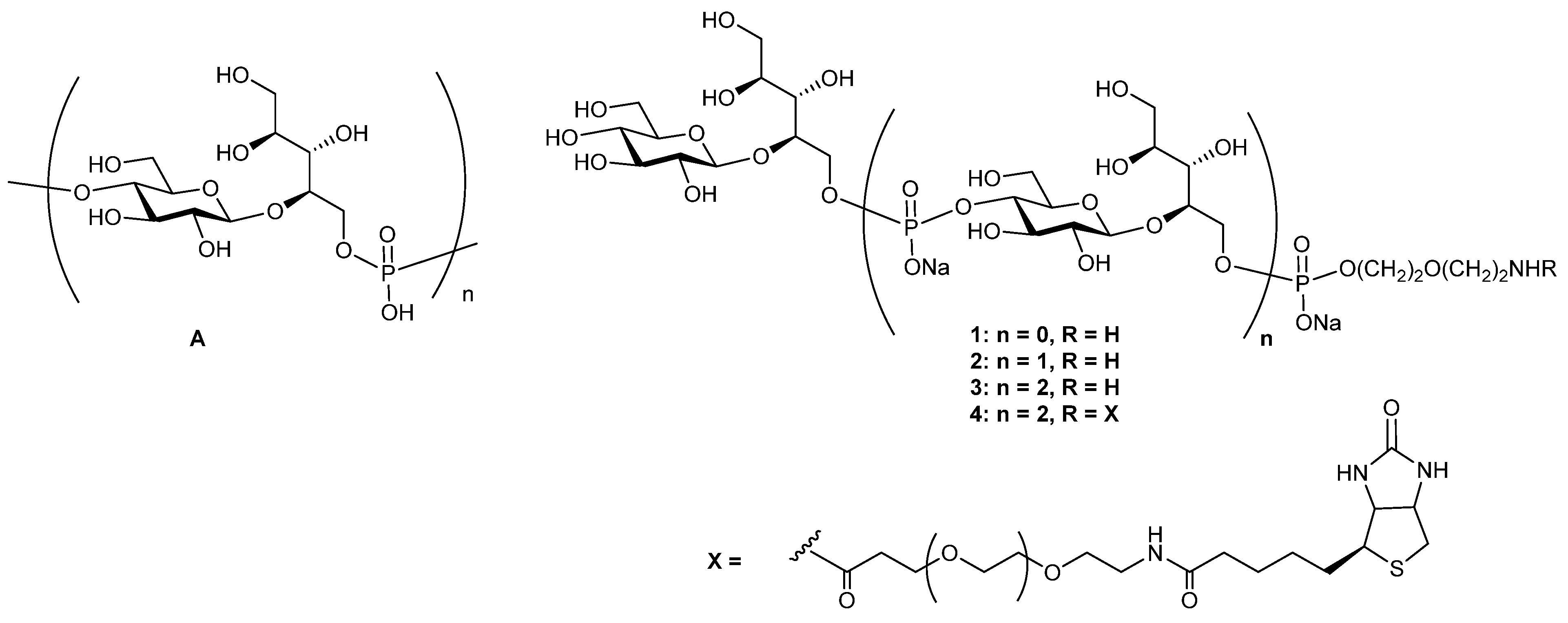
1. Introduction
2. Results and Discussion
3. Materials and Methods
3.1. General Information
3.2. Synthesis of Compounds 7, 8, 10, 11, 12, 13, 1, 14, 15, 16, 17, 2, 18, 21, 3, and 4
3.2.1. 1-O-Benzoyl-5-O-(tert-butyldimethylsilyl)-2,3-O-isopropylidene-d-ribitol (7)
3.2.2. 1-O-Benzoyl-4-O-(4,6-O-benzylidene-2,3-di-O-acetyl-β-d-glucopyranosyl)-5-O-(tert-butyldimethylsilyl)-2,3-O-isopropylidene-d-ribitol (8)
3.2.3. 1-O-Benzoyl-4-O-(6-O-benzyl-2,3-di-O-acetyl-β-d-glucopyranosyl)-5-O-(tert-butyldimethylsilyl)-2,3-O-isopropylidene-d-ribitol (10)
3.2.4. 1-O-Benzoyl-4-O-(6-O-benzyl-2,3,4-tri-O-acetyl-β-d-glucopyrano-syl)-2,3-O-isopropylidene-d-ribitol (11)
3.2.5. [1-O-Benzoyl-4-O-(6-O-benzyl-2,3,4-tri-O-acetyl-β-d-glucopyrano-syl-2,3-O-isopropylidene)-d-ribitol]-5-yl Hydrogenphosphonate Triethylammonium Salt (12)
3.2.6. (2-(2-(Benzyloxycarbonylamino)ethoxy)ethyl [1-O-benzoyl-4-O-(6-O-benzyl-2,3,4-tri-O-acetyl-β-d-glucopyranosyl)-2,3-O-isopropylidene-d-ribitol]-5-yl Phosphate Triethylammonium Salt (13)
3.2.7. 2-Aminoethoxyethyl (4-O-β-d-glucopyranosyl)-d-ribitol-5)-yl Phosphate Sodium Salt (1)
3.2.8. Compound 14
3.2.9. Compound 15
3.2.10. Compound 16
3.2.11. Compound 17
3.2.12. Compound 2
3.2.13. Compound 18
3.2.14. Compound 21
3.2.15. Compound 3
3.2.16. Compound 4
4. Conclusions
Supplementary Materials
Author Contributions
Funding
Institutional Review Board Statement
Informed Consent Statement
Data Availability Statement
Acknowledgments
Conflicts of Interest
Sample Availability
References
- Jin, Z.; Romero-Steiner, S.; Carlone, G.M.; Robbins, J.B.; Schneerson, R. Haemophilus influenzae type a infection and its prevention. Infect. Immun. 2007, 75, 2650–2654. [Google Scholar] [CrossRef]
- Kelly, D.F.; Moxon, E.R.; Pollard, A.J. Haemophilus influenzae type b conjugate vaccines. Immunology 2004, 113, 163–174. [Google Scholar] [CrossRef]
- Wenger, J.D.; Hightower, A.W.; Facklam, R.R.; Gaventa, S.; Broome, C.V. Bacterial meningitis in the United States, 1986: Report of a multistate surveillance study. The Bacterial Meningitis Study Group. J. Infect. Dis. 1990, 162, 1316–1323. [Google Scholar] [CrossRef]
- Salwén, K.M.; Vikerfors, T.; Olcén, P. Increased incidence of childhood bacterial meningitis. A 25-year study in a defined population in Sweden. Scand. J. Infect. Dis. 1987, 19, 1–11. [Google Scholar] [CrossRef]
- Del Bino, L.; Osterlid, K.E.; Wu, D.; Nonne, F.; Romano, M.R.; Codée, J.D.C.; Adamo, R. Synthetic glycans to improve current glycoconjugate vaccines and fight antimicrobial resistance. Chem. Rev. 2022, 122, 15672–15716. [Google Scholar] [CrossRef]
- Khatuntseva, E.A.; Nifantiev, N.E. Glycoconjugate vaccines for prevention of Haemophilus influenzae type b diseases. Russ. J. Bioorg. Chem. 2021, 47, 26–52. [Google Scholar] [CrossRef]
- Khatuntseva, E.A.; Nifantiev, N.E. Cross reacting material (CRM197) as a carrier protein for carbohydrate conjugate vaccines targeted at bacterial and fungal pathogens. Int. J. Biol. Macromol. 2022, 218, 775–798. [Google Scholar] [CrossRef]
- Seeberger, P.H. Discovery of semi- and fully-synthetic carbohydrate vaccines against bacterial infections using a medicinal chemistry approach. Chem. Rev. 2021, 121, 3598–3626. [Google Scholar] [CrossRef]
- Anderluh, M.; Berti, F.; Bzducha-Wróbel, A.; Chiodo, F.; Colombo, C.; Compostella, F.; Durlik, K.; Ferhati, X.; Holmdahl, D.; Jovanovic, W.; et al. Recent advances on smart glycoconjugate vaccines in infections and cancer. FEBS J. 2022, 289, 4251–4303. [Google Scholar] [CrossRef]
- Micoli, F.; Del Bino, L.; Alfini, R.; Carboni, F.; Romano, M.R.; Adamo, R. Glycoconjugate vaccines: Current approaches towards faster vaccine design. Expert Rev. Vaccines 2019, 18, 881–895. [Google Scholar] [CrossRef]
- Slack, M.P.E. Long term impact of conjugate vaccines on Haemophilus influenzae meningitis: Narrative review. Microorganisms 2021, 9, 886. [Google Scholar] [CrossRef]
- Shuel, M.; Knox, N.; Tsang, R.S.W. Global population structure of Haemophilus influenzae serotype a (Hia) and emergence of invasive Hia disease: Capsule switching or capsule replacement. Can. J. Microbiol. 2021, 67, 875–884. [Google Scholar] [CrossRef]
- Tsang, R.S.W.; Proulx, J.-F.; Hayden, K.; Shuel, M.; Lefebvre, B.; Boisvert, A.A.; Moore, D. Characteristics of invasive Haemophilus influenzae serotype a (Hia) from Nunavik, Canada and comparison with Hia strains in other North American Arctic regions. Int. J. Infect. Dis. 2017, 57, 104–107. [Google Scholar] [CrossRef]
- Boisvert, A.A.; Moore, D. Invasive disease due to Haemophilus influenzae type A in children in Canada’s north: A priority for prevention. Can. J. Infect. Dis. Med. Microbiol. 2015, 26, 291–292. [Google Scholar] [CrossRef]
- Ulanova, M.; Tsang, R.S.W. Haemophilus influenzae serotype a as a cause of serious invasive infections. Lancet Infect. Dis. 2014, 14, 70–82. [Google Scholar] [CrossRef]
- Ribeiro, G.S.; Reis, J.N.; Cordeiro, S.M.; Lima, J.B.; Gouveia, E.L.; Petersen, M.; Salgado, K.; Silva, H.R.; Zanella, R.C.; Almeida, S.C.; et al. Prevention of Haemophilus influenzae type b (Hib) meningitis and emergence of serotype replacement with type a strains after introduction of Hib immunization in Brazil. J. Infect. Dis. 2003, 187, 109–116. [Google Scholar] [CrossRef]
- Campos, J.; Román, F.; Pérez-Vázquez, M.; Oteo, J.; Aracil, B.; Cercenado, E. Infections due to Haemophilus influenzae serotype e: Microbiological, clinical, and epidemiological features. Clin. Infect. Dis. 2003, 7, 841–845. [Google Scholar] [CrossRef]
- Resman, F.; Ristovski, M.; Ahl, J.; Forsgren, A.; Gilsdorf, J.R.; Jasir, A.; Kaijser, B.; Kronvall, G.; Riesbeck, K. Invasive disease caused by Haemophilus influenzae in Sweden 1997–2009; evidence of increasing incidence and clinical burden of non-type b strains. Clin. Microbiol. Infect. 2011, 17, 1638–1645. [Google Scholar] [CrossRef]
- Zwahlen, A.; Kroll, J.S.; Rubin, L.G.; Moxon, E.R. The molecular basis of pathogenicity in Haemophilus influenzae: Comparative virulence of genetically-related capsular transformants and correlation with changes at the capsulation locus cap. Microb. Pathog. 1989, 7, 225–235. [Google Scholar] [CrossRef]
- Schmidt, D.S.; Bieging, K.T.; Gomez-de-León, P.; Villaseñor-Sierra, A.; Inostroza, J.; Robbins, J.B.; Schneerson, R.; Carlone, G.M.; Romero-Steiner, S. Measurement of Haemophilus influenzae type a capsular polysaccharide antibodies in cord blood sera. Pediatr. Infect. Dis. J. 2012, 31, 876–878. [Google Scholar] [CrossRef]
- Branefors-Helander, P.; Erbing, C.; Kenne, L.; Lindberg, B. The Structure of the capsular antigen from Haemophilus Influenzae type A. Carbohydr. Res. 1977, 56, 117–122. [Google Scholar] [CrossRef]
- Grzeszczyk, B.; Banaszek, A.; Zamojski, A. The synthesis of two repeating units of Haemophilus Influenzae type a capsular antigen. Carbohydr. Res. 1988, 175, 215–226. [Google Scholar] [CrossRef]
- Katagiri, N.; Itakura, K.; Narang, S.A. Use of arylsulfonyltriazoles for the synthesis of oligonucleotides by the triester approach. J. Am. Chem. Soc. 1975, 97, 7332–7337. [Google Scholar] [CrossRef]
- Kohout, C.V. Synthesis of Haemophilus Influenzae Type a Oligosaccharides for Vaccine Development. Ph.D. Thesis, University of Milan, Milan, Italy, 2020; p. 208. Available online: https://air.unimi.it/handle/2434/809196 (accessed on 1 June 2023).
- Sobkowski, M.; Kraszewski, A.; Stawinski, J. Recent advances in H-phosphonate chemistry. Part 1. H-phosphonate esters: Synthesis and basic reactions. Top. Curr. Chem. 2015, 361, 137–177. [Google Scholar] [CrossRef]
- Roy, S.; Caruthers, M. Synthesis of DNA/RNA and Their Analogs via Phosphoramidite and H-Phosphonate Chemistries. Molecules 2013, 18, 14268–14284. [Google Scholar] [CrossRef] [PubMed]
- Garegg, P.J.; Lindh, I.; Regberg, T.; Stawinski, J.; Stromberg, R. Nucleoside H-phosphonates. IV. Automated solid phase synthesis of oligonucleotides by the hydrogenphosphonate approach. Tetrahedron Lett. 1986, 27, 4055–4058. [Google Scholar] [CrossRef]
- Weiler, S.; Schmidt, R. A versatile strategy for the synthesis of complex type N-Glycans: Synthesis of diantennary and bisected diantennary oligosaccharides. Tetrahedron Lett. 1998, 39, 2299–2302. [Google Scholar] [CrossRef]
- Krosigk, U.; Benner, S.A. Expanding the Genetic Alphabet: Pyrazine Nucleosides That Support a Donor-Donor-Acceptor Hydrogen-Bonding Pattern. Helv. Chim. Acta 2004, 6, 1299–1324. [Google Scholar] [CrossRef]
- Kim, D.; Kim, G.; Kim, Y. Preparation of optically active 3-substituted piperidines via ring expansion: Synthesis of 4-amino- and 4-fluoro-1,4,5-trideoxy-1,5-imino-D-ribitol and 1,5-dideoxy-1,5-imino-D-ribitol. J. Chem. Soc. Perkin Trans. 1 1996, 8, 803–808. [Google Scholar] [CrossRef]
- Sherman, A.A.; Mironov, Y.V.; Yudina, O.N.; Nifantiev, N.E. The presence of water improves reductive openings of benzylidene acetals with trimethylaminoborane and aluminium chloride. Carbohydr. Res. 2003, 338, 697–703. [Google Scholar] [CrossRef]
- Stawinski, J.; Thelin, M. Studies on the activation pathway of phosphonic acid using acyl chlorides as activators. J. Chem. Soc. Perkin Trans. 2 1990, 6, 849–853. [Google Scholar] [CrossRef]
- Tsvetkov, Y.E.; Burg-Roderfeld, M.; Loers, G.; Ardá, A.; Sukhova, E.V.; Khatuntseva, E.A.; Grachev, A.A.; Chizhov, A.O.; Siebert, H.C.; Schachner, M.; et al. Synthesis and molecular recognition studies of the HNK-1 trisaccharide and related oligosaccharides. The specificity of monoclonal anti-HNK-1 antibodies as assessed by surface plasmon resonance and STD NMR. J. Am. Chem. Soc. 2012, 11, 426–435. [Google Scholar] [CrossRef] [PubMed]



Disclaimer/Publisher’s Note: The statements, opinions and data contained in all publications are solely those of the individual author(s) and contributor(s) and not of MDPI and/or the editor(s). MDPI and/or the editor(s) disclaim responsibility for any injury to people or property resulting from any ideas, methods, instructions or products referred to in the content. |
© 2023 by the authors. Licensee MDPI, Basel, Switzerland. This article is an open access article distributed under the terms and conditions of the Creative Commons Attribution (CC BY) license (https://creativecommons.org/licenses/by/4.0/).
Share and Cite
Kamneva, A.A.; Yashunsky, D.V.; Khatuntseva, E.A.; Nifantiev, N.E. Synthesis of Pseudooligosaccharides Related to the Capsular Phosphoglycan of Haemophilus influenzae Type a. Molecules 2023, 28, 5688. https://doi.org/10.3390/molecules28155688
Kamneva AA, Yashunsky DV, Khatuntseva EA, Nifantiev NE. Synthesis of Pseudooligosaccharides Related to the Capsular Phosphoglycan of Haemophilus influenzae Type a. Molecules. 2023; 28(15):5688. https://doi.org/10.3390/molecules28155688
Chicago/Turabian StyleKamneva, Anastasia A., Dmitry V. Yashunsky, Elena A. Khatuntseva, and Nikolay E. Nifantiev. 2023. "Synthesis of Pseudooligosaccharides Related to the Capsular Phosphoglycan of Haemophilus influenzae Type a" Molecules 28, no. 15: 5688. https://doi.org/10.3390/molecules28155688
APA StyleKamneva, A. A., Yashunsky, D. V., Khatuntseva, E. A., & Nifantiev, N. E. (2023). Synthesis of Pseudooligosaccharides Related to the Capsular Phosphoglycan of Haemophilus influenzae Type a. Molecules, 28(15), 5688. https://doi.org/10.3390/molecules28155688

