Synthesis, Characterization, DFT Studies of Novel Cu(II), Zn(II), VO(II), Cr(III), and La(III) Chloro-Substituted Schiff Base Complexes: Aspects of Its Antimicrobial, Antioxidant, Anti-Inflammatory, and Photodegradation of Methylene Blue
Abstract
1. Introduction
2. Results and Discussion
2.1. 1HNMR Spectra
2.2. FT-IR
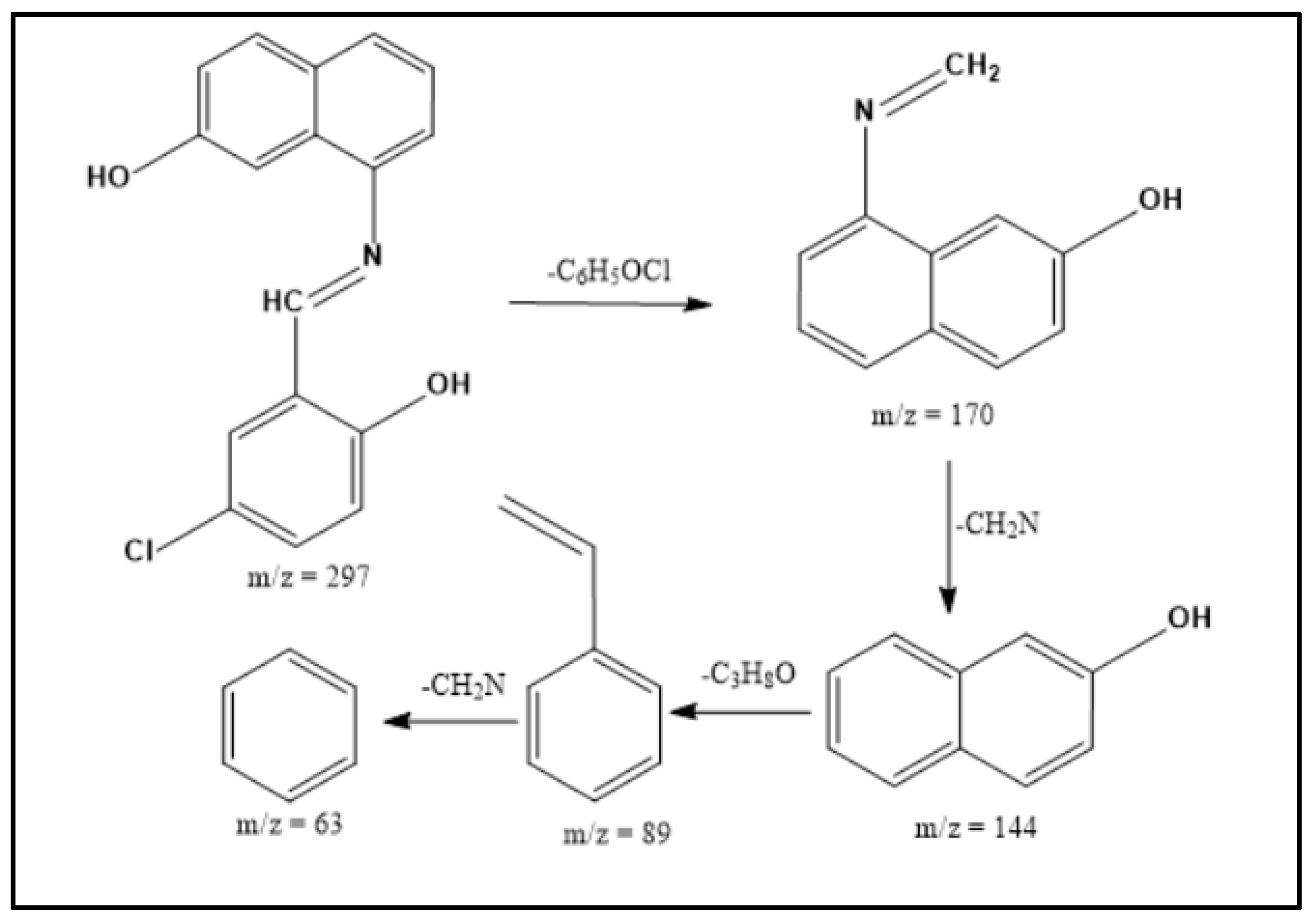
2.3. Mass Spectra
2.4. Electronic Spectra
2.5. Powder XRD Studies
2.6. The pH Stability Range of the New Complexes
2.7. DFT Study
- Molecular DFT calculation of ligand (HL):
- Molecular DFT calculation of [CuLNO3(H2O)3] and [ZnLNO3(H2O)3] complexes:
- Molecular DFT calculation of [CrL(NO3)2(H2O)2] and [LaL(NO3)2(H2O)2] complexes:
- Molecular DFT calculation of [VOL(H2O)OEt] complex:
2.8. Microbiological Studies
Antibacterial Study
2.9. DNA Binding Study
2.9.1. Absorption Titration
2.9.2. Viscosity Studies
2.9.3. Gel Electrophoresis
2.10. Free Radical Scavenging Activity
2.11. In Vitro Anti-Inflammatory Activity
2.12. Molecular Docking Study
- Docking on Candida albicans oxidoreductase/oxidoreducatse inhibitor (PDB ID: 5V5Z).
2.13. Photocatalytic Degradation of MB
2.13.1. Effect of pH on the Degradation of MB
2.13.2. Effect of the Amount of Catalyst and Recyclability
2.13.3. Photocatalytic Mechanism
3. Experimental
3.1. Chemicals
3.2. Physical Measurements
3.3. Synthesis of Schiff Base Ligand
3.4. Synthesis of Schiff Base Metal Complexes
3.5. Antimicrobial Activity
3.6. DNA Interaction Studies
3.6.1. Absorption Studies
3.6.2. Viscosity Studies
3.6.3. Gel Electrophoresis Studies
3.7. Free Radical Scavenging Activity
3.8. Anti-Inflammatory Activity
3.9. Molecular Docking
3.10. Photocatalytic Degradation of MB
4. Conclusions
Supplementary Materials
Author Contributions
Funding
Data Availability Statement
Acknowledgments
Conflicts of Interest
Sample Availability
References
- Abd El-Halim, H.F.A.; Mohamed, G.G.; Khalil, E.A. Synthesis, spectral, thermal and biological studies of mixed ligand complexes with newly prepared Schiff base and 1,10-phenanthroline ligands. J. Mol. Struct. 2017, 1146, 153–163. [Google Scholar] [CrossRef]
- Mohamed, R.G.; Elantabli, F.M.; Helal, N.H.; El-Medani, S.M. New group 6 metal carbonyl complexes with 4,5-dimethyl-N,N-bis(pyridine-2-yl-methylene)benzene-1,2-diimine Schiff base: Synthesis, spectral, cyclic voltammetry and biological activity studies. Spectrochim. Acta Part A Mol. Biomol. Spectrosc. 2015, 141, 316–326. [Google Scholar] [CrossRef]
- Ali, O.A.M. Palladium(II) and zinc(II) complexes of neutral [N2O2] donor Schiff bases derived from furfuraldehyde: Synthesis, characterization, fluorescence and corrosion inhibitors of ligands. Spectrochim. Acta Part A Mol. Biomol. Spectrosc. 2014, 132, 52–60. [Google Scholar] [CrossRef]
- Nasrin, D.; Alam, M.A.; Hossain, M.N.; Nazimuddin, M. Synthesis, Characterization and Antimicrobial Activity of Metal Complexes of Schiff ’ s Base Derived from S-benzyldithiocarbazate with 2-hydroxyacetophenone. Chem. J. 2013, 3, 13–19. [Google Scholar]
- Sherif, O.E.; Abdel-Kader, N.S. Spectroscopic and biological activities studies of bivalent transition metal complexes of Schiff bases derived from condensation of 1,4-phenylenediamine and benzopyrone derivatives. Spectrochim. Acta Part A Mol. Biomol. Spectrosc. 2014, 117, 519–526. [Google Scholar] [CrossRef] [PubMed]
- Hanif, M.; Chohan, Z.H. Design, spectral characterization and biological studies of transition metal(II) complexes with triazole Schiff bases. Spectrochim. Acta Part A Mol. Biomol. Spectrosc. 2013, 104, 468–476. [Google Scholar] [CrossRef] [PubMed]
- Abdel-Rahman, L.H.; Adam, M.S.S.; Al-Zaqri, N.; Shehata, M.R.; Ahmed, H.E.-S.; Mohamed, S.K. Synthesis, characterization, biological and docking studies of ZrO (II), VO (II) and Zn (II) complexes of a halogenated tetra-dentate Schiff base. Arab. J. Chem. 2022, 15, 103737. [Google Scholar] [CrossRef]
- Drozdzak, R.; Allaert, B.; Ledoux, N.; Dragutan, I.; Dragutan, V.; Verpoort, F. Ruthenium complexes bearing bidentate Schiff base ligands as efficient catalysts for organic and polymer syntheses. Coord. Chem. Rev. 2005, 249, 3055–3074. [Google Scholar] [CrossRef]
- Ismael, M.; Abdel-Mawgoud, A.-M.M.; Rabia, M.K.; Abdou, A. Design and synthesis of three Fe(III) mixed-ligand complexes: Exploration of their biological and phenoxazinone synthase-like activities. Inorg. Chim. Acta 2020, 505, 119443. [Google Scholar] [CrossRef]
- Abdel-Rahman, L.H.; El-Khatib, R.M.; Nassr, L.A.; Abu-Dief, A.M. Synthesis, physicochemical studies, embryos toxicity and DNA interaction of some new Iron(II) Schiff base amino acid complexes. J. Mol. Struct. 2013, 1040, 9–18. [Google Scholar] [CrossRef]
- Abdel-Rahman, L.H.; Basha, M.T.; Al-Farhan, B.S.; Shehata, M.R.; Mohamed, S.K.; Ramli, Y. [Cu (dipicolinoylamide)(NO3)(H2O)] as anti-COVID-19 and antibacterial drug candidate: Design, synthesis, crystal structure, DFT and molecular docking. J. Mol. Struct. 2022, 1247, 131348. [Google Scholar] [CrossRef] [PubMed]
- Abdel-Rahman, L.H.; Basha, M.T.; Al-Farhan, B.S.; Ismael, M. Synthesis, biological assay, chemical descriptors, and molecular docking calculations of novel copper (II) mixed-ligand complexes of n-benzoyl-dl-phenylalanine and n-heterocyclic nitrogen bases. J. Mol. Struct. 2022, 1250, 131854. [Google Scholar] [CrossRef]
- Abdel Rahman, L.H.; Al-Zaqri, N.; Abdelghani, A.A.; Abdalla, E.M. Physicochemical, in vitro therapeutic activity, DNA-binding, and in silico molecular docking studies of samarium (III) complexes bearing N, O-chelated Schiff base ligands. J. Coord. Chem. 2022, 75, 994–1018. [Google Scholar] [CrossRef]
- Elantabli, F.M.; Shehata, M.R.; Makhlouf, A.A.; Abdel-Rahman, L.H. Co(II), Ni(II), and Cu(II) complexes derived from 1,2,4-triazine: Synthesis, characterization, anticancer activity, DFT, and molecular docking studies with a COVID-19 protein receptor. J. Coord. Chem. 2022, 75, 668–688. [Google Scholar] [CrossRef]
- Vujčić, M.; Tufegdžić, S.; Vujcic, Z.; Gasic, M.; Sladic, D. Interactions of the anti-tumor sesquiterpene hydroquinone avarol with DNA in vitro. J. Serb. Chem. Soc. 2007, 72, 1265–1269. [Google Scholar] [CrossRef]
- Wolf, A.; Swift, J.B.; Swinney, H.L.; Vastano, J.A. Determining lyapunov exponents from a time series. Phys. D Nonlinear Phenom. 1985, 16, 285–317. [Google Scholar] [CrossRef]
- Fricker, S.P. The therapeutic application of lanthanides. Chem. Soc. Rev. 2006, 35, 524–533. [Google Scholar] [CrossRef]
- Yadava, H.D.S.; Sengupta, S.K.; Tripathi, S.C. Syntheses and Spectroscopic Studies on Dioxouranium (VI), Oxovanadium (IV) and Oxozirconium (IV) Complexes with Tetradentate Macrocyclic Ligands. Inorg. Chim. Acta 1987, 128, 1–6. [Google Scholar] [CrossRef]
- Ibrahim, K.; Zaky, R.; Gomaa, E.; Yasin, L. Computational simulation and biological studies on 3-(2-(2-hydroxybenzoyl)hydrazono)-N-(pyridine-2-yl)butanamide complexes. J. Mol. Struct. 2015, 1101, 124–138. [Google Scholar] [CrossRef]
- Slassi, S.; Aarjane, M.; Amine, A. New bidentate Schiff base ligands derived from histidine and their metal complexes: Synthesis, structural analysis, antibacterial and antioxidant evaluation. J. Iran. Chem. Soc. 2022, 19, 3117–3125. [Google Scholar] [CrossRef]
- Shelke, V.; Jadhav, S.; Patharkar, V.; Shankarwar, S.; Munde, A.; Chondhekar, T. Synthesis, spectroscopic characterization and thermal studies of some rare earth metal complexes of unsymmetrical tetradentate Schiff base ligand. Arab. J. Chem. 2012, 5, 501–507. [Google Scholar] [CrossRef]
- Abdel-Rahman, L.H.; Abu-Dief, A.M.; Adam, M.S.S.; Hamdan, S.K. Some New Nano-sized Mononuclear Cu(II) Schiff Base Complexes: Design, Characterization, Molecular Modeling and Catalytic Potentials in Benzyl Alcohol Oxidation. Catal. Lett. 2016, 146, 1373–1396. [Google Scholar] [CrossRef]
- Abdel-Rahman, L.H.; Abdelghani, A.A.; AlObaid, A.A.; El-ezz, D.A.; Warad, I.; Shehata, M.R. Novel Bromo and methoxy substituted Schiff base complexes of Mn(II), Fe(III), and Cr(III) for anticancer, antimicrobial, docking, and ADMET studies. Sci Rep. 2023, 13, 3199. [Google Scholar] [CrossRef]
- Joseyphus, R.S.; Nair, M.S. Antibacterial and Antifungal Studies on Some Schiff Base Complexes of Zinc(II) Antibacterial and Antifungal Studies on Some Schiff Base Complexes of Zinc (II). Mycobiology 2008, 36, 93–98. [Google Scholar] [CrossRef]
- Konstantinovi, S.S.; Radovanovi, B.C.; Caki, I. Synthesis and characterization of Co (II), Ni (II), Cu (II) and Zn (II) complexes with 3-salicylidenehydrazono-2-indolinone. JSCS 2003, 68, 641–647. [Google Scholar] [CrossRef]
- Abdel-Rahman, L.H.; Abdel-Mawgoud, A.M.; Mohamed, S.K.; Shehata, M.R.; Abdel-Hameed, M.; El-Remaily, M.A.E.A.A.A. Synthesis, spectroscopic, DFT calculations, antimicrobial, cytotoxicity, and DNA binding studies of novel Cu (II), Ni (II), Zn (II), and VO (II) Schiff base complexes based on ibuprofen. Appl. Organomet. Chem. 2022, 36, e6817. [Google Scholar] [CrossRef]
- Szklarzewicz, J.; Jurowska, A.; Matoga, D.; Kruczała, K.; Kazek, G.; Mordyl, B.; Sapa, J.; Papież, M. Synthesis, coordination properties and biological activity of vanadium complexes with hydrazone Schiff base ligands. Polyhedron 2020, 185, 114589. [Google Scholar] [CrossRef]
- Abdalla, E.M.; Rahman, L.H.A.; Abdelhamid, A.A.; Shehata, M.R.; Alothman, A.A.; Nafady, A. Synthesis, Characterization, Theoretical Studies, and Antimicrobial/Antitumor Potencies of Salen and Salen/Imidazole Complexes of Co (II), Ni (II), Cu (II), Cd (II), Al (III) and La (III). Appl. Organomet. Chem. 2020, 34, e5912. [Google Scholar] [CrossRef]
- Gupta, S.K.; Anjana, C.; Sen, N.; Butcher, R.J.; Jasinski, J.P.; Golen, J.A. An unusual hydroxy-substituted mononuclear nickel(II) complex with a tetradentate Schiff base: Synthesis, spectroscopy, electrochemistry, crystallography, DNA binding, and theoretical investigation. Polyhedron 2015, 89, 219–231. [Google Scholar] [CrossRef]
- Abdel-Fatah, S.M.; Díaz-Sánchez, M.; Díaz-García, D.; Prashar, S.; Abdel-Rahman, L.H.; Gómez-Ruiz, S. Nanostructured Metal Oxides Prepared from Schiff Base Metal Complexes: Study of the Catalytic Activity in Selective Oxidation and C–C Coupling Reactions. J. Inorg. Organomet. Polym. Mater. 2020, 30, 1293–1305. [Google Scholar] [CrossRef]
- Dharmaraj, N.; Viswanathamurthi, P.; Natarajan, K. Ruthenium(II) complexes containing bidentate Schiff bases and their antifungal activity. Transit. Met. Chem. 2001, 26, 105–109. [Google Scholar] [CrossRef]
- Sengupta, S.K.; Pandey, O.P.; Srivastava, B.K.; Sharma, V.K. Synthesis, structural and biochemical aspects of titanocene and zirconocene chelates of acetylferrocenyl thiosemicarbazones. Transit. Met. Chem. 1998, 23, 349–353. [Google Scholar] [CrossRef]
- Mahmoud, W.H.; Deghadi, R.G.; El Desssouky, M.M.; Mohamed, G.G. Transition metal complexes of nano bidentate organometallic Schiff base: Preparation, structure characterization, biological activity, DFT and molecular docking studies. Appl. Organomet. Chem. 2019, 33, e4556. [Google Scholar] [CrossRef]
- El-Sonbati, A.; Mahmoud, W.; Mohamed, G.G.; Diab, M.; Morgan, S.; Abbas, S. Synthesis, characterization of Schiff base metal complexes and their biological investigation. Appl. Organomet. Chem. 2019, 33, e5048. [Google Scholar] [CrossRef]
- Basha, M.T.; Alghanmi, R.M.; Soliman, S.M.; Abdel-Rahman, L.H.; Shehata, M.R.; Alharby, W.J. Synthesis, spectroscopic characterizations, biological activity, DNA-binding investigation combined with DFT studies of new proton-transfer complexes of 2,4-diaminopyrimidine with 2,6-dichloro-4-nitrophenol and 3,5-dinitrosalicylic acid. J. Mol. Liq. 2022, 350, 118508. [Google Scholar] [CrossRef]
- Abdel-Rahman, L.H.; El-Khatib, R.M.; Nassr, L.A.; Abu-Dief, A.M.; Lashin, F.E.-D. Design, characterization, teratogenicity testing, antibacterial, antifungal and DNA interaction of few high spin Fe(II) Schiff base amino acid complexes. Spectrochim. Acta Part A Mol. Biomol. Spectrosc. 2013, 111, 266–276. [Google Scholar] [CrossRef]
- Salomanravi, A.; Asha, R.N.; Veeraputhiran, V.; Muthuselvan, P. Novel Co(II) Ni(II) and Cu(II) complexes of tridentate ons donor schiff base ligands: Synthesis, characterization, DNA cleavage, molecular docking, antioxidant and antimicrobial studies. J. Adv. Sci. Res. 2022, 13, 167–176. [Google Scholar] [CrossRef]
- Bengi, K.; Maddikayala, S.; Pulimamidi, S.R. DNA binding, cleavage, docking, biological and kinetic studies of Cr(III), Fe(III), Co(II) and Cu(II) complexes with ortho-vanillin Schiff base derivative. Appl. Organomet. Chem. 2022, 36, e6451. [Google Scholar] [CrossRef]
- Abou El-ezz, D.; Abdel-Rahman, L.H.; Al-Farhan, B.S.; Mostafa, D.A.; Ayad, E.G.; Basha, M.T.; Abdelaziz, M.; Abdalla, E.M. Enhanced In Vivo Wound Healing Efficacy of a Novel Hydrogel Loaded with Copper (II) Schiff Base Quinoline Complex (CuSQ) Solid Lipid Nanoparticles. Pharmaceuticals 2022, 15, 978. [Google Scholar] [CrossRef]
- Al-Farhan, B.S.; Basha, M.T.; Abdel Rahman, L.H.; El-Saghier, A.M.; Abou El-Ezz, D.; Marzouk, A.A.; Shehata, M.R.; Abdalla, E.M. Synthesis, DFT Calculations, Antiproliferative, Bactericidal Activity and Molecular Docking of Novel Mixed-Ligand Salen/8-Hydroxyquinoline Metal Complexes. Molecules 2021, 26, 4725. [Google Scholar] [CrossRef]
- Panja, A.; Shyamal, M.; Saha, A.; Mandal, T.K. Methylene bridge regulated geometrical preferences of ligands in cobalt(III) coordination chemistry and phenoxazinone synthase mimicking activity. Dalton Trans. 2014, 43, 5443–5452. [Google Scholar] [CrossRef] [PubMed]
- Abdel-Rahman, L.H.; Basha, M.T.; Al-Farhan, B.S.; Shehata, M.R.; Abdalla, E.M. Synthesis, characterization, potential antimicrobial, antioxidant, anticancer, DNA binding, and molecular docking activities and DFT on novel Co (II), Ni (II), VO (II), Cr (III), and La (III) Schiff base complexes. Appl. Organomet. Chem. 2022, 36, e6484. [Google Scholar] [CrossRef]
- Tangestaninejad, S.; Moghadam, M.; Mirkhani, V.; Mohammadpoor-Baltork, I.; Ghani, K. Alkene epoxidation catalyzed by molybdenum supported on functionalized MCM-41 containing N–S chelating Schiff base ligand. Catal. Commun. 2009, 10, 853–858. [Google Scholar] [CrossRef]
- Sehajpal, S.; Prasad, D.N.; Singh, R. Novel ketoprofen–antioxidants mutual codrugs as safer nonsteroidal anti-inflammatory drugs: Synthesis, kinetic and pharmacological evaluation. Arch. Pharm. 2019, 352, e1800339. [Google Scholar] [CrossRef]
- Kraehmer, V.; Rehder, D. Modelling the site of bromide binding in vanadate-dependent bromoperoxidases. Dalton Trans. 2012, 41, 5225–5234. [Google Scholar] [CrossRef]
- Kaczmarek, M.T.; Zabiszak, M.; Nowak, M.; Jastrzab, R. Lanthanides: Schiff base complexes, applications in cancer diagnosis, therapy, and antibacterial activity. Coord. Chem. Rev. 2018, 370, 42–54. [Google Scholar] [CrossRef]
- Guerra, F.; Bindoli, A. Lanthanum Ion As a Probe of Biological Systems. In Handbook on the Physics and Chemistry of Rare Earths; Elsevier: Amsterdam, The Netherlands, 2000; Volume 28, pp. 125–194. [Google Scholar]
- Wang, X.-L.; Luan, J.; Lin, H.-Y.; Lu, Q.-L.; Le, M.; Liu, G.-C. Assembly, structures and properties of four Cu (II) coordination polymers based on a semi-rigid bis-pyridyl-bis-amide ligand and different polycarboxylates. J. Mol. Struct. 2014, 1074, 441–448. [Google Scholar] [CrossRef]
- Wu, Y.-P.; Li, D.-S.; Duan, Y.-P.; Bai, L.; Zhao, J. Two new Cu (II) complexes constructed by mixed-organic tectonics: Structures, magnetic properties and photocatalytic degradation of organic dyes. Inorg. Chem. Commun. 2013, 36, 137–140. [Google Scholar] [CrossRef]

























| Compound | M. Wt. | Color | M. P. | ΛM Ω−1 cm2 mol−1 | N% | H% | C% |
|---|---|---|---|---|---|---|---|
| HL | 297.74 | Orange-red | 180 | - | 4.70 (4.51) | 4.06 (4.55) | 68.58 (68.3) |
| VOL | 426.68 | Dark green | >300 | 9.62 | 6.31 (2.97) | 2.95 (3.97) | 46.0 (47.3) |
| CrL | 508.74 | Deep green | >300 | 12.76 | 8.26 (9.12) | 2.97 (5.59) | 40.0 (41.54) |
| CuL | 488.24 | Black | >300 | 15.30 | 5.70 (5.86) | 4.10 (4.34) | 44.01 (44.20) |
| LaL | 595.67 | Dark brown | >300 | 11.20 | 7.05 (7.45) | 2.54 (2.76) | 34.28 (35.00) |
| ZnL | 472.12 | Brown | >300 | 19.30 | 5.86 (5.76) | 4.09 (4.04) | 43.83 (43.50) |
| Compounds | v(OH)/H2O | v(C=N) | v(C-O) | v(NO3) | v(H2O)Coor. | v(M-O) | v(M-N) |
|---|---|---|---|---|---|---|---|
| HL | 3299 | 1658 | 1241 | — | — | — | |
| CuL | 3444 | 1597 | 1256 | 1372 | 947 | 591 | 442 |
| ZnL | 3327 | 1614 | 1237 | 1381 | 974 | 573 | 457 |
| VOL | 3384 | 1611 | 1272 | 1364 | 971 | 596 | 459 |
| CrL | 3381 | 1608 | 1239 | 1375 | 943 | 659 | 432 |
| LaL | 3385 | 1622 | 1244 | 1382 | 974 | 570 | 456 |
| Imine Ligand and Its Complexes | λmax (nm) | ε (dm3 mol−1 mm−1) | Assignment |
|---|---|---|---|
| HL | 287 | 1890 | π→π* |
| 334 | 1630 | n→π* | |
| ZnL | 289 | 1410 | π→π* |
| 360 | 1220 | n→π* | |
| 484 | 1440 | LMCT band | |
| VOL | 289 | 1490 | π→π* |
| 360 | 1290 | n→π* | |
| 486 | 1650 | LMCT band | |
| 532 | 1470 | d-d band | |
| CrL | 288 | 1680 | π→π* |
| 353 | 150 | n→π* | |
| 430 | 1730 | LMCT band | |
| 535 | 1770 | d-d band | |
| CuL | 288 | 1640 | π→π* |
| 355 | 1450 | n→π* | |
| 488 | 1910 | LMCT band | |
| 550 | 1890 | d-d band | |
| LaL | 288 | 1680 | π→π* |
| 359 | 1500 | n→π* | |
| 430 | 1740 | Intra-ligand band | |
| 490 | 1250 | LMCT band |
| Bond Lengths of [CuLNO3(H2O)3] | Bond Lengths of [ZnLNO3(H2O)3] | ||
|---|---|---|---|
| Cu-N1 = 2.006 | Cu-O3 = 2.096 | Zn-N1 = 2.219 | Zn-O3 = 2.112 |
| Cu-O1 = 1.931 | Cu-O4 = 2.080 | Zn-O1 = 2.013 | Zn-O4 = 2.102 |
| Cu-O7 = 2.466 | Cu-O8 = 2.322 | Zn-O7 = 2.247 | Zn-O8 = 2.237 |
| Bond Angles of [CuLNO3(H2O)3] | Bond Angles of [ZnL(H2O)3NO3] | ||
| N1-Cu-O1 = 93.70 | O8-Cu-N1 = 104.8 | N1-Zn-O1 = 87.48 | O8-Zn-N1 = 100.1 |
| N1-Cu-O3 = 95.38 | O8-Cu-O1 = 93.71 | N1-Zn-O3 = 95.51 | O8-Zn-O1 = 92.75 |
| O1-Cu-O4 = 83.15 | O8-Cu-O3 = 88.42 | O1-Zn-O4 = 83.85 | O8-Zn-O3 = 87.00 |
| O3-Cu-O4 = 86.99 | O8-Cu-O4 = 81.18 | O3-Zn-O4 = 93.14 | O8-Zn-O4 = 85.90 |
| O7-Cu-N1 = 92.73 | N1-Cu-O4 = 169.8 | O7-Zn-N1 = 89.38 | N1-Zn-O4 = 169.65 |
| O7-Cu-O1 = 100.3 | O1-Cu-O3 = 169.5 | O7-Zn-O1 = 98.69 | O1-Zn-O2 = 177.0 |
| O7-Cu-O3 = 73.93 | O7-Cu-O8 = 165.9 | O7-Zn-O3 = 81.10 | O7-Zn-O8 = 165.9 |
| O7-Cu-O4 = 78.31 | O1-N1-O3-O4 = 3.620 * | O7-Zn-O4 = 86.37 | O1-N1-O3-O4 = 3.698 * |
| Bond Lengths of [CrL(NO3)2(H2O)2] | Bond Lengths of [LaL(NO3)2(H2O)2] | ||
|---|---|---|---|
| Cr-N1 = 2.003 | Cr-O3 = 2.085 | La-N1 = 2.645 | La-O3 = 2.636 |
| Cr-O1 = 1.877 | Cr-O4 = 2.063 | La-O1 = 2.235 | La-O4 = 2.474 |
| Cr-O5 = 1.993 | Cr-O8 = 2.019 | La-O5 = 2.359 | La-O6 = 2.427 |
| Bond Angles of [CrL(NO3)2(H2O)2] | Bond Angles of [LaL(NO3)2(H2O)2] | ||
| N1-Cr-O1 = 90.58 | O6-Cr-N1 = 93.12 | N1-La-O1 = 70.09 | O6-La-N1 = 102.1 |
| N1-Cr-O3 = 94.01 | O6-Cr-O1 = 95.18 | N1-La-O3 = 89.62 | O6-La-O1 = 98.64 |
| O1-Cr-O4 = 83.15 | O6-Cr-O3 = 85.11 | O1-La-O4 = 94.69 | O6-La-O3 = 102.2 |
| O3-Cr-O4 = 87.63 | O6-Cr-O4 = 91.25 | O3-La-O4 = 96.09 | O6-La-O4 = 76.89 |
| O5-Cr-N1 = 86.13 | N1-Cr-O4 = 175.4 | O5-La-N1 = 99.8 | N1-La-O4 = 171.2 |
| O5-Cr-O1 = 92.68 | O1-Cr-O3 = 175.4 | O5-La-O1 = 88.68 | O1-La-O3 = 153.6 |
| O5-Cr-O3 = 87.09 | O5-Cr-O9 = 172.1 | O5-La-O3 = 81.15 | O5-La-O6 = 151.7 |
| O5-Cr-O4 = 89.70 | O1-N1-O3-O4 = 2.692 * | O5-La-O4 = 84.39 | O1-N1-O3-O4 = −7.102 * |
| Bond Lengths of [VOL(H2O)OEt] | Bond Angles of [VOL(H2O)OEt] | ||
|---|---|---|---|
| V-N = 2.096 | V-O4 = 2.148 | N-V-O1 = 88.39 | O5-V-N = 98.80 |
| V-O1 = 1.946 | V = O5 = 1.619 | N-V-O3 = 90.69 | O5-V-O1 = 117.4 |
| V-O3 = 1.821 | O1-V-O4 = 75.90 | O5-V-O3 = 119.9 | |
| O3-V-O4 = 91.70 | O5-V-O4 = 94.78 | ||
| Property | HL | CuL | ZnL | CrL | LaL | VOL |
|---|---|---|---|---|---|---|
| E (a.u.) | −1320.698 | −2025.642 | −1895.130 | −2120.412 | −2469.228 | −1697.446 |
| HOMO (eV) | −5.8812 | −6.0412 | −5.7705 | −6.4853 | −6.4886 | −5.6687 |
| LUMO (eV) | −2.1415 | −3.4599 | −2.0836 | −3.4090 | −2.8474 | −2.3756 |
| Eg (eV) | 3.7397 | 2.5813 | 3.6869 | 3.0763 | 3.6412 | 3.2931 |
| Dipole moment (Debye) | 4.8667 | 4.0548 | 3.2068 | 9.8112 | 9.0395 | 3.0716 |
| I = −EHOMO | 5.8812 | 6.0412 | 5.7705 | 6.4853 | 6.4886 | 5.6687 |
| A = −ELUMO | 2.1415 | 3.4599 | 2.0836 | 3.409 | 2.8474 | 2.3756 |
| χ = (I + A)/2 | 4.0114 | 4.7506 | 3.9271 | 4.9472 | 4.668 | 4.0222 |
| η = (I − A)/2 | 1.8699 | 1.29065 | 1.8435 | 1.5382 | 1.8206 | 1.6466 |
| S = 1/2η | 0.2674 | 0.3875 | 0.2712 | 0.3251 | 0.2746 | 0.3037 |
| μ = −χ | −4.0113 | −4.7506 | −3.9271 | −4.9472 | −4.668 | −4.0222 |
| ω = μ2/2η | 4.3027 | 8.7428 | 4.1828 | 7.9558 | 5.9845 | 4.9126 |
| Complex | λ max Free (nm) | λ max Bound (nm) | ∆n | Chromism (%) a | Type of Chromism | Kb × 105 (mol−1dm−3) | ∆G (k J mol−1) |
|---|---|---|---|---|---|---|---|
| HL | 287 | 290 | −2 | 22 | Hypo | ||
| 334 | 336 | −2 | 21 | ||||
| 359 | 354 | 5 | 24 | 2.2 | −30.5 | ||
| 429 | 443 | −4 | 17 | ||||
| 493 | 482 | 9 | −3.3 | ||||
| ZnL | 289 | 291 | −2 | 22 | |||
| 360 | 362 | −2 | 26 | ||||
| 396 | 399 | −3 | 31 | Hypo | 7.3 | −33.5 | |
| 431 | 434 | −3 | 24 | ||||
| 484 | 489 | −5 | 19 | ||||
| 523 | 529 | −6 | 13 | ||||
| VOL | 289 | 292 | −3 | 8 | |||
| 334 | 336 | −2 | 9 | ||||
| 360 | 352 | 8 | 10 | Hypo | −32.9 | ||
| 398 | 400 | −2 | 15 | 6 | |||
| 430 | 441 | −11 | 6 | ||||
| 486 | 484 | 2 | 18 | ||||
| 525 | 523 | 2 | 23 | ||||
| CrL | 288 | 290 | −2 | 6 | |||
| 333 | 335 | −2 | 7 | ||||
| 353 | 350 | 3 | 7 | Hypo | 4.4 | −32.2 | |
| 397 | 399 | −2 | 6 | ||||
| 484 | 488 | −4 | 31 | ||||
| CuL | 288 | 289 | −1 | 30 | |||
| 355 | 351 | 4 | 35 | Hypo | 5.4 | −32.7 | |
| 430 | 432 | −2 | 31 | ||||
| 488 | 485 | 3 | 40 | ||||
| 532 | 524 | 8 | 49 | ||||
| LaL | 288 | 290 | −1 | 15 | |||
| 334 | 332 | 2 | 17 | Hypo | 6.7 | −33.3 | |
| 359 | 361 | −2 | 16 | ||||
| 398 | 399 | −2 | 14 | ||||
| 430 | 432 | −2 | 11 | ||||
| 490 | 486 | 4 | −43 | ||||
| 535 | 523 | 12 | −63 |
| Receptor | Interaction | Distance (Å) * | E (kcal/mol) | |
|---|---|---|---|---|
| HL | ||||
| O 18 | O MET 508 | H-donor | 2.81 (2.09) | −1.5 |
| [CuLNO3(H2O)3] | ||||
| O 35 | O ARG 44 | H-donor | 3.70 (2.73) | −0.6 |
| O 41 | O SER 42 | H-donor | 2.67 (1.87) | −17.5 |
| 6−ring | CA LEU 43 | pi-H | 4.08 | −0.6 |
| [ZnL(NO3)(H2O)3] | ||||
| O 35 | OD1 ASP 225 | H-donor | 2.60 (1.59) | −26.8 |
| O 44 | OD1 ASP 225 | H-donor | 2.77 (1.82) | −7.8 |
| O 44 | OD2 ASP 225 | H-donor | 2.79 (1.97) | −2.8 |
| C l22 | O HIS 310 | H-donor | 3.14 | −0.6 |
| O 35 | OD1 ASP 225 | Ionic | 2.60 | −7.8 |
| O 44 | OD1 ASP 225 | Ionic | 2.77 | −6.2 |
| O 44 | OD2 ASP 225 | Ionic | 2.79 | −6.0 |
| [CrL(NO3)2(H2O)2] | ||||
| O 34 | OD2 ASP 173 | H-donor | 2.85 (1.96) | −23.4 |
| O 35 | OE2 GLU 174 | H-donor | 2.64 (1.98) | −4.4 |
| Cl 22 | NZ LYS 177 | H-acceptor | 3.40 | −0.8 |
| O 34 | OD2 ASP 173 | Ionic | 2.85 | −5.5 |
| O 34 | OE1 GLU 194 | Ionic | 2.91 | −5.1 |
| O 35 | OD2 ASP 173 | Ionic | 2.90 | −5.2 |
| O 35 | OE1 GLU 174 | Ionic | 3.70 | −1.2 |
| O 35 | OE2 GLU 174 | Ionic | 2.64 | −7.4 |
| [LaL(NO3)2(H2O)2] | ||||
| O 21 | O SER 442 | H-donor | 3.00 (2.02) | −3.0 |
| O 34 | OE1 GLU 444 | H-donor | 3.27 (2.39) | −2.0 |
| [VOL(H2O)OEt] | ||||
| O 34 | NZ LYS 382 | H-acceptor | 3.01 (2.02) | −21.5 |
Disclaimer/Publisher’s Note: The statements, opinions and data contained in all publications are solely those of the individual author(s) and contributor(s) and not of MDPI and/or the editor(s). MDPI and/or the editor(s) disclaim responsibility for any injury to people or property resulting from any ideas, methods, instructions or products referred to in the content. |
© 2023 by the authors. Licensee MDPI, Basel, Switzerland. This article is an open access article distributed under the terms and conditions of the Creative Commons Attribution (CC BY) license (https://creativecommons.org/licenses/by/4.0/).
Share and Cite
Abdel-Rahman, L.H.; Basha, M.T.; Al-Farhan, B.S.; Alharbi, W.; Shehata, M.R.; Al Zamil, N.O.; Abou El-ezz, D. Synthesis, Characterization, DFT Studies of Novel Cu(II), Zn(II), VO(II), Cr(III), and La(III) Chloro-Substituted Schiff Base Complexes: Aspects of Its Antimicrobial, Antioxidant, Anti-Inflammatory, and Photodegradation of Methylene Blue. Molecules 2023, 28, 4777. https://doi.org/10.3390/molecules28124777
Abdel-Rahman LH, Basha MT, Al-Farhan BS, Alharbi W, Shehata MR, Al Zamil NO, Abou El-ezz D. Synthesis, Characterization, DFT Studies of Novel Cu(II), Zn(II), VO(II), Cr(III), and La(III) Chloro-Substituted Schiff Base Complexes: Aspects of Its Antimicrobial, Antioxidant, Anti-Inflammatory, and Photodegradation of Methylene Blue. Molecules. 2023; 28(12):4777. https://doi.org/10.3390/molecules28124777
Chicago/Turabian StyleAbdel-Rahman, Laila H., Maram T. Basha, Badriah Saad Al-Farhan, Walaa Alharbi, Mohamed R. Shehata, Noura O. Al Zamil, and Doaa Abou El-ezz. 2023. "Synthesis, Characterization, DFT Studies of Novel Cu(II), Zn(II), VO(II), Cr(III), and La(III) Chloro-Substituted Schiff Base Complexes: Aspects of Its Antimicrobial, Antioxidant, Anti-Inflammatory, and Photodegradation of Methylene Blue" Molecules 28, no. 12: 4777. https://doi.org/10.3390/molecules28124777
APA StyleAbdel-Rahman, L. H., Basha, M. T., Al-Farhan, B. S., Alharbi, W., Shehata, M. R., Al Zamil, N. O., & Abou El-ezz, D. (2023). Synthesis, Characterization, DFT Studies of Novel Cu(II), Zn(II), VO(II), Cr(III), and La(III) Chloro-Substituted Schiff Base Complexes: Aspects of Its Antimicrobial, Antioxidant, Anti-Inflammatory, and Photodegradation of Methylene Blue. Molecules, 28(12), 4777. https://doi.org/10.3390/molecules28124777

