Pyrene-Containing Polyamines as Fluorescent Receptors for Recognition of PFOA in Aqueous Media
Abstract
1. Introduction
2. Results and Discussion
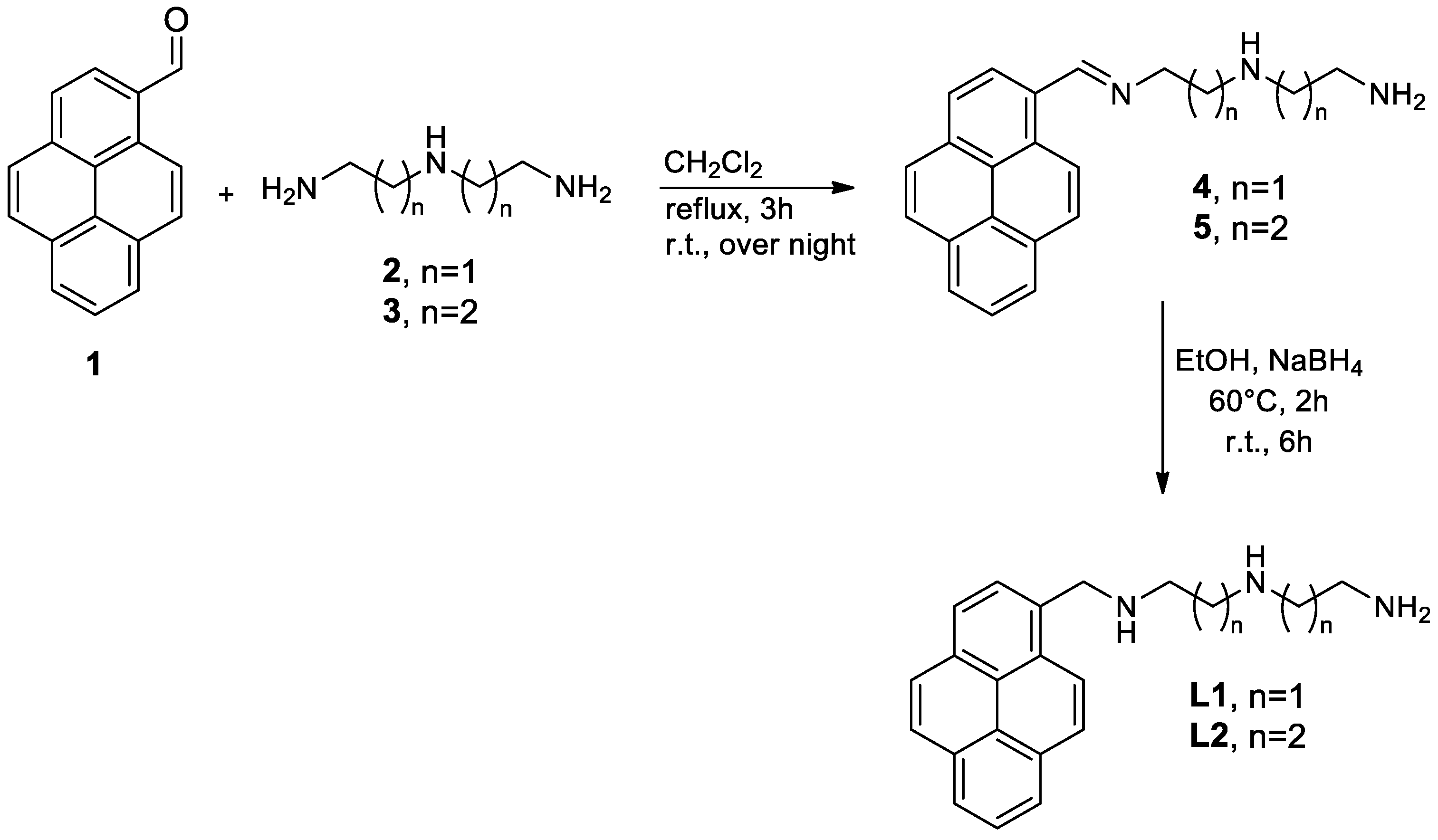
2.1. Synthesis of L1 and L2
2.2. Acid-Base Properties
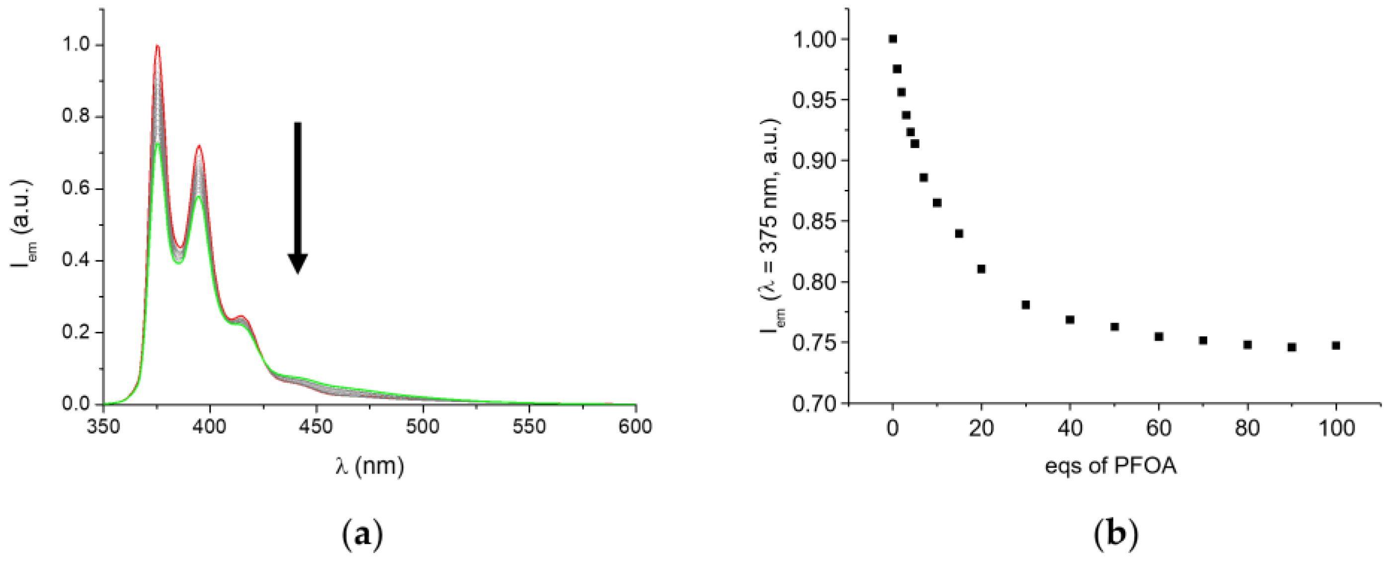
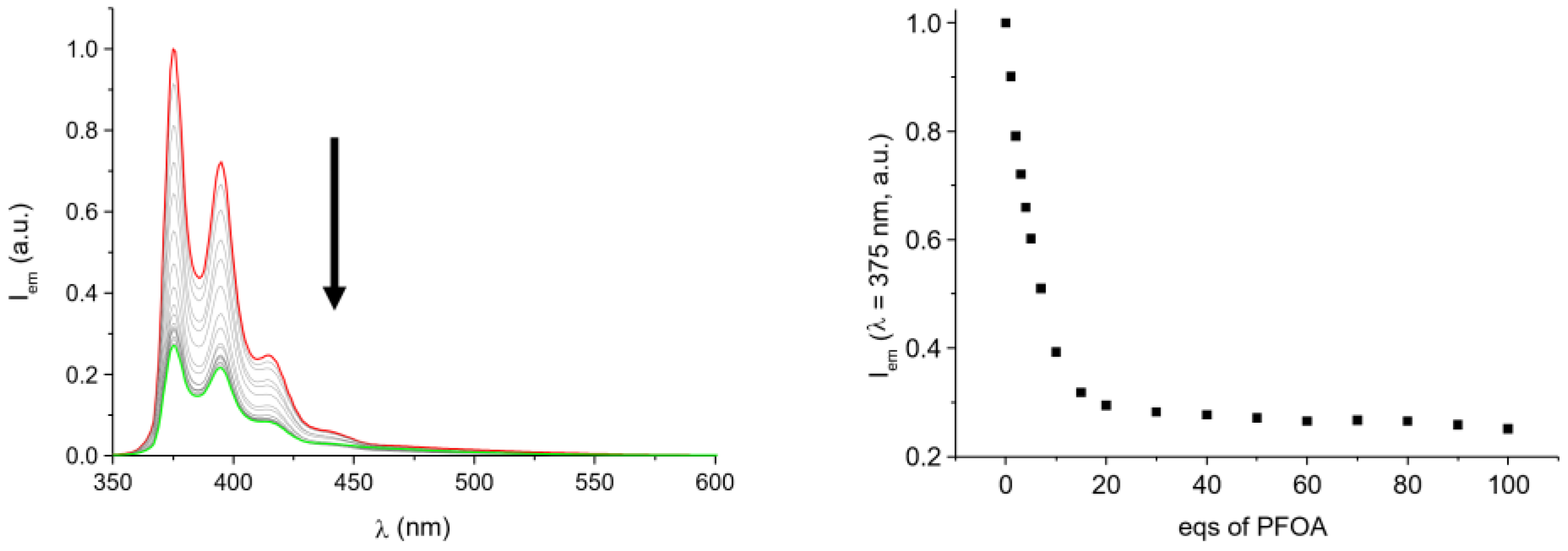
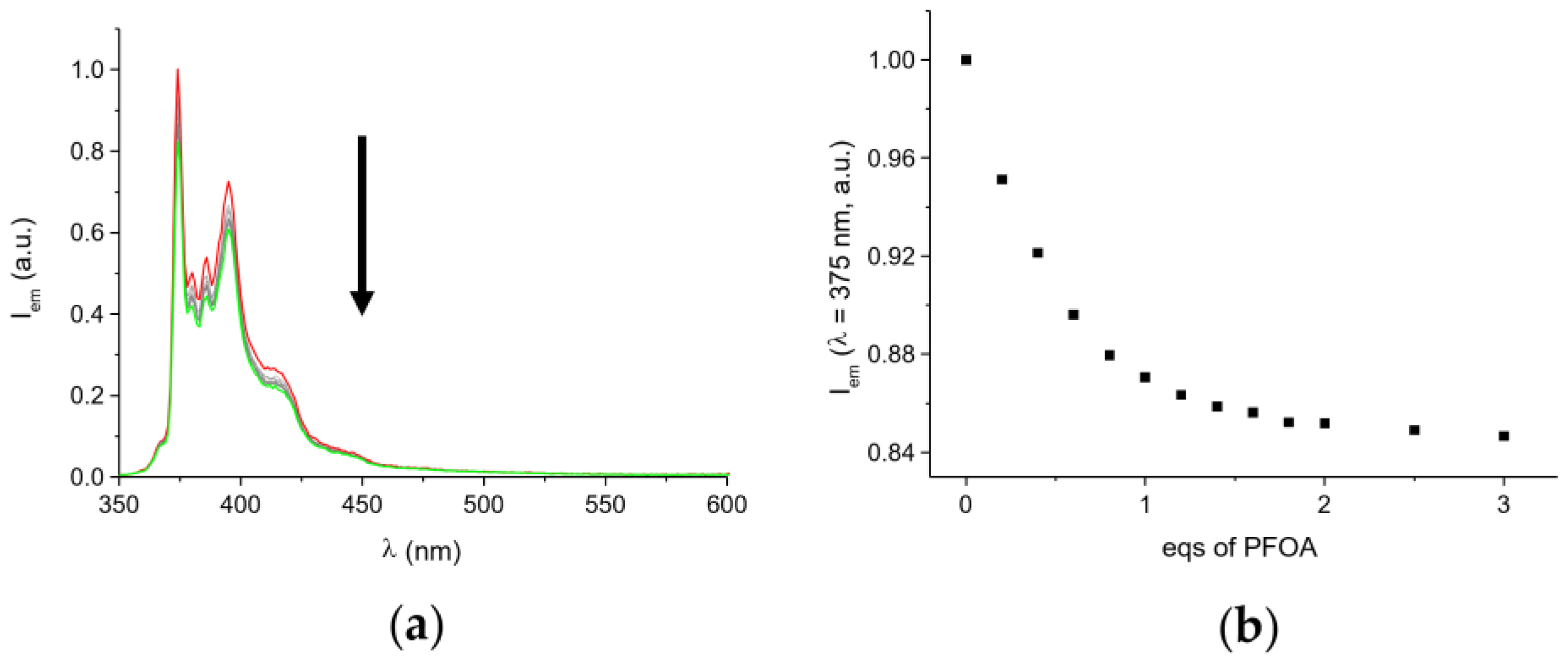
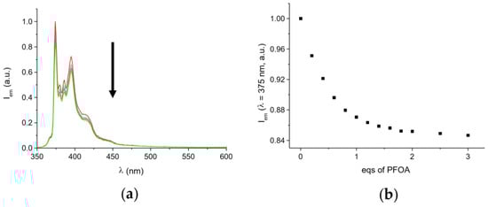
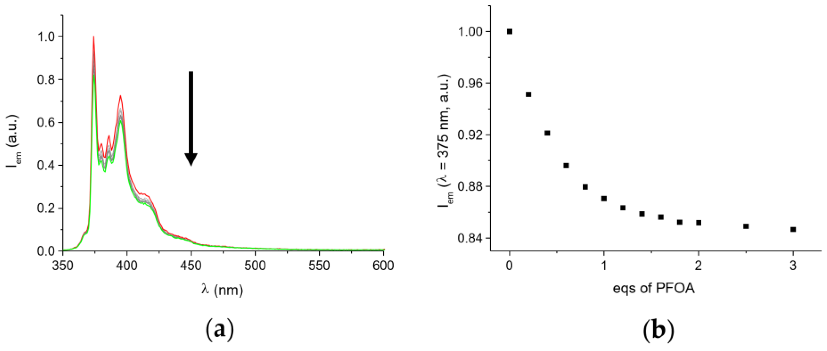
2.3. Binding and Fluorescence Sensing of PFOA by L1 and L2
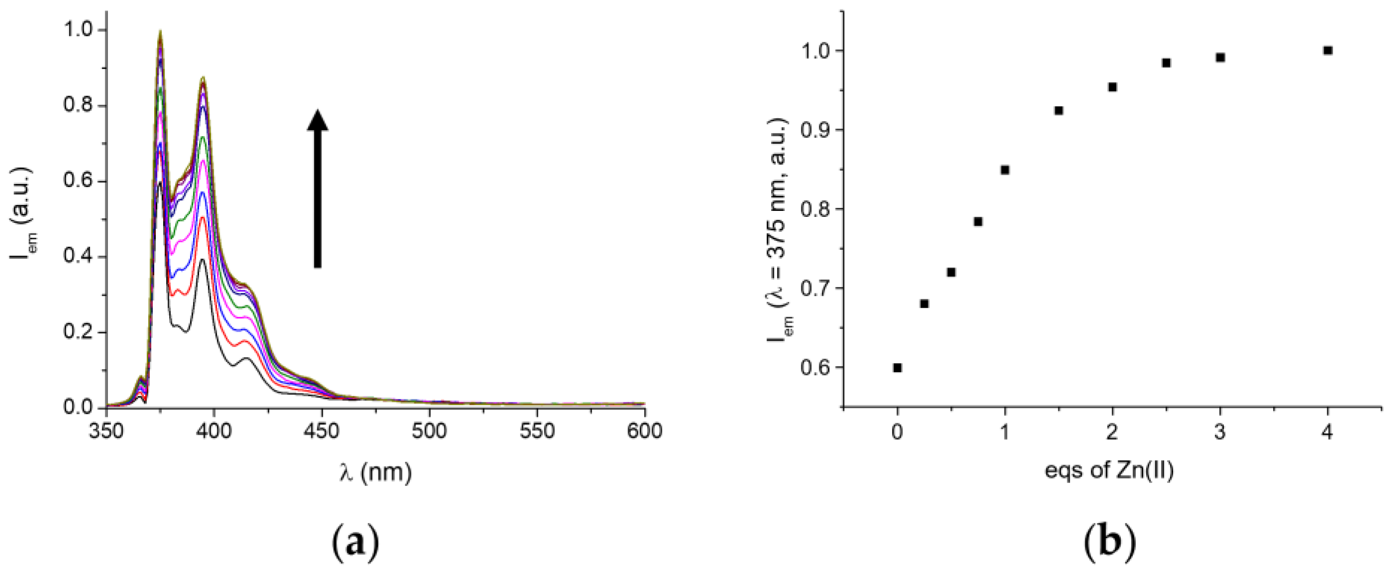
2.4. Zn(II) Complexation
2.5. Description of the Crystal Structure of [ZnL2(Cl)](ClO4)
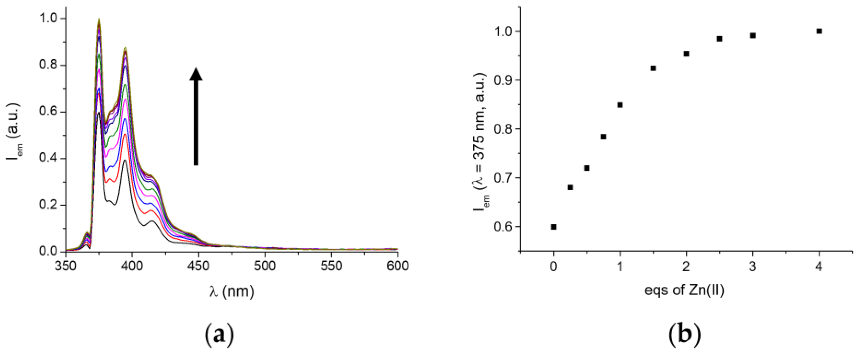
2.6. Binding and Fluorescence Sensing of PFOA by [ZnL1]2+ and [ZnL2]2+
3. Materials and Methods
3.1. Synthesis of 1-(1-Methylpyrenyl)-1,4,7-triazaheptane (L1)
3.2. Synthesis of 1-(1-Methylpyrenyl)-1,5,9-triazanonane (L2)
3.3. Synthesis of [(ZnL1)(ClO4)2]
3.4. Synthesis of [(ZnL2)(ClO4)2]
3.5. Electronic Absorption and Fluorescence Measurements
3.6. NMR Measurements
3.7. Potentiometric Measurements
3.8. Limit of Detection (LOD) Determination
3.9. FT-IR Measurements
3.10. Single-Crystal X-ray Diffraction
4. Conclusions
Supplementary Materials
Author Contributions
Funding
Data Availability Statement
Conflicts of Interest
Sample Availability
References
- Cheng, Z.; Dong, H.; Liang, J.; Zhang, F.; Chen, X.; Du, L.; Tan, K. Highly Selective Fluorescent Visual Detection of Perfluorooctane Sulfonate via Blue Fluorescent Carbon Dots and Berberine Chloride Hydrate. Spectrochim. Acta A Mol. Biomol. Spectrosc. 2019, 207, 262–269. [Google Scholar] [CrossRef]
- Meegoda, J.N.; Kewalramani, J.A.; Li, B.; Marsh, R.W. A Review of the Applications, Environmental Release, and Remediation Technologies of per-and Polyfluoroalkyl Substances. Int. J. Environ. Res. Public Health 2020, 17, 8117. [Google Scholar] [CrossRef]
- Rodriguez, K.L.; Hwang, J.H.; Esfahani, A.R.; Sadmani, A.H.M.A.; Lee, W.H. Recent Developments of PFAS-Detecting Sensors and Future Direction: A Review. Micromachines 2020, 11, 667. [Google Scholar] [CrossRef] [PubMed]
- Al Amin, M.; Sobhani, Z.; Chadalavada, S.; Naidu, R.; Fang, C. Smartphone-Based/Fluoro-SPE for Selective Detection of PFAS at Ppb Level. Environ. Technol. Innov. 2020, 18, 100778. [Google Scholar] [CrossRef]
- Glüge, J.; Scheringer, M.; Cousins, I.T.; Dewitt, J.C.; Goldenman, G.; Herzke, D.; Lohmann, R.; Ng, C.A.; Trier, X.; Wang, Z. An Overview of the Uses of Per- And Polyfluoroalkyl Substances (PFAS). Environ. Sci. Process. Impacts 2020, 22, 2345–2373. [Google Scholar] [CrossRef] [PubMed]
- Menger, R.F.; Funk, E.; Henry, C.S.; Borch, T. Sensors for Detecting Per- and Polyfluoroalkyl Substances (PFAS): A Critical Review of Development Challenges, Current Sensors, and Commercialization Obstacles. Chem. Eng. J. 2021, 417, 129133. [Google Scholar] [CrossRef]
- Lei, S.N.; Cong, H. Fluorescence Detection of Perfluorooctane Sulfonate in Water Employing a Tetraphenylethylene-Derived Dual Macrocycle BowtieCyclophane. Chin. Chem. Lett. 2022, 33, 1493–1496. [Google Scholar] [CrossRef]
- Zhang, Z.; Sarkar, D.; Biswas, J.K.; Datta, R. Biodegradation of Per- and Polyfluoroalkyl Substances (PFAS): A Review. Bioresour. Technol. 2022, 344, 126223. [Google Scholar] [CrossRef]
- Liou, J.S.C.; Szostek, B.; DeRito, C.M.; Madsen, E.L. Investigating the Biodegradability of Perfluorooctanoic Acid. Chemosphere 2010, 80, 176–183. [Google Scholar] [CrossRef]
- Zheng, Z.; Yu, H.; Geng, W.C.; Hu, X.Y.; Wang, Y.Y.; Li, Z.; Wang, Y.; Guo, D.S. Guanidinocalix[5]Arene for Sensitive Fluorescence Detection and Magnetic Removal of Perfluorinated Pollutants. Nat. Commun. 2019, 10, 5762. [Google Scholar] [CrossRef]
- Bolan, N.; Sarkar, B.; Yan, Y.; Li, Q.; Wijesekara, H.; Kannan, K.; Tsang, D.C.W.; Schauerte, M.; Bosch, J.; Noll, H.; et al. Remediation of Poly- and Perfluoroalkyl Substances (PFAS) Contaminated Soils—To Mobilize or to Immobilize or to Degrade? J. Hazard Mater. 2021, 401, 106600. [Google Scholar] [CrossRef]
- Goldenman, G.; Fernandes, M.; Holland, M.; Tugran, T.; Nordin, A.; Schoumacher, C.; McNeill, A. The Cost of Inaction: A Socioeconomic Analysis of Environmental and Health Impacts Linked to Exposure to PFAS; Nordic Council of Ministers: Copenhagen, Denmark, 2019. [Google Scholar]
- Renfrew, D.; Pearson, T.W. The Social Life of the “Forever Chemical” PFAS Pollution Legacies and Toxic Events. Environ. Soc. Adv. Res. 2021, 12, 146–163. [Google Scholar] [CrossRef]
- Safe Drinking Water Information System (SDWIS) Federal Reporting Services. Available online: https://www.Epa.Gov/Ground-Water-and-Drinking-Water/Safe-Drinking-Water-Information-System-Sdwis-Federal-Reporting (accessed on 30 April 2023).
- Cui, L.; Zhou, Q.F.; Liao, C.Y.; Fu, J.J.; Jiang, G. Bin Studies on the Toxicological Effects of PFOA and PFOS on Rats Using Histological Observation and Chemical Analysis. Arch. Environ. Contam. Toxicol. 2009, 56, 338–349. [Google Scholar] [CrossRef]
- Sunderland, E.M.; Hu, X.C.; Dassuncao, C.; Tokranov, A.K.; Wagner, C.C.; Allen, J.G. A Review of the Pathways of Human Exposure to Poly- and Perfluoroalkyl Substances (PFASs) and Present Understanding of Health Effects. J. Expo. Sci. Environ. Epidemiol. 2019, 29, 131–147. [Google Scholar] [CrossRef] [PubMed]
- USEPA Drinking Water Health Advisories for PFOA and PFOS. Available online: https://www.epa.gov/sdwa/drinking-water-health-advisories-has (accessed on 30 April 2023).
- Boulanger, B.; Vargo, J.; Schnoor, J.L.; Hornbuckle, K.C. Detection of Perfluorooctane Surfactants in Great Lakes Water. Environ. Sci. Technol. 2004, 38, 4064–4070. [Google Scholar] [CrossRef] [PubMed]
- Saito, K.; Uemura, E.; Ishizaki, A.; Kataoka, H. Determination of Perfluorooctanoic Acid and Perfluorooctane Sulfonate by Automated In-Tube Solid-Phase Microextraction Coupled with Liquid Chromatography-Mass Spectrometry. Anal. Chim. Acta 2010, 658, 141–146. [Google Scholar] [CrossRef]
- Shafique, U.; Schulze, S.; Slawik, C.; Kunz, S.; Paschke, A.; Schüürmann, G. Gas Chromatographic Determination of Perfluorocarboxylic Acids in Aqueous Samples—A Tutorial Review. Anal. Chim. Acta 2017, 949, 8–22. [Google Scholar] [CrossRef]
- Valsecchi, S.; Rusconi, M.; Polesello, S. Determination of Perfluorinated Compounds in Aquatic Organisms: A Review. Anal. Bioanal. Chem. 2013, 405, 143–157. [Google Scholar] [CrossRef]
- Liu, Q.; Huang, A.; Wang, N.; Zheng, G.; Zhu, L. Rapid Fluorometric Determination of Perfluorooctanoic Acid by Its Quenching Effect on the Fluorescence of Quantum Dots. J. Lumin. 2015, 161, 374–381. [Google Scholar] [CrossRef]
- Feng, H.; Wang, N.; Tran, T.; Yuan, L.; Li, J.; Cai, Q. Surface Molecular Imprinting on Dye-(NH2)-SiO2 NPs for Specific Recognition and Drect Fluorescent Quantification of Perfluorooctane Sulfonate. Sens. Actuators B Chem. 2014, 195, 266–273. [Google Scholar] [CrossRef]
- Garau, A.; Picci, G.; Bencini, A.; Caltagirone, C.; Conti, L.; Lippolis, V.; Paoli, P.; Romano, G.M.; Rossi, P.; Scorciapino, M.A. Glyphosate Sensing in Aqueous Solutions by Fluorescent Zinc(II) Complexes of [9]AneN3-Based Receptors. Dalton Trans. 2022, 51, 8733–8742. [Google Scholar] [CrossRef] [PubMed]
- Conti, L.; Mummolo, L.; Romano, G.M.; Giorgi, C.; Giacomazzo, G.E.; Prodi, L.; Bencini, A. Exploring the Ability of Luminescent Metal Assemblies to Bind and Sense Anionic or Ionizable Analytes a Ru(Phen)2bipy-Based Dizinc Complex for Bisphenol a (Bpa) Recognition. Molecules 2021, 26, 527. [Google Scholar] [CrossRef] [PubMed]
- Takayose, M.; Akamatsu, K.; Nawafune, H.; Murashima, T.; Matsui, J. Colorimetric Detection of Perfluorooctanoic Acid (PFOA) Utilizing Polystyrene-Modified Gold Nanoparticles. Anal. Lett. 2012, 45, 2856–2864. [Google Scholar] [CrossRef]
- Niu, H.; Wang, S.; Zhou, Z.; Ma, Y.; Ma, X.; Cai, Y. Sensitive Colorimetric Visualization of Perfluorinated Compounds Using Poly(Ethylene Glycol) and Perfluorinated Thiols Modified Gold Nanoparticles. Anal. Chem. 2014, 86, 4170–4177. [Google Scholar] [CrossRef] [PubMed]
- Zhang, J.; Wan, Y.; Li, Y.; Zhang, Q.; Xu, S.; Zhu, H.; Shu, B. A Rapid and High-Throughput Quantum Dots Bioassay for Monitoring of Perfluorooctane Sulfonate in Environmental Water Samples. Environ. Pollut. 2011, 159, 1348–1353. [Google Scholar] [CrossRef]
- Hong, Y.; Chen, X.; Zhang, Y.; Zhu, Y.; Sun, J.; Swihart, M.T.; Tan, K.; Dong, L. One-Pot Hydrothermal Synthesis of High Quantum Yield Orange-Emitting Carbon Quantum Dots for Sensitive Detection of Perfluorinated Compounds. New J. Chem. 2022, 46, 19658–19666. [Google Scholar] [CrossRef]
- Chen, S.; Li, A.; Zhang, L.; Gong, J. Molecularly Imprinted Ultrathin Graphitic Carbon Nitride Nanosheets-Based Electrochemiluminescence Sensing Probe for Sensitive Detection of Perfluorooctanoic Acid. Anal. Chim. Acta 2015, 896, 68–77. [Google Scholar] [CrossRef]
- Park, J.; Yang, K.A.; Choi, Y.; Choe, J.K. Novel SsDNA Aptamer-Based Fluorescence Sensor for Perfluorooctanoic Acid Detection in Water. Environ. Int. 2022, 158, 107000. [Google Scholar] [CrossRef]
- Chen, B.; Yang, Z.; Qu, X.; Zheng, S.; Yin, D.; Fu, H. Screening and Discrimination of Perfluoroalkyl Substances in Aqueous Solution Using a Luminescent Metal-Organic Framework Sensor Array. ACS Appl. Mater. Interfaces 2021, 13, 47706–47716. [Google Scholar] [CrossRef]
- Harrison, E.E.; Waters, M.L. Detection and Differentiation of Per- and Polyfluoroalkyl Substances (PFAS) in Water Using a Fluorescent Imprint-and-Report Sensor Array. Chem. Sci. 2022, 14, 928–936. [Google Scholar] [CrossRef]
- Busschaert, N.; Caltagirone, C.; Van Rossom, W.; Gale, P.A. Applications of Supramolecular Anion Recognition. Chem. Rev. 2015, 115, 8038–8155. [Google Scholar] [CrossRef]
- Gale, P.A. Anion Receptor Chemistry. Chem. Commun. 2011, 47, 82–86. [Google Scholar] [CrossRef]
- Fabbrizzi, L.; Licchelli, M.; Parodi, L.; Poggi, A.; Taglietti1, A. The Molecular Design of Fluorescent Sensors for Ionic Analytes. J. Fluoresc. 1998, 8, 263–271. [Google Scholar] [CrossRef]
- Mako, T.L.; Racicot, J.M.; Levine, M. Supramolecular Luminescent Sensors. Chem. Rev. 2019, 119, 322–477. [Google Scholar] [CrossRef] [PubMed]
- Savastano, M.; Bazzicalupi, C.; Giorgi, C.; García-Gallarín, C.; López De La Torre, M.D.; Pichierri, F.; Bianchi, A.; Melguizo, M. Anion Complexes with Tetrazine-Based Ligands: Formation of Strong Anion-π Interactions in Solution and in the Solid State. Inorg. Chem. 2016, 55, 8013–8024. [Google Scholar] [CrossRef]
- Zhang, Q.; Liao, M.; Xiao, K.; Zhuang, K.; Zheng, W.; Yao, Z. A Water-Soluble Fluorescence Probe Based on Perylene Diimide for Rapid and Selective Detection of Perfluorooctane Sulfonate in 100% Aqueous Media. Sens. Actuators B Chem. 2022, 350, 130851. [Google Scholar] [CrossRef]
- Omorodion, H.; Palenzuela, M.; Ruether, M.; Twamley, B.; Platts, J.A.; Baker, R.J. A Rationally Designed Perfluorinated Host for the Extraction of PFOA from Water Utilising Non-Covalent Interactions. New J. Chem. 2018, 42, 7956–7968. [Google Scholar] [CrossRef]
- Cheng, Z.; Du, L.; Zhu, P.; Chen, Q.; Tan, K. An Erythrosin B-Based “Turn on” Fluorescent Sensor for Detecting Perfluorooctane Sulfonate and Perfluorooctanoic Acid in Environmental Water Samples. Spectrochim. Acta A Mol. Biomol. Spectrosc. 2018, 201, 281–287. [Google Scholar] [CrossRef]
- Bazzicalupi, C.; Bencini, A.; Lippolis, V. Tailoring Cyclic Polyamines for Inorganic/Organic Phosphate Binding. Chem. Soc. Rev. 2010, 39, 3709–3728. [Google Scholar] [CrossRef] [PubMed]
- Figueroa, L.E.S.; Moragues, M.E.; Climent, E.; Agostini, A.; Martínez-Máñez, R.; Sancenón, F. Chromogenic and Fluorogenic Chemosensors and Reagents for Anions. A Comprehensive Review of the Years 2010–2011. Chem. Soc. Rev. 2013, 42, 3489–3613. [Google Scholar] [CrossRef]
- Caltagirone, C.; Gale, P.A. Anion Receptor Chemistry: Highlights from 2007. Chem. Soc. Rev. 2009, 38, 520–563. [Google Scholar] [CrossRef]
- Amendola, V.; Bonizzoni, M.; Esteban-Gómez, D.; Fabbrizzi, L.; Licchelli, M.; Sancenón, F.; Taglietti, A. Some Guidelines for the Design of Anion Receptors. Coord. Chem. Rev. 2006, 250, 1451–1470. [Google Scholar] [CrossRef]
- García-España, E.; Díaz, P.; Llinares, J.M.; Bianchi, A. Anion Coordination Chemistry in Aqueous Solution of Polyammonium Receptors. Coord. Chem. Rev. 2006, 250, 2952–2986. [Google Scholar] [CrossRef]
- Kang, S.O.; Llinares, J.M.; Day, V.W.; Bowman-James, K. Cryptand-like Anion Receptors. Chem. Soc. Rev. 2010, 39, 3980–4003. [Google Scholar] [CrossRef]
- Hargrove, A.E.; Nieto, S.; Zhang, T.; Sessler, J.L.; Anslyn, E.V. Artificial Receptors for the Recognition of Phosphorylated Molecules. Chem. Rev. 2011, 111, 6603–6782. [Google Scholar] [CrossRef] [PubMed]
- Baudoin, O.; Gonnet, F.; Teulade-Fichou, M.P.; Vigneron, J.P.; Tabet, J.C.; Lehn, J.M. Molecular Recognition of Nucleotide Pairs by a Cyclo-Bis-Intercaland- Type Receptor Molecule: A Spectrophotometric and Electrospray Mass Spectrometry Study. Chem. Eur. J. 1999, 5, 2762–2771. [Google Scholar] [CrossRef]
- Arturoni, E.; Bazzicalupi, C.; Bencini, A.; Caltagirone, C.; Danesi, A.; Garau, A.; Giorgi, C.; Lippolis, V.; Valtancoli, B. New Bis-Cresol-Bridged Bis(1,4,7-Triazacyclononane) Ligand as Receptor for Metal Cations and Phosphate Anions. Inorg. Chem. 2008, 47, 6551–6563. [Google Scholar] [CrossRef]
- Mateus, P.; Delgado, R.; Brandão, P.; Félix, V. Polyaza Cryptand Receptor Selective for Dihydrogen Phosphate. J. Org. Chem. 2009, 74, 8638–8646. [Google Scholar] [CrossRef]
- Delépine, A.S.; Tripier, R.; Handel, H. Cyclen-Based Bismacrocycles for Biological Anion Recognition. A Potentiometric and NMR Study of AMP, ADP and ATP Nucleotide Complexation. Org. Biomol. Chem. 2008, 6, 1743–1750. [Google Scholar] [CrossRef]
- Bazzicalupi, C.; Bencini, A.; Bianchi, A.; Danesi, A.; Giorgi, C.; Valtancoli, B. Anion Binding by Protonated Forms of the Tripodal Ligand Tren. Inorg. Chem. 2009, 48, 2391–2398. [Google Scholar] [CrossRef]
- Bianchi, A.; Bowman-James, K.; García-España, E. Supramolecular Chemistry of Anions; Wiley-VCH: New York, NY, USA, 1997. [Google Scholar]
- Sessler, J.L.; Gale, P.A.; Cho, W.S. Anion Receptor Chemistry; Royal Society of Chemistry: London, UK, 2006. [Google Scholar]
- Amendola, V.; Fabbrizzi, L. Anion Receptors That Contain Metals as Structural Units. Chem. Commun. 2009, 5, 513–531. [Google Scholar] [CrossRef]
- Macedi, E.; Bencini, A.; Caltagirone, C.; Lippolis, V. The Design of TACN-Based Molecular Systems for Different Supramolecular Functions. Coord. Chem. Rev. 2020, 407, 213151. [Google Scholar] [CrossRef]
- Gale, P.A.; Caltagirone, C. Anion Sensing by Small Molecules and Molecular Ensembles. Chem. Soc. Rev. 2015, 44, 4212–4227. [Google Scholar] [CrossRef]
- Lomozik, L.; Gasowska, A.; Bregier-Jarzebowska, R.; Jastrzab, R. Coordination Chemistry of Polyamines and Their Interactions in Ternary Systems Including Metal Ions, Nucleosides and Nucleotides. Coord. Chem. Rev. 2005, 249, 2335–2350. [Google Scholar] [CrossRef]
- Zhao, J.; Yang, D.; Yang, X.-J.; Wu, B. Anion coordination chemistry: From recognition to supramolecular assembly. Coord. Chem. Rev. 2019, 278, 415–444. [Google Scholar] [CrossRef]
- Shiraishi, Y.; Tokitoh, Y.; Hirai, T. PH- and H2O-Driven Triple-Mode Pyrene Fluorescence. Org. Lett. 2006, 8, 3841–3844. [Google Scholar] [CrossRef] [PubMed]
- Bencini, A.; Bianchi, A.; Garcia-España, E.; Micheloni, M.; Ramirez, J.A. Proton Coordination by Polyamine Compounds in Aqueous Solution. Coord. Chem. Rev. 1999, 188, 97–156. [Google Scholar] [CrossRef]
- Romano, G.M.; Mummolo, L.; Savastano, M.; Paoli, P.; Rossi, P.; Prodi, L.; Bencini, A. Polyamine Receptors Containing Anthracene as Fluorescent Probes for Ketoprofen in H2O/EtOH Solution. Chem. Commun. 2022, 58, 7022–7025. [Google Scholar] [CrossRef]
- Bazzicalupi, C.; Bencini, A.; Biagini, S.; Faggi, E.; Meini, S.; Giorgi, C.; Spepi, A.; Valtancoli, B. Exploring the Binding Ability of Phenanthroline-Based Polyammonium Receptors for Anions: Hints for Design of Selective Chemosensors for Nucleotides. J. Org. Chem. 2009, 74, 7349–7363. [Google Scholar] [CrossRef]
- Bernard Valeur, M.M. Berberan-Santos Molecular Fluorescence Principles and Application, 2nd ed.; Wiley-VCH Verlag & Co. KGaA: Weinheim, Germany, 2012. [Google Scholar]
- Gans, P.; Sabatini, A.; Vacca, A. Investigation of Equilibria in Solution. Determination of Equilibrium Constants with the HYPERQUAD Suite of Programs. Talanta 1996, 43, 1739–1753. [Google Scholar] [CrossRef]
- Genovese, D.; Rampazzo, E.; Bonacchi, S.; Montalti, M.; Zaccheroni, N.; Prodi, L. Energy Transfer Processes in Dye-Doped Nanostructures Yield Cooperative and Versatile Fluorescent Probes. Nanoscale 2014, 6, 3022–3036. [Google Scholar] [CrossRef] [PubMed]
- Wilson, L.D.; Verrall, R.E. F and 1 H NMR Investigation of Cyclodextrin/Fluorocarbon Alkyl Carboxylate Surfactant Inclusion Complexes. Langmuir 1998, 8, 446–451. [Google Scholar] [CrossRef]
- Gavette, J.V.; McGrath, J.M.; Spuches, A.M.; Sargent, A.L.; Allen, W.E. Fluorous Effects in Amide-Based Receptors for Anions. J. Org. Chem. 2009, 74, 3706–3710. [Google Scholar] [CrossRef] [PubMed]
- Martell, A.E.; Hancock, R.D.; Motekaitis, R.J. Factors Affecting Stabilities of Chelate, Macrocyclic and Macrobicyclic Complexes in Solution. Coord. Chem. Rev. 1994, 133, 39–65. [Google Scholar] [CrossRef]
- Hancock, R.D. Chelate Ring Size and Metal Ion Selection the Basis of Selectivity for Metal Ions in Open-Chain Ligands and Macrocycles. J. Chem. Educ. 1992, 69, 615–621. [Google Scholar] [CrossRef]
- Yang, L.; Powell, D.R.; Houser, R.P. Structural Variation in Copper(i) Complexes with Pyridylmethylamide Ligands: Structural Analysis with a New Four-Coordinate Geometry Index, Τ4. Dalton Trans. 2007, 9, 955–964. [Google Scholar] [CrossRef]
- Driessen, W.L.; Blonk, H.L.; de Graaff, R.A.G.; Reedijk, J. The Structure of the Mixed-Ligand Compound N,N-Bis[(3,5-Dimethyl-1-Pyrazolyl)Methyl]Aniline(3,5-Dimethylpyrazole)Nitratozinc(II) Nitrate. Acta Crystallogr. C 1987, 43, 1516–1518. [Google Scholar] [CrossRef]
- Klapötke, T.M.; Schmid, P.C.; Stierstorfer, J.; Szimhardt, N. Synthesis and Characterization of Tetrahedral Zinc(II) Complexes with 3, 6,7-Triamino-7H-[1,2,4]Triazolo[4,3-b][1,2,4]Triazole as Nitrogen-Rich Ligand. Z. Anorg. Allg. Chem. 2016, 642, 383–389. [Google Scholar] [CrossRef]
- Savastano, M.; Bazzicalupi, C.; García-Gallarín, C.; López de la Torre, M.D.; Bianchi, A.; Melguizo, M. Supramolecular Forces and Their Interplay in Stabilizing Complexes of Organic Anions: Tuning Binding Selectivity in Water. Org. Chem. Front. 2019, 6, 75–86. [Google Scholar] [CrossRef]
- Savastano, M.; Fiaschi, M.; Ferraro, G.; Gratteri, P.; Mariani, P.; Bianchi, A.; Bazzicalupi, C. Sensing Zn2+ in Aqueous Solution with a Fluorescent Scorpiand Macrocyclic Ligand Decorated with an Anthracene Bearing Tail. Molecules 2020, 25, 1355. [Google Scholar] [CrossRef]
- Gran, G. Determination of the Equivalence Point in Potentiometric Titrations. Part II. Analyst 1952, 77, 661–671. [Google Scholar] [CrossRef]
- Mei, Q.; Shi, Y.; Hua, Q.; Tong, B. Phosphorescent Chemosensor for Hg2+ Based on an Iridium(III) Complex Coordinated with 4-Phenylquinazoline and Carbazole Dithiocarbamate. RSC Adv. 2015, 5, 74924–74931. [Google Scholar] [CrossRef]
- Burla, M.C.; Caliandro, R.; Camalli, M.; Carrozzini, B.; Cascarano, G.L.; De Caro, L.; Giacovazzo, C.; Polidori, G.; Spagna, R. SIR2004: An Improved Tool for Crystal Structure Determination and Refinement. J. Appl. Crystallogr. 2005, 38, 381–388. [Google Scholar] [CrossRef]
- Sheldrick, G.M. Crystal Structure Refinement with SHELXL. Acta Crystallogr. C 2015, 71, 3–8. [Google Scholar] [CrossRef]
- Nardelli, M. PARST95—An Update to PARST: A System of Fortran Routines for Calculating Molecular Structure Parameters from the Results of Crystal Structure Analyses. J. Appl. Crystallogr. 1995, 28, 659. [Google Scholar] [CrossRef]
- Macrae, C.F.; Sovago, I.; Cottrell, S.J.; Galek, P.T.A.; McCabe, P.; Pidcock, E.; Platings, M.; Shields, G.P.; Stevens, J.S.; Towler, M.; et al. Mercury 4.0: From Visualization to Analysis, Design and Prediction. J. Appl. Crystallogr. 2020, 53, 226–235. [Google Scholar] [CrossRef]













| Equilibrium | L1 | L2 |
|---|---|---|
| L + H+ = HL+ | 9.44(2) | 9.97(2) |
| HL+ + H+ = H2L2+ | 7.67(1) | 8.38(1) |
| H2L2+ + H+ = H3L3+ | 3.64(2) | 6.78(2) |
| Equilibrium | L1 | L2 |
|---|---|---|
| L + Zn2+ = ZnL+ | 8.69(3) | 7.88(2) |
| ZnL+ + OH− = ZnLOH+ | - | 5.92(2) |
Disclaimer/Publisher’s Note: The statements, opinions and data contained in all publications are solely those of the individual author(s) and contributor(s) and not of MDPI and/or the editor(s). MDPI and/or the editor(s) disclaim responsibility for any injury to people or property resulting from any ideas, methods, instructions or products referred to in the content. |
© 2023 by the authors. Licensee MDPI, Basel, Switzerland. This article is an open access article distributed under the terms and conditions of the Creative Commons Attribution (CC BY) license (https://creativecommons.org/licenses/by/4.0/).
Share and Cite
Simonini Steiner, Y.T.; Romano, G.M.; Massai, L.; Lippi, M.; Paoli, P.; Rossi, P.; Savastano, M.; Bencini, A. Pyrene-Containing Polyamines as Fluorescent Receptors for Recognition of PFOA in Aqueous Media. Molecules 2023, 28, 4552. https://doi.org/10.3390/molecules28114552
Simonini Steiner YT, Romano GM, Massai L, Lippi M, Paoli P, Rossi P, Savastano M, Bencini A. Pyrene-Containing Polyamines as Fluorescent Receptors for Recognition of PFOA in Aqueous Media. Molecules. 2023; 28(11):4552. https://doi.org/10.3390/molecules28114552
Chicago/Turabian StyleSimonini Steiner, Yschtar Tecla, Giammarco Maria Romano, Lara Massai, Martina Lippi, Paola Paoli, Patrizia Rossi, Matteo Savastano, and Andrea Bencini. 2023. "Pyrene-Containing Polyamines as Fluorescent Receptors for Recognition of PFOA in Aqueous Media" Molecules 28, no. 11: 4552. https://doi.org/10.3390/molecules28114552
APA StyleSimonini Steiner, Y. T., Romano, G. M., Massai, L., Lippi, M., Paoli, P., Rossi, P., Savastano, M., & Bencini, A. (2023). Pyrene-Containing Polyamines as Fluorescent Receptors for Recognition of PFOA in Aqueous Media. Molecules, 28(11), 4552. https://doi.org/10.3390/molecules28114552

