Targeting Transcriptional CDKs 7, 8, and 9 with Anilinopyrimidine Derivatives as Anticancer Agents: Design, Synthesis, Biological Evaluation and In Silico Studies
Abstract
1. Introduction
2. Results
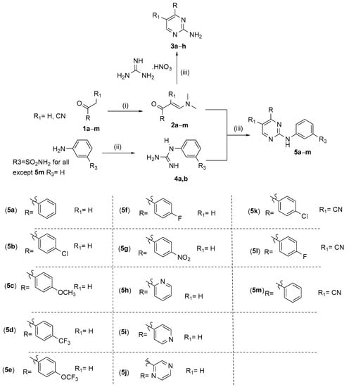
2.1. Chemistry
2.2. In Vitro Antiproliferative Activities
2.3. CDK7, 8, and 9 Inhibitory Activities
2.4. Molecular Docking Studies
2.5. Molecular Dynamics (MD) Simulation
2.5.1. Root-Mean-Square Deviation (RMSD)
2.5.2. Root-Mean-Square Fluctuations (RMSF)
2.5.3. Radius of Gyration (Rg)
2.5.4. Hydrogen Bond Analysis
2.5.5. Binding Free Energy Calculation
2.6. Prediction of Physicochemical Properties
2.6.1. Lipinski’s Rule of Five
2.6.2. Ligand Efficiency (LE) and Liga nd Lipophilic Efficiency (LLE)
Ligand Lipophilic Efficiency (LLE)
2.6.3. ADMET Prediction
3. Experimental
3.1. Chemistry
3.1.1. General Procedure for the Preparation of Enaminone Derivatives (2a–m)
3.1.2. General Procedure for the Preparation of 2-Aminopyrimidine Derivatives (3a–h)
- 4-phenylpyrimidin-2-amine (3a), White solid (0.085 g, 87%). M.p. 160–161 °C. IR (νmax/cm−1): 3302 (NH), 3146 (CH), 1651, 1551 (C=N and C=C), 1211 (C–N). 1H NMR (DMSO-d6) δ 8.31 (d, J = 5.1 Hz, 1H), 8.10–8.04 (m, 2H), 7.50–7.49 (m, 3H), 7.12 (dd, J = 5.2, 1.2 Hz, 1H), 6.66 (s, 2H, NH2). 13C NMR (DMSO-d6) δ 164.8, 164.7, 159.7, 137.5, 130.9, 129.2, 127.2, 106.3. MS, m/z (%): 171.93 [M + 1].
- 4-(4-chlorophenyl)pyrimidin-2-amine (3b), White solid (0.095 g, 81%). M.p.127-129 °C. (lit. 128.46 °C [53]) IR (νmax/cm−1): 3459 (NH), 3053 (CHs), 1620, 1542 (C=N and C=C), 1122 (C–N), 796 (C–Cl). 1H NMR (DMSO-d6) δ 8.32 (d, J = 4.6 Hz, 1H), 8.11–8.06 (m, 2H), 7.56 (dd, J = 8.4, 2.8 Hz, 2H), 7.15–7.12 (m, 1H), 6.71 (s, 2H, NH2). 13C NMR (DMSO-d6) δ 164.3, 162.8, 159.8, 136.3, 135.7, 129.2, 128.9, 106.1. MS, m/z (%): 206.03 [M + 1].
- 4-(4-methoxyphenyl)pyrimidin-2-amine (3c), White solid (0.098 g, 85%). M.p. 189-191 °C. (lit 191 °C) [54] IR (νmax/cm−1): 3456 (NH), 3130, 2989 (CHs), 1614, 1548 (C=N and C=C), 1170 (C-O). 1H NMR (DMSO-d6) δ 8.24 (d, J = 5.2 Hz, 1H), 8.04 (d, J = 8.8 Hz, 2H), 7.06 (d, J = 5.2 Hz, 1H), 7.04 (d, J = 8.8 Hz, 2H), 6.57 (s, 2H, NH2), 3.82 (s, 3H, OCH3). 13C NMR (DMSO-d6) δ 164.2, 163.6, 161.7, 159.2, 129.8, 128.7, 114.5, 105.5, 55.8. MS, m/z (%): 201.96 [M + 1].
- 4-(4-(trifluoromethyl)phenyl)pyrimidin-2-amine (3d), White solid (0.118 g, 86%). M.p. 180–182 °C. IR (νmax/cm−1): 3484 (NH), 3156 (CH), 1627, 1553 (C=N and C=C), 1311 (CF3), 1120 (C–N). 1H NMR (DMSO-d6) δ 8.38 (d, J = 5.1 Hz, 1H), 8.29–8.25 (m, 2H), 7.87 (d, J = 8.2 Hz, 2H), 7.21 (d, J = 5.1 Hz, 1H), 6.80 (s, 2H, NH2). 13C NMR (DMSO-d6) δ 164.33, 162.49, 160.07, 141.42, 130.35 (q,2JF-C = 33.25 Hz), 127.95, 126.10 (q,3JF-C = 3.50 Hz), 124.61 (q,1JF-C = 271.25 Hz), 106. 73.MS, m/z (%): 240.01 [M + 1].
- 4-(4-(trifluoromethoxy)phenyl)pyrimidin-2-amine (3e), White solid (0.122 g, 85%). M.p. 188–190 °C. IR (νmax/cm−1): 3280 (NH), 3136, 2931 (CHs), 1625, 1560 (C=N and C=C), 1278 (CF3), 1150 (C–O). 1H NMR (DMSO-d6) δ 8.34 (d, J = 5.1 Hz, 1H), 8.19 (d, J = 8.8 Hz, 2H), 7.52–7.43 (m, 2H), 7.15 (d, J = 5.2 Hz, 1H), 6.73 (s, 2H, NH2). 13C NMR (DMSO-d6) δ 163.80, 162.14, 159.35, 149.84, 136.19, 128.79, 121.03 (q,1JF-C = 255.50 Hz), 120.04, 105.85. MS, m/z (%): 256.02 [M + 1].
- 2-amino-4-phenylpyrimidine-5-carbonitrile (3f), White solid (0.098 g, 88%). M.p. 149-151 °C. (lit. 150.85 °C [55]), IR (νmax/cm−1): 3290 (NH), 3127 (CHs), 2210 (CN), 1656, 1572 (C=N and C=C), 1214 (C–N). 1H NMR (DMSO-d6) δ 8.73 (s, 1H), 7.88–7.82 (m, 4H), 7.61–7.54 (m, 4H).1 13C NMR (DMSO-d6) δ 168.5, 164.2, 163.8, 136.4, 131.6, 129.0, 128.8, 118.6, 93.1. MS, m/z (%): 195.04 [M + 1].
- 2-amino-4-(4-chlorophenyl)pyrimidine-5-carbonitrile (3g), White solid; (0.1 g, 76%). M.p. 166-168 °C. (lit. 167.60 °C [56]), IR (νmax/cm−1): 3297 (NH), 3107 (CH), 2205 (CN), 1647, 1578 (C=N and C=C), 1082 (C–N), 786 (C−Cl). 1H NMR (DMSO-d6) δ 8.74 (s, 1H), 7.93–7.85 (m, 4H), 7.65 (d, J = 8.5 Hz, 2H). 13C NMR (DMSO-d6) δ 167.3, 164.3, 163.8, 136.5, 135.1, 130.6, 129.2, 118.4, 93.0. MS, m/z (%): 231.65 [M − 1].
- 2-amino-4-(4-fluorophenyl)pyrimidine-5-carbonitrile (3h), White solid (0.107 g, 88%). M.p. 214–216 °C. IR (νmax/cm−1): 3290 (NH), 3106 (CHs), 2216 (CN), 1653, 1571 (C=N and C=C), 1228 (C−F), 1157 (C−N). 1H NMR (DMSO-d6) δ 8.73 (s, 1H), 7.94 (dd, J = 8.7, 5.5 Hz, 2H), 7.86 (d, J = 14.0 Hz, 2H), 7.44–7.37 (m, 3H). 13C NMR (DMSO-d6) δ 167.3, 164.2 (d,1JF-C = 248.5 Hz), 164.24, 163.74, 132.82 (d,4JF-C = 3.5 Hz), 131.36 (d,3JF-C = 8.75 Hz), 118.5, 116.14 (d,2JF-C = 21 Hz), 92.93. MS, m/z (%): 212.89 [M − 2].
3.1.3. General Procedure for the Preparation of Guanidines (4a,b)
- 1-Phenylguanidine (4a), 1H NMR (DMSO-d6) δ 7.56 (d, J = 8.7 Hz, 2H), 6.79 (dd, J = 8.7, 2.3 Hz, 2H), 6.69 (d, J = 2.3 Hz, 2H), 6.10 (d, J = 1.5 Hz, 2H).
- 3-Guanidinobenzenesulfonamide (4b), Tan white solid (0.2 g, 85%).M.p 164–166 (lit. 165.13 °C [58]). 1H NMR (DMSO-d6) δ 10.26 (s, 1H), 7.72–7.69 (m, 4H), 7.67–7.61 (m, 2H), 7.47 (d, J = 6.9 Hz, 3H). 13C NMR (DMSO-d6) δ 155.95, 145.30, 136.13, 130.48, 127.21, 123.11, 120.95
3.1.4. General Procedure for the Preparation of 2-Anilinopyrimidine Derivatives (5a–m)
- 3-((4-Phenylpyrimidin-2-yl)amino)benzenesulfonamide (5a), White solid (0.159 g, 85%). M.p. >300 °C. IR (νmax/cm−1): 3271 (NH), 2931 (CHs), 1634, 1556 (C=N and C=C), 1410 (S=O), 1143 (C−N). 1H NMR (DMSO-d6) δ 9.90 (s, 1H), 8.60–8.53 (m, 1H), 8.51 (s, 1H), 8.27–8.22 (m, 3H), 7.79 (s, 1H), 7.58–7.51 (m, 5H), 7.48–7.37 (m, 2H). 13C NMR (DMSO-d6) δ 163.57, 159.97, 159.22, 136.36, 131.03, 128.39, 127.10, 118.34, 115.67. MS, m/z (%): 325.11 [M − 1]
- 3-((4-(4-Chlorophenyl)pyrimidin-2-yl)amino)benzenesulfonamide (5b), White solid (0.180 g, 87%). M.p. 245–247 °C. White solid (0.170 g, 83%). M.p. 263–265 °C. IR (νmax/cm−1): 3263 (NH), 3070 (CH), 1567, 1543 (C=N and C=C), 1425 (S=O), 1145 (C-N), 773 (C−Cl). 1H NMR (DMSO-d6) δ 10.08 (s, 1H, NH), 8.67–8.66 (m, 1H), 8.63 (d, J = 5.2 Hz, 1H), 8.28 (d, J = 8.7 Hz, 2H), 7.84-7.86 (m, 1H), 7.61 (d, J = 8.6 Hz, 2H), 7.54–7.49 (m, 2H), 7.45 (dt, J = 7.8, 1.3 Hz, 1H), 7.33 (s, 2H, NH2). 13C NMR (DMSO-d6) δ 162.81, 160.36, 160.00, 144.94, 141.36, 136.31, 135.65, 129.64, 129.45, 129.37, 122.15, 118.91, 116.17, 108.90.MS, m/z (%): 358.91[M − 2].
- 3-((4-(4-Methoxyphenyl)pyrimidin-2-yl)amino)benzenesulfonamide (5c), A white solid (0.117 g, 87%) was obtained. M.p. 242–244 °C. IR (νmax/cm−1): 3270 (NH), 2930 (CHs), 1652, 1590 (C=N and C=C), 1422 (S=O), 1253 (C−O), 1168 (C−N). 1H NMR (DMSO-d6) δ 9.96 (s, 1H), 8.66 (d, J = 2.3 Hz, 1H), 8.53 (d, J = 5.2 Hz, 1H), 8.22 (d, J = 8.8 Hz, 2H), 7.87–7.82 (m, 1H), 7.49 (s, 1H), 7.43 (d, J = 5.4 Hz, 2H), 7.32 (s, 2H), 7.08 (d, J = 8.8 Hz, 2H), 3.85 (s, 3H, OCH3). 13C NMR (DMSO-d6) δ 163.7, 162.2, 160.3, 159.3, 145.0, 141.6, 129.3, 129.2, 129.1, 122.0, 118.7, 116.0, 114.7, 108.2, 55.9. MS, m/z (%): 355.18 [M − 1].
- 3-((4-(4-(Trifluoromethyl)phenyl)pyrimidin-2-yl)amino)benzenesulfonamide (5d), White solid (0.195 g, 87%). M.p. 150–152 °C. IR (νmax/cm−1): 3297, 3207 (NHs), 3070 (CH), 1545 (C=C), 1420 (S=O), 1319 (C-F), 1111 (C−N). 1H NMR (DMSO-d6) δ 10.15 (s, 1H, NH), 8.72–8.63 (m, 2H), 8.45 (d, J = 7.9 Hz, 2H), 7.90 (d, J = 8.0 Hz, 2H), 7.87–7.82 (m, 1H), 7.60 (d, J = 5.2 Hz, 1H), 7.50 (d, J = 7.9 Hz, 1H), 7.44 (d, J = 7.7 Hz, 1H), 7.34 (s, 2H, NH2). 13C NMR (DMSO-d6) δ 162.4, 160.4, 160.3, 145.0, 141.3, 140.8, 132.3 (q,2JF-C = 29.75 Hz), 129.7, 128.4, 126.26 (q,3JF-C = 3.5 Hz), 124.05 (q,1JF-C = 269.5 Hz), 122.2, 119.0, 116.3, 109.5. MS, m/z (%): 393.02 [M − 1].
- 3-((4-(4-(Trifluoromethoxy)phenyl)pyrimidin-2-yl)amino)benzenesulfonamide (5e), White solid; (0.2 g, 86%). M.p. 252–254 °C. IR (νmax/cm−1): 3349, 3288 (NHs), 3072 (CH), 1549 (C=C), 1424 (S=O), 1277 (C–F), 1153 (CFO). 1H NMR (DMSO-d6) δ 10.10 (s, 1H, NH), 8.68–8.61 (m, 2H), 8.41–8.33 (m, 2H), 7.85 (dd, J = 8.3, 2.2 Hz, 1H), 7.56–7.49 (m, 4H), 7.47–7.41 (m, 1H), 7.34 (s, 2H, NH2). 13C NMR (DMSO-d6) δ 162.6, 160.4, 160.1, 150.7, 145.0, 141.4, 136.0, 129.7, 129.6, 122.2, 121.6, 121.2, 120.04 (q,1JF-C = 257.14 Hz), 118.9, 116.2, 109.1. MS, m/z (%): 411.07 [M − 1].
- 3-((4-(4-Fluorophenyl)pyrimidin-2-yl)amino)benzenesulfonamide (5f), White solid (0.167 g, 86%). M.p. 285–287 °C. IR (νmax/cm−1): 3296 (NH), 3109 (CH), 1590, 1562 (C=N and C=C), 1418 (S=O), 1231 (C–F), 1147 (C–N).1H NMR (DMSO-d6) δ 10.05 (s, 1H, NH), 8.66 –8.65(m, 1H), 8.61 (d, J = 5.2 Hz, 1H), 8.34–8.30 (m, 2H), 7.86 (m, 1H), 7.53–7.48 (m, 2H), 7.46–7.42 (m, 1H), 7.40–7.31 (m, 4H). 13C NMR (DMSO-d6) δ 164.42 (d,1JF-C = 246.75 Hz), 162.97, 160.35, 159.81, 144.98, 141.42, 133.32 (d,4JF-C = 3.5 Hz), 130.03 (d,3JF-C = 8.75 Hz), 129.61, 122.10, 118.85, 116.33 (d,2JF-C = 22.75 Hz), 116.16, 108.77.MS, m/z (%): 341.08 [M − 2].
- 3-((4-(4-Nitrophenyl)pyrimidin-2-yl)amino)benzenesulfonamide (5g), White solid (0.180 g, 85%). M.p. 265–267 °C. IR (νmax/cm−1): 3465, 3391 (NHs), 3015, 2916 (CHs), 1590, 1515 (C=N and C=C), 1550, 1331 (NO2), 1414 (S=O), 1151 (C–N). 1H NMR (DMSO-d6) δ 10.20 (s, 1H, NH), 8.72 (d, J = 5.1 Hz, 1H), 8.68 (s, 1H), 8.52–8.49 (m, 2H), 8.37 (d, J = 8.8 Hz, 2H), 7.84–7.81 (m, 1H), 7.64 (d, J = 5.1 Hz, 1H), 7.51 (m, 1H), 7.47–7.44 (m, 1H), 7.36 (s, 2H, NH2). 13C NMR (DMSO-d6) δ 161.7, 160.6, 160.4, 149.3, 145.0, 142.8, 141.2, 129.7, 128.9, 124.5, 122.3, 119.1, 116.3, 109.9. MS, m/z (%): 370.04 [M − 1].
- 3-((4-(Pyridin-2-yl)pyrimidin-2-yl)amino)benzenesulfonamide (5h), White solid (0.160 g, 86%). M.p. 247–249 °C. IR (νmax/cm−1): 3266 (NH), 3000 (CH), 1590, 1537 (C=N and C=C), 1418 (S=O), 1151 (C–N). 1H NMR (DMSO-d6) δ 10.13 (s, 1H, NH), 8.75 (m, 1H), 8.71 (s, 1H), 8.69 (d, J = 5.0 Hz, 1H), 8.53 (d, J = 7.9 Hz, 1H), 8.01–7.99 (m, 1H), 7.85 (dd, J = 8.1, 2.2 Hz, 1H), 7.80 (d, J = 5.0 Hz, 1H), 7.58 (m,1H), 7.53–7.51 (m, 1H), 7.46–7.43 (m, 1H), 7.34 (s, 2H, NH2). 13C NMR (DMSO-d6) δ 163.3, 160.3, 160.3, 153.9, 150.1, 145.0, 141.4, 138.1, 129.7, 126.4, 122.1, 121.9, 118.9, 116.2, 109.0. MS, m/z (%): 325.97 [M − 2].
- 3-((4-(Pyridin-4-yl)pyrimidin-2-yl)amino)benzenesulfonamide (5i), White solid (0.158 g, 85%). M.p. 289–291 °C. IR (νmax/cm−1): 3266 (NH), 3023 (CH), 1590, 1537 (C=N and C=C), 1420 (S=O), 1171 (C–N). 1H NMR (DMSO-d6) δ 10.18 (s, 1H, NH), 8.80–8.75 (m, 2H), 8.72 (d, J = 5.1 Hz, 1H), 8.67 (s, 1H), 8.19–8.11 (m, 2H), 7.89–7.83 (m, 1H), 7.63 (d, J = 5.1 Hz, 1H), 7.53 –7.50 (m, 1H), 7.47–7.43 (m, 1H), 7.34 (s, 2H, NH2). 13C NMR (DMSO-d6) δ 163.3, 160.6, 160.5, 151.1, 145.0, 144.0, 141.2, 129.7, 122.2, 121.5, 119.1, 116.3, 109.6. MS, m/z (%): 325.97 [M − 2].
- 3-((4-(Pyrazin-2-yl)pyrimidin-2-yl)amino)benzenesulfonamide (5j), White solid (0.152 g, 81%). M.p. 288–290 °C.IR (νmax/cm−1): 3282 (NH), 3071 (CHs), 1594, 1567 (C=N and C=C), 1426 (S=O), 1148 (C–N). 1H NMR (DMSO-d6) δ 10.22 (s, 1H, NH), 9.62 (d, J = 1.5 Hz, 1H), 8.87–8.79 (m, 2H), 8.75 (d, J = 4.9 Hz, 1H), 8.63 (d, J = 2.0 Hz, 1H), 7.88 (dd, J = 8.2, 2.2 Hz, 1H), 7.76 (d, J = 4.9 Hz, 1H), 7.55–7.52 (m, 1H), 7.46 (dt, J = 7.9, 1.3 Hz, 1H), 7.38–7.30 (m, 2H). 13C NMR (DMSO-d6) δ 161.7, 160.7, 160.3, 148.9, 147.2, 145.1, 144.9, 143.3, 141.2, 129.7, 122.3, 119.1, 116.2, 109.4. MS, m/z (%): 324.05 [M − 1].
- 3-((4-(4-Chlorophenyl)-5-cyanopyrimidin-2-yl)amino)benzenesulfonamide (5k), White solid (0.198 g, 90%). M.p. >300 °C. IR (νmax/cm−1): 3311, 3243 (NHs), 3104 (CH), 2221 (CN), 1584, 1554 (C=N and C=C), 1431 (S=O), 1157 (C–N), 787 (C–Cl). 1H NMR (DMSO-d6) δ 9.01 (s, 1H), 8.55–8.31 (m, 1H), 8.05 (s, 2H), 7.86 (d, J = 6.8 Hz, 1H), 7.68 (d, J = 8.2 Hz, 3H), 7.54 (d, J = 6.5 Hz, 3H). 13C NMR (DMSO-d6) δ 167.7, 164.3, 159.9, 145.1, 139.8, 136.7, 134.7, 131.0, 129.9, 129.4, 123.7, 120.8, 117.8, 117.7, 95.6. MS, m/z (%): 384.06 [M − 1].
- 3-((5-Cyano-4-(4-fluorophenyl)pyrimidin-2-yl)amino)benzenesulfonamide (5l), White solid (0.173 g, 82%). M.p. >300 °C. IR (νmax/cm−1): 3307, 3246 (NHs), 2218 (CN), 1562 (C=C), 1430 (S=O), 1233 (C–F), 1156 (C–N). 1H NMR (DMSO-d6) δ 10.82 (s, 1H, NH), 9.01 (s, 1H), 8.44 (s, 1H), 8.11 (s, 2H), 7.88 (d, J = 7.4 Hz, 1H), 7.59–7.48 (m, 2H), 7.46–7.44 (m, 2H), 7.38 (s, 2H, NH2). 13C NMR (DMSO-d6) δ 164.02 (d,1JF-C = 248.5 Hz), 159.9, 145.1, 139.7, 132.34 (q,4JF-C = 2.7 Hz), 131.82 (d,3JF-C = 8.75 Hz), 129.9, 123.7, 120.8, 117.8, 117.7, 116.38 (d,2JF-C = 21 Hz). MS, m/z (%): 368.09 [M − 1].
- 4-Phenyl-2-(phenylamino)pyrimidine-5-carbonitrile (5m), White solid (0.111 g, 71%). M.p. 210–212 °C. IR (νmax/cm−1): 3276 (NH), 3102, 3043 (CHs), 2213 (CN), 1552 (C=C), 1218 (C–N). 1H NMR (DMSO-d6) δ 10.53 (s, 1H, NH), 8.97 (s, 1H), 7.98–7.94 (m, 2H), 7.77 (d, J = 7.9 Hz, 2H), 7.65–7.60 (m, 3H), 7.36 (dd, J = 8.6, 7.3 Hz, 2H), 7.08 (t, J = 7.3 Hz, 1H). 13C NMR (DMSO-d6) δ 167.8, 163.4, 159.7, 138.8, 135.7, 131.4, 128.9, 128.7, 128.6, 128.5, 123.4, 120.4, 117.6. MS, m/z (%): 271.06 [M − 1].
3.2. Antitumor Screening
3.3. In Vitro CDK Inhibition Assay
3.4. Molecular Docking
3.5. Molecular Dynamics (MD) Simulation
3.6. Binding Free Energy Calculations
3.7. ADMET Prediction
4. Conclusions
Supplementary Materials
Author Contributions
Funding
Institutional Review Board Statement
Informed Consent Statement
Data Availability Statement
Acknowledgments
Conflicts of Interest
Sample Availability
References
- Torre, L.A.; Bray, F.; Siegel, R.L.; Ferlay, J.; Lortet-Tieulent, J.; Jemal, A. Global cancer statistics 2012. CA Cancer J. Clin. 2015, 65, 87–108. [Google Scholar] [CrossRef] [PubMed]
- Hamdi, A.; Said, E.; Farahat, A.A.; El-Bialy, S.A.A.; Massoud, M.A.M. Synthesis, and In vivo Antifibrotic Activity of Novel Leflunomide Analogues. Lett. Drug Des. Discov. 2016, 13, 912–920. [Google Scholar] [CrossRef]
- Backus, H.; Groeningen, C.V.; Dukers, W.V.; Bloemena, D.E.; Wouters, D.; Pinedo, H.; Peters, G. Differential expression of cell cycle and apoptosis related proteins in colorectal mucosa, primary colon tumours, and liver metastases. J. Clin. Pathol. 2002, 55, 206–211. [Google Scholar] [CrossRef] [PubMed]
- Rappaport, S.M. Implications of the exposome for exposure science. J. Expo. Sci. Environ. Epidemiol. 2011, 21, 5–9. [Google Scholar] [CrossRef] [PubMed]
- Riedl, S.; Zweytick, D.; Lohner, K. Membrane-active host defense peptides–challenges and perspectives for the development of novel anticancer drugs. Chem. Phys. Lipids 2011, 164, 766–781. [Google Scholar] [CrossRef]
- Hanahan, D.; Weinberg, R.A. The hallmarks of cancer. Cell 2000, 100, 57–70. [Google Scholar] [CrossRef]
- Schumacher, M.; Kelkel, M.; Dicato, M.; Diederich, M. Gold from the sea: Marine compounds as inhibitors of the hallmarks of cancer. Biotechnol. Adv. 2011, 29, 531–547. [Google Scholar] [CrossRef]
- Solary, E.; Droin, N.; Sordet, O.; Rebe, C.; Filomenko, R.; Wotawa, A.; Plenchette, S.; Ducoroy, P. Cell Death Pathways as Targets for Anticancer Drugs; Academic Press: San Diego, CA, USA, 2002. [Google Scholar]
- Dar, T.A.; Singh, L.R. Protein Modificomics: From Modifications to Clinical Perspectives; Academic Press: Cambridge, MA, USA, 2019. [Google Scholar]
- Kumari, N.; Dwarakanath, B.; Das, A.; Bhatt, A.N. Role of interleukin-6 in cancer progression and therapeutic resistance. Tumor Biol. 2016, 37, 11553–11572. [Google Scholar] [CrossRef]
- Bhurta, D.; Bharate, S.B. Analyzing the scaffold diversity of cyclin-dependent kinase inhibitors and revisiting the clinical and preclinical pipeline. Med. Res. Rev. 2022, 42, 654–709. [Google Scholar] [CrossRef]
- Cai, Z.; Liu, Q. Cell cycle regulation in treatment of breast cancer. Transl. Cancer Res. 2017, 1026, 251–270. [Google Scholar]
- Malumbres, M. Cyclin-dependent kinases. Genome Biol. 2014, 15, 122. [Google Scholar] [CrossRef]
- Alsfouk, A. Small molecule inhibitors of cyclin-dependent kinase 9 for cancer therapy. J. Enzyme Inhib. Med. Chem. 2021, 36, 693–706. [Google Scholar] [CrossRef]
- Anshabo, A.T.; Milne, R.; Wang, S.; Albrecht, H. CDK9: A Comprehensive Review of Its Biology, and Its Role as a Potential Target for Anti-Cancer Agents. Front. Oncol. 2021, 11, 678559. [Google Scholar] [CrossRef]
- Chao, S.H.; Price, D.H. Flavopiridol inactivates P-TEFb and blocks most RNA polymerase II transcription in vivo. J. Biol. Chem. 2001, 276, 31793–31799. [Google Scholar] [CrossRef]
- Lücking, U.; Scholz, A.; Lienau, P.; Siemeister, G.; Kosemund, D.; Bohlmann, R.; Briem, H.; Terebesi, I.; Meyer, K.; Prelle, K. Identification of atuveciclib (BAY 1143572), the first highly selective, clinical PTEFb/CDK9 inhibitor for the treatment of cancer. Chem. Med. Chem. 2017, 12, 1776–1793. [Google Scholar] [CrossRef]
- Byrne, M.; Frattini, M.G.; Ottmann, O.G.; Mantzaris, I.; Wermke, M.; Lee, D.J.; Morillo, D.; Scholz, A.; Ince, S.; Valencia, R. Phase I study of the PTEFb inhibitor BAY 1251152 in patients with acute myelogenous leukemia. Blood 2018, 132, 4055. [Google Scholar] [CrossRef]
- Xie, S.; Jiang, H.; Zhai, X.-W.; Wei, F.; Wang, S.-D.; Ding, J.; Chen, Y. Antitumor action of CDK inhibitor LS-007 as a single agent and in combination with ABT-199 against human acute leukemia cells. Acta Pharmacol. Sin. 2016, 37, 1481–1489. [Google Scholar] [CrossRef]
- Yin, T.; Lallena, M.J.; Kreklau, E.L.; Fales, K.R.; Carballares, S.; Torrres, R.; Wishart, G.N.; Ajamie, R.T.; Cronier, D.M.; Iversen, P.W. A Novel CDK9 Inhibitor Shows Potent Antitumor Efficacy in Preclinical Hematologic Tumor ModelsLY2857785 Is a CDK9 Inhibitor with Preclinical Antitumor Activity. Mol. Cancer Ther. 2014, 13, 1442–1456. [Google Scholar] [CrossRef]
- Hughes, T.V.; Emanuel, S.L.; Beck, A.K.; Wetter, S.K.; Connolly, P.J.; Karnachi, P.; Reuman, M.; Seraj, J.; Fuentes-Pesquera, A.R.; Gruninger, R.H.; et al. Moffat,4-Aryl-5-cyano-2-aminopyrimidines as VEGF-R2 inhibitors: Synthesis and biological evaluation. Bioorg. Med. Chem. Lett. 2007, 12, 3266–3270. [Google Scholar] [CrossRef]
- Borvornwat, T.; Praphasri, S.; Kiattawee, C.; Supa, H.M.; Paul, G. Synthesis and evaluation of the NSCLC anti-cancer activity and physical properties of 4-aryl-N-phenylpyrimidin-2-amines. Bioorg. Med. Chem. Lett. 2017, 20, 4749–4754. [Google Scholar]
- Toure, M.A.; Koehler, A.N. Addressing Transcriptional Dysregulation in Cancer through CDK9 Inhibition. Biochemistry 2023, 21, 1114–1123. [Google Scholar] [CrossRef]
- Abdellatif, K.R.A.; Bakr, R.B. Pyrimidine and fused pyrimidine derivatives as promising protein kinase inhibitors for cancer treatment. Med. Chem. Res. 2021, 30, 31–49. [Google Scholar] [CrossRef]
- Al-Tuwaijri, H.M.; Al-Abdullah, E.S.; El-Rashedy, A.A.; Ansari, S.A.; Almomen, A.; Alshibl, H.M.; Haiba, M.E.; Alkahtani, H.M. New Indazol-Pyrimidine-Based Derivatives as Selective Anticancer Agents: Design, Synthesis, and In Silico Studies. Molecules 2023, 28, 3664. [Google Scholar] [CrossRef]
- Khalifa, N.M.; Mohamed, A.A.; Alkahtani, H.M.; Bakheit, A.H. Kinase Inhibitors of Novel Pyridopyrimidinone Candidates: Synthesis and In Vitro Anticancer Properties. J. Chem. 2019, 2019, 2635219. [Google Scholar] [CrossRef]
- Raza, A.C.; Tahir, A.S.; Muhammad, C.; Talha, A.; Imran, S.; Muhammad, T.; Rakesh, K.; Ansari, S.A.; Alkahtani, H.M.; Ansari, S.A.; et al. Molecular modeling of pyrrolo-pyrimidine based analogs as potential FGFR1 inhibitors: A scientific approach for therapeutic drugs. J. Biomol. Struct. Dyn. 2023, 739–1102. [Google Scholar] [CrossRef]
- Wang, F.; Sun, W.; Wang, Y.; Jiang, Y.; Loh, T.-P. Highly Site-Selective Metal-Free C–H Acyloxylation of Stable Enamines. Org. Lett. 2018, 20, 1256–1260. [Google Scholar] [CrossRef]
- Large, S.; Roques, N.; Langlois, B.R. Nucleophilic trifluoromethylation of carbonyl compounds and disulfides with trifluoromethane and silicon-containing bases. J. Org. Chem. 2008, 65, 848–8856. [Google Scholar] [CrossRef]
- Tsubokura, K.; Iwata, T.; Taichi, M.; Kurbangalieva, A.; Fukase, K.; Nakao, Y.; Tanaka, K. Direct guanylation of amino groups by cyanamide in water: Catalytic generation and activation of unsubstituted carbodiimide by scandium (III) triflate. Synlett 2014, 25, 1302–1306. [Google Scholar] [CrossRef]
- Bethiel, R.S.; Moon, Y.C. Vertex Pharmaceuticals Inc. Compounds Useful as Inhibitors of Jak and Other Protein Kinases. Australian Patent Office. AU2010246324B2, 19 September 2011. [Google Scholar]
- Hole, A.J.; Shao, H.; Shi, S.; Huang, S.; Pepper, C.; Fischer, P.M.; Wang, S.; Endicott, J.A.; Noble, M.E. Comparative Structural and Functional Studies of 4-(Thiazol-5-yl)-2-(phenylamino) pyrimidine-5-carbonitrile CDK9 Inhibitors Suggest the Basis for Isotype Selectivity. J. Med. Chem. 2013, 56, 660–670. [Google Scholar] [CrossRef]
- Rahaman, M.H.; Lam, F.; Zhong, L.; Teo, T.; Adams, J.; Yu, M. Targeting CDK9 for Treatment of Colorectal Cancer. Mol. Oncol. 2019, 13, 2178–2193. [Google Scholar] [CrossRef]
- Huang, C.H.; Lujambio, A.; Zuber, J.; Tschaharganeh, D.F.; Doran, M.G.; Evans, M.J. CDK9-Mediated Transcription Elongation is Required for MYC Addiction in Hepatocellular Carcinoma. Genes Dev. 2014, 28, 1800–1814. [Google Scholar] [CrossRef]
- Xu, J.; Xu, S.; Fang, Y.; Chen, T.; Xie, X.; Lu, W. Cyclin-Dependent Kinase 9 Promotes Cervical Cancer Development Via AKT2/p53 Pathway. IUBMB Life 2019, 71, 347–356. [Google Scholar] [CrossRef] [PubMed]
- Mitra, P.; Yang, R.M.; Sutton, J.; Ramsay, R.G.; Gonda, T.J. CDK9 inhibitors selectively target estrogen receptor-positive breast cancer cells through combined inhibition of MYB and MCL-1 expression. Oncotarget 2016, 7, 9069–9083. [Google Scholar] [CrossRef] [PubMed]
- Cheng, S.S.; Qu, Y.Q.; Wu, J.; Yang, G.-J.; Liu, H.; Wang, W.; Huang, Q.; Chen, F.; Li, G.; Wong, C.-Y. Inhibition of the CDK9–cyclin T1 protein–protein interaction as a new approach against triple-negative breast cancer. Acta Pharm. Sin. B 2022, 12, 1390–1405. [Google Scholar] [CrossRef] [PubMed]
- Mosmann, T. Rapid colorimetric assay for cellular growth and survival: Application to proliferation and cytotoxicity assays. J. Immunol. Methods 1983, 65, 55–63. [Google Scholar] [CrossRef]
- Denizot, F.; Lang, R. Rapid colorimetric assay for cell growth and survival: Modifications to the tetrazolium dye procedure giving improved sensitivity and reliability. J. Immunol. Methods. 1986, 89, 271–277. [Google Scholar] [CrossRef]
- Huang, Z.; Wang, T.; Wang, C.; Fan, Y.J.R.M.C. CDK9 inhibitors in cancer research. RSC Med. Chem. 2022, 13, 688–710. [Google Scholar] [CrossRef]
- Hakami, A.R.; Bakheit, A.H.; Almehizia, A.A.; Ghazwani, M.Y. Selection of SARS-CoV-2 main protease inhibitor using structure-based virtual screening. Future Med. Chem. 2022, 14, 61–79. [Google Scholar] [CrossRef]
- Ji, B.; Liu, S.; He, X.; Man, V.H.; Xie, X.-Q.; Wang, J. Prediction of the binding affinities and selectivity for CB1 and CB2 ligands using homology modeling, molecular docking, molecular dynamics simulations, and MM-PBSA binding free energy calculations. ACS Chem. Neurosci. 2020, 11, 1139–1158. [Google Scholar] [CrossRef]
- Chen, S.-H.; Wang, Y.-R.; Ho, Y.; Lin, S.-J.; Liu, H.-L. Identification of Novel CDK9 Inhibitors with Better Inhibitory Activity and Higher Selectivity for Cancer Treatment by an Effective Two-Stage Virtual Screening Strategy. J. Biomed. Sci. Eng. 2021, 14, 371–390. [Google Scholar] [CrossRef]
- Ahmed, A.F.; Wen, Z.-H.; Bakheit, A.H.; Basudan, O.A.; Ghabbour, H.A.; Al-Ahmari, A.; Feng, C.-W. A Major Diplotaxis harra-Derived Bioflavonoid Glycoside as a Protective Agent against Chemically Induced Neurotoxicity and Parkinson’s Models; In Silico Target Prediction; and Biphasic HPTLC-Based Quantification. Plants 2022, 1, 648. [Google Scholar] [CrossRef]
- Alanazi, A.M.; Bakheit, A.H.; Attwa, M.W.; Abdelhameed, A.S. Spectroscopic, molecular docking and dynamic simulation studies of binding between the new anticancer agent olmutinib and human serum albumin. J. Biomol. Struct. Dyn. 2021, 40, 14236–14246. [Google Scholar] [CrossRef] [PubMed]
- Cavasotto, C.N. Binding free energy calculation using quantum mechanics aimed for drug lead optimization. Methods Mol. Biol. 2020, 2114, 257–268. [Google Scholar] [PubMed]
- Miller III, B.R.; McGee Jr, T.D.; Swails, J.M.; Homeyer, N.; Gohlke, H.; Roitberg, A.E. MMPBSA. py: An efficient program for end-state free energy calculations. J. Chem. Theory Comput. 2012, 8, 3314–3321. [Google Scholar] [CrossRef]
- Bohnert, T.; Gan, L.-S. Plasma protein binding: From discovery to development. J. Pharm. Sci. 2013, 102, 2953–2994. [Google Scholar] [CrossRef] [PubMed]
- El-Kattan, A.; Varma, M. Oral absorption, intestinal metabolism and human oral bioavailability. Top. Drug Metab. 2012, 10, 31087. [Google Scholar]
- Markopoulos, C.; Kykalos, S.; Mantas, D. Impact of CYP2D* 6 in the adjuvant treatment of breast cancer patients with tamoxifen. World J. Clin. Oncol. 2014, 5, 374. [Google Scholar] [CrossRef]
- Phillips, J.C.; Braun, R.; Wang, W.; Gumbart, J.; Tajkhorshid, E.; Villa, E.; Chipot, C.; Skeel, R.D.; Kalé, L.; Schulten, K. Scalable molecular dynamics with NAMD. J. Comput. Chem. 2005, 26, 1781–1802. [Google Scholar] [CrossRef]
- Jo, S.; Kim, T.; Iyer, V.G.; Im, W. CHARMM-GUI: A web-based graphical user interface for CHARMM. J. Comput. Chem. 2008, 29, 1859–1865. [Google Scholar] [CrossRef]
- CSID:11502831. Available online: https://www.chemspider.com/Chemical-Structure.11502831.html (accessed on 30 April 2023).
- Müller, T.J.; Karpov, A.S. Straightforward Novel One-Pot Enaminone and Pyrimidine Syntheses by Coupling-Addition-Cyclocondensation Sequences. Synthesis 2003, 18, 2815–2826. [Google Scholar] [CrossRef]
- CSID:2017055. Available online: https://www.chemspider.com/Chemical-Structure.2017055.html (accessed on 29 April 2023).
- CSID:631819. Available online: https://www.chemspider.com/Chemical-Structure.631819.html (accessed on 29 April 2023).
- Smith, G. MONO-ARYLGUANIDINES. I. ALPHA-PHENYLGUANIDINE1. J. Am. Chem. Soc. 1929, 51, 476–479. [Google Scholar] [CrossRef]
- CSID:535027. Available online: https://www.chemspider.com/Chemical-Structure.535027.html (accessed on 29 April 2023).
- Hamdi, A.; El-Shafey, H.W.; Othman, D.I.; El-Azab, A.S.; AlSaif, N.A.; Alaa, A.-M. Design, synthesis, antitumor, and VEGFR-2 inhibition activities of novel 4-anilino-2-vinyl-quinazolines: Molecular modeling studies. Bioorg. Chem. 2022, 122, 105710. [Google Scholar] [CrossRef] [PubMed]
- Hamdi, A.; Elhusseiny, W.M.; Othman, D.I.; Haikal, A.; Bakheit, A.H.; El-Azab, A.S.; Al-Agamy, M.H.; Alaa, A.-M. Synthesis, antitumor, and apoptosis-inducing activities of novel 5-arylidenethiazolidine-2, 4-dione derivatives: Histone deacetylases inhibitory activity and molecular docking study. Eur. J. Med. Chem. 2022, 244, 114827. [Google Scholar] [CrossRef]
- El-Shafey, H.W.; Gomaa, R.M.; El-Messery, S.M.; Goda, F.E. Synthetic approaches, anticancer potential, HSP90 inhibition, multitarget evaluation, molecular modeling and apoptosis mechanistic study of thioquinazolinone skeleton: Promising antibreast cancer agent. Bioorg. Chem. 2020, 101, 103987. [Google Scholar] [CrossRef] [PubMed]
- El-Shafey, H.W.; Gomaa, R.M.; El-Messery, S.M.; Goda, F.E. Quinazoline Based HSP90 Inhibitors: Synthesis, Modeling Study and ADME Calculations towards Breast Cancer Targeting. Bioorg. Med. Chem. Lett. 2020, 30, 127281. [Google Scholar] [CrossRef]
- Alkahtani, H.M.; Zen, A.A.; Obaidullah, A.J.; Alanazi, M.M.; Almehizia, A.A.; Ansari, S.A.; Aleanizy, F.S.; Alqahtani, F.Y.; Aldossari, R.M.; Algamdi, R.A.; et al. Synthesis, Cytotoxic Evaluation, and Structure-Activity Relationship of Substituted Quinazolinones as Cyclin-Dependent Kinase 9 Inhibitors. Molecules 2023, 28, 120. [Google Scholar] [CrossRef]
- Othman, D.I.; Hamdi, A.; Abdel-Aziz, M.M.; Elfeky, S.M. Novel 2-arylthiazolidin-4-one-thiazole hybrids with potent activity against Mycobacterium tuberculosis. Bioorg. Chem. 2022, 124, 105809. [Google Scholar] [CrossRef]
- Brooks, B.R.; Brooks, C.L., 3rd; Mackerell, A.D.; Nilsson, L., Jr.; Petrella, R.J.; Roux, B.; Won, Y.; Archontis, G.; Bartels, C.; Boresch, S.; et al. CHARMM: The biomolecular simulation program. J. Comput.Chem. 2009, 30, 1545–1614. [Google Scholar] [CrossRef]
- Lee, J.; Cheng, X.; Swails, J.M.; Yeom, M.S.; Eastman, P.K.; Lemkul, J.A.; Wei, S.; Buckner, J.; Jeong, J.C.; Qi, Y.; et al. CHARMM-GUI Input Generator for NAMD, GROMACS, AMBER, OpenMM, and CHARMM/OpenMM Simulations Using the CHARMM36 Additive Force Field. J. Chem. Theory Comput. 2016, 12, 405–413. [Google Scholar] [CrossRef]
- Cheng, F.; Yu, Y.; Shen, J.; Yang, L.; Li, W.; Liu, G.; Lee, P.W.; Tang, Y. Classification of cytochrome P450 inhibitors and noninhibitors using combined classifiers. J. Chem. Inf. Model. 2011, 51, 996–1011. [Google Scholar] [CrossRef]
- Banks, W.A. From blood–brain barrier to blood–brain interface: New opportunities for CNS drug delivery. Nat. Rev. Drug Discov. 2016, 15, 275–292. [Google Scholar] [CrossRef] [PubMed]









![]() | |||||||
|---|---|---|---|---|---|---|---|
| Comp. No. | R | R1 | IC50 (µM) | ||||
| HCT116 | HepG2 | HeLa | MCF7 | WI-38 | |||
| 3a | C6H4 | H | 41.58 ± 2.5 | 37.29 ± 2.4 | 33.04 ± 2.2 | 21.81 ± 1.6 | >100 |
| 3b | 4-ClC6H4 | H | 29.14 ± 2.0 | 18.85 ± 1.3 | 15.18 ± 1.2 | 10.21 ± 0.9 | 93.87 ± 5.1 |
| 3c | 4-OCH3C6H4 | H | >100 | 74.35 ± 3.7 | 86.18 ± 4.3 | 62.14 ± 3.6 | 58.11 ± 3.6 |
| 3d | 4-CF3C6H4 | H | >100 | 91.67 ± 4.9 | >100 | 87.12 ± 4.6 | >100 |
| 3e | 4-OCF3C6H4 | H | 61.32 ± 3.5 | 39.13 ± 2.3 | 47.01 ± 2.6 | 26.30 ± 1.8 | 74.60 ± 4.2 |
| 3f | C6H4 | CN | 30.47 ± 2.1 | 8.18 ± 0.8 | 18.24 ± 1.4 | 6.08 ± 0.4 | 55.18 ± 3.2 |
| 3g | 4-ClC6H4 | CN | 45.01 ± 2.6 | 44.18 ± 2.5 | 34.66 ± 2.1 | 52.89 ± 2.9 | 82.73 ± 4.8 |
| 3h | 4-FC6H4 | CN | 94.24 ± 5.3 | 67.02 ± 3.5 | 82.54 ± 4.1 | 59.03 ± 3.4 | >100 |
| 5a | C6H4 | H | 25.85 ± 1.8 | 7.84 ± 0.6 | 11.51 ± 0.9 | 3.84 ± 0.2 | 37.90 ± 2.5 |
| 5b | 4-ClC6H4 | H | 53.81 ± 2.9 | 40.86 ± 2.4 | 36.26 ± 2.3 | 43.66 ± 2.5 | 78.52 ± 4.4 |
| 5c | 4-OCH3C6H4 | H | 38.07 ± 2.4 | 24.39 ± 1.8 | 29.76 ± 2.1 | 16.13 ± 1.3 | 56.33 ± 3.4 |
| 5d | 4-CF3C6H4 | H | 33.79 ± 2.2 | 11.72 ± 1.0 | 22.21 ± 1.7 | 8.72 ± 0.7 | 51.93 ± 3.1 |
| 5e | 4-OCF3C6H4 | H | 56.65 ± 3.1 | 81.34 ± 4.1 | 38.75 ± 2.5 | 73.96 ± 4.2 | 64.32 ± 3.9 |
| 5f | 4-FC6H4 | H | 65.92 ± 3.7 | 46.75 ± 2.6 | 51.38 ± 2.8 | 57.23 ± 3.2 | 26.85 ± 2.0 |
| 5g | 4-NO2C6H4 | H | 57.48 ± 3.4 | 84.62 ± 4.3 | 42.62 ± 2.4 | 68.15 ± 3.9 | 31.08 ± 2.3 |
| 5h | 2-Pyridinyl | H | 35.12 ± 2.3 | 28.03 ± 2.1 | 25.38 ± 1.9 | 14.29 ± 1.2 | >100 |
| 5i | 4-Pyridinyl | H | 72.19 ± 4.0 | 52.57 ± 2.9 | 63.72 ± 3.2 | 32.17 ± 2.1 | 19.74 ± 1.3 |
| 5j | 2-Pyrazinyl | H | >100 | 85.34 ± 4.3 | 92.38 ± 4.8 | 71.34 ± 4.0 | 60.48 ± 3.7 |
| 5k | 4-ClC6H4 | CN | 75.34 ± 4.3 | 48.58 ± 2.7 | 66.20 ± 3.4 | 39.52 ± 2.3 | 27.05 ± 2.2 |
| 5l | 4-FC6H4 | CN | 83.68 ± 4.6 | 56.17 ± 3.2 | 74.91 ± 3.7 | 46.04 ± 2.6 | 39.27 ± 2.7 |
| 5m | C6H4 | CN | 23.56 ± 1.5 | 88.39 ± 4.6 | 9.83 ± 0.7 | 76.29 ± 4.3 | 73.26 ± 4.1 |
| DOX | - | - | 5.23 ± 0.3 | 4.50 ± 0.2 | 5.57 ± 0.4 | 4.17 ± 0.2 | 6.72 ± 0.5 |
| Comp. No | IC50 (µM) | ||
|---|---|---|---|
| CDK7/CycT1 | CDK8/CycT1 | CDK9/CycT1 | |
| 5a | 0.875 | 2.302 | 0.449 |
| 5b | 3.005 | 3.813 | 0.059 |
| 5c | 0.966 | 6.3 | 0.246 |
| 5d | 0.661 | 0.716 | 0.073 |
| 5e | 1.097 | 1.894 | 0.149 |
| 5f | 0.479 | 1.528 | 0.200 |
| 5g | 1.336 | 4.187 | 1.743 |
| 5h | 3.184 | 6.556 | 0.191 |
| 5i | 4.331 | 4.368 | 1.671 |
| 5j | 1.459 | 4.053 | 0.111 |
| 5k | 1.732 | 3.662 | 0.613 |
| 5l | 1.918 | 1.651 | 0.967 |
| 5m | 0.703 | 1.426 | 1.957 |
| Atuveciclib | - | - | 0.013 |
| Comp | Ligand | Receptor | Interaction | Distance | E (kcal/mol) | Score (kcal/mol) |
|---|---|---|---|---|---|---|
| Atuveciclib (Control) | N 22 | O CYS 106 (A) | H-donor | 3.1 | −2.7 | −7.32 |
| N 20 | N CYS 106 (A) | H-acceptor | 3.21 | −3 | ||
| 6-ring | CB ASP 109 (A) | pi-H | 3.88 | −0.3 | ||
| 5b | N 15 | O CYS 106 (A) | H-donor | 3.28 | −2.2 | −7.151 |
| N 23 | O ILE 25 (A) | H-donor | 3.04 | −1.5 | ||
| C 34 | O ASP 104 (A) | H-donor | 3.49 | −0.4 | ||
| CL 1 | NZ LYS 48 (A) | H-acceptor | 3.32 | −1 | ||
| O 22 | CA GLY 26 (A) | H-acceptor | 3.4 | −0.3 | ||
| N 33 | N CYS 106 (A) | H-acceptor | 3.04 | −4.1 | ||
| 6-ring | CB ILE 25 (A) | pi-H | 4.34 | −0.4 | ||
| 6-ring | CB ASP 109 (A) | pi-H | 4.05 | −0.3 | ||
| 5d | N 11 | O CYS 106 (A) | H-donor | 3.11 | −3.2 | −7.075 |
| N 37 | O ILE 25 (A) | H-donor | 3.05 | −1.1 | ||
| N 14 | N CYS 106 (A) | H-acceptor | 3.07 | −4 | ||
| F 28 | NZ LYS 48 (A) | H-acceptor | 3.24 | −0.4 | ||
| F 29 | CE LYS 48 (A) | H-acceptor | 3.14 | −0.3 | ||
| 6-ring | CB ILE 25 (A) | pi-H | 4.43 | −0.3 | ||
| 6-ring | CG2 VAL 33 (A) | pi-H | 4.39 | −0.3 | ||
| 6-ring | CB ASP 109 (A) | pi-H | 4.01 | −0.3 |
| Compound | ΔGvdw (kcal/mol) | ΔGele (kcal/mol) | ΔGsolvation; Polar | ΔGsolvation; SASA | ΔGbinding (kcal/mol) |
|---|---|---|---|---|---|
| 5b | −38.5344 | −33.1681 | 19.2 | −25.05 | −77.5586 |
| Comp. | MW | LogP | nHBA | nHBD | nVs |
|---|---|---|---|---|---|
| Lipinski * | ≤500 | ≤5 | ≤10 | ≤5 | ≤1 |
| 5a | 326.38 | 2.51 | 6 | 2 | 0 |
| 5b | 360.82 | 3.11 | 6 | 2 | 0 |
| 5c | 356.40 | 2.44 | 7 | 2 | 0 |
| 5d | 394.38 | 3.36 | 6 | 2 | 0 |
| 5e | 410.37 | 3.60 | 7 | 2 | 0 |
| 5f | 344.37 | 2.61 | 6 | 2 | 0 |
| 5g | 371.38 | 1.59 | 9 | 2 | 0 |
| 5h | 327.36 | 1.60 | 7 | 2 | 0 |
| 5i | 327.36 | 1.51 | 7 | 2 | 0 |
| 5j | 328.35 | 0.93 | 8 | 2 | 0 |
| 5k | 385.83 | 2.95 | 7 | 2 | 0 |
| 5l | 369.38 | 2.44 | 7 | 2 | 0 |
| 5m | 272.31 | 3.58 | 4 | 1 | 0 |
| Comp. No. | IC50 (µM) | pIC50 | N | LE | LLE |
|---|---|---|---|---|---|
| 5a | 0.449 | 6.348 | 23 | 0.38689 | 3.9758 |
| 5b | 0.059 | 7.230 | 24 | 0.36828 | 3.3262 |
| 5c | 0.246 | 6.609 | 25 | 0.35384 | 4.0076 |
| 5d | 0.073 | 7.137 | 27 | 0.32539 | 3.0453 |
| 5e | 0.149 | 6.827 | 28 | 0.31293 | 2.7773 |
| 5f | 0.200 | 6.699 | 24 | 0.36943 | 3.8517 |
| 5g | 1.743 | 5.759 | 26 | 0.33929 | 4.8413 |
| 5h | 0.191 | 6.719 | 23 | 0.38681 | 4.8844 |
| 5i | 1.671 | 5.778 | 23 | 0.38681 | 4.9754 |
| 5j | 0.111 | 6.955 | 23 | 0.38673 | 5.5526 |
| 5k | 0.613 | 6.213 | 26 | 0.33841 | 3.4615 |
| 5l | 0.967 | 6.015 | 26 | 0.33941 | 3.9856 |
| 5m | 1.957 | 5.708 | 21 | 0.42887 | 2.9828 |
| Compound | HIA | HOB | PPB | BBB | CYP2D6 Binding | Hepatotoxicity | Carcinogenicity |
|---|---|---|---|---|---|---|---|
| 5a | + | + | 0.992 | + | − | 0.65 | − |
| 5b | + | + | 0.947 | + | − | 0.738 | − |
| 5c | + | + | 0.866 | + | − | 0.575 | − |
| 5d | + | + | 0.931 | + | − | 0.725 | − |
| 5e | + | + | 0.965 | + | − | 0.725 | − |
| 5f | + | + | 0.936 | + | − | 0.738 | − |
| 5g | + | + | 0.933 | + | − | 0.7875 | − |
| 5h | + | + | 0.85 | + | − | 0.675 | − |
| 5i | + | + | 0.915 | + | − | 0.688 | − |
| 5j | + | + | 0.79 | + | − | 0.675 | − |
| 5k | + | + | 0.907 | + | − | 0.675 | − |
| 5l | + | + | 0.906 | + | − | 0.688 | − |
| 5m | + | + | 0.979 | + | − | 0.8 | − |
| Atuveciclib | + | + | 0.972 | + | − | 0.68 | − |
Disclaimer/Publisher’s Note: The statements, opinions and data contained in all publications are solely those of the individual author(s) and contributor(s) and not of MDPI and/or the editor(s). MDPI and/or the editor(s) disclaim responsibility for any injury to people or property resulting from any ideas, methods, instructions or products referred to in the content. |
© 2023 by the authors. Licensee MDPI, Basel, Switzerland. This article is an open access article distributed under the terms and conditions of the Creative Commons Attribution (CC BY) license (https://creativecommons.org/licenses/by/4.0/).
Share and Cite
Eskandrani, R.; Al-Rasheed, L.S.; Ansari, S.A.; Bakheit, A.H.; Almehizia, A.A.; Almutairi, M.; Alkahtani, H.M. Targeting Transcriptional CDKs 7, 8, and 9 with Anilinopyrimidine Derivatives as Anticancer Agents: Design, Synthesis, Biological Evaluation and In Silico Studies. Molecules 2023, 28, 4271. https://doi.org/10.3390/molecules28114271
Eskandrani R, Al-Rasheed LS, Ansari SA, Bakheit AH, Almehizia AA, Almutairi M, Alkahtani HM. Targeting Transcriptional CDKs 7, 8, and 9 with Anilinopyrimidine Derivatives as Anticancer Agents: Design, Synthesis, Biological Evaluation and In Silico Studies. Molecules. 2023; 28(11):4271. https://doi.org/10.3390/molecules28114271
Chicago/Turabian StyleEskandrani, Razan, Lamees S. Al-Rasheed, Siddique Akber Ansari, Ahmed H. Bakheit, Abdulrahman A. Almehizia, Maha Almutairi, and Hamad M. Alkahtani. 2023. "Targeting Transcriptional CDKs 7, 8, and 9 with Anilinopyrimidine Derivatives as Anticancer Agents: Design, Synthesis, Biological Evaluation and In Silico Studies" Molecules 28, no. 11: 4271. https://doi.org/10.3390/molecules28114271
APA StyleEskandrani, R., Al-Rasheed, L. S., Ansari, S. A., Bakheit, A. H., Almehizia, A. A., Almutairi, M., & Alkahtani, H. M. (2023). Targeting Transcriptional CDKs 7, 8, and 9 with Anilinopyrimidine Derivatives as Anticancer Agents: Design, Synthesis, Biological Evaluation and In Silico Studies. Molecules, 28(11), 4271. https://doi.org/10.3390/molecules28114271


