Abstract
The presence of antibiotic residues in drinking water may be a source of contamination, which could affect the diffusion of polyphenols into the wine must during the traditional fermentation process. Antibiotic residues such as ivermectin, hydroxychloroquine, ciprofloxacin, and azithromycin on the diffusion of polyphenols and anthocyanins during wine fermentation were studied. Different samples were taken at different periods (0, 48, 96, and 168 h) to analyse the total polyphenols, anthocyanin content, and antioxidant capacity, which were correlated with Peleg’s equation to establish the diffusion kinetics of these compounds. The results indicated that the presence of antibiotics reduced between 40 and 50% the diffusion of the total polyphenols and monomeric anthocyanins in red wine. The use of ivermectin showed the highest kinetic parameter k1 compared with the use of other antibiotics. This suggested that the chemical structure and molecular weight of the antibiotics could play an important role in inhibiting the metabolism of yeasts affecting the ethanol and CO2 production. Consequently, cell membranes would be impermeable and would not allow the release of polyphenols and anthocyanins. Therefore, it is necessary to establish strategies that allow future water quality control in wine production companies.
1. Introduction
The food industry consumes between 5 and 10 m3 of drinking water per ton of food during the development of different unit operations and cleaning and disinfection procedures [1]. Drinking water is obtained from different sources of water that are treated through a series of stages such as precipitation, filtration, and disinfection, which are intended to guarantee its consumption [2]. However, these purification treatments only consider the microbiological content as a quality parameter, leaving aside the presence of other toxic compounds such as heavy metals, pesticides, and antibiotics [3,4,5].
Antibiotics present in drinking water are the result of their excessive use in agriculture and medicine, which can reach rivers and underground water [6]. In general, ciprofloxacin, ivermectin, and azithromycin are the compounds with the highest concentrations present in drinking water due to their use in treating infections related to bacteria and viruses [7]. For example, Boleda et al. [8] reported values of ciprofloxacin (0.1–0.34 ng/mL) and azithromycin (0.17–0.57 ng/mL) and Nippes et al. [9] reported values of ivermectin between 0.005 and 0.020 ng/mL. In addition, prolonged exposure to these compounds in the daily consumption of drinking water could represent a risk to the health of consumers [10,11,12]. Thus, during food processing, the addition of drinking water could affect the composition and quality of processed foods.
In particular, wine is a product that presents distinctive sensory characteristics of colour, aroma, and flavour as well as a particular chemical composition rich in polyphenols (1–5 g/L) [13,14]. The polyphenolic profile of wine is represented by different families of polyphenols such as anthocyanins, phenolic acids, flavonols, and stilbene, which have shown interesting bioactive properties for the treatment and prevention of degenerative diseases related to oxidative stress such as cancer, diabetes, and swellings [15,16]. However, to produce 1 litre of wine, between 2 and 6 litres of drinking water are required for the different processing stages as well as cleaning and disinfection [17].
The traditional wine process involves stages such as reception, destemming, crushing, maceration, fermentation, pressing, ageing, racking, clarification, and packaging, which define the chemical and sensory characteristics [18]. Nevertheless, traditional vineyards need to add drinking water after crushing the grapes to correct the concentration of soluble solids from 35 to 24° Brix in the must to avoid producing wine with high alcohol levels during the fermentation process [19,20]. Thus, it is possible that the presence of antibiotic residues in drinking water could alter the normal development of the fermentation process; consequently, the chemical composition of the wine would be altered.
During fermentation, yeasts partially oxidise soluble solids (sugars) to produce ethanol and CO2 [21,22]. This mechanism allows the release of polyphenols due to the increased permeability of cell vacuoles [23]. However, the presence of antibiotics in the water could inhibit the metabolic activity of the yeasts, reducing the production of ethanol and CO2; consequently, a high proportion of polyphenols would not be released into the must.
The fermentation process is based on a transfer of polyphenols from the cell membrane to the wine must. Thus, it is possible to use the Peleg model, a non-exponential empirical equation, which allows the prediction of the kinetic behaviour of polyphenol diffusion [24]. This study aimed to evaluate how the presence of antibiotic residues in drinking water affected the diffusion of polyphenols during the wine fermentation process. Thus, four antibiotics were selected as the most abundant in drinking water to analyse the diffusion kinetics of polyphenols and tentatively establish how these results could affect the permeability of the cell membrane as well as the production of ethanol and CO2. These results are essential to establish new strategies to control the quality of drinking water to obtain wines with a high chemical, sensory, and safety quality.
2. Results
2.1. Effect of the Concentration of Antibiotics on Total Polyphenol Content and Antioxidant Capacity
The addition of drinking water with low concentrations of antibiotics to the wine allowed us to evaluate the kinetic extraction of polyphenols during the wine fermentation process (Figure 1). According to our results, there were significant differences between the control and the different concentrations of antibiotics (p < 0.05). The results showed that the presence of azithromycin, hydroxychloroquine, ivermectin, and ciprofloxacin in the wine must reduced the extraction of polyphenols by 40, 45, 36, and 43% compared with the control (wine must without antibiotics), respectively (Figure 2). Interestingly, for all cases, during the first 8 h, the rate of extraction of polyphenols slowly reduced, reaching up to 15%. A rapid decline was then observed between 48 and 168 h, reaching up to 75% (Figure 1).
Figure 1.
Effect of antibiotic type on total polyphenol content and antioxidant capacity during the fermentation process.
Figure 2.
Graphical scheme of the study.
At the beginning of the fermentation process in the wine must and without the presence of antibiotics (control), the diffusion of polyphenols was constant due to the presence and accumulation of ethanol and CO2, which increased the permeability of the cell membranes, facilitating the release of polyphenols [21,23,25]. Contrarily, when antibiotics were used in the wine must, the release of polyphenols was affected. It is probable that the presence of low concentrations of antibiotics in the wine must inhibited the metabolic activity in the yeasts, causing a lower production of ethanol and CO2 and preventing the permeability of the cell membrane; consequently, a lower proportion of polyphenols was released into the wine must.
Although no studies have explained the inhibition mechanisms of these antibiotics on unicellular wine yeasts (Saccharomyces cerevisiae), there are studies that mention the effect of antibiotics on other types of unicellular yeasts associated with infections in human beings [26]. For example, Ku et al. (2010) observed in yeasts of the genus Candida sp. that the use of azithromycin (1000 µg/mL) could reduce its metabolic activity by ~46%; Li et al. (2015) reported that the use of hydroxychloroquine (>500 µg/mL) could inhibit the metabolic activity of these organisms by up to 80%; and Stergiopoulou et al. (2009) showed that the use of ciprofloxacin (>0.19 mg/L) could inhibit the metabolic activity of these yeasts by 50%. The primary mechanism of inhibition of these antibiotics is related to their ability to interact with ribosomal subunits; this prevents tRNA from interacting with ribosomes, which inhibits protein, nucleic acid, and folic acid synthesis [27,28,29]. In this sense, it is probable that the presence of low concentrations of antibiotics in the wine must inhibits the metabolic activity of yeasts, causing a lower production of ethanol and CO2, and preventing the permeability of the cell membrane; consequently, a lower proportion of polyphenols are released into the wine must.
Concerning the antioxidant capacity, for all the study conditions, the higher the antioxidant capacity in the wine, the higher the polyphenol content (Figure 1). The antioxidant capacity is a complementary test that measures the ability of polyphenols to reduce a specific radical [30]. According to our results, the presence of azithromycin, hydroxychloroquine, ivermectin, and ciprofloxacin in the wine must reduced the antioxidant capacity by 75%, 50%, 46%, and 42% compared with the control (wine must without antibiotics), respectively. Similar to the behaviour of polyphenols, the presence of antibiotics affects the normal metabolism of yeasts; consequently, the antioxidant capacity decreases.
2.2. Effect of the Concentration of Antibiotics on the Content of Monomeric Anthocyanins
Similar to the behaviour of the total polyphenols, the presence of azithromycin, hydroxychloroquine, ivermectin, and ciprofloxacin in the wine must reduced the content of monomeric anthocyanins by 38, 40, 31, and 41% compared with the control in the wine must, respectively (Figure 3). These results were likely associated with two factors, the conversion of monomeric anthocyanins into low molecular weight compounds and the effect of the antibiotics on the release of these compounds. In this sense, when the wine must without antibiotics (control) was evaluated during the natural fermentation process, the anthocyanin content decreased by ~15% (Figure 3). This behaviour could be explained because the monomeric anthocyanins may have been further converted into pyranoanthocyanins and other compounds with a low molecular weight such as acetylated, coumaroylated, and caffeoylated anthocyanins. Pyranoanthocyanins are the most abundant during the fermentation process and they can change the wine colour from bright red to brick and dark red [31]. Thus, the wine must without antibiotics presented a small decrease in the monomeric anthocyanins. On the other hand, the presence of antibiotics affected the metabolic ability of the yeasts to produce ethanol and CO2; consequently, a higher decrease in the anthocyanin content was observed.
Figure 3.
Effect of antibiotic type on total monomeric anthocyanins during the fermentation process.
2.3. Diffusion Kinetics of Polyphenols during the Fermentation Process
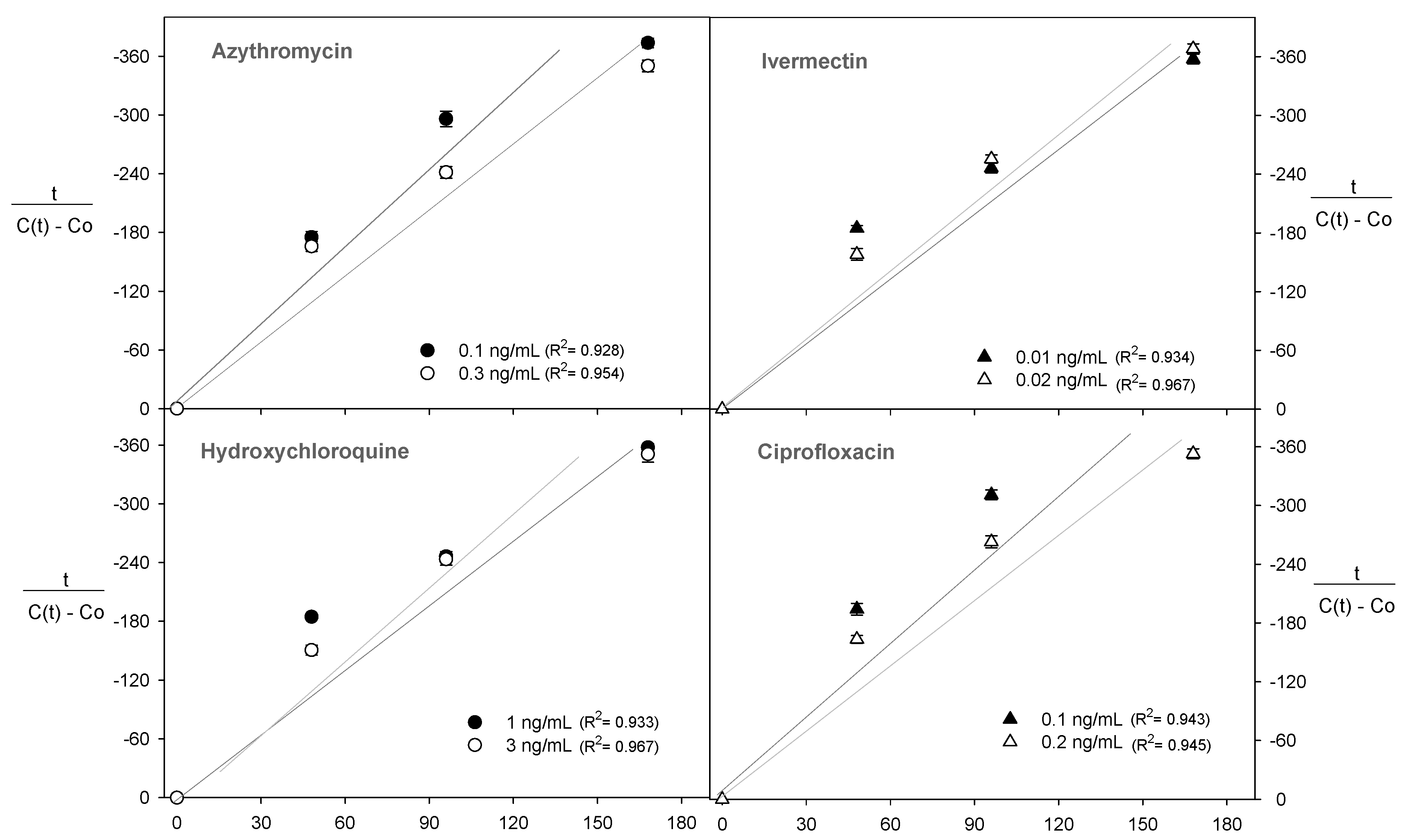
The polyphenol content was evaluated over 168 h during the fermentation process and was linearised using the Peleg equation (Figure 4). This allowed us to determine the kinetic parameters k1 and k2 (R2 > 0.85) to explain the effect of the presence of antibiotics on the diffusion kinetics of the polyphenols (Figure 4).
Figure 4.
Peleg’s model linearisation of the total polyphenol content, where t corresponds with the time (min), C(t) is the concentration of polyphenols at time t, and C0 is the concentration of polyphenols at zero time.
For all the conditions studied, the Peleg rate constant (k1) increased with the antibiotics in the wine during fermentation (Table 1). The use of 3 ng/mL hydroxychloroquine was 6, 18, and 22% more effective in increasing the k1 constant compared with the use of ivermectin (0.02 ng/mL), azithromycin (0.3 ng/mL), and ciprofloxacin (0.2 ng/mL), respectively (Table 1). In this case, the kinetics of the analyte transfer were inversely proportional to the constant k1 [32]. Therefore, a higher value of k1 indicated a lower transfer process of polyphenols to the wine must.
Table 1.
Peleg’s constants of the diffusion of polyphenols during the fermentation process.
Although the action mechanisms of antibiotics on wine yeasts are still a matter of discussion, it is essential to establish that the presence of low doses of antibiotics in drinking water can affect the metabolic mechanism of yeasts during the fermentation process. This could affect the sensory quality and polyphenolic content of the wine, a product that is in high demand for its bioactive properties.
2.4. Diffusion Kinetics of the Monomeric Anthocyanins
Although the presence of antibiotics in the wine must for a period of 168 h reduced the release of monomeric anthocyanins, it is necessary to explain this behaviour through the kinetic parameters of the Peleg model, such as k1 and k2, where the correlations were high in all experiments (R2 > 0.90) (Figure 5).
Figure 5.
Peleg’s model linearisation of the total monomeric anthocyanin content, where t corresponds with the time (min), C(t) is the concentration of anthocyanin at time t, and C0 is the concentration of anthocyanin at zero time.
For all experiments, an increase in the antibiotic concentration increased the values of k1 and k2 (Table 2 and Figure 5). These results showed the influence of antibiotics on the extraction rate of monomeric anthocyanins into the wine must. The Peleg rate constant (k1) increased with the presence of antibiotics in the wine must during the fermentation process (Table 2). The use of ivermectin (0.02 ng/mL) increased by ~85% the value of the k1 constant compared with the use of hydroxychloroquine (3 ng/mL), azithromycin (0.3 ng/mL), and ciprofloxacin (0.2 ng/mL), respectively (Table 2). The antibiotics hydroxychloroquine, azithromycin, and ciprofloxacin specifically target bacteria whereas ivermectin is an antimicrobial that encompasses a broader range of organisms such as bacteria, yeast, fungi, and viruses [33,34]. Thus, ivermectin had a more remarkable ability to inhibit the yeast metabolism.
Table 2.
Peleg’s constants of the diffusion of monomeric anthocyanin content during the fermentation process.
On the other hand, k2 as Peleg’s capacity constant was related to the maximum diffusion of anthocyanins during the fermentation process. In this sense, independent of the antibiotic concentration, the maximum diffusion was established between 0.92 and 1.02 (Table 2).
2.5. Impact of the Presence of Antibiotics on the Alcoholic Degrees in Wine
The wine alcohol concentration is related to the sugar concentration present in wine must because glucose and fructose are converted into ethanol through the metabolic pathways [35]. According to our results, the presence of antibiotics in the wine must affected the production of ethanol by ~26% during the fermentation process (Figure 6). In general, 1 mol of hexose sugar is converted into 2 mol ethanol and 2 mol CO2, which allowed us to establish that 0.51 g ethanol was produced per g of hexose sugar [36]. However, the presence of contaminants can affect ethanol formation due to incomplete fermentation and the accumulation of toxic compounds [36,37]. In this sense, it is probable that the presence of antibiotics inhibits the yeast metabolism, thus reducing the ethanol production.
Figure 6.
Alcoholic degrees at the end of the fermentation process. The significant differences (p < 0.05) are established with different lower-case letters and capital letters for the sugar content and alcoholic grade, respectively.
3. Methodology
3.1. Sample
Twenty kilograms of grapes (Vitis vinifera L. cv. Negra Criolla) were purchased from the local market in the cities of Ilo and Moquegua in Peru. The grapes were selected, washed, and stored at 5 °C before making the wine.
3.2. Reactives
2,2′-azino-bis (3-ethylbenzothiazoline-6-sulphonic acid) (ABTS) and 2 N Folin–Ciocalteu were purchased from Sigma Chemicals (St. Louis, MO, USA). The standards were azithromycin, ivermectin, hydroxychloroquine, ciprofloxacin, and gallic acid, purchased from Sigma Chemicals (St. Louis, MO, USA). Potassium chloride was purchased from Supelco. Sodium acetate trihydrate was obtained from DUKSAN Pure Chemicals (Sungkok-Dong, South Korea). Sodium hydroxide was purchased from Sigma Chemicals. All solvents and other chemicals were purchased from Merck (Darmstadt, Germany) and J.T. Baker (Trinidad and Tobago). Ultra-purified water (resistivity of 18.2 MΩ.cm and total organic carbon < 10 ppb) was also used.
3.3. Preparation of Wine with the Addition of Antibiotics in Drinking Water
Low-alcohol wines were produced according to the methodology proposed by Schelezki et al. [19]. The grapes were washed, crushed, and macerated for 12 h. The grape must was then transferred and corrected by adding ultra-purified drinking water (Water Purification System, Dionex™ IC, Thermo Scientific, San Jose, CA, USA), which contained different doses of antibiotics such as azithromycin (0.1 and 0.3 ng/mL), hydroxychloroquine (1.0 and 3.0 ng/mL), ivermectin (0.01 and 0.02 ng/mL), and ciprofloxacin (0.1 and 0.2 ng/mL) (Table 3).
Table 3.
Selection of levels according to other research works.
The correction was made using 68% wine must and 32% ultra-purified drinking water. After 0.3 g/L of yeast (Sacharomyces ceresevisiae var cerevisiae) was inoculated into the wine must, the fermentation process was started at 24 °C for 168 h. The samples were taken at different periods (0, 48, 96, and 168 h) (Figure 1). Finally, the samples were protected from light and stored at −20 °C until further analysis.
3.4. Total Polyphenol Content
The polyphenol analysis was performed using the methodology proposed by Singleton and Rossi [39]. A total of 500 µL of the sample, 250 µL of the Folin–Ciocalteu reactive (1 N), and 1250 µL of sodium carbonate (1 N) were mixed. The sample was then protected from light for 30 min at room temperature. After this, the samples were analysed at 765 nm in a UV-visible spectrophotometer. The results were expressed as mg of equivalent gallic acid per mL of wine. Simultaneously, a standard curve was obtained using gallic acid as a reference standard.
3.5. Monomeric Anthocyanin Content
The differential pH method was used to determine the monomeric anthocyanin content, according to Da Fonseca Machado et al. [40] with a few modifications. The samples were centrifuged at 4000× g rpm for 10 min and were diluted in two buffer solutions, potassium chloride pH 1.0 (0.025 mol/L) and sodium acetate pH 4.5 (0.40 M); both were adjusted with concentrated hydrochloric acid. The absorbance was then measured at 520 and 700 nm. The quantification of the monomeric anthocyanin content was calculated using the following Equation (1) and the results were expressed as mg cyanidin-3-glucoside equivalent/L.
where A is (Abs510 _ Abs700) pH 1.0 − (Abs510 _ Abs700) pH 4.5; MW is 449.2 g/mol (molar mass of cyanidin-3-O-glucoside); DF is the dilution factor determined for the buffer solutions; is 26,900 L/cm·mol (molar absorptivity of cyanidin-3-Oglucoside); and L is the correction factor for a 1 cm optic path length.
3.6. Determination of Antioxidant Capacity (ABTS)
The antioxidant capacity was evaluated using the ABTS + 2 methodology proposed by Arnao et al. [41]. A total of 150 µL of the sample was mixed with 2850 µL of the ABTS solution. The absorbance of each of the samples was then measured at 734 nm. The antioxidant capacity was determined using a Trolox standard curve. The results were expressed as µmol Trolox equivalent per mL of wine must.
3.7. Determination of Alcoholic Degrees and Sugar Content
The samples were analysed to determine the alcoholic degrees and sugar content according to methods referred to in the technical standards NTP 212.030: 2009 and NTP 212.038: 2009 [42].
3.8. Evaluation of the Diffusion Kinetics of Polyphenols in the Wine Must
The diffusion kinetics of the total polyphenols in the wine must during the fermentation process were analysed using the Equation (2) proposed by Peleg [24]:
where t is the time in minutes, C(t) is the concentration of polyphenols (mg/mg0) at time t, C0 is the initial polyphenol concentration, k1 is the Peleg kinetic rate constant, and k2 is the Peleg capacity constant. A linear regression was performed to validate the adjustment of the model considering an R2 > 0.85.
3.9. Statistical Analysis
A completely random design was applied to determine the behaviour of the antibiotic addition on the content of the antioxidant compounds. The results were presented as a mean and standard deviation. A one-way ANOVA and a Tukey comparison test were then applied to establish the significant differences (p < 0.05). The statistical analysis was performed using the Statgraphics Plus for Windows 4.0 program (Stat Point Technologies, Inc., Warrenton, VA, USA).
4. Conclusions
The presence of antibiotics in drinking water significantly reduced the diffusion of the total polyphenols and monomeric anthocyanins into the wine must between 40 and 80%, respectively. The Peleg kinetic parameters allowed the linearisation of the diffusion of polyphenols and anthocyanins. This confirmed that the use of antibiotics reduced the diffusion of these compounds in the wine must. Interestingly, ivermectin was more effective in reducing the diffusion of anthocyanins into the wine must. It is probable that the chemical structure and molecular weight played a decisive role in the inhibition of the yeast metabolism. Thus, it is necessary to establish strategies to avoid the presence of antibiotics in the treatment of drinking water to not affect its use in wine processing. Finally, our results contribute to the simulation and optimisation of the fermentation process.
Author Contributions
Conceptualisation, F.Z.-V., M.C.-C. and N.L.H.-C.; methodology, N.L.H.-C., M.C.-C.; formal analysis and investigation, N.L.H.-C., J.M.-H., M.C-C. and E.E.-P.; writing—original draft preparation and review, F.Z.-V., M.C.-C. and N.L.H.-C., funding acquisition, F.Z.-V., M.C.-C. and N.L.H.-C. All authors have read and agreed to the published version of the manuscript.
Funding
This research received funding from Universidad Nacional de Moquegua-Perú through Resolution C.O. No 562-2017-UNAM, Resolution C.O. No 059-2021-UNAM, and Resolution C.O. No 281-2021-UNAM.
Institutional Review Board Statement
Not applicable.
Informed Consent Statement
Not applicable.
Data Availability Statement
Not applicable.
Conflicts of Interest
The authors declare that there are no conflict of interest in this research work.
References
- Muñoz Lucas, S.; Sanchez García, R. El Agua En La Industria Alimentaria. Bol. Soc. Española Hidrol. Med. 2018, 33, 157–171. [Google Scholar] [CrossRef]
- Centers for Disease Control and Prevention. Water Treatment. Available online: https://www.cdc.gov/healthywater/drinking/public/regulations.html (accessed on 23 July 2022).
- Pooi, C.K. Review of Low-Cost Point-of-Use Water Treatment Systems for Developing Communities. NPJ Clean Water 2018, 1, 11. [Google Scholar] [CrossRef]
- Mahmood, A.R.; Al-Haideri, H.H.; Hassan, F.M. Detection of Antibiotics in Drinking Water Treatment Plants in Baghdad City, Iraq. Adv. Public Health 2019, 2019, 7851354. [Google Scholar] [CrossRef]
- Villanueva, C.M.; Kogevinas, M.; Cordier, S.; Templeton, M.R.; Vermeulen, R.; Nuckols, J.R.; Nieuwenhuijsen, M.J.; Levallois, P. Assessing Exposure and Health Consequences of Chemicals in Drinking Water: Current State of Knowledge and Research Needs. Environ. Health Perspect. 2014, 122, 213–221. [Google Scholar] [CrossRef]
- Liu, C.; Tan, L.; Zhang, L.; Tian, W.; Ma, L. A Review of the Distribution of Antibiotics in Water in Different Regions of China and Current Antibiotic Degradation Pathways. Front. Environ. Sci. 2021, 9, 692298. [Google Scholar] [CrossRef]
- Lima-Morales, R.; Méndez-Hernández, P.; Flores, Y.N.; Osorno-Romero, P.; Cuecuecha-Rugerio, E.; Nava-Zamora, A.; Hernández-Galdamez, D.R.; Romo-Dueñas, D.K.; Salmerón, J. Effectiveness of a Multidrug Therapy Consisting of Ivermectin, Azithromycin, Montelukast, and Acetylsalicylic Acid to Prevent Hospitalization and Death among Ambulatory COVID-19 Cases in Tlaxcala, Mexico. Int. J. Infect. Dis. 2021, 105, 598–605. [Google Scholar] [CrossRef]
- Boleda, M.R.; Alechaga, É.; Moyano, E.; Galceran, M.T.; Ventura, F. Survey of the Occurrence of Pharmaceuticals in Spanish Finished Drinking Waters. Environ. Sci. Pollut. Res. 2014, 21, 10917–10939. [Google Scholar] [CrossRef]
- Nippes, R.P.; Macruz, P.D.; da Silva, G.N.; Neves Olsen Scaliante, M.H. A Critical Review on Environmental Presence of Pharmaceutical Drugs Tested for the COVID-19 Treatment. Process Saf. Environ. Prot. 2021, 152, 568–582. [Google Scholar] [CrossRef]
- Unger, C.; Al-Jashaami, L.S. Ciprofloxacin Exposure Leading to Fatal Hepatotoxicity: An Unusual Correlation. Am. J. Case Rep. 2016, 17, 676–681. [Google Scholar] [CrossRef]
- Merma, D.; Maldonado, I.; Vilca, F.Z. Environmental and Ecotoxicological Effects of Drugs Used for the Treatment of COVID 19. Front. Environ. Sci. 2022, 10, 940975. [Google Scholar] [CrossRef]
- Vilca, F.Z.; Galarza, N.C.; Tejedo, J.R.; Cuba, W.A.Z.; Quiróz, C.N.C.; Tornisielo, V.L. Occurrence of Residues of Veterinary Antibiotics in Water, Sediment and Trout Tissue (Oncorhynchus Mykiss) in the Southern Area of Lake Titicaca, Peru. J. Great Lakes Res. 2021, 47, 1219–1227. [Google Scholar] [CrossRef]
- Boselli, E.; Boulton, R.B.; Thorngate, J.H.; Frega, N.G. Chemical and Sensory Characterization of DOC Red Wines from Marche (Italy) Related to Vintage and Grape Cultivars. J. Agric. Food Chem. 2004, 52, 3843–3854. [Google Scholar] [CrossRef] [PubMed]
- Gutiérrez-Escobar, R.; Aliaño-González, M.J.; Cantos-Villar, E. Wine Polyphenol Content and Its Influence on Wine Quality and Properties: A Review. Molecules 2021, 26, 718. [Google Scholar] [CrossRef] [PubMed]
- Lucarini, M.; Durazzo, A.; Lombardi-Boccia, G.; Souto, E.B.; Cecchini, F.; Santini, A. Wine Polyphenols and Health: Quantitative Research Literature Analysis. Appl. Sci. 2021, 11, 4762. [Google Scholar] [CrossRef]
- Vejarano, R.; Luján-Corro, M. Red Wine and Health: Approaches to Improve the Phenolic Content During Winemaking. Front. Nutr. 2022, 9, 890066. [Google Scholar] [CrossRef]
- Duek, A.E.; Fasciolo, G.E. Uso de Agua En Las Bodegas de Mendoza. Rev. Fac. Ciencias Agrar. 2012, 44, 263–268. [Google Scholar]
- Baiano, A.; Scrocco, C.; Sepielli, G.; Del Nobile, M.A. Wine Processing: A Critical Review of Physical, Chemical, and Sensory Implications of Innovative Vinification Procedures. Crit. Rev. Food Sci. Nutr. 2016, 56, 2391–2407. [Google Scholar] [CrossRef]
- Schelezki, O.J.; Smith, P.A.; Hranilovic, A.; Bindon, K.A.; Jeffery, D.W. Comparison of Consecutive Harvests versus Blending Treatments to Produce Lower Alcohol Wines from Cabernet Sauvignon Grapes: Impact on Polysaccharide and Tannin Content and Composition. Food Chem. 2018, 244, 50–59. [Google Scholar] [CrossRef]
- Wine Australia. Winemaking Treatment—Water Addition. Available online: https://www.wineaustralia.com/news/articles/adding-water-to-grape-must?utm_source=Wine+Australia+RD%26E+News&utm_campaign=c88f139d8d-RD_E_News_February_2019&utm_medium=email&utm_term=0_440931c1c7-c88f139d8d-210375317 (accessed on 15 August 2022).
- Maicas, S. The Role of Yeasts in Fermentation Processes. Microorganisms 2020, 8, 1142. [Google Scholar] [CrossRef]
- Alimardani-Theuil, P.; Gainvors-Claisse, A.; Duchiron, F. Yeasts: An Attractive Source of Pectinases—From Gene Expression to Potential Applications: A Review. Process Biochem. 2011, 46, 1525–1537. [Google Scholar] [CrossRef]
- Sacchi, K.L.; Bisson, L.F.; Adams, D.O. A Review of the Effect of Winemaking Techniques on.Pdf. Am. J. Enol. Vitic. 2005, 48, 197–206. [Google Scholar] [CrossRef]
- Bucić-Kojić, A.; Planinić, M.; Tomas, S.; Bilić, M.; Velić, D. Study of Solid-Liquid Extraction Kinetics of Total Polyphenols from Grape Seeds. J. Food Eng. 2007, 81, 236–242. [Google Scholar] [CrossRef]
- Comitini, F.; Agarbati, A.; Canonico, L.; Ciani, M. Yeast Interactions and Molecular Mechanisms in Wine Fermentation: A Comprehensive Review. Int. J. Mol. Sci. 2021, 22, 7754. [Google Scholar] [CrossRef] [PubMed]
- McCullough, M.J.; Ross, B.C.; Reade, P.C. Candida Albicans: A Review of Its History, Taxonomy, Epidemiology Virulence Attributes, and Methods of Strain Differentiation. Int. J. Oral Maxillofac. Surg. 1996, 25, 136–144. [Google Scholar] [CrossRef] [PubMed]
- Ku, T.S.N.; Palanisamy, S.K.A.; Lee, S.A. Susceptibility of Candida Albicans Biofilms to Azithromycin, Tigecycline and Vancomycin and the Interaction between Tigecycline and Antifungals. Int. J. Antimicrob. Agents 2010, 36, 441–446. [Google Scholar] [CrossRef]
- Li, Y.; Wan, Z.; Liu, W.; Li, R. Synergistic Activity of Chloroquine with Fluconazole against Fluconazole-Resistant Isolates of Candida Species. Antimicrob. Agents Chemother. 2015, 59, 1365–1369. [Google Scholar] [CrossRef]
- Stergiopoulou, T.; Meletiadis, J.; Sein, T.; Papaioannidou, P.; Tsiouris, I.; Roilides, E.; Walsh, T.J. Comparative Pharmacodynamic Interaction Analysis between Ciprofloxacin, Moxifloxacin and Levofloxacin and Antifungal Agents against Candida Albicans and Aspergillus Fumigatus. J. Antimicrob. Chemother. 2009, 63, 343–348. [Google Scholar] [CrossRef]
- Huamán-Castilla, N.L.; Campos, D.; García-Ríos, D.; Parada, J.; Martínez-Cifuentes, M.; Mariotti-Celis, M.S.; Pérez-Correa, J.R. Chemical Properties of Vitis Vinifera Carménère Pomace Extracts Obtained by Hot Pressurized Liquid Extraction, and Their Inhibitory Effect on Type 2 Diabetes Mellitus Related Enzymes. Antioxidants 2021, 10, 472. [Google Scholar] [CrossRef]
- He, F.; Liang, N.N.; Mu, L.; Pan, Q.H.; Wang, J.; Reeves, M.J.; Duan, C.Q. Anthocyanins and Their Variation in Red Wines I. Monomeric Anthocyanins and Their Color Expression. Molecules 2012, 17, 1571–1601. [Google Scholar] [CrossRef]
- Ganjloo, A.; Rahman, R.A.; Bakar, J.; Osman, A.; Bimakr, M. Kinetics Modeling of Mass Transfer Using Peleg’s Equation During Osmotic Dehydration of Seedless Guava (Psidium guajava L.): Effect of Process Parameters. Food Bioprocess Technol. 2012, 5, 2151–2159. [Google Scholar] [CrossRef]
- Picot, S.; Beugnet, F.; Leboucher, G.; Bienvenu, A.L. Drug Resistant Parasites and Fungi from a One-Health Perspective: A Global Concern That Needs Transdisciplinary Stewardship Programs. One Health 2022, 14, 100368. [Google Scholar] [CrossRef] [PubMed]
- Crump, A. Ivermectin: Enigmatic Multifaceted “wonder” Drug Continues to Surprise and Exceed Expectations. J. Antibiot. 2017, 70, 495–505. [Google Scholar] [CrossRef] [PubMed]
- Varela, C.; Dry, P.R.; Kutyna, D.R.; Francis, I.L.; Henschke, P.A.; Curtin, C.D.; Chambers, P.J. Strategies for Reducing Alcohol Concentration in Wine. Aust. J. Grape Wine Res. 2015, 21, 670–679. [Google Scholar] [CrossRef]
- Gombert, A.K.; van Maris, A.J.A. Improving Conversion Yield of Fermentable Sugars into Fuel Ethanol in 1st Generation Yeast-Based Production Processes. Curr. Opin. Biotechnol. 2015, 33, 81–86. [Google Scholar] [CrossRef]
- Seo, S.O.; Park, S.K.; Jung, S.C.; Ryu, C.M.; Kim, J.S. Anti-Contamination Strategies for Yeast Fermentations. Microorganisms 2020, 8, 274. [Google Scholar] [CrossRef]
- Morales-Paredes, C.A.; Rodríguez-Díaz, J.M.; Boluda-Botella, N. Pharmaceutical Compounds Used in the COVID-19 Pandemic: A Review of Their Presence in Water and Treatment Techniques for Their Elimination. Sci. Total Environ. 2022, 814, 152691. [Google Scholar] [CrossRef]
- Singleton, V.L.; Rossi, J.A., Jr. Colorimetry of Total Phenolics with Phosphomolybdic-Phosphotungstic Acid Reagents. Am. J. Enol. Vitic. 1965, 16, 144–158. [Google Scholar] [CrossRef]
- Machado, A.P.D.F.; Pereira, A.L.D.; Barbero, G.F.; Martínez, J. Recovery of Anthocyanins from Residues of Rubus Fruticosus, Vaccinium Myrtillus and Eugenia Brasiliensis by Ultrasound Assisted Extraction, Pressurized Liquid Extraction and Their Combination. Food Chem. 2017, 231, 1–10. [Google Scholar] [CrossRef]
- Arnao, M.B.; Cano, A.; Acosta, M. The Hydrophilic and Lipophilic Contribution to Total Antioxidant Activity. Food Chem. 2001, 73, 239–244. [Google Scholar] [CrossRef]
- Instituto Nacional de Calidad (INACAL). Available online: https://cdn.www.gob.pe/uploads/document/file/1680426/Aprueban%20Normas%20T%C3%A9cnicas%20Peruanas%20sobre%20bebidas%20alcoh%C3%B3licas.pdf (accessed on 15 July 2022).
Disclaimer/Publisher’s Note: The statements, opinions and data contained in all publications are solely those of the individual author(s) and contributor(s) and not of MDPI and/or the editor(s). MDPI and/or the editor(s) disclaim responsibility for any injury to people or property resulting from any ideas, methods, instructions or products referred to in the content. |
© 2022 by the authors. Licensee MDPI, Basel, Switzerland. This article is an open access article distributed under the terms and conditions of the Creative Commons Attribution (CC BY) license (https://creativecommons.org/licenses/by/4.0/).





