Cytotoxicity Effect of Constituents of Pinus taiwanensis Hayata Twigs on B16-F10 Melanoma Cells
Abstract
:1. Introduction
2. Results
2.1. Bioassay-Guided Compound Isolation from Pinus taiwanensis Hayata Twigs
2.2. Compounds Isolated from the Ethyl Acetate Layer of Pinus Taiwanensis Hayata Twigs
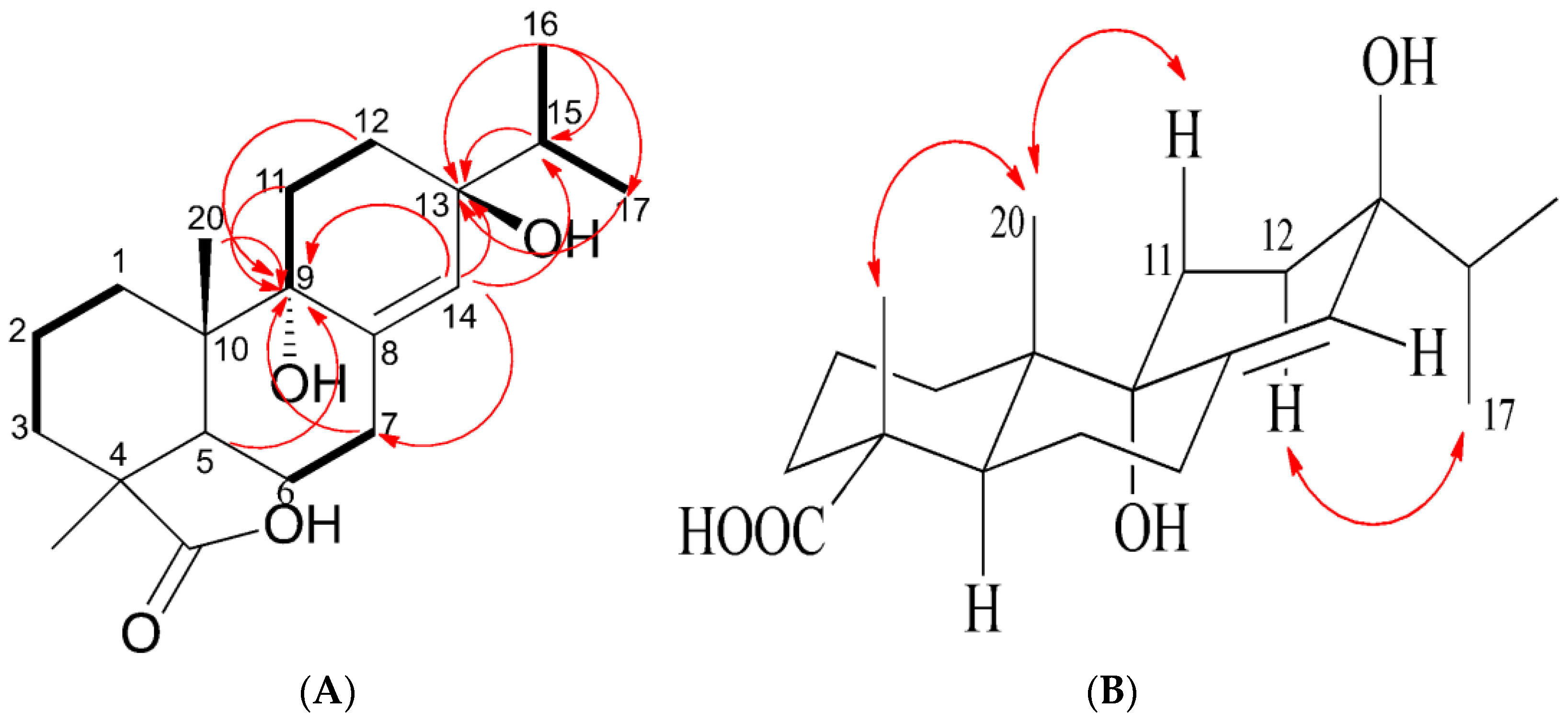
Structure Analysis of 3
2.3. Evaluation of Cytotoxicity
3. Discussion
4. Materials and Methods
4.1. Chemicals and Reagents
4.2. Plant Material
4.3. Extraction and Isolation
4.3.1. Extraction
4.3.2. Column Chromatography
4.3.3. NMR Analysis
4.3.4. UHPLC-MS/MS Analysis
4.4. Cell Line and Culture
4.5. Melanin Content Assay
4.6. MTT Cell Viability Assay
4.7. Statistical Analyses
5. Conclusions
Supplementary Materials
Author Contributions
Funding
Institutional Review Board Statement
Informed Consent Statement
Data Availability Statement
Acknowledgments
Conflicts of Interest
Sample Availability
References
- National Cancer Institute. Available online: https://seer.cancer.gov/statfacts/html/melan.html (accessed on 12 November 2005).
- Koh, H.K.; Geller, A.C. The public health future of melanoma control. JAAD 2011, 65, S3.e1–S3.e4. [Google Scholar] [CrossRef] [PubMed] [Green Version]
- Erdei, E.; Torres, S.M. A new understanding in the epidemiology of melanoma. Expert Rev. Anticancer Ther. 2010, 10, 1811–1823. [Google Scholar] [CrossRef] [PubMed] [Green Version]
- Murph, M. Melanoma-Current Clinical Management and Future Therapeutics; University of Georgia: Athens, GA, USA, 2015. [Google Scholar]
- Kalkhoran, S.; Milne, O.; Zalaudek, I.; Puig, S.; Malvehy, J.; Kelly, J.W.; Marghoob, A.A. Historical, Clinical, and Dermoscopic Characteristics of Thin Nodular Melanoma. Arch. Dermatol. 2010, 146, 311–318. [Google Scholar] [CrossRef] [PubMed] [Green Version]
- Pinus Taiwanensis Hayata. Available online: http://subject.forest.gov.tw/species/twtrees/book1/21.htm (accessed on 31 May 2007).
- Kuo, P.-C.; Li, Y.-C.; Kusuma, A.; Tzen, J.; Hwang, T.-L.; Ye, G.-H.; Yang, M.-L.; Wang, S.-Y. Anti-Inflammatory Principles from the Needles of Pinus taiwanensis Hayata and In Silico Studies of Their Potential Anti-Aging Effects. Antioxidants 2021, 10, 598. [Google Scholar] [CrossRef] [PubMed]
- Ho, S.-T.; Tung, Y.-T.; Chen, Y.-L.; Zhao, Y.-Y.; Chung, M.-J.; Wu, J.-H. Antioxidant activities and phytochemical study of leaf extracts from 18 indigenous tree species in Taiwan. Evid.-Based Complement. Altern. Med. 2012, 2012, 215959. [Google Scholar] [CrossRef]
- Ďuračková, Z.; Trebatický, B.; Novotný, V.; Žitňanová, I.; Breza, J. Lipid metabolism and erectile function improvement by pycnogenol®, extract from the bark of pinus pinaster in patients suffering from erectile dysfunction-a pilot study. Nutr. Res. 2003, 23, 1189–1198. [Google Scholar] [CrossRef]
- Hsu, T.-Y.; Sheu, S.-C.; Liaw, E.-T.; Wang, T.-C.; Linc, C.-C. Anti-oxidant activity and effect of Pinus morrisonicola Hay. on the survival of leukemia cell line U937. Phytomedicine 2005, 2, 663–669. [Google Scholar] [CrossRef]
- Dar, M.Y.; Shah, W.A.; Mubashir, S.; Rather, M.A. Chromatographic analysis, anti-proliferative and radical scavenging activity of Pinus wallichina essential oil growing in high altitude areas of Kashmir, India. Phytomedicine 2012, 19, 1228–1233. [Google Scholar]
- Lu, J.-J.; Lin, K.-C.; Cheng, Y.-S. Terpenoids from oleoresin of Pinus taiwanensis. Phytochemistry 1975, 14, 1375–1377. [Google Scholar] [CrossRef]
- Cheng, Y.-S.; Chao, Y.-L. The neutral part of the bark of Pinus taiwanensis Hayata. J. Chin. Chem. Soc. 1979, 26, 163–167. [Google Scholar] [CrossRef]
- Fang, J.-M.; Tsai, W.-Y.; Cheng, Y.-S. Serratene triterpenes from Pinus armandii bark. Phytochemistry 1991, 30, 1333–1336. [Google Scholar] [CrossRef]
- Tanaka, R.; Mun, C.; Usami, Y.; Matsunaga, S. 3-oxo-serratene triterpenoids from the stem bark of Picea jezoensis Carr. hondoensis. Phytochemistry 1994, 35, 1517–1522. [Google Scholar] [CrossRef]
- Jang, H.J.; Yang, K.-S. Inhibition of nitric oxide production in RAW 264.7 macrophages by diterpenoids from Phellinus pini. Arch. Pharm. Res. 2011, 34, 913–917. [Google Scholar] [CrossRef] [PubMed]
- Cui, Y.-M.; Yasutomi, E.; Otani, Y.; Ido, K.; Yoshinaga, T.; Sawada, K.; Ohwada, T. Design, synthesis, and characterization of BK channel openers based on oximation of abietane diterpene derivatives. Bioorg. Med. Chem. 2010, 18, 8642–8659. [Google Scholar] [CrossRef]
- Kanno, H.; Schuller, W.H.; Lawrence, R.V. Some Reactions of Levopimaric Acid Dioxide. J. Org. Chem. 1966, 31, 4138–4142. [Google Scholar] [CrossRef]
- Bleif, S.; Hannemann, F.; Lisurek, M.; von Kries, J.P.; Zapp, J.; Dietzen, M.; Antes, I.; Bernhardt, R. Identification of CYP106A2 as a Regioselective Allylic Bacterial Diterpene Hydroxylase. Chembiochem 2011, 7, 576–582. [Google Scholar] [CrossRef]
- Giménez-Arnau, E.; Haberkorn, L.; Grossi, L.; Lepoittevin, J.-P. Identification of radical species derived from allergenic 15-hydroperoxyabietic acid and insights into the behaviour of cyclic tertiary allylic hydroperoxides in Fe(II)/Fe(III) systems. Tetrahedron 2008, 64, 5680–5691. [Google Scholar] [CrossRef]
- Lavoie, S.; Gauthier, C.; Legault, J.; Mercier, S.; Mshvildadze, V.; Pichette, A. Lanostane- and cycloartane-type triterpenoids from Abies balsamea oleoresin. Beilstein J. Org. Chem. 2013, 9, 1333–1339. [Google Scholar] [CrossRef] [Green Version]
- Cheung, H.A.; Miyase, T.; Lenguyen, M.P.; Smal, M.A. Further acidic constituents and neutral components of Pinus massoniana Resin. Tetrahedron 1993, 49, 7903–7915. [Google Scholar] [CrossRef]
- Ohmoto, T.; Saito, M.; Yamaguchi, K. Constituents of pollen. XIV. Constituents of Cedrus deodara LOUD. (3). Chem. Pharm. Bull. 1987, 35, 2443–2447. [Google Scholar] [CrossRef] [Green Version]
- Ayer, W.A.; Macaulay, J.B. Metabolites of the honey mushroom, Armillaria mellea. Can. J. Chem. 1987, 65, 7–14. [Google Scholar] [CrossRef]
- Sun, L.X.; Chen, Y.; Liu, L.X.; Jia, Y.R.; Li, Y.C.; Ma, E.L. Cytotoxic constituents from Wikstroemia indica. Chem. Nat. Compd. 2012, 48, 493–497. [Google Scholar] [CrossRef]
- Zou, G.A.; Wang, Y.; Zou, Z.M.; Chen, S. Lignans from stems of Croton caudatus var. tomentosus. Chem. Nat. Compd. 2013, 49, 93–94. [Google Scholar] [CrossRef]
- Wang, L.; Dai, D.-Y.; Chen, Q.; He, M.-Y. Rapid and green synthesis of phenols catalyzed by a deep eutectic mixture based on fluorinated alcohol in water. J. Fluor. Chem. 2014, 158, 44–47. [Google Scholar] [CrossRef]
- Pouységu, L.; Sylla, T.; Garnier, T.; Rojas, L.B.; Charris, J.; Deffieux, D.; Quideau, S. Hypervalent iodine-mediated oxygenative phenol dearomatization reactions. Tetrahedron 2010, 66, 5908–5917. [Google Scholar] [CrossRef]
- Sheng, Z.; Dai, H.; Pan, S.; Wang, H.; Hu, Y.; Ma, W. Isolation and Characterization of an α-Glucosidase Inhibitor from Musa spp. (Baxijiao) Flowers. Molecules 2014, 19, 10563–10573. [Google Scholar] [CrossRef] [Green Version]
- Masuda, T.; Hidaka, K.; Shinohara, A.; Maekawa, T.; Takeda, Y.; Yamaguchi, H. Chemical Studies on Antioxidant Mechanism of Curcuminoid: Analysis of Radical Reaction Products from Curcumin. J. Agric. Food Chem. 1999, 47, 71–77. [Google Scholar] [CrossRef]
- Bolzani, V.d.S.; Trevisan, L.M.; Younga, M.C.M. Caffeic acid esters and triterpenes of Alibertia macrophylla. Phytochemistry 1991, 30, 2089–2091. [Google Scholar] [CrossRef]
- Ouyang, M.A.; Chang, C.I.; Wein, Y.S.; Kuo, Y.H. New Phenol Glycosides from the Roots of Rhus javanica var. roxburghiana. J. Chin. Chem. Soc. 2008, 55, 223–227. [Google Scholar] [CrossRef]
- Chaturvedula, V.S.P.; Prakash, I. Isolation of Stigmasterol and β-Sitosterol from the dichloromethane extract of Rubus suavissimus. Int. Curr. Pharm. J. 2012, 1, 239–242. [Google Scholar] [CrossRef] [Green Version]
- Kao, Y.-C. Studies on the Constituents and Bioactivities from Pinus taiwanensis Hayata. Master Thesis, Graduate Institute of Pharmacy, Taipei Medical University, Taipei, Taiwan, June 2016. [Google Scholar]
- Landucci, L.; Zinkel, D. The 1H and 13C NMR Spectra of the Abietadienoic Resin Acids. Holzforschung 1991, 45, 341–346. [Google Scholar] [CrossRef]
- Naguib, Y.W.; Kumar, A.; Cui, Z. The effect of microneedles on the skin permeability and antitumor activity of topical 5-fluorouracil. Acta Pharm. Sin. B 2014, 4, 94–99. [Google Scholar] [CrossRef] [PubMed] [Green Version]




. (B) NOESY.
. (B) NOESY.

| Chemical Structure Classification | Compounds Name |
|---|---|
| Triterpenoid | 3β-Methoxyserrat-14-en-21-one (1) |
| Diterpenoid | Dehydroabietic acid (2) |
| 9α,13β-Dihydroxyabiet-8(14)-enoic acid (3) | |
| 7-Oxodehydroabietic acid (4) | |
| 8β-Podocarp-13-en-15-oic acid (5) | |
| 12α-Hydroxyabietic acid (6) | |
| 15-Hydroxyabietic acid (7) | |
| 15-Hydroxydehydroabietic acid (8) | |
| 7β-Hydroxydehydroabietic acid (9) | |
| 15-Hydroxy-7-oxo-8,11,13-abietatrien-18-oic acid (10) | |
| Lignan | Matairesinol (11) |
| Pinoresinol (12) | |
| Phenolic | 4-Hydroxy-benzaldehyde (13) |
| Vanillin (14) | |
| Vanillic acid (15) | |
| Fumalic acid (16) | |
| Phenylpropanoid | Caffeic acid (17) |
| Flavonoid | Taxifolin (18) |
| Steroid | β-Sitosterol (19) |
| Position | 13C-NMR | 1H-NMR | HMBC |
|---|---|---|---|
| δc (Multiplet) | δH (Multiplet, J in Hz) | H→C | |
| 1 | 30.7 | 1.85 (m), 1.39 (m) | C-2, C-3, C-20 |
| 2 | 19.8 | 1.61 (m), 2.44 (m) | C-4, C-10 |
| 3 | 36.7 | 1.74 (m), 1.51 (m) | C-1, C-4, C-18, C-19 |
| 4 | 46.3 | --- | --- |
| 5 | 38.1 | 2.41 (m) | C-4, C-9, C-10, C-18, C-19, C-20 |
| 6 | 29.7 | 1.52 (m) | C-4, C-10 |
| 7 | 24.2 | 2.50 (m) | C-5, C-8, C-9, C-14 |
| 8 | 144.1 | --- | --- |
| 9 | 80.7 | --- | --- |
| 10 | 39.0 | --- | --- |
| 11 | 21.7 | 2.05 (m), 1.41 (m) | C-8, C-9, C-10, C-12 |
| 12 | 25.0 | 1.92 (m), 1.42 (m) | C-9, C-11, C-15 |
| 13 | 79.1 | --- | --- |
| 14 | 127.0 | 6.07 (s) | C-7, C-9, C-13, C-15 |
| 15 | 32.1 | 1.88 (septet, J = 6.8) | C-12, C-14, C-16, C-17 |
| 16 | 17.4 | 0.95 (d, J = 6.8) | C-13, C-15, C-17 |
| 17 | 17.1 | 0.94 (d, J = 6.8) | C-13, C-15, C-16 |
| 18 | 184.0(s) | --- | --- |
| 19 | 17.5(q) | 1.26 (s) | C-3, C-4, C-5, C-19 |
| 20 | 19.1(q) | 1.06 (s) | C-1, C-5, C-9, C-10 |
Publisher’s Note: MDPI stays neutral with regard to jurisdictional claims in published maps and institutional affiliations. |
© 2022 by the authors. Licensee MDPI, Basel, Switzerland. This article is an open access article distributed under the terms and conditions of the Creative Commons Attribution (CC BY) license (https://creativecommons.org/licenses/by/4.0/).
Share and Cite
Chu, M.-H.; Hsiao, S.-W.; Kao, Y.-C.; Yin, H.-W.; Kuo, Y.-H.; Lee, C.-K. Cytotoxicity Effect of Constituents of Pinus taiwanensis Hayata Twigs on B16-F10 Melanoma Cells. Molecules 2022, 27, 2731. https://doi.org/10.3390/molecules27092731
Chu M-H, Hsiao S-W, Kao Y-C, Yin H-W, Kuo Y-H, Lee C-K. Cytotoxicity Effect of Constituents of Pinus taiwanensis Hayata Twigs on B16-F10 Melanoma Cells. Molecules. 2022; 27(9):2731. https://doi.org/10.3390/molecules27092731
Chicago/Turabian StyleChu, Man-Hsiu, Sui-Wen Hsiao, Yu-Chen Kao, Hwa-Wen Yin, Yueh-Hsiung Kuo, and Ching-Kuo Lee. 2022. "Cytotoxicity Effect of Constituents of Pinus taiwanensis Hayata Twigs on B16-F10 Melanoma Cells" Molecules 27, no. 9: 2731. https://doi.org/10.3390/molecules27092731
APA StyleChu, M.-H., Hsiao, S.-W., Kao, Y.-C., Yin, H.-W., Kuo, Y.-H., & Lee, C.-K. (2022). Cytotoxicity Effect of Constituents of Pinus taiwanensis Hayata Twigs on B16-F10 Melanoma Cells. Molecules, 27(9), 2731. https://doi.org/10.3390/molecules27092731

