Sensitive and Label-Free Colorimetric Detection of Glyphosate Based on the Suppression Peroxidase-Mimicking Activity of Cu(II) Ions
Abstract
1. Introduction
2. Results and Discussion
2.1. Cu(II) Ions Display Peroxidase Catalytic Activity
2.2. Glyp Can Suppress Peroxidase-Mimicking Activity of Cu(II) Ions
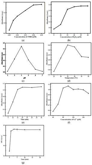
2.3. Optimization of Experimental Conditions
2.4. Analytical Performance of Developed Strategy
2.5. Glyp Detection in Real Samples
3. Materials and Methods
3.1. Chemicals and Instrument
3.2. Cu(II) Ions as a Peroxidase
3.3. Optimization of the Detection Conditions
3.4. Enzyme Kinetics Testing of Cu(II) Ions
3.5. Mechanism of Cu(II) Catalyzed Reaction
3.6. Detection of Glyp
3.7. Selectivity Study for Glyp Detection
3.8. Determination of Glyp in Real Samples
4. Conclusions
Author Contributions
Funding
Institutional Review Board Statement
Informed Consent Statement
Data Availability Statement
Acknowledgments
Conflicts of Interest
Sample Availability
References
- Qiao, C.; Wang, C.; Pang, R.; Tian, F.; Fang, J. Environmental behavior and influencing factors of glyphosate in peach orchard ecosystem. Ecotoxicol. Environ. Saf. 2020, 206, 111209. [Google Scholar] [CrossRef] [PubMed]
- Singh, S.; Kumar, V.; Datta, S.; Wani, A.B.; Dhanjal, D.S.; Romero, R.; Singh, J. Glyphosate uptake, translocation, resistance emergence in crops, analytical monitoring, toxicity and degradation: A review. Environ. Chem. Lett. 2020, 18, 1–40. [Google Scholar] [CrossRef]
- Martins-Gomes, C.; Silva, T.L.; Andreani, T.; Silva, A.M. Glyphosate vs. glyphosate-based herbicides exposure: A review on their toxicity. J. Xenobio 2022, 12, 21–40. [Google Scholar] [CrossRef]
- Valcke, M.; Bourgault, M.H.; Rochette, L.; Normandin, L.; Samuel, O.; Belleville, D.; Blanchet, C.; Phaneuf, D. Human health risk assessment on the consumption of fruits and vegetables containing residual pesticides: A cancer and non-cancer risk/benefit perspective. Environ. Int. 2017, 108, 63–74. [Google Scholar] [CrossRef]
- Agostini, L.P.; Dettogni, R.S.; Reis, R.S.; Stur, E.; Santos, E.V.W.; Ventorim, D.P.F.; Garcia, M.; Cardoso, R.C.; Graceli, J.B.; Louro, I.D. Effects of glyphosate exposure on human health: Insights from epidemiological and in vitro studies. Sci. Total. Environ. 2019, 705, 135808. [Google Scholar] [CrossRef] [PubMed]
- Myers, J.P.; Antoniou, M.N.; Blumberg, B.; Carroll, L.; Colborn, T.; Everett, L.G.; Hansen, M.; Landrigan, P.J.; Lanphear, B.P.; Mesnage, R.; et al. Concerns over use of glyphosate-based herbicides and risks associated with exposures: A consensus state-ment. Environ. Health 2016, 15, 19. [Google Scholar] [CrossRef]
- Meftaul, I.M.; Venkateswarlu, K.; Dharmarajan, R.; Annamalai, P.; Asaduzzaman, M.; Parven, A.; Megharaj, M. Controversies over human health and ecological impacts of glyphosate: Is it to be banned in modern agriculture? Environ. Pollut. 2020, 263, 114372. [Google Scholar] [CrossRef] [PubMed]
- Wang, Y.; Gao, W.; Li, Y.Y.; Xiao, Y.; Song, W.; Yao, T.; Cheng, M.H.; Wang, W.J.; Hou, R.Y. Establishment of a HPLC-MS/MS detection method for glyphosate, glufosinate-ammonium, and aminomethyl phosphoric acid in tea and its use for risk exposure assessment. J. Agric. Food Chem. 2021, 69, 7969–7978. [Google Scholar] [CrossRef]
- Viirlaid, E.; Ilisson, M.; Kopanchuk, S.; Meorg, U.; Rinken, T. Immunoassay for rapid on-site detection of glyphosate herbicide. Environ. Monit. Assess. 2019, 507, 191. [Google Scholar] [CrossRef] [PubMed]
- Vélot, C.; Poitou, F.; Vendômois, J.S. Comparative analysis of detection techniques for glyphosate in urine and in water. Environ. Sci. Eur. 2022, 34, 59. [Google Scholar] [CrossRef]
- Liu, H.B.; Chen, P.P.; Liu, Z.; Liu, J.H.; Yi, J.L.; Xia, F.Q.; Zhou, C.L. Electrochemical luminescence sensor based on double suppression for highly sensitive detection of glyphosate. Sens. Actuators B-Chem. 2020, 304, 127364. [Google Scholar] [CrossRef]
- Sok, V.; Fragoso, A. Amperometric biosensor for glyphosate based on the inhibition of tyrosinase conjugated to carbon nano-onions in a chitosan matrix on a screen-printed electrode. Microchim. Acta 2019, 569, 186. [Google Scholar] [CrossRef] [PubMed]
- Muñoz, R.; Guevara-Lara, A.; Santos, J.; Miranda, J.M.; Rodriguez, J.A. Determination of glyphosate in soil samples using CdTe/CdS quantum dots in capillary electrophoresis. Microchem. J. 2019, 146, 582–587. [Google Scholar] [CrossRef]
- Romero-Natale, A.; Palchetti, I.; Avelar, M.; González-Vergara, E.; Garate-Morales, J.; Torres, E. Spectrophotometric detection of glyphosate in water by complex formation between bis 5-phenyldipyrrinate of nickel (ii) and glyphosate. Water 2019, 11, 719. [Google Scholar] [CrossRef]
- Liu, D.; Chen, W.; Wei, J.; Li, X.; Jiang, X. A highly sensitive, dual-readout assay based on gold nanoparticles for organophosphorus and carbamate pesticides. Anal. Chem. 2012, 84, 4185–4191. [Google Scholar] [CrossRef]
- Yan, X.; Song, Y.; Zhu, C.; Li, H.; Du, D.; Su, X.; Lin, Y. Nanosheet-carbon dots sensing platform for sensitive detection of organophosphorus pesticides. Anal. Chem. 2018, 90, 2618–2624. [Google Scholar] [CrossRef] [PubMed]
- Wu, J.; Wang, X.; Wang, Q.; Lou, Z.; Li, S.; Zhu, Y.; Qin, L.; Wei, H. Nanomaterials with enzyme-like characteristics (nanozymes): Next-generation artificial enzyme (II). Chem. Soc. Rev. 2019, 48, 1004–1076. [Google Scholar] [CrossRef]
- Huang, Y.; Ren, J.; Qu, X. Nanozymes: Classification, catalytic mechanisms, activity regulation, and applications. Chem. Rev. 2019, 119, 4357–4412. [Google Scholar] [CrossRef] [PubMed]
- Zhang, R.; Yan, X.; Fan, K. Nanozymes inspired by natural enzymes. Acc. Mater. Res. 2021, 2, 534–547. [Google Scholar] [CrossRef]
- Luo, D.; Huang, X.; Liu, B.; Zou, W.; Wu, Y. Facile colorimetric nanozyme sheet for the rapid detection of glyphosate in agricultural products based on inhibiting peroxidase-like catalytic activity of porous Co3O4 Nanoplates. J. Agric. Food Chem. 2021, 69, 3537–3547. [Google Scholar] [CrossRef]
- Tai, S.; Qian, Z.; Ren, H.; Barimah, A.O.; Peng, C.; Wei, X. Nanozyme-based sensitive ratiometric fluorescence detection platform for glucose. Anal. Chim. Acta 2022, 1222, 339992. [Google Scholar] [CrossRef] [PubMed]
- Tu, Q.; Yang, T.; Qu, Y.; Gao, S.Y.; Zhang, Z.Y.; Zhang, Q.M.; Wang, Y.L.; Wang, J.Y.; He, L.L. In situ colorimetric detection of glyphosate on plant tissues using cysteamine-modified gold nanoparticles. Analyst 2019, 144, 2017–2025. [Google Scholar] [CrossRef] [PubMed]
- Liu, Z.Q.; Yang, L.; Sharma, A.S.; Chen, M.; Chen, Q.S. A system composed of polyethylenimine-capped upconversion nanoparticles, copper(II), hydrogen peroxide and 3,3′,5,5′-tetramethylbenzidine for colorimetric and fluorometric determination of glyphosate. Microchim. Acta 2019, 186, 1–11. [Google Scholar] [CrossRef] [PubMed]
- Dutta, A.K.; Das, S.; Samanta, S.; Samanta, P.K.; Adhikary, B.; Biswas, P. CuS nanoparticles as a mimic peroxidase for colorimetric estimation of human blood glucose level. Talanta 2013, 107, 361–367. [Google Scholar] [CrossRef] [PubMed]
- Zhang, L.L.; Li, M.; Qin, Y.F.; Chu, Z.D.; Zhao, S.L. A convenient label free colorimetric assay for pyrophosphatase activity based on a pyrophosphate-inhibited Cu2+-ABTS-H2O2 reaction. Analyst 2014, 139, 6298–6303. [Google Scholar] [CrossRef]
- Guan, J.; Peng, J.; Jin, X. Synthesis of copper sulfide nanorods as peroxidase mimics for colorimetric detection of hydrogen peroxide. Anal. Methods 2015, 7, 5454–5461. [Google Scholar] [CrossRef]
- He, W.W.; Jia, H.M.; Li, X.X.; Lei, Y.; Li, J.; Zhao, H.X.; Mi, L.W.; Zhang, L.Z.; Zheng, Z. Understanding the formation of CuS concave superstructures with peroxidase-like activity. Nanoscale 2012, 4, 3501–3506. [Google Scholar] [CrossRef]
- Gao, L.; Zhuang, J.; Nie, L.; Zhang, J.; Zhang, Y.; Gu, N.; Wang, T.; Feng, J.; Yang, D.; Perrett, S.; et al. Intrinsic peroxidase-like activity of ferromagnetic nanoparticles. Nat. Nanotechnol. 2007, 2, 577–583. [Google Scholar] [CrossRef]
- Lin, T.; Qin, Y.; Huang, Y.; Yang, R.; Hou, L.; Ye, F.; Zhao, S. A label-free fluorescence assay for hydrogen peroxide and glucose based on the bifunctional MIL-53(Fe) nanozyme. Chem. Commun. 2018, 54, 1762–1765. [Google Scholar] [CrossRef] [PubMed]
- Noori, J.S.; Dimaki, M.; Mortensen, J.; Svendsen, W.E. Detection of glyphosate in drinking water: A fast and direct detection method without sample pretreatment. Sensors 2018, 18, 2961. [Google Scholar] [CrossRef]
- Yadav, P.; Zelder, F. Detection of glyphosate with a copper(II)-pyrocatechol violet based GlyPKit. Anal. Methods 2021, 13, 4354–4360. [Google Scholar] [CrossRef] [PubMed]
- de Goes, R.E.; Possetti, G.R.C.; Muller, M.; Fabris, J.L. Tuning of citrate-stabilized laser ablated silver nanoparticles for glyphosate detection. IEEE Sens. J. 2020, 20, 1843–1850. [Google Scholar] [CrossRef]
- Kimani, M.; Pérez-Padilla, V.; Valderrey, V.; Gawlitza, K.; Rurack, K. Red-emitting polymerizable guanidinium dyes as fluorescent probes in molecularly imprinted polymers for glyphosate detection. Chemosensors 2022, 10, 99. [Google Scholar] [CrossRef]
- Xu, J.; Zhang, Y.; Wu, K.; Zhang, L.; Ge, S.; Yu, J. A molecularly imprinted polypyrrole for ultrasensitive voltammetric determination of glyphosate. Microchim. Acta 2017, 184, 1959–1967. [Google Scholar] [CrossRef]










| Material | Detection Mode | Detection Range (μg/mL) | LOD (ng/mL) | Reference |
|---|---|---|---|---|
| Gold electrode | Electrochemical | -- | 270.51 | 30 |
| Copper (II)- pyrocatechol violet based GlyPKit | Colorimetry | 1.69~10.13 | 422 | 31 |
| Silver Nanoparticles | UV-Vis | -- | 1000 | 32 |
| Raman transduction | 1300 | |||
| Red-Emitting Polymerizable Guanidinium Dyes | Fluorometry | -- | 101.44 | 33 |
| Molecularly imprinted polypyrrole | Voltametric | 0.4~1.2 | 92 | 34 |
| The suppression peroxidase-mimicking activity of Cu2+ | Colorimetry | 2~20 | 95.6 | This work |
| Method | Added (μM) | Found (μM) | Recovery (%) | RSD (n = 3) |
|---|---|---|---|---|
| This work | 2.5 | 2.615 | 104.60 | 5.13% |
| 3.0 | 2.885 | 96.17 | 2.36% | |
| 6.0 | 6.307 | 105.12 | 3.58% | |
| HPLC | 2.5 | 2.530 | 101.20 | 0.86% |
| 3.0 | 2.986 | 99.53 | 0.79% | |
| 6.0 | 6.013 | 100.22 | 0.82% |
Disclaimer/Publisher’s Note: The statements, opinions and data contained in all publications are solely those of the individual author(s) and contributor(s) and not of MDPI and/or the editor(s). MDPI and/or the editor(s) disclaim responsibility for any injury to people or property resulting from any ideas, methods, instructions or products referred to in the content. |
© 2023 by the authors. Licensee MDPI, Basel, Switzerland. This article is an open access article distributed under the terms and conditions of the Creative Commons Attribution (CC BY) license (https://creativecommons.org/licenses/by/4.0/).
Share and Cite
Li, Q.; Guo, Y.; He, X.; Li, G. Sensitive and Label-Free Colorimetric Detection of Glyphosate Based on the Suppression Peroxidase-Mimicking Activity of Cu(II) Ions. Molecules 2023, 28, 4630. https://doi.org/10.3390/molecules28124630
Li Q, Guo Y, He X, Li G. Sensitive and Label-Free Colorimetric Detection of Glyphosate Based on the Suppression Peroxidase-Mimicking Activity of Cu(II) Ions. Molecules. 2023; 28(12):4630. https://doi.org/10.3390/molecules28124630
Chicago/Turabian StyleLi, Qing, Yumeng Guo, Xiangyi He, and Guangli Li. 2023. "Sensitive and Label-Free Colorimetric Detection of Glyphosate Based on the Suppression Peroxidase-Mimicking Activity of Cu(II) Ions" Molecules 28, no. 12: 4630. https://doi.org/10.3390/molecules28124630
APA StyleLi, Q., Guo, Y., He, X., & Li, G. (2023). Sensitive and Label-Free Colorimetric Detection of Glyphosate Based on the Suppression Peroxidase-Mimicking Activity of Cu(II) Ions. Molecules, 28(12), 4630. https://doi.org/10.3390/molecules28124630

