The Benzothiazine Core as a Novel Motif for DNA-Binding Small Molecules
Abstract
1. Introduction
2. Results and Discussion
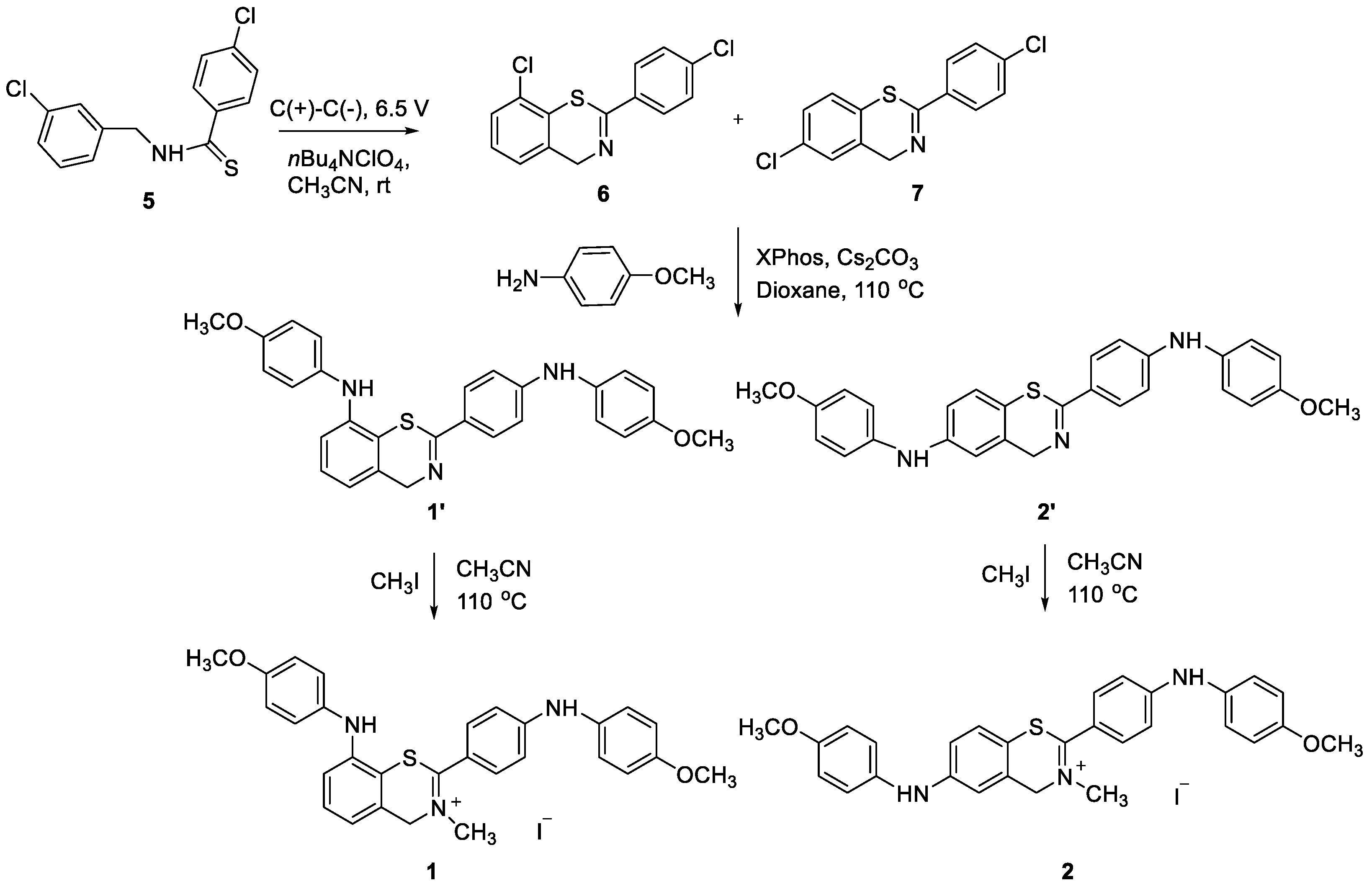
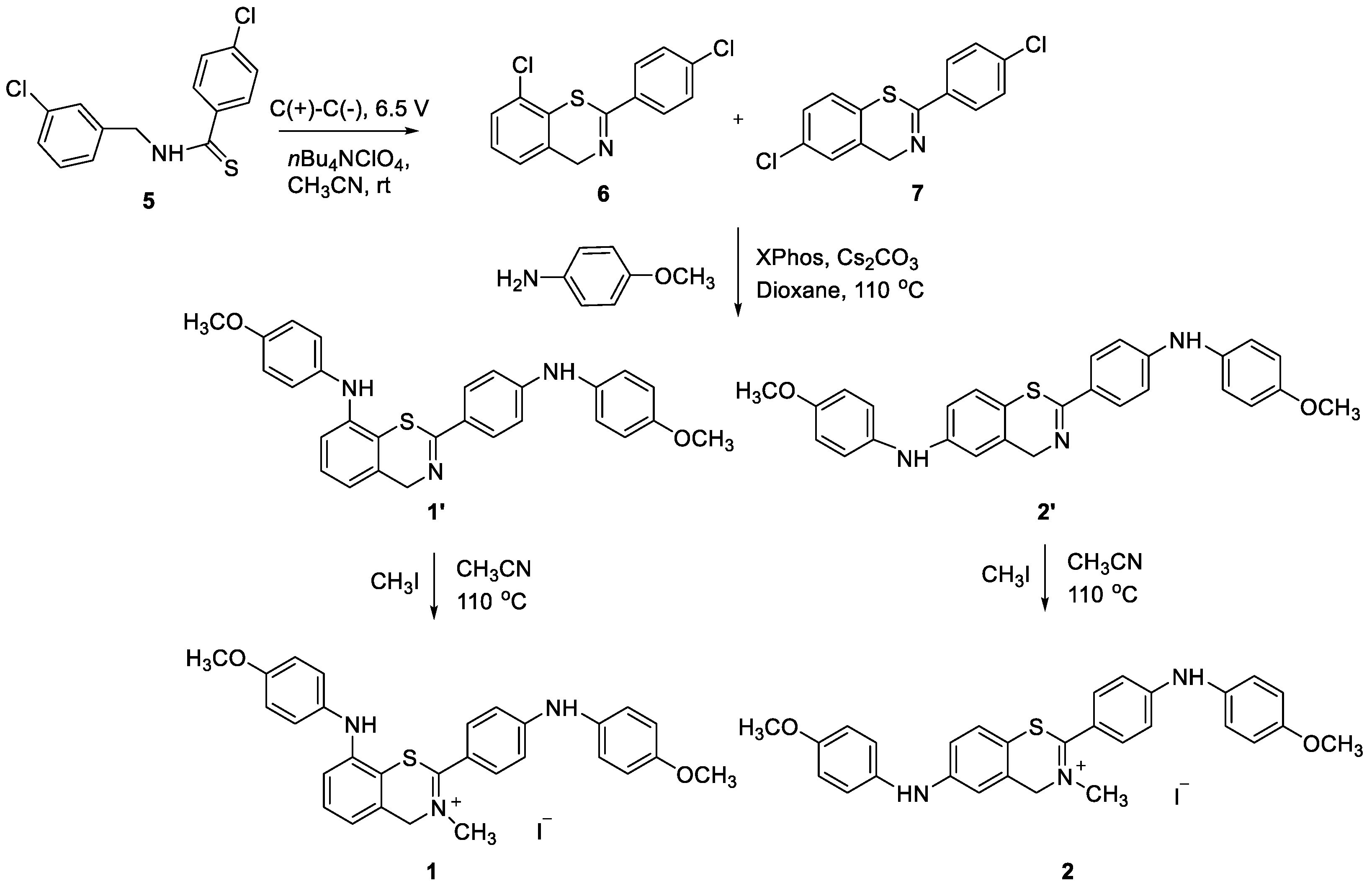
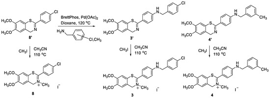
2.1. Synthesis and Spectroscopic Characterization of the New Benzothiazine Salts 1–4
2.2. Spectroscopic Characterization and Interactions with Biomolecules
2.2.1. UV/Vis Spectra and Photophysical Characterization
2.2.2. UV/Vis Spectrophotometric Titrations
2.2.3. CD Experiments
2.2.4. Thermal Melting Experiments
3. Materials and Methods
3.1. General Remarks
3.2. Spectrophotometric Studies and Interaction with DNA or RNA
3.3. Electrochemical Ring Closure for Benzothiazine Core Synthesis
3.4. Amination Reaction of 4H-1,3-benzothiazines 6 and 7
3.5. Synthesis of Compounds 3′ and 4′
3.6. Methylation of Amines 1′–4′ to the Final Salts 1–4 and Test Compound 8′ to 8
3.7. X-ray Crystallography
4. Conclusions
Supplementary Materials
Author Contributions
Funding
Institutional Review Board Statement
Informed Consent Statement
Data Availability Statement
Acknowledgments
Conflicts of Interest
Sample Availability
References
- Badshah, S.L.; Naeem, A. Bioactive thiazine and benzothiazine derivatives: Green synthesis methods and their medicinal importance. Molecules 2016, 21, 1054. [Google Scholar] [CrossRef] [PubMed]
- Olkkola, K.T.; Brunetto, A.V.; Mattila, M.J. Pharmacokinetics of oxicam nonsteroidal anti-inflammatory agents. Clin. Pharmacokinet. 1994, 26, 107–120. [Google Scholar] [CrossRef] [PubMed]
- Szczęśniak-Sięga, B.M.; Wiatrak, B.; Czyżnikowska, Ż.; Janczak, J.; Wiglusz, R.J.; Maniewska, J. Synthesis and biological evaluation as well as in silico studies of arylpiperazine-1, 2-benzothiazine derivatives as novel anti-inflammatory agents. Bioorg. Chem. 2021, 106, 104476. [Google Scholar] [CrossRef]
- Patel, C.; Bassin, J.P.; Scott, M.; Flye, J.; Hunter, A.P.; Martin, L.; Goyal, M. Synthesis and antimicrobial activity of 1, 2-benzothiazine derivatives. Molecules 2016, 21, 861. [Google Scholar] [CrossRef] [PubMed]
- Matysiak, J. Synthesis, antiproliferative and antifungal activities of some 2-(2, 4-dihydroxyphenyl)-4H-3, 1-benzothiazines. Bioorg. Med. Chem. 2006, 14, 2613–2619. [Google Scholar] [CrossRef] [PubMed]
- Silverman, R.B. The Organic Chemistry of Drug Design and Drug Action; Academic Press: New York, NY, USA, 2004. [Google Scholar]
- Demeunynck, M.; Bailly, C.; Wilson, W.D. Small Molecule DNA and RNA Binders: From Synthesis to Nucleic Acid Complexes; Wiley-VCH Verlag GmbH & Co.: Weincheim, Germany, 2004. [Google Scholar]
- Egli, M.; Saenger, W. Principles of Nucleic Acid Structure; Springer: New York, NY, USA, 1983. [Google Scholar]
- Keri, R.S.; Patil, M.R.; Patil, S.A.; Budagumpi, S. A comprehensive review in current developments of benzothiazole-based molecules in medicinal chemistry. Eur. J. Med. Chem. 2015, 89, 207–251. [Google Scholar] [CrossRef] [PubMed]
- Turaev, A.V.; Tsvetkov, V.B.; Tankevich, M.V.; Smirnov, I.P.; Aralov, A.V.; Pozmogova, G.E.; Varizhuk, A.M. Benzothiazole-based cyanines as fluorescent “light-up” probes for duplex and quadruplex DNA. Biochimie 2019, 162, 216–228. [Google Scholar] [CrossRef]
- Mikulin, I.; Ljubić, I.; Piantanida, I.; Vasilev, A.; Mondeshki, M.; Kandinska, M.; Tumir, L.M. Polycationic Monomeric and Homodimeric Asymmetric Monomethine Cyanine Dyes with Hydroxypropyl Functionality—Strong Affinity Nucleic Acids Binders. Biomolecules 2021, 11, 1075. [Google Scholar] [CrossRef]
- Wang, Z.; Cui, S.; Qiu, S.; Pu, S. A new fluorescence probe based on diarylethene with a benzothiazine unit for selective detection of Cd2+. Tetrahedron 2018, 74, 7431–7437. [Google Scholar] [CrossRef]
- Hou, J.T.; Wang, B.; Fan, P.; Duan, R.; Cao, X.; Zhu, L.; Wang, S. A novel benzothiazine-fused coumarin derivative for sensing hypochlorite with high performance. Dyes Pigm. 2020, 182, 108675. [Google Scholar] [CrossRef]
- Bahta, M.; Ahmed, N. Design and synthesis of 1, 4-benzothiazine hydrazide as selective and sensitive colorimetric and turn-on fluorometric sensor for Hg2+ detection in aqueous medium. J. Photochem. Photobiol. A 2018, 357, 41–48. [Google Scholar] [CrossRef]
- Napolitano, A.; Panzella, L.; Leone, L.; d’Ischia, M. Red hair benzothiazines and benzothiazoles: Mutation-inspired chemistry in the quest for functionality. Acc. Chem. Res. 2013, 46, 519–528. [Google Scholar] [CrossRef] [PubMed]
- Alfieri, M.L.; Panzella, L.; Crescenzi, O.; d’Ischia, M.; Napolitano, A. A cyanine-type homolog of the red hair bibenzothiazine chromophore combining reversible proton-sensing with a hydrophobic-to-hydrophilic switching response. Dyes Pigm. 2022, 197, 109872. [Google Scholar] [CrossRef]
- Sanatkar, T.H.; Hadadzadeh, H.; Simpson, J.; Jannesari, Z. The meloxicam complexes of Co (II) and Zn (II): Synthesis, crystal structures, photocleavage and in vitro DNA-binding. J. Mol. Struct. 2013, 1049, 336–344. [Google Scholar] [CrossRef]
- Chakraborty, S.; Bose, M.; Sarkar, M. Spectroscopic studies of the binding of Cu (II) complexes of oxicam NSAIDs to alternating GC and homopolymeric GC sequences. Spectrochim. Acta A Mol. Biomol. Spectrosc. 2014, 122, 690–697. [Google Scholar] [CrossRef]
- Xu, F.; Qian, X.-F.; Li, Y.-J.; Xu, H.-C. Synthesis of 4H-1,3-benzoxazines via metal- and oxidizing reagent free aromatic C−H oxygenation. Org. Lett. 2017, 19, 6332–6335. [Google Scholar] [CrossRef]
- Yu, H.; Jiao, M.; Huang, R.; Fang, X. Electrochemical intramolecular dehydrogenative coupling of N-benzyl(thio)amides: A direct and facile synthesis of 4H-1,3-benzoxazines and 4H-1,3-benzothiazines. Eur. J. Org. Chem. 2019, 2019, 2004–2009. [Google Scholar] [CrossRef]
- McGhee, J.D.; von Hippel, P.H. Theoretical Aspects of DNA-Protein Interactions: Co-Operative and Non-Co-Operative Binding of Large Ligands to a One-Dimensional Homogeneous Lattice. J. Mol. Biol. 1974, 86, 469–489. [Google Scholar] [CrossRef]
- Eriksson, M.; Nordén, B. Linear and Circular Dichroism of Drug-Nucleic Acid Complexes. Meth. Enzymol. 2001, 340, 68–98. [Google Scholar] [CrossRef]
- Šmidlehner, T.; Piantanida, I.; Pescitelli, G. Polarization Spectroscopy Methods in the Determination of Interactions of Small Molecules with Nucleic Acids—Tutorial. Beilstein J. Org. Chem. 2017, 14, 84–105. [Google Scholar] [CrossRef]
- Mergny, J.L.; Lacroix, L. Analysis of Thermal Melting Curves. Oligonucleotides 2003, 13, 515–537. [Google Scholar] [CrossRef] [PubMed]
- Wilson, W.D.; Ratmeyer, L.; Zhao, M.; Strekowski, L.; Boykin, D. The Search for Structure-Specific Nucleic Acid-Interactive Drugs: Effects of Compound Structure on RNA versus DNA Interaction Strength. Biochemistry 1993, 32, 4098–4104. [Google Scholar] [CrossRef] [PubMed]
- Schulte, L.N.; Heinrich, B.; Janga, H.; Schmeck, B.T.; Vázquez, O. A Far-Red Fluorescent DNA Binder for Interaction Studies of Live Multidrug-Resistant Pathogens and Host Cells. Angew. Chem. Int. Ed. 2018, 57, 11564–11568. [Google Scholar] [CrossRef]
- Piantanida, I.; Palm, B.S.; Cudic, P.; Zinic, M.; Schneider, H.J. Phenanthridinium cyclobisintercalands. Fluorescence sensing of AMP and selective binding to single-stranded nucleic acids. Tetrahedron Lett. 2001, 42, 6779–6783. [Google Scholar] [CrossRef]
- Farrugia, L.J. WinGX suite for small-molecule single-crystal crystallography. J. Appl. Cryst. 1999, 32, 837–838. [Google Scholar] [CrossRef]
- Sheldrick, G.M. A short history of SHELX. Acta Crystallogr. A 2008, 64, 112–122. [Google Scholar] [CrossRef]
- Spek, A.L. Structure validation in chemical crystallography. Acta Crystallogr. D 2009, D65, 148–155. [Google Scholar] [CrossRef]
- Farrugia, L.J. It ORTEP-3 for Windows—A Version of It ORTEP-III with a Graphical User Interface (GUI). J. Appl. Cryst. 1997, 30, 565. [Google Scholar] [CrossRef]
- Macrae, C.F.; Edgington, P.R.; McCabe, P.; Pidcock, E.; Shields, G.; Taylor, R.; Towler, M.; van de Streek, J. Mercury: Visualization and analysis of crystal structures. J. Appl. Cryst. 2006, 39, 453–457. [Google Scholar] [CrossRef]













| π⋯π | Cg a⋯Cg/Å | α b/º | β c/º | Cg⋯Plane(Cg2)/Å | Offset/Å | Symm. |
|---|---|---|---|---|---|---|
| C1→C6⋯C1→C6 | 4.1579(15) | 0 | 32.1 | 3.5235(10) | 2.208 | x, −1 + y, z |
| C9→C14⋯C9→C14 | 4.1580(12) | 0.02(10) | 27.9 | 3.6733(9) | 1.949 | x, −1 + y, z |
| D–H/Å | H⋯A/Å | D⋯A/Å | D–H⋯A/º | Symm. op. on A | |
|---|---|---|---|---|---|
| C5–H5⋯S1 | 0.93 | 2.65 | 3.054(2) | 107 | x, y, z |
| C16–H16C⋯O2 | 0.96 | 2.70 | 3.543(2) | 146 | −x, −y, −z |
| Compound | λmax/nm | ε/M−1 cm−1 |
|---|---|---|
| 1 | 278 | 19,977 |
| 402 | 20,982 | |
| 2 | 286 | 13,455 |
| 402 | 14,780 | |
| 3 | 388 | 7956 |
| 4 | 392 | 9030 |
| Compound | ct-DNA | pApU | AT-DNA |
|---|---|---|---|
| 1 | 5.0 | c 5.1 | 4.9 |
| 2 | 4.9 | c 5.1 | 4.9 |
| 3 | 4.9 | b | - |
| 4 | 4.7 | b | - |
| Compound | r | ctDNA | AT-DNA | pApU |
|---|---|---|---|---|
| 1 | 0.2 | - | −1.8 ± 0.5 °C | +2 ± 0.5 °C |
| 0.3 | −2 ± 0.5 °C | −2.1 ± 0.5 °C | −1.2 ± 0.5 °C | |
| 2 | 0.2 | −2.3 ± 0.5 °C | - | - |
| 0.3 | −1± 0.5 °C | −1.5 ± 0.5 °C | +3.5 ± 0.5 °C | |
| 3 | 0.3 | - | - | +1 ± 0.5 °C |
| 4 | 0.3 | −1.5 ± 0.5 °C | - | −1.5 ± 0.5 °C |
| Compound | 8′ |
|---|---|
| Empirical formula | C16H14ClNO2S |
| Formula wt./g mol−1 | 319.79 |
| Crystal dimensions/mm | 0.45 × 0.3 × 0.2 |
| Space group | P21/n |
| a/Å | 15.6901 (4) |
| b/Å | 4.15810 (10) |
| c/Å | 22.5946 (5) |
| α/° | 90 |
| β/° | 90.042 (2) |
| γ/° | 90 |
| Z | 4 |
| V/Å3 | 1474.09 (6) |
| Dcalc/g cm−3 | 1.441 |
| μ/mm−1 | 3.647 |
| Θ range/° | 3.428–80.123 |
| T(K) | 293 (2) |
| Radiation wavelength | 1.54184 (CuKα) |
| Diffractometer type | XtaLAB Synergy, Dualflex, HyPix |
| Range of h, k, l | −20 > h > 19; −5 > k > 5; −27 > l > 28 |
| Reflections collected | 18295 |
| Independent reflections | 3186 |
| Observed reflections (I ≥ 2σ) | 2895 |
| Rint | 0.0542 |
| R (F) | 0.0523 |
| Rw (F2) | 0.1537 |
| No. of parameters, restraints | 192, 0 |
| Goodness of fit | 1.085 |
| Δρmax, Δρmin (eÅ−3) | 0.355; −0.299 |
Disclaimer/Publisher’s Note: The statements, opinions and data contained in all publications are solely those of the individual author(s) and contributor(s) and not of MDPI and/or the editor(s). MDPI and/or the editor(s) disclaim responsibility for any injury to people or property resulting from any ideas, methods, instructions or products referred to in the content. |
© 2023 by the authors. Licensee MDPI, Basel, Switzerland. This article is an open access article distributed under the terms and conditions of the Creative Commons Attribution (CC BY) license (https://creativecommons.org/licenses/by/4.0/).
Share and Cite
Mlakić, M.; Čipor, I.; Kovačec, P.; Kragol, G.; Ratković, A.; Kovačević, T.; Zadravec, R.; Milašinović, V.; Molčanov, K.; Piantanida, I.; et al. The Benzothiazine Core as a Novel Motif for DNA-Binding Small Molecules. Molecules 2023, 28, 4499. https://doi.org/10.3390/molecules28114499
Mlakić M, Čipor I, Kovačec P, Kragol G, Ratković A, Kovačević T, Zadravec R, Milašinović V, Molčanov K, Piantanida I, et al. The Benzothiazine Core as a Novel Motif for DNA-Binding Small Molecules. Molecules. 2023; 28(11):4499. https://doi.org/10.3390/molecules28114499
Chicago/Turabian StyleMlakić, Milena, Ivona Čipor, Petra Kovačec, Goran Kragol, Ana Ratković, Tatjana Kovačević, Rahela Zadravec, Valentina Milašinović, Krešimir Molčanov, Ivo Piantanida, and et al. 2023. "The Benzothiazine Core as a Novel Motif for DNA-Binding Small Molecules" Molecules 28, no. 11: 4499. https://doi.org/10.3390/molecules28114499
APA StyleMlakić, M., Čipor, I., Kovačec, P., Kragol, G., Ratković, A., Kovačević, T., Zadravec, R., Milašinović, V., Molčanov, K., Piantanida, I., & Škorić, I. (2023). The Benzothiazine Core as a Novel Motif for DNA-Binding Small Molecules. Molecules, 28(11), 4499. https://doi.org/10.3390/molecules28114499

