A Quantitative Approach to Determine Hydrophobe Content of Associating Polyacrylamide Using a Fluorescent Probe
Abstract
1. Introduction
2. Results and Discussion
2.1. Synthesis and Structural Characterization of HAPAM
2.2. Determination of Hydrophobic Content of HAPAM with Fluorescence Spectra
2.2.1. Fluorescence Spectra Results
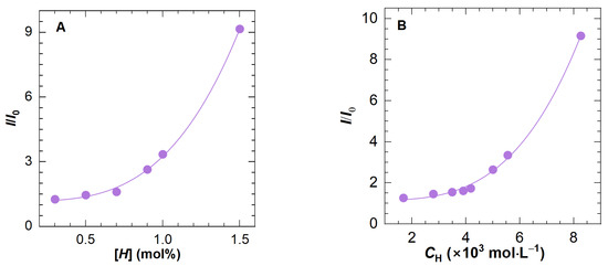
2.2.2. Scaling Relationship
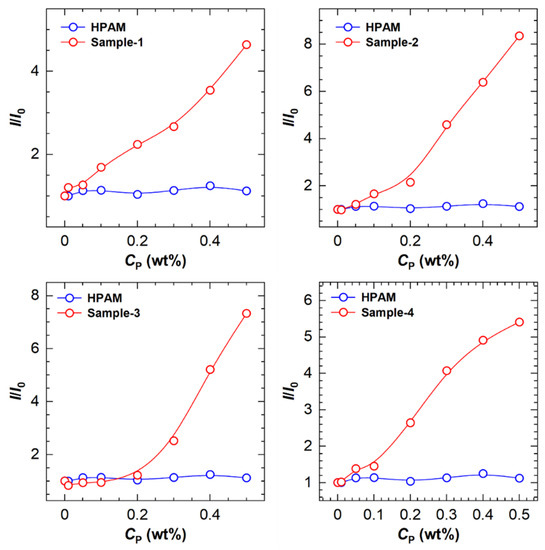
2.3. Application of Scaling Relationship to Hydrophobic Associating Polyelectrolyte
3. Experimental Section
3.1. Materials
3.2. Synthesis of HAPAM by Post Modification
3.3. 1H NMR Spectroscopy
3.4. Fluorescence Spectroscopy
4. Conclusions
Supplementary Materials
Author Contributions
Funding
Institutional Review Board Statement
Informed Consent Statement
Data Availability Statement
Conflicts of Interest
Sample Availability
References
- Feng, Y.; Billon, L.; Grassl, B.; Bastiat, G.; Borisov, O.; François, J. Hydrophobically associating polyacrylamides and their partially hydrolyzed derivatives prepared by post-modification. 2. Properties of nonhydrolyzed polymers in pure water and brine. Polymer 2005, 46, 9283–9295. [Google Scholar] [CrossRef]
- Liu, R.; Pu, W.F.; Du, D.J. Synthesis and characterization of core–shell associative polymer that prepared by oilfield formation water for chemical flooding. J. Ind. Eng. Chem. 2017, 46, 80–90. [Google Scholar] [CrossRef]
- Klibanov, A.M. Permanently microbicidal materials coatings. J. Mater. Chem. 2007, 17, 2479–2482. [Google Scholar] [CrossRef]
- Yap, R.K.L.; Whittaker, M.; Diao, M.; Stuetz, R.M.; Jefferson, B.; Bulmus, V.; Peirson, W.L.; Nguyen, A.V.; Henderson, R.K. Hydrophobically-associating cationic polymers as micro-bubble surface modifiers in dissolved air flotation for cyanobacteria cell separation. Water Res. 2014, 61, 253–262. [Google Scholar] [CrossRef] [PubMed]
- Susa, M.; Iyer, A.K.; Ryu, K.; Hornicek, F.J.; Mankin, H.; Amiji, M.M.; Duan, Z. Doxorubicin loaded polymeric nanoparticulate delivery system to overcome drug resistance in osteosarcoma. BMC Cancer 2009, 9, 399. [Google Scholar] [CrossRef] [PubMed]
- Feng, Y.; Billon, L.; Grassl, B.; Khoukh, A.; François, J. Hydrophobically associating polyacrylamides and their partially hydrolyzed derivatives prepared by post-modification. 1. Synthesis and characterization. Polymer 2002, 43, 2055–2064. [Google Scholar] [CrossRef]
- McCormick, C.L.; Middleton, J.C.; Cummins, D.F. Water-soluble copolymers. 37. Synthesis and characterization of responsive hydrophobically-modified polyelectrolytes. Macromolecules 1992, 25, 1201–1206. [Google Scholar] [CrossRef]
- Branham, K.D.; Davis, D.L.; Middleton, J.C.; McCormick, C.L. Water-soluble polymers: 59. Investigation of the effects of polymer microstructure on the associative behaviour of amphiphilic terpolymers of acrylamide, acrylic acid and n-[(4-decyl)phenyl] acrylamide. Polymer 1994, 35, 4429–4436. [Google Scholar] [CrossRef]
- Valint, P.L.; Bock, J.; Schulz, D.N. Synthesis and characterization of hydrophobically associating polymers. In PolymE Aqueous Media; Glass, J.E., Ed.; American Chemical Society: Washington, DC, USA, 1989. [Google Scholar]
- Candau, F.; Selb, J. Hydrophobically-modified polyacrylamides prepared by micellar polymerization. Adv. Colloid Interface Sci. 1999, 79, 149–172. [Google Scholar] [CrossRef]
- Bock, J.; Siano, D.B.; Valint, P.L.; Pace, S.J. Structure and properties of hydrophobically associating polymers. In PolymE Aqueous Media; Glass, J.E., Ed.; American Chemical Society: Washington, DC, USA, 1989. [Google Scholar]
- Lacík, I.; Selb, J.; Candau, F. Compositional heterogeneity effects in hydrophobically associating water-soluble polymers prepared by micellar copolymerization. Polymer 1995, 36, 3197–3211. [Google Scholar] [CrossRef]
- Matsuda, T.; Kawakami, R.; Nakajima, T.; Gong, J.P. Crack tip field of a double-network gel: Visualization of covalent bond scission through mechanoradical polymerization. Macromolecules 2020, 53, 8787–8795. [Google Scholar] [CrossRef]
- Boussouira, B.; Ricard, A. Hydrophobic interactions in water soluble cationic polymers studied by fluorescence. Polym. Bull. 1988, 19, 193–199. [Google Scholar] [CrossRef]
- Shashkina, Y.A.; Zaroslov, Y.D.; Smirnov, V.A.; Philippova, O.E.; Khokhlov, A.R.; Pryakhina, T.A.; Churochkina, N.A. Hydrophobic aggregation in aqueous solutions of hydrophobically modified polyacrylamide in the vicinity of overlap concentration. Polymer 2003, 44, 2289–2293. [Google Scholar] [CrossRef]
- Deguchi, S.; Lindman, B. Novel approach for the synthesis of hydrophobe modified polyacrylamide. Direct n-alkylation of polyacrylamide in dimethyl sulfoxide. Polymer 1999, 40, 7163–7165. [Google Scholar] [CrossRef]
- Zhu, R.; Feng, Y.; Luo, P. Net contribution of hydrophobic association to the thickening power of hydrophobically modified polyelectrolytes prepared by micellar polymerization. Macromolecules 2020, 53, 1326–1337. [Google Scholar] [CrossRef]
- Seliskar, C.J.; Brand, L. Solvent dependence of the luminescence of n-arylaminonaphthalenesulfonates. Science 1971, 171, 799–800. [Google Scholar] [CrossRef] [PubMed]
- Siano, D.B.; Bock, J.; Myer, P.; Valint, P.L. Fluorescence and light scattering from water-soluble hydrophobically associating polymers. In Polymers Aqueous Media; Glass, J.E., Ed.; American Chemical Society: Washington, DC, USA, 1989. [Google Scholar]
- McCormick, C.L.; Hoyle, C.E.; Clark, M.D. Water-soluble copolymers: 26. Fluorescence probe studies of hydrophobically modified maleic acid-ethyl vinyl ether copolymers. Polymer 1992, 33, 243–247. [Google Scholar] [CrossRef]
- Edelman, G.M.; McClure, W.O. Fluorescent probes and the conformation of proteins. Acc. Chem. Res. 1968, 1, 65–70. [Google Scholar] [CrossRef]
- Chen, C.; Sun, L.; Liu, X. Effect of degree of hydrolysis of polyacrylamide on the micromorphology of its solution. J. Appl. Polym. Sci. 2022, 139, 51522. [Google Scholar] [CrossRef]









| Polymer Samples | Sa + Sb + Sc | Sd | x (mol%) |
|---|---|---|---|
| H8-x1 | 387.12 | 1.00 | 0.3 |
| H8-x2 | 202.38 | 1.00 | 0.5 |
| H8-x3 | 149.20 | 1.00 | 0.7 |
| H8-x4 | 116.52 | 1.00 | 0.9 |
| H8-x5 | 102.13 | 1.00 | 1.0 |
| H8-x6 | 72.30 | 1.00 | 1.5 |
| H10-x | 206.34 | 1.00 | 0.5 |
| H12-x | 199.82 | 1.00 | 0.5 |
| Sample Number | Sa + Sb + Sc | Sc | Sd | L from 1H NMR Spectroscopy | [H] from 1H NMR Spectroscopy | [H] from Fluorescence Spectra |
|---|---|---|---|---|---|---|
| 1 | 89.88 | 3.77 | 1.00 | 8 | 1.16 | 1.16 |
| 2 | 71.74 | 3.99 | 1.00 | 8 | 1.48 | 1.45 |
| 3 | 203.54 | 10.53 | 1.00 | 18 | 0.52 | 0.61 |
| 4 | 99.40 | 5.16 | 1.00 | 10 | 1.06 | 1.02 |
| Chemicals or Materials | Grade | Manufacturers |
|---|---|---|
| 8-anilino-1-naphthalenesulfonic acid (ANS) | ≥95% | J&K, Shanghai, China |
| Potassium tert-butoxide | 99% | Adamas-beta, Shanghai, China |
| 1-bromododecane | 99% | Adamas-beta, Shanghai, China |
| Decyl bromide | 99% | Adamas-beta, Shanghai, China |
| Octyl bromide | 99% | Adamas-beta, Shanghai, China |
| Anhydrous dimethyl sulfoxide (DMSO) | 99.7%, water ≤ 50 ppm | Adamas-beta, Shanghai, China |
| Polyacrylamide (PAM) | / | Shandong Juxin New Materials, Dongying, China |
| Partially hydrolyzed polyacrylamide (HPAM) | / | Shandong Juxin New Materials, Dongying, China |
| NaCl | AR | Chengdu Chron Chemicals, Chengdu, China |
| CaCl2 | AR | Chengdu Chron Chemicals, Chengdu, China |
| HHAPAM sample 1 | / | SNF, Taizhou, China |
| HHAPAM sample 2 | / | Beijing Hengju Polymer, Beijing, China |
| HHAPAM sample 3 | / | Heilongjiang Jidi Oilfield Service, Suihua, China |
| HHAPAM sample 4 | / | Sichuan Guangya Polymer Chemical, Chengdu, China |
Disclaimer/Publisher’s Note: The statements, opinions and data contained in all publications are solely those of the individual author(s) and contributor(s) and not of MDPI and/or the editor(s). MDPI and/or the editor(s) disclaim responsibility for any injury to people or property resulting from any ideas, methods, instructions or products referred to in the content. |
© 2023 by the authors. Licensee MDPI, Basel, Switzerland. This article is an open access article distributed under the terms and conditions of the Creative Commons Attribution (CC BY) license (https://creativecommons.org/licenses/by/4.0/).
Share and Cite
Su, Z.; Zhang, Y.; Liu, W.; Han, R.; Zhao, X.; Shi, X.; Lu, X.; Zhang, Y.; Feng, Y. A Quantitative Approach to Determine Hydrophobe Content of Associating Polyacrylamide Using a Fluorescent Probe. Molecules 2023, 28, 4152. https://doi.org/10.3390/molecules28104152
Su Z, Zhang Y, Liu W, Han R, Zhao X, Shi X, Lu X, Zhang Y, Feng Y. A Quantitative Approach to Determine Hydrophobe Content of Associating Polyacrylamide Using a Fluorescent Probe. Molecules. 2023; 28(10):4152. https://doi.org/10.3390/molecules28104152
Chicago/Turabian StyleSu, Ziyang, Yu Zhang, Weidong Liu, Ruijing Han, Xuezhi Zhao, Xiaohuo Shi, Xingyu Lu, Yan Zhang, and Yujun Feng. 2023. "A Quantitative Approach to Determine Hydrophobe Content of Associating Polyacrylamide Using a Fluorescent Probe" Molecules 28, no. 10: 4152. https://doi.org/10.3390/molecules28104152
APA StyleSu, Z., Zhang, Y., Liu, W., Han, R., Zhao, X., Shi, X., Lu, X., Zhang, Y., & Feng, Y. (2023). A Quantitative Approach to Determine Hydrophobe Content of Associating Polyacrylamide Using a Fluorescent Probe. Molecules, 28(10), 4152. https://doi.org/10.3390/molecules28104152

