Mechanisms of Sulfoxidation and Epoxidation Mediated by Iron(III)-Iodosylbenzene Adduct: Electron-Transfer vs. Oxygen-Transfer Mechanism
Abstract
1. Introduction
2. Results
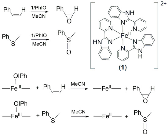
2.1. Catalytic Sulfoxidation Reaction Mediated by In Situ Generated Iron(III)-Iodosylbenzene Adduct
2.2. Stoichiometric Sulfoxidation Reaction Mediated by In Situ Generated Iron(III)-Iodosylbenzene Adduct
2.3. Catalytic Epoxidation Reaction Mediated by In Situ Generated Iron(III)-Iodosylbenzene Adduct
2.4. Stoichiometric Epoxidation Reaction Mediated by In Situ Generated Iron(III)-Iodosylbenzene Adduct
3. Experimental
3.1. Materials and Methods
3.2. Reactivity Studies and Product Analysis
4. Conclusions
Author Contributions
Funding
Institutional Review Board Statement
Data Availability Statement
Acknowledgments
Conflicts of Interest
Sample Availability
References
- Lakk-Bogáth, D.; Kripli, B.; Meena, B.I.; Speier, G.; Kaizer, J. Catalytic and stoichiometric oxidation of N,N-dimethylanilines mediated by nonheme oxoiron(IV) complex with tetrapyridyl ligand. Polyhedron 2019, 169, 169–175. [Google Scholar] [CrossRef]
- Nehru, K.; Seo, M.S.; Kim, J.; Nam, W. Oxidative N-Dealkylation Reactions by Oxoiron(IV) Complexes of Nonheme and Heme Ligands. Inorg. Chem. 2007, 46, 293–298. [Google Scholar] [CrossRef] [PubMed]
- Nam, W. Dioxygen Activation by Metalloenzymes and Models. Acc. Chem. Res. 2007, 40, 465. [Google Scholar] [CrossRef]
- Nam, W. High-valent Iron(IV)-Oxo Complexes of Heme and Non-Heme Ligands in Oxygenation Reactions. Acc. Chem. Res. 2007, 40, 522–531. [Google Scholar] [CrossRef] [PubMed]
- McDonald, A.R.; Que, L., Jr. High-valent nonheme iron-oxo complexes: Synthesis, structure, and spectroscopy. Coord. Chem. Rev. 2013, 257, 414–428. [Google Scholar] [CrossRef]
- Kaizer, J.; Klinker, E.J.; Oh, N.Y.; Rohde, J.U.; Song, W.J.; Stubna, A.; Kim, J.; Munck, E.; Nam, W.; Que, L., Jr. Nonheme FeIVO Complexes That Can Oxidize the C-H Bonds of Cyclohexane at Room Temperature. J. Am. Chem. Soc. 2004, 126, 472–473. [Google Scholar] [CrossRef]
- Klinker, E.J.; Kaizer, J.; Brennessel, W.W.; Woodrum, N.L.; Cramer, C.J.; Que, L., Jr. Structures of Nonheme Oxoiron(IV) Complexes from X-ray Crystallography, NMR Spectroscopy, and DFT Calculations. Angew. Chem. Int. Ed. 2005, 44, 3690–3694. [Google Scholar] [CrossRef]
- Nam, W.; Lee, Y.-M.; Fukuzumi, S. Tuning Reactivity and Mechanism in Oxidation Reactions by Mononuclear Nonheme Iron(IV)-Oxo Complexes. Acc. Chem. Res. 2014, 47, 1146–1154. [Google Scholar] [CrossRef]
- Turcas, R.; Lakk-Bogáth, D.; Speier, G.; Kaizer, J. Steric control and the mechanism of benzaldehyde oxidation by polypyridyl oxoiron(iv) complexes: Aromatic versus benzylic hydroxylation of aromatic aldehydes. Dalton. Trans. 2018, 47, 3248–3252. [Google Scholar] [CrossRef]
- Turcas, R.; Kripli, B.; Attia, A.A.A.; Lakk-Bogáth, D.; Speier, G.; Giorgi, M.; Silaghi-Dumitrescu, R.; Kaizer, J. Catalytic and stoichiometric flavanone oxidation mediated by nonheme oxoiron(IV) complexes as flavone synthase mimics: Kinetic, mechanistic and computational studies. Dalton. Trans. 2018, 47, 14416–14420. [Google Scholar] [CrossRef]
- Oloo, W.N.; Que, L., Jr. Bioinspired Nonheme Iron Catalysts for C–H and C═C Bond Oxidation: Insights into the Nature of the Metal-Based Oxidants. Acc. Chem. Res. 2015, 48, 2612–2621. [Google Scholar] [CrossRef]
- Lakk-Bogáth, D.; Csonka, R.; Speier, G.; Reglier, M.; Simaan, A.J.; Naubron, J.V.; Giorgi, M.; Lazar, K.; Kaizer, J. Oxoiron(IV) Complex Derived from Chiral Pentadentate Ligand asN4Py. Inorg. Chem. 2016, 55, 10090–10093. [Google Scholar] [CrossRef]
- Fung, W.-H.; Yu, W.-Y.; Che, C.-M. Mechanistic Investigation of the Oxidation of Aromatic Alkenes by Monooxoruthenium(IV). Asymmetric Alkene Epoxidation by Chiral Monooxoruthenium(IV) Complexes. J. Org. Chem. 1998, 63, 7715. [Google Scholar] [CrossRef]
- Groves, J.T.; Watanabe, Y. The mechanism of olefin epoxidation by oxo-iron porphyrins. Direct observation of an intermediate. J. Am. Chem. Soc. 1986, 108, 507–508. [Google Scholar] [CrossRef] [PubMed]
- Lakk-Bogáth, D.; Szávuly, M.; Török, P.; Kaizer, J. Catalytic and Stoichiometric Baeyer-Villiger Oxidation Mediated by Nonheme Peroxi-Diiron(III), Acylperoxo, and Iodosylbenzene Iron(III) Intermediates. Molecules 2022, 27, 2814. [Google Scholar] [CrossRef]
- Wang, B.; Lee, Y.M.; Seo, M.S.; Nam, W. Mononuclear Nonheme Iron(III)-Iodosylarene and High-Valent Iron-Oxo Complexes in Olefin Epoxidation Reactions. Angew. Chem. Int. Ed. 2015, 127, 11906–11910. [Google Scholar] [CrossRef]
- Wang, C.; Kurahashi, T.; Inomata, K.; Hada, M.; Fujii, H. Oxygen-Atom Transfer from Iodosylarene Adducts of a Manganese(IV) Salen Complex: Effect of Arenes and Anions on I(III) of the Coordinated Iodosylarene. Inorg. Chem. 2013, 52, 9557–9566. [Google Scholar] [CrossRef]
- Lennartson, A.; McKenzie, C.J. An Iron(III) Iodosylbenzene Complex: A Masked Non-Heme FeVO. Angew. Chem. 2012, 124, 6871–6874. [Google Scholar] [CrossRef]
- Hong, S.; Wang, B.; Seo, M.S.; Lee, Y.-M.; Kim, M.J.; Kim, H.R.; Ogura, T.; Garcia-Serres, R.; Clemancey, M.; Latour, J.-M.; et al. Highly Reactive Nonheme Iron(III) Iodosylarene Complexes in Alkane Hydroxylation and Sulfoxidation Reactions. Angew. Chem. Int. Ed. 2014, 53, 6388–6392. [Google Scholar] [CrossRef]
- Guo, M.; Dong, H.; Li, J.; Cheng, B.; Huang, Y.-Q.; Feng, Y.-Q.; Lei, A. Spectroscopic Observation of Iodosylarene Metalloporphyrin Adducts and Manganese(V)-Oxo Porphyrin Species in a Cytochrome P450 Analogue. Nat. Commun. 2012, 3, 1190. [Google Scholar] [CrossRef]
- Guo, M.; Lee, Y.-M.; Fukuzumi, S.; Nam, W. Biomimetic metal-oxidant adducts as active oxidants in oxidation reactions. Coord. Chem. Rev. 2021, 435, 213807. [Google Scholar] [CrossRef]
- Nam, W.; Choi, S.K.; Lim, M.H.; Rohde, J.-U.; Kim, I.; Kim, J.; Kim, C.; Que, L., Jr. Reversible formation of iodosylbenzene-iron porphyrin intermediates in the reaction of oxoiron(IV) porphyrin pi-cation radicals and iodobenzene. Angew. Chem. Int. Ed. 2003, 42, 109–111. [Google Scholar] [CrossRef] [PubMed]
- Hill, E.A.; Kelty, M.L.; Filatov, A.S.; Anderson, J.S. Isolable iodosylarene and iodoxyarene adducts of Co and their O-atom transfer and C–H activation reactivity. Chem. Sci. 2018, 9, 4493–4499. [Google Scholar] [CrossRef]
- Wang, C.; Kurahashi, T.; Fujii, H. Structure and Reactivity of an Iodosylarene Adduct of a Manganese(IV)-Salen Complex. Angew. Chem. 2012, 124, 7929–7931. [Google Scholar] [CrossRef]
- Guo, M.; Lee, Y.-M.; Seo, M.S.; Kwon, Y.-J.; Li, X.-X.; Ohta, T.; Kim, W.-S.; Sarangi, R.; Fukuzumi, S.; Nam, W. Mn(III)-Iodosylarene Porphyrins as an Active Oxidant in Oxidation Reactions: Synthesis, Characterization, and Reactivity Studies. Inorg. Chem. 2018, 57, 10232–10240. [Google Scholar] [CrossRef] [PubMed]
- Jeong, D.; Ohta, T.; Cho, J.J. Structure and Reactivity of a Mononuclear Nonheme Manganese(III)–Iodosylarene Complex. J. Am. Chem. Soc. 2018, 140, 16037–16041. [Google Scholar] [CrossRef]
- Török, P.; Lakk-Bogáth, D.; Kaizer, J. Stoichiometric Alkane and Aldehyde Hydrtoxylation Reactions Mediated by In Situ Generated Iron(III)-Iodosylbenzene Adduct. Molecules 2023, 28, 1855. [Google Scholar] [CrossRef]
- Pap, J.S.; Draksharapu, A.; Giorgi, M.; Browne, W.R.; Kaizer, J.; Speier, G. Stabilisation of μ-peroxido-bridged Fe(III) intermediates with non-symmetric bidentate N-donor ligands. Chem. Commun. 2014, 50, 1326–1329. [Google Scholar] [CrossRef]
- Kripli, B.; Csendes, V.F.; Török, P.; Speier, G.; Kaizer, J. Stoichiometric Aldehyde Deformylation Mediated by nucleophilic Peroxo-diiron(III) Complex as a Functional Model of Aldehyde Deformylating Oxygenase. Chem.-Eur. J. 2019, 25, 14290–14294. [Google Scholar] [CrossRef]
- Szávuly, M.I.; Surducan, M.; Nagy, E.; Surányi, M.; Speier, G.; Silaghi-Dumitrescu, R.; Kaizer, J. Functional models on nonheme diiron enzymes: Kinetic and computational evidence for the formation of oxoiron(IV) species from peroxo-diiron(III) complexes, and their reactivity towards phenols and H2O2. Dalton Trans. 2016, 45, 14709–14718. [Google Scholar] [CrossRef]
- Goto, J.; Matsui, T.; Ozaki, S.-I.; Watanabe, Y.; Fukuzumi, S. Mechanisms of Sulfoxidation Catalyzed by High-Valent Intermediates of Heme Enzymes: Electron-Transfer vs Oxygen-Transfer Mechanism. J. Am. Chem. Soc. 1999, 121, 9497–9502. [Google Scholar] [CrossRef]
- Lakk-Bogáth, D.; Speier, G.; Kaizer, J. Comparison of the stability and reactivity of achiral versus chiral nonheme oxoiron(IV9 complexes supported by pentadentate N5 ligands in oxygen.atom and hydrogen-atom transfer reactions. Inorg. Chem. Commun. 2019, 107, 107446. [Google Scholar] [CrossRef]
- Wu, Y.-D.; Wong, C.-L.; Chan, K.W.K.; Ji, G.-Z.; Jiang, X.-K. Substituent Effects on the C−H Bond Dissociation Energy of Toluene. A Density Functional Study. J. Org. Chem. 1996, 61, 746–750. [Google Scholar] [CrossRef] [PubMed]
- Meena, B.I.; Lakk-Bogáth, D.; Kripli, B.; Speier, G.; Kaizer, J. Kinetics and mechanism of epoxidation of olefins by chiral tetrapyridyl oxoiron(IV) complex. Polyhedron 2018, 151, 141–145. [Google Scholar] [CrossRef]
- Armarego, W.L.F.; Chai, C.L.L. Purification of Laboratory Chemicals, 6th ed.; Pergamon Press: Oxford, UK, 2009. [Google Scholar]
- Saltzman, H.; Sharefkin, J.G. Organic Syntheses; Wiley: New York, NY, USA, 1973; Collective Volume V, pp. 658–659. [Google Scholar]



















| Entry | 4R-PhSCH3 | Eox vs. SCE (V) | σp | Yield (%) 2 | TON 3 | TOF (h−1) 4 |
|---|---|---|---|---|---|---|
| 1 | H | 1.34 | 0 | 52 (1.8) | 52 | 63 |
| 2 | OMe | 1.13 | −0.27 | 66 (2.3) | 66 | 80 |
| 3 | Me | 1.24 | −0.17 | 60 (2.1) | 60 | 72 |
| 4 | Cl | 1.37 | 0.23 | 37 (1.8) | 37 | 45 |
| 5 | NO2 | 1.70 | 0.78 | 21 (0.0) | 21 | 25 |
| Entry | [1] (mM) | 4R-PhSMe (M) | T (K) | σp (4R) | Eox vs. SCE (V) | Vi (10−6 Ms−1) 1 | kobs’ (10−3 s−1) 2 | k2 (10−3 M−1 s−1) 1 |
|---|---|---|---|---|---|---|---|---|
| 1 | 0.4 | 0.6 | 293 | 0 (H) | 1.34 | 0.46 | 1.12 | 1.90 |
| 2 | 0.6 | 0.6 | 293 | 0 (H) | 1.34 | 0.58 | 0.97 | 1.62 |
| 3 | 0.6 | 0.6 | 293 | 0 (H) | 1.34 | 1.41 3 | ||
| 4 | 0.6 | 0.6 | 293 | 0 (H) | 1.34 | 2.17 4 | ||
| 5 | 0.6 | 0.6 | 293 | 0 (H) | 1.34 | 2.46 5 | ||
| 6 | 0.8 | 0.6 | 293 | 0 (H) | 1.34 | 0.85 | 1.05 | 1.76 |
| 7 | 1.0 | 0.6 | 293 | 0 (H) | 1.34 | 1.10 | 1.09 | 1.82 |
| 8 | 1.0 | 0.3 | 293 | 0 (H) | 1.34 | 0.56 | 1.87 | |
| 9 | 1.0 | 0.5 | 293 | 0 (H) | 1.34 | 0.85 | 1.70 | |
| 10 | 1.0 | 0.9 | 293 | 0 (H) | 1.34 | 1.75 | 1.94 | |
| 11 | 1.0 | 1.5 | 293 | 0 (H) | 1.34 | 2.49 | 1.66 | |
| 12 | 1.0 | 1.5 | 298 | 0 (H) | 1.34 | 4.01 | 2.67 | |
| 13 | 1.0 | 1.5 | 303 | 0 (H) | 1.34 | 5.78 | 3.86 | |
| 14 | 1.0 | 1.5 | 308 | 0 (H) | 1.34 | 6.98 | 4.65 | |
| 15 | 1.0 | 1.5 | 313 | 0 (H) | 1.34 | 8.03 | 5.35 | |
| 16 | 1.0 | 0.5 | 293 | −0.27 (OMe) | 1.13 | 3.22 | 6.03 | |
| 17 | 1.0 | 0.5 | 293 | −0.17 (Me) | 1.24 | 2.25 | 4.09 | |
| 18 | 1.0 | 0.5 | 293 | 0.23 (Cl) | 1.37 | 0.51 | 1.01 | |
| 19 | 1.0 | 0.5 | 293 | 0.78 (NO2) | 1.70 | 0.18 | 0.37 | |
| 20 | 1.0 | 0.3 | 293 | 0.48 | 1.59 | |||
| 21 | 1.0 | 0.9 | 293 | 0.94 | 1.05 | |||
| 22 | 1.0 | 1.5 | 293 | 1.69 | 1.13 |
| Entry | 4R-PhCHCH2 | TE 5 | σp | Yield (%) 2 | TON 3 | TOF (h−1) 4 |
|---|---|---|---|---|---|---|
| 1 | H | 0.00 | 0 | 14 | 28 | 28 |
| 2 | OMe | 1.10 | −0.27 | 29 | 59 | 59 |
| 3 | Me | 0.41 | −0.17 | 19 | 39 | 39 |
| 4 | Cl | 0.23 | 0.23 | 16 | 32 | 32 |
| 5 | CN | 0.93 | 0.66 | 27 | 53 | 53 |
| Entry | [1] (mM) | 4R-PhCHCH2 (M) | T (K) | σp (4R) | TE 3 | Vi (10−6 Ms−1) | kobs’ (10−3 s−1) | k2 (10−3 M−1 s−1) 2 |
|---|---|---|---|---|---|---|---|---|
| 1 | 0.4 | 0.6 | 293 | 0 (H) | 0 | 0.88 | 2.20 | 3.67 |
| 2 | 0.6 | 0.6 | 293 | 0 (H) | 0 | 1.23 | 2.05 | 3.42 |
| 3 | 0.8 | 0.6 | 293 | 0 (H) | 0 | 1.57 | 1.96 | 3.27 |
| 4 | 1.0 | 0.6 | 293 | 0 (H) | 0 | 2.12 | 2.12 | 3.53 |
| 5 | 1.0 | 0.3 | 293 | 0 (H) | 0 | 0.95 | 3.18 | |
| 6 | 1.0 | 0.5 | 293 | 0 (H) | 0 | 1.64 | 3.27 | |
| 7 | 1.0 | 0.9 | 293 | 0 (H) | 0 | 2.92 | 3.24 | |
| 8 | 1.0 | 1.5 | 293 | 0 (H) | 0 | 4.64 | 3.10 | |
| 9 | 1.0 | 1.5 | 298 | 0 (H) | 0 | 5.14 | 3.42 | |
| 10 | 1.0 | 1.5 | 303 | 0 (H) | 0 | 6.18 | 4.12 | |
| 11 | 1.0 | 1.5 | 308 | 0 (H) | 0 | 8.29 | 5.53 | |
| 12 | 1.0 | 1.5 | 313 | 0 (H) | 0 | 10.3 | 6.68 | |
| 13 | 1.0 | 0.3 | 293 | −0.27 (OMe) | 1.10 | 2.81 | 9.33 | |
| 14 | 1.0 | 0.3 | 293 | −0.17 (Me) | 0.41 | 1.64 | 5.47 | |
| 15 | 1.0 | 0.3 | 293 | 0.23 (Cl) | 0.23 | 1.21 | 4.02 | |
| 16 | 1.0 | 0.3 | 293 | 0.78 (CN) | 0.66 | 2.23 | 7.43 |
Disclaimer/Publisher’s Note: The statements, opinions and data contained in all publications are solely those of the individual author(s) and contributor(s) and not of MDPI and/or the editor(s). MDPI and/or the editor(s) disclaim responsibility for any injury to people or property resulting from any ideas, methods, instructions or products referred to in the content. |
© 2023 by the authors. Licensee MDPI, Basel, Switzerland. This article is an open access article distributed under the terms and conditions of the Creative Commons Attribution (CC BY) license (https://creativecommons.org/licenses/by/4.0/).
Share and Cite
Török, P.; Lakk-Bogáth, D.; Kaizer, J. Mechanisms of Sulfoxidation and Epoxidation Mediated by Iron(III)-Iodosylbenzene Adduct: Electron-Transfer vs. Oxygen-Transfer Mechanism. Molecules 2023, 28, 4745. https://doi.org/10.3390/molecules28124745
Török P, Lakk-Bogáth D, Kaizer J. Mechanisms of Sulfoxidation and Epoxidation Mediated by Iron(III)-Iodosylbenzene Adduct: Electron-Transfer vs. Oxygen-Transfer Mechanism. Molecules. 2023; 28(12):4745. https://doi.org/10.3390/molecules28124745
Chicago/Turabian StyleTörök, Patrik, Dóra Lakk-Bogáth, and József Kaizer. 2023. "Mechanisms of Sulfoxidation and Epoxidation Mediated by Iron(III)-Iodosylbenzene Adduct: Electron-Transfer vs. Oxygen-Transfer Mechanism" Molecules 28, no. 12: 4745. https://doi.org/10.3390/molecules28124745
APA StyleTörök, P., Lakk-Bogáth, D., & Kaizer, J. (2023). Mechanisms of Sulfoxidation and Epoxidation Mediated by Iron(III)-Iodosylbenzene Adduct: Electron-Transfer vs. Oxygen-Transfer Mechanism. Molecules, 28(12), 4745. https://doi.org/10.3390/molecules28124745

