Phytochemicals from Anneslea fragrans Wall. and Their Hepatoprotective and Anti-Inflammatory Activities
Abstract
1. Introduction
2. Results and Discussion
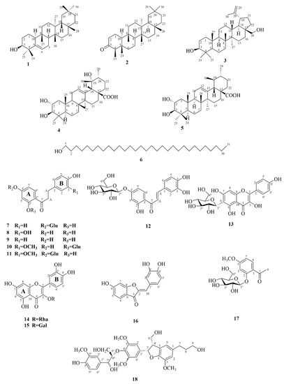
2.1. Identification of Phytochemicals from A. fragrans
2.2. Hepatoprotective Effects of the Isolated Compounds on APAP-Induced HepG2 Cells
2.2.1. Cytotoxic Activities of the Isolated Compounds on HepG2 Cells
2.2.2. Inhibitory Effects of Isolated Compounds on ALT and AST Contents in APAP-Induced HepG2 Cells
2.2.3. Inhibitory Effects of Isolated Compounds against APAP-Induced HepG2 Cells Apoptosis
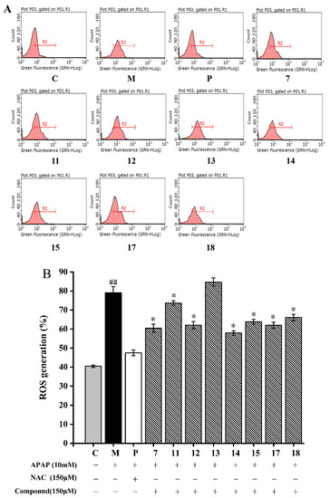
2.2.4. Inhibition of Isolated Compounds on Intracellular ROS Generation
2.2.5. Effect of Isolated Compounds on Intracellular Antioxidant Enzymes in HepG2 Cells
2.2.6. Multivariate Analysis
2.3. The Inhibitory Effects of Isolated Compounds on Inflammatory Response on LPS Induced RAW264.7 Cells
2.3.1. Inhibitory Effects of Isolated Compounds on NO Production
2.3.2. Inhibition of Related Inflammatory Factors
3. Materials and Methods
3.1. Chemicals and Reagents
3.2. Plant Material
3.3. Extraction and Isolation
3.4. Hepatoprotective Assessment on HepG2 Cells Induced by APAP
3.4.1. The Assessment of Viability on HepG2 Cells
3.4.2. Determination of Inhibitory Effects on AST and ALT
3.4.3. Cellular Apoptosis Determination
3.4.4. Determination of the Generation of Intracellular ROS
3.4.5. Inhibitory Effects on Oxidative Stress
3.5. Determination of Inflammatory Cytokines on RAW264.7 Cells Induced by LPS
3.6. Statistical Analysis
4. Conclusions
Supplementary Materials
Author Contributions
Funding
Institutional Review Board Statement
Informed Consent Statement
Data Availability Statement
Conflicts of Interest
Sample Availability
References
- Wang, W.; Wang, S.; Liu, J.; Cai, E.; Zhu, H.; He, Z.; Gao, Y.; Li, P.; Zhao, Y. Sesquiterpenoids from the root of Panax ginseng protect CCl4-induced acute liver injury by anti-inflammatory and anti-oxidative capabilities in mice. Biomed. Pharmacother. 2018, 102, 412–419. [Google Scholar] [CrossRef] [PubMed]
- Wu, H.; Xie, Y.; Xu, Y.; Hu, Z.; Wan, X.; Huang, H.; Huang, D. Protective effect of epicatechin on APAP-induced acute liver injury of mice through anti-inflammation and apoptosis inhibition. Nat. Prod. Res. 2020, 34, 855–858. [Google Scholar] [CrossRef] [PubMed]
- Prasanna, P.L.; Renu, K.; Valsala, G.A. New molecular and biochemical insights of doxorubicin-induced hepatotoxicity. Life Sci. 2020, 250, 117599. [Google Scholar] [CrossRef] [PubMed]
- Liu, Y.-H.; Huang, Q.-H.; Wu, X.; Wu, J.-Z.; Liang, J.-L.; Lin, G.-S.; Xu, L.-Q.; Lai, X.-P.; Su, Z.-R.; Chen, J.-N. Polydatin protects against acetaminophen-induced hepatotoxicity in mice via anti-oxidative and anti-apoptotic activities. Food Funct. 2018, 9, 5891–5902. [Google Scholar] [CrossRef]
- Sun, B.; Karin, M. NF-kappaB signaling, liver disease and hepatoprotective agents. Oncogene 2008, 27, 6228–6244. [Google Scholar] [CrossRef]
- Hu, L.; Li, L.; Xu, D.; Xia, X.; Pi, R.; Xu, D.; Wang, W.; Du, H.; Song, E.; Song, Y. Protective effects of neohesperidin dihydrochalcone against carbon tetrachloride-induced oxidative damage in vivo and in vitro. Chem. Biol. Interact. 2014, 213, 51–59. [Google Scholar] [CrossRef]
- Omar, A.M.; Sun, S.; Kim, M.J.; Tawila, A.M.; Dibwe, D.F.; Toyooka, N.; Awale, S. Fragranol A: A new class of spiro-triflavanoid hybrid with an unprecedented carbon skeleton from Anneslea fragrans. Tetrahedron Lett. 2020, 61, 152099. [Google Scholar] [CrossRef]
- Deng, X.; Wang, Y.; Tian, L.; Yang, M.; He, S.; Liu, Y.; Khan, A.; Li, Y.; Cao, J.; Cheng, G. Anneslea fragrans ameliorates ulcerative colitis via inhibiting NF-kappaB and MAPK activation and mediating intestinal barrier integrity. J. Ethnopharmacol. 2021, 278, 114304. [Google Scholar] [CrossRef]
- He, S.; Cui, X.; Khan, A.; Liu, Y.; Wang, Y.; Cui, Q.; Zhao, T.; Cao, J.; Cheng, G. Activity guided isolation of phenolic compositions from Anneslea fragrans and their cytoprotective effect against hydrogen peroxide induced oxidative stress in HepG2 cells. Molecules 2021, 26, 3690. [Google Scholar] [CrossRef]
- Cui, Q.; Wang, Y.; Zhou, W.; He, S.; Yang, M.; Xue, Q.; Wang, Y.; Zhao, T.; Cao, J.; Khan, A.; et al. Phenolic composition, antioxidant and cytoprotective effects of aqueous-methanol extract from Anneslea fragrans leaves as affected by drying methods. Int. J. Food Sci. Technol. 2021, 56, 4807–4819. [Google Scholar] [CrossRef]
- Ashraf, M.O.; Dya, F.D.; Ahmed, M.T.; Sijia, S.; Ampai, P.; Suresh, A. Chemical constituents of Anneslea fragrans and their antiausterity activity against the PANC-1 human pancreatic cancer cell line. J. Nat. Prod. 2019, 82, 3133–3139. [Google Scholar] [CrossRef]
- Amrouche, T.A.; Yang, X.; Capanoglu, E.; Huang, W.; Chen, Q.; Wu, L.; Zhu, Y.; Liu, Y.; Wang, Y.; Lu, B. Contribution of edible flowers to the mediterranean diet: Phytonutrients, bioactivity evaluation and applications. Food Front. 2022, 3, 592–630. [Google Scholar] [CrossRef]
- Castaneda, S.M.B.; Alvarenga, E.S.; Demuner, A.J. Vibrational spectra and theoretical calculations of a natural pentacyclic triterpene alcool isolated from Mucuna pruriens. Struct. Chem. 2020, 31, 599–607. [Google Scholar] [CrossRef]
- Souza-Moreira, T.M.; Alves, T.B.; Pinheiro, K.A.; Felippe, L.G.; De, L.G.M.; Watanabe, T.F.; Barbosa, C.C.; Santos, V.A.; Lopes, N.P.; Valentini, S.R.; et al. Friedelin synthase from Maytenus ilicifolia: Leucine 482 plays an essential role in the production of the most rearranged pentacyclic triterpene. Sci. Rep. 2016, 22, 36858. [Google Scholar] [CrossRef]
- Ren, L.; Niu, S.; Sun, Y.; Liang, Y.; Zhao, J.; Zhang, T.; Zhang, J. Anti-inflammatory action of betulin and its potential as a dissociated glucocorticoid receptor modulator. Food Chem. Toxicol. 2021, 157, 112539. [Google Scholar] [CrossRef]
- Wang, Q.; Ju, P.; Wang, Y.-F.; Luo, S.-D. Triterpenoids from Saurauia napaulensis (Saurauiaceae). Plant Divers. 2008, 30, 121–124. [Google Scholar] [CrossRef]
- Jing, J.-C.; Li, J.-A.; Hui, L.-C.; Chun, T.-C.; Jung, L.; Yao, H.-K. Cytotoxic hexacyclic triterpene acids from Euscaphis japonica. J. Nat. Prod. 2010, 73, 1655–1658. [Google Scholar] [CrossRef]
- Tran, T.P.T.; Nguyen, L.C.; Nguyen, T.L.; Nguyen, T.D.; Tran, V.L.; Nguyen, V.T.; Trieu, Q.H.; Nguyen, T.N. Phytochemistry and anti-inflammatory activity of iridoids from Dolichandrone spathacea collected in the mangrove forest of Phu Loc district, Thua Thien Hue province, Vietnam. Vietnam J. Chem. 2021, 59, 943–950. [Google Scholar] [CrossRef]
- Alexander, G.; Linda, B.; Hansjoerg, W.; Mario, L.; Rolf, B.; Bernd, N. Towards the synthesis of glycosylated dihydrochalcone natural products using glycosyltransferase-catalysed cascade reactions. Green Chem. 2014, 16, 4417–4425. [Google Scholar] [CrossRef]
- Schmidt, T.; Heise, N.; Merzweiler, K.; Deigner, H.P.; Al-Harrasi, A.; Csuk, R. Concise synthesis of both enantiomers of pilocarpine. Molecules 2021, 26, 3676. [Google Scholar] [CrossRef]
- Bohm, B.A.; Glennie, C.W. The isolation of 2′,4,4′-trihydroxydihydrochalcone from Viburnum davidi. Phytochemistry 1969, 5, 905–908. [Google Scholar] [CrossRef]
- Omar, A.M.; Dibwe, D.F.; Sun, S.; Tawila, A.M.; Kim, M.J.; Phrutivorapongkul, A.; Toyooka, N.; Awale, S. Fragranone C: A new dihydrochalcone glucopyranoside from Anneslea fragrans twigs. Nat. Prod. Res. 2021, 35, 3895–3900. [Google Scholar] [CrossRef] [PubMed]
- Li, Y.; Huang, C.; Fu, W.; Zhang, H.; Lao, Y.; Zhou, H.; Hong, S.T.; Xu, H. Screening of the active fractions from the Coreopsis tinctoria Nutt. Flower on diabetic endothelial protection and determination of the underlying mechanism. J. Ethnopharmacol. 2020, 253, 112645. [Google Scholar] [CrossRef]
- Wang, W.; Jeong, C.; Lee, Y.; Park, C.; Oh, E.; Park, K.H.; Cho, Y.; Kang, E.; Lee, J.; Cho, Y.J.; et al. Flavonoid glycosides from Ulmus macrocarpa inhibit osteoclast differentiation via the downregulation of NFATc1. ACS Omega 2022, 7, 4840–4849. [Google Scholar] [CrossRef] [PubMed]
- Hao, T.-H.; Bo, X.; Awais, A.; Hong, L.-L.; Xiu, Y.-Y.; Ming, H.-G.; Lin, Z. Quercetin-3-O-α-L-rhamnopyranoside derived from the leaves of Lindera aggregata (Sims) Kosterm. evokes the autophagy-induced nuclear factor erythroid 2-related factor 2 antioxidant pathway in human umbilical vein endothelial cells. Int. J. Mol. Med. 2019, 43, 461–474. [Google Scholar] [CrossRef]
- Mariam, I.E.D.; Fadia, S.Y.; Riham, S.S.; Mohamed, L.A.; Omayma, A.E.; Abdel, N.B.S. Chemical constituents and gastro-protective potential of Pachira glabra leaves against ethanol-induced gastric ulcer in experimental rat model. Infammopharmacology 2021, 29, 317–332. [Google Scholar] [CrossRef]
- Hassan, A.H.E.; Phan, T.N.; Moon, S.; Lee, C.H.; Kim, Y.J.; Cho, S.B.; El-Sayed, S.M.; Choi, Y.; No, J.H.; Lee, Y.S. Design, synthesis, and repurposing of O6-aminoalkyl-sulfuretin analogs towards discovery of potential lead compounds as antileishmanial agents. Eur. J. Med. Chem. 2023, 251, 115256. [Google Scholar] [CrossRef]
- Park, K.R.; Lee, J.Y.; Cho, M.; Hong, J.T.; Yun, H.M. Biological mechanisms of paeonoside in the differentiation of pre-osteoblasts and the formation of mineralized nodules. Int. J. Mol. Sci. 2021, 22, 6899. [Google Scholar] [CrossRef]
- Li, L.; Seeram, N.P. Further investigation into maple syrup yields 3 new lignans, a new phenylpropanoid, and 26 other phytochemicals. J. Agric. Food Chem. 2011, 59, 7708–7716. [Google Scholar] [CrossRef]
- Fan, Z.; Wang, Y.; Yang, M.; Cao, J.; Khan, A.; Cheng, G. UHPLC-ESI-HRMS/MS analysis on phenolic compositions of different E Se tea extracts and their antioxidant and cytoprotective activities. Food Chem. 2020, 318, 126512. [Google Scholar] [CrossRef]
- Subramanya, S.B.; Venkataraman, B.; Meeran, M.F.N.; Goyal, S.N.; Patil, C.R.; Ojha, S. Therapeutic potential of plants and plant derived phytochemicals against acetaminophen-induced liver injury. Int. J. Mol. Sci. 2018, 19, 3776. [Google Scholar] [CrossRef]
- Chen, X.; Zhang, J.; Yi, R.; Mu, J.; Zhao, X.; Yang, Z. Hepatoprotective effects of lactobacillus on carbon tetrachloride-induced acute liver injury in mice. Int. J. Mol. Sci. 2018, 19, 2212. [Google Scholar] [CrossRef] [PubMed]
- Beek, J.H.; Moor, M.H.; Geus, E.J.; Lubke, G.H.; Vink, J.M.; Willemsen, G.; Boomsma, D.I. The genetic architecture of liver enzyme levels: GGT, ALT and AST. Behav. Genet. 2013, 43, 329–339. [Google Scholar] [CrossRef] [PubMed]
- Shang, A.; Liu, H.-Y.; Luo, M.; Xia, Y.; Yang, X.; Li, H.-Y.; Wu, D.-T.; Sun, Q.; Geng, F.; Gan, R.-Y. Sweet tea (Lithocarpus polystachyus rehd.) as a new natural source of bioactive dihydrochalcones with multiple health benefits. Crit. Rev. Food Sci. Nutr. 2010, 62, 917–934. [Google Scholar] [CrossRef] [PubMed]
- Cao, P.; Sun, J.; Sullivan, M.A.; Huang, X.; Wang, H.; Zhang, Y.; Wang, N.; Wang, K. Angelica sinensis polysaccharide protects against acetaminophen-induced acute liver injury and cell death by suppressing oxidative stress and hepatic apoptosis in vivo and in vitro. Int. J. Biol. Macromol. 2018, 111, 1133–1139. [Google Scholar] [CrossRef]
- Zhao, H.; Wang, Y.; Liu, Y.; Yin, K.; Wang, D.; Li, B.; Yu, H.; Xing, M. ROS-induced hepatotoxicity under cypermethrin: Involvement of the crosstalk between Nrf2/Keap1 and NF-kappaB/ikappaB-alpha pathways regulated by proteasome. Environ. Sci. Technol. 2021, 55, 6171–6183. [Google Scholar] [CrossRef]
- Williams, C.D.; Koerner, M.R.; Lampe, J.N.; Farhood, A.; Jaeschke, H. Mouse strain-dependent caspase activation during acetaminophen hepatotoxicity does not result in apoptosis or modulation of inflammation. Toxicol. Appl. Pharmacol. 2011, 257, 449–458. [Google Scholar] [CrossRef]
- Kim, Y.; Choi, Y.; Ham, H.; Jeong, H.S.; Lee, J. Protective effects of oligomeric and polymeric procyanidin fractions from defatted grape seeds on tert-butyl hydroperoxide-induced oxidative damage in HepG2 cells. Food Chem. 2013, 137, 136–141. [Google Scholar] [CrossRef]
- Yang, M.; Ma, Y.; Wang, Z.; Khan, A.; Zhou, W.; Zhao, T.; Cao, J.; Cheng, G.; Cai, S. Phenolic constituents, antioxidant and cytoprotective activities of crude extract and fractions from cultivated artichoke inflorescence. Ind. Crop Prod. 2020, 143, 111433. [Google Scholar] [CrossRef]
- Jiang, J.; Briede, J.J.; Jennen, D.G.; Van Summeren, A.; Saritas-Brauers, K.; Schaart, G.; Kleinjans, J.C.; Kok, T.M. Increased mitochondrial ROS formation by acetaminophen in human hepatic cells is associated with gene expression changes suggesting disruption of the mitochondrial electron transport chain. Toxicol. Lett. 2015, 234, 139–150. [Google Scholar] [CrossRef]
- Li, X.; Jiang, Q.; Wang, T.; Liu, J.; Chen, D. Comparison of the antioxidant effects of quercitrin and isoquercitrin: Understanding the role of the 6″-OH group. Molecules 2016, 21, 1246. [Google Scholar] [CrossRef]
- Xiang, W.; Yu, C.; Si, C.; Jia, L.; Jin, B.; De, H. Anti-inflammation activity of flavones and their structure–activity relationship. J. Agric. Food Chem. 2021, 69, 7285–7302. [Google Scholar] [CrossRef]
- Xiao, Z.; Wang, Y.; Wang, J.; Li, P.; Ma, F. Structure-antioxidant capacity relationship of dihydrochalcone compounds in Malus. Food Chem. 2019, 275, 354–360. [Google Scholar] [CrossRef] [PubMed]
- Minsat, L.; Peyrot, C.; Brunissen, F.; Renault, J.-H.; Allais, F. Synthesis of biobased phloretin analogues: An access to antioxidant and anti-tyrosinase compounds for cosmetic cpplications. Antioxidants 2021, 10, 512. [Google Scholar] [CrossRef]
- Morales, M.; Munne-Bosch, S. Malondialdehyde: Facts and artifacts. Plant Physiol. 2019, 180, 1246–1250. [Google Scholar] [CrossRef]
- Hui, L.; Qi, W.; Shuai, G.; Wei, Z.; Jia, W.; Yu, H.; Yuan, L.; Jiao, G.; Tian, L. Kaempferol prevents acetaminophen-induced liver injury by suppressing hepatocyte ferroptosis via Nrf2 pathway activation. Food Funct. 2023, 14, 1884–1896. [Google Scholar] [CrossRef]
- Sun, L.; Xu, G.; Dong, Y.; Li, M.; Yang, L.; Lu, W. Quercetin protects against lipopolysaccharide-induced intestinal oxidative stress in broiler chickens through activation of Nrf2 pathway. Molecules 2020, 25, 1053. [Google Scholar] [CrossRef]
- Yuan, H.-L.; Zhao, Y.-L.; Ding, C.-F.; Zhu, P.-F.; Jin, Q.; Liu, Y.-P.; Ding, Z.-T.; Luo, X.-D. Anti-inflammatory and antinociceptive effects of Curcuma kwangsiensis and its bioactive terpenoids in vivo and in vitro. J. Ethnopharmacol. 2020, 259, 112935. [Google Scholar] [CrossRef] [PubMed]
- Zhou, Y.; Wang, J.; Yang, W.; Qi, X.; Lan, L.; Luo, L.; Yin, Z. Bergapten prevents lipopolysaccharide-induced inflammation in RAW264.7 cells through suppressing JAK/STAT activation and ROS production and increases the survival rate of mice after LPS challenge. Int. Immunopharmacol. 2017, 48, 159–168. [Google Scholar] [CrossRef]
- Tang, J.; Diao, P.; Shu, X.; Li, L.; Xiong, L. Quercetin and quercitrin attenuates the inflammatory response and oxidative stress in LPS-induced RAW264.7 cells: In vitro assessment and a theoretical model. BioMed Res. Int. 2019, 2019, 7039802. [Google Scholar] [CrossRef]
- Han, Y.; Yuan, C.; Zhou, X.; Han, Y.; He, Y.; Ouyang, J.; Zhou, W.; Wang, Z.; Wang, H.; Li, G. Anti-inflammatory activity of three triterpene from Hippophae rhamnoides L. in lipopolysaccharide-stimulated RAW264.7 cells. Int. J. Mol. Sci. 2021, 22, 12009. [Google Scholar] [CrossRef] [PubMed]
- Soheila, J.; Maleki, J.F.; Crespo, B.C. Anti-inflammatory effects of flavonoids. Food Chem. 2019, 299, 125124. [Google Scholar] [CrossRef]
- Xu, W.; Lu, H.; Yuan, Y.; Deng, Z.; Zheng, L.; Li, H. The Antioxidant and anti-inflammatory effects of flavonoids from Propolis via Nrf2 and NF-κB Pathways. Foods 2022, 11, 2439. [Google Scholar] [CrossRef] [PubMed]
- Omar, A.M.; Sun, S.; Kim, M.J.; Tawila, A.M.; Dibwe, D.F. Highly oxygenated spiro-biflavanoids from Anneslea fragrans twigs. Phytochem. Lett. 2020, 40, 21–25. [Google Scholar] [CrossRef]
- Cho, B.O.; Kim, J.H.; Che, D.N.; Kang, H.J.; Shin, J.Y.; Hao, S.; Park, J.H.; Wang, F.; Lee, Y.J.; Jang, S.I. Kushenol C prevents tert-butyl hydroperoxide and acetaminophen-induced liver injury. Molecules 2021, 26, 1635. [Google Scholar] [CrossRef] [PubMed]








| Compounds | NO (μmol/gprot) | Compounds | NO (μmol/gprot) |
|---|---|---|---|
| C | 3.17 ± 0.22 | C | 3.17 ± 0.22 |
| M | 13.65 ± 0.62 | M | 13.65 ± 0.62 |
| P | 7.27 ± 0.52 | P | 7.27 ± 0.52 |
| 1 | 12.01 ± 0.56 | 10 | 10.73 ± 0.37 * |
| 2 | 7.56 ± 0.27 * | 11 | 11.73 ± 0.73 |
| 3 | 12.33 ± 0.37 | 12 | 12.54 ± 0.42 |
| 4 | 12.42 ± 0.65 | 13 | 7.33 ± 0.52 * |
| 5 | 11.51 ± 0.73 | 14 | 7.76 ± 0.37 * |
| 6 | 11.71 ± 1.54 | 15 | 8.43 ± 0.85 * |
| 7 | 9.83 ± 0.51 * | 16 | 12.51 ± 0.28 |
| 8 | 12.32 ± 0.61 | 17 | 8.58 ± 0.41 * |
| 9 | 12.73 ± 0.37 | 18 | 9.21 ± 0.54 * |
Disclaimer/Publisher’s Note: The statements, opinions and data contained in all publications are solely those of the individual author(s) and contributor(s) and not of MDPI and/or the editor(s). MDPI and/or the editor(s) disclaim responsibility for any injury to people or property resulting from any ideas, methods, instructions or products referred to in the content. |
© 2023 by the authors. Licensee MDPI, Basel, Switzerland. This article is an open access article distributed under the terms and conditions of the Creative Commons Attribution (CC BY) license (https://creativecommons.org/licenses/by/4.0/).
Share and Cite
Wang, Y.; Cheng, C.; Zhao, T.; Cao, J.; Liu, Y.; Wang, Y.; Zhou, W.; Cheng, G. Phytochemicals from Anneslea fragrans Wall. and Their Hepatoprotective and Anti-Inflammatory Activities. Molecules 2023, 28, 5480. https://doi.org/10.3390/molecules28145480
Wang Y, Cheng C, Zhao T, Cao J, Liu Y, Wang Y, Zhou W, Cheng G. Phytochemicals from Anneslea fragrans Wall. and Their Hepatoprotective and Anti-Inflammatory Activities. Molecules. 2023; 28(14):5480. https://doi.org/10.3390/molecules28145480
Chicago/Turabian StyleWang, Yan, Changshu Cheng, Tianrui Zhao, Jianxin Cao, Yaping Liu, Yudan Wang, Wenbing Zhou, and Guiguang Cheng. 2023. "Phytochemicals from Anneslea fragrans Wall. and Their Hepatoprotective and Anti-Inflammatory Activities" Molecules 28, no. 14: 5480. https://doi.org/10.3390/molecules28145480
APA StyleWang, Y., Cheng, C., Zhao, T., Cao, J., Liu, Y., Wang, Y., Zhou, W., & Cheng, G. (2023). Phytochemicals from Anneslea fragrans Wall. and Their Hepatoprotective and Anti-Inflammatory Activities. Molecules, 28(14), 5480. https://doi.org/10.3390/molecules28145480

