Abstract
The adsorption of hexylamine at the solution–gold interface in 1 M HClO4 in the presence of 0.1 M Fe2+ and 0.1 Fe3+ was studied by potentiodynamic, chronoamperometric and EIS methods. The main kinetic characteristics of the oxidation-reduction reaction iron ions (exchange current density, transfer coefficient, diffusion coefficients of iron ions) were determined. It was shown that the physical adsorption of hexylamine on gold can be described by the Dhar–Flory–Huggins isotherm. The values of the adsorption constant and the Gibbs free adsorption energy were obtained. A comparison of the free adsorption energy at these interfaces with the interaction energies of hexylamine and water molecules, and hexylamine molecules with each other was carried out. It was shown that hexylamine adsorption at all of these interfaces is due mainly to the hydrophobic effect of the interaction of hexylamine and water molecules.
1. Introduction
Adsorption is frequently one of the steps in many heterogeneous chemical processes. First of all, the adsorption mechanism determines the action of industrial adsorbents. In another example, many metals are catalysts, and the catalysis process includes an adsorption step on these metals. The mechanism of this stage largely determines the rate of catalytic reactions. In particular, it is convenient to study the mechanism and kinetics of redox catalytic reactions on metals by electrochemical methods. In this case, the elementary reaction act is accompanied by the flow of an electric current, which is easily quantitatively fixed.
Of particular interest is the adsorption of polar organic molecules (surfactants) on metal electrodes. The surfactant adsorption on electrodes regulates the processes of galvanization, corrosion, electrocatalysis, etc. to a large extent [1,2]. In particular, the surfactant adsorption determines the corrosion rate of metals when they are used as corrosion inhibitors. Therefore, the explanation of the adsorption mechanism is the most important task in the study of electrochemical kinetics.
In general, surfactant adsorption can occur by chemisorption or physical adsorption. Chemisorption takes place if the functional group of a surfactant organic molecule tends to chemical interaction with the electrode material. For example, chemisorption of mercaptoimidazole due to the covalent interaction of a sulfur atom with a metal [3,4,5] or chemisorption of benzotriazole due to the interaction of a nitrogen atom with a metal [6] takes place. The main features of chemisorption are: (a) a high electrode surface coverage by the adsorbate at relatively low adsorptive concentrations in the electrolyte bulk [7,8]; (b) a relatively high value of the free adsorption energy [9,10,11]; (c) slight dependence of adsorption on temperature, i.e., low adsorption activation energy [12,13,14].
Physical adsorption is characteristic of surfactants, the functional groups of which do not tend to interact chemically with metals. Physical adsorption is characterized by the following features: (a) a high surface coverage by the adsorbate is observed at relatively high adsorptive concentrations [12,15]; (b) a low value of free adsorption energy [16,17,18]; (c) a strong decrease in adsorption with increasing temperature [19], i.e., high adsorption activation energy [15,20,21].
Physical adsorption can occur due to the electrostatic interaction of surfactant molecules: (a) with the metal surface; (b) with polar water molecules. In the first case, the dipole of a surfactant molecule induces a charge redistribution on the metal surface, and adsorption is due to the interaction of the molecule dipole with its own imaginary image [16]. In the second case, adsorption is due to the hydrophobic effect, i.e., displacement of polar surfactant molecules onto the solution surface [22,23].
In numerous publications, the physical adsorption of surfactants on metals is explained by the interaction of the surfactant with the metal and the corresponding quantum chemical calculations are given. The hydrophobic effect as a cause of surfactant adsorption at the solution–electrode interface is considered very rarely (see, for example, Ref. [24]), although the works [25,26] indicate a significant influence of the hydrophobic effect on surfactant adsorption. The need arises to quantify the contribution of the hydrophobic effect to the overall pattern of adsorption on metals.
Identification of the causes and adsorption mechanism is of scientific and practical interest. In the vast majority of works on the study of metal corrosion, the nature of adsorption is judged by the value of the free adsorption energy (the so-called “20/40 criterion” [27]). It is assumed that during chemisorption, < −40 kJ mol−1, and at physical adsorption, > −20 kJ mol−1 (for example, see Ref. [27]). However, in Ref. [28] it is shown that this criterion is not reliable for several reasons. More reliably, physical adsorption and chemisorption can be identified theoretically by modeling the surfactant molecule–surface distance or by analyzing the electronic structure of the surfactant molecule–surface bond. In practice, this can be done spectroscopically, because the interaction of a surfactant molecule with the surface should distort the electronic configuration of the molecule [28].
In the study of adsorption on metals, chemisorption can be identified by the above signs, except for the 20/40 criterion. However, the physical adsorption mechanism (metal interaction or hydrophobic effect) is more difficult to identify. This is explained by the fact that the signs of physical adsorption listed above are characteristic of both mechanisms of such adsorption.
The study of adsorption on soluble metal electrodes (for example, on steel) seems to be quite difficult, because many phenomena of an electrochemical nature affect this process. The corrosion inhibition of steel by surfactant adsorption is a typical example. The main thing is that corrosion occurs at a stationary, but not equilibrium, potential. Hence, the following problems arise: (a) effect of the crystal lattice destruction during the dissolution of iron interferes with the study of adsorption undoubtedly; (b) along with the metal dissolution reaction, depolarization reactions simultaneously occur (reduction of H+ or OH−, usually), which complicates the analysis of kinetic patterns; (c) abundant gas evolution during depolarization reactions also interferes with the study of adsorption in a “pure” form. Therefore, the study of surfactant adsorption on an electrode at an equilibrium potential and the absence of a metal dissolution process is of interest. For these reasons, it is advisable to study the adsorption process on an inert electrode.
The main idea of this work is the following. If the parameters of surfactant adsorption at different interfaces (in particular, different metals) differ, then the cause of adsorption will be direct surfactant interaction with the adsorbent surface. If these parameters are close, then the lateral interactions of the solution components are the cause of adsorption. Here, hexylamine adsorption was studied on an inert gold electrode. Then, the obtained adsorption parameters were compared with the adsorption parameters of hexylamine on platinum [29] and the air–solution interface [29].
Here, adsorption of hexylamine on gold in an acid medium was studied in the presence of Fe2+ and Fe3+ ions. The presence of the redox couple Fe3+/Fe2+ makes it possible to reliably fix the equilibrium electrode potential.
Hexylamine was chosen as a surfactant because it has rather high surface activity [30] and low chemical activity of the amino group under the conditions studied here. Note that hexylamine is protonated in an acidic medium and is present in solution as a hexylammonium ion:

It is known that the effective electrode surface decreases during surfactant adsorption, and the exchange current density decreases in proportion to the electrode surface coverage by the adsorbate [31]. Therefore, the oxidation-reduction reaction of iron ions:
inhibited here by surfactant adsorption.
Fe2+ − e ↔ Fe3+
Perchloric acid was used as a solvent. First, it forms a weak complex with Fe3+ ions and practically does not form a complex with Fe2+ ions [32,33]. Therefore, the effective concentration of uncomplexed iron ions practically coincides with the total concentration. Second, perchlorate ions are practically not adsorbed on inert metals [34,35]. Therefore, the study of surfactant adsorption on gold is simplified. Under such conditions, i.e., in the practical absence of a ligand that forms a complex with iron ions, reaction (1) will proceed through aqua complexes [36]:
Fe(H2O)62+ − e ↔ Fe(H2O)63+.
When Reaction (2) proceeds, the stage of diffusion of ions to the electrode takes place. Therefore, the kinetics of this reaction on gold is preliminarily studied by chronoamperometric and potentiodynamic methods to separate the charge transfer overvoltage from the diffusion overvoltage to determine the exchange current density. The charge transfer resistance values (related to the exchange current) are obtained by the electrochemical impedance spectroscopy (EIS) method. Next, the effect of surfactant adsorption on the value of the exchange current and charge transfer resistance is studied.
2. Results and Discussion
2.1. Cyclic Voltammetry
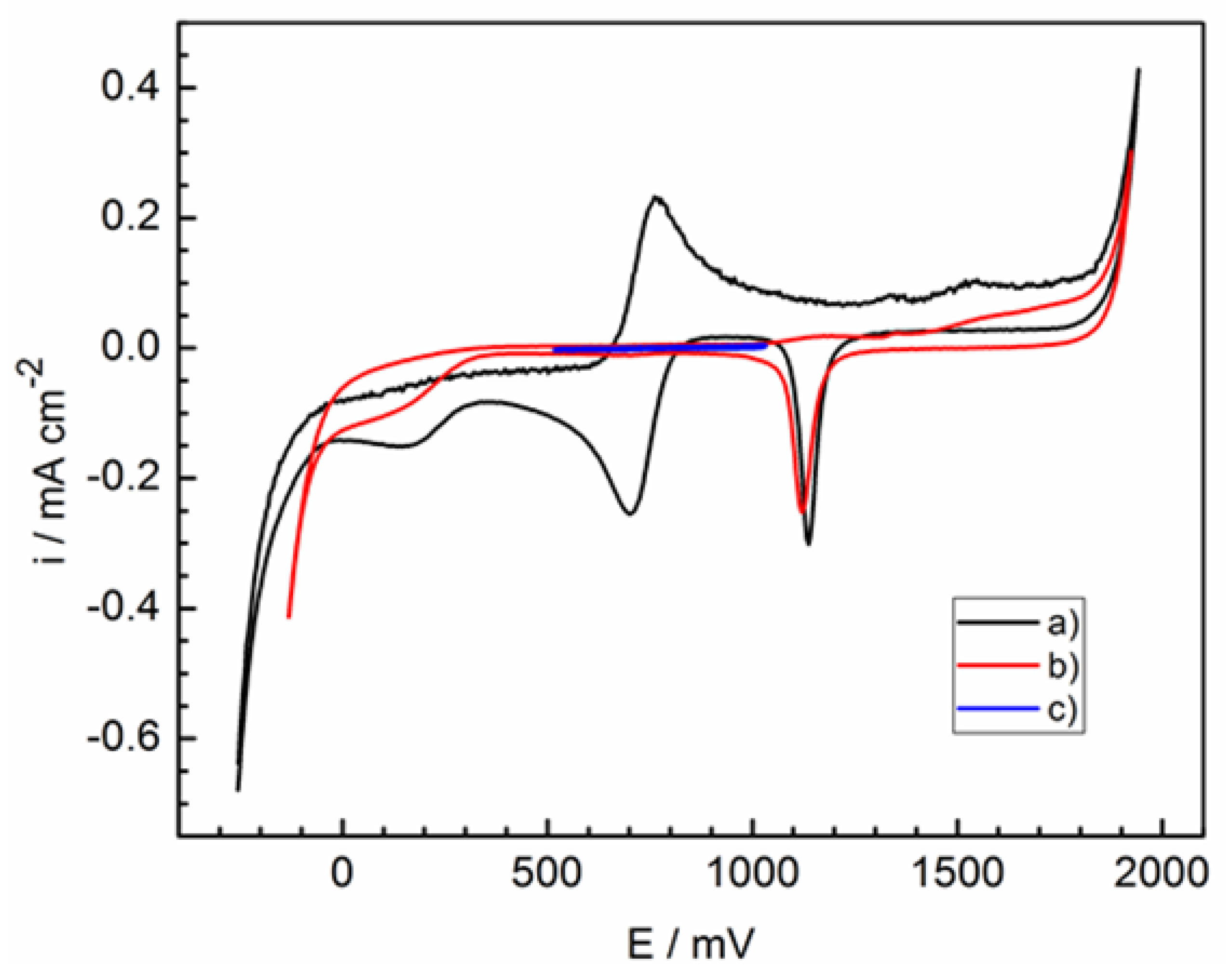
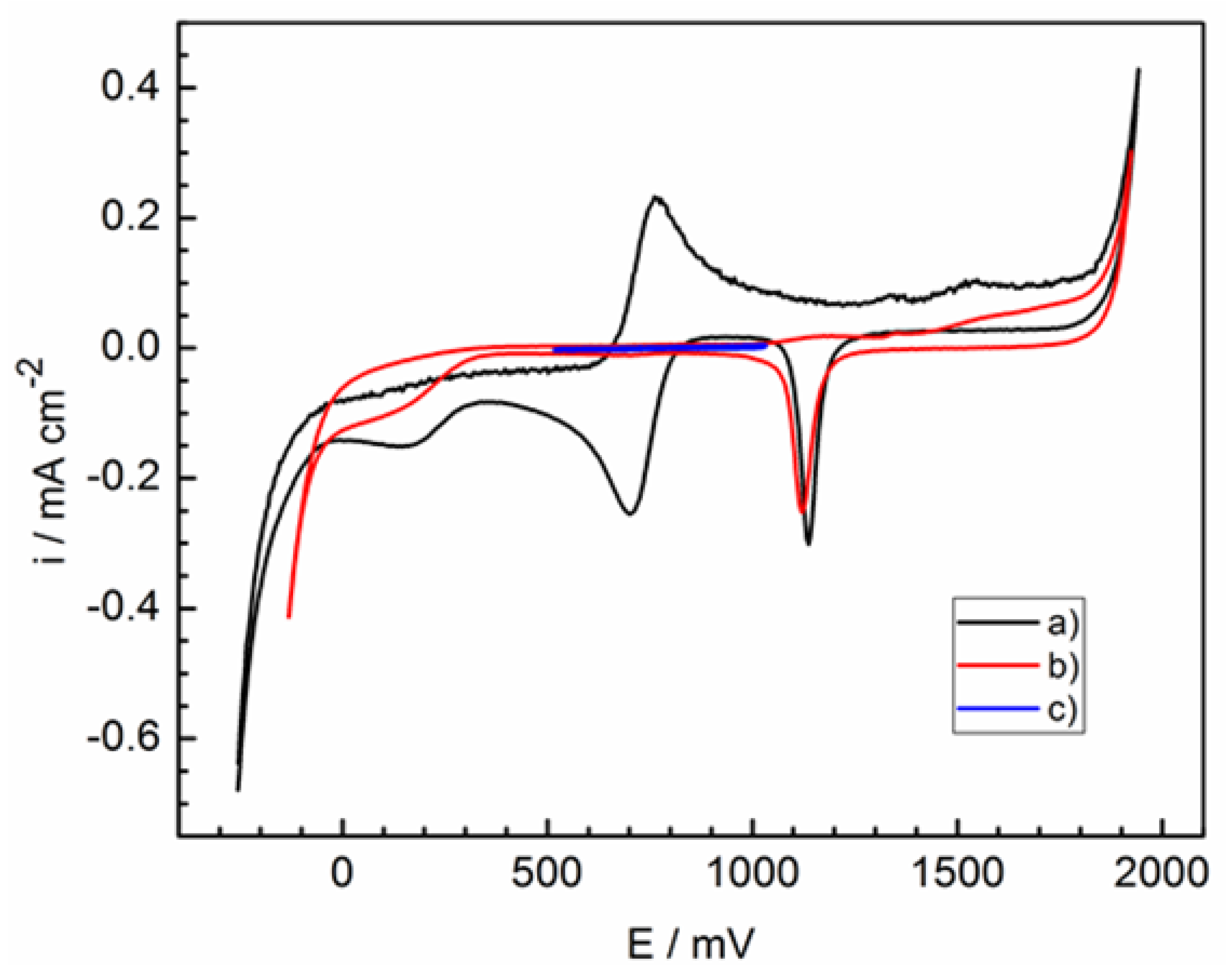
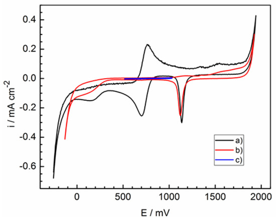
The experimental value of gold electrode equilibrium potential for the blank solution is 729 ± 2 mV relative to the standard hydrogen electrode. This value is in good agreement with the calculated potential value of 733 mV, taking into account the low complex formation in solution. During the polarization of inert electrodes in aqueous solutions, processes associated with the realization of hydrogen and oxygen electrodes take place. In Figure 1, the potentiodynamic curve (a) is shown for a background solution (1 M HClO4) without surfactant and iron ions. This curve is typical for inert electrodes in aqueous solutions. Here, at potentials less than −0.2 V, the reduction of protons occurs with the formation of gaseous hydrogen. At potentials of more than 1.8 V, the oxidation of hydroxide ions occurs with the formation of gaseous oxygen. Intermediate peaks characterize the formation–decomposition of surface oxides [37,38] and traces of formed oxygen and hydrogen.
Figure 1.
Cyclic voltammograms: (a) in background electrolyte (1 M HClO4), (b) 1 M HClO4 + 0.1 M hexylamine, (c) during electrode activation in solution (b). Potential sweep rate 20 mV s–1.
New peaks do not appear in the presence of hexylamine (curve (b)). Therefore, hexylamine is electrochemically stable under given conditions. Significant electrochemical reactions are not observed in the potential range 0.5–1.0 V during electrode activation (curve (c)).
In Figure 2, cyclic voltammograms are shown for blank solution (in the presence of iron ions without surfactant) at various potential sweep rates. The observed currents of the iron ion oxidation-reduction are almost two orders of magnitude higher than the background currents for oxygen and hydrogen (see Figure 1), and therefore they can be neglected. These curves are typical of a reversible electrochemical reaction under diffusion control. In this case, the peak currents are described by the Randles–Shevchik equation [39,40,41]:
where n is the ion valence change in the reaction, F is the Faraday constant, R is the gas constant, T is the temperature, c is the molar concentration of iron ions, D is the ion diffusion coefficient, v is the potential scan rate. In Figure 3, the dependencies of the anode and cathode maxima currents are given as coordinates determined using Equation (3). These dependencies are satisfactorily extrapolated to zero coordinates, and give = 3.9 × 10−6 cm2 s−1 for anodic maxima and = 5.6 × 10−6 cm2 s−1 for cathodic maxima. These values agree satisfactorily with the results of other works (see Table 1).
Figure 2.
Cyclic voltammograms at various potential scan rates for the blank solution without hexylamine.
Figure 3.
Dependence of voltammogram maximum currents on potential scan rates from Figure 2.
Table 1.
Diffusion coefficient values of iron ions in HClO4 solutions.
2.2. Chronoamperometry
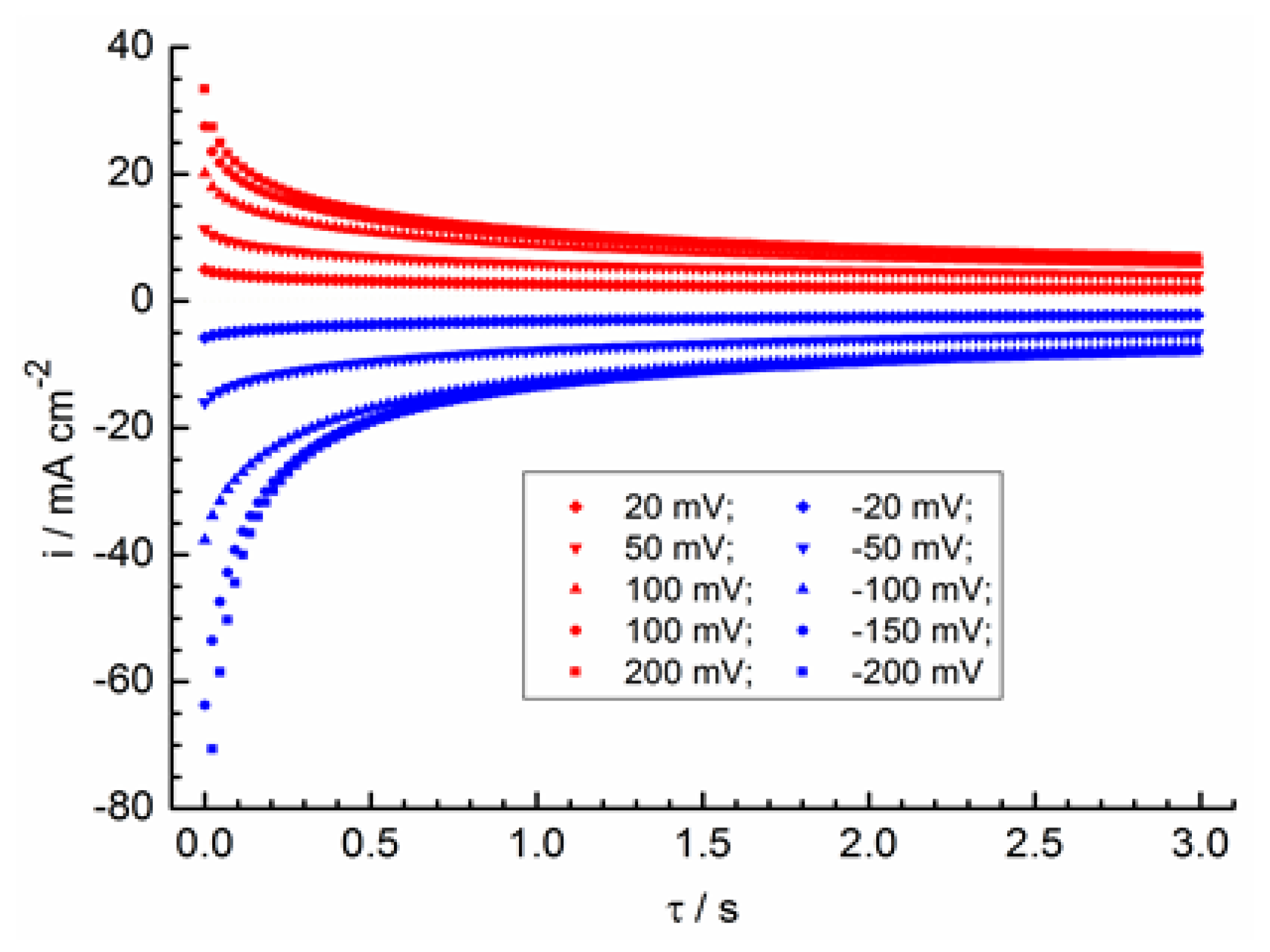
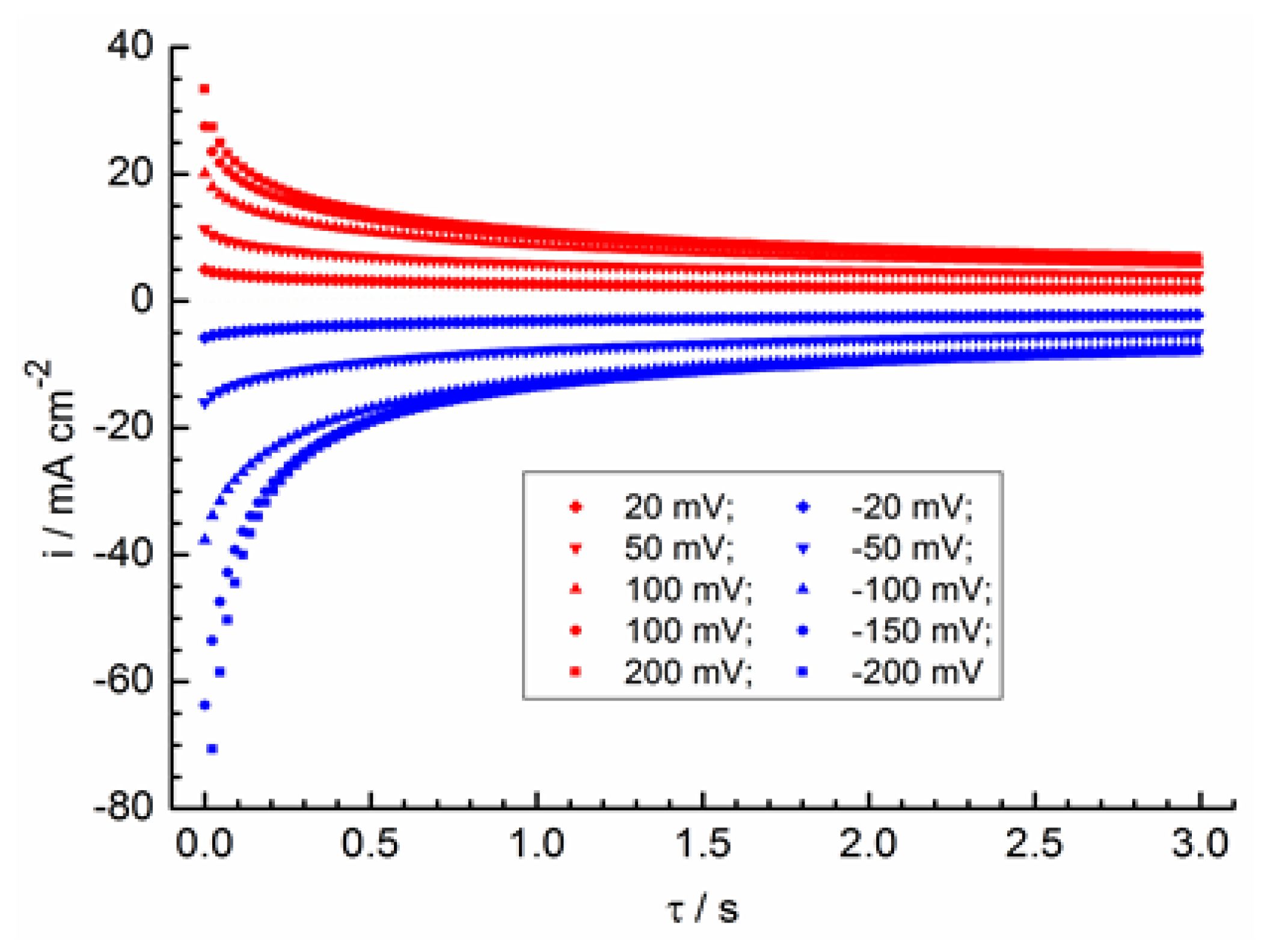
In Figure 4, chronoamperograms are shown at various potentials for a blank solution without surfactant. These chronoamperograms are typical for diffusion kinetics and are described by the Cottrell equation at elevated potentials [44,45]:
where i(τ) is the current density, η is the overvoltage, and τ is time.
Figure 4.
Chronoamperograms at various overvoltages for a blank solution without hexylamine.
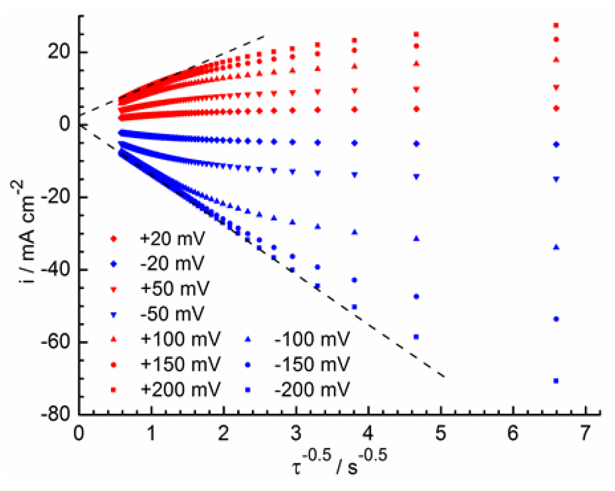
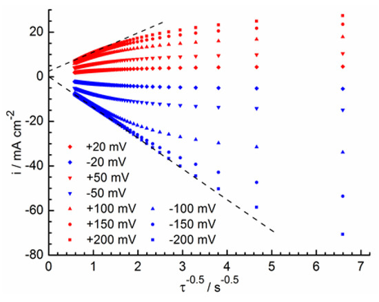
In Figure 5, the chronoamperograms are shown in coordinates obtained using Equation (4). The straight sections of chronoamperograms should be extrapolated to zero coordinates with semi-infinite diffusion. Some non-fulfillment of this condition during anodic polarization can be explained by a significant electrostatic interaction of the formed Fe3+ ions with each other and with the components of the solution due to the higher charge of these ions compared to Fe2+. The diffusion coefficient of Fe3+ is = 6.2 × 10−6 cm2 s−1, which is in accordance with the slope of the cathode chronoamperograms at elevated cathode overvoltages. A less reliable estimate of the Fe2+ diffusion coefficient gives a value of about = 2.9 × 10−6 cm2 s−1, according to the slope of the anode chronoamperograms. The obtained D values do not contradict the results of other works on the Reaction (2) kinetics in a perchlorate medium (see Table 1).
Figure 5.
Chronoamperograms from Figure 4 in the coordinates from Equation (4).
Extrapolation of chronoamperograms to zero time gives currents due only to the kinetics of charge transfer. These currents are described by the Butler–Volmer equation:
where i0 is the exchange current density, and α is the transfer coefficient. It is convenient to use this equation in the form proposed by Allen and Hickling [46]:
which is linear for all overvoltages.
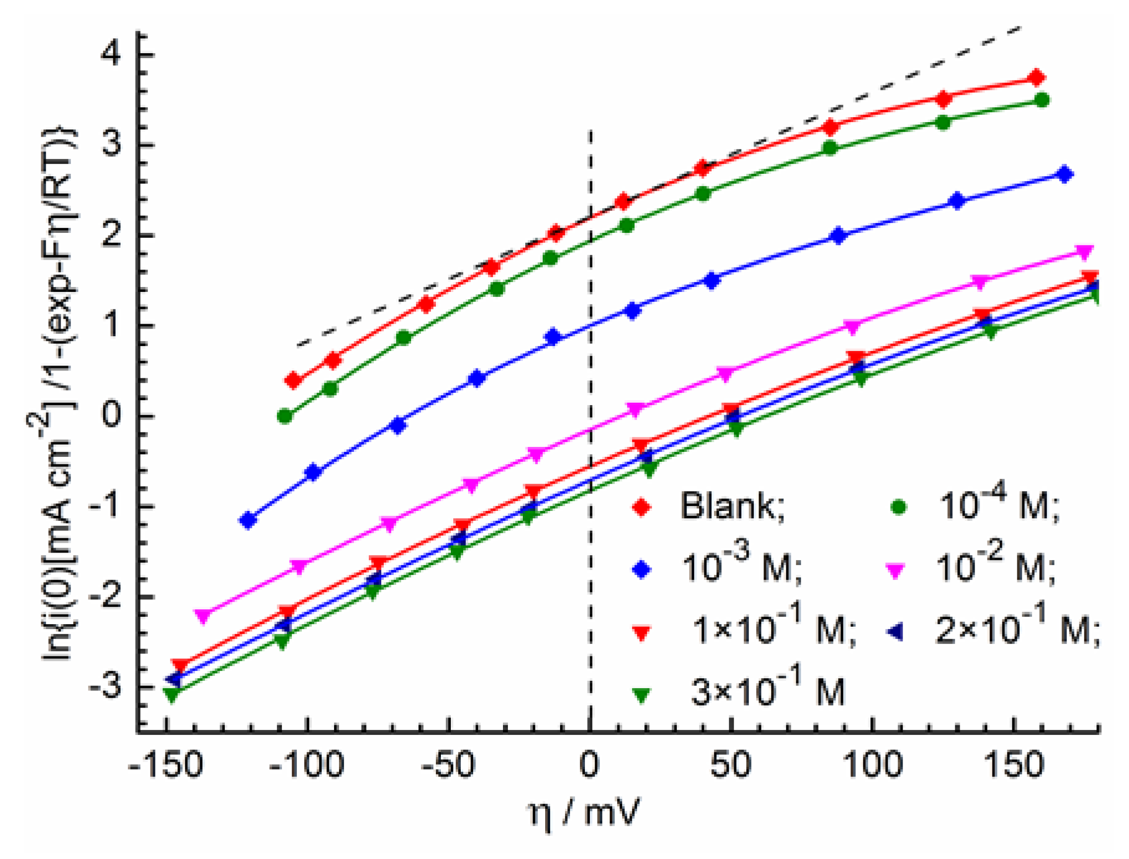
In Figure 6 (blank curve), the dependence of the extrapolated charge transfer currents on overvoltage is given in the coordinates obtained using Equation (5) for the solution without surfactant. This dependence was plotted taking into account the voltage drop in the electrolyte of 0.48 Ω cm2 (according to EIS measurements). Some nonlinearity in the experimental dependence is apparently due to the problems of the chronoamperogram extrapolation to zero time at high overvoltages. The exchange current density for a blank solution is 9.0 mA cm−2. The value of α estimated tangentially at zero overvoltage is 0.57 (at low overvoltages, the problems with extrapolation are minimized).
Figure 6.
Dependence of electron transfer currents on overvoltage at various hexylamine concentrations in Equation (5) coordinates.
The standard rate constant of charge transfer reaction is estimated as follows [47]:
where cOx is the concentration of the ion oxidized form (here Fe3+), cRed is the concentration of the reduced ion form (here Fe2+). Here, k0 = 9.3 × 10−4 cm s−1 for blank solution. This value somewhat exceeds the values obtained in other works (see Table 2). The reasons for this excess are beyond the scope of this work and require a separate study.
Table 2.
Standard rate constant values of Reaction (2) on gold in HClO4 solutions.
In Figure 6, the dependences of transfer currents on overvoltage are also shown for solutions with different hexylamine concentrations. In Table 3, the exchange current densities and the corresponding charge transfer resistances are calculated from the following equation
for the indicated solutions. Obviously, the exchange current decreases and the charge transfer resistance increases with increasing surfactant concentration due to adsorption.
Table 3.
Parameters of Reaction (2) according to chronoamprometic measurements.
2.3. EIS Method
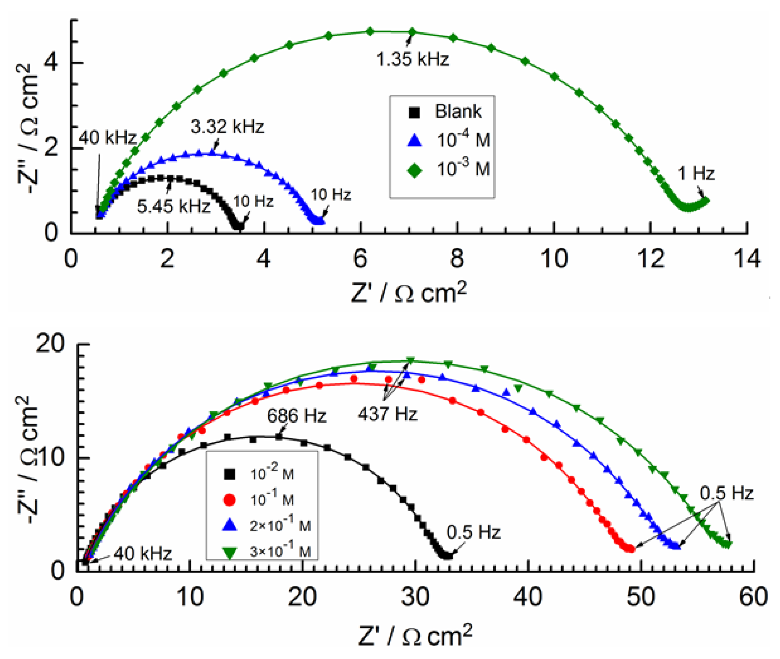
In Figure 7, Nyquist plots are shown for solutions with different hexylamine concentrations. These plots are modeled satisfactorily by the equivalent circuit shown in Figure 8. Here, CPE has the meaning of a frequency-distributed double-layer capacitance [50,51]. The CPE impedance is:
where A is a proportionality coefficient, ω is the angular frequency (in rad s−1) and i2 = −1 is the imaginary number; n is the exponent related to the phase shift and can be used as a measure of the surface inhomogeneity [52,53]. For the whole numbers n = 1, 0, −1, CPE is reduced to the classical elements capacitor (C), resistance (R) and inductance (L), respectively. Other values of n approximately describe other types of frequency distribution behavior of C, R or L with distributed parameters. The double layer capacitance is related to the Z(CPE) parameters by the equation [54]:
Figure 7.
Nyquist plots for various hexamine concentrations.
Figure 8.
Equivalent electrical circuit for the solution–gold interface: RΩ is the electrolyte resistance, CPE is the frequency-distributed double-layer capacitance, Rct is the charge transfer resistance, and ZW is the Warburg diffusion element.
In Table 4, the parameters of the equivalent circuit are given according to the data presented in Figure 7. From this table, it can be seen that the charge transfer resistance Rct increases and the Cdl decreases with increasing surfactant concentration. This is explained by a decrease in the effective electrode surface with increasing surfactant adsorption.
Table 4.
Parameters of the Reaction (2) equivalent circuit according to EIS measurements.
2.4. Adsorption Isotherm
To quantify adsorption and construct an adsorption isotherm, it is necessary to determine the electrode surface coverage θ with adsorbate. Usually, when studying corrosion, θ is equated with the inhibition efficiency IE:
where iinh and Rinh are the current and polarization resistance in the surfactant presence, i and R are for a blank solution without surfactant. However, studies of electrode surfaces coating by X-ray photoelectron spectroscopy (XPS) [55] have shown that this method of calculating θ is incorrect, and therefore is unsuitable for quantitative calculations. The use of IE to calculate θ leads to a significant error in the Gibbs adsorption energy estimation [56].
Let us justify another method for surface coverage estimating from electrochemical measurements. In general cases [57]:
where Γ is the actual excess adsorbate concentration on the surface, and Γmax is the adsorbate concentration on the surface at the maximum surface coverage. Upon adsorption, the effective solution–metal interface area decreases. This leads to a decrease in the exchange current density or to an increase in the charge transfer resistance Rct during electrochemical measurements. Here, the charge transfer resistance is more convenient for determining θ, because Rct is proportional to adsorbate concentration. Then, the “excessive” transfer resistance will be equal to Rct − Rct(0), where Rct is the actual value of the charge transfer resistance, Rct(0) is the charge transfer resistance for a blank solution (here, the appearance of Rct(0) is due to the fact that Rct ≠ 0 for cS = 0). In this case, Equation (6) can be rewritten as [29]:
where Rct(max) is the charge transfer resistance at the maximum coverage of the electrode surface by the adsorbate.
Experimental determination of Rct(max) is impossible due to the low solubility of hexylamine in the background solution. However, in experiments on the study of surface tension at the interface between air and the test solution, the value Γmax = (7.0 ± 1.4) × 10−6 mol m−2 was determined [29]. Let us assume that the surface coverage θ is the same for the air–solution and electrode–solution interfaces at the same hexylamine concentration. For example, at cS = 0.1 M for the air–solution interface Γ = (4.36 ± 0.04) × 10−6 mol m−2 [29]. For the gold–solution interface from the chronoamperometric data, Rct = 45 Ω cm2 and Rct(0) = 2.9 Ω cm2 (Table 3) for the same surfactant concentration. Under these conditions, we equate the right parts of Equations (6) and (7) and obtain Rct(max) = 66 Ω cm2 for chronoamperometric measurements. For EIS measurements, Rct = (47.9 ± 2.5) Ω cm2 at cS = 0.1 M. Hence, Rct(max) is (71 ± 4) Ω cm2, which is close to the analogous value for chronoamperometric measurements.
In Table 5, surface coverage is given for chronoamperometric and EIS measurements at various hexylamine concentrations calculated according to Equation (7).
Table 5.
Surface coverage θ according to various research methods at different hexylamine concentrations.
Surfactant adsorption can be represented as a process of displacement of water molecules by surfactant molecules at the interface [58,59]:
where the index “aq” characterizes the state of the molecule in the volume of the solution, the index “ad”—at the interface, x is the number of water molecules replaced by one surfactant molecule at the interface.
Surfaq + xH2Oad ↔ Surfad + xH2Oaq,
The problem of choosing an adsorption equation from many known ones arises when constructing an adsorption isotherm. For example, a detailed analysis of various equations is given in the Refs. [60,61,62]. However, it was shown by Bastidas that in the case of hexylamine adsorption, the Flory–Huggins equation is optimal [30]:
or the refined Dhar–Flory–Huggins equation [63]:
where Kad is the adsorption constant. (Note that Equation (9) at x = 1 gives the Langmuir adsorption isotherm [64,65]). This equation can be rewritten in a form convenient for graphical analysis:
For hexylamine in aqueous solutions x ≈ 3 [29,30]. Then, Equation (10) for the system under study can be rewritten as:
Adsorption isotherms for chronoamperometric and EIS measurements are plotted in Figure 9 at the coordinates obtained using Equation (11). Extrapolation of the straight lines to log cS = 0 gives the values of the adsorption constant Kad. The Gibbs free adsorption energy is related to the adsorption constant [66,67]:
where 55.5 is the molar concentration of water in the solution.
Figure 9.
Dhar–Flory–Huggins isotherms for hexylamine adsorption on gold from chronoamperometric and EIS measurements at the coordinates obtained using Equation (11).
Table 6 shows the main parameters of the hexylamine adsorption at the solution–gold interface, as well as for comparison, the corresponding parameters for the solution–platinum and solution–air interfaces [29].
Table 6.
Main parameters of hexylamine adsorption at various interfaces.
Table 6 shows that the slopes of the straight line for both measurement methods on gold correspond satisfactorily to each other. The slope values are in good agreement with the theoretical unit slope as well. This confirms the assumption that the adsorption of hexylamine on the studied metals is well described by the Dhar–Flory–Huggins isotherm. The relatively low adsorption free energy (less than −20 kJ mol−1) confirms the physical nature of hexylamine adsorption, although this is discussed in [28].
In the general case, the free energy of the hexylamine adsorption can characterize the processes: (1) direct physical interaction of the solution components with the metal surface and (2) lateral interaction of the solution components.
The first group includes physical interaction with the gold surface:
- (a)
- water molecules (= (−20…−30) kJ mol−1 [68]);
- (b)
- hexylamine molecules ().
The second group includes the interaction:
- (c)
- water molecules with each other via hydrogen bonds ( ≈ −21 kJ mol−1 [69]);
- (d)
- hexylamine molecules among themselves ( ≈ −25 kJ mol−1 [70,71]);
- (e)
- hexylamine molecules and water ( = (−8.4…−12.5) kJ mol−1 [70,71]);
- (f)
- water molecules and ions ( ≈ (−290…−340) kJ mol−1 [72]).
Without taking into account lateral interactions, direct (a) and (b) interactions can characterize the direction of Reaction (8). The value is unknown, but it can be assumed that this value should be slightly higher than , because the equilibrium of Reaction (8) is shifted to the right. Some ions affect hydrogen bonds in water [72] and, accordingly, the value must also be taken into account here.
Incidentally, the absence of ion adsorption on metals can be explained by the very high energy of the (e) interaction between water molecules and these ions.
Obviously, the value of the resulting energy of hexylamine adsorption on gold will be determined by the total energy effect of these interactions, mainly lateral interactions. Quantitative accounting of all interaction types is difficult. However, at a qualitative level, some assumptions can be made. Obviously, for the solution–air interface, adsorption is predominantly due to the hydrophobic effect. Therefore, the similarity of the values for the solution–gold, solution–platinum, and solution–air interfaces suggests that the hexylamine adsorption on these metals is also due mainly to (e) interaction, i.e., the hydrophobic effect. The energy of hydrophobic interaction of hexylamine molecules with water is about of 10 kJ mol−1. The experimental values are about of 17 kJ mol−1 for both metals (see Table 6). Apparently, about of 7 kJ mol−1 (17 kJ mol−1−10 kJ mol−1) remaining from the experimental total energy characterizes some participation of (b) interaction, because some structuring of surfactant molecules near the platinum surface can be observed even in oil media [73]. At elevated θ, (d) interaction can also appear.
Therefore, we can conclude that the hexylamine adsorption at various interfaces has a common nature and is mainly due to the hydrophobic effect of the displacement of surfactant molecules onto the solution surface, regardless of the interface nature (solution–metal or solution–air).
2.5. Temperature Dependence of Adsorption
In Table 7, the Reaction (2) parameters are summarized at different temperatures and hexylamine concentrations according to EIS measurements.
Table 7.
Exchange current density of Reaction (2) at various temperatures and hexylamine concentrations.
The dependence of the exchange current density on temperature is given by the Arrhenius equation:
or:
where B is a constant, Ea is the adsorption activation energy. Figure 10 was produced according to the data obtained using Equation (12) and presented in Table 7. From the straight line slope, it follows that Ea = (17.2 ± 3.0) kJ mol−1 for a solution without surfactants and Ea,HA = (49.7 ± 3.2) kJ mol−1 at a surfactant concentration of 0.3 M.
Figure 10.
Dependence of the density exchange current on the hexylamine concentration at different temperatures at the coordinates obtained using Equation (12).
Such a high activation energy value in the presence of surfactant shows a strong adsorption weakening with increasing temperature, which is typical for physical adsorption [12,13,74]. Therefore, in our case, the physical nature of the hexylamine adsorption on the gold is confirmed. Physical adsorption is also characteristic of hexylamine adsorption on steel in an HCl solution [75].
3. Experimental Section
3.1. Preparation of Solutions
To prepare the basic solution without surfactants (blank solution) of the composition 1 M HClO4 + 0.1 M Fe3+ + 0.1 M Fe2+, metallic iron powder was dissolved in HClO4 to form a solution of Fe(ClO4)2. Then, the solution was filtered and H2O2 was added to oxidize a part of Fe2+ to Fe3+ [76]. The amounts of reagents and solutions were selected in such a way as to obtain the same concentrations of Fe2+ and Fe3+ 0.1 M in 1 M HClO4 solution. The purity of all reagents was at least 99.5%. The iron content in the samples was determined by the photometric method with sulfosalicylic acid [77]. The measurements were carried out at a wavelength λ = 510 nm.
Working solutions were obtained by adding the required amounts of hexylamine to the blank solution.
3.2. Equipment
Electrochemical measurements were carried out using a potentiostat-impedance meter IPC-ProM device (manufactured by the Institute of Physical Chemistry and Electrochemistry of the Russian Academy of Sciences). The experiments were carried out in a three-electrode glass cell with a glassy carbon counter electrode and the saturated silver chloride reference electrode. The Luggin capillary was used to eliminate the resistance between the working electrode and the reference electrode. All experiments, except those specifically indicated, were carried out at a temperature of 23 °C. The temperature was maintained with an error of 0.5 °C.
The working electrode was a gold foil with an area of 1 cm2. The electrode was degreased with a mixture of CaO + MgO and ethyl alcohol. Before measurements, the electrode was exposed in 1 M HClO4 for at least an hour.
3.3. Electrochemical Measurements
Preliminary measurements showed that the electrode kinetic parameters slowly drift with time. Therefore, for reproducibility of the results, the electrode was activated, and measurements were taken 10 min after activation. This time is sufficient for carrying out the pre-starting procedure before the experiment. At the same time, the electrochemical parameters practically do not differ from the initial values after this time.
Activation is a common practice in the study of the electrochemical kinetics on inert electrodes [37,39,40,41,48,49]. Activation is carried out by potentiodynamic cycling of the electrode in the range from the hydrogen formation potential at cathodic polarization to the oxygen formation potential at anodic polarization. Here, activation was carried out by means of three potential scans at a rate of 20 mV s−1 within ϕ0 ± 200 mV, where ϕ0 is the equilibrium electrode potential.
EIS measurements were carried out in the frequency range of 40 kHz to 0.5 Hz at a voltage amplitude of ±10 mV Ac.
3.4. Estimation of Measurement and Calculated Values Errors
Here the results of one typical series of chronopotentiometric and potentiodynamic measurements were analyzed. Therefore, the magnitude of the random error was not taken into account. With EIS, measurements were taken at least three times under the same conditions with an estimate of the random error. The error in the calculated values was determined as the sum of the errors made in the measurements used for the calculations.
4. Conclusions
- (1)
- A methodology for the investigation of the surfactant adsorption at equilibrium potential on inert electrodes by introducing a redox pair into the solution was proposed. The presence of this pair makes it possible to fix the electrode equilibrium potential and evaluate adsorption by changing the exchange current of the inhibited pair during adsorption.
- (2)
- A method for calculating the surface coverage in electrochemical measurements at low surfactant solubility using the results of measurements of adsorption at the air–solution interface was proposed.
- (3)
- The redox reaction of iron ions on gold was studied by potentiodynamic, chronoamperometric and EIS methods. It was found that the reaction occurs under diffusion control. The main kinetic characteristics of the reaction—the standard electron transfer rate constant and the diffusion coefficients of iron ions in solution—were obtained. The values of these characteristics did not contradict the results of other works.
- (4)
- Hexylamine adsorption on gold was studied. It was shown that this process can be well described by the Dhar–Flory–Huggins isotherm equation for the number of displaced water molecules by the adsorbate molecule x ≈ 3. The slope of the straight lines is close to unity in the coordinates of this isotherm. This confirms the correctness of the choice of this equation for the experimental data analysis. The main characteristics of the adsorption process: adsorption constant, adsorption free energy and adsorption activation energy are obtained.
- (5)
- The main adsorption characteristics on gold are compared with similar adsorption characteristics on platinum and the solution–air interfaces. The values of these characteristics for hexylamine adsorption at all interfaces are close, and are typical for physical adsorption. A comparison of the experimental Gibbs adsorption energy for these interfaces with the known energies of direct and lateral interactions showed that the cause of surfactant adsorption at these interfaces is predominantly the hydrophobic effect of the interaction of surfactant molecules with water molecules.
- (6)
- The temperature dependence of the adsorption of hexylamine on gold has been studied. The high value of the activation energy confirms the physical nature of adsorption.
Author Contributions
Conceptualization, G.I.O.; methodology, G.I.O.; writing—original draft preparation, G.I.O.; investigation, N.A.K. All authors have read and agreed to the published version of the manuscript.
Funding
This research received no external funding.
Institutional Review Board Statement
Not applicable.
Informed Consent Statement
Informed consent was obtained from all subjects involved in the study.
Data Availability Statement
The data presented in this study are available upon request from the corresponding author.
Acknowledgments
We dedicate this work to a friend and scientist V.A. Vybornov (R.I.P.).
Conflicts of Interest
The authors declare no conflict of interest.
Sample Availability
Not applicable.
References
- Vittal, R.; Gomathi, H.; Kim, K.-J. Beneficial role of surfactants in electrochemistry and in the modification of electrodes. Adv. Coll. Interface Sci. 2006, 119, 55–68. [Google Scholar] [CrossRef] [PubMed]
- Adamson, A.W.; Gast, A.P. Physical Chemistry of Surfaces, 6th ed.; Wiley: New York, NY, USA, 1997. [Google Scholar]
- Amar, H.; Tounsi, A.; Makayssi, A.; Derja, A.; Benzakour, J.; Outzourhit, A. Corrosion inhibition of Armco iron by 2-mercaptobenzimidazole in sodium chloride 3% media. Corros. Sci. 2007, 49, 2936–2945. [Google Scholar] [CrossRef]
- Blajiev, O.L.; Breugelmans, T.; Pintelon, R.; Terryn, H.; Hubin, A. Potentiodynamic EIS investigation of the 2-methyl-5-mercapto-1,3,4-thiadiazole adsorption on copper. Electrochim. Acta 2008, 53, 7451–7459. [Google Scholar] [CrossRef]
- Awada, M.K.; Mahgou, F.M.; El-iskandarani, M.M. Theoretical studies of the effect of structural parameters on the inhibition efficiencies of mercapto-1,2,4-triazoline derivatives. J. Mol. Struct. Theochem. 2000, 531, 105–117. [Google Scholar] [CrossRef]
- Finsgara, M.; Lesar, A.; Kokalj, A.; Milosev, I. A comparative electrochemical and quantum chemical calculation study of BTAH and BTAOH as copper corrosion inhibitors in near neutral chloride solution. Electrochim. Acta 2008, 53, 8287–8297. [Google Scholar] [CrossRef]
- Olivares-Xometl, O.; Likhanova, N.V.; Domınguez-Aguilar, M.A.; Hallen, J.M.; Zamudio, L.S.; Arce, E. Surface analysis of inhibitor films formed byimidazolines and amides on mild steel in an acidic environment. Appl. Surf. Sci. 2006, 252, 2139–2152. [Google Scholar] [CrossRef]
- Bentiss, F.; Lebrini, M.; Lagrene, M. Thermodynamic characterization of metal dissolution and inhibitor adsorption processes in mild steel/2,5-bis(n-thienyl)-1,3,4-thiadiazoles/hydrochloric acid system. Corros. Sci. 2005, 47, 2915–2931. [Google Scholar] [CrossRef]
- Lebrini, M.; Traisnel, M.; Lagrenee, M.; Mernari, B.; Bentiss, F. Inhibitive properties, adsorption and a theoretical study of 3,5-bis(n-pyridyl)-4-amino-1,2,4-triazoles as corrosion inhibitors for mild steel in perchloric acid. Corros. Sci. 2008, 50, 473–479. [Google Scholar] [CrossRef]
- Ozkır, D.; Kayakırılmaz, K.; Bayol, E.; Gurten, A.A.; Kandemirli, F. The inhibition effect of Azure A on mild steel in 1 M HCl. A complete study: Adsorption, temperature, duration and quantum chemical aspects. Corros. Sci. 2012, 56, 143–152. [Google Scholar] [CrossRef]
- Li, W.; He, Q.; Zhang, S.; Pei, C.; Hou, B. Some new triazole derivatives as inhibitors for mild steel corrosion in acidic medium. J. Appl. Electrochem. 2008, 38, 289–295. [Google Scholar] [CrossRef]
- Popova, A. Temperature effect on mild steel corrosion in acid media in presence of azoles. Corros. Sci. 2007, 49, 2144–2158. [Google Scholar] [CrossRef]
- Behpour, M.; Ghoreishi, S.M.; Soltani, N.; Salavati-Niasari, M.; Hamadanian, M.; Gandomi, A. Electrochemical and theoretical investigation on the corrosion inhibition of mild steel by thiosalicylaldehyde derivatives in hydrochloric acid solution. Corros. Sci. 2008, 50, 2172–2181. [Google Scholar] [CrossRef]
- Achary, G.; Sachin, H.P.; Naik, Y.A.; Venkatesha, T.V. The corrosion inhibition of mild steel by 3-formyl-8-hydroxy quinoline in hydrochloric acid medium. Mater. Chem. Phys. 2008, 107, 44–50. [Google Scholar] [CrossRef]
- Avci, G. Corrosion inhibition of indole-3-acetic acid on mild steel in 0.5M HCl. Colloids Surf. A Physicochem. Eng. Asp. 2008, 317, 730–736. [Google Scholar] [CrossRef]
- Kokalj, A. Is the analysis of molecular electronic structure of corrosion inhibitors sufficient to predict the trend of their inhibition performance. Electrochim. Acta 2010, 56, 745–755. [Google Scholar] [CrossRef]
- Moretti, G.; Guidi, F.; Fabris, F. Corrosion inhibition of the mild steel in 0.5 M HCl by 2-butyl-hexahydropyrrolo [1,2-b][1,2]oxazole. Corros. Sci. 2013, 76, 206–218. [Google Scholar] [CrossRef]
- Donahue, F.M.; Nobe, K. Theory of Organic Corrosion Inhibitors. J. Electrochem. Soc. 1965, 112, 886–891. [Google Scholar] [CrossRef]
- Ashassi-Sorkhabi, H.; Shaabani, B.; Seifzadeh, D. Corrosion inhibition of mild steel by some schiff basecompounds in hydrochloric acid. Appl. Surf. Sci. 2005, 239, 154–164. [Google Scholar] [CrossRef]
- El Basiony, N.M.; Badr Entsar, E.; Baker, S.A.; El-Tabei, A.S. Experimental and theoretical (DFT&MC) studies for the adsorption of the synthesized Gemini cationic surfactant based on hydrazide moiety as X-65 steel acid corrosion inhibitor. Appl. Surf. Sci. 2021, 539, 148246. [Google Scholar] [CrossRef]
- Yadava, D.K.; Quraishia, M.A.; Maiti, B. Inhibition effect of some benzylidenes on mild steel in 1 M HCl: An experimental and theoretical correlation. Corros. Sci. 2012, 55, 254–266. [Google Scholar] [CrossRef]
- IUPAC. Compendium of Chemical Terminology, 2nd ed.; IUPAC: Research Triangle Park, NC, USA, 1997. [Google Scholar] [CrossRef]
- Chandler, D. Interfaces and the driving force of hydrophobic assembly. Nature 2005, 437, 640–647. [Google Scholar] [CrossRef]
- Ostapenko, G.I.; Gloukhov, P.A.; Bunev, A.S. Investigation of 2-cyclohexenylcyclohexanone as steel corrosion inhibitor and surfactant in hydrochloric acid. Corros. Sci. 2014, 82, 265–270. [Google Scholar] [CrossRef]
- Guidelli, R.; Foresti, M.L. Statistical-mechanical treatment of an adsorbed monolayer with local order. J. Electroanal. Chem. 1986, 197, 103–121. [Google Scholar] [CrossRef]
- Cosnier, S.; Dupin, P.; Lavabre, D.; de Savignac, A.; Comtat, M.; Lattes, A. Etude electrocapillaire de l’adsorption de chlorures d’alkyl-4 pyridine. Electrochim. Acta 1986, 31, 1213–1218. [Google Scholar] [CrossRef]
- Khamis, E.; Bellucci, F.; Latanision, R.M.; El-Ashry, E.S.H. Acid Corrosion Inhibition of Nickel by 2-(Triphenosphoranylidene) Succinic Anhydride. Corrosion 1991, 47, 677–686. [Google Scholar] [CrossRef]
- Kokalj, A. Corrosion inhibitors: Physisorbed or chemisorbed? Corros. Sci. 2021, 196, 109939. [Google Scholar] [CrossRef]
- Ostapenko, G.I.; Kalashnikova, N.A. On the nature of surfactant adsorption onto metallic surfaces: Interaction with metal or hydrophobic effect? Adsorption of hexylamine on platinum. J. Electrochem. Soc. 2022, 169, 116502. [Google Scholar] [CrossRef]
- Bastidas, J.; Polo, J.; Cano, E. Substitutional inhibition mechanism of mild steel hydrochloric acid corrosion by hexylamine and dodecylamine. J. Appl. Electrochem. 2000, 30, 1173–1177. [Google Scholar] [CrossRef]
- Bockris, J.O.M.; Reddy, A.K.N. Modern Electrochemistry, 2nd ed.; Kluwer Academic/Plenum Publishers: New York, NY, USA, 2000; Volume 2. [Google Scholar]
- Coll, H.; Nauman, R.V.; West, P.W. The Stability of FeCl++ in Perchlorate Solutions. Am. Chem. Soc. 1959, 81, 1284–1288. [Google Scholar] [CrossRef]
- Johansson, L. The Role of the perchlorate ion as ligand in solution. Coord. Chem. Rev. 1974, 12, 241–261. [Google Scholar] [CrossRef]
- Samec, Z.; Weber, J. The effect of the double layer on the rate of the Fe3+/Fe2+ reaction on a platinum electrode and the contemporary electron transfer theory. J. Electroanal. Chem. 1977, 77, 163–180. [Google Scholar] [CrossRef]
- Clavilier, J.; Van Huong, C.N. Etude de l’interface de l’or polycristallin Au contact de solutions aqueuses de perchlorate de potassium et d’acide perchlorique. J. Electroanal. Chem. 1977, 80, 101–114. [Google Scholar] [CrossRef]
- Hung, N.C.; Nagy, Z. Kinetics of the Ferrous/Ferric Electrode Reaction in the Absence of Chloride Catalysis. J. Electrochem. Soc. 1987, 134, 2215–2220. [Google Scholar] [CrossRef]
- Weber, J.; Samec, Z.; Mareček, V. The effect of anion adsorption on the kinetics of the Fe3+/Fe2+ reaction on Pt and Au electrodes in HClO4. J. Electroanal. Chem. 1978, 89, 271–288. [Google Scholar] [CrossRef]
- Samec, Z. Ultraslow Kinetics of the Ferric/Ferrous Electron Transfer Reaction on Au(110) Electrode in Perchloric Acid Solutions. J. Electrochem. Soc. 1999, 146, 3349–3356. [Google Scholar] [CrossRef]
- Randles, J.E.B. A cathode ray polarograph. Part II. The current-voltage curves. Trans. Faraday Soc. 1948, 44, 327–338. [Google Scholar] [CrossRef]
- Sevcik, A. Oscillographic polarography with periodical triangular voltage. Collect. Czech. Chem. Commun. 1948, 13, 349–377. [Google Scholar] [CrossRef]
- Marken, F.; Neudeck, A.; Bond, A.M. Cyclic Voltammetry. In Electroanalytical Methods—Guide to Experiments and Applications; Scholz, F., Ed.; Springer: Berlin/Heidelberg, Germany, 2010; pp. 57–106. [Google Scholar] [CrossRef]
- Benari, M.D.; Hefter, G.T. Electrochemical characteristics of the iron(III)/iron(II) system in dimethylsulphoxide solutions. Electrochim. Acta 1991, 36, 471–477. [Google Scholar] [CrossRef]
- Jahn, D.; Vielstich, W. Rates of Electrode Processes by the Rotating Disk Method. J. Electrochem. Soc. 1962, 109, 849–852. [Google Scholar] [CrossRef]
- Cottrell, F.G. Der Reststrom bei galvanischer Polarisation, betrachtet als ein iffusionsproblem. Z. Phys. Chem. 1903, 42, 386–431. [Google Scholar] [CrossRef]
- Bard, A.; Folkner, L. Electrochemical Methods: Principles and Applications, 2nd ed.; Wiley: New York, NY, USA, 2001. [Google Scholar]
- Allen, P.L.; Hickling, A. Electrochemistry of sulphur. Part 1. Overpotential in the discharge of the sulphide ion. Trans. Faraday Soc. 1957, 53, 1626–1635. [Google Scholar] [CrossRef]
- Delahay, P. Double Layer and Electrode Kinetics; Interscience: New York, NY, USA, 1965. [Google Scholar]
- Nagy, Z.; Curtis, L.A.; Hung, N.C.; Zurawski, D.J.; Yonco, R.M. Catalytic effect of under-potential deposited layers on the ferrous/ferric outer-sphere electrode reaction. J. Electroanal. Chem. 1992, 325, 313–324. [Google Scholar] [CrossRef]
- Angell, D.H.; Dickinson, T. The Kinetics of the ferrous/ferric and ferro/ferricyanide reactions at platinum and gold electrodes: Part I. Kinetics at bare-metal surfaces. J. Electroanal. Chem. 1972, 35, 55–72. [Google Scholar] [CrossRef]
- Stoynov, Z.; Grafov, B.; Savova-Stoynova, B.; Elkin, V. Electrochemical Impedance; Nauka: Moscow, Russia, 1991. [Google Scholar]
- McDonald, J.R. Impedance spectroscopy and its use in analyzing the steady-state AC response of solid and liquid electrolytes. J. Electroanal. Chem. 1987, 223, 25–50. [Google Scholar] [CrossRef]
- López, D.A.; Simison, S.N.; de Sánchez, S.R. The influence of steel microstructure on CO2 corrosion. EIS studies on the inhibition efficiency of benzimidazole. Electrochim. Acta 2003, 48, 845–854. [Google Scholar] [CrossRef]
- Barsoukov, E.; MacDonald, J.R. Impedance Spectroscopy Theory, Experiment, and Applications, 3rd ed.; John Wiley & Sons, Inc.: Hoboken, NJ, USA, 2018. [Google Scholar]
- Orazem, M.E.; Tribollet, B. Electrochemical Impedance Spectroscopy, 2nd ed.; John Wiley & Sons, Inc.: Hoboken, NJ, USA, 2017. [Google Scholar]
- Walczak, M.S.; Morales-Gil, P.; Lindsay, R. Determining Gibbs energies of adsorption from corrosion inhibition efficiencies: Is it a reliable approach? Corros. Sci. 2019, 155, 182–185. [Google Scholar] [CrossRef]
- Kokal, A. On the estimation of standard adsorption free energy from corrosion inhibition efficiencies. Corros. Sci. 2023, 217, 111139. [Google Scholar] [CrossRef]
- Rosen, M.J.; Kunjappu, J.T. Surfactants and Interfacial Phenomena, 4th ed.; John Wiley & Sons: Hoboken, NJ, USA, 2012. [Google Scholar]
- Lia, X.; Deng, S.; Fu, H.; Muc, G. Inhibition effect of 6-benzylaminopurine on the corrosion of cold rolled steel in H2SO4 solution. Corros. Sci. 2009, 51, 620–634. [Google Scholar] [CrossRef]
- Sahina, M.; Bilgic, S.; Yılmaz, H. The inhibition effects of some cyclic nitrogen compounds on the corrosion of the steel in NaCl mediums. Appl. Surf. Sci. 2002, 195, 1–7. [Google Scholar] [CrossRef]
- Kokalj, A. A general-purpose adsorption isotherm for improved estimation of standard adsorption free energy. Corros. Sci. 2023, 217, 111124. [Google Scholar] [CrossRef]
- Kokalj, A. On the use of the Langmuir and other adsorption isotherms in corrosion inhibition. Corros. Sci. 2023, 217, 111112. [Google Scholar] [CrossRef]
- Hebbar, N.; Praveen, B.M.; Venkatesha, V.T.; Abd Hamid, S.B. Adsorption, thermodynamic, and electrochemical studies of ketosulfide for mild steel in acidic medium. J. Adhes. Sci. Technol. 2015, 29, 2692–2708. [Google Scholar] [CrossRef]
- Dhar, H.P.; Conway, B.E.; Joshi, K.M. On the form of adsorption isotherms for substitutional adsorption of molecules of different sizes. Electrochim. Acta 1973, 18, 789–798. [Google Scholar] [CrossRef]
- Langmuir, I. The adsorption of gases on plane surfaces of glass, mica and platinum. J. Am. Chem. Soc. 1918, 40, 1361–1403. [Google Scholar] [CrossRef]
- Prabhu, R.A.; Venkatesha, T.V.; Shanbhag, A.V.; Kulkarni, G.M.; Kalkhambkar, R.G. Inhibition effects of some Schiff’s bases on the corrosion of mild steel in hydrochloric acid solution. Corros. Sci. 2008, 50, 3356–3362. [Google Scholar] [CrossRef]
- Atkins, P.; Paula, J. Physical Chemistry, 9th ed.; University Press: Oxford, UK, 2009. [Google Scholar]
- Zhu, H.; Li, X.; Lu, X.; Chen, X.; Li, J.; Han, X.; Ma, X.; Hu, Z. Intra-inter-molecular synergistic inhibition effect of sulfonate surfactant and 2-benzothiazolethiol on carbon steel corrosion in 3.5% NaCl solution. Corros. Sci. 2021, 182, 109291. [Google Scholar] [CrossRef]
- Ignaczak, A.; Gomes, J.A.N.F. A theoretical study of the interaction of water molecules with the Cu(100), Ag(100) and Au(100) surfaces. J. Electroanal. Chem. 1997, 420, 209–221. [Google Scholar] [CrossRef]
- Stillinger, F.H. Water Revisited. Science 1980, 209, 451–457. [Google Scholar] [CrossRef]
- Carlá, M.; Aloisi, G.; Foresti, M.L.; Guidelli, R. Adsorption behaviour of n-hexylamine at the Hg/water interphase and its comparison with a molecular model accounting for local order. J. Electroanal. Chem. 1986, 197, 123–141. [Google Scholar] [CrossRef]
- Davies, M.; Johnson, P.; Wells, A.F.; Powell, H.M. General and physical chemistry. Annu. Rep. Prog. Chem. 1946, 43, 5–103. [Google Scholar] [CrossRef]
- Herbert, J.M.; Paul, S.K. Interaction Energy Analysis of Monovalent Inorganic Anions in Bulk Water Versus Air/Water Interface. Molecules 2021, 26, 6719. [Google Scholar] [CrossRef] [PubMed]
- Shafrin, E.G.; Zisman, W.A. The spreading of liquids on low-energy surfaces. IV. Monolayer coatings on platinum. J. Colloid Sci. 1952, 7, 166–177. [Google Scholar] [CrossRef]
- Bentiss, F.; Traisnel, M.; Gengembre, L.; Lagrenee, M. A new triazole derivative as inhibitor of the acid corrosion of mild steel: Electrochemical studies, weight loss determination, SEM and XPS. Appl. Surf. Sci. 1999, 152, 237–249. [Google Scholar] [CrossRef]
- de Damborene, J.; Bastidas, J.M.; Vazquez, A.J. Adsorption and inhibitive properties of four primary aliphatic amines on mild steel in 2 M hydrochloric acid. Electrochim. Acta 1997, 42, 455–459. [Google Scholar] [CrossRef]
- Johnson, D.C.; Resnick, E.W. Electrocatalysis of the Reduction of Iron (III) by Halides Adsorbed at Platinum Electrodes in Perchloric Acid Solutions. Anal. Chem. 1977, 49, 1918–1924. [Google Scholar] [CrossRef]
- Snell, F.D.; Snell, C.T. Colorimetric Methods of Analysis; D. Van Nostrand Company, Inc.: New York, NY, USA, 1954. [Google Scholar]
Disclaimer/Publisher’s Note: The statements, opinions and data contained in all publications are solely those of the individual author(s) and contributor(s) and not of MDPI and/or the editor(s). MDPI and/or the editor(s) disclaim responsibility for any injury to people or property resulting from any ideas, methods, instructions or products referred to in the content. |
© 2023 by the authors. Licensee MDPI, Basel, Switzerland. This article is an open access article distributed under the terms and conditions of the Creative Commons Attribution (CC BY) license (https://creativecommons.org/licenses/by/4.0/).









