Abstract
The interaction of DNA with different block copolymers, namely poly (trimethylammonium chloride methacryloyoxy)ethyl)-block-poly(acrylamide), i.e., (PTEA)-b-(PAm), and poly (trimethylammonium chloride methacryloyoxy)ethyl)-block-poly(ethylene oxide), i.e., (PTEA)-b-(PEO), was studied. The nature of the cationic block was maintained fixed (PTEA), whereas the neutral blocks contained varying amounts of acrylamide or (ethylene oxide) units. According to results from isothermal titration microcalorimetry measurements, the copolymers interaction with DNA is endothermic with an enthalpy around 4.0 kJ mol−1 of charges for (PTEA)-b-(PAm) and 5.5 kJ mol−1 of charges for (PTEA)-b-(PEO). The hydrodynamic diameters of (PTEA)-b-(PEO)/DNA and (PTEA)-b-(PAm)/DNA polyplexes prepared by titration were around 200 nm at charge ratio (Z+/−) < 1. At Z+/− close and above 1, the (PTEA)50-b-(PAm)50/DNA and (PTEA)50-b-(PAm)200/DNA polyplexes precipitated. Interestingly, (PTEA)50-b-(PAm)1000/DNA polyplexes remained with a size of around 300 nm even after charge neutralization, probably due to the size of the neutral block. Conversely, for (PTEA)96-b-(PEO)100/DNA polyplexes, the size distribution was broad, indicating a more heterogeneous system. Polyplexes were also prepared by direct mixture at Z+/− of 2.0, and they displayed diameters around 120–150 nm, remaining stable for more than 10 days. Direct and reverse titration experiments showed that the order of addition affects both the size and charge of the resulting polyplexes.
1. Introduction
Polyelectrolyte self-assemblies are present in many biological systems, and it is interesting to develop artificial self-assemblies that mimic naturally occurring assembly structures [1,2]. For instance, DNA is a highly negatively charged polyelectrolyte and therefore adopts an extended coil conformation in dilute solutions [3,4]. Considering that several diseases can be treated using gene therapy, numerous efforts have been applied to develop efficient DNA delivery vectors. Viruses can transport genetic material into the nucleus once they go through endocytosis to the cell. However, although cationic non-viral vectors are in general more cytotoxic and less efficient, due to safety reasons, there is an increased interest in the development of nonviral vectors using cationic agents [5], for instance, the surfactants CTAB [6], DODAB and DODAC [7], ester-based cationic gemini surfactants [8], and synthetic polymers such as poly(ethyleneimine) [9,10,11], polylysine [12,13], poly(glycoamidoamine) [14], poly(amide triazole) [15] and poly(amido amine) dendrimer, PAMAM [16,17,18]. Furthermore, there are current human clinical trials using DNA-based vaccines that target various types of diseases such as autoimmune infectious and against coronavirus, for example [19]. Therefore, it is of great interest to develop carrier materials to improve the systemic release of DNA in the body [19].
Cationic molecules bind to the negatively charged DNA backbone, forming a complex in which the DNA backbone is compacted [20,21,22]. Several functional groups are interesting to investigate regarding their attachment to macromolecules, such as trimethylammonium [4] and guanidinium [23], among others. In fact, ammonium groups play an important role in the efficiency of genetic material transport with cationic polymers because they form condensed particles with DNA, sometimes referred to as polyplexes [24].
Many studies seek to design and select appropriate DNA carriers and aim at elucidating the features that govern the interaction between the DNA and the cationic agent and how the biological activity of these polyplexes is preserved. Chen and co-workers synthesized a triblock copolymer of polylysine-b-polyleucine-b-polylysine with different block lengths as free cationic chains and used natural protamine to condense DNA, with results showing that these triblock copolypeptides are able to increase the gene transfection efficiency by a factor of approximately 104 times compared with the use of the polyplexes without the free cationic chains [22]. Jung and co-workers prepared several block copolymers in which the cationic block was fixed as poly(N-(2-aminoethyl) methacrylamide) (PAEMA) with varying hydrophilic blocks including poly(ethylene glycol), poly(oligo(ethylene glycol) methyl ether methacrylate), and poly(2-deoxy-2-methacrylamido glucopyranose). According to their results, the nature of the hydrophilic block plays an important role in determining the structures of pDNA−diblock complexes [25]. However, despite the large number of studies involving the interaction of DNA with cationic polyelectrolytes [3,12,21,22,23,24,25,26,27,28,29,30,31,32,33,34], the thermodynamics of the polyplexes formation is not completely understood yet, especially concerning contributions from interaction forces other than electrostatic ones.
Interactions between macromolecules have been extensively characterized by isothermal titration calorimetry (ITC), a technique that enables the direct measurement of the heat exchange involved when one species is titrated into another, providing information on the extent of interaction as well as on enthalpy changes associated with the binding process. Therefore, ITC is an outstanding tool not only to monitor binding processes but also to produce a complete thermodynamic profile of the system [35,36,37].
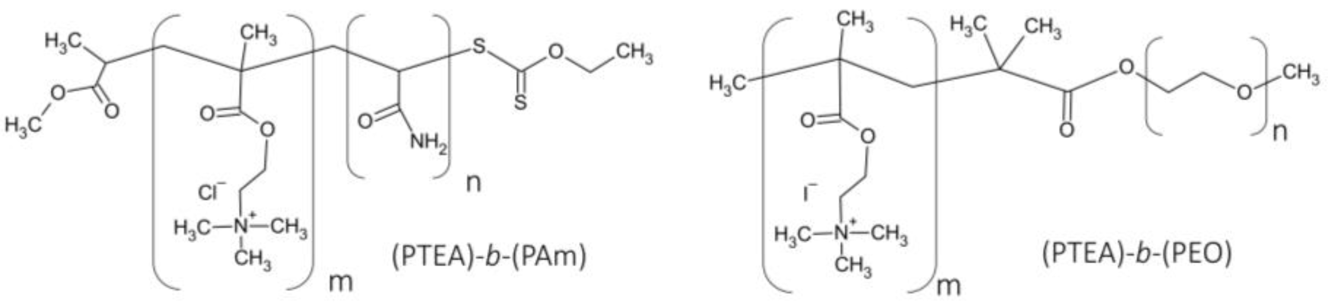
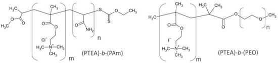
In this paper, we report the preparation of three different block copolymers containing the same cationic and neutral portions but with different neutral block lengths, namely (trimethylammonium chloride methacryloy-oxyethyl)-block-poly(acrylamide), (PTEA)50-b-(PAm)50, and (PTEA)50-b-(PAm)200 and (PTEA)50-b-(PAm)1000. Another copolymer containing poly(ethylene oxide) as the neutral block, (PTEA)96-b-(PEO)100, was also used, as shown in Scheme 1. In this approach, the block copolymers used contained the same cationic block, allowing the assessment of the influence of the type and size of their neutral blocks on the formation of DNA polyplexes. These polyplexes were characterized by isothermal titration microcalorimetry (ITC), zeta potential and dynamic light-scattering measurements, and via circular dichroism spectroscopy.
Scheme 1.
Chemical structures of block copolymers used in this study: (PTEA)50-b-(PAm)50, (PTEA)50-b-(PAm)200, (PTEA)50-b-(PAm)1000, and (PTEA)96-b-(PEO)100.
2. Results and Discussion
Three block copolymers were synthesized with varying sizes of their polyacrylamide blocks and with the same cationic block. The intent was to verify the influence of their neutral acrylamide blocks on the stabilization of the complex formed through the interaction between the cationic portion of the copolymer and the negatively charged DNA. In addition, another block copolymer was modified to contain the same cationic block and with a PEO neutral block instead of PAm, namely (PTEA)96-b-(PEO)100. Table 1 summarizes the copolymers prepared as well as the expected size of each block considering the quantity of reactants used in the synthesis of (PTEA)-b-(PAm). Their dispersity values (Mw/Mn) were calculated using GPC experimental data. The copolymer (PDMAEMA)96-b-(PEO)100 was modified in order to obtain the block copolymer (PTEA)96-b-(PEO)100, and its composition was provided by the supplier.
Table 1.
Composition of the copolymers studied.
The interaction of copolymers with DNA was investigated using ITC, DLS, zeta potential, and circular dichroism measurements, varying the charge ratio between polymer and DNA (Z+/− ratio), that is, the ratio between number of positive charge equivalents of the polymer and the negative charge equivalents of the nucleic acid. We decided to work in low-ionic-strength media because the presence of electrolytes might increase the size of polyplexes due to charge screening effects [38].
Calorimetric titrations of DNA solutions with (PTEA)-b-(PAm) were performed to investigate the energetics of binding. Figure 1a–c show the integrated heats of reaction plotted against Z+/-. For the addition of (PTEA)-b-(PAm) to DNA, in the presence of NaCl 5.0 mM, the enthalpy of interaction (ΔH) is around 4.0 kJ mol−1 expressed per mole of added copolymer in each injection and is constant and endothermic up to Z+/− value around 0.85. This means that this complex formation is entropically driven, probably due to the release of water molecules and counterions that occurs when the opposite charged chains bind. The order of magnitude of these enthalpy changes agrees with previous determination for the interaction of other oppositely charged polymers, suggesting a general behavior [7,38]. Similarly, for (PTEA)96-b-(PEO)100, ITC experiments showed that the interaction is also endothermic with larger values of enthalpy of binding (ΔH) around 5.5 kJ mol−1 expressed per mole of added copolymer in each injection when compared to the (PTEA)-b-(PAm) copolymers and that it remains constant up to Z+/− of 0.83 (Figure 1d).
Figure 1.
Binding enthalpy for titration (a) PTEA50-b-PAm50, (b) PTEA50-b-PAm200, (c) PTEA50-b-PAm1000, and (d) PTEA96-b-PEO100 with DNA, as a function of their charge ratios (Z+/−).
In mixtures with Z+/− below 1.0, DNA in excess interacts with the complexes to produce negatively charged and kinetically stable aggregates. Subsequently to the abrupt decrease in ΔH, after charge neutralization, as Z+/− increases, the observation of ΔH values close to zero indicates that the added polycation does not interact with the structures formed [38]. As soon as a charge ratio of around 1.0 is reached, and before ΔH is close to zero and constant, an endothermic peak occurs. Previous results reported that as the charge ratio approaches stoichiometry, the repulsion decreases, and the complexes gradually transform into a larger complex coacervate by stepwise aggregation until nanophase separation [39]. These findings corroborate with the previously proposed two-step process, in which the first process is related to the formation of complexes of highly charged polyelectrolyte of size around 100 nm, and the second process is the transition of a coacervate phase [38,40]. On the other hand, the complexation between quaternized poly(2-(dimethylamino)ethyl methacrylate-b-laurylmethacrylate-b-(oligo ethylene glycol) methacrylate) amphiphilic triblock terpolymer micelles follows a two-step interaction process only for the terpolymer/short DNA micellar polyplexes (113 bp), and a only a single process is observed when complexation occurs with the 2000 bp DNA [41].
These curves (Figure 1) display features already reported for other electrostatic binding processes involving surfactants and polymers, such as the positive values for enthalpy of binding and the appearance of a bump in the ITC curves close to charge neutrality [38,40]. The latter feature has been ascribed to a two-stage association process in which ion pairs are formed initially, and closer to charge neutrality, the whole system rearranges to form a coacervate that eventually phase separates. In order to better understand the association thermodynamics in the two processes, A and C, observed (with A standing for aggregation and C coacervation), fitting of the calorimetry data was performed using the modified version of the Multiple Non-Interacting Sites (MNIS) model as previously proposed [38]. The interaction between both macromolecules is associated with a binding enthalpy (ΔHb), a binding constant Kb, and a reaction stoichiometry n, which is the number of binding sites assuming that they do not interact one with another [38]. As one macromolecule is titrated into the other, the heat exchange is quantified by the derivative of the heat related to the incremental addition of a small amount of macromolecule (ligand). Thus, using the charge ratio Z+/− to associate the concentration of both macromolecules, the enthalpy can be defined by Equation (1):
where , and is the molar concentration of the macromolecule in the cell. To account for the two-step titration, one assumes that the heat exchange is the sum of the two contributions, for the polyplexes binding and for the coacervation, where stands for aggregates and for coacervates formation. Thus, the total enthalpy change for the titration is the sum of the binding enthalpies for each process, and , namely aggregation and coacervation, respectively, expressed as:
where the function is the fraction of the coacervate phase formed at a specific charge ratio Z+/− and defined as follows:
From the binging enthalpy (), the stoichiometry (), and the binding constant (), the changes in free energy () and in entropy () of the interaction can be calculated as follows:
These parameters were obtained considering the molar composition in terms of charge equivalents (for this system, one charge equals one mer). Table 2 presents the thermodynamic parameters obtained by the fitting of the ITC curves for processes A and C, as described above.
Table 2.
Thermodynamic parameters obtained by fitting of the ITC curves for processes A and C.
Further analysis of the thermodynamics of process C shows that the coacervation/precipitation is exothermic for the addition of all the block copolymers in DNA. The enthalpy values were similar for all the polyplexes, with exception of PTEA96-b-PEO100 with DNA, whose binding is found to be more energetic.
Moreover, the entropy changes are positive and in the range of 103–155 J mol−1 K−1, confirming an entropically driven process because enthalpy values are positive, which is in accordance with previous studies [38,42]. The entropy values of process A are greater than those of process C, as is for Gibbs free energy. In addition, the enthalpy values that were positive in process A became negative in process C although both processes are controlled by entropy. Process A occurs in a stoichiometry below that of process B, with the first continuing up to Z = 0.83–0.96, while the second occurs at Z = 0.89–1.04, suggesting that coacervation only takes place when most of the charges are neutralized. With respect to , the values obtained in the present study are larger than values reported in previous studies [43].
In order to shed light on the structural changes upon the different complexation processes, a DLS investigation was performed and compared with the calorimetry data as in Figure 2a–d, where I displays the calorimetric data presented above, II is the scattering intensity data, III the hydrodynamic diameters with polydispersity index values, and IV shows the zeta potential data.
Figure 2.
Comparison of ITC data with DLS results: intensity of scattering; hydrodynamic diameter (Zaverage) with PDI values indicated as red bars; and zeta potential values for titration of DNA with (PTEA)50-b-(PAm)50 (a), (PTEA)50-b-(PAm)200 (b), (PTEA)50-b-(PAm)1000 (c), and (PTEA)96-b-(PEO)100 (d).
The scattering intensity data show that there is an increase in scattering intensity with an increase in the charge ratio up to the value of Z+/− around 0.8. Then, there is a slight decrease in scattering intensity for polymers with PAm50 and PAm200 blocks for higher charge ratios. This behavior is different for the system composed by PAm1000, where these values remain somewhat constant for intermediate Z+/− values with a slight increase trend. Studies show that this variation in intensity is a typical feature associated with the formation of coacervates or precipitates during these titrations; when the intensity decreases after coacervation or precipitation, this indicates that larger aggregates are formed that phase separate from the solution and stop scattering light [38].
The DLS data show that the size of the aggregates is around 200 nm and that after charge neutralization, precipitation occurs for the polymers containing the shorter blocks, PAm50 and PAm200. Interestingly, the same was not observed for the copolymers (PTEA)50-b-(PAm)1000 and (PTEA)96-b-(PEO)100/DNA. In fact, as illustrated in Figure 3e, the diameter of (PTEA)96-b-(PEO)100/DNA and (PTEA)50-b-(PAm)1000/DNA polyplexes is around 200 nm at Z+/− = 0.6, and even at Z+/− = 2.0, after charge neutralization, (PTEA)50-b-(PAm)1000/DNA polyplexes remained with finite size, only slightly larger, possibly due to the larger size of their neutral blocks that prevented their growth and precipitation. Similarly, for (PTEA)96-b-(PEO)100/DNA, the complexes also presented finite sizes although their size distribution was broader, indicating that possibly some polyplexes coacervated; but still, the aggregates remained with size in the order of 102 nm, shedding light on the effect of a larger neutral block on the aggregate’s size. For (PTEA)50-b-(PAm)50/DNA and (PTEA)50-b-(PAm)200/DNA polyplexes, at Z+/− = 0.6, their diameter was also around 200 nm, but at Z+/− = 2.0, precipitation was observed. These results show that the size of the neutral block plays an essential role in determining the size of the polyplexes and the extent of coacervation/precipitation, as, for instance, the longer polyacrylamide block of (PTEA)50-b-(PAm)1000 was able to prevent its polyplex from precipitating. Figure 3 schematically illustrates the mechanism envisaged for the formation of polyplexes depending on the size and nature of their neutral blocks: the short polyacrylamide blocks eventually precipitate, whereas increasing the polyacrylamide block, the coacervates maintain almost the same size even after charge neutralization. When PEO is the neutral block, even with only 100 PEO units, finite sized coacervates are observed as remaining after charge neutralization, showing that this neutral block is more efficient in preventing the formation of precipitate.
Figure 3.
Illustration of the mechanism of interaction for the addition of (a) (PTEA)50-b-(PAm)50, (PTEA)50-b-(PAm)200, (b) (PTEA)50-b-(PAm)1000, and (c) (PTEA)96-b-(PEO)100 into DNA solution. (d) Schematic representation of the macromolecules studied: (e) DLS results as a function of charge ratio, at Z+/− = 0.6 and 2.0, for the polyplexes studied.
Zeta potential data (Figure 2-IV) for titration of copolymers in DNA show the formation of negatively charged aggregates with zeta potential values around –45 mV for charge ratios up to Z+/− ~ 0.8 for systems containing PAm50 (Figure 2a) and PAm200 (Figure 2b). Above that, charge inversion occurs in the range of Z+/− 0.9 and 1, respectively. Differently, for the polymer PAm1000 (Figure 2c), these aggregates remain with small negative zeta potentials at low Z values, and at intermediate values of Z+/−, the aggregates reach neutrality that remains throughout the titration. This difference may be ascribed to the different PAm block sizes. For (PTEA)96-b-(PEO)100, the behavior is similar to the copolymers with smaller PAm blocks, where a more drastic charge inversion is observed.
Previous studies evaluated the effect of the blocks with respect to copolymers binding to DNA, focusing on keeping the neutral block length almost constant and varying the length of the cationic block. For example, the copolymer PMAG52-b-PAEMA63, where PAEMA is the cationic block, binds more strongly with DNA than PMAG56-b-PAEMA30, which was associated with a stronger interaction due to longer cationic block [25]. Those authors also suggest that even longer neutral blocks can limit the binding with DNA, impeding the interaction of the cationic moiety with the secondary structure of DNA assuming that hydrogen bonding does not effectively participate on the formation of the complexes [25]. In the present study, where the focus is on changing the neutral block length, clearly, this was not observed, and the initial aggregate size and the energetics of binding of different (PTEA)-b-(PAm) with DNA are similar. Changing the neutral block to PEO leads to a small increase in the binding affinity, as revealed by the thermodynamic functions reported in Table 2.
To evaluate the kinetic stability of the complexes, their sizes were monitored as function of time when formed upon direct mixture of the copolymers with DNA at Z+/− = 2.0. As shown in Figure 4, the complex formed between (PTEA)96-b-(PEO)100 and DNA displays an initial size around 117 nm, and after 2 h, it slightly decreases to 112 nm, remaining constant up to 12 days. The size for the (PTEA)50-b-(PAm)50 and DNA complexes was initially of 130 nm and also presented a slight decrease to 120 nm and increased slightly to 155 nm after 12 days. Both complexes of DNA and (PTEA)50-b-(PAm)200 or (PTEA)50-b-(PAm)1000 initially presented similar sizes, 141 and 146 nm, respectively. After 2 h, the (PTEA)50-b-(PAm)200 complex display a decrease on its size (121 nm), while (PTEA)50-b-(PAm)1000 and DNA complexes had a minor increase (152 nm). Interestingly, after 12 days, (PTEA)50-b-(PAm)1000/DNA polyplexes decrease to 136 nm, almost the same size as (PTEA)50-b-(PAm)200/DNA polyplexes (140 nm). Overall, the size of aggregates at Z+/− = 2.0 does not vary significantly within the investigation period.
Figure 4.
(a) Size of polyplexes prepared by direct mixture as function of time, with PDI values indicated as black bars and (b) size distribution of polyplexes obtained by direct mixture and titration, just after preparation.
However, when we assess the effect of their preparation protocol, either by continuous titration or via direct mixing, the difference in the polyplexes size is illustrated in Figure 4b. Using the direct mixture results in polyplexes significantly smaller compared to the titration protocol. Indeed, a previous study showed the direct mixture of DTAB with diblock copolymers (PAA)5000, g mol−1-b-(PAm)30,000, g mol−1 generated aggregates smaller than those produced by the complex salt procedure [44].
Polyplexes were also prepared by titrating DNA into the copolymer solution in a reverse direction as previously used, and their sizes were compared to those prepared by titrating copolymer to DNA in Figure 5. As discussed before, the direct titration, that is, the addition of copolymers (PTEA)50-b-(PAm)50 and (PTEA)50-b-(PAm)200 into DNA (curves in black), led to precipitation at Z+/− approximately ≥ 1.0, while (PTEA)50-b-(PAm)1000 and (PTEA)96-b-(PEO)100 generated finite-sized structures. For the addition of DNA in the copolymers (red curves, reverse direction), at Z+/− ≤ 1.0 (excess of DNA), precipitation was observed except for (PTEA)50-b-(PAm)1000. The delivery efficiency of a polyplex is improved whenever it possesses positive charge because it can interact with negatively charged cell membranes, and they are internalized to the cell via endocytosis [45]. After that, DNA must dissociate from the complexes to be released into the cytoplasm and conducted into the nucleus [45]. Polyplexes with approximately 200 nm displaying positive surface potential were obtained by adding DNA to all cationic copolymers. Upon the addition of (PTEA)50-b-(PAm)1000 to DNA, it was possible to obtain polyplexes with positive surface potential; however, the size of the formed polyplexes was in the order of 400 nm, whereas polyplexes of around 200 nm were obtained when DNA was added to (PTEA)50-b-(PAm)1000. This observation stresses the importance of selecting the preparation protocol for producing DNA polyplexes.
Figure 5.
Size of polyplexes as function of charge ratio (Z+/−) for the addition of (PTEA)50-b-(PAm)50 (a), (PTEA)50-b-(PAm)200 (b), (PTEA)50-b-(PAm)1000 (c), and (PTEA)96-b-(PEO)100 (d) into DNA by direct addition (black) and addition of DNA into cationic block copolymer by reverse addition (red).
Circular dichroism (CD) was used to evaluate whether there were changes of DNA conformation induced by the addition of the cationic copolymers. The CD spectrum of DNA solution shows a positive band near 275 nm and a negative band close to 245 nm related to the stacking of DNA bases and to the helical structure of DNA, respectively (Figure 6). Upon addition of (PTEA)-b-(PAm), at Z+/- = 0.3, the DNA secondary structure is not significantly affected independently of the copolymer although a red shift of the peak position is observed at Z+/- = 0.7 and 1.5, which is similar to that observed in previous studies [25,46]. At Z+/- = 2.3, there is no observable change on the DNA structure, which may indicate that the interaction is mainly electrostatic considering that hydrogen-boding interaction is expected to modify the CD profile [20]. On the other hand, (PTEA)-b-(PEO)100 induces changes in the DNA secondary structure in accordance with its strongest interactions with DNA, corroborating the previously discussed ITC results.
Figure 6.
CD spectra of 0.4 mM DNA titrated with (PTEA)50-b-(PAm)50, (PTEA)50-b-(PAm)200, (PTEA)50-b-(PAm)1000, or (PTEA)96-b-(PEO)100 with DNA at (a) Z+/- = 0.3, (b) Z+/- = 0.7, (c) Z+/- = 1.5, and (d) Z+/- = 2.3.
The CD results indicate that (PTEA)96-b-(PEO)100 displays the strongest binding to DNA, which can be ascribed to its longer cationic block. Other than that, the neutral block seems not to be interacting with DNA through hydrogen bonding between the acrylamide groups in the PAm block and the bases in the DNA. Indeed, Prevette and co-workers studied the condensation of DNA using a series of poly(glycoamidoamine)s and concluded that the binding mechanism is not only electrostatic but also through hydrogen bonding between the groups in the carbohydrate co-monomer and the DNA base pair [14]. Nevertheless, it has been suggested that this type of interaction occurs when the DNA chain is close to the groups that are capable of interacting through hydrogen bonding. When the blocks are separated, as in diblock copolymers, and the neutral block is not close to the cationic–anionic interaction sites [25], this type of interaction might not be so effective, as in the present study.
3. Materials and Methods
3.1. Materials
Salmon sperm DNA (2000 bp) was obtained from Sigma-Aldrich and used as received. Potassium ethyl xantogenate (purity 96%), methyl 2-bromopropionate (purity 98%), [2-(methacryloyoxy)ethyl] trimethyl ammonium chloride (TEA 80%), and 4,4′-Azobis(4-cyanovaleric acid) from Sigma-Aldrich were used without prior purification. Organic solvents methanol, hexane, ethyl acetate, isopropyl alcohol, acetone, ethyl ether, and 1,4-dioxane were purchased from Synth. Acrylamide (Am, Fluka, purity ≥ 98%) was recrystallized from methanol. The block copolymer (PTEA)-b-(PEO) was prepared as described below from poly(ethylene oxide)-b-poly(n,n-dimethylaminoethyl methacrylate), namely PEO-b-PDMAEMA, which was obtained from Polymer Source Inc., Dorval, QC, Canada, with Mn of 5000 g mol−1-b-15000 g mol−1. All other reagents were of the highest purity available and were used as received. Deionized water (Milli-Q, Millipore-18.2 MΩ cm) was used for all experiments.
3.2. Block Copolymer Synthesis
3.2.1. Preparation of RAFT Agent (CTA)
The copolymers were prepared under argon atmosphere in a sealed flask by adding the RAFT agent (CTA), TEA, and initiator. The synthesis of S-(2-methylpropionate) O-ethyl xanthate (RAFT agent) was performed according to the methodology described in the literature [47], only using methanol as solvent instead of ethanol. The product was characterized by H1 Nuclear Magnetic Resonance (1H-NMR (250 MHz, CDCL3): d[ppm] = 4.63, 2H, q (C(S)OCH2), 4.38, 1H, q (CH), 3.76, 3H, s (OCH3), 1.58, 3H, d (CH3) and 1.42, 3H, t (CH3)).
3.2.2. Preparation of Homopolymer Poly(trimethyl-ammonium Chloride Metacriloiloxietil) and Block Copolymers PTEA-b-PAm
The block copolymers, poly(trimethyl-ammonium chloride metacriloiloxietil)-b-poly(acrylamide) and (PTEA)m-b-(PAm)n (where m and n represent the degrees of polymerization of TEA and Am, respectively), were synthesized by Reversible Addition-Fragmentation chain Transfer (RAFT) using a xanthate as RAFT agent, following a methodology described in the literature [44,48] with some adaptations. The reactions were performed under argon atmosphere in a sealed flask by adding the transfer agent O-ethyl xanthate (CTA) and [2-(Methacryloyoxy)ethyl] trimethyl ammonium chloride (TEA) in a mixture of deionized water and isopropyl alcohol (4:1 v/v). Then, the initiator (4,4′-Azobis(4-cyanovaleric acid)) were added slowly dropwise, and the system reacted for 24 h at 70 °C (Scheme 2) [48]. For block copolymerization, acrylamide and initiator were added to the reaction and the solution left to react at 70 °C for 24 h. The copolymer was isolated from the solution by precipitation with an excess of 1,4-dioxane. Then, the copolymers were filtered and washed with 1,4-dioxane and dried at the room temperature using a vacuum [48]. The expected size of each block was defined in terms of the quantity of reactants used in the synthesis of (PTEA)-b-(PAm) [49], according to Table S1 (Supplementary Material).
Scheme 2.
Schematic overview of the block copolymers preparation.
3.2.3. Modification of (PTEA)-b-(PEO)
To prepare (PTEA)-b-(PEO), the block copolymer (DMAEMA) was modified aiming at the quarternization of the tertiary amine groups according to the method described by Ranger and co-workers [50]. Briefly, the polymer (0.266 g) was added to a round-bottom flask with 10 mL of acetone. Then, 250 μL of methyl iodide 99% was added. The solution was stirred during 16 h at 25 °C (Scheme 3). The resulting product was dialyzed against water and freeze-dried.
Scheme 3.
Schematic overview of (PTEA)-b-(PEO) synthesis.
3.3. Polyplexes Preparation
Polyplexes were prepared by titrating the 4.0 mM block copolymer solution into a 0.4 mM DNA solution until the desired mole ratio (Z+/−) was reached. Both solutions were prepared with 5.0 mM of NaCl. The pH of the solutions was not corrected since the charges of the polyelectrolytes are expected to be independent of the pH medium. The polyplexes were also prepared by titrating a 4.0 mM DNA solution into a 0.4 mM block copolymer solution. Further experiments were performed by adding block copolymer into DNA solution in one step to achieve the charge ratio (Z+/−) of 2.0, and the complexes’ sizes were monitored as a function of time. During this period of time, the complexes formed were stored at 25 °C.
3.4. Isothermal Titration Calorimetry
Titrations of (PTEA)-b-(PEO) or (PTEA)-b-(PAm) with DNA solutions were performed to investigate the energetics of binding. ITC experiments were performed in a VP-ITC (MicroCal, Amherst, MA, USA) isothermal titration calorimeter with a sample cell of 1.43 mL. A more concentrated solution (4.0 mM) of polymer was consecutively injected with a gastight syringe that also acted as a stirrer (at 329 rpm) into a solution at 0.4 mM of DNA in the cell. This concentration was calculated considering the molar composition in terms of charge equivalents (for this system, one charge equals one mer). Injection volumes varied between 10 and 15 μL with an interval of 800 s between each injection. The volume of the cell was kept constant during the experiments due to an overflow of solution, and this was considered during calculations of the actual cell concentrations. Polymer and DNA dilution heat effects were determined and found to be negligible.
3.5. Dynamic Light-Scattering and Zeta Potential Measurements
Dynamic light-scattering and zeta potential measurements were performed with a Malvern Instruments Autosizer model 4700, UK. The hydrodynamic diameter (DH) of the polyplexes was expressed by means of their Z-average. These polyplexes were obtained by titrating copolymer into DNA solution or vice versa and by direct mixture at a specific charge ratio. The electrophoretic mobility of the samples was determined from the average of 15 cycles of an applied electric field. Their zeta potential was determined from their electrophoretic mobility using the Smoluchowski approximation.
3.6. Circular Dichroism (CD)
CD spectra of the polyplexes were obtained using a Jasco 715, Japan, spectropolarimeter to monitor the conformation of DNA in the polyplexes. The spectral range varied from 220–320 nm with a scan rate of 20 nm·min−1, and the reported spectra are an average of three accumulations. The samples were maintained at 25 °C in a 1 mm pathlength quartz cuvette. To prepare the polyplexes, a DNA solution of 0.4 mM was used and titrated with a 4.0 mM polymer solution until the desired charge ratio.
4. Conclusions
Four different block copolymers were used with the same cationic block in order to compare the influence of the nature and length of the neutral block on their interaction with salmon sperm DNA. Calorimetric measurements showed that the interaction is endothermic, around 4.0 kJ mol−1 of charges for the copolymers (PTEA)-b-(PAm) and around 5.5 kJ mol−1 of charges for (PTEA)96-b-(PEO)100, indicating that the formation of the complex is entropically driven, probably due to the release of counterions and water molecules. For all copolymers, the enthalpy change is constant up to a critical charge ratio (Z+/−) of about 0.8 for the addition of polymer to DNA. These calorimetric measurements also confirm that the polyplex formation is a two-step process including an ion-pairing and a coacervation stages.
The complexes hydrodynamic diameter was determined by DLS as around 200 nm before Z+/− approximately 1.0. After charge neutrality, precipitation occurred for the complexes of (PTEA)50-b-(PAm)50 and (PTEA)50-b-(PAm)200 and DNA, whereas the size of polyplexes of DNA and (PTEA)50-b-(PAm)1000 remained almost constant even at high Z+/−. The polyplexes of (PTEA)96-b-(PEO)100 and DNA display diameters around 200 nm at Z+/− = 0.6, and after charge neutrality was reached, a broad size distribution was observed. Interestingly, for all the copolymers studied, the complexes prepared by direct mixture at Z+/− = 2.0 were smaller than those prepared by titration, indicating that the protocol of preparation affects the polyplexes formation. Varying the order of addition, that is, performing the titration of copolymer into DNA or vice versa (direct or reverse titration, respectively), was found to affect both the size and charge of the polyplexes, and this can be used to modulate the characteristics of polyplexes for varied applications.
Supplementary Materials
The following supporting information can be downloaded at: https://www.mdpi.com/article/10.3390/molecules28010398/s1, Figure S1: Gel permeation chromatograms obtained for the copolymers (PTEA)50-b-(PAm)50, (PTEA)50-b-(PAm)200, and (PTEA)50-b-(PAm)1000; Table S1: Mass of reactants used in the synthesis of copolymers (PTEA)50-b-(PAm)50, (PTEA)50-b-(PAm)200, and (PTEA)50-b-(PAm)1000 [49].
Author Contributions
Conceptualization, R.M.G., L.V. and W.L.; methodology, R.M.G., L.V. and W.L.; validation R.M.G., L.V. and W.L.; investigation, R.M.G. and L.V.; resources, W.L.; writing—original draft preparation, R.M.G. and L.V.; writing—review and editing, R.M.G., L.V. and W.L.; supervision, W.L.; project administration, W.L. and R.M.G.; funding acquisition, W.L. All authors have read and agreed to the published version of the manuscript.
Funding
This research was funded by FAPESP through thematic projects 2015/25406-5 and 2021/12071-6 and through a postdoctoral grant to RMG (10/00528-7).
Data Availability Statement
The data presented in this study are available on request from the corresponding author.
Acknowledgments
The authors would like to acknowledge FAPESP for the financial support through thematic projects 2015/25406-5 and 2021/12071-6 and through a postdoctoral grant to RMG (10/00528-7). We thank INCT-Catálise, Marcos Vinicius Aquino Queirós, Guilherme C. Campese, Professor José Adilson de Castro, and Professor Karin Schillén for helpful discussions. We would like to dedicate this article to Professor Bjorn Lindman on the occasion of his 80th birthday. We acknowledge him as a role model as a scientist, for his many important contributions to Colloid Science, and for his interest in and support for our research activities.
Conflicts of Interest
The authors declare no conflict of interest.
Sample Availability
Samples of the compounds are available from the authors.
References
- Chen, X.M.; Feng, W.J.; Bisoyi, H.K.; Zhang, S.; Chen, X.; Yang, H.; Li, Q. Light-Activated Photodeformable Supramolecular Dissipative Self-Assemblies. Nat. Commun. 2022, 13, 3216. [Google Scholar] [CrossRef] [PubMed]
- Chen, X.M.; Hou, X.F.; Bisoyi, H.K.; Feng, W.J.; Cao, Q.; Huang, S.; Yang, H.; Chen, D.; Li, Q. Light-Fueled Transient Supramolecular Assemblies in Water as Fluorescence Modulators. Nat. Commun. 2021, 12, 4993. [Google Scholar] [CrossRef] [PubMed]
- Huang, D.; Korolev, N.; Eom, K.D.; Tam, J.P.; Nordenskiöld, L. Design and Biophysical Characterization of Novel Polycationic E-Peptides for DNA Compaction and Delivery. Biomacromolecules 2008, 9, 321–330. [Google Scholar] [CrossRef] [PubMed]
- Nisha, C.K.; Manorama, S.V.; Ganguli, M.; Maiti, S.; Kizhakkedathu, J.N. Complexes of Poly(Ethylene Glycol)-Based Cationic Random Copolymer and Calf Thymus DNA: A Complete Biophysical Characterization. Langmuir 2004, 20, 2386–2396. [Google Scholar] [CrossRef] [PubMed]
- Insua, I.; Wilkinson, A.; Fernandez-Trillo, F. Polyion Complex (PIC) Particles: Preparation and Biomedical Applications. Eur. Polym. J. 2016, 81, 198–215. [Google Scholar] [CrossRef] [PubMed]
- St. John, P.M.; Westervelt, K.; Rimawi, A.; Kawakita, T. Binding between an Amine Cationic Surfactant and DNA and Surface Properties of the Resultant Aggregates. Biophys. Chem. 2022, 281, 106734. [Google Scholar] [CrossRef]
- Barreleiro, P.C.A.; Olofsson, G.; Alexandridis, P. Interaction of DNA with Cationic Vesicles: A Calorimetric Study. J. Phys. Chem. B 2000, 104, 7795–7802. [Google Scholar] [CrossRef]
- Akram, M.; Lal, H. Kabir-ud-Din Exploring the Binding Mode of Ester-Based Cationic Gemini Surfactants with Calf Thymus DNA: A Detailed Physicochemical, Spectroscopic and Theoretical Study. Bioorg. Chem. 2022, 119, 105555. [Google Scholar] [CrossRef]
- Petersen, H.; Kunath, K.; Martin, A.L.; Stolnik, S.; Roberts, C.J.; Davies, M.C.; Kissel, T. Star-Shaped Poly(Ethylene Glycol)-Block-Polyethlenimine Copolymers Enhance DNA Condensation of Low Molecular Weight Polyethylenimines. Biomacromolecules 2002, 3, 926–936. [Google Scholar] [CrossRef]
- Bellettini, I.C.; Fayad, S.J.; Machado, V.G.; Minatti, E. Properties of Polyplexes Formed through Interaction between Hydrophobically-Modified Poly(Ethylene Imine)s and Calf Thymus DNA in Aqueous Solution. Soft Matter 2017, 13, 2609–2619. [Google Scholar] [CrossRef]
- Sabín, J.; Alatorre-Meda, M.; Miñones, J.; Domínguez-Arca, V.; Prieto, G. New Insights on the Mechanism of Polyethylenimine Transfection and Their Implications on Gene Therapy and DNA Vaccines. Colloids Surf. B Biointerfaces 2021, 210, 112219. [Google Scholar] [CrossRef] [PubMed]
- Eldred, S.E.; Pancost, M.R.; Otte, K.M.; Rozema, D.; Stahl, S.S.; Gellman, S.H. Effects of Side Chain Configuration and Backbone Spacing on the Gene Delivery Properties of Lysine-Derived Cationic Polymers. Bioconjugate Chem. 2005, 16, 694–699. [Google Scholar] [CrossRef] [PubMed]
- Veleva-kostadinova, E.; Dimitrov, I.; Toncheva-moncheva, N.; Novakov, C.; Momekova, D.; Rangelov, S. Nanoparticulate Polyelectrolyte Complexes of Thermally Sensitive Poly(L-Lysine)-Based Copolymers and DNA. Eur. Polym. J. 2018, 102, 219–230. [Google Scholar] [CrossRef]
- Prevette, L.E.; Kodger, T.E.; Reineke, T.M.; Lynch, M.L. Deciphering the Role of Hydrogen Bonding in Enhancing PDNA-Polycation Interactions. Langmuir 2007, 23, 9773–9784. [Google Scholar] [CrossRef]
- Molina-pinilla, I.; Hakkou, K.; Romero-azogil, L.; Benito, E.; García-martín, M.G.; Bueno-martínez, M. Synthesis of Degradable Linear Cationic Poly(Amide Triazole)s with DNA-Condensation Capability. Eur. Polym. J. 2019, 113, 36–46. [Google Scholar] [CrossRef]
- Braun, C.S.; Vetro, J.A.; Tomalia, D.A.; Koe, G.S.; Koe, J.G.; Middaugh, C.R. Structure/Function Relationships of Polyamidoamine/DNA Dendrimers as Gene Delivery Vehicles. J. Pharm. Sci. 2005, 94, 423–436. [Google Scholar] [CrossRef]
- Örberg, M.-L.; Schillén, K.; Nylander, T. Dynamic Light Scattering and Fluorescence Study of the Interaction between Double-Stranded DNA and Poly (Amido Amine) Dendrimers. Biomacromolecules 2007, 8, 1557–1563. [Google Scholar] [CrossRef]
- Cárdenas, M.; Schillén, K.; Pebalk, D.; Nylander, T.; Lindman, B. Interaction between DNA and Charged Colloids Could Be Hydrophobically Driven. Biomacromolecules 2005, 6, 832–837. [Google Scholar] [CrossRef]
- Franck, C.O.; Fanslau, L.; Popov, A.B.; Tyagi, P.; Fruk, L. Biopolymer-Based Carriers for DNA Vaccine Design. Angew. Chem. Int. Ed. 2021, 60, 13225–13243. [Google Scholar] [CrossRef]
- Albuquerque, L.J.C.; Annes, K.; Milazzotto, M.P.; Mattei, B.; Riske, K.A.; Jäger, E.; Pánek, J.; Štěpánek, P.; Kapusta, P.; Muraro, P.I.R.; et al. Efficient Condensation of DNA into Environmentally Responsive Polyplexes Produced from Block Catiomers Carrying Amine or Diamine Groups. Langmuir 2016, 32, 577–586. [Google Scholar] [CrossRef]
- Jung, S.; Lodge, T.P.; Reineke, T.M. Structures and Protonation States of Hydrophilic–Cationic Diblock Copolymers and Their Binding with Plasmid DNA. J. Phys. Chem. B 2018, 122, 2449–2461. [Google Scholar] [CrossRef] [PubMed]
- Chen, B.; Yu, L.; Li, Z.; Wu, C. Design of Free Triblock Polylysine-b-Polyleucine-b-Polylysine Chains for Gene Delivery. Biomacromolecules 2018, 19, 1347–1357. [Google Scholar] [CrossRef] [PubMed]
- Funhoff, A.M.; Van Nostrum, C.F.; Lok, M.C.; Fretz, M.M.; Crommelin, D.J.A.; Hennink, W.E. Poly(3-Guanidinopropyl Methacrylate): A Novel Cationic Polymer for Gene Delivery. Bioconjugate Chem. 2004, 15, 1212–1220. [Google Scholar] [CrossRef] [PubMed]
- Nimesh, S.; Chandra, R. Guanidinium-Grafted Polyethylenimine: An Efficient Transfecting Agent for Mammalian Cells. Eur. J. Pharm. Biopharm. 2008, 68, 647–655. [Google Scholar] [CrossRef] [PubMed]
- Jung, S.; Lodge, T.P.; Reineke, T.M. Complexation between DNA and Hydrophilic-Cationic Diblock Copolymers. J. Phys. Chem. B 2017, 121, 2230–2243. [Google Scholar] [CrossRef]
- Alatorre-Meda, M.; Taboada, P.; Krajewska, B.; Willemeit, M.; Deml, A.; Klösel, R.; Rodríguez, J.R. DNA-Poly(Diallyldimethylammonium Chloride) Complexation and Transfection Efficiency. J. Phys. Chem. B 2010, 114, 9356–9366. [Google Scholar] [CrossRef]
- Haladjova, E.; Mountrichas, G.; Pispas, S.; Rangelov, S. Poly(Vinyl Benzyl Trimethylammonium Chloride) Homo and Block Copolymers Complexation with DNA. J. Phys. Chem. B 2016, 120, 2586–2595. [Google Scholar] [CrossRef]
- Sharma, R.; Lee, J.S.; Bettencourt, R.C.; Xiao, C.; Konieczny, S.F.; Won, Y.Y. Effects of the Incorporation of a Hydrophobic Middle Block into a PEG-Polycation Diblock Copolymer on the Physicochemical and Cell Interaction Properties of the Polymer-DNA Complexes. Biomacromolecules 2008, 9, 3294–3307. [Google Scholar] [CrossRef]
- Knaapila, M.; Costa, T.; Garamus, V.M.; Kraft, M.; Drechsler, M.; Scherf, U.; Burrows, H.D. Polyelectrolyte Complexes of a Cationic All Conjugated Fluorene-Thiophene Diblock Copolymer with Aqueous DNA. J. Phys. Chem. B 2015, 119, 3231–3241. [Google Scholar] [CrossRef]
- Dootz, R.; Toma, A.C.; Pfohl, T. PAMAM6 Dendrimers and DNA: PH Dependent “Beads-on-a-String” Behavior Revealed by Small Angle X-Ray Scattering. Soft Matter 2011, 7, 8343–8351. [Google Scholar] [CrossRef]
- Jiang, Y.; Reineke, T.M.; Lodge, T.P. Complexation of DNA with Cationic Copolymer Micelles: Effects of DNA Length and Topology. Macromolecules 2018, 51, 1150–1160. [Google Scholar] [CrossRef]
- Ping, Y.; Ding, D.; Ramos, R.A.N.S.; Mohanram, H.; Deepankumar, K.; Gao, J.; Tang, G.; Miserez, A. Supramolecular β-Sheets Stabilized Protein Nanocarriers for Drug Delivery and Gene Transfection. ACS Nano 2017, 11, 4528–4541. [Google Scholar] [CrossRef] [PubMed]
- Pandey, A.P.; Sawant, K.K. Polyethylenimine: A Versatile, Multifunctional Non-Viral Vector for Nucleic Acid Delivery. Mater. Sci. Eng. C 2016, 68, 904–918. [Google Scholar] [CrossRef] [PubMed]
- Alvarez-Lorenzo, C.; Barreiro-Iglesias, R.; Concheiro, A.; Iourtchenko, L.; Alakhov, V.; Bromberg, L.; Temchenko, M.; Deshmukh, S.; Hatton, T.A. Biophysical Characterization of Complexation of DNA with Block Copolymers of Poly(2-Dimethylaminoethyl) Methacrylate, Poly(Ethylene Oxide), and Poly(Propylene Oxide). Langmuir 2005, 21, 5142–5148. [Google Scholar] [CrossRef]
- Herrera, I.; Winnik, M.A. Differential Binding Models for Isothermal Titration Calorimetry: Moving beyond the Wiseman Isotherm. J. Phys. Chem. B 2013, 117, 8659–8672. [Google Scholar] [CrossRef] [PubMed]
- Lounis, F.M.; Chamieh, J.; Leclercq, L.; Gonzalez, P.; Geneste, A.; Prelot, B.; Cottet, H. Interactions between Oppositely Charged Polyelectrolytes by Isothermal Titration Calorimetry: Effect of Ionic Strength and Charge Density. J. Phys. Chem. B 2017, 121, 2684–2694. [Google Scholar] [CrossRef]
- Olofsson, G.; Loh, W. On the Use of Titration Calorimetry to Study the Association of Surfactants in Aqueous Solutions. J. Braz. Chem. Soc. 2009, 20, 577–593. [Google Scholar] [CrossRef]
- Vitorazi, L.; Ould-Moussa, N.; Sekar, S.; Fresnais, J.; Loh, W.; Chapel, J.P.; Berret, J.F. Evidence of a Two-Step Process and Pathway Dependency in the Thermodynamics of Poly(Diallyldimethylammonium Chloride)/Poly(Sodium Acrylate) Complexation. Soft Matter 2014, 10, 9496–9505. [Google Scholar] [CrossRef]
- Cingil, H.E.; Boz, E.B.; Wang, J.; Stuart, M.A.C.; Sprakel, J. Probing Nanoscale Coassembly with Dual Mechanochromic Sensors. Adv. Funct. Mater. 2016, 26, 1420–1427. [Google Scholar] [CrossRef]
- Priftis, D.; Laugel, N.; Tirrell, M. Thermodynamic Characterization of Polypeptide Complex Coacervation. Langmuir 2012, 28, 15947–15957. [Google Scholar] [CrossRef]
- Skandalis, A.; Uchman, M.; Štěpánek, M.; Kerelche, S.; Pispas, S. Complexation of DNA with QPDMAEMA-b-PLMA-b-POEGMA Cationic Triblock Terpolymer Micelles. Macromolecules 2020. [Google Scholar] [CrossRef]
- Matulis, D.; Rouzina, I.; Bloomfield, V.A. Thermodynamics of DNA Binding and Condensation: Isothermal Titration Calorimetry and Electrostatic Mechanism. J. Mol. Biol. 2000, 296, 1053–1063. [Google Scholar] [CrossRef] [PubMed]
- Kim, W.; Yamasaki, Y.; Kataoka, K. Development of a Fitting Model Suitable for the Isothermal Titration Calorimetric Curve of DNA with Cationic Ligands. J. Phys. Chem. B 2006, 110, 10919–10925. [Google Scholar] [CrossRef] [PubMed]
- Vitorazi, L.; Berret, J.F.; Loh, W. Self-Assembly of Complex Salts of Cationic Surfactants and Anionic-Neutral Block Copolymers. Dispersions with Liquid-Crystalline Internal Structure. Langmuir 2013, 29, 14024–14033. [Google Scholar] [CrossRef]
- Machtakova, M.; Thérien-Aubin, H.; Landfester, K. Polymer Nano-Systems for the Encapsulation and Delivery of Active Biomacromolecular Therapeutic Agents. Chem. Soc. Rev. 2022, 51, 128–152. [Google Scholar] [CrossRef]
- Maruyama, A.; Watanabe, H.; Ferdous, A.; Katoh, M.; Ishihara, T.; Akaike, T. Characterization of Interpolyelectrolyte Complexes between Double-Stranded DNA and Polylysine Comb-Type Copolymers Having Hydrophilic Side Chains. Bioconjugate Chem. 1998, 9, 292–299. [Google Scholar] [CrossRef]
- Pound, G.; Eksteen, Z.; Pfukwa, R.; Mckenzie, J.M.; Lange, R.F.M.; Klumperman, B. Unexpected Reactions Associated with the Xanthate-Mediated Polymerization of N-Vinylpyrrolidone. J. Polym. Sci. Part A. Polym. Chem. 2008, 46, 6575–6593. [Google Scholar] [CrossRef]
- Taton, D.; Wilczewska, A.Z.; Destarac, M. Direct Synthesis of Double Hydrophilic Statistical Di- and Triblock Copolymers Comprised of Acrylamide and Acrylic Acid Units via the MADIX Process. Macromol. Rapid Commun. 2001, 22, 1497–1503. [Google Scholar] [CrossRef]
- Lowe, A.B.; McCormick, C.L. Reversible Addition-Fragmentation Chain Transfer (RAFT) Radical Polymerization and the Synthesis of Water-Soluble (Co)Polymers under Homogeneous Conditions in Organic and Aqueous Media. Prog. Polym. Sci. 2007, 32, 283–351. [Google Scholar] [CrossRef]
- Ranger, M.; Jones, M.; Yessine, M.-A.; Leroux, J.-C. From Well-Defined Diblock Copolymers Prepared by a Versatile Atom Transfer Radical Polymerization Method to Supramolecular Assemblies. J. Polym. Sci. A Polym. Chem. 2001, 39, 3861–3874. [Google Scholar] [CrossRef]
Disclaimer/Publisher’s Note: The statements, opinions and data contained in all publications are solely those of the individual author(s) and contributor(s) and not of MDPI and/or the editor(s). MDPI and/or the editor(s) disclaim responsibility for any injury to people or property resulting from any ideas, methods, instructions or products referred to in the content. |
© 2023 by the authors. Licensee MDPI, Basel, Switzerland. This article is an open access article distributed under the terms and conditions of the Creative Commons Attribution (CC BY) license (https://creativecommons.org/licenses/by/4.0/).








