Assessment of Residual Chlorine Interaction with Different Microelements in Stormwater Sediments
Abstract
1. Introduction
2. Results and Discussions
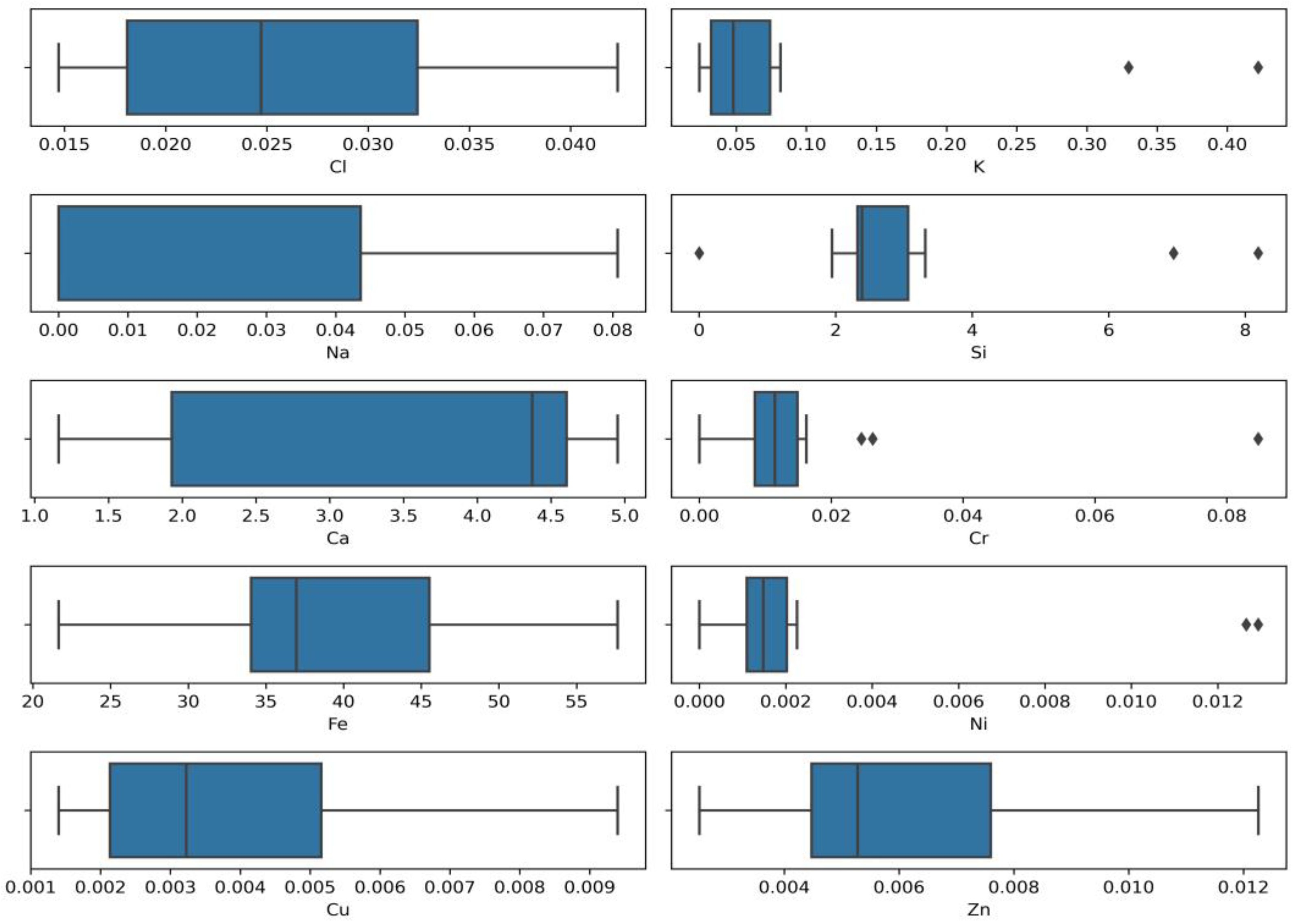
2.1. Data Analysis
2.2. Correlation Analysis
3. Materials and Methods
3.1. Sampling Location and Data Collection
- -
 - Location type: areas with the need to apply permanent outdoor disinfection to avoid the spread of virus and infections.
 - -
 - Geographic characteristics: green area near surface water bodies.
 
3.2. Data Analysis Methodology
- -
 - All possible models by adding single elements;
 - -
 - All possible models by adding couple elements;
 - -
 - All possible models by adding all combinations until all elements are included in the model.
 
4. Conclusions
Author Contributions
Funding
Institutional Review Board Statement
Informed Consent Statement
Data Availability Statement
Acknowledgments
Conflicts of Interest
Sample Availability
References
- Alimohammadi, V.; Maghfouri, M.; Nourmohammadi, D.; Azarsa, P.; Gupta, R.; Saberian, M. Stormwater Runoff Treatment Using Pervious Concrete Modified with Various Nanomaterials: A Comprehensive Review. Sustainability 2022, 13, 8552. [Google Scholar] [CrossRef]
 - Zhang, D.Y.; Ling, H.B.; Huang, X.; Li, J.; Li, W.W.; Yi, C.; Zhang, T.; Jiang, Y.Z.; He, Y.N.; Deng, S.Q.; et al. Potential spreading risks and disinfection challenges of medical wastewater bydue to the presence of Severe Acute Respiratory Syndromeof Coronavirus 2 (SARS-CoV-2) viral RNA in septic tanks of Fangcang Hospital. Sci. Total Environ. 2020, 741, 140445. [Google Scholar] [CrossRef] [PubMed]
 - Chu, W.; Fang, C.; Deng, Y.; Xu, Z. Intensified Disinfection Amid COVID-19 Pandemic Poses Potential Risks to Water Quality and Safety. Environ. Sci. Technol. 2021, 55, 4084–4086. [Google Scholar] [CrossRef] [PubMed]
 - Abidin, Z.Z.; Mohd Shamsudin, N.S.; Madehi, N.; Sobri, S. Optimisation of a method to extract the active coagulant agent from Jatropha curcas seeds for use in turbidity removal. Ind. Crops Prod. 2013, 41, 319–323. [Google Scholar] [CrossRef]
 - Choy, S.Y.; Prasad, K.M.N.; Wu, T.Y.; Raghunandan, M.E.; Ramanan, R.N. Utilization of plant-based natural coagulants as future alternatives towards sustainable water clarification. J. Environ. Sci. 2014, 26, 2178–2189. [Google Scholar] [CrossRef]
 - Lou, J.; Wang, W.; Lu, H.; Wang, L.; Zhu, L. Increased disinfection byproducts in the air resulting from intensified disinfection during the COVID-19 pandemic. J. Hazard. Mater. 2021, 418, 126249. [Google Scholar] [CrossRef]
 - Chen, W.; Yang, H.; Peng, C.; Wu, T. Resolving the “health vs environment” dilemma with sustainable disinfection during the COVID-19 pandemic. Environ. Sci. Pollut. Res. 2023, 30, 24737–24741. [Google Scholar] [CrossRef]
 - García-Ávila, F.; Valdiviezo-Gonzales, L.; Cadme-Galabay, M.; Gutiérrez-Ortega, H.; Altamirano-Cárdenas, L.; Zhindón-Arévalo, C.; Flores del Pino, L. Considerations on water quality and the use of chlorine in times of SARS-CoV-2 (COVID-19) pandemic in the community. Case Stud. Chem. Environ. Eng. 2020, 2, 100049. [Google Scholar] [CrossRef]
 - Hou, M.; Chu, W.; Wang, F.; Deng, Y.; Gao, N.; Zhang, D. CX3R-type disinfection by-products in rainwater during chlorination. Water Res. 2018, 145, 531–540. [Google Scholar] [CrossRef]
 - Delpla, I.; Rodriguez, M.J. Experimental disinfection by-product formation potential following rainfall events. Water Res. 2016, 104, 340–348. [Google Scholar] [CrossRef]
 - Pan, L.; Zhang, X.; Yang, M.; Han, J.; Jiang, J.; Li, W.; Yang, B.; Li, X. Effects of dechlorination conditions on the developmental toxicity of a chlorinated saline primary sewage effluent: Excessive dechlorination is better than not enough. Sci. Total Environ. 2019, 692, 117–126. [Google Scholar] [CrossRef] [PubMed]
 - Li, T.; Wang, Z.; Wang, C.; Huang, J.; Zhou, M. Chlorination in the pandemic times: The current state of the art for monitoring chlorine residual in water and chlorine exposure in air. Sci. Total Environ. 2022, 838 Pt 3, 156193. [Google Scholar] [CrossRef] [PubMed]
 - Wang, J.; Shen, J.; Ye, D. Disinfection technology of hospital wastes and wastewater: Suggestions for disinfection strategy during coronavirus Disease 2019 (COVID-19) pandemic in China. Environ. Pollut. 2020, 262, 114665. [Google Scholar] [CrossRef] [PubMed]
 - Emmanuel, E.; Keck, G.; Blanchard, J.M.; Vermande, P.; Perrodin, Y. Toxicological effects of disinfections using sodium hypochlorite on aquatic organisms and its contribution to AOX formation in hospital wastewater. Environ. Int. 2004, 30, 891–900. [Google Scholar] [CrossRef] [PubMed]
 - Almeida, C.F.; Purcell, D.F.J.; Godfrey, D.I.; McAuley, J.L. The Efficacy of Common Household Cleaning Agents for SARS-CoV-2 Infection Control. Viruses 2022, 14, 715. [Google Scholar] [CrossRef]
 - Li, P. Concise review on residual chlorine measurement: Interferences and possible solutions. J. Clean. Prod. 2021, 323, 129119. [Google Scholar] [CrossRef]
 - World Health Organization. Water, Sanitation, Hygiene, and Waste Management for SARS-CoV-2, the Virus That Causes COVID-19. 2020. Available online: https://www.who.int/publications/i/item/water-sanitation-hygiene-and-waste-management-for-covid-19 (accessed on 29 July 2020).
 - Regulation (EU) No 528/2012 of the European Parliament and of the Council of 22 May 2012 Concerning the Making Available on the Market and Use of Biocidal Products. Available online: https://eur-lex.europa.eu/LexUriServ/LexUriServ.do?uri=OJ:L:2012:167:0001:0123:en:PDF (accessed on 1 September 2020).
 - Truchado, P.; Gil, M.I.; Suslow, T.; Allemde, A. Impact of chlorine dioxide disinfection of irrigation water on the epiphytic bacterial community of baby spinacj and underlying soil. PLoS ONE 2018, 13, e0199291. [Google Scholar] [CrossRef]
 - Pinel, I.S.M.; Moed, D.H.; Vrouwenvelder, J.S.; Van Loosdrecht, M.C.M. Bacterial community dynamics and disinfection impact in cooling water systems. Water Res. 2020, 172, 115505. [Google Scholar] [CrossRef]
 - Al-Hwaiti, M.; Aziz, H.A.; Ahmad, M.A.; Al-Shawabkeh, R. Chlorine and chlorinated compounds removal from industrial wastewater discharges: A review. CMUJ Nat. Sci. 2021, 20, e2021047. [Google Scholar] [CrossRef]
 - Valentukevičiene, M.; Andriulaityte, I.; Zurauskiene, R. Experimental research on the Treatment of Stormwater contaminated by Disinfectants Using Recycled Materials—Hemp Fiber and Ceramzite. Int. J. Environ. Res. Public Health 2022, 19, 14486. [Google Scholar] [CrossRef]
 - Zhang, Z.; Zhang, Q.; Lu, T.; Zhang, J.; Sun, L.; Hu, B.; Hu, J.; Peñuelas, J.; Zhu, L.; Qian, H. Residual chlorine disrupts the microbial communities and spreads antibiotic resistance in freshwater. J. Hazard. Mater. 2022, 423, 127152. [Google Scholar] [CrossRef] [PubMed]
 - Li, Z.; Song, G.; Bi, Y.; Gao, W.; He, A.; Lu, Y.; Wang, Y.; Jiang, G. Occurrence and Distribution of Disinfection Byproducts in Domestic Wastewater Effluent, Tap Water, and Surface Water during the SARS-CoV-2 Pandemic in China. Environ. Sci. Technol. 2021, 55, 4103–4114. [Google Scholar] [CrossRef] [PubMed]
 - Yang, M.; Zhang, X.; Liang, Q.; Yang, B. Application of (LC/)MS/MS precursor ion scan for evaluating the occurrence, formation and control of polar halogenated DBPs in disinfected waters: A review. Water Res. 2019, 158, 322–337. [Google Scholar] [CrossRef] [PubMed]
 - Bandala, E.R.; Kruger, B.; Cesarino, I.; Leao, A.L.; Wijesiri, B.; Goonetilleke, A. Impacts of COVID-19 pandemic on the wastewater pathway into surface water: A review. Sci. Total Environ. 2021, 774, 145586. [Google Scholar] [CrossRef]
 - Kanchanamayoon, W. Sample Preparation Methods for the Determination of Chlorination Disinfection Byproducts in Water Samples. Chromatographia 2015, 78, 1135–1142. [Google Scholar] [CrossRef]
 - Song, Z.M.; Yang, L.L.; Lu, Y.; Wang, C.; Liang, J.K.; Du, Y.; Li, X.Z.; Hu, Q.; Guan, Y.T.; Wu, Q.Y. Characterization of the transformation of natural organic matter and disinfection byproducts after chlorination, ultraviolet irradiation and ultraviolet irradiation/chlorination treatment. Chem. Eng. J. 2021, 426, 131916. [Google Scholar] [CrossRef]
 - Qin, X.; Zhuang, Y.; Shi, B.; Li, Y.; Shi, Y. Effect of residual chlorine on iron particle formation considering drinking water conditions. J. Environ. Chem. Eng. 2021, 9, 106377. [Google Scholar] [CrossRef]
 - Huang, X.; Gao, Y.; Zhu, L.; He, G. Development of an Adaptive Model for the Rate of Steel Corrosion in a Recirculating Water System. Processes 2021, 9, 1639. [Google Scholar] [CrossRef]
 - Romanovski, V.; Claesson, P.M.; Hedberg, Y.S. Comparison of different surface disinfection treatments of drinking water facilities from a corrosion and environmental perspective. Environ. Sci. Pollut. Res. 2020, 27, 12704–12716. [Google Scholar] [CrossRef] [PubMed]
 - Costa, R.D.F.S.; Barbosa, M.L.S.; Silva, F.J.G.; Sousa, S.R.; Sousa, V.F.C.; Ferreira, B.O. Study of the Chlorine Influence on the Corrosion of Three Steels to Be Used in Water Treatment Municipal Facilities. Materials 2023, 16, 2514. [Google Scholar] [CrossRef]
 - Musik, D.; Wójcik, K.; Sekuła-Wybańska, M.; Konopacki, M.; Rakoczy, R. Analysis of the Corrosion Process with the Application of the Novel Type of Coupon Installation. Processes 2022, 10, 2468. [Google Scholar] [CrossRef]
 - Ozgur, C.; Colliau, T.; Rogers, G.; Hughes, Z.; Meyer –Tyson, E. MatLab vs. Python vs. R. J. Data Sci. 2017, 15, 355–372. [Google Scholar] [CrossRef]
 - Sahoo, K.; Samal, A.K.; Pramanik, J.; Pani, S.K. Exploratory Data Analysis using Python. Int. J. Innov. Technol. Explor. Eng. 2019, 8, 4727–4735. [Google Scholar] [CrossRef]
 - Stančin, I.; Jović, A. Overview and comparison of free Python libraries for data mining and big data analysis. In Proceedings of the 2019 42nd International Convention on Information and Communication Technology, Electronics and Microelectronics (MIPRO), Opatija, Croatia, 20–24 May 2019; pp. 20–24. [Google Scholar] [CrossRef]
 - Müller, A.C.; Guido, S. Introduction to Machine Learning with Python; Media, Inc.: Sebastopol, CA, USA, 2017. [Google Scholar]
 - Mckinney, W. Pandas: A Foundational Python Library for Data Analysis and Statistics. Python High Perform. Sci. Comput. 2011, 14, 1–9. [Google Scholar]
 - Zekker, I.; Rikmann, E.; Oja, J.; Anslan, S.; Borzyszkowska, A.F.; Zielińska-Jurek, A.; Kumar, R.; Shah, L.A.; Naeem, M.; Zahoor, M.; et al. The selective salinity and hydrazine parameters for the start-upof non-anammox-specific biomass SBR. Int. J. Environ. Sci. Technol. 2023, 20, 1–14. [Google Scholar] [CrossRef]
 - Athamena, A.; Gaagai, A.; Aouissi, H.A.; Burlakovs, J.; Bencedira, S.; Zekker, I.; Krauklis, A.E. Chemometrics of the Environment: Hydrochemical Characterization of Groundwater in Lioua Plain (North Africa) Using Time Series and Multivariate Statistical Analysis. Sustainability 2023, 15, 20. [Google Scholar] [CrossRef]
 - Klein, K.; Kattel, E.; Goi, A.; Kivi, A.; Dulova, N.; Saluste, A.; Zekker, I.; Trapido, M.; Tenno, T. Combined treatment of pyrogenic wastewater from oil shale retorting. Oil Shale 2017, 34, 82–96. [Google Scholar] [CrossRef]
 





| Cluster | Na | Si | Cl | K | Ca | Cr | Fe | Ni | Cu | Zn | 
|---|---|---|---|---|---|---|---|---|---|---|
| 1 | 0.00 | 2.70 | 0.03 | 0.04 | 4.71 | 0.03 | 35.56 | 0.00 | 0.00 | 0.01 | 
| 2 | 0.03 | 1.66 | 0.02 | 0.03 | 2.09 | 0.03 | 43.09 | 0.01 | 0.01 | 0.01 | 
| 3 | 0.08 | 7.57 | 0.03 | 0.38 | 4.03 | 0.01 | 22.12 | 0.00 | 0.00 | 0.01 | 
| 4 | 0.03 | 2.24 | 0.04 | 0.07 | 1.32 | 0.01 | 54.97 | 0.00 | 0.01 | 0.01 | 
| 5 | 0.00 | 2.53 | 0.02 | 0.04 | 4.63 | 0.01 | 35.27 | 0.00 | 0.00 | 0.00 | 
| Pair of Materials | ρ | p-Values | 
|---|---|---|
| Si, K | 0.92 | 0.0000 | 
| Ca, Fe | −0.80 | 0.0002 | 
| Na, K | 0.78 | 0.0004 | 
| Ni, Ci | 0.77 | 0.0005 | 
| Ca, Cu | −0.77 | 0.0004 | 
| Na, Si | 0.71 | 0.0022 | 
| Si, Fe | −0.66 | 0.0056 | 
| Cl, Fe | 0.65 | 0.0065 | 
| Cl, Ca | −0.61 | 0.0123 | 
| K, Fe | −0.52 | 0.0375 | 
| Variables | RSS | R2 | Variables | 
|---|---|---|---|
| 1 | 9.253943 | 0.421629 | (Fe) | 
| 2 | 4.127872 | 0.742008 | (Ni, Cu) | 
| 3 | 1.732323 | 0.891730 | (Ca, Ni, Zn) | 
| 4 | 0.507963 | 0.968252 | (K, Fe, Cu, Zn) | 
| 5 | 0.481758 | 0.969890 | (K, Fe, Ni, Cu, Zn) | 
| 6 | 0.458953 | 0.971315 | (K, Cr, Fe, Ni, Cu, Zn) | 
| 7 | 0.454023 | 0.971624 | (K, Ca, Cr, Fe, Ni, Cu, Zn) | 
| 8 | 0.453742 | 0.971641 | (Na, K, Ca, Cr, Fe, Ni, Cu, Zn) | 
| All | 0.453187 | 0.971676 | (Na, Si, K, Ca, Cr, Fe, Ni, Cu, Zn) | 
Disclaimer/Publisher’s Note: The statements, opinions and data contained in all publications are solely those of the individual author(s) and contributor(s) and not of MDPI and/or the editor(s). MDPI and/or the editor(s) disclaim responsibility for any injury to people or property resulting from any ideas, methods, instructions or products referred to in the content.  | 
© 2023 by the authors. Licensee MDPI, Basel, Switzerland. This article is an open access article distributed under the terms and conditions of the Creative Commons Attribution (CC BY) license (https://creativecommons.org/licenses/by/4.0/).
Share and Cite
Valentukeviciene, M.; Andriulaityte, I.; Chadysas, V. Assessment of Residual Chlorine Interaction with Different Microelements in Stormwater Sediments. Molecules 2023, 28, 5358. https://doi.org/10.3390/molecules28145358
Valentukeviciene M, Andriulaityte I, Chadysas V. Assessment of Residual Chlorine Interaction with Different Microelements in Stormwater Sediments. Molecules. 2023; 28(14):5358. https://doi.org/10.3390/molecules28145358
Chicago/Turabian StyleValentukeviciene, Marina, Ieva Andriulaityte, and Viktoras Chadysas. 2023. "Assessment of Residual Chlorine Interaction with Different Microelements in Stormwater Sediments" Molecules 28, no. 14: 5358. https://doi.org/10.3390/molecules28145358
APA StyleValentukeviciene, M., Andriulaityte, I., & Chadysas, V. (2023). Assessment of Residual Chlorine Interaction with Different Microelements in Stormwater Sediments. Molecules, 28(14), 5358. https://doi.org/10.3390/molecules28145358
        
