Next Article in Journal
In Vitro Investigation of the Impact of Bacterial–Fungal Interaction on Carbapenem-Resistant Klebsiella pneumoniae
Previous Article in Journal
Free Amino Acids and Volatile Aroma Compounds in Watermelon Rind, Flesh, and Three Rind-Flesh Juices
 
 
Font Type:
Arial Georgia Verdana
Font Size:
Aa Aa Aa
Line Spacing:
Column Width:
Background:
Article

Conformational Properties of New Thiosemicarbazone and Thiocarbohydrazone Derivatives and Their Possible Targets

1
Laboratory of Organic Chemistry, Department of Chemistry, National and Kapodistrian University of Athens, Panepistimioupolis Zografou, 11571 Athens, Greece
2
Laboratory of Polymer Chemistry, Department of Chemistry, National and Kapodistrian Nikitas Georgiou University of Athens, Panepistimioupolis Zografou, 11571 Athens, Greece
3
Laboratory of Physical Chemistry, Department of Chemistry, National and Kapodistrian University of Athens, Panepistimioupolis Zografou, 11571 Athens, Greece
4
Theoretical and Physical Chemistry Institute, National Hellenic Research Foundation, 48 Vassileos Constantinou Ave., 11635 Athens, Greece
5
Slovenian NMR Centre, National Institute of Chemistry, SI-1001 Ljubljana, Slovenia
*
Authors to whom correspondence should be addressed.
Molecules 2022, 27(8), 2537; https://doi.org/10.3390/molecules27082537
Submission received: 28 February 2022 / Revised: 23 March 2022 / Accepted: 11 April 2022 / Published: 14 April 2022

Abstract

:
The structure assignment and conformational analysis of thiosemicarbazone KKI15 and thiocarbohydrazone KKI18 were performed through homonuclear and heteronuclear 2D Nuclear Magnetic Resonance (NMR) spectroscopy (2D-COSY, 2D-NOESY, 2D-HSQC, and 2D-HMBC) and quantum mechanics (QM) calculations using Functional Density Theory (DFT). After the structure identification of the compounds, various conformations of the two compounds were calculated using DFT. The two molecules showed the most energy-favorable values when their two double bonds adopted the E configuration. These configurations were compatible with the spatial correlations observed in the 2D-NOESY spectrum. In addition, due to the various isomers that occurred, the energy of the transition states from one isomer to another was calculated. Finally, molecular binding experiments were performed to detect potential targets for KKI15 and KKI18 derived from SwissAdme. In silico molecular binding experiments showed favorable binding energy values for all four enzymes studied. The strongest binding energy was observed in the enzyme butyrylcholinesterase. ADMET calculations using the preADMET and pKCSm software showed that the two molecules appear as possible drug leads.

1. Introduction

The framework 1,3-diphenylprop-2-en-1-one (Figure 1A) is well known by the generic term ‘‘chalcone’’, a name coined by Kostanecki and Tambor [1]. Chalcones belong to the flavonoid family, and they contain conjugated double bonds with absolute delocalization and two aromatic rings. They act as synthons by which a range of analogs and novel heterocycles with pharmaceutical structures can be targeted [2]. Chalcones can be used to obtain several heterocyclic rings through ring closure reactions [3]. Various chalcone derivatives show antimicrobial [4], antifungal [5], antimalarial [6], antiviral [7], anti-inflammatory [8], antileishmanial [9] anti-tumor, and anticancer [10] properties.
Thiosemicarbazones (TCSs) (Figure 1B) are an important class of compounds possessing remarkable biological properties making them of interest to structural and medicinal chemists. A wide variety of TSCs containing an appropriate structural framework were found to have antineoplastic [11], antibacterial [12], and antifungal [13] properties. Furthermore, their extraordinary complexing capacity with metal ions such as iron, copper, and zinc provides additional versatility as potential candidates for the preparation of coordinate complexes [14]. Thiosemicarbazones are well known to exhibit both syn and anti isomeric forms [15].
In recent years, there has been growing interest in the coordination chemistry of thiocarbohydrazones, compounds that share the general formula depicted in Figure 1C and that can be considered the higher homologues of thiosemicarbazones. The first synthesis of these systems is dated in 1925 and described the condensation of ketones and aldehydes with thiocarbohydrazide [16,17].
Compounds combining these structural features (KKI15: chalcone-thiosemicarbazone) (KKI18: chalcone-thiocarbohydrazone) have never been studied, and the elucidation of their structure is of utmost interest in the understanding of their biological results. Finally, these compounds have great potential for research activities as they are potential lead drugs for diseases to be discovered. Molecules 27 02537 i001

2. Results and Discussion

2.1. Structure Assignment

As a convenient starting point for the structure assignment of KKI15, the readily assigned H-7, which resonates at 6.79 and 7.20 ppm, was used. These two signals are due to the two conformations of KKI15. Through 2D-COSY, H-6 resonates at 6.46 ppm. Through 2D HSQC, the H-7 and H-6 show 1JC-H coupling with the C7 and C6, respectively, and therefore, C7 and C6 are assigned unambiguously at 118.0 and 143.0 ppm, respectively. Through 2D-NOESY, H-9 is identified at 7.83 and 8.31 ppm due to its correlation with H-7. H-10 and H-11 are then identified due to their correlation with H-9, through 2D-COSY. Furthermore, it is observed that H-7 has two more correlations with protons H-10 and H-13. Through 2D-HSQC, H-9, H-10, and H-11 show 1JC-H coupling with C-9, C-10, and C-11, respectively, and, therefore, C-9, C-10, and C-11 are assigned unambiguously at 119.10, 129.37, and 129.65 ppm. Through 2D-COSY, H-13, H-14, and H-15 are identified, and through 2D-HSQC, C-13, C-14, and C-15 are therefore assigned unambiguously at 127.39, 128.76, and 131.27 ppm. Moreover, it is observed in one correlation between H-6 and H-14. Protons attached to nitrogen are increasingly deshielded. NH(3) resonates at 11.10 ppm. Through 2D-NOESY, NH2 resonates at 7.80 ppm. Through a two-dimensional 13C-1H spectrum of the KKI15, all the carbons were identified except for the quaternary and carbonyl carbons. These carbons have been identified through 2D-HMBC. Specifically, H-7 shows 3JC-H with C-5, H-6 shows 3JC-H with C-8, H-13 shows 2JC-H with C-12, and finally, NH shows 2JC-H with C-2. Based on this strategy, the complete identification of all the proton and carbon atoms of the KKI15 molecule was achieved.
A similar procedure was carried out for thiocarbohydrazone KKI18. Two signals were observed for H-8 due to the two conformations of KKI18. The only difference is that KKI18 has one more amine group than KKI15. For that reason, NH(4) is resonated to 11 and 9.62 ppm, while through 2D-NOESY, NH2 is identified at 3.33 and 5.02 ppm. Finally, through 2D-NOESY, NH(2) is identified as it is associated with NH2. The NH makes sense to be increasingly deshielded because it is next to two electronegative individuals. Moreover, there were observed correlations similar to KKI15 between H-8 and H-10, H-11 and H-14, and H-7 with H-15.
All the calculations were carried out in DMSO because it is considered to be a solvent that simulates the amphoteric environment and is suitable for the observation of NOE effects [18,19].
The two identification strategies are shown in Supplementary Material Figure S3A,B. The two proton spectra of KKI15 (Figure 2 and Figure 3) and KKI18 (Figure 2 and Figure 3) are shown below. Moreover, Table 1 with the chemical shifts of these two compounds is shown below.

2.2. Conformational Analysis

DFT was used to predict the lowest energy conformations for KKI15 and KKI18 as this method offers the highest accuracy of the existing ones. Various initial structures were geometry optimized, and all geometry calculations resulted in eight conformers for KKI15 and for KKI18, see Figure 4. Then their frequencies were calculated. No imaginary frequencies have been found confirming that there are true minima structures.
Four dihedral angles were selected for each molecular structure. Specifically, the angles of KKI15 that were selected for DFT are formed by the following atoms: 5-6-7-8 (τ1), 3-4-5-6 (τ2), 3-4-5-12 (τ3), and 8-7-6-5 (τ4) and for KKI18: 6-7-8-9 (τ1′), 4-5-6-7 (τ2′), 4-5-6-13 (τ3′) and 9-8-7-6 (τ4′). The relative energies are given in Table 2 with the values of dihedrals angles for KKI15 and KKI18.
In Table 2, the values of the dihedral angles differ in each isomer. Although the theoretical value of the dihedral angle should be 0° or 180°, there are some small deviations from these values. This may be due to stereochemical hindrances.
Table 2 clearly shows the relationship between the energy values and the structures, with the E isomers having lower energies values than the Z. From the three-dimensional structures, it is observed that the E configurations reduce the stereochemical repulsions in relation to the Z. Figure 5 shows the hydrogen bonds between the hydrogen of amines and nitrogens for (a) KKI15 and (b) KKI18. The same hydrogen bonds were observed for all the conformations of each compound.
Considering the predicted energy values, the structures of the compounds, and the correlations that were observed in 2D-NOESY spectra (Figure 6), the structures MS1 and MS5 are taken as the most probable configurations for KKI15 and KKI18, respectively, as shown in Figure 7 (Table 3).

2.3. Energy of Transition States

In order to calculate the transition state structures, an initial conformation with dihedral angles τ1 or τ2 of 90° was used, which subsequently was geometry optimized. For the calculation, the geometries of the isomers were considered as implemented in the STQN methodology. The values of the energy of transition states for KKI15 are shown in Table 4. Figure 8 and Figure 9 show the diagrams for the cis-trans isomerization energy barrier for compound KKI15.
The values of the energy of transition states for KKI18 are shown in Table 5. Figure 10 and Figure 11 show the diagrams for the cis-trans isomerization energy barrier for compound KKI18.
The first two energy gaps for KKI15 have very high values (larger than 20 kcal/mol), and for this reason, these conformations are not observed in the NMR spectrum. On the contrary, for KKI18, the energy gap between MS5 and MS6 is less than 20 kcal/mol. This explains the experimental result of observing two conformations. Moreover, the stabilization of the transition states due to the explicit inclusion of the solvent has been evaluated. Specifically, the addition of a solvent molecule in the reaction path MS1→TS3→MS2 of KKI15 results in further stabilization of about 10 kcal/mol, and the energy gap was found to be 53.8 kcal/mol. For the remaining transition states structures, the explicit inclusion of the solvent does not further stabilize them.

2.4. Population Calculation

To make the identification of molecules easier, charge calculations were performed in double bond protons C6=C7 and C7=C8 for compounds KKI15 and KKI18, respectively. This will determine which carbon and proton are the most deshielded in the NMR spectrum. For the protons, the calculations showed similar charges. Specifically, CM5 showed a slightly increased positive charge for proton 7 than 6, while the NMO showed 6 to be more positive than 7. On carbons, CM5 showed a more positive charge on C7 by 0.01, while NBO and Mulliken showed carbon 6 to be more negative than 7 by 0.08 and 0.14, respectively. Due to such small differences, a firm conclusion cannot be derived. The charges of carbons range from 0.01 to 0.1, depending on the method. The detailed results are shown in the Supporting Information (Supplementary Material Table S2A,B).
In the next step, molecular orbitals were calculated in each conformation. For both compounds, the HOMO molecular orbital is localized in the sulfocarbonyl group, and LOMO molecular orbital is localized in the sulfocarbonyl group and in the aromatic ring next to the double bond. The figures with the molecular orbitals are also shown in Supporting Information.

2.5. ECD Results

Absorption UV-Vis spectra of all conformers are given in SI. It was found that there are triplet excitations in the visible area only for KKI15, specifically in the region 625–750 nm. Absorption spectra of KKI18 conformers show no triplet excitation in the visible region. Finally, both compounds present intense single excitations in the UV region at about 230 nm.

2.6. Circular Dichroism (CD)

As it is observed from the CD spectra, in KKI15, there is a distinct difference between the two isomers; in contrast with KKI18, where this difference appears very small. That explains the computational results in which KKI18 was found to show a very low energy gap between the two conformations (See Figures in SI).

2.7. Molecular Binding

SwissADME [20] target was utilized to discover possible targets for the two molecules [21]. Four targets were detected, and more specifically, 5DYW for Butyrylcholinesterase, 4EY7 for Acetylcholinesterase, 5UEN for Adenosine A1 receptor, and 1YK8 for Cathepsin K. In all these crystal files the macromolecule was crystallized with a target. Molecular docking [22] has been applied for all targets. The grid parameters used were the same for all the substrates.: X = 40, Y = 40, Z = 40 (default) and the distance of the dots: 0.375 Å (default).
Then the coordinates from the co-crystallized ligand which were used for the active center of each macromolecule were: 5DYW [23]: X = 14.209, Y = 26.367, Z = −41.477 4EY7 [24]: X = −18,53, Y = −41.928, Z= 24.258, 5UEN [25]: X = 52.632, Y = 56.381, Z = 141.281, 1ΥΚ8 [26] X = 71.977, Y = 12.669, Z = 131.026
All docking scores are shown below in Table 6.
Regarding the 5UEN macromolecule, the binding energy values are the same for both compounds (ΔG = −7.46 kcal/mol). Thus, they strongly bind to Adenosine A1 receptors. The same results apply to the macromolecular 5DYW. The binding energy is −7.75 kcal/mol for thiocarbohydrazone KKI18 and −8.24 kcal/mol for thiosemicarbazone KKI15. Thus, they strongly bind to butyrylcholinesterase.
Proceeding to the 4EY7 macromolecule, it was observed that both KKI15 and KKI18 bind strongly to acetylcholinesterase, with binding energy values of −8.6 and −9.08 kcal/mol, respectively.
In the latter macromolecule, the compounds do not bind strongly. Specifically, they gave values of −6.29 kcal/mol and −6.05 kcal/mol for KKI15 and KKI18, respectively.
The in silico experiments are shown below. The binding energy and the inhibition constants were calculated computationally via the Autodock program.
Following the above conclusions, a thiosemicarbazone (test2) molecule and a thiocarbohdrazone (test1) molecule carrying an electronegative substituent in both rings were designed using the ChemDraw platform to control the influence of electronegativity on both rings and to examine the additive effect. The results are shown in Table 7 and Table 8 below.
In summary, both classes of compounds provide a strong binding at the macromolecules 5UEN and 4EY7. That is, the addition of electronegative substituents to both rings can also lead to compounds that bind strongly to these enzymes but with no additional binding energy. With respect to the 5DYW enzyme, the compounds are almost non-binding, so the addition of electronegative substituents to both rings attenuates the binding to butyrylcholinesterase. This may be attributed to the size of the compounds. In the latter macromolecule, the compounds do not bind strongly; a similar result was observed obtained with KKI15 and KKI18 compounds. The interactions of the test1 compound with acetylcholinesterase differ from KKI15. It forms three hydrogen bonds with SER293 amino acid and two p-p interactions with aminoacid TRP286. Furthermore, test2 compound forms one hydrogen bond with aminoacidARG296 in contrast with KKI18 in that it does not form any bond with acetylcholinesterase. Secondly, in the adenosine A1 receptor, the test compounds form more interactions than KKI15 and KKI18. All in all, the additions of substituents in three of the four macromolecules do not affect the binding energy.

2.8. Results of the Pharmacokinetics and Toxicity Properties of the Two Compounds

Table 9 shows the Drug-Likeness Properties of KKI15 and KKI18.
According to pkCSM and preADMET, thiosemicarbazone KKI15 has a molecular weight < 500 g/mol, hydrogen bonding donors < 5, number of hydrogen bonding acceptors < 10, and lipophilicity less than five. As a result, it obeys Lipinski’s Rules of Five. Because lipophilicity is less than five, it can be easily absorbed from the body. Also, Veber’s Rule is qualified because the rotable bonds are less than seven. The same conclusions apply to thiocarbohydrazone KKI18 (Table 10).
According to preADMET, the BBB value is less than one. As a result, KKI15 is classified as inactive in Central Nervous System (CNS). In contrast, KKI18 has a BBB value of more than one, and it might affect the Central Nervous System (CNS). The value for Human intestinal absorption is high for both compounds, and this signifies that these compounds might be better absorbed from the intestinal tract on oral administration. Moreover, KKI18 was found to be an inhibitor of Pgp, and this means that it can increase oral bioavailability. According to pKCSM, both compounds might have the ability to penetrate the blood-brain barrier and thus be potential drugs for the Central Nervous System (CNS). Both compounds are not inhibitors of CP isoenzymes and therefore are not toxic or do not exert other unwanted adverse effects.
According to pKCSM, KKI15 and KKI18 have not been predicted to be hepatotoxic (Table 11). Moreover, AMES toxicity is negative, and that means that the compounds are not mutagenic. Finally, they are inhibitors of Herg II and, according to preADMET, present a low risk for Herg II.

3. Materials and Methods

3.1. Synthesis

Chalcone A was obtained using Claisen–Schmidt aldolic condensation and standard conditions [27]. Briefly, 55 mmoles of NaOH were dissolved in 95% EtOH/H2O 1:1 (250 mL), then 50 mmoles of acetophenone were added, and the mixture was cooled to 0 °C. Benzaldehyde, 50 mmoles, dissolved in 95% EtOH (50 mL), was added dropwise, and the reaction mixture was left to reach room temperature gradually for 24 h. The solid formed was filtered, washed with 95% EtOH/H2O 1:1, and used for the next preparations after drying in a desiccator over P2O5.
The corresponding thiosemicarbazone KKI15 and thiocarbohydrazone KKI18 were synthesized from chalcone A, which was subjected to a condensation reaction with thiosemicarbazide or thicarbohydrazide, respectively (Scheme 1). The reactant ratio was a controlled condition to avoid the formation of bis-thiocarbohydrazone, and it gave the mono-adduct KKI18 or KKI15 exclusively.

Experimental

(E)-2-((E)-1,3-diphenylallylidene)hydrazine-1-carbothioamide, KKI15
Molecules 27 02537 i004
To a stirred solution of chalcone A (0.50 g, 2.40 mmoles) in 95% EtOH (60 mL), thiosemicarbazide (0.22 g, 2.40 mmoles) is added, followed by 3 drops of 6N HCl. The reaction mixture was stirred at room temperature for 24 h, then concentrated in vacuo, and the remaining was purified by column chromatography using PΕ(40–60)/AcOEt:8/2 as eluent to give thiosemicarbazone KKI15 as yellowish solid in 66% yield (0.45 g), Rf = 0.73 (PE/AcOEt 8/2).
N’-((1E,2E)-1,3-diphenylallylidene)hydrazinecarbothiohydrazide, KKI18
Molecules 27 02537 i005
To a stirred solution of thiocarbohydrazide (0.20 g, 1.92 mmoles) in a mixture of 95% EtOH (58 mL) and H2O (20 mL), chalcone A (0.20 g, 0.96 mmoles) is added followed by 3 drops of 6N HCl. The reaction mixture was stirred at 80 °C for 3 h and then left to crystalize at room temperature for 24 h. The formed solid was filtered, washed with EtOH/H2O 1:1, and recrystallized from EtOH 95% to give KKI18 in the form of a slightly ochre solid in 55% yield (0.31 g).

3.2. Structure Assignment

The two molecules under study have been structurally identified using an 800 MHz spectrometer (Bruker Avance spectrometer-Bruker Biospin GmbH, Reinsteten, Germany) installed in the NMR Centre in the National Institute of Chemistry in Slovenia using 1D and 2D homonuclear and heteronuclear experiments. The pulse sequences were obtained from the library of the spectrometer. The spectra were processed and analyzed using the MestreNova software.

3.3. Computational Details: DFT Calculations

Conformation analysis: Conformational analysis of the compounds has been carried out to find the lowest energy minimum structures employing the density functional theory (DFT) [28] at the B3LYP [29,30]/6-311 + G(d,p) [31] level of theory. This methodology is considered suitable for conformational analysis as it provides consistent results [32]. All conformers were fully optimized, and subsequently, their frequencies were computed in order to confirm that they are true minima. All calculations were carried out in DMSO solvent employing the polarizable continuum model (PCM) [33,34]. This model is divided into a solute part lying inside a cavity, surrounded by the solvent part represented as a material without structure, characterized by its macroscopic properties, i.e., dielectric constants and solvent radius. Furthermore, a solvent DMSO molecule has been added explicitly in all minimum structures and transitions states; see below. Finally, all theoretical data are compared with the experimental results obtained from the NMR spectra.
Activation Energy and transitions states: The paths of the isomerization process were calculated. The transition states connecting the various minima structures were computed using the synchronous transit-guided quasi-Newton (STQN) method [35].
Population analysis: The charges of the atoms were calculated using three population analyses, i.e., Mulliken, NBO and CM5 [36]. The B3LYP [28], M06-2X [37], ωB97-ΧD [38], and 3 basis sets, i.e., 6-311G(d,p) [without diffuse functions], 6-311 + G(d,p) [with diffuse functions for all atoms but H], and 6-311 ++ G(d,p) [with diffuse functions for all atoms]. All calculations were conducted using the Gaussian16 program [39].
Spectra calculations: UV-vis absorption and ECD spectra were calculated for the lowest forty excited states, using the TD-DFT methodology at the B3LYP/6-311 + G(d,p) level of theory. [40]
Circular Dichroism: Circular Dichroism was performed with a Jasco J-815model, featuring a peltier model PTC-423S/15 thermo stabilizing system. The cell used was 1 mm Quartz Suprasil cell. Concentrations used for the two samples were about 2 × 10−4 g/mL.

3.4. Molecular Binding

AutoDock [41] software was used for the molecular binding calculations and, more specifically, the Lamarckian Genetic algorithm. The crystal structures of the proteins were used by the online database “Protein Data Bank—PDB” and downloaded directly to the AutoDock program for study. The compounds used as ligands were designed with the help of the ChemOffice program, and using the same program, their energy was minimized with an MM2 force field.

3.5. ADMET Calculations

Both compounds were sketched in Chem Draw, and they were converted into SMILES in both web application tools preADMET [42] and pKCSm [43]. Both programs were used to examine the drug-likeness (Lipinski’s Rule of Five [44] and Veber’s rule [45]). Moreover, several toxicity parameters were examined via these tools. This procedure is very important for computational drug design because some potential biological compounds fail to reach the clinical trials because of their unfavorable (ADME) parameters.

4. Conclusions

This study focuses on structure assignment and conformational analysis of thiosemicarbazone adduct KKI15 and thiocarbohydrazone KKI18 using a combination of NMR spectroscopy and computational studies (QM methods).
The conformational analysis showed that both molecules could obtain four configurations, but the most favorable is when the two double bonds adopt the E relationship. Through 2D-NOESY and DFT, the conformations that are most probably to agree are MS1 and MS2 for KKI15 and MS5 and MS6 for KKI18. The calculation of transition proves that the molecules obtain these two conformations.
In silico experiments were performed with four macromolecules to find some possible biological targets. The results showed that the compounds bind strongly to acetylcholinesterase, butyrylcholinesterase, and adenosine A1 receptors. In cathepsin K, they bind weakly. Both derivatives are not hepatoxic, and they obey Lipinski’s Rule of Five.
It appears that both molecules can be safe and bioactive, and putative for biological targets. This is very useful to synthetic chemists who wish to investigate new structures for various targets. The ultimate goal is through in silico molecular modeling screening to synthesize molecules that act selectively on certain biological targets.

Supplementary Materials

The following supporting information can be downloaded, Table S1. Assignment of the experimental 13C spectrum of ΚΚΙ15 in DMSO-d6 (top) and KKI18 in DMSO-d6 (bottom), Table S2. (A) Charges calculations results for compound KKI18, (B). Charges calculations results for compound KKI15. Table S3: UV-vis absorption spectra and ECD spectra, Figure S1 (A). 2D-COSY-NMR spectra. The spectra were recorded in DMSO-d6 on a Bruker AC 800 MHz spectrometer at 25 °C, (B). 2D-NOESY-NMR spectra. The spectra were recorded in DMSO-d6 on a Bruker AC 800 MHz spectrometer at 25 °C, (C). 2D-HSQC-NMR spectra. The spectra were recorded in DMSO-d6 on a Bruker AC 800 MHz spectrometer at 25 °C., (D). 2D-HMBC-NMR spectra. The spectra were recorded in DMSO-d6 on a Bruker AC 800 MHz spectrometer at 25 °C, Figure S2. (A). 2D-COSY-NMR spectra. The spectra were recorded in DMSO-d6 on a Bruker AC 800 MHz spectrometer at 25 °C, (B). 2D-NOESY-NMR spectra. The spectra were recorded in DMSO-d6 on a Bruker AC 800 MHz spectrometer at 25 °C, (C). 2D-HSQC-NMR spectra. The spectra were recorded in DMSO-d6 on a Bruker AC 800 MHz spectrometer at 25 °C, (D). 2D-HMBC-NMR spectra. The spectra were recorded in DMSO-d6 on a Bruker AC 800 MHz spectrometer at 25 °C, Figure S3. (A). diagram showing the identification strategy of the KKI15 compound in DMSO, (B). Overall diagram showing the identification strategy of the ΚΚΙ18 compound in DMSO. Figure S4: Binding mode of KKI15 (a), KKI18 (b), test_1 (c) and test_2 with acetylcholinesterase, which gave the most favorable results. Figure S5: Theoretical extinctions (bottom) and ECD spectrum (top) of KKI15 (E,E) calculated at the B3LYP/6-311 + G(d,p) level of theory. Figure S6: Theoretical extinctions (bottom) and ECD spectrum (top) of KKI15 (E,Z) calculated at the B3LYP/6-311 + G(d,p) level of theory. Figure S7: Theoretical extinctions (bottom) and ECD spectrum (top) of KKI15 (Z,Z) calculated at the B3LYP/6-311 + G(d,p) level of theory. Figure S8: Theoretical extinctions (bottom) and ECD spectrum (top) of KKI15 (Z,E) calculated at the B3LYP/6-311 + G(d,p) level of theory. Figure S9: Theoretical extinctions (bottom) and ECD spectrum (top) of KKI18 (E,E) calculated at the B3LYP/6-311 + G(d,p) level of theory. Figure S10: Theoretical extinctions (bottom) and ECD spectrum (top) of KKI18 (E,Z) calculated at the B3LYP/6-311 + G(d,p) level of theory. Figure S11: Theoretical extinctions (bottom) and ECD spectrum (top) of KKI18 (Z,E) calculated at the B3LYP/6-311 + G(d,p) level of theory. Figure S12: Theoretical extinctions (bottom) and ECD spectrum (top) of KKI18 (Z,Z) calculated at the B3LYP/6-311 + G(d,p) level of theory. Figure S13: Orbitals in HOMO (top) and LUMO (bottom) in KKI15 (E,E) conformation. Figure S14: Orbitals in HOMO (bottom) and LUMO (top) in KKI15 (E,Z) conformation. Figure S15: Orbitals in HOMO (bottom) and LUMO (top) in KKI15 (Z,E) conformation. Figure S16: Orbitals in HOMO (bottom) and LUMO (top) in KKI15 (Z,Z) conformation. Figure S17: Orbitals in HOMO (bottom) and LUMO (top) in KKI18 (E,E) conformation. Figure S18: Orbitals in HOMO (bottom) and LUMO (top) in KKI18 (E,Z) conformation. Figure S19: Orbitals in HOMO (top) and LUMO (bottom) in KKI18 (Z,E) conformation. Figure S20: Orbitals in HOMO (bottom) and LUMO (top) in KKI18 (Z,Z) conformation. Figure S21: Circular Dichroism of KKI15. Figure S22: Circular Dichroism of KKI18.

Author Contributions

N.G., Investigation, Formal analysis, Methodology, Writing—original draft, A.K., Synthesis, D.S., H.I., CD experiments, Writing—review & editing, D.T., Resources, Supervision, Methodology, Writing—review & editing, S.V., Resources, Synthesis Supervision, Methodology, Writing—review & editing, U.J., J.P., NMR experiments, Writing—review & editing, T.M. Conceptualization, Resources, Supervision, Writing—original draft, Writing—review & editing. All authors have read and agreed to the published version of the manuscript.

Funding

This research received no external funding.

Institutional Review Board Statement

Not applicable.

Informed Consent Statement

Not applicable.

Data Availability Statement

The data presented in this paper are available in Supporting information.

Acknowledgments

NMR studies were performed at the Slovenian NMR center and were supported by the Slovenian Research Agency [Grants Nos. P1-0242 and J1-1704]. The authors acknowledge the CERIC-ERIC consortium for the access to experimental facilities and financial support Materials were supported by Special Account for Research Grants (SARG), National Kapodistrian University of Athens (NKUA).

Conflicts of Interest

The authors declare no conflict of interest.

Sample Availability

Samples of the compounds KKI15 and KKI18 are available from the authors.

References

  1. Yerragunta, V.; Kumaraswamy, T.; Suman, D.; Patil, P.; Samantha, T. A review on chalcones and its importance. Pharmatutor Mag. 2013, 1, 54–59. [Google Scholar]
  2. Patil, C.B.; Mahajan, S.K.; Katti, S.A. Chalcone: A versatile molecule. J. Pharm. Sci. Res. 2009, 1, 11–22. [Google Scholar]
  3. Basappa, V.C.; Ramaiah, S.; Penubolu, S.; Kariyappa, A.K. Recent developments on the synthetic and biological applications of chalcones—A review. Biointerface Res. Appl. Chem. 2021, 12, 180–195. [Google Scholar] [CrossRef]
  4. Ritter, M.; Martins, R.; Dias, D.; de Pereira, C.M.P. Recent advances on the synthesis of chalcones with antimicrobial activities: A brief review. Lett. Org. Chem. 2014, 11, 498–508. [Google Scholar] [CrossRef]
  5. Mellado, M.; Espinoza, L.; Madrid, A.; Mella, J.; Chávez-Weisser, E.; Diaz, K.; Cuellar, M. Design, synthesis, antifungal activity, and structure–activity relationship studies of chalcones and hybrid dihydrochromane–chalcones. Mol. Divers. 2020, 24, 603–615. [Google Scholar] [CrossRef]
  6. Gopinathan, A.; Moidu, M.; Mukundan, M.; Narayanan, S.E.; Narayanan, H.; Adhikari, N. Design, synthesis and biological evaluation of several aromatic substituted chalcones as antimalarial agents. Drug Dev. Res. 2020, 81, 1048–1056. [Google Scholar] [CrossRef]
  7. Elkhalifa, D.; Al-Hashimi, I.; Al Moustafa, A.-E.; Khalil, A. A comprehensive review on the antiviral activities of chalcones. J. Drug Target. 2021, 29, 403–419. [Google Scholar] [CrossRef]
  8. Nurkenov, O.A.; Ibraev, M.K.; Schepetkin, I.A.; Khlebnikov, A.I.; Seilkhanov, T.M.; Arinova, A.E.; Isabaeva, M.B. Synthesis, structure, and anti-inflammatory activity of functionally substituted chalcones and their derivatives. Russ. J. Gen. Chem. 2019, 89, 1360–1367. [Google Scholar] [CrossRef]
  9. Gupta, S.; Shivahare, R.; Korthikunta, V.; Singh, R.; Gupta, S.; Tadigoppula, N. Synthesis and biological evaluation of chalcones as potential antileishmanial agents. Eur. J. Med. Chem. 2014, 81, 359–366. [Google Scholar] [CrossRef]
  10. Constantinescu, T.; Lungu, C.N. Anticancer activity of natural and synthetic chalcones. Int. J. Mol. Sci. 2021, 22, 11306. [Google Scholar] [CrossRef]
  11. Graminha, A.E.; Vilhena, F.S.; Batista, A.A.; Louro, S.R.W.; Ziolli, R.L.; Teixeira, L.R.; Beraldo, H. 2-Pyridinoformamide-derived thiosemicarbazones and their iron(III) complexes: Potential antineoplastic activity. Polyhedron 2008, 27, 547–551. [Google Scholar] [CrossRef]
  12. Govender, H.; Mocktar, C.; Kumalo, H.M.; Koorbanally, N.A. Synthesis, antibacterial activity and docking studies of substituted quinolone thiosemicarbazones. Phosphorus Sulfur Silicon Relat. Elem. 2019, 194, 1074–1081. [Google Scholar] [CrossRef]
  13. Bajaj, K.; Buchanan, R.M.; Grapperhaus, C.A. Antifungal activity of thiosemicarbazones, bis(thiosemicarbazones), and their metal complexes. J. Inorg. Biochem. 2021, 225, 111620. [Google Scholar] [CrossRef] [PubMed]
  14. Casas, J.S.; García-Tasende, M.S.; Sordo, J. Main group metal complexes of semicarbazones and thiosemicarbazones. A structural review. Coord. Chem. Rev. 2000, 209, 197–261. [Google Scholar] [CrossRef]
  15. Matesanz, A.I.; Herrero, J.M.; Quiroga, A.G. Chemical and biological evaluation of thiosemicarbazone-bearing heterocyclic metal complexes. Curr. Top. Med. Chem. 2021, 21, 59–72. [Google Scholar] [CrossRef]
  16. Bonaccorso, C.; Marzo, T.; La Mendola, D. Biological applications of thiocarbohydrazones and their metal complexes: A perspective review. Pharmaceuticals 2019, 13, 4. [Google Scholar] [CrossRef] [Green Version]
  17. Çavuş, M.S.; Yakan, H.; Özorak, C.; Muğlu, H.; Bakır, T.K. New N,N’-bis(thioamido)thiocarbohydrazones and carbohydrazones: Synthesis, structure characterization, antioxidant activity, corrosion inhibitors and DFT studies. Res. Chem. Intermed. 2022, 48, 1593–1613. [Google Scholar] [CrossRef]
  18. Matsoukasi, J.M.; Hondrelisi, J.; Keramidai, M.; Mavromoustakos, T.; Makriyannis, A.; Yamdagnifl, R. Role of the NH2-terminal domain of angiotensin II (ANG II) and [Sar1] angiotensin II on conformation and activity. J. Biol. Chem. 1994, 269, 5303–5312. [Google Scholar] [CrossRef]
  19. Preto, M.A.C.; Melo, A.; Maia, H.L.S.; Mavromoustakos, T.; Ramos, M.J. Molecular dynamics simulations of angiotensin II in aqueous and dimethyl sulfoxide environments. J. Phys. Chem. B 2005, 109, 17743–17751. [Google Scholar] [CrossRef]
  20. Daina, A.; Michielin, O.; Zoete, V. SwissADME: A free web tool to evaluate pharmacokinetics, drug-likeness and medicinal chemistry friendliness of small molecules. Sci. Rep. 2017, 7, 42717. [Google Scholar] [CrossRef] [Green Version]
  21. Mendes, E.P.; Goulart, C.M.; Chaves, O.A.; Faiões, V.D.S.; Canto-Carvalho, M.M.; Machado, G.C.; Torres-Santos, E.C.; Echevarria, A. Evaluation of novel chalcone-thiosemicarbazones derivatives as potential anti-Leishmania amazonensis agents and its HSA binding studies. Biomolecules 2019, 9, 643. [Google Scholar] [CrossRef] [PubMed] [Green Version]
  22. Huey, R.; Morris, G.M.; Forli, S. Using AutoDock 4 and AutoDock Vina with AutoDockTools: A Tutorial; Scripps Research Institute Molecular Graphics Laboratory: La Jolla, CA, USA, 2012; 32p. [Google Scholar]
  23. Košak, U.; Brus, B.; Knez, D.; Šink, R.; Žakelj, S.; Trontelj, J.; Pišlar, A.; Šlenc, J.; Gobec, M.; Živin, M.; et al. Development of an in-vivo active reversible butyrylcholinesterase inhibitor. Sci. Rep. 2016, 6, 39495. [Google Scholar] [CrossRef] [PubMed] [Green Version]
  24. Cheung, J.; Rudolph, M.J.; Burshteyn, F.; Cassidy, M.S.; Gary, E.N.; Love, J.; Franklin, M.C.; Height, J.J. Structures of human acetylcholinesterase in complex with pharmacologically important ligands. J. Med. Chem. 2012, 55, 10282–10286. [Google Scholar] [CrossRef] [PubMed]
  25. Glukhova, A.; Thal, D.M.; Nguyen, A.T.; Vecchio, E.A.; Jörg, M.; Scammells, P.J.; May, L.T.; Sexton, P.M.; Christopoulos, A. Structure of the adenosine A1 receptor reveals the basis for subtype selectivity. Cell 2017, 168, 867–877.e3. [Google Scholar] [CrossRef] [PubMed] [Green Version]
  26. Barrett, D.G.; Deaton, D.N.; Hassell, A.M.; McFadyen, R.B.; Miller, A.B.; Miller, L.R.; Payne, J.A.; Shewchuk, L.M.; Willard, D.H.; Wright, L.L. Acyclic cyanamide-based inhibitors of cathepsin K. Bioorg. Med. Chem. Lett. 2005, 15, 3039–3043. [Google Scholar] [CrossRef] [PubMed]
  27. Jawad, A.M.; Salih, M.N.M.; Helal, T.A.; Obaid, N.H.; Aljamali, N.M. Review on chalcone (preparation, reactions, medical and bio applications). Int. J. Chem. Synth. Chem. React. 2019, 5, 16–27. [Google Scholar]
  28. Tirado-Rives, J.; Jorgensen, W.L. Performance of B3LYP density functional methods for a large set of organic molecules. J. Chem. Theory Comput. 2008, 4, 297–306. [Google Scholar] [CrossRef]
  29. Lee, C.; Yang, W.; Parr, R.G. Development of the Colle-Salvetti correlation-energy formula into a functional of the electron density. Phys. Rev. B 1988, 37, 785–789. [Google Scholar] [CrossRef] [Green Version]
  30. Becke, A.D. A new mixing of Hartree–Fock and local density-functional theories. J. Chem. Phys. 1993, 98, 1372–1377. [Google Scholar] [CrossRef]
  31. Curtiss, L.A.; McGrath, M.P.; Blaudeau, J.; Davis, N.E.; Binning, R.C., Jr.; Radom, L. Extension of Gaussian-2 theory to molecules containing third-row atoms Ga–Kr. J. Chem. Phys. 1995, 103, 6104–6113. [Google Scholar] [CrossRef]
  32. Tzeli, D.; Tsoungas, P.G.; Petsalakis, I.D.; Kozielewicz, P.; Zloh, M. Intramolecular cyclization of β-nitroso-o-quinone methides. A theoretical endoscopy of a potentially useful innate ‘reclusive’ reaction. Tetrahedron 2015, 71, 359–369. [Google Scholar] [CrossRef]
  33. Miertuš, S.; Scrocco, E.; Tomasi, J. Electrostatic interaction of a solute with a continuum. A direct utilizaion of AB initio molecular potentials for the prevision of solvent effects. Chem. Phys. 1981, 55, 117–129. [Google Scholar] [CrossRef]
  34. Tomasi, J.; Mennucci, B.; Cammi, R. Quantum mechanical continuum solvation models. Chem. Rev. 2005, 105, 2999–3094. [Google Scholar] [CrossRef] [PubMed]
  35. Peng, C.; Ayala, P.Y.; Schlegel, H.B.; Frisch, M.J. Using redundant internal coordinates to optimize equilibrium geometries and transition states. J. Comput. Chem. 1996, 17, 49–56. [Google Scholar] [CrossRef]
  36. Saha, S.; Roy, R.K.; Ayers, P.W. Are the Hirshfeld and Mulliken population analysis schemes consistent with chemical intuition? Int. J. Quantum Chem. 2009, 109, 1790–1806. [Google Scholar] [CrossRef]
  37. Zhao, Y.; Truhlar, D.G. The M06 suite of density functionals for main group thermochemistry, thermochemical kinetics, noncovalent interactions, excited states, and transition elements: Two new functionals and systematic testing of four M06-class functionals and 12 other functionals. Theor. Chem. Acc. 2008, 120, 215–241. [Google Scholar] [CrossRef] [Green Version]
  38. Grimme, S. Semiempirical GGA-type density functional constructed with a long-range dispersion correction. J. Comput. Chem. 2006, 27, 1787–1799. [Google Scholar] [CrossRef]
  39. Frisch, M.J.; Trucks, G.W.; Schlegel, H.B.; Scuseria, G.E.; Robb, M.A.; Cheeseman, J.R.; Scalmani, G.; Barone, V.; Petersson, G.A.; Nakatsuji, H.; et al. Gaussian 16, revision, B.01. In Gaussian 09; Gaussian Inc.: Wallingford, CT, USA, 2016. [Google Scholar]
  40. Petermayer, C.; Dube, H. Circular dichroism photoswitching with a twist: Axially chiral hemiindigo. J. Am. Chem. Soc. 2018, 140, 13558–13561. [Google Scholar] [CrossRef]
  41. Schleinkofer, K.; Wang, T.; Wade, R.C. Molecular docking. In Encyclopedic Reference of Genomics and Proteomics in Molecular Medicine; Springer: Berlin/Heidelberg, Germany, 2006; Volume 443, pp. 1149–1153. [Google Scholar] [CrossRef]
  42. Nunes, A.M.V.; Andrade, F.D.C.P.D.; Filgueiras, L.A.; Maia, O.A.D.C.; Cunha, R.L.; Rodezno, S.V.; Filho, A.L.M.M.; Carvalho, F.A.D.A.; Braz, D.C.; Mendes, A.N. preADMET analysis and clinical aspects of dogs treated with the Organotellurium compound RF07: A possible control for canine visceral leishmaniasis? Environ. Toxicol. Pharmacol. 2020, 80, 103470. [Google Scholar] [CrossRef]
  43. Pires, D.E.V.; Blundell, T.L.; Ascher, D.B. pkCSM: Predicting small-molecule pharmacokinetic and toxicity properties using graph-based signatures. J. Med. Chem. 2015, 58, 4066–4072. [Google Scholar] [CrossRef]
  44. Neidle, S. Design principles for quadruplex-binding small molecules. In Therapeutic Applications of Quadruplex Nucleic Acids; Academic Press: Cambridge, MA, USA, 2012; pp. 151–174. [Google Scholar] [CrossRef]
  45. Veber, D.F.; Johnson, S.R.; Cheng, H.-Y.; Smith, B.R.; Ward, K.W.; Kopple, K.D. Molecular properties that influence the oral bioavailability of drug candidates. J. Med. Chem. 2002, 45, 2615–2623. [Google Scholar] [CrossRef] [PubMed]
Figure 1. Structure of chalcone or (2E)-1,3-diphenylprop-2-en-1-one (A), thiosemicarbazones (B), thiocarbohydrazones (C).
Figure 1. Structure of chalcone or (2E)-1,3-diphenylprop-2-en-1-one (A), thiosemicarbazones (B), thiocarbohydrazones (C).
Molecules 27 02537 g001
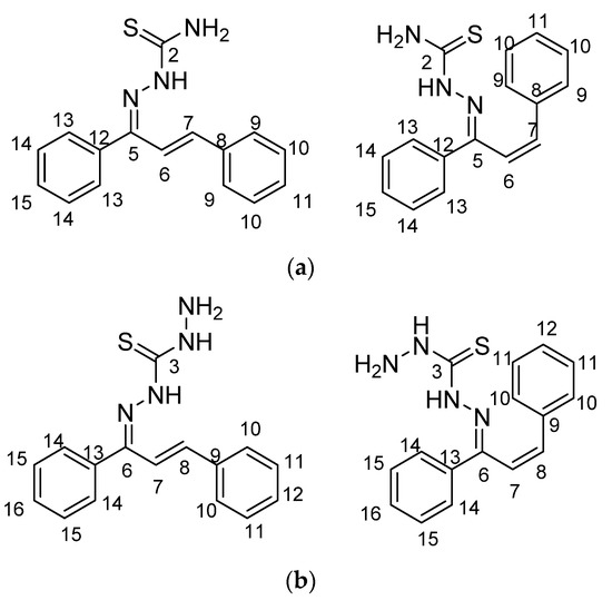
Figure 2. Structure of (a) KKI15 in E (top, left) and Z isomer (top, right) and (b) KKI18 in E (bottom left) and Z (bottom right) isomer with carbons numbered as these are used in the assignment of NMR spectra.
Figure 2. Structure of (a) KKI15 in E (top, left) and Z isomer (top, right) and (b) KKI18 in E (bottom left) and Z (bottom right) isomer with carbons numbered as these are used in the assignment of NMR spectra.
Molecules 27 02537 g002
Figure 3. 1H NMR spectra in DMSO of KKI15 (top) and KKI18 (bottom). The spectra were recorded in DMSO-d6 on a Bruker AC 800MHz spectrometer at 25 °C.
Figure 3. 1H NMR spectra in DMSO of KKI15 (top) and KKI18 (bottom). The spectra were recorded in DMSO-d6 on a Bruker AC 800MHz spectrometer at 25 °C.
Molecules 27 02537 g003
Figure 4. Optimized conformations derived from DFT calculations for (a) KKI15 and (b) KKI18.
Figure 4. Optimized conformations derived from DFT calculations for (a) KKI15 and (b) KKI18.
Molecules 27 02537 g004
Figure 5. Conformations with hydrogen bonds for (a) KKI15 and (b) KKI18.
Figure 5. Conformations with hydrogen bonds for (a) KKI15 and (b) KKI18.
Molecules 27 02537 g005
Figure 6. NOEs effects between H-7 and H-13 for KKI15 (a) and between H-8 and H-14 for KKI18 (b).
Figure 6. NOEs effects between H-7 and H-13 for KKI15 (a) and between H-8 and H-14 for KKI18 (b).
Molecules 27 02537 g006
Figure 7. Most probably conformations for (a) KKI15 and (b) KKI18.
Figure 7. Most probably conformations for (a) KKI15 and (b) KKI18.
Molecules 27 02537 g007
Figure 8. Schematic representation of the isomerization energy barrier between cis-trans (y = Energy in Hartree, x = conformation).
Figure 8. Schematic representation of the isomerization energy barrier between cis-trans (y = Energy in Hartree, x = conformation).
Molecules 27 02537 g008
Figure 9. Schematic representation of cis-trans kinetic isomerization for KKI15 (y = Energy in Hartree, x = conformation).
Figure 9. Schematic representation of cis-trans kinetic isomerization for KKI15 (y = Energy in Hartree, x = conformation).
Molecules 27 02537 g009
Figure 10. Schematic representation of the isomerization energy barrier between cis-trans.(y = Energy in Hartree, x = conformation).
Figure 10. Schematic representation of the isomerization energy barrier between cis-trans.(y = Energy in Hartree, x = conformation).
Molecules 27 02537 g010
Figure 11. Schematic representation of cis-trans kinetic isomerization for KKI18.
Figure 11. Schematic representation of cis-trans kinetic isomerization for KKI18.
Molecules 27 02537 g011
Scheme 1. Synthetic route to thiosemicarbazone KKI15 and thiocarbohydrazone KKI18 from chalcone A.
Scheme 1. Synthetic route to thiosemicarbazone KKI15 and thiocarbohydrazone KKI18 from chalcone A.
Molecules 27 02537 sch001
Table 1. Assignment of the experimental 1H NMR spectra of ΚΚΙ15 and KKI18 in DMSO-d6.
Table 1. Assignment of the experimental 1H NMR spectra of ΚΚΙ15 and KKI18 in DMSO-d6.
Peak
KKI15
Chemical Shift (ppm)PeakChemical Shift (ppm)PeakChemical Shift (ppm)
66.45157.65311.10
76.79107.65
7′7.20137.73
117.3517.80
147.4297.82
Peak
KKI18
Chemical Shift (ppm)PeakChemical Shift (ppm)PeakChemical Shift (ppm)
13.34157.402′9.60
1′4.99147.7249.38
76.29167.454′11.07
7′6.75117.66127.33
86.42107.78
8′7.2028.65
Table 2. Results of energy minimization calculations. The values are given in Hartree, while their difference from the stable structure MS1 for KKI15 and MS5 for KKI18 in kcal/mol (top). Values in degrees of the dihedral angles, of the minimized structures (MS) for KKI15 and KKI18 (bottom).
Table 2. Results of energy minimization calculations. The values are given in Hartree, while their difference from the stable structure MS1 for KKI15 and MS5 for KKI18 in kcal/mol (top). Values in degrees of the dihedral angles, of the minimized structures (MS) for KKI15 and KKI18 (bottom).
KKI15Difference in Energy between the Various Conformers and the Conformer at the Minimum EnergyDouble Bond IsomerismAmide Bond IsomerismDihedral Angle (Degrees)Dihedral Angle (Degrees)
MS10ΕΕτ1 = 179.56τ2 = −6.97
MS20.79ΕΖτ1 = 179.12τ3 = −4.53
MS33.04ΖΕτ4 = −3.93τ2 = 1.69
MS46.72ZZτ4 = −6.54τ2 = −5.76
KKI18Difference in Energy between the Various Conformers and the Conformer at the Minimum EnergyDouble Bond IsomerismAmide Bond IsomerismDihedral Angle (Degrees)Dihedral Angle (Degrees)
MS50ΕΕτ1′ = −179.07τ3′ = 4.38
MS60.81ΕΖτ4′ = −4.22τ2′ = 2.14
MS72.98ΖΕτ4′ = 0.95τ2′ = −177.57
MS86.66ZZτ4′ = 0.95τ2′ = −177.57
Table 3. The most important comparative distances in the complex obtained through 2D NOESY and DFT MD calculations for KKI15 (top) and KKI18 (bottom).
Table 3. The most important comparative distances in the complex obtained through 2D NOESY and DFT MD calculations for KKI15 (top) and KKI18 (bottom).
Spatial InteractionsMD Distances (Å)Qualitative Characterization of the Spatial Interactions
H7-H132.23S
H7-H104.65W
H7-H92.32S
H6-H144.81W
H8-H142.72S
H8-H114.65W
H8-H102.30S
H7-H154.80W
Table 4. Kinetic isomerization between cis-trans for KKI15.
Table 4. Kinetic isomerization between cis-trans for KKI15.
ConformationEnergy (kcal/mol)
MS46.72
ts150.09
MS33.04
ts248.79
MS10.00
ts363.60
MS20.79
Table 5. Kinetic isomerization between cis-trans for KKI18.
Table 5. Kinetic isomerization between cis-trans for KKI18.
ConformationEnergy(kcal/mol)
MS86.66
ts175.30
MS72.98
ts242.91
MS50.00
ts313.91
MS60.81
Table 6. Binding energies BE (kcal/mol) and Inhibition constants between the compounds and macromolecules.
Table 6. Binding energies BE (kcal/mol) and Inhibition constants between the compounds and macromolecules.
5UEN (Adenosine A1 Receptor)BEINHIBITION CONSTANT
KKI15−7.46 ± 0.53.38 ± 0.5 μM
KKI18−7.46 ± 0.53.38 μM ± 0.5
5DYW (Butyrylcholinesterase)
KKI15−8.24 ± 0.50.917 ± 0.5 μΜ
KKI18−7.75 ± 0.52.1 μM ± 0.5
1YK8 (Cathepsin K)
KKI15−6.29 ± 0.524.36 ± 0.5 μΜ
KKI18−6.05 ± 0.50.037 μΜ ± 0.5
4EY7 (Acetylcholinesterase)
KKI15−8.6 ± 0.50.499 ± 0.5 μΜ
KKI18−9.08 ± 0.50.221 μΜ ± 0.5
Table 7. Molecular binding results of compound test1 with four macromolecules.
Table 7. Molecular binding results of compound test1 with four macromolecules.
test1
Molecules 27 02537 i002
Binding Energy (kcal/mol)Inhibition Constant
5UEN (Adenosine A1 receptor)−8.89 ± 0.50.304 ± 0.5 μM
5DYW (Butyrylcholinesterase)0.06 ± 0.5-
4EY7 (Acetylcholinesterase)−9.62 ± 0.50.089 ± 0.5 μΜ
1YK8 (Cathepsin K)−5.78 ± 0.557.93 ± 0.5 μΜ
Table 8. Molecular binding results of compound test2 with four macromolecules.
Table 8. Molecular binding results of compound test2 with four macromolecules.
test2
Molecules 27 02537 i003
Binding Energy (kcal/mol)Inhibition Constant
5UEN (Adenosine A1 receptor)−8.89 ± 0.50.305 ± 0.5 μM
5DYW (Butyrylcholinesterase)−0.24 ± 0.5670.000 ± 0.5 μM
4EY7 (Acetylcholinesterase)−9.75 ± 0.571.11 ± 0.5 μΜ
1YK8 (Cathepsin K)−5.58 ± 0.581.85 ± 0.5 μΜ
Table 9. The physicochemical parameters for compounds KKI15 and KKI18.
Table 9. The physicochemical parameters for compounds KKI15 and KKI18.
PropertiesCompound KKI15Compound KKI18
Molecular Weight281.384296.399
LogP2.93732.4419
Rotable bonds44
Hydrogen Bond Acceptors23
Hydrogen Bond Donors23
Surface Area123.373 (Å2)128.893 (Å2)
Water solubility−3.556 (mol/L)−3.215 (mol/L)
Table 10. The ADME results of KKI15 and KKI18 according to preADMET.
Table 10. The ADME results of KKI15 and KKI18 according to preADMET.
Compound KKI15Compound KKI18
BBB0.663581.08871
Buffer_solubility_mg_L148.736878.339
Caco221.016820.112
CYP_2C19_inhibitionNonNon
CYP_2C9_inhibitionNonNon
CYP_2D6_inhibitionNonNon
CYP_2D6_substrateNonNon
CYP_3A4_inhibitionNonNon
CYP_3A4_substrateWeaklyWeakly
HIA95.24357893.484318
MDCK167.329153.511
Pgp_inhibitionNonInhibitor
Plasma_Protein_Binding10099.274409
Pure_water_solubility_mg_L0.4293930.471067
Skin_Permeability−2.03257−2.76463
Table 11. Toxicity results of KKI15 and KKI18 according to pKCSm.
Table 11. Toxicity results of KKI15 and KKI18 according to pKCSm.
PropertiesCompound KKI15Compound KKI18
Toxicity
AMES toxicityNoNo
Max. tolerated dose (human)0.243 (log mg/kg/day)0.317 (log mg/kg/day)
Herg I inhibitorNoNo
Herg II inhibitorYesYes
Oral Rat Acute Toxicity (LD50)2.68 (mol/kg)2.629 (mol/kg)
Oral Rat Chronic Toxicity0.667 (log mg/kg_bw/day)1.506 (log mg/kg_bw/day)
HepatotoxicityNoNo
Skin SensitisationYesYes
Publisher’s Note: MDPI stays neutral with regard to jurisdictional claims in published maps and institutional affiliations.

Share and Cite

MDPI and ACS Style

Georgiou, N.; Katsogiannou, A.; Skourtis, D.; Iatrou, H.; Tzeli, D.; Vassiliou, S.; Javornik, U.; Plavec, J.; Mavromoustakos, T. Conformational Properties of New Thiosemicarbazone and Thiocarbohydrazone Derivatives and Their Possible Targets. Molecules 2022, 27, 2537. https://doi.org/10.3390/molecules27082537

AMA Style

Georgiou N, Katsogiannou A, Skourtis D, Iatrou H, Tzeli D, Vassiliou S, Javornik U, Plavec J, Mavromoustakos T. Conformational Properties of New Thiosemicarbazone and Thiocarbohydrazone Derivatives and Their Possible Targets. Molecules. 2022; 27(8):2537. https://doi.org/10.3390/molecules27082537

Chicago/Turabian Style

Georgiou, Nikitas, Aikaterini Katsogiannou, Dimitrios Skourtis, Hermis Iatrou, Demeter Tzeli, Stamatia Vassiliou, Uroš Javornik, Janez Plavec, and Thomas Mavromoustakos. 2022. "Conformational Properties of New Thiosemicarbazone and Thiocarbohydrazone Derivatives and Their Possible Targets" Molecules 27, no. 8: 2537. https://doi.org/10.3390/molecules27082537

APA Style

Georgiou, N., Katsogiannou, A., Skourtis, D., Iatrou, H., Tzeli, D., Vassiliou, S., Javornik, U., Plavec, J., & Mavromoustakos, T. (2022). Conformational Properties of New Thiosemicarbazone and Thiocarbohydrazone Derivatives and Their Possible Targets. Molecules, 27(8), 2537. https://doi.org/10.3390/molecules27082537

Article Metrics

Back to TopTop