Synthesis and Antimicrobial Activity of New Mannich Bases with Piperazine Moiety
Abstract
1. Introduction
2. Results and Discussion
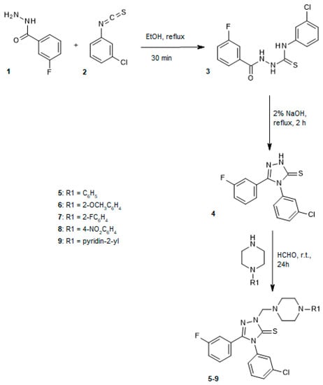
2.1. Chemistry
2.2. Antimicrobial Activity
2.3. In Silico Pharmacokinetic Prediction
3. Materials and Methods
3.1. Chemistry
3.2. Antibacterial and Antifungal Activity
3.2.1. Minimum Inhibitory Concentration (MIC) Assay
3.2.2. Minimum Bactericidal (MBC) and Fungicidal (MFC) Concentration Assay
4. Conclusions
Supplementary Materials
Author Contributions
Funding
Institutional Review Board Statement
Informed Consent Statement
Data Availability Statement
Acknowledgments
Conflicts of Interest
Sample Availability
References
- Neu, H.C. The Crisis in Antibiotic Resistance. Science 1992, 257, 1064–1073. [Google Scholar] [CrossRef]
- Holmes, C.B.; Losina, E.; Walensky, R.P.; Yazdanpanah, Y.; Freedberg, K.A. Review of Human Immunodeficiency Virus Type 1-Related Opportunistic Infections in Sub-Saharan Africa. Clin. Infect. Dis. 2003, 36, 652–662. [Google Scholar] [CrossRef]
- Frieri, M.; Kumar, K.; Boutin, A. Antibiotic Resistance. J. Infect. Public Health 2017, 10, 369–378. [Google Scholar] [CrossRef]
- Paneth, A.; Trotsko, N.; Popiołek, Ł.; Grzegorczyk, A.; Krzanowski, T.; Janowska, S.; Malm, A.; Wujec, M. Synthesis and Antibacterial Evaluation of Mannich Bases Derived from 1,2,4-Triazole. Chem. Biodivers. 2019, 16, e1900377. [Google Scholar] [CrossRef]
- Gołąbek, K. Wybrane Molekularne Mechanizmy Oporności Szczepów Candida albicans Na Leki Azolowe. Ph.D. Thesis, Śląski Uniwersytet Medyczny w Katowicach (SUM), Katowice, Poland, 2015. [Google Scholar]
- European Centre for Disease Prevention and Control; World Health Organization. Antimicrobial Resistance Surveillance in Europe 2023–2021 Data; European Centre for Disease Prevention and Control: Stockholm, Sweden; World Health Organization: Geneva, Switzerland, 2023. [Google Scholar]
- Gizińska, M.; Pytlak, W.; Lis, M.; Gad, B.; Staniszewska, M. New Trends in the Search for Alternative Antifungal Therapies. Pediatr. Med. Rodz. 2019, 15, 12–16. [Google Scholar] [CrossRef]
- Pristov, K.E.; Ghannoum, M.A. Resistance of Candida to Azoles and Echinocandins Worldwide. Clin. Microbiol. Infect. 2019, 25, 792–798. [Google Scholar] [CrossRef]
- Ashok, M.; Holla, B.S.; Poojary, B. Convenient One Pot Synthesis and Antimicrobial Evaluation of Some New Mannich Bases Carrying 4-Methylthiobenzyl Moiety. Eur. J. Med. Chem. 2007, 42, 1095–1101. [Google Scholar] [CrossRef]
- Bayrak, H.; Demirbas, A.; Karaoglu, S.A.; Demirbas, N. Synthesis of Some New 1,2,4-Triazoles, Their Mannich and Schiff Bases and Evaluation of Their Antimicrobial Activities. Eur. J. Med. Chem. 2009, 44, 1057–1066. [Google Scholar] [CrossRef]
- Karthikeyan, M.S.; Prasad, D.J.; Poojary, B.; Subrahmanya Bhat, K.; Holla, B.S.; Kumari, N.S. Synthesis and Biological Activity of Schiff and Mannich Bases Bearing 2,4-Dichloro-5-Fluorophenyl Moiety. Bioorg. Med. Chem. 2006, 14, 7482–7489. [Google Scholar] [CrossRef]
- Demirbas, A.; Sahin, D.; Demirbas, N.; Karaoglu, S.A. Synthesis of Some New 1,3,4-Thiadiazol-2-Ylmethyl-1,2,4-Triazole Derivatives and Investigation of Their Antimicrobial Activities. Eur. J. Med. Chem. 2009, 44, 2896–2903. [Google Scholar] [CrossRef]
- Shi, J.; Ding, M.; Luo, N.; Wan, S.; Li, P.; Li, J.; Bao, X. Design, Synthesis, Crystal Structure, and Antimicrobial Evaluation of 6-Fluoroquinazolinylpiperidinyl-Containing 1,2,4-Triazole Mannich Base Derivatives against Phytopathogenic Bacteria and Fungi. J. Agric. Food Chem. 2020, 68, 9613–9623. [Google Scholar] [CrossRef] [PubMed]
- Almajan, G.L.; Barbuceanu, S.-F.; Almajan, E.-R.; Draghici, C.; Saramet, G. Synthesis, Characterization and Antibacterial Activity of Some Triazole Mannich Bases Carrying Diphenylsulfone Moieties. Eur. J. Med. Chem. 2009, 44, 3083–3089. [Google Scholar] [CrossRef]
- Sridhar, S.K.; Saravanan, M.; Ramesh, A. Synthesis and Antibacterial Screening of Hydrazones, Schiff and Mannich Bases of Isatin Derivatives. Eur. J. Med. Chem. 2001, 36, 615–625. [Google Scholar] [CrossRef] [PubMed]
- Isloor, A.M.; Kalluraya, B.; Shetty, P. Regioselective Reaction: Synthesis, Characterization and Pharmacological Studies of Some New Mannich Bases Derived from 1,2,4-Triazoles. Eur. J. Med. Chem. 2009, 44, 3784–3787. [Google Scholar] [CrossRef] [PubMed]
- Roman, G. Mannich Bases in Medicinal Chemistry and Drug Design. Eur. J. Med. Chem. 2015, 89, 743–816. [Google Scholar] [CrossRef] [PubMed]
- Turan-Zitouni, G.; Kaplancıklı, Z.A.; Yıldız, M.T.; Chevallet, P.; Kaya, D. Synthesis and Antimicrobial Activity of 4-Phenyl/Cyclohexyl-5-(1-Phenoxyethyl)-3-[N-(2-Thiazolyl)Acetamido]Thio-4H-1,2,4-Triazole Derivatives. Eur. J. Med. Chem. 2005, 40, 607–613. [Google Scholar] [CrossRef]
- Shafiee, A.; Sayadi, A.; Roozbahani, M.H.; Foroumadi, A.; Kamal, F. Synthesis and in Vitro Antimicrobial Evaluation of 5-(1-Methyl-5-Nitro-2-Imidazolyl)-4H-1,2,4-Triazoles. Arch. Der Pharm. 2002, 335, 495–499. [Google Scholar] [CrossRef]
- Eswaran, S.; Adhikari, A.V.; Shetty, N.S. Synthesis and Antimicrobial Activities of Novel Quinoline Derivatives Carrying 1,2,4-Triazole Moiety. Eur. J. Med. Chem. 2009, 44, 4637–4647. [Google Scholar] [CrossRef]
- Plech, T.; Wujec, M.; Majewska, M.; Kosikowska, U.; Malm, A. Microbiologically Active Mannich Bases Derived from 1,2,4-Triazoles. The Effect of C-5 Substituent on Antibacterial Activity. Med. Chem. Res. 2013, 22, 2531–2537. [Google Scholar] [CrossRef]
- Domagala, J.M. Structure-Activity and Structure-Side-Effect Relationships for the Quinolone Antibacterials. J. Antimicrob. Chemother. 1994, 33, 685–706. [Google Scholar] [CrossRef]
- Tahir, S.; Mahmood, T.; Dastgir, F.; Haq, I.; Waseem, A.; Rashid, U. Design, Synthesis and Anti-Bacterial Studies of Piperazine Derivatives against Drug Resistant Bacteria. Eur. J. Med. Chem. 2019, 166, 224–231. [Google Scholar] [CrossRef] [PubMed]
- Munir, S.; Khurshid, M.; Ahmad, M.; Ashfaq, U.A.; Zaki, M.E.A. Exploring the Antimicrobial and Pharmacological Potential of NF22 as a Potent Inhibitor of E. coli DNA Gyrase: An In Vitro and In Silico Study. Pharmaceutics 2022, 14, 2768. [Google Scholar] [CrossRef] [PubMed]
- Kulabaş, N.; Türe, A.; Bozdeveci, A.; Krishna, V.S.; Alpay Karaoğlu, Ş.; Sriram, D.; Küçükgüzel, İ. Novel Fluoroquinolones Containing 2-arylamino-2-oxoethyl Fragment: Design, Synthesis, Evaluation of Antibacterial and Antituberculosis Activities and Molecular Modeling Studies. J. Heterocycl. Chem. 2022, 59, 909–926. [Google Scholar] [CrossRef]
- Garlapati, K.K.; Srinivasu, N.; Kumar, K.S.; Ganta, R.K. Synthesis of Novel 3-(Piperazin-1-Yl)-1,2-Benzothiazole Derivatives and Their Antibacterial Activity. Russ. J. Org. Chem. 2022, 58, 1534–1541. [Google Scholar] [CrossRef]
- Marganakop, S.B.; Kamble, R.R.; Sannaikar, M.S.; Bayannavar, P.K.; Kumar, S.M.; Inamdar, S.R.; Shirahatti, A.M.; Desai, S.M.; Joshi, S.D. SCXRD, DFT and Molecular Docking Based Structural Analyses towards Novel 3-Piperazin-1-Yl-Benzo[d]Isothiazole and 3-Piperidin-4-Yl-Benzo[d]Isoxazoles Appended to Quinoline as Pharmacological Agents. J. Mol. Struct. 2022, 1248, 131442. [Google Scholar] [CrossRef]
- Ranganatha, V.L.; Ramu, R.; Rashmi, V.; Martiz, R.M.; Khanum, S.A. Synthesis, Characterization, and Antimicrobial Analysis of 5-Phenyl-4-((2-(Piperazin-1-Yl)Ethyl)Thio)-1,2,3-Oxadiazole Analogs through in Vitro and in Silico Approach. J. Mol. Struct. 2022, 1252, 132168. [Google Scholar] [CrossRef]
- Upadhayaya, R.S.; Sinha, N.; Jain, S.; Kishore, N.; Chandra, R.; Arora, S.K. Optically Active Antifungal Azoles: Synthesis and Antifungal Activity of (2R,3S)-2-(2,4-Difluorophenyl)-3-(5-{2-[4-Aryl-Piperazin-1-Yl]-Ethyl}-Tetrazol-2-Yl/1-Yl)-1-[1,2,4]-Triazol-1-Yl-Butan-2-Ol. Bioorg. Med. Chem. 2004, 12, 2225–2238. [Google Scholar] [CrossRef]
- Tang, Y.; Chen, K.-X.; Jiang, H.-L.; Ji, R.-Y. QSAR/QSTR of Fluoroquinolones: An Example of Simultaneous Analysis of Multiple Biological Activities Using Neural Network Method. Eur. J. Med. Chem. 1998, 33, 647–658. [Google Scholar] [CrossRef]
- Kitani, H.; Kuroda, T.; Moriguchi, A.; Ao, H.; Hirayama, F.; Ikeda, Y.; Kawakita, T. Synthesis and Structural Optimization of 7-(3,3-Disubstituted-1-Pyrrolidinyl)-1-Cyclopropyl-6-Fluoro-1,4-Dihydro-8-Methoxy-4-Oxo-3-Quinolinecarboxylic Acids as Antibacterial Agents. Bioorg. Med. Chem. Lett. 1997, 7, 515–520. [Google Scholar] [CrossRef]
- Kosikowska, U.; Wujec, M.; Trotsko, N.; Płonka, W.; Paneth, P.; Paneth, A. Antibacterial Activity of Fluorobenzoylthiosemicarbazides and Their Cyclic Analogues with 1,2,4-Triazole Scaffold. Molecules 2020, 26, 170. [Google Scholar] [CrossRef]
- Wujec, M.; Kosikowska, U.; Siwek, A.; Malm, A. New Derivatives of Thiosemicarbazide and 1,2,4-Triazoline-5-Thione with Potential Antimicrobial Activity. Phosphorus Sulfur Silicon 2009, 184, 559–567. [Google Scholar] [CrossRef]
- Siwek, A.; Wujec, M.; Dobosz, M.; Jagiełło-Wójtowicz, E.; Chodkowska, A.; Kleinrok, A.; Paneth, P. Synthesis and Pharmacological Properties of 3-(2-Methyl-Furan-3-Yl)-4-Substituted-Δ2-1,2,4-Triazoline-5-Thiones. Open Chem. 2008, 6, 47–53. [Google Scholar] [CrossRef]
- Kharb, R.; Kushal, B.; Anil, K.S. A Valuable Insight into Recent Advances on Antimicrobial Activity of Piperazine Derivatives. Pharma Chem. 2012, 4, 2470–2488. [Google Scholar]
- Lukin, A.; Chudinov, M.; Vedekhina, T.; Rogacheva, E.; Kraeva, L.; Bakulina, O.; Krasavin, M. Exploration of Spirocyclic Derivatives of Ciprofloxacin as Antibacterial Agents. Molecules 2022, 27, 4864. [Google Scholar] [CrossRef] [PubMed]
- Miyake, A.; Gotoh, K.; Iwahashi, J.; Togo, A.; Horita, R.; Miura, M.; Kinoshita, M.; Ohta, K.; Yamashita, Y.; Watanabe, H. Characteristics of Biofilms Formed by C. parapsilosis Causing an Outbreak in a Neonatal Intensive Care Unit. J. Fungi 2022, 8, 700. [Google Scholar] [CrossRef]
- Trofa, D.; Gácser, A.; Nosanchuk, J.D. Candida parapsilosis, an Emerging Fungal Pathogen. Clin. Microbiol. Rev. 2008, 21, 606–625. [Google Scholar] [CrossRef] [PubMed]
- Lipinski, C.A.; Lombardo, F.; Dominy, B.W.; Feeney, P.J. Experimental and Computational Approaches to Estimate Solubility and Permeability in Drug Discovery and Development Settings. Adv. Drug Deliv. Rev. 2001, 46, 3–26. [Google Scholar] [CrossRef]
- Veber, D.F.; Johnson, S.R.; Cheng, H.-Y.; Smith, B.R.; Ward, K.W.; Kopple, K.D. Molecular Properties That Influence the Oral Bioavailability of Drug Candidates. J. Med. Chem. 2002, 45, 2615–2623. [Google Scholar] [CrossRef]
- The European Committee on Antimicrobial Susceptibility Testing. Breakpoint Tables for Interpretation of MICs and Zone Diameters; Version 13.1; The European Committee on Antimicrobial Susceptibility Testing: Växjö, Sweden, 2023. [Google Scholar]
- Clinical and Laboratory Standards Institute (CLSI). Performance Standards for Antimicrobial Susceptibility Testing, 32nd ed.; CLSI Supplement M100le; CLSI: St. Louis, MO, USA, 2022. [Google Scholar]
- Wróbel, T.M.; Kosikowska, U.; Kaczor, A.A.; Andrzejczuk, S.; Karczmarzyk, Z.; Wysocki, W.; Urbanczyk-Lipkowska, Z.; Morawiak, M.; Matosiuk, D. Synthesis, Structural Studies and Molecular Modelling of a Novel Imidazoline Derivative with Antifungal Activity. Molecules 2015, 20, 14761–14776. [Google Scholar] [CrossRef]



| Compound | 5 | 6 | 7 | 8 | 9 | Positive Control Drug | ||||||||||||
|---|---|---|---|---|---|---|---|---|---|---|---|---|---|---|---|---|---|---|
| CIP | ||||||||||||||||||
| Microorganism | MIC | MBC | MBC/ MIC | MIC | MBC | MBC/ MIC | MIC | MBC | MBC/MIC | MIC | MBC | MBC/MIC | MIC | MBC | MBC/MIC | MIC | MBC | |
| Gram-positive bacteria | S. epidermidis ATCC 12228 | 500 | > | - | 1000 | > | - | > | n.d. | - | 125 | 500 | 4 | 250 | 500 | 2 | 1.48 | 2 |
| S. aureus ATCC 25923 | n.d. | n.d. | - | > | n.d. | - | > | n.d. | - | 125 | 250 | 2 | 250 | 500 | 2 | 2.96 | 4 | |
| M. luteus ATCC 10240 | 125 | 125 | 1 | 125 | 500 | 4 | 125 | 250 | 2 | 31.25 | 500 | 16 | 62.50 | 250 | 4 | 5.88 | 8 | |
| B. subtilis ATCC 6633 | 250 | 500 | 2 | 1000 | 1000 | 1 | 250 | 250 | 1 | 15.63 | 500 | 32 | 125 | 250 | 2 | 0.09 | 0.15 | |
| B. cereus ATCC 10876 | 500 | 1000 | 2 | 1000 | 1000 | 1 | 500 | 1000 | 2 | 125 | 500 | 4 | 125 | 1000 | 4 | 0.36 | 0.5 | |
| Gram-negative bacteria | E. coli ATCC 25922 | > | n.d. | - | > | n.d. | - | > | n.d. | - | 250 | 500 | 2 | > | n.d. | - | 0.024 | 0.5 |
| P. aeruginosa ATCC 27853 | > | n.d. | - | > | n.d. | - | > | n.d. | - | > | n.d. | - | > | n.d. | - | 0.72 | 1 | |
| K. pneumoniae ATCC 13883 | > | n.d. | - | 1000 | n.d. | - | > | n.d. | - | 125 | 125 | 1 | > | n.d. | - | 0.36 | 0.5 | |
| P. mirabilis ATCC 12453 | > | n.d. | - | > | n.d. | - | > | n.d. | - | > | 500 | - | > | n.d. | - | 0.045 | 0.15 | |
| MIC | MFC | MFC/MIC | MIC | MFC | MFC/MIC | MIC | MFC | MFC/MIC | MIC | MFC | MFC/MIC | MIC | MFC | MFC/MIC | POS | |||
| MIC | MFC | |||||||||||||||||
| yeasts | C. krusei ATCC 14243 | > | n.d. | - | > | n.d. | - | > | n.d. | - | > | n.d. | - | > | n.d. | - | 0.125 | 1 |
| C. glabrata ATCC 15126 | > | n.d. | - | > | n.d. | - | > | n.d. | - | > | n.d. | - | > | n.d. | - | 0.244 | 16 | |
| C. parapsilosis ATCC 22019 | 62.5 | 1000 | 16 | 62.5 | >1000 | - | 62.5 | 1000 | 16 | 0.49 | >1000 | - | 0.98 | 1000 | 1020 | 0.016 | 1 | |
| Lipinski’s Rule of Five (Ro5) | |||||
|---|---|---|---|---|---|
| Compound | H-Bond Acceptors | H-Bond Donors | MW [g/mol] | Log P (MLOGP) | Violations |
| 5 | 3 | 0 | 480.00 | 4.77 | 1 |
| 6 | 4 | 0 | 510.03 | 4.56 | 2 |
| 7 | 4 | 0 | 497.99 | 5.13 | 1 |
| 8 | 5 | 0 | 525.00 | 3.78 | 1 |
| 9 | 4 | 0 | 480.99 | 4.16 | 1 |
| Pharmacokinetics Parameters | ||||
|---|---|---|---|---|
| Compound | GI Absorption | BBB Permeant | P-gp Substrate | Water Solubility |
| 5 | High | Yes | Yes | Poorly soluble |
| 6 | High | No | Yes | Poorly soluble |
| 7 | High | No | Yes | Poorly soluble |
| 8 | Low | No | No | Poorly soluble |
| 9 | High | No | Yes | Poorly soluble |
| Pharmacokinetics Parameters | ||||
|---|---|---|---|---|
| Compound | GI Absorption | BBB Permeant | P-gp Substrate | Water Solubility |
| 5 | High | Yes | Yes | Poorly soluble |
| 6 | High | No | Yes | Poorly soluble |
| 7 | High | No | Yes | Poorly soluble |
| 8 | Low | No | No | Poorly soluble |
| 9 | High | No | Yes | Poorly soluble |
Disclaimer/Publisher’s Note: The statements, opinions and data contained in all publications are solely those of the individual author(s) and contributor(s) and not of MDPI and/or the editor(s). MDPI and/or the editor(s) disclaim responsibility for any injury to people or property resulting from any ideas, methods, instructions or products referred to in the content. |
© 2023 by the authors. Licensee MDPI, Basel, Switzerland. This article is an open access article distributed under the terms and conditions of the Creative Commons Attribution (CC BY) license (https://creativecommons.org/licenses/by/4.0/).
Share and Cite
Janowska, S.; Andrzejczuk, S.; Gawryś, P.; Wujec, M. Synthesis and Antimicrobial Activity of New Mannich Bases with Piperazine Moiety. Molecules 2023, 28, 5562. https://doi.org/10.3390/molecules28145562
Janowska S, Andrzejczuk S, Gawryś P, Wujec M. Synthesis and Antimicrobial Activity of New Mannich Bases with Piperazine Moiety. Molecules. 2023; 28(14):5562. https://doi.org/10.3390/molecules28145562
Chicago/Turabian StyleJanowska, Sara, Sylwia Andrzejczuk, Piotr Gawryś, and Monika Wujec. 2023. "Synthesis and Antimicrobial Activity of New Mannich Bases with Piperazine Moiety" Molecules 28, no. 14: 5562. https://doi.org/10.3390/molecules28145562
APA StyleJanowska, S., Andrzejczuk, S., Gawryś, P., & Wujec, M. (2023). Synthesis and Antimicrobial Activity of New Mannich Bases with Piperazine Moiety. Molecules, 28(14), 5562. https://doi.org/10.3390/molecules28145562

