Abstract
The electronic absorption and vibrational spectra of deprotonated 5,10,15,20-tetrakis(p-hydroxyphenyl)porphyrin (THPP) are studied as a function of solvent polarity in H2O-DMF, H2O-acetone, H2O-methanol, and DMF-acetone mixtures. The maximum absorption wavelength (λmax) of the lowest energy electronic absorption band of deprotonated THPP shows an unusual solvatochromism-a bathochromic followed by a hypsochromic shift with reduced polarity. According to the correlation analysis, both specific interactions (H-bonds) and nonspecific interactions affect the spectral changes of this porphyrin. Furthermore, the solvent polarity scale ET(30) can explain both shifts very well. At higher polarity (ET(30) > 48), THPP exists as a hyperporphyrin. The ET(30) is linear with λmax and a decrease in solvent polarity is accompanied by a bathochromic shift of λmax. These results can be rationalized in terms of the cooperative effects of H-bonds and nonspecific interactions on the spectra of hyperporphyrin. At relatively low polarity (45.5 < ET(30) < 48), hyperporphyrin gradually becomes Na2P as ET(30) reaches the critical value of 45.5. The spectrum of the hyperporphyrin turns into the three-band spectrum of the metalloporphyrin, which is accompanied by a hypsochromic shift of λmax.
1. Introduction
Porphyrins are a very important class of 18 π-electron-conjugated macrocycles that exhibit a variety of interesting optical, electrical, and physicochemical properties. Porphyrins are widely distributed in biological organisms, such as cytochromes, heme, and chlorophyll, and play an important role in physiological function. With their strong UV-vis absorption capacity, high quantum yield and singlet-oxygen-generating ability, good photostability, and high electron mobility, porphyrins are of increasing interest in the fields of photovoltaic cells and photodynamic therapy [1]. More importantly, porphyrins can form complexes with a variety of metal cations (M = Fe(II, III), Co(II, III), Mn(II, III, IV), etc.). Meanwhile, porphyrins and their metal derivatives have been widely used as the basic units of porous materials such as metal-organic frameworks (MOFs) and covalent organic frameworks (COFs). This makes porphyrins and their derivatives promising for a variety of applications, for example, as biosensors, catalysts, and for drug delivery and chemical storage [2,3,4,5]. 5,10,15,20-tetrakis(p-hydroxyphenyl)porphyrin (THPP) is a derivative of porphyrin that plays important roles in photosynthesis and electron transfer [6]. Furthermore, it can be modified at the meso-position to obtain targeting properties in biomedical applications involving photodynamic therapy (PDT), especially in cancer therapy [7,8,9,10]. Therefore, its photophysical and photochemical behavior continues to attract much interest.
It is well known that its spectrum varies with pH because it has two types of ionizable protons (Hs) [11], the comparatively acidic phenolic-Hs in the peripheral region and pyrrolic-Hs in two N-H groups. When the effect of pH on its spectrum in different solvents is studied, it is found that the solvent also has a profound effect on the spectrum of THPP. In a 50% DMF-50% H2O mixture [12], the deprotonation of THPP occurs only on the peripheral p-hydroxyphenyl groups, forming a hyperporphyrin. Martin Gouterman distinguishes three types of porphyrins: normal, hypso, and hyper. Hyperporphyrin spectra show prominent extra absorption bands in the region λ > 320 nm [2]. These extra features are not π-π* transitions of the porphyrin ring, but due to charge transfer (CT) transitions such as from porphyrin to metal(d) or from porphyrin substituent to porphyrin or otherwise. In this deprotonated THPP, the lowest energy absorption band is attributed to the n (phenoxide anion)-π* (porphyrin) charge transfer transition. When deprotonated in DMF [13], THPP can be further deprotonated from the pyrrolic-Hs and coordinates with two sodium ions to form the sodium complex of THPP (Na2P), converting the hyperporphyrin spectrum of THPP to the three-band spectrum of metalloporphyrin.
In fact, a comprehensive study of the dependence of the spectrum of the deprotonated THPP on solvent polarity has not been reported so far. In this work, the variation of the electronic and vibrational spectra of the deprotonated THPP with solvent polarity has been systematically investigated. Reichardt defined “solvent polarity” as “the overall solvation capability (or solvation power) for reactants and activated complexes as well as for molecules in the ground and excited states, which in turn depends on the action of all possible, specific and nonspecific, intermolecular forces between solvent and solute molecules, including Coulomb interactions between ions, directional interactions between dipoles, and inductive, dispersion, hydrogen-bonding, and charge transfer forces, as well as solvophobic interactions. Only those interactions leading to definite chemical alterations of the solute molecules through protonation, oxidation, reduction, complex formation, or other chemical processes are excluded” [14]. That is, the intermolecular interactions between the solvent and the solute molecules are roughly divided into nonspecific interactions (e.g., dipole-dipole, dipole-induced dipole interactions, and dispersion forces) and specific interactions (e.g., H-bonds in hydroxylic solvents) [14]. Therefore, four solvent pairs are chosen to cover several solute-solvent interactions: a proton acceptor and a hydroxylic solvent (DMF and water; acetone and water), two hydroxylic solvents (methanol and water), and two proton acceptors (DMF and acetone). Meanwhile, a solvent polarity scale ET(30), which is one of the more popular empirical scales [15,16], is used to characterize the polarity of these binary mixed solvents. We find that the maximum absorption wavelength (λmax) of the lowest-energy electronic absorption band of deprotonated THPP exhibits an unusual solvatochromism in these binary mixed solvents. To clarify the molecular origin of these changes, we consider two possible correlations: (i) λmax and the C-O stretching frequency; (ii) λmax and the empirical scale of the solvent polarity ET(30). In this deprotonated THPP, the n-electron is localized on the oxygen atoms of the hydroxyphenyl group [11], and oxygen atoms with n-electrons are prone to form hydrogen bonds with hydroxylic solvents such as water and methanol. The formation of hydrogen bonds (hydrogen-bond acceptor) is accompanied by a loss of electron density at the oxygen atom and therefore by a decrease in the frequency of the C-O stretching. In other words, the change in C-O stretching frequency is mainly caused by hydrogen bonding effects. ET(30) is based on the extremely solvatochromic character of 2,6-diphenyl-4-(2,4,6-triphenyl-1-pyridiniumyl)phenoxide (denoted in the literature as Reichardt’s Dye # 30) and is defined as the molar transition energy in kcal/mol of the intramolecular charge-transfer band of this dye in different solvents [17]. Kosower suggested that spectral shifts of strongly absorbing solutes (such as Reichardt’s Dye # 30 in this article) in various solvents might be used to establish a scale of solvent polarity [18]. It is generally accepted that the effect of a solvent on the spectrum of a solute is the resultant of a large number of factors-static factors such as interaction between solvent and solute permanent dipoles, dynamic factors such as dispersion forces, and specific interactions such as hydrogen bonding between solute and solvent [18]. As can be seen from Figure 1a, Reichardt’s Dye # 30 has a large dipole in the ground state with the n-electron localized on the phenolate oxygen atom and it is recognized that ET(30) is a descriptor of both hydrogen bond and nonspecific interactions between the solvent and Reichardt’s Dye # 30 [19]. We expect that the correlation analysis will clarify whether the solvatochromism is caused by specific effects or both, and we further discuss the mechanism of influence of the solvent on the spectral variation of THPP.
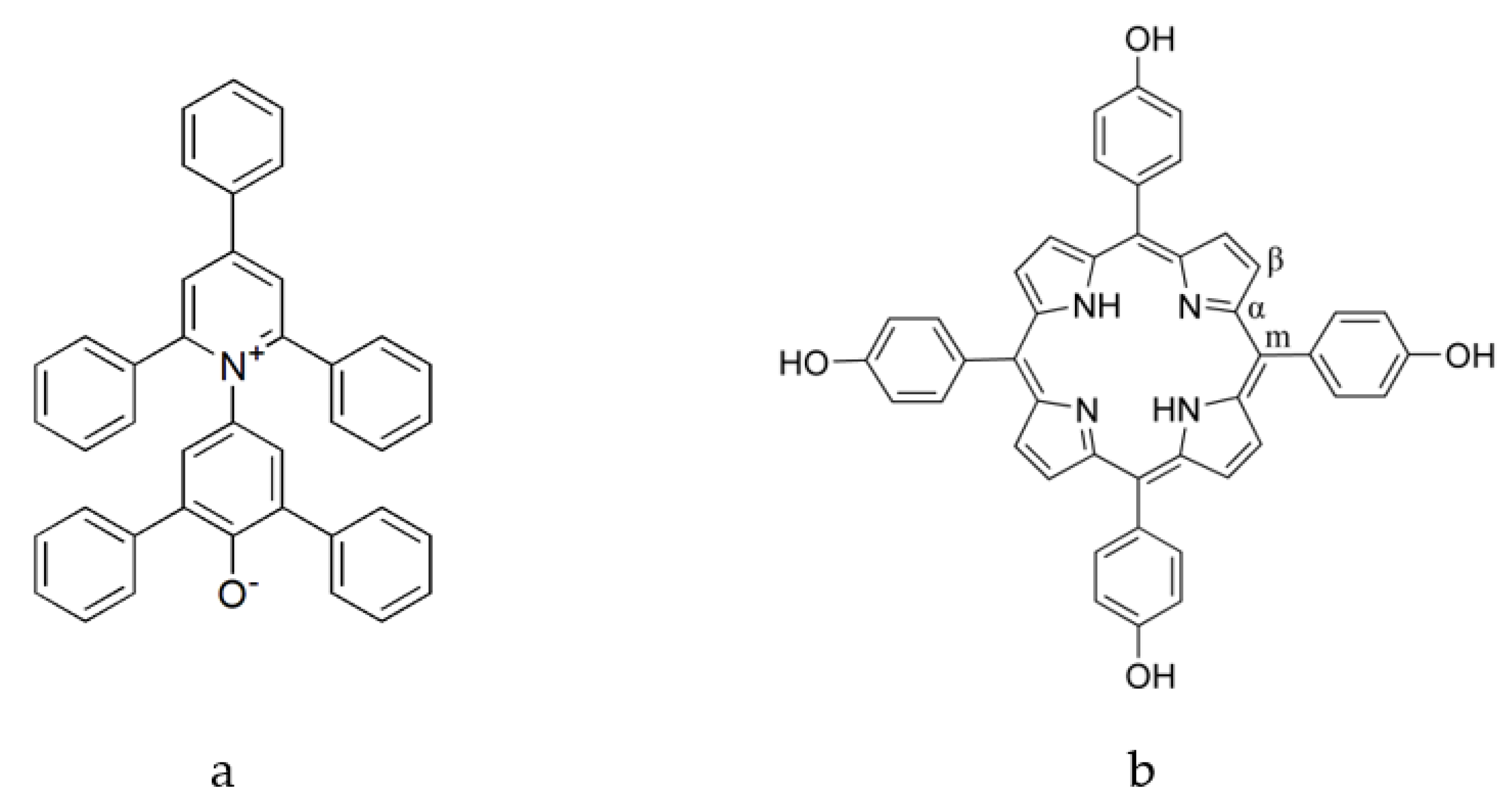
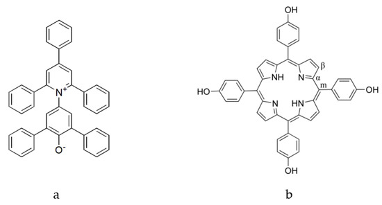
Figure 1.
Structure of (a) Reichardt’s Dye # 30 and (b) THPP.
2. Results
2.1. Effect of Solvents on UV-Vis Spectra
Figure 2 shows the UV-vis spectral changes of THPP in four series of binary mixed solvents ([OH−] = 0.04 mol/L). The inset shows the dependence of the λmax of the lowest energy band of THPP on the solvent composition.
Figure 2.
Spectral characteristics of THPP in the Soret band and Q-band region at [OH−] = 0.04 mol/L as a function of the volume percentage of X expressed in (a) XDMF, (b) Xacetone, (c) Xmethanol, and (d) Xacetone: (1) 0, (2) 20, (3) 40, (4) 60, (5) 80, (6) 98. Inset: different variations of λmax of THPP with the volume percentage of X.
Figure 2a shows (in H2O-DMF mixtures) that the spectral shape of THPP remains essentially the same when the volume percentage of DMF is less than 98%. As expected (inset), the lowest energy absorption band shows a solvatochromic phenomenon: λmax gradually increases from 666 nm in water to 703 nm in 90% DMF. When the volume percentage of DMF is increased to 98%, the spectrum of THPP is completely transformed. That is, the hyperporphyrin spectrum becomes a three-band spectrum of metalloporphyrin [13], which has an opposite effect on λmax (from 703 in 90% DMF to 673 nm in 98% DMF).
In H2O-acetone mixtures (Figure 2b), the spectral changes of THPP from H2O to acetone are similar to those reported above for the H2O-DMF mixtures. However, the solvent-dependent shift of the lowest energy absorption band is relatively small (inset: λmax shifts from 666 nm in water to 685 nm in 90% acetone and then to 676 nm in 98% acetone). Note here that the shape of the spectrum of THPP in 98% acetone resembles a hyperporphyrin spectrum rather than a metalloporphyrin spectrum.
In H2O-methanol mixtures (Figure 2c), the spectral shape of THPP remains essentially unchanged from H2O to methanol and is attributed to hyperporphyrin spectra. The change in λmax is rather small, shifting by only 3 nm (from 666 nm in water to 669 nm in 98% methanol).
In DMF-acetone mixtures (Figure 2d), the variation of the spectra is more complex: the spectral shape of THPP up to 20% acetone is similar to that in the 2% H2O-98% DMF mixture described above. In the range of 40–80% acetone, the spectrum is also similar to that in the 2% H2O-98% DMF mixture, but with a relative hypsochromic shift and a decrease in intensity. Further addition of acetone gives a spectrum similar to that in the 2% H2O-98% acetone mixture.
Interestingly, these spectral changes are reversible. Thus, depending on the composition of the starting solvent, the lowest energy absorption band of the deprotonated THPP may exhibit a bathochromic or hypsochromic shift, or both shifts.
2.2. Effect of Solvents on Vibrational Spectra
To clarify the effect of the solvent on the molecular structure, resonance Raman (RR) experiments were carried out. Figure 3 shows the RR spectra of THPP in the range of 900–1600 cm−1 in alkaline solutions ([OH−] = 0.04 mol/L) of (A) 100% H2O, (B) 80% DMF-20% H2O, (C) 80% acetone-20% H2O, (D) 80% methanol-20% H2O (E) 98% acetone-2% H2O, (F) 98% methanol-2% H2O, (G) 80% acetone-0% DMF, and (H) 98% acetone-2% DMF using a 514.5 nm excitation. The assignment of the RR spectra is based on the previous results and is shown in Table 1 [11,12,13]. The RR spectral data of THPP in the alkaline 98% DMF-2% H2O mixture in Table 1 are from Ref. [13].
Figure 3.
Resonance Raman spectra of THPP in the range of 900–1600 cm−1 in alkaline solutions ([OH−] = 0.04 mol/L) of (A) 100% H2O, (B) 80% DMF-20% H2O, (C) 80% acetone-20% H2O, (D) 80% methanol-20% H2O, (E) 98% acetone-2% H2O, (F) 98% methanol-2% H2O, (G) 80% acetone-20% DMF, and (H) 98% acetone-2% DMF using a 514.5 nm excitation. The small negative peaks are due to solvent subtraction or noise. * = solvent band.
Table 1.
Wavenumber of Raman shift (cm−1) of THPP in alkaline solutions.
In H2O-DMF, H2O-acetone and H2O-methanol mixtures, from H2O to 80% organic solvent (Table 1), the skeletal vibrations of THPP are almost unaffected by changes in solvent composition, except that the ν9 mode at 1084 cm−1 (mainly involving Cβ-H bending vibrations) shifts down by 11, 13, and 6 cm−1 to 1073, 1071, and 1078 cm−1, respectively [13]. The results of RR indicate that in highly aqueous solvents, the deprotonation of THPP occurs only on the peripheral p-hydroxyphenyl groups to form hyperporphyrin and the solvent has little effect on the structure of the central macrocycle of hyperporphyrin, implying that the H-bonding interaction of the solvent with the central N-H groups of hyperporphyrin is rather weak. The volume percentage of the organic solvent is further increased to 98%. In the 98% DMF-2% H2O mixture, the ν19 and ν11 modes (mainly involving Cα-Cm and Cβ-Cβ stretching vibrations) shift down by 43 and 17 cm−1 to 1509 and 1472 cm−1, respectively. The downshifted ν19 and ν11 modes suggest that THPP is further deprotonated of pyrrolic-Hs to form Na2P [13]. However, the ν19 and ν11 modes show no significant downshift in the 98% acetone-2% H2O and 98% methanol-2% H2O mixtures, suggesting that THPP cannot be converted to Na2P in either solution.
In DMF-acetone mixtures, the RR spectra of THPP in the range of 0–80% acetone are similar to those of metalloporphyrin (Na2P) in 98% DMF-2% H2O. As the volume percentage of acetone is further increased to 98%, the characteristic bands of Na2P disappear and the RR spectra are similar to those of hyperporphyrin in highly aqueous solutions.
To determine the effect of the solvent on the peripheral phenoxide anion substituents, we performed similar FTIR experiments on THPP. Unfortunately, in several nonaqueous solvents (98% DMF-2% H2O, 98% acetone-2% H2O, and DMF-acetone mixtures), the FTIR data could not be collected due to the low solubility of deprotonated THPP. Figure 4 shows a plot of the C-O stretching frequency of THPP versus the volume percentage of the organic solvents in three series of binary mixed solvents ([OH−] = 0.04 mol/L). It was expected that the intermolecular H-bonds would form between the C-O groups and the hydroxylic solvents, which is supported by the FTIR data. The formation of hydrogen bonds is accompanied by a loss of electron density at the oxygen atom and therefore by a decrease in the frequency of the C-O stretching. In H2O-DMF and H2O-acetone mixtures, the C-O stretching frequency gradually increases when increasing the volume percentage of the organic solvents. However, increasing the volume percentage of methanol in H2O-methanol mixtures leads to a decrease in C-O stretching frequency, despite the fact that H2O is a stronger H-bond donor than methanol. We attribute this phenomenon to the effect of self-association of H2O, which reduces the amount of free OH required for interaction with the dye [18,20]. The RR and FTIR data suggest that only the C-O groups of the peripheral substituents are affected by the H-bonding. The skeletal structure of hyperporphyrin is not greatly affected by the solvent, but the solvent polarity reaches a critical value and the skeletal structure changes significantly, converting the hyperporphyrin to Na2P.
Figure 4.
Relationship between the C-O stretching frequencies of the phenoxide anion substituents and the volume percentage of the organic solvents in three series of the mixed solvents.
3. Discussion
The existence of strong H-bonds between the C-O groups of the deprotonated THPP and the hydroxylic solvents, as demonstrated by RR and FTIR data, precludes the use of a model based on the Onsager theory of dielectrics [21]. Furthermore, when the H-bonding interaction is present, it usually dominates over nonspecific interactions [22,23]. Therefore, we focused our attention on two possible correlations of λmax: (i) the C-O stretching frequency; (ii) the empirical scale of the solvent polarity ET(30).
3.1. Correlation with the C-O Stretching Frequency
Due to incomplete FTIR data, this correlation cannot be used to interpret the spectral transformation of THPP in the less aqueous solvent mixtures. We expect that it can rationalize the solvatochromism of the lowest-energy electronic transition band (n (phenoxide anion)-π* (porphyrin) CT transitions) of deprotonated THPP in highly aqueous solvent mixtures. A plot of the λmax of the n-π* transition band versus the corresponding C-O stretching frequency in three series of binary mixed solvents is shown in Figure 5. As can be seen from the plot, the decrease in C-O stretching frequency is accompanied by a hypsochromic shift of λmax in H2O-DMF and H2O-acetone mixtures, but a bathochromic shift of λmax occurs in H2O-methanol mixtures. Traditionally, the hypsochromic shift of the n-π* absorption band is attributed to the formation of H-bonds from the hydroxylic solvent to the oxygen atoms of the phenoxide anions, and the formation of H-bonds is then thought to lower the energy of the n-orbital by an amount equal to the hypsochromic shift relative to a nonhydrogen bonding solvent [24,25]. As the volume percentage of H2O increases, the H-bonding interaction is stronger, the C-O stretching frequency is smaller, and λmax is hypsochromically shifted. Therefore, the decrease in C-O stretching frequency is accompanied by a hypsochromic shift of λmax.
Figure 5.
Relationship between the λmax of the n-π* transition band and the corresponding C-O stretching frequency of the phenoxide anion substituents in three series of mixed solvents.
It is thereby rather unexpected that a reversal trend is observed in H2O-methanol mixtures. These observations seem to suggest that the above explanation is overly simplistic and that other effects may be superimposed on and dominate the H-bonding effect. We consider these other effects to be mainly nonspecific interactions and previous studies have shown that the n-electrons are localized on the peripheral C-O groups in the ground state, and the charges are delocalized into the macrocycle upon excitation [11]. In addition, the peripheral C-O groups are not in the same plane as the macrocycle, so this hyperporphyrin has a larger dipole moment in the ground state. As a result, the ground state of the hyperporphyrin is more solvated than the excited state by the solute-solvent nonspecific interactions (dipole-dipole and dipole-induced dipole interactions) in polar media. Therefore, the λmax of the n-π* transition band is hypsochromically shifted with the increasing solvent polarity [26,27]. As the volume percentage of H2O decreases in the H2O-methanol mixtures, the C-O stretching frequency is smaller, but λmax is bathochromically shifted due to the decrease in solvent polarity. Therefore, the decrease in C-O stretching frequency is accompanied by a bathochromic shift of λmax. According to the correlation analysis between λmax and the C-O stretching frequency, both specific interactions (H-bonding) and nonspecific interactions affect the spectral changes of this hyperporphyrin, and the spectral phenomena cannot be well explained by considering only H-bonding interactions.
3.2. Correlation with the ET(30) Scale
From these considerations, we searched for an alternative parameter that could better explain and predict the effects of solvents on the spectra of deprotonated THPP. One such solvent parameter considered was the ET(30) scale. The strongly basic character of this dye suggests that the parameter ET(30) includes specific solvent acidity effects as well as nonspecific effects [17]. Moreover, deprotonated THPP also has a large dipole and a strongly basic character in the ground state. It appears that this dye-solvent interaction is similar to the deprotonated THPP-solvent interaction. ET(30) is therefore a more appropriate measure of the interactions between deprotonated THPP and solvent molecules.
Figure 6 shows the relationship between the λmax of THPP in four series of alkaline binary mixed solvents and the ET(30) values of the solvent mixtures. In the case where ET(30) > 48 (THPP exists as hyperporphyrin), λmax correlates well with ET(30) according to Equations (1)–(3) shown below:
λcal = −2.63 ET(30) + 829.94
r = 0.999 Sn = 0.57 n = 10 H2O − DMF
r = 0.999 Sn = 0.57 n = 10 H2O − DMF
λcal = −1.37 ET(30) + 753.33
r = 0.997 Sn = 0.46 n = 10 H2O − acetone
r = 0.997 Sn = 0.46 n = 10 H2O − acetone
λcal = −0.42 ET(30) + 692.68
r = 0.970 Sn = 0.30 n = 11 H2O − methanol
r = 0.970 Sn = 0.30 n = 11 H2O − methanol
Figure 6.
Relationship between λmax and ET(30) value of the solvent in four series of the mixed solvents. The solvent composition at each point of the four curves is expressed as the volume percentage of X (a) XDMF, (b) Xacetone, (c) Xmethanol, and (d) XDMF: (1) 0, (2) 10, (3) 20, (4) 30, (5) 40, (6) 50, (7) 60, (8) 70, (9) 80, (10) 90, (11) 98.
This result is expected as it is known that ET(30) can account for H-bonding interactions as well as nonspecific interactions. However, unlike the correlation of λmax with the C-O stretching frequency, the decrease in solvent polarity from H2O to organic solvent is accompanied by a bathochromic shift of λmax in three series of mixtures, and this difference can be explained as follows. According to the above discussion, both H-bonding and nonspecific interactions affect the spectral changes of this hyperporphyrin. Therefore, the effects of these two factors on the spectral changes are discussed separately. (1) Nonspecific interactions: The foregoing results suggest that the nonspecific interactions cause a bathochromic shift of λmax with a decreasing solvent polarity. It can be seen from Figure 6 that the polarity of the solvent decreases from H2O to organic solvents in three series of mixtures. (2) H-bonding effect: Similarly, we already know that the H-bonding effect leads to a bathochromic shift of λmax as the H-bonding effect weakens. As can be seen in Figure 4, the H-bonding effect from H2O to the organic solvents is weakened in the H2O-acetone and H2O-DMF mixtures, while it is strengthened in the H2O-methanol mixtures. Thus, in both the H2O-acetone and H2O-DMF mixtures, nonspecific interactions and the H-bonding effect lead to a bathochromic shift of λmax from H2O to the organic solvent, which is the observed direction. In the H2O-methanol mixture, these two effects are reversed, and the nonspecific interactions are relatively larger, resulting in a relatively smaller bathochromic shift of λmax.
For low-polarity solvents (ET(30) < 48), in H2O-DMF and H2O-acetone mixtures, λmax deviates increasingly from Eqs. (1) and (2) as ET(30) decreases. In H2O-DMF mixtures, this deviation is due to the formation of Na2P [13]. In H2O-acetone mixtures, however, THPP does not become Na2P (Figure 3E). There are two possible explanations for this discrepancy: (1) the solvent mixtures have different chemical compositions; (2) the solvent mixtures have different ET(30) values. As shown in Figure 2d and Figure 3G, in the DMF-acetone mixture, the hyperporphyrin becomes Na2P once the volume percentage of acetone is less than 80%. On the other hand, Figure 6 shows that the ET(30) value decreases slightly from acetone to DMF. Based on the above observation, (2) should be responsible for the formation of Na2P. It seems to us that λmax deviates more and more from the equation as ET(30) approaches the critical value (from 48 to 45.5). Once ET(30) exceeds the critical value, a completely structural change from hyperporphyrin to Na2P occurs. This is probably due to the fact that THPP has two types of ionizable protons (H), the comparatively acidic phenolic-H in the peripheral region and pyrrolic-H in the two N-H groups. The N-H groups are very weakly acidic (pK > 15) [13]. This acid-base reaction, in which THPP is deprotonated by NaOH, is in equilibrium between a soft acid (porphyrin) and a hard base (NaOH), so solvent effects can alter their relative strengths. Hard bases are strongly stabilized by intermolecular interactions between the solvent and the solute molecules (especially H-bonds in hydroxylic solvents), whereas soft acids are not much affected by intermolecular interactions, and RR experiments have demonstrated that the central N-H groups of hyperporphyrin are not greatly affected by the solvent [13]. Decreasing the polarity of the solvent, for example from water to DMF, increases the base strength of the NaOH but hardly affect the acid strength of the porphyrin. Thus, once ET(30) exceeds the critical value, THPP can be further deprotonated from the pyrrolic-Hs, thereby destroying the hyperporphyrin effect. Here, the spectrum of Na2P is the normal metalloporphyrin spectrum for which the solvent effect should be quite complicated. As shown in Figure 2d, in the range of 100–20% DMF in the DMF-acetone mixture (THPP exists as Na2P), the variation of the spectrum is quite complex and no useful correlation between ET(30) and λmax can be obtained. This fact is likely attributed to the formation of different ionic aggregates in the less aqueous solvent mixtures [28,29].
These results suggest that the ET(30) scale can predict the effect of the solvent on the spectra of deprotonated THPP. At higher polarity (ET(30) > 48), THPP exists as a hyperporphyrin. λmax is linearly correlated with ET(30) and a decrease in solvent polarity is accompanied by a bathochromic shift of λmax. These results can be rationalized in terms of the cooperative effects of H-bonds and nonspecific interactions on the spectra of hyperporphyrin. At relatively low polarity (45.5 < ET(30) < 48), hyperporphyrin gradually becomes Na2P as ET(30) reaches the critical value of 45.5. In solvents of lower polarity (ET(30) < 45.5), THPP exists as Na2P. A poor correlation is obtained between ET(30) and λmax. This is attributed to the formation of different ionic aggregations in the less aqueous solvent mixtures.
In this work, the unusual solvatochromism of deprotonated THPP in solvents of different polarity has been studied, and the molecular origin of the spectral change has been investigated by RR and IR. However, the mechanism of the complex spectral changes of Na2P in low-polarity (ET(30) < 45.5) solvents remains unclear and requires further investigation, while computational chemistry can better support the interpretation of the results. The hyperporphyrin systems based on deprotonated THPP exhibit the attractive spectra for solar absorption, and the results can be used to guide the design of novel porphyrin photosensitizers for use in photovoltaic cells and photodynamic therapy.
4. Experimental Section
4.1. Materials
THPP was prepared as previously described [11]. The labeling of specific carbon atoms on the macrocycle is shown in Figure 1b.
Reichardt’s Dye # 30 was purchased from Aldrich Chemical Co. (used as received). Analytical grade N, N-dimethylformamide (DMF), acetone, and methanol were vacuum-distilled before use. Double-distilled water was used for all sample preparations. All other chemicals used were analytical grade and were used as received.
4.2. Raman and FTIR Spectra
Raman spectra were recorded at room temperature using a Renishaw RM2000 Raman spectrophotometer. Binary mixed solvents were prepared in a volumetric ratio. Samples containing 5 × 10−4 mol/L THPP and 0.04 mol/L NaOH were placed in the capillary tube. Radiation of 514.5 nm (incident power of 20–50 mW) was focused on the detection area from the side of the capillary tube. Spectra were collected from 900 to 1600 cm−1 with a 15 s exposure time, applying a resolution of about 1 cm−1. The resulting RR spectrum was obtained by solvent subtraction. FTIR spectra were obtained using a Bruker VERTEX 70v FTIR spectrometer (Germany). The concentrations of THPP and NaOH in three series of mixed solvents were 5 × 10−3 mol/L and 0.04 mol/L, respectively. Samples were analyzed using an AquaSpec flow cell with calcium fluoride (CaF2) windows, a 0.6 mm spacer, with a resolution of 4 cm−1 at room temperature. For each sample, 128 consecutive scans collected from 1650 to 1100 cm−1 were averaged to achieve the final spectrum. The resulting FTIR spectrum was obtained by subtracting the spectral background given by the solvent and NaOH. Each sample was scanned three times.
4.3. UV-Vis Spectra
UV-vis absorption spectra were taken on an Agilent Cary 300 UV-vis spectrophotometer. UV-vis spectra of THPP and Reichardt’s Dye #30 were obtained using a 1 cm quartz cell. The concentrations of THPP and NaOH in four series of mixed solvents were 4 × 10−6 mol/L and 0.04 mol/L, respectively. The concentration of Reichardt’s Dye #30 in each system was 0.10 mmol/L except for pure water, which was saturated with the dye. Each sample was scanned four times. The position of the maximum of the first absorption band for Reichardt’s Dye #30 was measured to ±l nm and converted to ET(30) using Equation (4)
ET (30) (kcal·mol−1) = 28,591/(λmax/nm)
Author Contributions
Conceptualization, H.G.; software, X.L.; validation, Y.C.; resources, L.L.; writing—original draft preparation, H.G.; writing—review and editing, H.G.; supervision, W.Y. All authors have read and agreed to the published version of the manuscript.
Funding
This work was supported by the Rural Science and Technology Program of Guangdong Province, China (No. 2021A0304012).
Data Availability Statement
Data is contained within the article.
Conflicts of Interest
The authors declare no conflict of interest.
Sample Availability
Not applicable.
References
- Yao, Z.; Li, H.; Fan, Y.; Liang, X.; Xu, X.; Li, J. Pentacoordinated Cobalt(II) and Manganese(II) porphyrin N-Heterocyclic carbenes: Isolation, characterization and spectroscopy. Dyes Pigments 2020, 173, 107961–107965. [Google Scholar] [CrossRef]
- Wamser, C.C.; Ghosh, A. The hyperporphyrin concept: A contemporary perspective. JACS 2022, 2, 1543–1560. [Google Scholar] [CrossRef] [PubMed]
- Likhonina, A.E.; Mamardashvili, G.M.; Khodov, I.A.; Mamardashvili, N.Z. Synthesis and design of hybrid metalloporphyrin polymers based on palladium(II) and copper(II) cations and axial complexes of pyridyl-substituted Sn(IV) porphyrins with octopamine. Polymers 2013, 15, 1055–1074. [Google Scholar] [CrossRef] [PubMed]
- Mamardashvili, G.; Kaigorodova, E.; Lebedev, I.; Mamardashvili, N. Molecular recognition of imidazole-based drug molecules by Cobalt(III)- and Zinc(II)-coproporphyrins in aqueous media. Molecules 2023, 28, 964. [Google Scholar] [CrossRef]
- Sobornova, V.; Maltceva, O.; Khodov, I.; Mamardashvili, N. 1H NMR study of kinetics of the Ni(II) and Zn(II) cations complex formation with 2-aza-5,10,15,20-tetraphenyl-21-carbaporphyrin. Inorganica Chim. Acta 2023, 556, 121638–121642. [Google Scholar] [CrossRef]
- Ge, R.; Li, X.; Zhuang, B.; Kang, S.-Z.; Qin, L.; Li, G. Assembly mechanism and photoproduced electron transfer for a novel cubic Cu2O/tetrakis(4-hydroxyphenyl) porphyrin hybrid with visible photocatalytic activity for hydrogen evolution. Appl. Catal. B-Environ. 2017, 211, 296–304. [Google Scholar] [CrossRef]
- Song, H.; Wang, G.; Wang, J.; Wang, Y.; Wei, H.; He, J.; Luo, S. 131I-labeled 5,10,15,20-tetrakis(4-hydroxyphenyl)porphyrin and 5,10,15,20-tetrakis(4-aminophenyl)porphyrin for combined photodynamic and radionuclide therapy. J. Radioanal. Nucl. Chem. 2018, 316, 363–368. [Google Scholar] [CrossRef]
- Fakayode, O.; Kruger, C.; Songca, S.; Abrahamse, H.; Oluwafemi, O. Photodynamic therapy evaluation of methoxypolyethyleneglycol-thiol-SPIONs-gold-meso-tetrakis (4-hydroxyphenyl)porphyrin conjugate against breast cancer cells. Mat. Sci. Eng. C 2018, 92, 737–744. [Google Scholar] [CrossRef]
- Songca, S.P.; Mbatha, B. Solubilization of meso-tetraphenylporphyrin photosensitizers by substitution with fluorine and with 2,3-dihydroxy-1-propyloxy groups. J. Pharm. Pharmacol. 2000, 52, 1361–1367. [Google Scholar] [CrossRef]
- Kawasaki, R.; Yamana, K.; Shimada, R.; Sugikawa, K.; Ikeda, A. Water solubilization and thermal stimuli-triggered release of porphyrin derivatives using thermoresponsive polysaccharide hydroxypropyl cellulose for mitochondria-targeted photodynamic therapy. ACS Omega 2021, 6, 3209–3217. [Google Scholar] [CrossRef]
- Guo, H.; Jiang, J.; Shi, Y.; Wang, Y.; Liu, J.; Dong, S. UV-Vis spectrophotometric titrations and vibrational spectroscopic characterization of meso-(p-hydroxyphenyl)porphyrins. J. Phys. Chem. B 2004, 108, 10185–10191. [Google Scholar] [CrossRef]
- Guo, H.; Jiang, J.; Shi, Y.; Wang, Y.; Dong, S. Solvent effects on spectrophotometric titrations and vibrational spectroscopy of 5,10,15-triphenyl-20-(4-hydroxyphenyl)porphyrin in aqueous DMF. Spectrochim. Acta Part A 2007, 67, 166–171. [Google Scholar] [CrossRef] [PubMed]
- Guo, H.; Jiang, J.; Shi, Y.; Wang, Y.; Wang, Y.; Dong, S. Sequential deprotonation of meso-(p-hydroxyphenyl)porphyrins in DMF: From hyperporphyrins to sodium porphyrin complexes. J. Phys. Chem. B 2006, 110, 587–594. [Google Scholar] [CrossRef] [PubMed]
- AKatritzky, R.; Fara, D.C.; Yang, H.F.; Tämm, K.; Tamm, T.; Karelson, M. Quantitative Measures of Solvent Polarity. Chem. Rev. 2004, 104, 175–198. [Google Scholar] [CrossRef]
- Sawicka, M.J.; Wróblewska, E.K.; Lubkowski, K.; Sośnicki, J.G. Thermosolvatochromism of 7H-indolo [1,2-a]quinolinium dyes in pure solvents. Dye. Pigment. 2021, 186, 109033–109040. [Google Scholar] [CrossRef]
- Laurence, C.; Mansour, S.; Vuluga, D.; Legros, J. Correlation analysis of solvent effects on solvolysis rates: What can the empirical parameters of solvents actually say? J. Phys. Org. Chem. 2020, 33, 4067–4077. [Google Scholar] [CrossRef]
- Catalán, J. On the ET (30), π*, Py, S’, and SPP empirical scales as descriptors of nonspecific solvent effects. J. Org. Chem. 1997, 62, 8231–8234. [Google Scholar] [CrossRef]
- Figueras, J. Hydrogen Bonding, Solvent Polarity, and the Visible Spectrum of Phenol Blue and Its Derivatives. J. Am. Chem. Soc. 1971, 93, 3255–3263. [Google Scholar] [CrossRef]
- Cerón-Carrasco, J.P.; Jacquemin, D.; Laurence, C.; Planchat, A.; Reichardt, C.; Sraïdi, K. Solvent polarity scales: Determination of new ET(30) values for 84 organic solvents. J. Phys. Org. Chem. 2014, 27, 512–518. [Google Scholar] [CrossRef]
- Glezakou, V.-A.; Rousseau, R.; Dang, L.X.; McGrail, B.P. Structure, dynamics and vibrational spectrum of supercritical CO2/H2O mixtures from ab initio molecular dynamics as a function of water cluster formation. Phys. Chem. Chem. Phys. 2010, 12, 8759–8771. [Google Scholar] [CrossRef]
- Jacques, P. On the Relative Contributions of Nonspecific and Specific Interactions to the Unusual Solvtochromism of a Typical Merocyanine Dye. J. Phys. Chem. 1986, 90, 5535–5539. [Google Scholar] [CrossRef]
- Pimentel, G.C. Hydrogen Bonding and Electronic Transitions: The Role of the Franck-Condon Principle. J. Am. Chem. Soc. 1957, 79, 3323–3326. [Google Scholar] [CrossRef]
- Pinheiro, C.; Lima, J.C.; Parola, A.J. Using hydrogen bonding-specific interactions to detect water in aprotic solvents at concentrations below 50 ppm. Sens. Actuat. B 2006, 114, 978–983. [Google Scholar] [CrossRef]
- Taylor, P.R. On the Origins of the Blue Shift of the Carbonyl n→π* Transition in Hydrogen-Bonding Solvents. J. Am. Chem. Soc. 1982, 104, 5248–5249. [Google Scholar] [CrossRef]
- Kamlet, M.J.; Kayser, E.G.; Eastes, J.W.; Gilligan, W.H. Hydrogen Bonding by Protic Solvents to Nitro Oxygens. Effects on Electronic Spectra of Nitroaniline Derivatives. J. Am. Chem. Soc. 1973, 95, 5210–5214. [Google Scholar] [CrossRef]
- Brealey, G.J.; Kasha, M. The Rôle of Hydrogen Bonding in the n→π* Blue-shift Phenomenon. J. Am. Chem. Soc. 1955, 77, 4462–4468. [Google Scholar] [CrossRef]
- Haberfield, P.; Lux, M.S.; Rosen, D. Excited-State Solvation vs. Ground-State Solvation in the n→π* Solvent Blue Shift of Ketones and Azo Compounds. J. Am. Chem. Soc. 1977, 99, 6828–6831. [Google Scholar] [CrossRef]
- Garst, J.F.; Richards, W.R. Spectra of Alkali Phenoxides in Aqueous Dioxane. J. Am. Chem. Soc. 1965, 87, 4084–4086. [Google Scholar] [CrossRef]
- Binder, D.A.; Kreevoy, M.M. Interaction of Li+ with Phenoxide Ions in Acetonitrile. J. Phys. Chem. 1994, 98, 10008–10016. [Google Scholar] [CrossRef]
Disclaimer/Publisher’s Note: The statements, opinions and data contained in all publications are solely those of the individual author(s) and contributor(s) and not of MDPI and/or the editor(s). MDPI and/or the editor(s) disclaim responsibility for any injury to people or property resulting from any ideas, methods, instructions or products referred to in the content. |
© 2023 by the authors. Licensee MDPI, Basel, Switzerland. This article is an open access article distributed under the terms and conditions of the Creative Commons Attribution (CC BY) license (https://creativecommons.org/licenses/by/4.0/).





