Application of Approved Cisplatin Derivatives in Combination Therapy against Different Cancer Diseases
Abstract
1. Introduction
2. Cisplatin Combinations for Anticancer Therapy
- (1)
- a major component for the administration against ovarian carcinoma and testicular teratoma [17];
- (2)
- (3)
- the second cytostatic towards advanced small-cell lung cancer (SCLC) and non-small-cell lung cancer (NSCLC), breast, pancreatic, liver, kidney, and prostate cancer [17], refractory non-Hodgkin’s lymphoma, sarcoma, neuroblastoma, malignant brain multiform glioblastoma, peritoneal and pleural mesothelioma, metastatic melanoma, leukemia [19];
- (4)
- sensitization of tumor cells to radiation therapy for carcinomas of the head, neck, esophagus, lung, and gastric cancer [20].
3. Anticancer Therapy with Approved Cisplatin Derivatives in Combination Regimens
- (1)
- a flat-square Pt II complex
- (2)
- cis-position of the two “leaving” ligands
- (3)
- amino or imino ligands at the other two coordination site
- (4)
- the presence of a NH-functional group in the platinum compounds, which is important for the stability of the formed adducts, due to additional binding via H-bonds
- (5)
- Increasing of the therapeutic index towards Cisplatin-resistant ovarian, lung, breast, colon and prostate cancer
- (6)
- Change of the degree of oxidation of the metal ion, for kinetic and thermodynamiccontrol over the binding of the metal complex to DNA bases and ensuring oralbioavailability—Satraplatin.
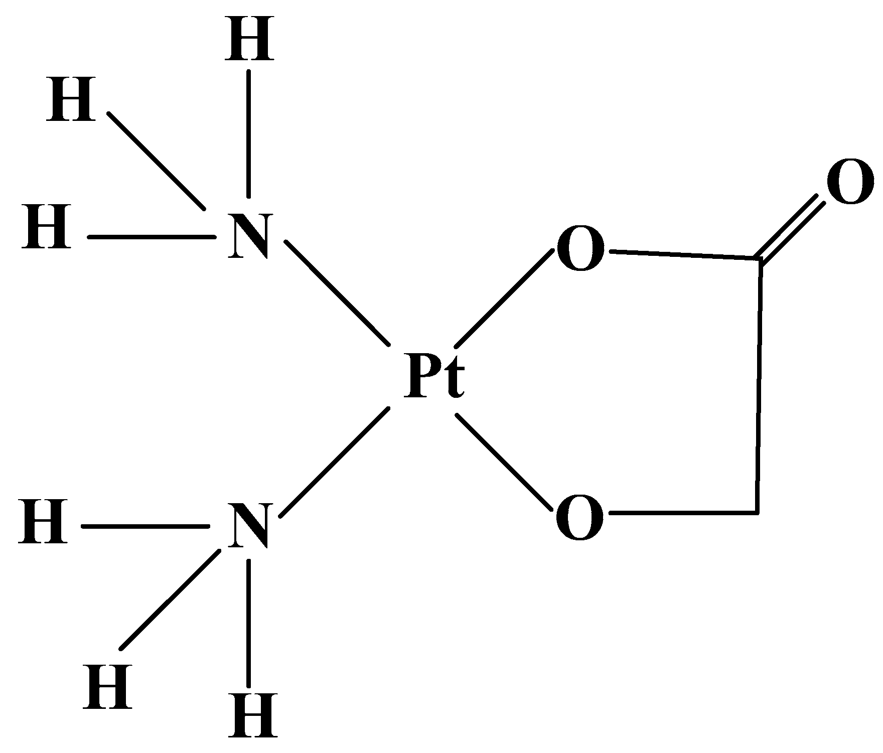
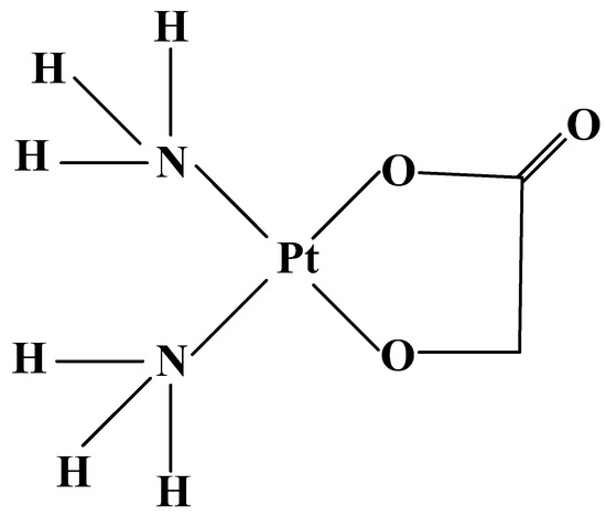
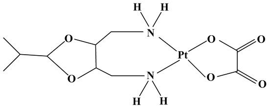
3.1. Cisplatin Derivatives: Carboplatin and Oxaliplatin
3.1.1. Carboplatin
3.1.2. Oxaliplatin
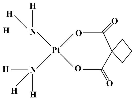
3.2. Carboplatin Derivatives: Nedaplatin
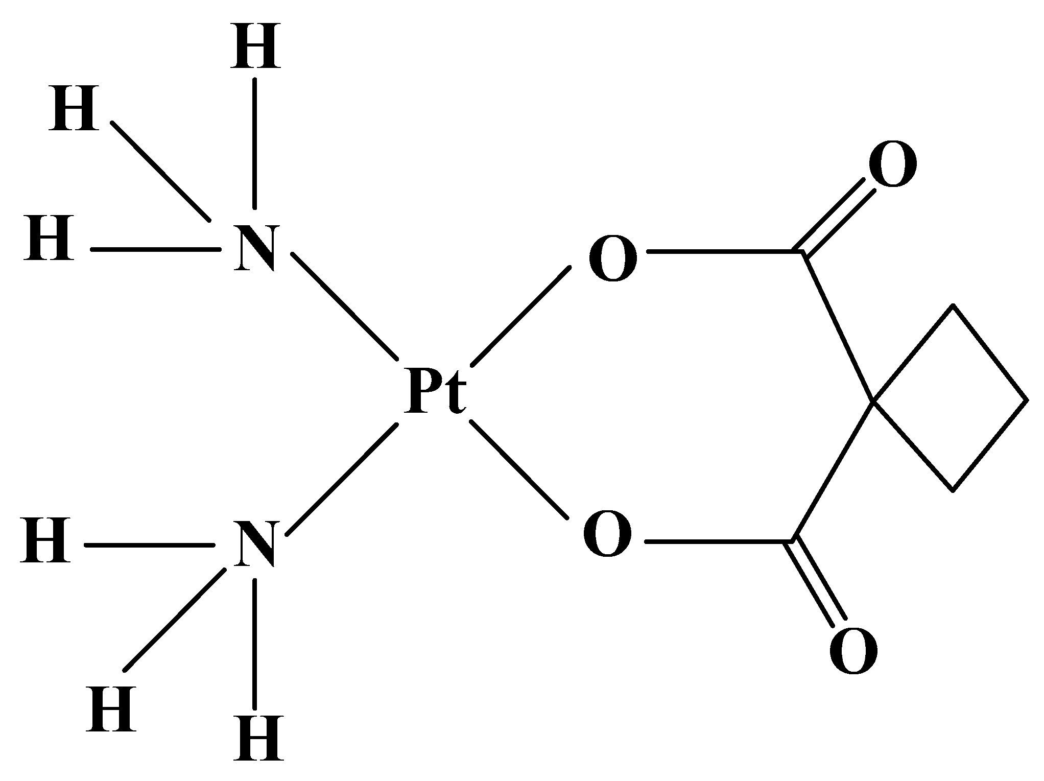
3.3. Oxaliplatin Derivatives—III Generation: Heptaplatin, Lobaplatin
3.3.1. Heptaplatin
3.3.2. Lobaplatin
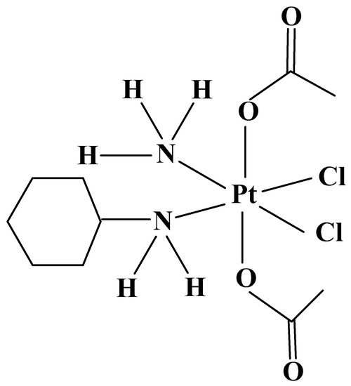
3.4. Derivatives of Cisplatin—Pt IV Complexes: III generation: Satraplatin
4. Combination Therapy for Overcoming of Toxicity and Resistance to Cisplatin Derivatives
4.1. Toxicity of Cisplatin Derivatives
- (1)
- (2)
- (3)
- (4)
- (5)
- (6)
- neutropenia: Oxaliplatin [103].
4.2. Resistance to Platinum Compounds
- (1)
- Insufficient influx and reduced cellular accumulation of Pt-compounds in cells, as a result of reduced transport across the cell membrane, and altered level of expression, localization or activity of multiple transporters, involved in the active transport of antitumor agents. The approach to overcoming of the resistance is the higher lipophilicity, which leads to greater accumulation of Pt-compounds in cells. Due to the interactions of Cisplatin with the copper transporters [187,188]: CTR1 [189,190], CTR2 [191], the overcoming of platinum resistance can be obtained using a copper-lowering agent [192];
- (2)
- Increased efflux of the drug outside the cells.
- (3)
- Enhanced system for the detoxification of Pt-compounds, by binding in the cytoplasm to complexes with reducing agents: glutathione, Methionine and metallothioneins, and prevention of the formation of DNA-Pt-adducts.
- (1)
- Increased capacity for recognition and removal from specific proteins of DNA-adducts and resynthesis of the damaged areas of DNA molecules;
- (2)
- Modification of gene expression;
- (3)
- Modulation of signaling pathways;
- (4)
- Reduced apoptosis by inhibition of apoptotic genes or activation of anti-apoptotic genes [193];
- (5)
4.3. Combination Therapy
- (1)
- Simultaneous application of drugs with different mechanisms and targets to achieve a more pronounced cytotoxic effect on cancer cells and prevention of resistance, based on clinical observations that tumors resistant to one cytostatic may be sensitive to another type;
- (2)
- Combinations for influencing different phases of the cell cycle, which enhances cytostatic activity by affecting many more cancer cells at different stages of development;
- (3)
- Synergism of action of drugs in regimens on the same signaling pathway for the obtaining of a greater efficacy and more pronounced selectivity to the target, better outcome in more patients, eliminating to a greater extent the risk of rapid development of resistance, and achieving an impact on primary resistant tumor clones;
- (4)
- Schemes of classical cytostatics with monoclonal antibodies for the improvement of the therapeutic response, higher frequency of remissions, and delay of progression.
| DNA Topoisomerase Inhibitors | Cisplatin and Derivatives |
|---|---|
| Cisplatin | |
| Benotecan | small-cell lung cancer [247] |
| Irinotecan | esophageal [216], and penile carcinoma [248] |
| Topotecan | squamous and non-squamous cervix carcinoma [209,222] |
| Etoposide | non-small-cell lung [249], small-cell lung [247], prostate [250], and germ-cell cancer [251] |
| Doxorubicin | endometrial cancer [252] |
| Epirubicin | prostate [250], and germ-cell cancer [253] |
| Carboplatin | |
| Irinotecan | small-cell lung cancer [65], esophageal carcinoma [216] |
| Topotecan | ovarian cancer [231], rhabdomyosarcoma [254] |
| Etoposide | small-cell lung [66], non-small-cell lung [249], and prostate cancer [250], esophageal carcinoma [216] |
| Amrubicin | small-cell lung cancer [65] |
| Doxorubicin | ovarian [231], and endometrial cancer [252] |
| Epirubicin | prostate cancer [250] |
| Nedaplatin | |
| Irinotecan | non-small-cell lung [111], small-cell lung [255], and testicular cancer [209], lung squamous cell [128], neuroendocrine lung [114], and endometrial carcinoma [133] |
| Topotecan | small-cell lung cancer [255] |
| Etoposide | lung carcinoma [114] |
| Lobaplatin | |
| Irinotecan | small-cell lung cancer [159] |
| Etoposide | small-cell lung cancer [158] |
| Tubuline Inhibitors | Cisplatin and Derivatives |
|---|---|
| Cisplatin | |
| Docetaxel | non-small-cell lung [30], and breast cancer [259] |
| Paclitaxel | non-small-cell lung [249], bladder [221], cervical [222], and endometrial cancer [252], esophageal squamous cell carcinoma [31] |
| Vinorebine | non-squamous non-small-cell lung [24], small-cell lung [27], breast [260], and cervicar cancer [222], esophageal squamous cell carcinoma [216] |
| Carboplatin | |
| Docetaxel | non−small-cell lung [249], breast [261], ovarian [227], and prostate cancer [250] |
| Paclitaxel | non-small-cell lung [59,216], gastric [74], breast [262], bladder [221], ovarian [231], endometrial [252], and prostate cancer [263], urotelial [70], and esophageal squamous cell carcinoma [72,216], |
| Nab-Paclitaxel | breast cancer [264] |
| Cabazitaxel | prostate cancer [265] |
| Vinorebine | non-small-cell lung [64], and breast cancer [260] |
| Oxaliplatin | |
| Docetaxel | pancreatic adenocarcinoma [266] |
| Paclitaxel | non-small-cell lung [267], and ovarian cancer [268] |
| Vinorelbine | breast cancer [269] |
| Nedaplatin | |
| Docetaxel | non-small-cell lung [109], and breast cancer [260], squamous cellcarcinomas: oral [209], esophageal [116], and lung [126] |
| Paclitaxel | ovarian [131], cervical [134,135], and testicular cancer [209], esophageal squamous cell carcinoma [120] |
| Nab-Paclitaxel | non-small-cell lung cancer [112] |
| Vinorebine | non-small-cell lung [270], and breast cancer [260] |
| Lobaplatin | |
| Docetaxel | breast cancer [162] |
| Paclitaxel | gastric cancer [166], esophageal carcinoma [166] |
| Vinorelbine | breast cancer [260] |
| Satraplatin | |
| Docetaxel | prostate cancer [173] |
| Paclitaxel | non-small-cell lung cancer [271] |
- (1)
- Erlotinib—monotarget tyrosine kinase inhibitor of BCR-ABL-protein receptors encoded by the Bcr-abl abnormal gene: Imatinib and of human epidermal growth factor type 1 EGFR (HER1);
- (2)
- Bortezomib—proteasome inhibitor (apoptosis-inducing drugs);
- (3)
- Everolimus—monotarget inhibitor of mTOR—target of rapamycin in mammals;
- (4)
- Erlotinib—an epidermal growth factor receptor inhibitor and specifically binds reversibly to the adenosine triphosphate binding site of the epidermal growth factor receptor tyrosine kinase, which is highly expressed and occasionally mutated in various forms of cancer [257].
4.3.1. Non-Small-Cell Lung Cancer (NSCLC)
- (1)
- alkylating agents: Ifosfamide, Mitomycin C;
- (2)
- antimetabolites: Fluorouracil, Gemcitabine, Pemetrexed;
- (3)
- inhibitors of topoisomerase I (Irinotecan), and topoisomerase II (Etoposide);
- (4)
- microtubule stabilizers: Docetaxel, Paclitaxel, Nab-Paclitaxel;
- (5)
- inhibitors of microtubule polymerization: Vinblastine, Vinorelbine [209].
- (1)
- (2)
- (3)
- (1)
- (2)
- (3)
- Cisplatin/Gemcitabine/Necitumumab [23].
- (1)
- Cisplatin/Ifosfamide with Etoposide or Vinblastine [278];
- (2)
- Cisplatin/Mitomycin C with Ifosfamide or Vinblastine [276];
- (3)
- (4)
- (5)
- Cisplatin/Docetaxel/Durvalumab [286];
- (6)
- Cisplatin/Vinorelbine/Cetuximab [281];
- (7)
- (8)
- (9)
- (10)
- (11)
- Oxaliplatin/Cytarabin/Docetaxel [83].
- (12)
- Nedaplatin/Paclitaxel/Sintilimab [113].
Non-Squamos Non-Small-Cell Lung Cancer (NS-NSCLC)
Squamous Non-Small-Cell Lung Cancer (S-NSCLC)
4.3.2. Small-Cell Lung Cancer (SCLC)
- (1)
- (2)
- (1)
- (2)
- (3)
- Carboplatin/Paclitaxel/Ipilimumab [304].
4.3.3. Esophageal Carcinoma
- (1)
- (2)
- (3)
- Oxaliplatin/Capecitabine [72];
- (4)
- (5)
- (1)
- (2)
- Cisplatin/Paclitaxel/Cetuximab [216];
- (3)
- Carboplatin/Capecitabine with Paclitaxel or Docetaxel [216];
- (4)
- Oxaliplatin/Capecitabine/Epirubicin (EOX) or EOX/Panitumumab [216];
- (5)
- Oxaliplatin/Fluorouracil with Epirubicin (EOF); or Leucovorin (FOLFOX) [84];
- (6)
- (7)
- (8)
- Nedaplatin/Paclitaxel/Nimotuzumab [121].
4.3.4. Gastroesophageal Adenocarcinoma
4.3.5. Gastric Cancer
4.3.6. Colon Cancer
4.3.7. Colorectal Cancer
4.3.8. Pancreatic Adenocarcinoma
4.3.9. Ovarian and Endometrial Cancer
4.3.10. Breast and Cervical Cancer
- (1)
- (2)
- (3)
- (4)
- Carboplatin/Docetaxel/Trastuzumab/Pertuzumab [71].
4.3.11. Prostate and Germ Cell Cancer
- (1)
- (2)
- (3)
- (4)
- (5)
- vascular endothelial growth factor receptors inhibitor Bevacizumab [172].
- (1)
- (2)
- Cisplatin/Bleomycin/Vincristine with Carboplatin [338];
- (3)
| Prostate Cancer [250] | |
|---|---|
| (1) Cisplatin/Epirubicin [250] (2) Cisplatin/Etoposide [250] (3) Cisplatin/Prednisone [334] (4) Carboplatin/Epirubicin [250] (5) Carboplatin/Etoposide [250] (6) Carboplatin/Cabazitaxel [265] (7) Carboplatin/Docetaxel [250] (8) Carboplatin/Paclitaxel [263] | (9) Oxaliplatin/Fluorouracil [236] (10) Oxaliplatin/Gemcitabine [238] (11) Oxaliplatin/Gemcitabine/Prednisolone [238] (12) Oxaliplatin/Pemetrexed [242] (13) Satraplatin/Gemcitabine [174] (14) Satraplatin/Docetaxel [173] (15) Satraplatin/Prednisone [175] (16) Satraplatin/Bevacizumab [172] |
| Germ Cell Cancers | |
| (1) Csplatin/Epirubicin [253] (2) Cisplatin/Etoposide [251] (3) Cisplatin/Peplomycin/Methotrexate/Etoposide/Vincristine [253] (4) Cisplatin/Cyclophosphamide/Doxorubicin [339] (5) Cisplatin/Cyclophosphamide/Bleomycin/ Dactinomycin/Vinblastine [251] (6) Cisplatin/Ifosfamide/Gemcitabine (GIP) [335] (7) Cisplatin/Ifosfamide/Methotrexate/Paclitaxel (M-TIP) [337] (8) Cisplatin/Ifosfamide/Etoposide (VIP) [253] (9) Cisplatin/Ifosfamide/Paclitaxel [336] (10) Cisplatin/Ifosfamide/Vinblastine (VeIP) [253] (11) Cisplatin/Bleomycin/Vincristine (BOP) [338] | (12) Cisplatin/Bleomycin/Vincristine/Carboplatin [338] (13) Cisplatin/Bleomycin/Etoposide (BEP) [338,339,340] (14) Cisplatin/Bleomycin/Etoposide/Vincristine [253] (15) Cisplatin/Bleomycin/Etoposide/Paclitaxel [341] (16) Carboplatin/Etoposide [253] (17) Carboplatin/Ifosfamide/Etoposide/Paclitaxel) [253] (18) Carboplatin/Gemcitabine/Veliparib [342] (19) Oxaliplatin and gemcitabine [239] (20) Oxaliplatin/Gemcitabine/Paclitaxel [343] (21) Oxaliplatin/Bevacizumab [344] (22) Satraplatin/Gemcitabine [174] |
4.3.12. Bladder Cancer
4.3.13. Lymphoma, Carcinoma, Sarcoma, Blastoma, Mesothelioma, Melanoma
- (1)
- Lymphomas: non-Hodgkin lymphoma (type: refractory diffuse large B-cell lymphoma); peripheral T-cell lymphoma (type: anaplastic large cell lymphoma);
- (2)
- Carcinomas: conjunctival and oral squamous cell carcinomas; nasopharyngeal, salivary gland, neuroendocrine lung, head and neck, thymic, sarcomatoid, basaloid, mucoepidermoid, papillary, undifferentiated; hepatocellular, cervical. endometrial, urothelial, anal squamous cell, and penile carcinoma;
- (3)
- Sarcomas: osteosarcoma, rhabdomyosarcoma;
- (4)
- Multiple myeloma, mesothelioma;
- (5)
- Blastomas: neuro-, retino-, and hepatoblastoma.
5. Lymphomas
- (1)
- Cisplatinor Oxaliplatin with Gemcitabine (GEMOX R);
- (2)
- (3)
- (4)
- Carboplatin/Ifosfamide/Etoposide (ICE) [349] with Rituximab (R-ICE), or Dexamethasone (DICE).
| Non-Hodgkin lymphoma [352] (1) Cisplatin/Gemcitabine/Dexamethasone (GDP) (2) Cisplatin/Gemcitabine/Dexamethasone/Rituximab (R-GDP) (3) Cisplatin/Cytarabine/Fludarabine (4) Cisplatin/Cytarabine/Rituximab [348] (5) Cisplatin/Cytarabine/Dexamethasone (DHAP) [348] (6) Cisplatin/Cytarabine/Dexamethasone (DHAP) [348] with Rituximab (R-DHAP) [348] (7) Cisplatin/Cytarabine/Dexamethasone/Decitabine [346] (8) Cisplatin/Cytarabine/Dexamethasone/Mitoxantrone [352] (9) Cisplatin/Cytarabine/Etoposide/Methylprednisolone (ESHAP) (10) Cisplatin/Cytarabine/Etoposide/Methylprednisolone/Rituximab (R-ESHAP) (11) Cisplatin/Cytarabine/Fludarabine/Mitoxantrone (MIFAP) (12) Carboplatin/Ifosfamide/Etoposide (ICE) [349] (13) Carboplatin/Ifosfamide/Etoposide/Rituximab (R-ICE) (14) Carboplatin/Ifosfamide/Etoposide/Dexamethasone (DICE) (15) Carboplatin/Docetaxel/Trastuzumab/Pertuzumab (16) Oxaliplatin/Gemcitabine (GEMOX R) (17) Oxaliplatin/Gemcitabine/Rituximab |
| Peripheral T-cell lymphoma—type: anaplastic large cell lymphoma (1) Cisplatin/Gemcitabine/Dexamethasone [353] (2) Cisplatin/Gemcitabine/Dexamethasone/Pegaspargase [354] (3) Cisplatin/Cytarabine/Dexamethasone) (DHAP) [353] (4) Cisplatin/Cytarabine/Dexamethasone/Brentuximab vedotin [351] |
| Lymphoepithelioma (1) Nedaplatin/Paclitaxel/Nivolumab [115] |
6. Carcinomas
- (1)
- (2)
- Cisplatin/Fluorouracil with Doxetacel or Paxlitacel [374].
| Head and neck squamous cell carcinoma (1) Cisplatin/Fluorouracil [56,217,355] (2) Cisplatin/Fluorouracil/Docetaxel [355] (3) Cisplatin/Fluorouracil/Docetaxel/Cetuximab [21] (4) Cisplatin/Fluorouracil/Paclitaxel [217] (5) Cisplatin/Fluorouracil/Cetuximab [21] (6) Carboplatin/Fluorouracil [56] (7) Carboplatin/Fluorouracil/Docetaxel [355] (8) Carboplatin/Fluorouracil/Cetuximab [21] (9) Carboplatin/Paclitaxel/Cetuximab [21] (10) Nedaplatin/Fluorouracil [209] (11) Nedaplatin/S-1 [108] | Cholangiocarcinoma (biliary-tract cancer) (1) Cisplatin/Fluorouracil/Epirubicin [361] (2) Cisplatin/Capecitabine [40] (3) Cisplatin/Gemcitabine [40,359] (4) Cisplatin/Gemcitabine/S-1 (GCS) [359] (5) Cisplatin/Gemcitabine/Nab-Paclitaxel [360] (6) Oxaliplatin/Capecitabine [362] (7) Oxaliplatin/Fluorouracil/Leucovorin (FOLFOX) [366] (8) Oxaliplatin/Gemcitabine [362,363,364] (9) Oxaliplatin/Gemcitabine/Bevacizumab [365] (10) Oxaliplatin/Gemcitabine/Erlotinib [364] |
| tNasopharyngeal carcinoma (1) Cisplatin/Bleomycin/Methotrexate (BMP) (2) Cisplatin/Fluorouracil [219] (3) Cisplatin/Fluorouracil/Docetaxel [219] (4) Nedaplatin Capecitabine [243] (5) Nedaplatin/Fluorouracil [123] (6) Nedaplatin/Gemcitabine [122] (7) Nedaplatin/Paclitaxel/S-1 [124] (8) Lobaplatin/Fluorouracil [156,157] | Hepatocellularcarcinoma (1) Oxaliplatin/Capecitabine/Bevacizumab [367] (2) Oxaliplatin/Fluorouracil/Leucovorin (FOLFOX) [368] (3) Oxaliplatin/Fluorouracil/Leucovorin/Sorafenib [369] (4) Oxaliplatin/S-1 [102] (5) Oxaliplatin/Gemcitabine (GEMOX) [370] (6) Oxaliplatin/Gemcitabine/Sorafenib [371] (7) Satraplatin/Gemcitabine [174] |
| Thymic carcinoma (1) Cisplatin/Cyclophosphamide/Doxorubicin [357] (2) Cisplatin/Etoposide/Doxorubicin/Vincristine [358] (3) Carboplatin/Paclitaxel [356] Conjunctival squamous cell carcinoma (1) Cisplatin/Fluorouracil [218] Oral squamous cellcarcinoma (1) Nedaplatin/Docetaxel [209] Salivary gland carcinoma (1) Carboplatin/Gemcitabine [54] Neuroendocrine lung carcinoma (1) Nedaplatin/Irinotecan [114] Cutaneous cell carcinoma (1) Cisplatin/Bleomycin (2) Cisplatin/Doxorubicin (3) Cisplatin/Paclitaxel [375] | Urothelial carcinoma (1) Cisplatin/Gemcitabine [229] (2) Cisplatin/Gemcitabine/Everolimus [41] (3) Cisplatin/Gemcitabine/Romidepsin [373] (4) Cisplatin/Methotrexate/Doxorubicin/Vinblastine [372] (5) Carboplatin/Paclitaxel [70] (6) Carboplatin/Paclitaxel/Trastuzumab [76] (7) Nedaplatin/Gemcitabine [129] (8) Nedaplatin/Paclitaxel/Ifosfamide [130] Penilecarcinoma (1) Cisplatin/Ifosfamide/Paclitaxel [374] (2) Cisplatin/Fluorouracil/Doxetael [374] (3) Cisplatin/Fluorouracil/Paxlitacel [374] (4) Cisplatin/Irinotecan [248] (5) Cisplatin/Cemiplimab [44] Anal squamous cell carcinoma (1) Cisplatin/Capecitabine/radiation therapy [42] (2) Cisplatin/Fluorouracil/Docetaxel [43] (3) Cisplatin/Fluorouracil/Docetaxel/Atezolizumab [43] |
7. Sarcoma
8. Blastoma
- (1)
- Neuroblastoma: Cisplatin/Etoposide/Cyclophosphamide/Doxorubicin/Vincristine;
- (2)
- Retinoblastoma: Carboplatin/Etoposide/Vincristine (VEC);
- (3)
- Hepatoblastoma: Cisplatin/Fluorouracil/Vincristine with or without Doxorubicin [381].
9. Mesothelioma
10. Melanoma
- (1)
- Cisplatin/Capecitabine—anal squamous cell carcinoma [42];
- (2)
- Cisplatin/Fluorouracil/Docetaxel—head and neck cancer [217];
- (3)
- Cisplatin/Fluorouracil/Paclitaxel—head and neck cancer [217];
- (4)
- Carboplatin/Gemcitabine; Carboplatin/Vinorelbine—NSCLC [206];
- (5)
- Carboplatin/Irinotecan;
- (6)
- Carboplatin/Fluorouracil/Paclitaxel—esophageal cancer [209];
- (7)
- Nedaplatin—nasopharyngeal carcinoma [125].
- I.
- II.
- Liposomally encapsulated Oxaliplatin [398].Combinations of Lipoplatin have been investigated with the following drugs:
- (1)
- Gemcitabine in metastatic pancreatic cancer, bladder, neck, head, non-small-cell lung cancer [397], malignant pleural mesothelioma;
- (2)
- Fluorouracil in phase III in squamous cell carcinoma of the head and neck and in advanced gastric cancer [399] with 80% efficiency;
- (3)
- Docetaxel or Navelbine in metastatic breast cancer;
- (4)
- Paclitaxel in non-small-cell lung cancer—the response rate is similar, but nephrotoxicity, neurotoxicity and myelotoxicity are significantly lower. The main dose-limiting toxicity is myelosuppression (neutropenia and thrombocytopenia);
- (5)
- Lipoplatin/Gemcitabine; Lipoplatin/Docetaxel for NSCLC;
- (6)
- Lipoplatin/Docetaxel against metastatic breast cancer;
- (7)
- Lipoplatin/radiation towards head and neck cancers.
11. Conclusions
- (1)
- Anticancer agents: Fluorouracil, Gemcitabine, Fludarabine, Pemetrexed, Ifosfamide, Irinotecan, Topotecan, Etoposide, Amrubicin, Doxorubicin, Epirubicin, Vinorelbine, Docetaxel, Paclitaxel, and Nab-Paclitaxel;
- (2)
- Modulators of resistant mechanisms;
- (3)
- Signaling protein inhibitors: Erlotinib; Bortezomib; and Everolimus;
- (4)
- Immunotherapeutic drugs: Atezolizumab, Avelumab, Bevacizumab, Cemiplimab, Cetuximab, Durvalumab, Erlotinib, Imatinib, Necitumumab, Nimotuzumab, Nivolumab, Onartuzumab, Panitumumab, Pembrolizumab, Rilotumumab, Trastuzumab, Tremelimumab, and Sintilimab.
- (1)
- Achieving the maximum possible removal of tumor cells within the permissible toxicity;
- (2)
- Affecting the cells located in different phases of the cell cycle;
- (3)
- Realization of prevention or delay of the development of resistant cell branches;
- (4)
- Slowing the process of adaptation of tumor cells and delay of cell mutations, due to using more drugs that have different molecular targets;
- (5)
- Reduction of dose of combined components with one and the same dose-limiting effects;
- (6)
- Schemes with components with different toxicity to normal tissues, allowing the application of optimal doses of each drug in the absence of superimposition of toxic effects on an organ or cell system.
Author Contributions
Funding
Conflicts of Interest
References
- Blagosklonny, M. Carcinogenesis, cancer therapy and chemoprevention. Cell Death Differ. 2005, 12, 592–602. [Google Scholar] [CrossRef] [PubMed]
- O’Brien, R.M.; Cannon, A.; Reynolds, J.V.; Lysaght, J.; Lynam-Lennon, N. Complement in tumourigenesis and the response to cancer therapy. Cancers 2021, 13, 1209. [Google Scholar] [CrossRef] [PubMed]
- Hanahan, D.; Weinberg, R.A. The hallmarks of cancer. Cell 2000, 100, 57–70. [Google Scholar] [CrossRef]
- Hickman, J.A. Apoptosis and tumourigenesis. Curr. Opin. Genet. Dev. 2002, 12, 67–72. [Google Scholar] [CrossRef]
- Liu, J.; Zhang, C.; Hu, W.; Feng, Z. Tumor suppressor p53 and metabolism. J. Mol. Cell Biol. 2019, 11, 284–292. [Google Scholar] [CrossRef]
- D’Orazi, G.; Cirone, M. Mutant p53 and cellular stress pathways: A criminal alliance that promotes cancer progression. Cancers 2019, 11, 614. [Google Scholar] [CrossRef]
- Wyld, L.; Audisio, R.A.; Poston, G.J. The evolution of cancer surgery and future perspectives. Nat. Rev. Clin. Oncol. 2015, 12, 115–124. [Google Scholar] [CrossRef]
- Caley, A.; Jones, R. The principles of cancer treatment by chemotherapy. Surgery 2012, 30, 186–190. [Google Scholar] [CrossRef]
- Momekov, G.; Momekova, D. Recent developments in antitumor platinum coordination compounds. Expert Opin. Ther. Pat. 2006, 16, 1383–1403. [Google Scholar] [CrossRef]
- Momekov, G.; Bakalova, A.; Karaivanova, M. Novel approaches towards development of non-classical platinum-based antineoplastic agents: Design of platinum complexes characterized by an alternative DNA-binding pattern and/or tumor-targeted cytotoxicity. Curr. Med. Chem. 2005, 12, 2177–2191. [Google Scholar] [CrossRef]
- Momekov, G.; Karaivanova, M.; Ugrinova, I.; Pasheva, E.; Gencheva, G.; Tsekova, D.; Arpadjan, S.; Bontchev, P. In vitro pharmacological study of monomeric platinum (III) hematoporphyrin IX complexes. Investig. New Drugs 2010, 29, 742–751. [Google Scholar] [CrossRef] [PubMed]
- Kostova, I. Platinum complexes as anticancer agents. Recent Pat. Anti-Cancer Drug Discov. 2006, 1, 1–22. [Google Scholar] [CrossRef] [PubMed]
- Rosenberg, B.; Van Camp, L.; Trosko, J.E.; Mansour, V.H. Platimum compounds: A new class of potent antitumour agents. Nature 1969, 222, 385–386. [Google Scholar] [CrossRef] [PubMed]
- Johnstone, T.C.; Suntharalingam, K.; Lippard, S.J. The next generation of platinum drugs: Targeted Pt (II) agents, nanoparticle delivery, and Pt (IV) prodrugs. Chem. Rev. 2016, 116, 3436–3486. [Google Scholar] [CrossRef] [PubMed]
- Krishant, M.D.; Ang, D.L.; McGhie, B.; Rajamanickam, A.; Dhiman, A.; Khoury, A.; Holland, J.; Bjelosevic, A.; Pages, B.; Gordon, C.; et al. Platinum coordination compounds with potent anticancer activity. Coord. Chem. Rev. 2018, 375, 148–163. [Google Scholar]
- Zhou, J.; Kang, Y.; Chen, L.; Wang, H.; Liu, J.; Zeng, S.; Yu, L. The drug-resistance mechanisms of five platinum-based antitumor agents. Front. Pharmacol. 2020, 11, 343. [Google Scholar] [CrossRef]
- Aldossary, S.A. Review on pharmacology of Cisplatin: Clinical use, toxicity and mechanism of resistance of Cisplatin. Biomed. Pharmacol. J. 2019, 12, 7–15. [Google Scholar] [CrossRef]
- Martens-de Kemp, S.R.; Brink, A.; Van der Meulen, I.H.; de Menezes, R.X.; Te Beest, D.E.; Leemans, C.R.; Van Beusechem, V.W.; Braakhuis, B.J.M.; Brakenhoff, R.H. The FA/BRCA pathway identified as the major predictor of Cisplatin response in head and neck cancer by functional genomics. Mol. Cancer Ther. 2017, 16, 540–550. [Google Scholar] [CrossRef]
- Tchounwou, P.B.; Dasari, S.; Noubissi, F.K.; Ray, P.; Kumar, S. Advances in our understanding of the molecular mechanisms of action of Cisplatin in cancer therapy. J. Exp. Pharmacol. 2021, 13, 303–328. [Google Scholar] [CrossRef]
- Ghosh, S. Cisplatin: The first metal based anticancer drug. Bioorg. Chem. 2019, 88, 102925. [Google Scholar] [CrossRef]
- Haddad, R.I.; Massarelli, E.; Lee, J.J.; Lin, H.Y.; Hutcheson, K.; Lewis, J.; Garden, A.S.; Blumenschein, G.R.; William, W.N.; Pharaon, R.R.; et al. Weekly Paclitaxel, Carboplatin, Cetuximab, and Cetuximab, Docetaxel, Cisplatin, and Fluorouracil, followed by local therapy in previously untreated, locally advanced head and neck squamous cell carcinoma. Ann. Oncol. 2019, 30, 471–477. [Google Scholar] [CrossRef] [PubMed]
- Ikeda, S.; Yoshioka, H.; Kaneda, T.; Yokoyama, T.; Niwa, T.; Sone, N.; Ishida, T.; Morita, M.; Tomioka, H.; Komaki, C.; et al. A phase II study of Cisplatin plus Gemcitabine followed by maintenance Gemcitabine for advanced squamous non-small-cell lung cancer: Kyoto Thoracic Oncology Research Group 1302. Oncology 2019, 97, 327–333. [Google Scholar] [CrossRef] [PubMed]
- Watanabe, S.; Yoshioka, H.; Sakai, H.; Hotta, K.; Takenoyama, M.; Yamada, K.; Sugawara, S.; Takiguchi, Y.; Hosomi, Y.; Tomii, K.; et al. Necitumumab plus Gemcitabine and Cisplatin versus Gemcitabine and Cisplatin alone as first-line treatment for stage IV squamous non-small cell lung cancer: A phase 1b and randomized, open-label, multicenter, phase 2 trial in Japan. Lung Cancer 2019, 129, 55–62. [Google Scholar] [CrossRef] [PubMed]
- Bennouna, J.; Havel, L.; Krzakowski, M.; Kollmeier, J.; Gervais, R.; Dansin, E.; Serke, M.; Favaretto, A.; Szczesna, A.; Cobo, M.; et al. Oral Vinorelbine plus Cisplatin as first-line chemotherapy in nonsquamous non–small-cell lung cancer: Final results of an international randomized phase II study (NAVotrial 01). Clin. Lung Cancer 2014, 15, 258–265. [Google Scholar] [CrossRef]
- Goto, K.; Ohe, Y.; Shibata, T.; Seto, T.; Takahashi, T.; Nakagawa, K.; Tanaka, H.; Takeda, K.; Nishio, M.; Mori, K.; et al. Combined chemotherapy with Cisplatin, Etoposide, and Irinotecan versus Topotecan alone as second-line treatment for patients with sensitive relapsed small-cell lung cancer (JCOG0605): A multicentre, open-label, randomised phase 3 trial. Lancet Oncol. 2016, 17, 1147–1157. [Google Scholar] [CrossRef]
- Mathieu, L.; Shah, S.; Pai-Scherf, L.; Larkins, E.; Vallejo, J.; Li, X.; Rodriguez, L.; Mishra-Kalyani, P.; Goldberg, K.B.; Kluetz, P.G.; et al. FDA approval summary: Atezolizumab and Durvalumab in combination with platinum-based chemotherapy in extensive stage small cell lung cancer. Oncologist 2021, 26, 433–438. [Google Scholar] [CrossRef]
- Drąg-Zalesińska, M.; Saczko, J.; Choromańska, A.; Szewczyk, A.; Rembialkowska, N.; Kulbacka, J.; Rzechonek, A. Cisplatin and Vinorelbine-mediated electrochemotherapeutic approach against multidrug resistant small cell lung cancer (H69AR) in vitro. Anticancer Res. 2019, 39, 3711–3718. [Google Scholar] [CrossRef]
- Li, Q.; Li, Q.; Zhang, P.; Yuan, P.; Wang, J.; Ma, F.; Luo, Y.; Fan, Y.; Cai, R.; Xu, B. A phase II study of Capecitabine plus Cisplatin in metastatic triple-negative breast cancer patients pretreated with anthracyclines and taxanes. Cancer Biol. Ther. 2015, 16, 1746–1753. [Google Scholar] [CrossRef]
- Baselga, J.; Gómez, P.; Greil, R.; Braga, S.; Climent, M.A.; Wardley, A.M.; Kaufman, B.; Stemmer, S.M.; Pêgo, A.; Chan, A.; et al. Randomized phase II study of the anti-epidermal growth factor receptor monocloncal antibody Cetuximab with Cisplatin versus Cisplatin in patients with metastatic triple-negative breast cancer. J. Clin. Oncol. 2013, 31, 2586–2592. [Google Scholar] [CrossRef]
- Zhao, T.; Chen, H.; Zhang, T. Docetaxel and Cisplatin concurrent with radiotherapy versus 5-Fluorouracil and Cisplatin concurrent with radiotherapy in treatment for locally advanced oesophageal squamous cell carcinoma: A randomized clinical study. Med. Oncol. 2012, 29, 3017–3023. [Google Scholar] [CrossRef]
- Zhu, H.T.; Ai, D.S.; Tang, H.R.; Badakhshi, H.; Fan, J.H.; Deng, J.Y.; Zhang, J.H.; Chen, Y.; Zhang, Z.; Xia, Y.; et al. Long-term results of Paclitaxel plus Cisplatin with concurrent radiotherapy for loco-regional esophageal squamous cell carcinoma. World J. Gastroenterol. 2017, 23, 540–546. [Google Scholar] [CrossRef] [PubMed][Green Version]
- Chang, H.; Shin, S.K.; Cho, B.C.; Lee, C.G.; Kim, C.B.; Kim, D.J.; Lee, J.G.; Hur, J.; Lee, C.Y.; Bae, M.K.; et al. A prospective phase II trial of S-1 and Cisplatin-based chemoradiotherapy for locoregionally advanced esophageal cancer. Cancer Chemother. Pharmacol. 2014, 73, 665–671. [Google Scholar] [CrossRef]
- Thuss-Patience, P.C.; Hofheinz, R.D.; Arnold, D.; Florschütz, A.; Daum, S.; Kretzschmar, A.; Mantovani-Löffler, L.; Bichev, D.; Breithaupt, K.; Kneba, M.; et al. Perioperative chemotherapy with Docetaxel, Cisplatin and Capecitabine (DCX) in gastro-oesophageal adenocarcinoma: A phase II study of the Arbeitsgemeinschaft Internistische Onkologie (AIO). Ann. Oncol. 2012, 23, 2827–2834. [Google Scholar] [CrossRef] [PubMed]
- Al-Batran, S.E.; Homann, N.; Pauligk, C.; Goetze, T.O.; Meiler, J.; Kasper, S.; Kopp, H.G.; Mayer, F.; Haag, G.M.; Luley, K.; et al. Perioperative chemotherapy with Fluorouracil plus Leucovorin, Oxaliplatin, and Docetaxel versus Fluorouracil or Capecitabine plus Cisplatin and Epirubicin for locally advanced, resectable gastric or gastro-oesophageal junction adenocarcinoma (FLOT4): A randomised, phase 2/3 trial. Lancet 2019, 393, 1948–1957. [Google Scholar] [CrossRef] [PubMed]
- Iveson, T.; Donehower, R.C.; Davidenko, I.; Tjulandin, S.; Deptala, A.; Harrison, M.; Nirni, S.; Lakshmaiah, K.; Thomas, A.; Jiang, Y.; et al. Rilotumumab in combination with Epirubicin, Cisplatin, and Capecitabine as first-line treatment for gastric or oesophagogastric junction adenocarcinoma: An open-label, dose deescalation phase 1b study and a double-blind, randomised phase 2 study. Lancet Oncol. 2014, 15, 1007–1018. [Google Scholar] [CrossRef]
- Kawakami, H.; Fujitani, K.; Matsuyama, J.; Akamaru, Y.; Tamura, S.; Endo, S.; Kimura, Y.; Makari, Y.; Tamura, T.; Sugimoto, N.; et al. Comparison of S-1–Cisplatin every 5 weeks with Capecitabine-Cisplatin every 3 weeks for HER2-negative gastric cancer (recurrent after S-1 adjuvant therapy or chemotherapy-naïve advanced): Pooled analysis of HERBIS-2 (OGSG 1103) and HERBIS-4A (OGSG 1105) trials. Int. J. Clin. Oncol. 2020, 25, 1635–1643. [Google Scholar] [CrossRef] [PubMed]
- Vatandoust, S.; Bright, T.; Roy, A.C.; Watson, D.; Gan, S.; Bull, J.; Abbas, M.N.; Karapetis, C.S. Phase I openlabel trial of intraperitoneal Paclitaxel in combination with intravenous Cisplatin and oral Capecitabine in patients with advanced gastric cancer and peritoneal metastases (IPGP study): Study protocol. BMJ Open 2019, 9, e026732. [Google Scholar] [CrossRef]
- Kurokawa, Y.; Sugimoto, N.; Miwa, H.; Tsuda, M.; Nishina, S.; Okuda, H.; Imamura, H.; Gamoh, M.; Sakai, D.; Shimokawa, T.; et al. Phase II study of Trastuzumab in combination with S-1 plus Cisplatin in HER2-positive gastric cancer (HERBIS-1). Br. J. Cancer 2014, 110, 1163–1168. [Google Scholar] [CrossRef]
- Reni, M.; Zanon, S.; Peretti, U.; Chiaravalli, M.; Barone, D.; Pircher, C.; Balzano, G.; Macchini, M.; Romi, S.; Gritti, E.; et al. Nab-Paclitaxel plus Gemcitabine with or without Capecitabine and Cisplatin in metastatic pancreatic adenocarcinoma (PACT-19): A randomised phase 2 trial. Lancet Gastroenterol. Hepatol. 2018, 10, 691–697. [Google Scholar] [CrossRef]
- Park, K.; Kim, K.P.; Park, S.; Chang, H.M. Comparison of Gemcitabine plus Cisplatin versus Capecitabine plus Cisplatin as first-line chemotherapy for advanced biliary tract cancer. Asia-Pac. J. Clin. Oncol. 2016, 13, 13–20. [Google Scholar] [CrossRef]
- Abida, W.; Milowsky, M.I.; Ostrovnaya, I.; Gerst, S.R.; Rosenberg, J.E.; Voss, M.H.; Apolo, A.B.; Regazzi, A.M.; McCoy, A.S.; Boyd, M.E.; et al. Phase I study of Everolimus in combination with Gemcitabine and split-dose Cisplatin in advanced urothelial carcinoma. Bladder Cancer 2016, 2, 111–117. [Google Scholar] [CrossRef]
- Li, J.; Xu, H.; Zou, J.; Wang, X.; Li, Z.; Shen, Y. Cisplatin/Capecitabine with intensity modulated radiation therapy in anal squamous cell carcinoma: A preliminary study. Scand. J. Gastroenterol. 2021, 56, 432–436. [Google Scholar] [CrossRef] [PubMed]
- Kim, S.; Buecher, B.; André, T.; Jary, M.; Bidard, F.; Ghiringhelli, F.; François, É.; Taieb, J.; Smith, D.; de la Fouchardière, C.; et al. Atezolizumab plus modified Docetaxel-Cisplatin-5-Fluorouracil (mDCF) regimen versus mDCF in patients with metastatic or unresectable locally advanced recurrent anal squamous cell carcinoma: A randomized, non-comparative phase II SCARCE GERCOR trial. BMC Cancer 2020, 20, 352. [Google Scholar] [CrossRef] [PubMed]
- Denis, C.; Sakalihasan, S.; Frères, P.; Withofs, N.; Sautois, B. Cemiplimab for Cisplatin resistant metastatic penile cancer. Case Rep. Oncol. 2021, 14, 972–976. [Google Scholar] [CrossRef] [PubMed]
- Duffy, E.A.; Fitzgerald, W.; Boyle, K.; Rohatgi, R. Nephrotoxicity: Evidence in patients receiving Cisplatin therapy. Clin. J. Oncol. Nurs. 2018, 22, 175–183. [Google Scholar] [CrossRef] [PubMed]
- Crona, D.J.; Faso, A.; Nishijima, T.F.; McGraw, K.A.; Galsky, M.D.; Milowsky, M.I. A systematic review of strategies to prevent Cisplatin-induced nephrotoxicity. Oncologist 2017, 22, 609–619. [Google Scholar] [CrossRef] [PubMed]
- Imig, J.D.; Hye-Khan, M.A.; Burkhan, A.; Chen, G.; Adebesin, A.M.; Falck, J.R. Kidney-targeted epoxyeicosatrienoic acid analog, EET-F01, reduces inflammation, oxidative stress, and Cisplatin-induced nephrotoxicity. Int. J. Mol. Sci. 2021, 22, 2793. [Google Scholar] [CrossRef]
- Manohar, S.; Leung, N. Cisplatin nephrotoxicity: A review of the literature. J. Nephrol. 2018, 31, 15–25. [Google Scholar] [CrossRef]
- dos Santos, N.A.G.; Ferreira, R.S.; dos Santos, A.C. Overview of Cisplatin-induced neurotoxicity and ototoxicity, and the protective agents. Food Chem. Toxicol. 2020, 136, 111079. [Google Scholar] [CrossRef]
- Wheate, N.J.; Walker, S.; Craig, G.E.; Oun, R. The status of platinum anticancer drugs in the clinic and in clinical trials. Dalton Trans. 2010, 39, 8113–8127. [Google Scholar] [CrossRef]
- Oun, R.; Moussa, Y.E.; Wheate, N.J. The side effects of platinum-based chemotherapy drugs: A review for chemists. Dalton Trans. 2018, 47, 6645–6653. [Google Scholar] [CrossRef] [PubMed]
- Ndagi, U.; Mhlongo, N.; Soliman, M.E. Metal complexes in cancer therapy—An update from drug design perspective. Drug Design Devel. Ther. 2017, 11, 599–616. [Google Scholar] [CrossRef] [PubMed]
- Ho, G.Y.; Woodward, N.; Coward, J.I.G. Cisplatin versus Carboplatin: Comparative review of therapeutic management in solid malignancies. Crit. Rev. Oncol. Hematol. 2016, 102, 37–46. [Google Scholar] [CrossRef]
- Laurie, S.A.; Siu, L.L.; Winquist, E.; Maksymiuk, A.; Harnett, E.L.; Walsh, W.; Tu, D.; Parulekar, W.R. A phase 2 study of platinum and Gemcitabine in patients with advanced salivary gland cancer: A trial of the NCIC clinical trials group. Cancer 2010, 116, 362–368. [Google Scholar] [CrossRef]
- Bailly, C.; Thuru, X.; Quesnel, B. Combined cytotoxic chemotherapy and immunotherapy of cancer: Modern times. NAR Cancer 2020, 2, zcaa002. [Google Scholar] [CrossRef]
- Hanemaaijer, S.H.; Kok, I.C.; Fehrmann, R.S.N.; Van der Vegt, B.; Gietema, J.A.; Plaat, B.E.C.; Van Vugt, M.A.T.M.; Vergeer, M.R.; Leemans, C.R.; Langendijk, J.A.; et al. Comparison of Carboplatin with 5-Fluorouracil vs. Cisplatin as concomitant chemoradiotherapy for locally advanced head and neck squamous cell carcinoma. Front. Oncol. 2020, 10, 761. [Google Scholar] [CrossRef]
- Takayama, K.; Ichiki, M.; Matsumoto, T.; Ebi, N.; Akamine, S.; Tokunaga, S.; Yamada, T.; Uchino, J.; Nakanishi, Y. Phase II study on biweekly combination therapy of Gemcitabine plus Carboplatin for the treatment of elderly patients with advanced non-small cell lung cancer. Oncologist 2020, 25, e208–e417. [Google Scholar] [CrossRef]
- Tfayli, A.; Al-Assaad, M.; Fakhri, G.; Akel, R.; Atwi, H.; Ghanem, H.; El-Karak, F.; Farhat, F.; Al-Rabi, K.; Sfeir, P.; et al. Neoadjuvant chemotherapy and Avelumab in early stage resectable nonsmall cell lung cancer. Cancer Med. 2020, 9, 8406–8411. [Google Scholar] [CrossRef]
- Volk, V.; Cathomas, R.; Mark, M.; Von Moos, R.; Klingbiel, D.; Brossart, P.; Mey, U. Weekly Carboplatin in combination with weekly Paclitaxel in the treatment of metastatic non-small cell lung cancer: A single center 10-year experience. Support. Care Cancer 2016, 24, 2119–2128. [Google Scholar] [CrossRef]
- West, H.; Mc Cleod, M.; Hussein, M.; Morabito, A.; Rittmeyer, A.; Conter, H.J.; Kopp, H.G.; Daniel, D.; Mc Cune, S.; Mekhail, T.; et al. Atezolizumab in combination with Carboplatin plus Nab-Paclitaxel chemotherapy compared with chemotherapy alone as first-line treatment for metastatic non-squamous non-small-cell lung cancer (IMpower130): A multicentre, randomised, open-label, phase 3 trial. Lancet Oncol. 2019, 20, 924–937. [Google Scholar] [CrossRef]
- Zinner, R.G.; Obasaju, C.K.; Spigel, D.R.; Weaver, R.W.; Beck, J.T.; Waterhouse, D.M.; Modiano, M.R.; Hrinczenko, B.; Nikolinakos, P.G.; Liu, J.Y.; et al. PRONOUNCE: Randomized, open-label, phase III study of first-line Pemetrexed plus Carboplatin followed by maintenance Pemetrexed versus Paclitaxel plus Carboplatin plus Bevacizumab followed by maintenance Bevacizumab in patients with advanced non-squamous non-small-cell lung cancer. J. Thoracic Oncol. 2015, 10, 134–142. [Google Scholar] [CrossRef]
- Rizvi, N.A.; Hellmann, M.D.; Brahmer, J.R.; Juergens, R.A.; Borghaei, H.; Gettinger, S.; Chow, L.Q.; Gerber, D.E.; Laurie, S.A.; Goldman, J.W.; et al. Nivolumab in combination with platinum-based doublet chemotherapy for first-line treatment of advanced non-small-cell lung cancer. J. Clin. Oncol. 2016, 34, 2969–2979. [Google Scholar] [CrossRef] [PubMed]
- Yoshioka, H.; Okamoto, I.; Morita, S.; Ando, M.; Takeda, K.; Seto, T.; Yamamoto, N.; Saka, H.; Atagi, S.; Hirashima, T.; et al. Efficacy and safety analysis according to histology for S-1 in combination with Carboplatin as first-line chemotherapy in patients with advanced non-small-cell lung cancer: Updated results of the West Japan Oncology Group LETS study. Ann. Oncol. 2013, 24, 1326–1331. [Google Scholar] [CrossRef]
- Kolek, V.; Grygárková, I.; Koubková, L.; Skřičková, J.; Švecová, J.; Sixtová, D.; Bartoš, J.; Tichopád, A. Carboplatin with intravenous and subsequent oral administration of Vinorelbine in resected nonsmall-cell-lung cancer in real-world set-up. PLoS ONE 2017, 12, e0181803. [Google Scholar] [CrossRef] [PubMed]
- Morikawa, N.; Inoue, A.; Sugawara, S.; Maemondo, M.; Harada, T.; Harada, M.; Fujita, Y.; Katoh, T.; Yokouchi, H.; Watanabe, H.; et al. Randomized phase II study of Carboplatin plus Irinotecan versus Carboplatin plus Amrubicin in patients with chemo-naïve extensive-stage small-cell lung cancer: North Japan Lung Cancer Study Group (NJLCG) 0901. Lung Cancer 2017, 111, 38–42. [Google Scholar] [CrossRef] [PubMed]
- Goldman, J.W.; Dvorkin, M.; Chen, Y.; Reinmuth, N.; Hotta, K.; Trukhin, D.; Statsenko, G.; Hochmair, M.J.; Özgüroğlu, M.; Ji, J.H.; et al. CASPIAN investigators.Durvalumab, with or without Tremelimumab, plus platinum-Etoposide versus platinum-etoposide alone in first-line treatment of extensive-stage small-cell lung cancer (CASPIAN): Updated results from a randomised, controlled, open-label, phase 3 trial. Lancet Oncol. 2021, 22, 51–65. [Google Scholar] [CrossRef] [PubMed]
- Horn, L.; Mansfield, A.S.; Szczęsna, A.; Havel, L.; Krzakowski, M.; Hochmair, M.J.; Huemer, F.; Losonczy, G.; Johnson, M.L.; Nishio, M.; et al. First-line Atezolizumab plus chemotherapy in extensive-stage small-cell lung Cancer. N. Engl. J. Med. 2018, 379, 2220–2229. [Google Scholar] [CrossRef]
- Langer, C.I.; Albert, I.; Ross, H.; Kovacs, P.; Blakely, L.; Pajkos, G.; Somfay, A.; Zatloukal, P.; Kazarnowicz, A.; Moezi, M.; et al. Randomized phase II study of Carboplatin and Etoposide with or without Obatoclax mesylate in extensive-stage small cell lung cancer. Lung Cancer 2014, 85, 420–428. [Google Scholar] [CrossRef]
- O’Shaughnessy, J.; Schwartzberg, L.; Danso, M.A.; Miller, K.D.; Rugo, H.S.; Neubauer, M.; Robert, N.; Hellerstedt, B.; Saleh, M.; Richards, P.; et al. Phase III study of Iniparib plus Gemcitabine and Carboplatin versus Gemcitabine and Carboplatin in patients with metastatic triple-negative breast cancer. J. Clin. Oncol. 2014, 32, 3840–3847. [Google Scholar] [CrossRef]
- Cortes, J.; Cescon, D.W.; Rugo, H.S.; Nowecki, Z.; Im, S.A.; Yusof, M.M.; Gallardo, C.; Lipatov, O.; Barrios, C.H.; Holgado, E.; et al. KEYNOTE-355 Investigators. Pembrolizumab plus chemotherapy versus placebo plus chemotherapy for previously untreated locally recurrent Inoperable or metastatic triple-negative breast cancer (KEYNOTE-355): A randomised, placebo-controlled, double-blind, phase 3 clinical trial. Lancet 2020, 396, 1817–1828. [Google Scholar] [CrossRef]
- Wu, D.; Xiong, L. Efficacy analysis of Trastuzumab, Carboplatin and Docetaxel in HER-2-positive breast cancer patients. Oncol. Lett. 2020, 19, 2539–2546. [Google Scholar] [CrossRef] [PubMed]
- Mukherjee, S.; Hurt, C.; Radhakrishna, G.; Gwynne, S.; Bateman, A.; Gollins, S.; Hawkins, M.A.; Canham, J.; Grabsch, H.I.; Falk, S.; et al. Oxaliplatin/Capecitabine or Carboplatin/Paclitaxel-based preoperative chemoradiation for resectable oesophageal adenocarcinoma (neoscope): Long-term results of a randomised controlled trial. Eur. J. Cancer 2021, 153, 153–161. [Google Scholar] [CrossRef] [PubMed]
- Petersen, P.C.; Petersen, L.N.; Vogelius, I.; Bjerregaard, J.K.; Baeksgaard, L. A randomized phase 2 trial of first-line Docetaxel, Carboplatin, Capecitabine (CTX) and Epirubicin, Oxaliplatin, Capecitabine (EOX) in advanced esophagogastric adenocarcinoma. Acta Oncol. 2021, 60, 948–953. [Google Scholar] [CrossRef] [PubMed]
- Prithviraj, G.K.; Baksh, K.; Fulp, W.; Meredith, K.; Hoffe, S.; Shridhar, R.; Almhanna, K. Carboplatin and Paclitaxel as first-line treatment of unresectable or metastatic esophageal or gastric cancer. Dis. Esophagus 2014, 28, 782–787. [Google Scholar] [CrossRef] [PubMed]
- Al-Eisawi, Z.; Beale, P.; Chan, C.; Yu, J.Q.; Huq, F. Carboplatin and Oxaliplatin in sequenced combination with Bortezomib in ovarian tumour models. J. Ovarian Res. 2013, 6, 78. [Google Scholar] [CrossRef]
- Fader, A.N.; Roque, D.M.; Siegel, E.; Buza, N.; Hui, P.; Abdelghany, O.; Chambers, S.K.; Secord, A.A.; Havrilesky, L.; O’Malley, D.M.; et al. Randomized phase II trial of Carboplatin-Paclitaxel versus Carboplatin-Paclitaxel-Trastuzumab in uterine serous carcinomas that overexpress human epidermal growth factor receptor 2/Neu. J. Clin. Oncol. 2018, 36, 2044–2051. [Google Scholar] [CrossRef]
- Kidani, Y.; Inagaki, K.; Iigo, M.; Hoshi, A.; Kuretani, K. Antitumor activity of 1,2-diaminocyclohexane-platinum complexes against sarcoma-180 ascites form. J.Med. Chem. 1978, 21, 1315–1318. [Google Scholar] [CrossRef]
- Alcindor, T.; Beauger, N. Oxaliplatin: A review in the era of molecularly targeted therapy. Curr. Oncol. 2011, 18, 18–25. [Google Scholar] [CrossRef]
- Perego, P.; Robert, J. Oxaliplatin in the era of personalized medicine: From mechanistic studies to clinical efficacy. Cancer Chemother. Pharmacol. 2015, 77, 5–18. [Google Scholar] [CrossRef]
- Park, S.J.; Ye, W.; Xiao, R.; Silvin, C.; Padget, M.; Hodge, J.W.; Van Waes, C.; Schmitt, N.C. Cisplatin and Oxaliplatin induce similar immunogenic changes in preclinical models of head and neck cancer. Oral Oncol. 2019, 95, 127–135. [Google Scholar] [CrossRef]
- Spada, F.; Antonuzzo, L.; Marconcini, R.; Radice, D.; Antonuzzo, A.; Ricci, S.; Di Costanzo, F.; Fontana, A.; Gelsomino, F.; Luppi, G.; et al. Oxaliplatin-based chemotherapy in advanced neuroendocrine tumors: Clinical outcomes and preliminary correlation with biological factors. Neuroendocrinology 2016, 103, 806–814. [Google Scholar] [CrossRef] [PubMed]
- Tsimberidou, A.M.; Keating, M.J.; Jabbour, E.J.; Ravandi-Kashani, F.; O’Brien, S.; Estey, E.; Bekele, N.; Plunkett, W.K.; Kantarjian, H.; Borthakur, G. A phase I study of Fludarabine, Cytarabine, and Oxaliplatin therapy in patients with relapsed or refractory acute myeloid leukemia. Clin. Lymphoma Myeloma Leuk. 2014, 14, 395–400.e1. [Google Scholar] [CrossRef] [PubMed]
- Zhang, K.; Qin, H.; Pan, F.; Liu, E.; Liang, H.; Ruan, Z. Nedaplatin or Oxaliplatin combined with Paclitaxel and Docetaxel as first-line treatment for patients with advanced non-small cell lung cancer. Med. Sci. Monit. 2014, 20, 2830–2836. [Google Scholar] [CrossRef] [PubMed]
- Mitani, S.; Kadowaki, S.; Kato, K.; Masuishi, T.; Muro, K. Combination of Oxaliplatin and 5-Fluorouracil/Leucovorin for advanced esophageal squamous cell carcinoma refractory or Iintolerant to standard therapies. Case Rep. Oncol. 2019, 12, 304–310. [Google Scholar] [CrossRef] [PubMed]
- Jiang, H.; Zheng, Y.; Qian, J.; Mao, C.; Xu, X.; Li, N.; Xiao, C.; Wang, H.; Teng, L.; Zhou, H.; et al. Safety and efficacy of Sintilimab combined with Oxaliplatin/Capecitabine as first-line treatment in patients with locally advanced or metastatic gastric/gastroesophageal junction adenocarcinoma in a phase Ib clinical trial. BMC Cancer 2020, 20, 760. [Google Scholar] [CrossRef]
- Shah, M.A.; Bang, Y.J.; Lordick, F.; Alsina, M.; Chen, M.; Hack, S.P.; Bruey, J.; Smith, D.; McCaffery, I.; Shames, D.; et al. Effect of Fluorouracil, Leucovorin, and Oxaliplatin with or without Onartuzumab in HER2-negative, MET-positive gastroesophageal adenocarcinoma. JAMA Oncol. 2017, 3, 620–627. [Google Scholar] [CrossRef]
- Malka, D.; François, E.; Penault-Llorca, F.; Castan, F.; Bouché, O.; Bennouna, J.; Ghiringhelli, F.; de la Fouchardière, C.; Borg, C.; Samalin, E.; et al. FOLFOX alone or combined with Rilotumumab or Panitumumab as first-line treatment for patients with advanced gastroesophageal adenocarcinoma (PRODIGE 17-ACCORD 20-MEGA): A randomised, open-label, three-arm phase II trial. Eur. J. Cancer 2019, 115, 97–106. [Google Scholar] [CrossRef]
- Kawazoe, A.; Yamaguchi, K.; Yasui, H.; Negoro, Y.; Azuma, M.; Amagai, K.; Hara, H.; Baba, H.; Tsuda, M.; Hosaka, H.; et al. Safety and efficacy of Pembrolizumab in combination with S-1 plus Oxaliplatin as a first-line treatment in patients with advanced gastric/gastroesophageal junction cancer: Cohort 1 data from the KEYNOTE-659 phase IIb study. Eur. J. Cancer 2020, 129, 97–106. [Google Scholar] [CrossRef]
- Cheng, X.; Wu, D.; Xu, N.; Chen, L.; Yan, Z.; Chen, P.; Zhou, L.; Yu, J.; Cui, J.; Li, W.; et al. Adjuvant albumin-bound Paclitaxel combined with S-1 vs. Oxaliplatin combined with Capecitabine after D2 gastrectomy in patients with stage III gastric adenocarcinoma: A phase III multicenter, open-label, randomized controlled clinical trial protocol. BMC Cancer 2021, 21, 56. [Google Scholar] [CrossRef]
- Monti, M.; Morgagni, P.; Nanni, O.; Framarini, M.; Saragoni, L.; Marrelli, D.; Roviello, F.; Petrioli, R.; Romario, U.F.; Rimassa, L.; et al. Preoperative or perioperative Docetaxel, Oxaliplatin, and Capecitabine (GASTRODOC Regimen) in patients with locally-advanced eesectable gastric cancer: A randomized phase-II trial. Cancers 2020, 12, 2790. [Google Scholar] [CrossRef]
- Petrioli, R.; Marrelli, D.; Roviello, F.; D’Ignazio, A.; Torre, P.; Chirra, M.; Savelli, V.; Ambrosio, M.R.; Francini, G.; Calomino, N.; et al. Pathological response and outcome after neoadjuvant chemotherapy with DOC (Docetaxel, Oxaliplatin, Capecitabine) or EOF (Epirubicin, Oxaliplatin, 5-Fluorouracil) for clinical T3-T4 non-metastatic gastric cancer. Surg. Oncol. 2020, 32, 2–7. [Google Scholar] [CrossRef] [PubMed]
- Rivera, F.; Romero, C.; Jimenez-Fonseca, P.; Izquierdo-Manuel, M.; Salud, A.; Martínez, E.; Jorge, M.; Arrazubi, V.; Méndez, J.C.; García-Alfonso, P.; et al. Phase II study to evaluate the efficacy of Trastuzumab in combination with Capecitabine and Oxaliplatin in first-line treatment of HER2-positive advanced gastric cancer: HERXO trial. Cancer Chemother. Pharmacol. 2019, 83, 1175–1181. [Google Scholar] [CrossRef] [PubMed]
- Boku, N.; Ryu, M.H.; Kato, K.; Chung, H.C.; Minashi, K.; Lee, K.W.; Cho, H.; Kang, W.K.; Komatsu, Y.; Tsuda, M.; et al. Safety and efficacy of Nivolumab in combination with S-1/Capecitabine plus Oxaliplatin in patients with previously untreated, unresectable, advanced, or recurrent gastric/gastroesophageal junction cancer: Interim results of a randomized, phase II trial (ATTRACTION-4). Annals Oncol. 2019, 30, 250–258. [Google Scholar] [CrossRef]
- Kondoh, C.; Kadowaki, S.; Komori, A.; Narita, Y.; Taniguchi, H.; Ura, T.; Ando, M.; Muro, K. Salvage chemotherapy with the combination of Oxaliplatin, Leucovorin, and 5-Fluorouracil in advanced gastric cancer refractory or intolerant to fluoropyrimidines, platinum, taxanes, and Irinotecan. Gastric Cancer 2018, 21, 1050–1057. [Google Scholar] [CrossRef] [PubMed]
- Sah, B.K.; Zhang, B.; Zhang, H.; Li, J.; Yuan, F.; Ma, T.; Shi, M.; Xu, W.; Zhu, Z.; Liu, W.; et al. Neoadjuvant FLOT versus SOX phase II randomized clinical trial for patients with locally advanced gastric cancer. Nature Commun. 2020, 11, 6093. [Google Scholar] [CrossRef] [PubMed]
- Moehler, M.; Dvorkin, M.; Boku, N.; Özgüroğlu, M.; Ryu, M.H.; Muntean, A.S.; Lonardi, S.; Nechaeva, M.; Bragagnoli, A.C.; Coşkun, H.S.; et al. Phase III trial of Avelumab maintenance after first-line induction chemotherapy versus continuation of chemotherapy in patients with gastric cancers: Results from JAVELIN Gastric 100. J. Clin. Oncol. 2021, 39, 966–977. [Google Scholar] [CrossRef]
- Tan, S.; Xie, J.; Wei, J.; Liu, Q.; Du, J.; Liu, B.; Yang, Y. Concurrent Docetaxel and S-1 compared with Oxaliplatin and S-1 as first-line therapy for advanced gastric adenocarcinoma: A eetrospective study. J. Clin. Oncol. 2020, 38 (Suppl. S15), 16540. [Google Scholar] [CrossRef]
- Matsumoto, T.; Kurioka, Y.; Okazaki, U.; Matsuo, Y.; Kimura, S.; Miura, K.; Tsuduki, T.; Takagi, S.; Takatani, M.; Morishita, H. FOLFIRINOX for advanced pancreatic cancer patients after Nab-Paclitaxel plus Gemcitabine failure. Pancreas 2020, 49, 574–578. [Google Scholar] [CrossRef]
- Antoniotti, C.; Borelli, B.; Rossini, D.; Pietrantonio, F.; Morano, F.; Salvatore, L.; Lonardi, S.; Marmorino, F.; Tamberi, S.; Corallo, S.; et al. AtezoTRIBE: A randomised phase II study of FOLFOXIRI plus Bevacizumab alone or in combination with Atezolizumab as initial therapy for patients with unresectable metastatic colorectal cancer. BMC Cancer 2020, 20, 683. [Google Scholar] [CrossRef]
- Fumet, J.D.; Isambert, N.; Hervieu, A.; Zanetta, S.; Guion, J.F.; Hennequin, A.; Rederstorff, E.; Bertaut, A.; Ghiringhelli, F. Phase Ib/II trial evaluating the safety, tolerability and immunological activity of Durvalumab (MEDI4736) (anti-PD-L1) plus Tremelimumab (anti-CTLA-4) combined with FOLFOX in patients with metastatic colorectal cancer. ESMO Open 2018, 3, e000375. [Google Scholar] [CrossRef]
- Limagne, E.; Thibaudin, M.; Nuttin, L.; Spill, A.; Derangère, V.; Fumet, J.D.; Amellal, N.; Peranzoni, E.; Cattan, V.; Ghiringhelli, F. Trifluridine/Tipiracil plus Oxaliplatin improves PD-1 blockade in colorectal cancer by inducing immunogenic cell death and depleting macrophages. Cancer Immunol. Res. 2019, 7, 1958–1969. [Google Scholar] [CrossRef] [PubMed]
- Lee, D.W.; Lee, K.H.; Kim, H.J.; Kim, T.Y.; Kim, J.S.; Han, S.W.; Oh, D.Y.; Kim, J.H.; Im, S.A.; Kim, T.Y. A phase II trial of S-1 and Oxaliplatin in patients with advanced hepatocellular carcinoma. BMC Cancer 2018, 18, 252. [Google Scholar] [CrossRef] [PubMed]
- Drott, J.R.; Fomichov, V.; Starkhammar, H.; Börjeson, S.; Kjellgren, K.; Berterö, C. Oxaliplatin-induced neurotoxic side effects and their impact on daily activities. A longitudinal study among patients with colorectal cancer. Cancer Nurs. 2018, 42, 40–48. [Google Scholar] [CrossRef]
- Gebremedhn, E.G.; Shortland, P.J.; Mahns, D.A. The incidence of acute Oxaliplatin-induced neuropathy and its impact on treatment in the first cycle: A systematic review. BMC Cancer 2018, 18, 410. [Google Scholar] [CrossRef] [PubMed]
- Shimada, M.; Itamochi, H.; Kigawa, J. Nedaplatin: A Cisplatin derivative in cancer chemotherapy. Cancer Manag. Res. 2013, 5, 67–76. [Google Scholar] [CrossRef] [PubMed]
- Liu, Y.; Yu, S.; Liu, S.; Cao, H.; Ma, R.; Wu, J.; Feng, J. Comparison of Nedaplatin-based versus Cisplatin-based chemotherapy for advanced non-small cell lung cancer among East Asian populations: A meta-analysis. Sci. Rep. 2015, 5, 10516. [Google Scholar] [CrossRef]
- Zhu, H.; Ge, X.; Lu, Y.; Zuo, Y.; Qin, Q.; Sun, X.; Yang, M. Nedaplatin-based chemotherapy regimens combined with concurrent radiotherapy as first-line treatment for stage II-III esophageal squamous cell carcinoma. Oncol. Lett. 2018, 17, 594–602. [Google Scholar] [CrossRef]
- Okuda, H.; Ohnishi, M.; Takahashi, H.; Takagi, C.; Takada, N.; Ohashi, T. Long-term efficacy and toxicity of concurrent chemoradiotherapy with Nedaplatin and S-1 for head and neck squamous cell carcinomaCarcinoma. Auris Nasus Larynx 2019, 46, 882–888. [Google Scholar] [CrossRef]
- Teramoto, K.; Asada, Y.; Ozaki, Y.; Suzumura, Y.; Nakano, Y.; Sawai, S.; Tezuka, N.; Inoue, S.; Fujino, S. A phase II study of Docetaxel plus Nedaplatin in patients with metastatic non-small-cell lung cancer. Cancer Chemother. Pharmacol. 2012, 70, 531–537. [Google Scholar] [CrossRef]
- Yang, S. A pooled study on combination of Gemcitabine and Nedaplatin for treating patients with non-small cell lung cancer. Asian Pac. J. Cancer Prevent. 2015, 16, 5963–5966. [Google Scholar] [CrossRef][Green Version]
- Fu, J.; Fang, S.; Wen, Y.; Wang, Y.; Yin, X.; Wang, D. The efficacy and safety of Irinotecan combined with Nedaplatin in the treatment of small cell lung cancer. J. Buon 2020, 25, 1707–1713. [Google Scholar] [PubMed]
- Igawa, S.; Otani, S.; Nakahara, Y.; Ryuge, S.; Hiyoshi, Y.; Fukui, T.; Mitsufuji, H.; Kubota, M.; Katagiri, M.; Sato, Y.; et al. Phase I study of Nedaplatin, a platinum based antineoplastic drug, combined with Nab-Paclitaxel in patients with advanced squamous non-small cell lung cancer. Investig. New Drugs 2017, 36, 45–52. [Google Scholar] [CrossRef] [PubMed]
- Zhang, L.; Mai, W.; Hao, B.; Jiang, W.; Geng, Q. Promising response to a PD-1 inhibitor (Sintilimab) in non-small cell lung cancer: A case report. Medicine 2020, 99, e19790. [Google Scholar] [CrossRef] [PubMed]
- Kenmotsu, Y.; Oshita, F.; Sugiura, M.; Murakami, S.; Kondo, T.; Saito, H.; Yamada, K. Nedaplatin and Irinotecan in patients with large-cell neuroendocrine carcinoma of the lung. Anticancer Res. 2012, 32, 1453–1456. [Google Scholar]
- Tang, Z.; Fang, R.; Tong, G.; Liu, P.; Ou, Z.; Tang, Y. Overcoming resistance to anti-PD-1 immunotherapy in lymphoepithelioma-like carcinoma: A case report and review of the literature. Lung Cancer 2020, 146, 335–340. [Google Scholar] [CrossRef]
- Fujita, Y.; Hiramatsu, M.; Kawai, M.; Sumiyoshi, K.; Nishimura, H.; Tanigawa, N. Evaluation of combined Docetaxel and Nedaplatin chemotherapy for recurrent esophageal cancer compared with conventional chemotherapy using Cisplatin and 5-Fluorouracil: A retrospective study. Dis. Esophagus 2008, 21, 496–501. [Google Scholar] [CrossRef]
- Miyazaki, T.; Ojima, H.; Fukuchi, M.; Sakai, M.; Sohda, M.; Tanaka, N.; Suzuki, S.; Ieta, K.; Saito, K.; Sano, A.; et al. Phase II study of Docetaxel, Nedaplatin, and 5-Fluorouracil combined chemotherapy for advanced esophageal cancer. Annals Surgic. Oncol. 2015, 22, 3653–3658. [Google Scholar] [CrossRef]
- Tanaka, Y.; Yoshida, K.; Tanahashi, T.; Okumura, N.; Matsuhashi, N.; Yamaguchi, K. Phase II trial of neoadjuvant chemotherapy with Docetaxel, Nedaplatin, and S1 for advanced esophageal squamous cell carcinoma. Cancer Sci. 2016, 107, 764–772. [Google Scholar] [CrossRef][Green Version]
- Yamashita, H.; Abe, O.; Nakagawa, K. Involved-field irradiation concurrently combined with Nedaplatin/5-Fluorouracil for inoperable esophageal cancer on basis of 18FDG-PET scans: A long follow-up results of phase II study. Radiother. Oncol. 2017, 123, 488. [Google Scholar] [CrossRef]
- Wang, Z.Q.; Wang, D.S.; Wang, F.H.; Ren, C.; Tan, Q.; Li, Y.H. Recombinant human endostatin plus Paclitaxel/ Nedaplatin for recurrent or metastatic advanced esophageal squamous cell carcinoma: A prospective, single-arm, open-label, phase II study. Investig. New Drugs 2020, 39, 516–523. [Google Scholar] [CrossRef]
- Jing, W.; Yan, W.; Liu, Y.; Li, J.; Yu, J.; Zhu, H. Slight advantages of Nimotuzumab versus Cetuximab plus concurrent chemoradiotherapy in locally advanced esophageal squamous cell carcinoma. Cancer Biol. Ther. 2019, 20, 1121–1126. [Google Scholar] [CrossRef] [PubMed]
- Hu, Y.; Fu, J.T.; Shi, D.; Feng, B.; Shi, Z. Clinical efficacy and safety of Gemcitabine plus Nedaplatin in the treatment of advanced nasopharyngeal carcinoma. J. Cancer Res. Ther. 2016, 12, 252–255. [Google Scholar] [CrossRef]
- Liu, T.; Sun, Q.; Chen, J.; Li, B.; Qin, W.; Wang, F.; Ye, Z.; Hu, F. Neoadjuvant chemotherapy with Fluorouracil plus Nedaplatin or Cisplatin for locally advanced nasopharyngeal carcinoma: A retrospective study. J. Cancer 2018, 9, 3676–3682. [Google Scholar] [CrossRef] [PubMed]
- Peng, P.J.; Lv, B.J.; Wang, Z.H.; Liao, H.; Liu, Y.M.; Lin, Z.; Con, Y.Y.; Huang, P.Y. Multi-institutional prospective study of Nedaplatin plus S-1 chemotherapy in recurrent and metastatic nasopharyngeal carcinoma patients after failure of platinum-containing regimens. Ther. Adv. Med. Oncol. 2016, 9, 68–74. [Google Scholar] [CrossRef]
- Zhan, Z.J.; Tao, H.Y.; Qiu, W.Z.; Liu, Z.Y.; Zhang, R.X.; Liao, K.; Li, G.; Yuan, Y.W.; Yuan, T.Z.; Zheng, R.H. Clinical value of Nedaplatin-based chemotherapy combined with radiotherapy for locoregional advanced nasopharyngeal carcinoma: A retrospective, propensity score-matched analysis. J. Cancer 2020, 11, 6782–6789. [Google Scholar] [CrossRef]
- Shukuya, T.; Yamanaka, T.; Seto, T.; Daga, H.; Goto, K.; Saka, H.; Sugawara, S.; Takahashi, T.; Yokota, S.; Kaneda, H.; et al. Nedaplatin plus Docetaxel versus Cisplatin plus Docetaxel for advanced or relapsed squamous cell carcinoma of the lung (WJOG5208L): A randomised, open-label, phase 3 trial. Lancet Oncol. 2015, 16, 1630–1638. [Google Scholar] [CrossRef]
- Masago, K.; Fujita, S.; Kim, Y.H.; Hatachi, Y.; Fukuhara, A.; Irisa, K.; Nagai, H.; Sakamori, Y.; Togashi, Y.; Mio, T.; et al. Phase I study of the combination of Nedaplatin and Gemcitabine in previously untreated advanced squamous cell lung cancer. Cancer Chemother. Pharmacol. 2010, 67, 325–330. [Google Scholar] [CrossRef]
- Yamada, K.; Saito, H.; Kondo, T.; Murakami, S.; Masuda, N.; Yamamoto, M.; Igawa, S.; Katono, K.; Takiguchi, Y.; Iwasawa, S.; et al. Multicenter phase II study of Nedaplatin and Irinotecan for patients with squamous cell carcinoma of the lung: Thoracic oncology research group 0910. Anticancer Res. 2015, 35, 6705–6711. [Google Scholar]
- Matsumoto, K.; Mochizuki, K.; Hirayama, T.; Ikeda, M.; Nishi, M.; Tabata, K.; Okazaki, M.; Fujita, T.; Taoka, Y.; Iwamura, M. Gemcitabine plus Nedaplatin as salvage therapy is a favorable option for patients with progressive metastatic urothelial carcinoma after two lines of chemotherapy. Asian Pac. J. Cancer Prev. 2015, 16, 2483–2487. [Google Scholar] [CrossRef]
- Kitamura, H.; Taguchi, K.; Kunishima, Y.; Yanase, M.; Takahashi, A.; Shigyo, M.; Tanaka, T.; Mutoh, M.; Fukuta, F.; Masumori, N.; et al. Paclitaxel, Ifosfamide, and Nedaplatin as second-line treatment for patients with metastatic urothelial carcinoma: A phase II study of the SUOC group. Cancer Sci. 2011, 102, 1171–1175. [Google Scholar] [CrossRef]
- Li, L.; Zhuang, Q.; Cao, Z.; Yin, R.; Zhu, Y.; Zhu, L.; Xie, X.; Zhang, Y.; Li, L.; Wu, Q.; et al. Paclitaxel plus Nedaplatin vs. Paclitaxel plus Carboplatin in women with epithelial ovarian cancer: A multi-center, randomized, open-label, phase III trial. Oncol. Lett. 2018, 15, 3646–3652. [Google Scholar] [CrossRef] [PubMed]
- Zhang, H.; Chen, C.; Wang, S.; Li, X.; Fan, T. Efficacy of Bevacizumab combined with Nedaplatin in the treatment of ovarian cancer and it’s effects on tumor markers and immunity of patients. J. Buon 2020, 25, 80–86. [Google Scholar] [PubMed]
- Miyamoto, M.; Takano, M.; Kuwahara, M.; Soyama, H.; Kato, K.; Matuura, H.; Sakamoto, T.; Takasaki, K.; Aoyama, T.; Yoshikawa, T.; et al. Efficacy of combination chemotherapy using Irinotecan and Nedaplatin for patients with recurrent and refractory endometrial carcinomas: Preliminary analysis and literature review. Cancer Chemother. Pharmacol. 2017, 81, 111–117. [Google Scholar] [CrossRef] [PubMed]
- Li, Y.; Zeng, J.; Huang, M.; An, J.; Bai, P.; Wu, L.; Zhang, R. A phase 2 study of nanoparticle albumin-bound Paclitaxel plus Nedaplatin for patients with advanced, recurrent, or metastatic cervical carcinoma. Cancer 2016, 123, 420–425. [Google Scholar] [CrossRef]
- Takekuma, M.; Shimokawa, M.; Nishio, S.; Omi, H.; Tabata, T.; Takei, Y.; Nasu, K.; Takahashi, Y.; Toyota, S.; Ichikawa, Y.; et al. Phase II study of adjuvant chemotherapy with Paclitaxel and Nedaplatin for uterine cervical cancer with lymph node metastasis. Cancer Sci. 2018, 109, 1602–1608. [Google Scholar] [CrossRef]
- Uehara, T.; Yamate, J.; Torii, M.; Maruyama, T. Comparative nephrotoxicity of Cisplatin and Nedaplatin: Mechanisms and histopathological characteristics. J. Toxicol. Pathol. 2011, 24, 87–94. [Google Scholar] [CrossRef]
- Zhong, L.Z.; Xu, H.Y.; Zhao, Z.M.; Zhang, G.M.; Lin, F.W. Comparison of efficacy and toxicity between Nedaplatin and Cisplatin in treating malignant pleural effusion. OncoTargets Ther. 2018, 11, 5509–5512. [Google Scholar] [CrossRef]
- Chen, X.; Wu, Y.; Dong, H.; Zhang, C.; Zhang, Y. Platinum-based agents for individualized cancer treatment. Curr. Molecul. Med. 2013, 13, 1603–1612. [Google Scholar] [CrossRef]
- Brown, A.; Kumar, S.; Tchounwou, P.B. Cisplatin-based chemotherapy of human cancers. J. Cancer Sci. Ther. 2019, 11, 97. [Google Scholar]
- Zhang, H.Y.; Liu, Y.R.; Li, W.; Li, H.; Dou, S.X.; Xie, P.; Wang, W.C.; Wang, P.V. Condensations of single DNA molecules induced by Heptaplatin and its chiral isomer. AIP Adv. 2014, 4, 087128. [Google Scholar] [CrossRef]
- Lee, K.H.; Hyun, M.S.; Kim, H.K.; Jin, H.M.; Yang, J.; Song, H.S.; Do, Y.R.; Ryoo, H.M.; Chung, J.S.; Zang, D.Y.; et al. Randomized, multicenter, phase III trial of Heptaplatin 1-hour infusion and 5-Fluorouracil combination chemotherapy comparing with Cisplatin and 5-Fluorouracil combination chemotherapy in patients with advanced gastric cancer. CancerRes. Treat. 2009, 41, 12–18. [Google Scholar] [CrossRef] [PubMed]
- Lee, W.S.; Lee, G.W.; Kim, H.W.; Lee, O.J.; Lee, Y.J.; Ko, G.H.; Lee, J.S.; Jang, J.S.; Ha, W.S. A phase II trial of Heptaplatin/5-FU and Leucovorin for advanced stomach cancer. Cancer Res. Treat. 2005, 37, 208–211. [Google Scholar] [CrossRef] [PubMed][Green Version]
- Huang, X.; Zhou, H.; Jiao, R.; Liu, H.; Qin, C.; Xu, L.; Chen, Y. Supramolecular chemotherapy: Host–guest complexes of Heptaplatin-Cucurbit [7]uril toward colorectal normal and tumor cells. Langmuir 2021, 37, 5475–5482. [Google Scholar] [CrossRef] [PubMed]
- Park, M.S.; Kang, M.H.; Lim, S.C.; Choi, S.O.; Lee, B.K.; Lee, M.K. Retrospective evaluation of Heptaplatin toxicities in patients with advanced gastric cancer. Korean J. Clin. Pharm. 2006, 16, 131–138. [Google Scholar]
- Muggia, F.M.; Bonetti, A.; Hoeschele, J.D.; Rozencweig, M.; Howell, S.B. Platinum antitumor complexes: 50 years since Barnett Rosenberg’s discovery. J. Clin. Oncol. 2015, 33, 4219–4226. [Google Scholar] [CrossRef]
- Li, Y.; Yang, G.; Li, M.; Tong, X. Nursing observation on the clinical efficacy and toxicity of Lobaplatin compared with Cisplatin in the treatment of locally advanced hypopharyngeal carcinoma based on intelligent CT imaging. J. Healthc. Eng. 2021, 2021, 9982888. [Google Scholar] [CrossRef]
- Pan, S.; Sun, Y.; Sui, D.; Yang, T.; Fu, S.; Wang, J.; Hui, B.; Xi, R.; He, C.; Zhang, X. Lobaplatin promotes radiosensitivity, induces apoptosis, attenuates cancer stemness and inhibits proliferation through PI3K/AKT pathway in esophageal squamous cell carcinoma. Biomed. Pharmacother. 2018, 102, 567–574. [Google Scholar] [CrossRef]
- Zhou, N.N.; Zhao, Y.Y.; Zhai, L.Z.; Ruan, C.M.; Yang, Y.P.; Huang, Y.; Hou, X.; Chen, L.K.; Zhou, T.; Zhang, L. The efficacy and toxicity of Lobaplatin-contained chemotherapy in extensive-stage small-cell lung cancer. J. Cancer 2018, 9, 2232–2236. [Google Scholar] [CrossRef]
- Wang, Z.; Xu, L.; Wang, H.; Li, Z.; Lu, L.; Li, X.; Zhang, Q. Lobaplatin-based regimens outperform Cisplatin for metastatic breast cancer after anthracyclines and taxanes treatment. Saudi J. Biol. Sci. 2018, 25, 909–916. [Google Scholar] [CrossRef]
- Li, Y.; Liu, B.; Yang, F.; Yu, Y.; Zeng, A.; Ye, T.; Yin, W.; Xie, Y.; Fu, Z.; Zhao, C. Lobaplatin induces BGC-823 human cell apoptosis via ROS-mitochondrial apoptotic pathway and impairs cell migration gastric carcinoma and invasion. Biomed. Pharmacother. 2016, 83, 1239–1246. [Google Scholar] [CrossRef]
- Wang, H.; Li, B.; Yan, K.; Wu, Y.; Wen, Y.; Liu, Y.; Fan, P.; Ma, Q. Protein and signaling pathway responses to rhIL-6 intervention before Lobaplatin treatment in osteosarcoma cells. Front. Oncol. 2021, 11, 602712. [Google Scholar] [CrossRef] [PubMed]
- Makovec, T. Cisplatin and beyond: Molecular mechanisms of action and drug resistance development in cancer chemotherapy. Radiol. Oncol. 2019, 53, 148–158. [Google Scholar] [CrossRef] [PubMed]
- Chen, B.; Zhang, H.; Chen, R.; Yang, S.; Liu, W.; Li, K.; Zhang, H.; Zhu, X. Lobaplatin for the treatment of SK-MES-1 lung squamous cell line in vitro and in vivo. OncoTargets Ther. 2016, 9, 4215–4224. [Google Scholar] [CrossRef] [PubMed]
- Wang, Z.; Tang, X.; Zhang, Y.; Qi, R.; Li, Z.; Zhang, K.; Liu, Z.; Yang, X. Lobaplatin induces apoptosis and arrests cell cycle progression in human cholangiocarcinoma cell line RBE. Biomed. Pharmacother. 2012, 66, 161–166. [Google Scholar] [CrossRef]
- Li, X.; Ran, L.; Fang, W.; Wang, D. Lobaplatin arrests cell cycle progression, induces apoptosis and alters the proteome in human cervical cancer cell Line CaSki. Biomed. Pharmacother. 2014, 68, 291–297. [Google Scholar] [CrossRef]
- Lv, X.; Cao, X.; Xia, W.X.; Liu, K.Y.; Qiang, M.Y.; Guo, L.; Qian, C.N.; Cao, K.J.; Mo, H.Y.; Li, X.M.; et al. Induction chemotherapy with Lobaplatin and Fluorouracil versus Cisplatin and Fluorouracil followed by chemoradiotherapy in patients with stage III–IVB nasopharyngeal carcinoma: An open-label, non-inferiority, randomised, controlled, phase 3 trial. Lancet Oncol. 2021, 22, 716–726. [Google Scholar] [CrossRef]
- Ke, L.R.; Xia, W.X.; Qiu, W.Z.; Huang, X.J.; Yang, J.; Yu, Y.H.; Liang, H.; Liu, G.Y.; Ye, Y.F.; Xiang, Y.Q.; et al. Safety and efficacy of Lobaplatin combined with 5-Fluorouracil as first-line induction chemotherapy followed by Lobaplatin-radiotherapy in locally advanced nasopharyngeal carcinoma: Preliminary results of a prospective phase II trial. BMC Cancer 2017, 17, 134. [Google Scholar] [CrossRef]
- Cheng, Y.; Fan, Y.; Liu, X.; Liu, Y.; Liu, J.; Wang, D.; Yu, Y.; Qin, S.; Liu, W.; Huang, C.; et al. Randomized controlled trial of Lobaplatin plus Etoposide vs.Cisplatin plus Etoposide as first-line therapy in patients with extensive-stage small cell lung cancer. Oncol. Lett. 2019, 17, 4701–4709. [Google Scholar] [CrossRef]
- Zhang, H.; Zhang, Y.; Wang, C.; Fang, S.; Xu, B.; Wang, C.; Wu, J.; Liu, D. Clinical research on therapeutic effect of combined application of Lobaplatin and Irinotecan in treating recurrant small cell lung cancer. Pak. J. Pharm. Sci. 2018, 31 (Suppl. S5), 2295–2298. [Google Scholar]
- Zhong, R.; Li, H.; Liu, Y.; Zhang, S.; Liu, J.; Huang, Z.; Cheng, Y. Chemotherapy combined with Bevacizumab for the treatment of advanced lung adenocarcinoma cancer harboring EGFR-ANXA2, EGFR-RAD51, ATR and BRCA2 mutations: A case report. Thorac. Cancer 2019, 11, 456–460. [Google Scholar] [CrossRef]
- Yuan, Y.; Zhang, L.; Zhang, Z.; Qian, Y.; Teng, Y. A study of the efficacy and tolerability of Capecitabine and Lobaplatin in advanced HER-2 negative breast cancer patients. Ann. Transl. Med. 2021, 9, 1151. [Google Scholar] [CrossRef] [PubMed]
- Li, F.; Wang, B.; He, M.; Chang, J.; Li, J.; Shan, L.; Wang, H.; Hong, W.; Luo, D.; Song, Y.; et al. Pilot study of Docetaxel combined with Lobaplatin or Gemcitabine for recurrent and metastatic breast cancer. Medicine 2019, 98, e18513. [Google Scholar] [CrossRef] [PubMed]
- Jia, X.J.; Huang, J.Z. Clinical study on Lobaplatin combined with 5-Fu and concurrent radiotherapy in treating patients with inoperable esophageal cancer. Asian Pac. J. Cancer Prev. 2015, 16, 6595–6597. [Google Scholar] [CrossRef] [PubMed]
- Li, X.Y.; Zhou, F.; Ren, Z.H.; Zhao, Y.F.; Lu, P.; Wang, J.S.; Zhen, A.P.; Ku, J.W. Phase trail of Lobaplatin, Leucovorin and Fluorouracil in patient s with advanced carcinoma of the esophagus. Chin. J. Cancer. Prev. Treat. 2007, 14, 64–66. [Google Scholar]
- Chen, M.Q.; Chen, C.; Lu, H.J.; Xu, B.H. The efficacy and toxicities of combined Lobaplatin with Paclitaxel as a first-line chemotherapy for advanced esophageal squamous cell carcinoma. J. Thorac. Dis. 2015, 7, 1749–1755. [Google Scholar] [CrossRef]
- Hua, S.; Kong, X.; Chen, B.; Zhuang, W.; Sun, Q.; Yang, W.; Liu, W.; Zhang, Y. Anticancer mechanism of Lobaplatin as monotherapy and in combination with Paclitaxel in human gastric cancer. Curr. Mol. Pharmacol. 2018, 11, 316–325. [Google Scholar] [CrossRef]
- Wu, Y.; Xu, X.Y.; Yan, F.; Sun, W.L.; Zhang, Y.; Liu, D.L.; Shen, B. Retrospective study of the efficacy and toxicity of Lobaplatin in combined chemotherapy for metastatic breast cancer. OncoTargets Ther. 2019, 12, 4849–4857. [Google Scholar] [CrossRef]
- Nagyal, L.; Kumar, A.; Sharma, R.; Yadav, R.; Chaudhary, P.; Singh, R. Bioinorganic chemistry of platinum (IV) complexes as platforms for anticancer agents. Curr. Bioact. Compd. 2020, 16, 726–737. [Google Scholar] [CrossRef]
- Doshi, G.; Sonpavde, G.; Sternberg, C. Clinical and pharmacokinetic evaluation of Satraplatin. Expert Opin. Drug Metabol. Toxicol. 2011, 8, 103–111. [Google Scholar] [CrossRef]
- Akshintala, S.; Marcus, L.; Warren, K.E.; Murphy, R.; Sissung, T.; Srivastava, A.; Goodspeed, W.; Goodwin, A.; Brewer, C.; Zalewski, C.; et al. Phase 1 trial and pharmacokinetic study of the oral platinum analog Satraplatin in children and young adults with refractory solid tumors including brain tumors. Pediatr. Blood Cancer 2015, 62, 603–610. [Google Scholar] [CrossRef]
- Avan, A.; Adema, A.D.; Hoebe, E.K.; Huijts, C.M.; Avan, A.; Veal, G.J.; Ruijtenbeek, R.; Wosikowski, K.; Peters, G.J. Modulation of signaling enhances the efficacy of the combination of Satraplatin and Erlotinib. Curr. Drug Targets 2014, 15, 1312–1321. [Google Scholar] [CrossRef] [PubMed]
- Vaishampayan, U.N.; Fontana, J.; Heilbrun, L.K.; Smith, D.; Heath, E.; Dickow, B.; Figg, W.D. Phase II trial of Bevacizumab and Satraplatin in Docetaxel-pretreated metastatic castrate-resistant prostate cancer. Urol. Oncol.Semin. Orig. Investig. 2014, 32, 31–33. [Google Scholar] [CrossRef] [PubMed]
- Cetnar, J.; Wilding, G.; McNeel, D.; Loconte, N.K.; McFarland, T.A.; Eickhoff, J.; Liu, G. A phase 1/1b study of Satraplatin (JM-216) in combination with Docetaxel in patients with advanced solid tumors and metastatic castrate-resistant prostate cancer. Urol. Oncol. Semin. Orig. Investig. 2013, 31, 436–441. [Google Scholar] [CrossRef] [PubMed]
- Figg, W.D.; Chau, C.H.; Madan, R.A.; Gulley, J.L.; Gao, R.; Sissung, T.M.; Spencer, S.; Beatson, M.; Aragon-Ching, J.; Steinberg, S.M.; et al. Phase II study of Satraplatin and Prednisone in patients with metastatic castration-resistant prostate cancer: A pharmacogenetic assessment of outcome and toxicity. Clin. Genitourin. Cancer 2013, 11, 229–237. [Google Scholar] [CrossRef]
- Di Paola, E.D.; Alonso, S.; Giuliani, R.; Calabrò, F.; D’Alessio, A.; Regine, G.; Cerbone, L.; Bianchi, L.; Mancuso, A.; Sperka, S.; et al. An open-label, dose-finding study of the combination of Satraplatin and Gemcitabine in patients with advanced solid tumors. Front. Oncol. 2012, 2, 175. [Google Scholar] [CrossRef]
- Qi, L.; Luo, Q.; Zhang, Y.; Jia, F.; Zhao, Y.; Wang, F. Advances in toxicological research of the anticancer drug Cisplatin. Chem. Res. Toxicol. 2019, 32, 1469–1486. [Google Scholar] [CrossRef]
- Chung, M.K.; Kim, J.C.; Roh, J.K. Embryotoxic effects of SKI 2053R, a new potential anticancer agent, in rats. Reprod. Toxicol. 1998, 12, 375–381. [Google Scholar] [CrossRef]
- Miller, R.P.; Tadagavadi, R.K.; Ramesh, G.; Reeves, W.B. Mechanisms of Cisplatin nephrotoxicity. Toxins 2010, 2, 2490–2518. [Google Scholar] [CrossRef]
- Ahn, J.H.; Kang, Y.K.; Kim, T.W.; Bahng, H.; Chang, H.M.; Kang, W.C.; Kim, W.K.; Lee, J.S.; Park, J.S. Nephrotoxicity of Heptaplatin: A randomized comparison with Cisplatin in advanced gastric cancer. Cancer Chemother. Pharmacol. 2002, 50, 104–110. [Google Scholar] [CrossRef]
- Waissbluth, S.; Daniel, S.J. Cisplatin-induced ototoxicity: Transporters playing a role in Cisplatintoxicity. Heart Res. 2013, 299, 37–45. [Google Scholar] [CrossRef]
- Basu, A.; Krishnamurthy, S. Cellular responses to Cisplatin-induced DNA damage. J. Nucleic Acids 2010, 2010, 201367. [Google Scholar] [CrossRef] [PubMed]
- Sawant, A.; Kothandapani, A.; Zhitkovich, A.; Sobol, R.W.; Patrick, S.M. Role of mismatch repair proteins in the processing of Cisplatin interstrand cross-links. DNA Repair 2015, 35, 126–136. [Google Scholar] [CrossRef] [PubMed]
- Dilruba, S.; Kalayda, G.V. Platinum-based drugs: Past, present and future. Cancer Chemother. Pharmacol. 2016, 77, 1103–1124. [Google Scholar] [CrossRef] [PubMed]
- Apps, M.G.; Choi, E.H.Y.; Wheate, N.J. The state-of-play and future of platinum drugs. Endocr. Relat. Cancer 2015, 22, 219–233. [Google Scholar] [CrossRef] [PubMed]
- Sun, J.; Wei, Q.; Zhou, Y.; Wang, J.; Liu, Q.; Xu, H. A systematic analysis of FDA-approved anticancer drugs. BMC Syst. Biol. 2017, 11, 28–43. [Google Scholar] [CrossRef] [PubMed]
- De Luca, A.; Parker, L.J.; Ang, W.H.; Rodolfo, C.; Gabbarini, V.; Hancock, N.C.; Palone, F.; Mazzetti, A.P.; Menin, L.; Morton, C.J.; et al. A structure-based mechanism of cisplatin resistance mediated by glutathione transferase P1-1. Proc. Natl. Acad. Sci. USA 2019, 116, 13943–13951. [Google Scholar] [CrossRef] [PubMed]
- Abada, P.; Howell, S.B. Regulation of Cisplatin cytotoxicity by Cu-influx transporters. Met.-Based Drugs. 2010, 2010, 317581. [Google Scholar] [CrossRef]
- Bompiani, K.M.; Tsai, C.Y.; Achatz, F.P.; Liebig, J.K.; Howell, S.B. Copper transporters and chaperones CTR1, CTR2, ATOX1, and CCS as determinants of Cisplatin sensitivity. Metallomics 2016, 8, 951–962. [Google Scholar] [CrossRef]
- Akerfeldt, M.C.; Tran, C.M.N.; Shen, C.; Hambley, T.W.; New, E.J. Interactions of Cisplatin and the copper transporter CTR1 in human colon cancer cells. J. Biol. Inorg. Chem. 2017, 22, 765–774. [Google Scholar] [CrossRef]
- Buss, I.; Hamacher, A.; Sarin, N.; Kassack, M.U.; Kalayda, G.V. Relevance of copper transporter 1 and organic cation transporters 1-3 for oxaliplatin uptake and drug resistance in colorectal cancer cells. Metallomics 2018, 10, 414–425. [Google Scholar] [CrossRef]
- Blair, B.G.; Larson, C.A.; Safaei, R.; Howell, S.B. Copper transporter 2 regulates the cellular accumulation and cytotoxicity of Cisplatin and Carboplatin. Clin. Cancer Res. 2009, 15, 4312–4321. [Google Scholar] [CrossRef] [PubMed]
- Fu, S.; Naing, A.; Fu, C.; Kuo, M.T.; Kurzrock, R. Overcoming platinum resistance through the use of a copper-lowering agent. Mol. Cancer Ther. 2012, 11, 1221–1225. [Google Scholar] [CrossRef] [PubMed]
- Shen, D.W.; Pouliot, L.M.; Hall, M.D.; Gottesman, M.M. Cisplatin resistance: A cellular self-defense mechanism resulting from multiple epigenetic and genetic changes. Pharmacol. Rev. 2012, 64, 706–721. [Google Scholar] [CrossRef] [PubMed]
- Pan, H.; Cai, N.; Li, M.; Liu, G.H.; Izpisua-Belmonte, J.C. Autophagic control of cell ‘stemness’. EMBO Mol. Med. 2013, 5, 327–331. [Google Scholar] [CrossRef]
- Ma, L.; Xu, Y.; Su, J.; Yu, H.; Kang, J.; Li, H.; Li, X.; Xie, Q.; Yu, C.; Sun, L.; et al. Autophagic flux promotes Cisplatin resistance in human ovarian carcinoma cells through ATP mediated lysosomal function. Int. J. Oncol. 2015, 47, 1890–1900. [Google Scholar] [CrossRef]
- Yu, L.; Gu, C.; Zhong, D.; Shi, L.; Kong, Y.; Zhou, Z.; Liu, S. Induction of autophagy counteracts the anticancer effect of Cisplatin in human esophageal cancer cells with acquired drug resistance. Cancer Lett. 2014, 355, 34–45. [Google Scholar] [CrossRef]
- Yang, H.Z.; Ma, Y.; Zhou, Y.; Xu, L.M.; Chen, X.J.; Ding, W.B.; Zou, H. Autophagy contributes to the enrichment and survival of colorectal cancer stem cells under Oxaliplatin treatment. Cancer Lett. 2015, 361, 128–136. [Google Scholar] [CrossRef]
- Suntharalingam, K.; Wilson, J.J.; Lin, W.; Lippard, S.J. A dual-targeting, p53-independent, apoptosis-inducing platinum (II) anticancer complex, [Pt(BDI(QQ))]Cl. Metallomics 2014, 6, 437–443. [Google Scholar] [CrossRef]
- Goh, A.M.; Coffill, C.R.; Lane, D.P. The role of mutant p53 in human cancer. J. Pathol. 2011, 223, 116–126. [Google Scholar] [CrossRef]
- Xie, X.; He, G.; Siddik, Z.H. Functional activation of mutant P53 by platinum analogues in Cisplatin-resistant cells is dependent on phosphorylation. Mol. Cancer Res. 2016, 15, 328–339. [Google Scholar] [CrossRef]
- Bykov, V.J.N.; Eriksson, S.E.; Bianchi, J.; Wiman, K.G. Targeting mutant p53 for efficient cancer therapy. Nat. Rev.Cancer 2018, 18, 89–102. [Google Scholar] [CrossRef] [PubMed]
- Mi, Q.; Shu, S.; Yang, C.; Gao, C.; Zhang, X.; Luo, X.; Bao, C.; Zhang, X.; Niu, J. Current status for oral platinum (IV) anticancer drug development. Int. J. Med. Phys. Clin. Eng. Radiat. Oncol. 2018, 7, 231–247. [Google Scholar] [CrossRef][Green Version]
- Kelland, L.R. Overcoming resistance to platinum therapy in patients with advances cancer. Am. J. Cancer 2002, 1, 247–255. [Google Scholar] [CrossRef]
- Dempke, W.; Voigt, W.; Grothey, A.; Hill, B.T.; Schmoll, H.J. Cisplatin resistance and oncogenes—A review. Anti-Cancer Drugs 2000, 11, 225–236. [Google Scholar] [CrossRef] [PubMed]
- Feldman, D.R.; Bosl, G.J.; Sheinfeld, J.; Motzer, R.J. Medical treatment of advanced testicular cancer. JAMA 2008, 299, 672–684. [Google Scholar] [CrossRef]
- Wolff, R.K.; Hoffman, M.D.; Wolff, E.C.; Herrick, J.S.; Sakoda, L.C.; Samowitz, W.S.; Slattery, M.L. Mutation analysis of adenomas and carcinomas of the colon: Early and late drivers. Genes Chromosomes Cancer 2018, 57, 366–376. [Google Scholar] [CrossRef]
- Köberle, B.; Schoch, S. Platinum complexes in colorectal cancer and other solid tumors. Cancers 2021, 13, 2073. [Google Scholar] [CrossRef]
- Amable, L. Cisplatin resistance and opportunities for precision medicine. Pharm. Res. 2016, 106, 27–36. [Google Scholar] [CrossRef]
- Boulikas, T.; Pantos, A.; Bellis, E.; Christofis, P. Designing platinum compounds in cancer: Structures and mechanisms. Cancer Ther. 2007, 5, 537–583. [Google Scholar]
- Johnstone, T.C.; Wilson, J.J.; Lippard, S.J. Monofunctional and higher-valent platinum anticancer agents. Inorg. Chem. 2013, 52, 12234–12249. [Google Scholar] [CrossRef]
- Gibson, D. Platinum (IV) anticancer prodrugs–hypotheses and facts. Dalton. Trans. 2016, 45, 12983–12991. [Google Scholar] [CrossRef] [PubMed]
- Yao, M. Current status and future prospects for Satraplatin, an oral platinum analogue. Clin. Cancer Res. 2008, 14, 1633–1638. [Google Scholar] [CrossRef]
- Gifford, G.; Paul, J.; Vasey, P.A.; Kaye, S.B.; Brown, R. The acquisition of hMLH1 methylation in plasma DNA after chemotherapy predicts poor survival for ovarian cancer patients. Clin. Cancer Res. 2004, 10, 4420–4426. [Google Scholar] [CrossRef]
- Hurley, L.H. DNA and it’s associated processes as targets for cancer therapy. Nat. Rev. Cancer 2002, 2, 188–200. [Google Scholar] [CrossRef] [PubMed]
- Espinosa, E.; Zamora, P.; Feliu, J.; Baron, M.G. Classification of anticancer drugs–a new system based on therapeutic targets. Cancer Treat. Rev. 2003, 29, 515–523. [Google Scholar] [CrossRef]
- Eyck, B.M.; van Lanschot, J.J.B.; Hulshof, M.C.C.M.; van der Wilk, B.J.; Shapiro, J.; van Hagen, P.; van Berge-Henegouwen, M.I.; Wijnhoven, B.P.L.; van Laarhoven, H.W.M.; Nieuwenhuijzen, G.A.P.; et al. Ten-year outcome of neoadjuvant chemoradiotherapy plus surgery for esophageal cancer: The randomized controlled CROSS. Trial. J. Clin. Oncol. 2021, 39, 1995–2004. [Google Scholar] [CrossRef] [PubMed]
- Hitt, R.; López-Pousa, A.; Martínez-Trufero, J.; Escrig, V.; Carles, J.; Rizo, A.; Isla, D.; Vega, M.E.; Martí, J.L.; Lobo, F.; et al. Phase III study comparing Cisplatin plus Fluorouracil to Paclitaxel, Cisplatin, and Fluorouracil induction chemotherapy followed by chemoradiotherapy in locally advanced head and neck cancer. J. Clin. Oncol. 2005, 23, 8636–8645. [Google Scholar] [CrossRef] [PubMed]
- Nair, A.G.; Kaliki, S.; Mishra, D.K.; Reddy, V.A.; Naik, M.N. Neoadjuvant chemotherapy for invasive squamous cell carcinoma of the conjunctiva: A case report. Indian J. Ophthalmol. 2015, 63, 927–929. [Google Scholar] [CrossRef]
- Jin, T.; Qin, W.F.; Jiang, F.; Jin, Q.F.; Wei, Q.C.; Jia, Y.S.; Sun, X.N.; Li, W.F.; Chen, X.Z. Cisplatin and Fluorouracil induction chemotherapy with or without Docetaxel in locoregionally advanced nasopharyngeal carcinoma. Transl. Oncol. 2019, 12, 633–639. [Google Scholar] [CrossRef]
- Celio, L.; Sternberg, C.N.; Labianca, R.; La Torre, I.; Amoroso, V.; Barone, C.; Pinotti, G.; Cascinu, S.; Di Costanzo, F.; Cetto, G.L.; et al. Pemetrexed in combination with Oxaliplatin as a first-line therapy for advanced gastric cancer: A multi-institutional phase II study. Ann. Oncol. 2009, 20, 1062–1067. [Google Scholar] [CrossRef]
- Zapatero, A.; de Vidales, M.C.; Arellano, R.; Ibañez, Y.; Bocardo, G.; Perez, M.; Rabadan, M.; García, V.F.; Cruz, C.J.A.; Olivier, C. Long-term results of two prospective bladder-sparing trimodality approaches for invasive bladder cancer: Neoadjuvant chemotherapy and concurrent radio-chemotherapy. Urology 2012, 80, 1056–1062. [Google Scholar] [CrossRef] [PubMed]
- Klopp, A.H.; Eifel, P.J.; Berek, J.S.; Konstantinopoulos, P.A. Cancer of the cervix, vagina and vulva. In Cancer: Principles and Practice of Oncology, 10th ed.; De Vita, V.T., Lawrence, T.S., Rosenberg, S.A., Eds.; Wolters Kluwer Health/Lippincott Williams & Wilkins: Philadelphia, PA, USA, 2015; Volume 72, pp. 1013–1047. [Google Scholar]
- Ishigami, H.; Fujiwara, Y.; Fukushima, R.; Nashimoto, A.; Yabusaki, H.; Imano, M.; Imamoto, H.; Kodera, Y.; Uenosono, Y.; Amaga, K.; et al. Phase III trial comparing Intraperitoneal and intravenous Paclitaxel plus S-1 versus Cisplatin plus S-1 in patients with gastric cancer with peritoneal metastasis: PHOENIX-GCtrial. J. Clin. Oncol. 2018, 36, 1922–1929. [Google Scholar] [CrossRef] [PubMed]
- Aoki, Y.; Ochiai, K.; Lim, S.; Aoki, D.; Kamiura, S.; Lin, H.; Katsumata, N.; Cha, S.D.; Kim, J.H.; Kim, B.G.; et al. PhaseIIIstudyofCisplatinwithorwithoutS-1 inpatientswithstageIVB, recurrent, orpersistentcervicalcancer. Br. J. Cancer 2018, 119, 530–537. [Google Scholar] [CrossRef] [PubMed]
- Hu, X.C.; Zhang, J.; Xu, B.H.; Cai, L.; Ragaz, J.; Wang, Z.H.; Wang, B.Y.; Teng, Y.E.; Tong, Z.S.; Pan, Y.Y.; et al. Cisplatin plus Gemcitabine versus Paclitaxel plus Gemcitabine as first-line therapy for metastatic triple-negative breast cancer (CBCSG006): A randomised, open-label, multicentre, phase 3 trial. Lancet Oncol. 2015, 16, 436–446. [Google Scholar] [CrossRef]
- Liu, G.F.; Li, G.J.; Zhao, H. Efficacy and toxicity of different chemotherapy regimens in the treatment of advanced or metastatic pancreatic cancer: A network meta-analysis. J. Cell Biochem. 2018, 119, 511–523. [Google Scholar] [CrossRef] [PubMed]
- Kehoe, S.; Hook, J.; Nankivell, M.; Jayson, G.C.; Kitchener, H.; Lopes, T.; Luesley, D.; Perren, T.; Bannoo, S.; Mascarenhas, M.; et al. Primary chemotherapy versus primary surgery for newly diagnosed advanced ovarian cancer (CHORUS): An open-label, randomised, controlled, non-inferiority trial. Lancet 2015, 386, 249–257. [Google Scholar] [CrossRef]
- Dueñas-González, A.; Zarbá, J.J.; Patel, F.; Alcedo, J.C.; Beslija, S.; Casanova, L.; Pattaranutaporn, P.; Hameed, S.; Blair, J.M.; Barraclough, H.; et al. Phase III, open-label, randomized study comparing concurrent Gemcitabine plus Cisplatin and radiation followed by adjuvant Gemcitabine and Cisplatin versus concurrent Cisplatin and radiation in patients with stage IIB to IVA carcinoma of the cervix. J. Clin. Oncol. 2011, 29, 1678–1685. [Google Scholar] [CrossRef]
- Birtle, A.; Johnson, M.; Chester, J.; Jones, R.; Dolling, D.; Bryan, R.T.; Harris, C.; Winterbottom, A.; Blacker, A.; Catto, J.W.F.; et al. Adjuvant chemotherapy in upper tract urothelial carcinoma (thePOUTtrial): A phase 3, open-label, randomised controlled trial. Lancet 2020, 395, 1268–1277. [Google Scholar] [CrossRef]
- Paz-Ares, L.; deMarinis, F.; Dediu, M.; Thomas, M.; Pujol, J.L.; Bidoli, P.; Molinier, O.; Sahoo, T.P.; Laack, E.; Reck, M.; et al. Maintenance therapy with Pemetrexed plus best supportive care versus placebo plus best supportive care after induction therapy with Pemetrexed plus Cisplatin for advanced non-squamous non-small-cell lung cancer (PARAMOUNT): A double-blind, phase 3, randomised controlle dtrial. Lancet Oncol. 2012, 13, 247–255. [Google Scholar] [CrossRef]
- Sehouli, J.; Chekerov, R.; Reinthaller, A.; Richter, R.; Gonzalez-Martin, A.; Harter, P.; Woopen, H.; Petru, E.; Hanker, L.C.; Keil, E.; et al. Topotecan plus Carboplatin versus standard therapy with Paclitaxel plus Carboplatin (PC) or Gemcitabine plus Carboplatin (GC) or pegylated liposomal Doxorubicin plus Carboplatin (PLDC): A randomized phase III trial of the NOGGO-AGO-Study Group-AGO Austria and GEICO-ENGOT-GCIG intergroup study (HECTOR). Gynecol. Tumors 2016, 27, 2236–2241. [Google Scholar] [CrossRef]
- Souglakos, J.; Boukovinas, I.; Kakolyris, S.; Xynogalos, S.; Ziras, N.; Athanasiadis, A.; Androulakis, N.; Christopoulou, A.; Vaslamatzis, M.; Ardavanis, A.; et al. Three versus six months adjuvant FOLFOX or CAPOX for high risk stage II and stage III colon cancer patients: The efficacy results of Hellenic Oncology Research Group (HORG) participation to the InternationalDuration Evaluation of Adjuvant chemotherapy (IDEA) project. Ann. Oncol. 2019, 30, 1304–1310. [Google Scholar] [CrossRef]
- Snoeren, N.; vanHillegersberg, R.; Schouten, S.B.; Bergman, A.M.; vanWerkhoven, E.; Dalesio, O.; Tollenaar, R.A.; Verheul, H.M.; vanderSijp, J.; Borel, R.I.H.; et al. Randomized phase III study to assess efficacy and safety of adjuvant CAPOX with or without Bevacizumab in patients after resection of colorectal liver metastases: HEPATICA study. Neoplasia 2017, 19, 93–99. [Google Scholar] [CrossRef] [PubMed]
- Iveson, T.J.; Kerr, R.S.; Saunders, M.P.; Cassidy, J.; Hollander, N.H.; Tabernero, J.; Haydon, A.; Glimelius, B.; Harkin, A.; Allan, K.; et al. 3 versus 6 months of adjuvant Oxaliplatin-fluoropyrimidine combination therapy for colorectal cancer (SCOT): An international, randomised, phase 3, non-inferiority trial. Lancet Oncol. 2018, 19, 562–578. [Google Scholar] [CrossRef]
- Ducreux, M.; Mitry, E.; Ould-Kaci, M.; Boige, V.; Seitz, J.F.; Bugat, R.; Breau, J.L.; Bouché, O.; Etienne, P.L.; Tigaud, J.M.; et al. Randomized phase II study evaluating Oxaliplatin alone, Oxaliplatin combined with infusional 5-FU, and infusional 5-FU alone in advanced pancreatic carcinoma patients. Ann. Oncol. 2004, 15, 467–473. [Google Scholar] [CrossRef] [PubMed]
- Droz, J.P.; Muracciole, X.; Mottet, N.; Ould, K.M.; Vannetzel, J.M.; Albin, N.; Culine, S.; Rodier, J.M.; Misset, J.L.; Mackenzie, S.; et al. Phase II study of Oxaliplatin versus Oxaliplatin combined with infusional 5-Fluorouracil in hormone refractory metastatic prostate cancer patients. Ann. Oncol. 2003, 14, 1291–1298. [Google Scholar] [CrossRef] [PubMed]
- Sunami, E.; Kusumoto, T.; Ota, M.; Sakamoto, Y.; Yoshida, K.; Tomita, N.; Maeda, A.; Teshima, J.; Okabe, M.; Tanaka, C.; et al. S-1 and Oxaliplatin versus Tegafur-uracil and Leucovorin as postoperative adjuvant chemotherapy in patients with high-risk stage III colon cancer (ACTS-CC 02): A randomized, open-label, multicenter, phase 3, superiority trial. Clin. Colorectal Cancer 2020, 19, 22–31.e6. [Google Scholar] [CrossRef]
- Lee, J.L.; Ahn, J.H.; Choi, M.K.; Kim, Y.; Hong, S.W.; Lee, K.H.; Jeong, I.G.; Song, C.; Hong, B.S.; Hong, J.H.; et al. Gemcitabine–Oxaliplatin plus Prednisolone is active in patients with castration-resistant prostate cancer for whom Docetaxel-based chemotherapy failed. Br. J. Cancer 2014, 110, 2472–2478. [Google Scholar] [CrossRef]
- De Giorgi, U.; Rosti, G.; Aieta, M.; Testore, F.; Burattini, L.; Fornarini, G.; Naglieri, E.; Lo-Re, G.; Zumaglini, F.; Marangolo, M. Phase II study of Oxaliplatin and Gemcitabine salvage chemotherapy in patients with Cisplatin-refractory nonseminomatous germ cell tumor. Eur. Urol. 2006, 50, 1032–1038. [Google Scholar] [CrossRef]
- Gilbert, J.; Murphy, B.; Dietrich, M.S.; Henry, E.; Jordan, R.; Counsell, A.; Wirth, P.; Yarbrough, W.G.; Slebos, R.J.; Chung, C.H. Phase 2 trial of Oxaliplatin and Pemetrexed as an induction regimen in locally advanced head and neck cancer. Cancer 2012, 118, 1007–1013. [Google Scholar] [CrossRef]
- Alberts, S.R.; Kim, G.P.; Mahoney, M.R.; Gornet, M.K.; Rubin, J.; Ames, M.; Goetz, M.P.; Weinshilboum, R.M.; Nicol, S.J.; Goldberg, R.M. Pemetrexed and Oxaliplatin for metastatic colorectal cancer: Results of a phase I Mayo Cancer Center Research Consortium trial, MC0248. Clin. Colorectal Cancer 2007, 6, 572–577. [Google Scholar] [CrossRef]
- Dorff, T.B.; Tsao-Wei, D.D.; Groshen, S.; Boswell, W.; Goldkorn, A.; Xiong, S.; Quinn, D.I.; Pinski, J.K. Efficacy of Oxaliplatin plus Pemetrexed in chemotherapy pretreated metastatic castration-resistant prostate cancer. Clin. Genitourin. Cancer 2013, 11, 416–422. [Google Scholar] [CrossRef] [PubMed]
- Peng, P.J.; Ou, X.Q.; Chen, Z.B.; Liao, H.; Peng, Y.L.; Wang, S.Y.; Zhang, H.Y.; Lin, Z. Multicenter phase II study of Capecitabine combined with Nedaplatin for recurrent and metastatic nasopharyngeal carcinoma patients after failure of Cisplatin-based chemotherapy. Cancer Chemother. Pharmacol. 2013, 72, 323–328. [Google Scholar] [CrossRef] [PubMed]
- Walko, C.M.; Lindley, C. Capecitabine: A review. Clin. Ther. 2005, 27, 23–44. [Google Scholar] [CrossRef] [PubMed]
- Longley, D.B.; Harkin, D.P.; Johnston, P.G. 5-Fluorouracil: Mechanisms of action and clinical strategies. Nat. Rev. Cancer 2003, 3, 330–338. [Google Scholar] [CrossRef] [PubMed]
- Hazarika, M.; White, R.M.; Johnson, J.R.; Pazdur, R. FDA drug approval summaries: Pemetrexed (Alimta). Oncologist 2004, 9, 482–488. [Google Scholar] [CrossRef]
- Oh, I.J.; Kim, K.S.; Park, C.K.; Kim, Y.C.; Lee, K.H.; Jeong, J.H.; Kim, S.Y.; Lee, J.E.; Shin, K.C.; Jang, T.W.; et al. Belotecan/Cisplatin versus Etoposide/Cisplatin in previously untreated patients with extensive-stage small cell lung carcinoma: A multi-center randomized phase III trial. BMC Cancer 2016, 16, 690. [Google Scholar] [CrossRef][Green Version]
- Theodore, C.; Skoneczna, I.; Bodrogi, I.; Leahy, M.; Kerst, J.M.; Collette, L.; Ven, K.; Marréaud, S.; Oliver, R.D.T.; EORTC Genito-Urinary Tract Cancer Group. A phase II multicentre study of Irinotecan (CPT 11) in combination with Cisplatin (CDDP) in metastatic or locally advanced penile carcinoma (EORTC PROTOCOL 30992). Ann. Oncol. 2008, 19, 1304–1307. [Google Scholar] [CrossRef]
- Dong, J.; Li, B.; Lin, D.; Zhou, Q.; Huang, D. Advances in targeted therapy and immunotherapy for non–small cell lung cancer based on accurate molecular typing. Front. Pharmacol. 2019, 10, 230. [Google Scholar] [CrossRef]
- Ito, K.; Kobayashi, M.; Komiyama, M.; Naito, S.; Nishimura, K.; Yonese, J.; Hashine, K.; Saito, S.; Arai, G.; Shinohara, M.; et al. Oncological outcomes for patients with locally advanced prostate cancer treated with neoadjuvant endocrine and external-beam radiation therapy followed by adjuvant continuous/intermittent endocrine therapy in an open-label, randomized, phase 3 trial. Cancer 2020, 126, 3961–3971. [Google Scholar] [CrossRef]
- Bosl, G.J.; Geller, N.L.; Bajorin, D.; Leitner, S.P.; Yagoda, A.; Golbey, R.B.; Scher, H.; Vogelzang, N.J.; Auman, J.; Carey, R.; et al. A randomized trial of Etoposide + Cisplatin versus Vinblastine + Bleomycin + Cisplatin + Cyclophosphamide + Dactinomycin in patients with good-prognosis germ cell tumors. J. Clin. Oncol. 1988, 6, 1231–1238. [Google Scholar] [CrossRef]
- de Boer, S.M.; Powell, M.E.; Mileshkin, L.; Katsaros, D.; Bessette, P.; Haie-Meder, C.; Ottevanger, P.B.; Ledermann, J.A.; Khaw, P.; Colombo, A.; et al. Adjuvant chemoradiotherapy versus radiotherapy alone for women with high-risk endometrial cancer (PORTEC-3): Final results of an international, open-label, multicentre, randomised, phase 3 trial. Lancet Oncol. 2018, 19, 295–309. [Google Scholar] [CrossRef]
- Lorch, A.; Kleinhans, A.; Kramar, A.; Kollmannsberger, C.K.; Hartmann, J.T.; Bokemeyer, C.; Rick, O.; Beyer, J. Sequential versus single high-dose chemotherapy in patients with relapsed or refractory germ cell tumors: Long-term results of a prospective randomized trial. J. Clin. Oncol. 2012, 30, 800–805. [Google Scholar] [CrossRef] [PubMed]
- Compostella, A.; Affinita, M.C.; Casanova, M.; Milano, J.M.; Scagnellato, A.; Dall’Igna, P.; Chiaravalli, S.; Pierobon, M.; Manzitti, C.; Zanetti, I.; et al. Topotecan/Carboplatin regimen for refractory/recurrent rhabdomyosarcoma in children: Report from the AIEOP Soft Tissue Sarcoma Committee. Tumori J. 2019, 105, 138–143. [Google Scholar] [CrossRef] [PubMed]
- Zhaowei, Z.; Tianzi, F.; Jianxia, L. Study of the efficacy and safty of Irinotecan combined with Nedaplatin versus Topotecan combined with Nedaplatin in treatment of small lung cancer. Chin. J. Clin. Pharmacol. Ther. 2017, 22, 943–947. [Google Scholar]
- Pommier, Y.; Leo, E.; Zhang, H.; Marchand, C. DNA topoisomerases and their poisoning by anticancer and antibacterial drugs. Chem. Biol. 2010, 17, 421–433. [Google Scholar] [CrossRef]
- Raymond, E.; Faivre, S.; Armand, J.P. Epidermal growth factor receptor tyrosine kinase as a target for anticancer therapy. Drugs 2000, 60 (Suppl. S1), 15–23. [Google Scholar] [CrossRef]
- Bailly, C. Irinotecan: 25 years of cancer treatment. Pharmacol. Res. 2019, 148, 104398. [Google Scholar] [CrossRef]
- Fan, Y.; Xu, B.H.; Yuan, P.; Ma, F.; Wang, J.Y.; Ding, X.Y.; Zhang, P.; Li, Q.; Cai, R.G. Docetaxel-Cisplatin might be superior to Docetaxel-Capecitabine in the first-line treatment of metastatic triple-negative breast cancer. Ann. Oncol. 2013, 24, 1219–1225. [Google Scholar] [CrossRef]
- Li, M.; Fan, Y.; Li, Q.; Zhang, P.; Yuan, P.; Ma, F.; Wang, J.; Luo, Y.; Cai, R.; Chen, S.; et al. Vinorelbine plus platinum in patients with metastatic triple negative breast cancer and prior anthracycline and taxane treatment. Medicine 2015, 94, e1928. [Google Scholar] [CrossRef]
- Sharma, P.; López-Tarruella, S.; García-Saenz, J.A.; Ward, C.; Connor, C.S.; Gómez, H.L.; Prat, A.; Moreno, F.; Jerez-Gilarranz, Y.; Barnadas, A.; et al. Efficacy of neoadjuvant Carboplatin plus Docetaxel in triple-negative breast cancer: Combined analysis of two cohorts. Clin. Cancer Res. 2017, 23, 649–657. [Google Scholar] [CrossRef]
- Yu, K.D.; Ye, F.G.; He, M.; Fan, L.; Ma, D.; Mo, M.; Wu, J.; Liu, G.Y.; Di, G.H.; Zeng, X.H.; et al. Effect of adjuvant Paclitaxel and Carboplatin on survival in women with triple-negative breast cancer: A phase 3 randomized clinical trial. JAMA Oncol. 2020, 6, 1390–1396. [Google Scholar] [CrossRef] [PubMed]
- Kentepozidis, N.; Soultati, A.; Giassas, S.; Vardakis, N.; Kalykaki, A.; Kotsakis, A.; Papadimitraki, E.; Pantazopoulos, N.; Bozionellou, V.; Georgoulias, V.; et al. Paclitaxel in combination with Carboplatin as salvage treatment in patients with castration-resistant prostate cancer: A Hellenic Oncology Research Group multicenter phase II study. Cancer Chemother. Pharmacol. 2012, 70, 161–168. [Google Scholar] [CrossRef] [PubMed]
- Gluz, O.; Nitz, U.; Liedtke, C.; Christgen, M.; Grischke, E.M.; Forstbauer, H.; Braun, M.; Warm, M.; Hackmann, J.; Uleer, C.; et al. Comparison of neoadjuvant Nab-Paclitaxel + Carboplatin vs Nab-Paclitaxel + Gemcitabine in triple-negative breast cancer: Randomized WSG-ADAPT-TN trial results. J. Natl. Cancer Inst. 2018, 110, 628–637. [Google Scholar] [CrossRef]
- Corn, P.G.; Heath, E.I.; Zurita, A.; Ramesh, N.; Xiao, L.; Sei, E.; Li-Ning-Tapia, E.; Tu, S.M.; Subudhi, S.K.; Wang, J.; et al. Cabazitaxel plus Carboplatin for the treatment of men with metastatic castration-resistant prostate cancers: A randomised, open-label, phase 1-2 trial. Lancet Oncol. 2019, 20, 1432–1443. [Google Scholar] [CrossRef]
- Rayan, A.; Fattah, O.N.A.; Soliman, A.; Hasan, H.A.; Zahran, A.M. Efficacy of Docetaxel and Oxaliplatin regimen as a second-line therapy for patients with advanced pancreatic adenocarcinoma. J. Gastrointest. Cancer 2019, 50, 519–524. [Google Scholar] [CrossRef] [PubMed]
- Winegarden, J.D.; Mauer, A.M.; Otterson, G.A.; Rudin, C.M.; Villalona-Calero, M.A.; Lanzotti, V.J.; Szeto, L.; Kasza, K.; Hoffman, P.C.; Vokes, E.E. A phase II study of Oxaliplatin and Paclitaxel in patients with advanced non-small-cell lung cancer. Ann. Oncol. 2004, 15, 915–920. [Google Scholar] [CrossRef] [PubMed]
- Viens, P.; Bougnoux, P.; Rixe, O.; Petit, T.; Laadem, A.; Cottu, P.; Delva, R.; Burki, F.; Goupil, A.; Extra, J.M. A phase II trial of a Paclitaxel and Oxaliplatin combination in advanced ovarian cancer patients pretreated with Cisplatin or Carboplatin ± taxanes: Preliminary results. Eur. J. Cancer 2001, 37 (Suppl. S6), S323. [Google Scholar] [CrossRef]
- Zhang, J.; Wang, L.; Wang, Z.; Hu, X.; Wang, B.; Cao, J.; Lv, F.; Zhen, C.; Zhang, S.; Shao, Z. A phase II trial of biweekly Vinorelbine and Oxaliplatin in second- or third-line metastatic triple-negative breast cancer. Cancer Biol. Ther. 2015, 16, 225–232. [Google Scholar] [CrossRef]
- Lu, J.; Ying, H.C.; Xue, W. Clinical observation of Nedaplatin combined with Vinorelbine in the treatment of advanced non-small cell lung cancer. China Med. Herald 2009, 7, 50–51. [Google Scholar]
- Shipley, D.; Spigel, D.R.; Cavanaugh, C.; Moore, Y.; Hainsworth, J.D.; Jones, S.; Burris, H.A.; Sade, L.; Yardley, D.A.; Greco, F. Phase II trial of Satraplatin and Paclitaxel in the first-line treatment of advanced non-small cell lung cancer. J. Clin. Oncol. 2007, 25 (Suppl. S18), 18073. [Google Scholar] [CrossRef]
- Jordan, M.A.; Wilson, L. Microtubules as a target for anticancer drugs. Nat. Rev. Cancer 2004, 4, 253–265. [Google Scholar] [CrossRef] [PubMed]
- Gelman, J.S.; Sironi, J.; Berezniuk, I.; Dasgupta, S.; Castro, L.M.; Gozzo, F.C.; Ferro, E.S.; Fricker, L.D. Alterations of the intracellular peptidome in response to the proteasome inhibitor Bortezomib. PLoS ONE 2013, 8, e53263. [Google Scholar] [CrossRef] [PubMed]
- Bray, F.; Ferlay, J.; Soerjomataram, I.; Siegel, R.L.; Torre, L.A.; Jemal, A. Global cancer statistics 2018: GLOBOCAN estimates of incidence and mortality worldwide for 36 cancers in 185 countries. CA Cancer J. Clin. 2018, 68, 394–424. [Google Scholar] [CrossRef]
- Barta, J.A.; Powell, C.A.; Wisnivesky, J.P. Global epidemiology of lung vancer. Ann. Glob. Health 2019, 85, 8. [Google Scholar] [CrossRef] [PubMed]
- Booton, R.; Lorigan, P.; Anderson, H.; Baka, S.; Ashcroft, L.; Nicolson, M.; O’Brien, M.; Dunlop, D.; O’Byrne, K.; Laurence, V.; et al. A phase III trial of Docetaxel/Carboplatin versus Mitomycin C/Ifosfamide/Cisplatin (MIC) or Mitomycin C/Vinblastine/Cisplatin (MVP) in patients with advanced non-small-cell lung cancer: A randomised multicentre trial of the British Thoracic Oncology Group (BTOG1). Ann. Oncol. 2006, 17, 1111–1119. [Google Scholar] [CrossRef] [PubMed]
- Herbst, R.S.; Redman, M.W.; Kim, E.S.; Semrad, T.J.; Bazhenova, L.; Masters, G.; Oettel, K.; Guaglianone, P.; Reynolds, C.; Karnad, A.; et al. Cetuximab plus Carboplatin and Paclitaxel with or without Bevacizumab versus Carboplatin and Paclitaxel with or without Bevacizumab in advanced NSCLC (SWOG S0819): A randomised, phase 3 study. Lancet Oncol. 2018, 19, 101–114. [Google Scholar] [CrossRef]
- Kosmidis, P.; Mylonakis, N.; Fountzilas, G.; Pavlidis, N.; Samantas, E.; Karabelis, A.; Kattis, K.; Skarlos, D. A prospective randomized phase III study in non-small-cell lung cancer comparing Cisplatin, Ifosfamide, Vinblastine (VIP) versus Cisplatin, Ifosfamide and Etoposide (VIP-16). Hellenic Co-Operative Oncology Group. Ann. Oncol. 1996, 7, 517–520. [Google Scholar] [CrossRef]
- Comella, P.; Filippelli, G.; De Cataldis, G.; Massidda, B.; Frasci, G.; Maiorino, L.; Putzu, C.; Mancarella, S.; Palmeri, S.; Cioffi, R.; et al. Efficacy of the combination of Cisplatin with either Gemcitabine and Vinorelbine or Gemcitabine and Paclitaxel in the treatment of locally advanced or metastatic non-small-cell lung cancer: A phase III randomised trial of the Southern Italy Cooperative Oncology Group (SICOG 0101). Ann. Oncol. 2007, 18, 324–330. [Google Scholar] [CrossRef]
- Wu, Y.L.; Lee, J.S.; Thongprasert, S.; Yu, C.J.; Zhang, L.; Ladrera, G.; Srimuninnimit, V.; Sriuranpong, V.; Sandoval-Tan, J.; Zhu, Y.; et al. Intercalated combination of chemotherapy and Erlotinib for patients with advanced stage non-small-cell lung cancer (FASTACT-2): A randomised, double-blind trial. Lancet Oncol. 2013, 14, 777–786. [Google Scholar] [CrossRef]
- Bradley, J.D.; Hu, C.; Komaki, R.R.; Masters, G.A.; Blumenschein, G.R.; Schild, S.E.; Bogart, J.A.; Forster, K.M.; Magliocco, A.M.; Kavadi, V.S.; et al. Long-term results of NRG oncology RTOG 0617: Standard-versus high-dose chemoradiotherapy with or without Cetuximab for unresectable stage III non-small-cell lung cancer. J. Clin. Oncol. 2020, 38, 706–714. [Google Scholar] [CrossRef]
- Barlesi, F.; Scherpereel, A.; Rittmeyer, A.; Pazzola, A.; Ferrer-Tur, N.; Kim, J.H.; Ahn, M.J.; Aerts, J.G.J.V.; Gorbunova, V.; Vikström, A.; et al. Randomized phase III trial of maintenance Bevacizumab with or without Pemetrexed after first-line induction with Bevacizumab, Cisplatin, and Pemetrexed in advanced nonsquamous non-small-cell lung cancer: AVAPERL (MO22089). J. Clin. Oncol. 2013, 31, 3004–3011. [Google Scholar] [CrossRef] [PubMed]
- Wakelee, H.A.; Dahlberg, S.E.; Keller, S.M.; Tester, W.J.; Gandara, D.R.; Graziano, S.L.; Adjei, A.A.; Leighl, N.B.; Aisner, S.C.; Rothman, J.M.; et al. Adjuvant chemotherapy with or without Bevacizumab in patients with resected non-small-cell lung cancer (E1505): An open-label, multicentre, randomised, phase 3 trial. Lancet Oncol. 2017, 18, 1610–1623. [Google Scholar] [CrossRef]
- Paz-Ares, L.; Ciuleanu, T.E.; Cobo, M.; Schenker, M.; Zurawski, B.; Menezes, J.; Richardet, E.; Bennouna, J.; Felip, E.; Juan-Vidal, O.; et al. First-line Nivolumab plus Ipilimumab combined with two cycles of chemotherapy in patients with non-small-cell lung cancer (CheckMate 9LA): An international, randomised, open-label, phase 3 trial. Lancet Oncol. 2021, 22, 198–211. [Google Scholar] [CrossRef]
- Reck, M.; Ciuleanu, T.E.; Cobo, M.; Schenker, M.; Zurawski, B.; Menezes, J.; Richardet, E.; Bennouna, J.; Felip, E.; Juan-Vidal, O.; et al. First-line Nivolumab plus Ipilimumab with two cycles of chemotherapy versus chemotherapy alone (four cycles) in advanced non-small-cell lung cancer: CheckMate 9LA 2-year update. ESMO Open 2021, 6, 100273. [Google Scholar] [CrossRef] [PubMed]
- Rothschild, S.I.; Zippelius, A.; Eboulet, E.I.; Savic, P.S.; Betticher, D.; Bettini, A.; Früh, M.; Joerger, M.; Lardinois, D.; Gelpke, H.; et al. SAKK 16/14: Durvalumab in addition to neoadjuvant chemotherapy in patients with stage IIIA(N2) non-small-cell lungcancer-a multicenter single-arm phase II trial. J. Clin. Oncol. 2021, 39, 2872–2880. [Google Scholar] [CrossRef]
- Paccagnella, A.; Oniga, F.; Bearz, A.; Favaretto, A.; Clerici, M.; Barbieri, F.; Riccardi, A.; Chella, A.; Tirelli, U.; Ceresoli, G.; et al. Adding Gemcitabine to Paclitaxel/Carboplatin combination increases survival in advanced non-small-cell lung cancer: Results of a phase II–III study. J. Clin. Oncol. 2006, 24, 681–687. [Google Scholar] [CrossRef]
- Soria, J.C.; Tan, D.S.; Chiari, R.; Wu, Y.L.; Paz-Ares, L.; Wolf, J.; Geater, S.L.; Orlov, S.; Cortinovis, D.; Yu, C.J.; et al. First-line Ceritinib versus platinum-based chemotherapy in advanced ALK-rearranged non-small-cell lung cancer (ASCEND-4): A randomised, open-label, phase 3 study. Lancet 2017, 389, 917–929. [Google Scholar] [CrossRef]
- Rodríguez-Abreu, D.; Powell, S.F.; Hochmair, M.J.; Gadgeel, S.; Esteban, E.; Felip, E.; Speranza, G.; De Angelis, F.; Dómine, M.; Cheng, S.Y.; et al. Pemetrexed plus platinum with or without Pembrolizumab in patients with previously untreated metastatic non-squamous NSCLC: Protocol-specified final analysis from KEYNOTE-189. Ann. Oncol. 2021, 32, 881–895. [Google Scholar] [CrossRef]
- Ramalingam, S.S.; Blais, N.; Mazieres, J.; Reck, M.; Jones, C.M.; Juhasz, E.; Urban, L.; Orlov, S.; Barlesi, F.; Kio, E.; et al. Randomized, placebo-controlled, phase II study of Veliparib in combination with Carboplatin and Paclitaxel for advanced/metastatic non-small cell lung cancer. Clin. Cancer Res. 2017, 23, 1937–1944. [Google Scholar] [CrossRef]
- Yang, Y.; Wang, Z.; Fang, J.; Yu, Q.; Han, B.; Cang, S.; Chen, G.; Mei, X.; Yang, Z.; Ma, R.; et al. Efficacy and safety of Sintilimab plus Pemetrexed and platinum as first-line treatment for locally advanced or metastatic non-squamous NSCLC: A randomized, double-blind, phase 3 study (Oncology pRogram by InnovENT anti-PD-1-11). J. Thorac. Oncol. 2020, 15, 1636–1646. [Google Scholar] [CrossRef]
- Zhou, C.; Chen, G.; Huang, Y.; Zhou, J.; Lin, L.; Feng, J.; Wang, Z.; Shu, Y.; Shi, J.; Hu, Y.; et al. Camrelizumab plus Carboplatin and Pemetrexed versus chemotherapy alone in chemotherapy-naive patients with advanced non-squamous non-small-cell lung cancer (CameL): A randomised, open-label, multicentre, phase 3 trial. Lancet Respir. Med. 2021, 9, 305–314. [Google Scholar] [CrossRef]
- Sugawara, S.; Lee, J.S.; Kang, J.H.; Kim, H.R.; Inui, N.; Hida, T.; Lee, K.H.; Yoshida, T.; Tanaka, H.; Yang, C.T.; et al. Nivolumab with Carboplatin, Paclitaxel, and Bevacizumab for first-line treatment of advanced non-squamous non-small-cell lung cancer. Ann. Oncol. 2021, 32, 1137–1147. [Google Scholar] [CrossRef] [PubMed]
- Kubota, K.; Yoshioka, H.; Oshita, F.; Hida, T.; Yoh, K.; Hayashi, H.; Kato, T.; Kaneda, H.; Yamada, K.; Tanaka, H.; et al. Phase III, randomized, placebo-controlled, double-blind trial of Motesanib (AMG-706) in combination with Paclitaxel and Carboplatin in East Asian patients with advanced non-squamous non-small-cell lung cancer. J. Clin. Oncol. 2017, 35, 3662–3670. [Google Scholar] [CrossRef] [PubMed]
- Nishio, M.; Barlesi, F.; West, H.; Ball, S.; Bordoni, R.; Cobo, M.; Longeras, P.D.; Goldschmidt, J.; Novello, S.; Orlandi, F.; et al. Atezolizumab plus chemotherapy for first-line treatment of non-squamous NSCLC: Results from the randomized phase 3 IMpower132 trial. J. Thorac. Oncol. 2021, 16, 653–664. [Google Scholar] [CrossRef] [PubMed]
- Lu, S.; Wang, J.; Yu, Y.; Yu, X.; Hu, Y.; Ai, X.; Ma, Z.; Li, X.; Zhuang, W.; Liu, Y.; et al. Tislelizumab plus chemotherapy as first-line treatment for locally advanced or metastatic non-squamous NSCLC (RATIONALE 304): A randomized phase 3 trial. J. Thorac. Oncol. 2021, 16, 1512–1522. [Google Scholar] [CrossRef]
- Jotte, R.; Cappuzzo, F.; Vynnychenko, I.; Stroyakovskiy, D.; Rodríguez-Abreu, D.; Hussein, M.; Soo, R.; Conter, H.J.; Kozuki, T.; Huang, K.C.; et al. Atezolizumab in combination with Carboplatin and Nab-Paclitaxel in advanced squamous NSCLC (IMpower131): Results from a randomized phase III trial. J. Thorac. Oncol. 2020, 15, 1351–1360. [Google Scholar] [CrossRef]
- Govindan, R.; Szczesna, A.; Ahn, M.J.; Schneider, C.P.; Gonzalez, M.P.F.; Barlesi, F.; Han, B.; Ganea, D.E.; von Pawel, J.; Vladimirov, V.; et al. Phase III trial of Ipilimumab combined with Paclitaxel and Carboplatin in advanced squamous non-small-cell lung cancer. J. Clin. Oncol. 2017, 35, 3449–3457. [Google Scholar] [CrossRef]
- Paz-Ares, L.; Luft, A.; Vicente, D.; Tafreshi, A.; Gümüş, M.; Mazières, J.; Hermes, B.; Çay-Şenler, F.; Csőszi, T.; Fülöp, A.; et al. Pembrolizumab plus chemothe-rapy for squamous non-small-cell lung cancer. N. Engl. J. Med. 2018, 379, 2040–2051. [Google Scholar] [CrossRef]
- Wang, J.; Lu, S.; Yu, X.; Hu, Y.; Sun, Y.; Wang, Z.; Zhao, J.; Yu, Y.; Hu, C.; Yang, K.; et al. Tislelizumab plus chemotherapy vs chemotherapy alone as first-line treatment for advanced squamous non-small-cell lung cancer: A phase 3 randomized clinical trial. JAMA Oncol. 2021, 7, 709–717. [Google Scholar] [CrossRef]
- Ramalingam, S.S.; Novello, S.; Guclu, S.Z.; Bentsion, D.; Zvirbule, Z.; Szilasi, M.; Bernabe, R.; Syrigos, K.; Byers, L.A.; Clingan, P.; et al. Veliparib in combination with platinum-based chemotherapy for first-line treatment of advanced squamous cell lung cancer: A randomized, multicenter phase III study. J. Clin Oncol. 2021, 39, 3633–3644. [Google Scholar] [CrossRef]
- Spigel, D.R.; Townley, P.M.; Waterhouse, D.M.; Fang, L.; Adiguzel, I.; Huang, J.E.; Karlin, D.A.; Faoro, L.; Scappaticci, F.A.; Socinski, M.A. Randomized phase II study of Bevacizumab in combination with chemotherapy in previously untreated extensive-stage small-cell lung cancer: Results from the SALUTE trial. J. Clin. Oncol. 2011, 29, 2215–2222. [Google Scholar] [CrossRef] [PubMed]
- Liu, S.V.; Reck, M.; Mansfield, A.S.; Mok, T.; Scherpereel, A.; Reinmuth, N.; Garassino, M.C.; De Castro, C.J.; Califano, R.; Nishio, M.; et al. Updated overall survival and PD-L1 subgroup analysis of patients with extensive-stage small-cell lung cancer treated with Atezolizumab, Carboplatin, and Etoposide (IMpower133). J. Clin. Oncol. 2021, 39, 619–630. [Google Scholar] [CrossRef] [PubMed]
- Reck, M.; Bondarenko, I.; Luft, A.; Serwatowski, P.; Barlesi, F.; Chacko, R.; Sebastian, M.; Lu, H.; Cuillerot, J.M.; Lynch, T.J. Ipilimumab in combination with paclitaxel and Carboplatin as first-line therapy in extensive-disease-small-cell lung cancer: Results from a randomized, double-blind, multicenter phase 2 trial. Ann. Oncol. 2013, 24, 75–83. [Google Scholar] [CrossRef] [PubMed]
- Arnold, M.; Ferlay, J.; van Berge-Henegouwen, M.I.; Soerjomataram, I. Global burden of oesophageal and gastric cancer by histology and subsite in 2018. Gut 2020, 69, 1564–1571. [Google Scholar] [CrossRef] [PubMed]
- Sun, J.M.; Shen, L.; Shah, M.A.; Enzinger, P.; Adenis, A.; Doi, T.; Kojima, T.; Metges, J.P.; Li, Z.; Kim, S.B.; et al. Pembrolizumab plus chemotherapy versus chemotherapy alone for first-line treatment of advanced oesophageal cancer (KEYNOTE-590): A randomised, placebo-controlled, phase 3 study. Lancet 2021, 398, 759–771. [Google Scholar] [CrossRef]
- Rao, S.; Starling, N.; Cunningham, D.; Sumpter, K.; Gilligan, D.; Ruhstaller, T.; Valladares-Ayerbes, M.; Wilke, H.; Archer, C.; Kurek, R.; et al. Matuzumab plus Epirubicin, Cisplatin and Capecitabine (ECX) compared with Epirubicin, Cisplatin and Capecitabine alone as first-line treatment in patients with advanced oesophago-gastric cancer: A randomised, multicentre open-label phase II study. Ann. Oncol. 2010, 21, 2213–2219. [Google Scholar] [CrossRef] [PubMed]
- Bang, Y.J.; VanCustem, E.; Fevereislova, A.; Chung, H.C.; Shen, L.; Sawaki, A.; Lordick, F.; Ohtsu, A.; Omuro, Y.; Satoh, T.; et al. Trastuzumabincombinationwithchemotherapyversuschemotherapyaloneforthetreatment of HER2 positive advanced gastric or gastro-oesophageal junction cancer (TOGA): A phase 3, open label, randomised, controlled clinical trial. Lancet 2010, 376, 687–697. [Google Scholar] [CrossRef]
- Yun, J.; Lee, J.; Park, S.H.; Park, J.O.; Park, Y.S.; Lim, H.Y.; Kang, W.K. A randomised phase II study of combination chemotherapy with epirubicin, cisplatin and capecitabine (ECX) or cisplatin and capecitabine (CX) in advanced gastric cancer. Eur. J. Cancer 2010, 46, 885–891. [Google Scholar] [CrossRef]
- Ahn, M.J.; Oh, H.S.; Choi, J.H.; Lee, Y.Y.; Kim, I.S.; Choi, I.Y.; Lee, O.Y.; Choi, H.S.; Kwon, S.J. Combination chemotherapy of Heptaplatin, Paclitaxel and 5-Fluorouracil in patients with advanced gastric cancer: A pilot study. Cancer Res. Treat. 2004, 36, 182. [Google Scholar] [CrossRef][Green Version]
- Saito, S.; Yamaguchi, H.; Ohzawa, H.; Miyato, H.; Kanamaru, R.; Kurashina, K.; Hosoya, Y.; Lefor, A.K.; Sata, N.; Kitayama, J. Intraperitoneal administration of Paclitaxel combined with S-1 plus Oxaliplatin as induction therapy for patients with advanced gastric cancer with peritoneal metastases. Ann. Surg. Oncol. 2020, 28, 3863–3870. [Google Scholar] [CrossRef]
- Shi, M.; Yang, Z.; Lu, S.; Liu, W.; Ni, Z.; Yao, X.; Hua, Z.; Feng, R.; Zheng, Y.; Wang, Z.; et al. Oxaliplatin plus S-1 with intraperitoneal Paclitaxel for the treatment of Chinese advanced gastric cancer with peritoneal metastases. BMC Cancer 2021, 21, 1344. [Google Scholar] [CrossRef] [PubMed]
- Grothey, A.; Sobrero, A.F.; Shields, A.F.; Yoshino, T.; Paul, J.; Taieb, J.; Souglakos, J.; Shi, Q.; Kerr, R.; Labianca, R.; et al. Duration of adjuvant chemotherapy for stage III colon cancer. N. Engl. J. Med. 2018, 378, 1177–1188. [Google Scholar] [CrossRef] [PubMed]
- Sawicki, T.; Ruszkowska, M.; Danielewicz, A.; Niedźwiedzka, E.; Arłukowicz, T.; Katarzyna, E.; Przybyłowicz, A. Review of colorectal cancer in terms of epidemiology, risk factors, development, symptoms and diagnosis. Cancers 2021, 13, 2025. [Google Scholar] [CrossRef] [PubMed]
- Blick, S.K.A.; Scott, L.J. Cetuximab: A review of it’s use in squamous cell carcinoma of the head and neck and metastatic colorectal cancer. Drugs 2007, 67, 2585–2607. [Google Scholar] [CrossRef]
- Baba, H.; Yamada, Y.; Takahari, D.; Matsumoto, H.; Yoshida, K.; Nakamura, M.; Yoshida, M.; Iwamoto, S.; Shimada, K.; Komatsu, Y.; et al. S-1 and Oxaliplatin (SOX) plus Bevacizumab versus mFOLFOX6 plus Bevacizumab as first-line treatment for patients with metastatic colorectal cancer: Updated overall survival analyses of the open-label, non-inferiority, randomised phase III: SOFT study. ESMO Open 2017, 2, e000135. [Google Scholar] [CrossRef]
- Aranda, E.; Viéitez, J.M.; Gómez-España, A.; Gil, C.S.; Salud-Salvia, A.; Graña, B.; Garcia-Alfonso, P.; Rivera, F.; Quintero-Aldana, G.A.; Reina-Zoilo, J.J.; et al. FOLFOXIRI plus Bevacizumab versus FOLFOX plus Bevacizumab for patients with metastatic colorectal cancer and ≥3 circulating tumour cells: The randomised phase III VISNÚ-1 trial. ESMO Open 2020, 5, e000944. [Google Scholar] [CrossRef]
- van Hazel, G.A.; Heinemann, V.; Sharma, N.K.; Findlay, M.P.N.; Ricke, J.; Peeters, M.; Perez, D.; Robinson, B.A.; Strickland, A.H.; Ferguson, T.; et al. SIRFLOX: Randomized phase III trial comparing first-line mFOLFOX6 (plus or minus Bevacizumab) versus mFOLFOX6 (plus or minus Bevacizumab) plus selective internal radiation therapy in patients with metastatic colorectal cancer. J. Clin. Oncol. 2016, 34, 1723–1731. [Google Scholar] [CrossRef]
- Klein, A.P. Pancreatic cancer epidemiology: Understanding the role of lifestyle and inherited risk factors. Nat. Rev. Gastroenterol. Hepatol. 2021, 18, 493–502. [Google Scholar] [CrossRef]
- Isacoff, W.H.; Reber, H.A.; Bedford, R.; Hoos, W.; Rahib, L.; Upfill-Brown, A.; Donahue, T.; Hines, O.J. Low-dose continuous 5-Fluorouracil combined with Leucovorin, Nab-Paclitaxel, Oxaliplatin, and Bevacizumab for patients with advanced pancreatic cancer: A retrospective analysis. Target Oncol. 2018, 13, 461–468. [Google Scholar] [CrossRef]
- Pillay, L.; Wadee, R. A retrospective study of the epidemiology and histological subtypes of ovarian epithelial neoplasms at Charlotte Maxeke Johannesburg Academic Hospital. S. Afr. J. Gynaecol. Oncol. 2021, 13, 26–35. [Google Scholar] [CrossRef]
- Anderson, H.; Wagstaff, J.; Crowther, D.; Swindell, R.; Lind, M.J.; Mc Gregor, J.; Timms, M.S.; Brown, D.; Palmer, P. Comparative toxicity of Cisplatin, Carboplatin (CBDCA) and Iproplatin (CHIP) in combination with Cyclophosphamide in patients with advanced epithelial ovarian cancer. Eur. J. Cancer Clin. Oncol. 1988, 24, 1471–1479. [Google Scholar] [CrossRef]
- Brown, J.; Jhingran, A.; Deavers, M. Stromal tumors of the ovary. In Textbook of Uncommon Cancer, 4th ed.; Raghavan, D., Blanke, C.D., Johnson, D., Moots, P.L., Reaman, G.H., Rose, P.G., Sekeres, M.E., Eds.; Wiley Blackwell: Hoboken, NJ, USA, 2012; pp. 508–518. [Google Scholar] [CrossRef]
- Matei, D.E.; Schilder, J.M.; Michael, H. Germ cell tumors of the ovary. In Textbook of Uncommon Cancer, 4th ed.; Raghavan, D., Blanke, C.D., Johnson, D., Moots, P.L., Reaman, G.H., Rose, P.G., Sekeres, M.E., Eds.; Wiley Blackwell: Hoboken, NJ, USA, 2012; pp. 519–530. [Google Scholar] [CrossRef]
- Monk, B.J.; Colombo, N.; Oza, A.M.; Fujiwara, K.; Birrer, M.J.; Randall, L.; Poddubskaya, E.V.; Scambia, G.; Shparyk, Y.V.; Lim, M.C.; et al. Chemotherapy with or without Avelumab followed by Avelumab maintenance versus chemotherapy alone in patients with previously untreated epithelial ovariancancer (JAVELIN Ovarian 100): An open-label, randomised, phase 3 trial. Lancet Oncol. 2021, 22, 1275–1289. [Google Scholar] [CrossRef]
- Ray-Coquard, I.; Cibula, D.; Mirza, M.R.; Reuss, A.; Ricci, C.; Colombo, N.; Koch, H.; Goffin, F.; González-Martin, A.; Ottevanger, P.B.; et al. Final results from GCIG/ENGOT/AGO-OVAR 12, a randomised placebo-controlled phase III trial of Nintedanib combined with chemotherapy for newly diagnosed advanced ovarian cancer. Int. J. Cancer 2020, 146, 439–448. [Google Scholar] [CrossRef] [PubMed]
- Vergote, I.; Scambia, G.; O’Malley, D.M.; vanCalster, B.; Park, S.Y.; DelCampo, J.M.; Meier, W.; Bamias, A.; Colombo, N.; Wenham, R.M.; et al. Trebananib or placebo plus Carboplatin and Paclitaxel as first-line treatment for advanced ovarian cancer (TRINOVA-3/ENGOT-ov2/GOG-3001): A randomised, double-blind, phase 3 trial. Lancet Oncol. 2019, 20, 862–876. [Google Scholar] [CrossRef]
- Spirtos, N.M.; Enserro, D.; Homesley, H.D.; Gibbons, S.K.; Cella, D.; Morris, R.T.; DeGeest, K.; Lee, R.B.; Miller, D.S. The addition of Paclitaxel to Doxorubicin and Cisplatin and volume-directed radiation does not improve overall survival (OS) or long-term recurrence-free survival (RFS) in advanced endometrial cancer (EC): A randomized phase III NRG/Gynecologic Oncology Group (GOG) study. Gynecol. Oncol. 2019, 154, 13–21. [Google Scholar] [CrossRef] [PubMed]
- Sikov, W.M.; Berry, D.A.; Perou, C.M.; Singh, B.; Cirrincione, C.T.; Tolaney, S.M.; Kuzma, C.S.; Pluard, T.J.; Somlo, G.; Port, E.R.; et al. Impact of the addition of Carboplatin and/or Bevacizumab to neoadjuvant once-per-week paclitaxel followed by dose-dense Doxorubicin and Cyclophosphamide on pathologic complete response rates in stage II to III triple-negative breast cancer: CALGB 40603 (Alliance). J. Clin. Oncol. 2015, 33, 13–21. [Google Scholar] [CrossRef]
- Colombo, N.; Dubot, C.; Lorusso, D.; Caceres, M.V.; Hasegawa, K.; Shapira-Frommer, R.; Tewari, K.S.; Salman, P.; Hoyos, U.E.; Yañez, E.; et al. Pembrolizumab for persistent, recurrent, or metastatic cervical cancer. N. Engl. J. Med. 2021, 385, 1856–1867. [Google Scholar] [CrossRef]
- Schmid, P.; Cortes, J.; Pusztai, L.; Mc Arthur, H.; Kümmel, S.; Bergh, J.; Denkert, C.; Park, Y.H.; Hui, R.; Harbeck, N.; et al. Pembrolizumab for early triple-negative breast cancer. N. Engl. J. Med. 2020, 382, 810–821. [Google Scholar] [CrossRef]
- Ryan, P.D.; Tung, N.M.; Isakoff, S.J.; Golshan, M.; Richardson, A.; Corben, A.D.; Smith, B.L.; Gelman, R.; Winer, E.P.; Garber, J.E. Neoadjuvant Cisplatin and Bevacizumab in triple negative breast cancer (TNBC): Safety and efficacy. J. Clin. Oncol. 2009, 27 (Suppl. S15), 551. [Google Scholar] [CrossRef]
- Loibl, S.; O’Shaughnessy, J.; Untch, M.; Sikov, W.M.; Rugo, H.S.; Mc Kee, M.D.; Huober, J.; Golshan, M.; von Minckwitz, G.; Maag, D.; et al. Addition of the PARP inhibitor Veliparib plus Carboplatin or Carboplatin alone to standard neoadjuvant chemotherapy in triple-negative breast cancer (BrighTNess): A randomised, phase 3 trial. Lancet Oncol. 2018, 19, 497–509. [Google Scholar] [CrossRef]
- Buonerba, C.; Federico, P.; D’Aniello, C.; Rescigno, P.; Cavaliere, C.; Puglia, L.; Ferro, M.; Altieri, V.; Perdonà, S.; De Placido, S.; et al. Phase II trial of Cisplatin plus Prednisone in Docetaxel-refractory castration-resistant prostate cancer patients. Cancer Chemother. Pharmacol. 2011, 67, 1455–1461. [Google Scholar] [CrossRef] [PubMed]
- Fizazi, K.; Gravis, G.; Flechon, A.; Geoffrois, L.; Chevreau, C.; Laguerre, B.; Delva, R.; Eymard, J.C.; Rolland, F.; Houede, N.; et al. Combining Gemcitabine, Cisplatin, and Ifosfamide (GIP) is active in patients with relapsed metastatic germ-cell tumors (GCT): A prospective multicenter GETUG phase II trial. Ann. Oncol. 2014, 25, 987–991. [Google Scholar] [CrossRef] [PubMed]
- Feldman, D.R.; Hu, J.; Dorff, T.B.; Lim, K.; Patil, S.; Carousso, K.M.W.M.; Hughes, A.; Sheinfeld, J.; Bains, M.; Daneshmand, S.; et al. Paclitaxel, Ifosfamide, and Cisplatin efficacy for first-line treatment of patients with intermediate- or poor-risk germ cell tumors. J. Clin. Oncol. 2016, 34, 2478–2483. [Google Scholar] [CrossRef] [PubMed]
- Pectasides, D.; Pectasides, E.; Papaxoinis, G.; Xiros, N.; Kamposioras, K.; Tountas, N.; Economopoulos, T. Methotrexate, Paclitaxel, Ifosfamide, and Cisplatin in poor-risk nonseminomatous germ cell tumors. Urol. Oncol. 2010, 28, 617–623. [Google Scholar] [CrossRef]
- Huddart, R.A.; Gabe, R.; Cafferty, F.H.; Pollock, P.; White, J.D.; Shamash, J.; Cullen, M.H.; Stenning, S.P.; TE23 Trial Management Group and Collaborators; National Cancer Research Institute Testis Cancer Clinical Studies Group. A randomised phase 2 trial of intensive induction chemotherapy (CBOP/BEP) and standard BEP in poor-prognosis germ cell tumours (MRC TE23, CRUK 05/014, ISRCTN 53643604). Eur Urol. 2015, 67, 534–543. [Google Scholar] [CrossRef]
- Culine, S.; Kramar, A.; Theodore, C.; Geoffrois, L.; Chevreau, C.; Biron, P.; Nguyen, B.B.; Héron, J.F.; Kerbrat, P.; Caty, A.; et al. Randomized trial comparing Bleomycin/Etoposide/Cisplatin with alternating Cisplatin/Cyclophosphamide/Doxorubicin and Vinblastine/ Bleomycin regimens of chemotherapy for patients with intermediate- and poor-risk metastatic nonseminomatous germ cell tumors: Genito-Urinary Group of the French Federation of Cancer Centers Trial T93MP. J. Clin. Oncol. 2008, 26, 421–427. [Google Scholar] [CrossRef]
- Hiester, A.; Fingerhut, A.; Niegisch, G.; Siener, R.; Krege, S.; Schmelz, H.U.; Dieckmann, K.P.; Heidenreich, A.; Kwasny, P.; Pechoel, M.; et al. Late toxicities and recurrences in patients with clinical stage I non-seminomatous germ cell tumours after 1 cycle of adjuvant Bleomycin, Etoposide and Cisplatin versus primary retroperitoneal lymph node dissection-A 13-year follow-up analysis of a phase III trial cohort. Eur. J. Cancer 2021, 155, 64–72. [Google Scholar] [CrossRef]
- de Wit, R.; Skoneczna, I.; Daugaard, G.; De Santis, M.; Garin, A.; Aass, N.; Witjes, A.J.; Albers, P.; White, J.D.; Germa-Lluch, J.R.; et al. Randomized phase III study comparing Paclitaxel-Bleomycin, Etoposide, and Cisplatin (BEP) to standard BEP in intermediate-prognosis germ-cell cancer: Intergroup study EORTC 30983. J. Clin. Oncol. 2012, 30, 792. [Google Scholar] [CrossRef]
- Mego, M.; Svetlovska, D.; Reckova, M.; Angelis, D.; Kalavska, K.; Obertova, J.; Palacka, P.; Rejlekova, K.; Sycova-Mila, Z.; Chovanec, M.; et al. Gemcitabine, Carboplatin and Veliparib in multiple relapsed/refractory germ cell tumours: The GCT-SK-004 phase II trial. Investig. New Drugs 2021, 39, 1664–1670. [Google Scholar] [CrossRef]
- Bokemeyer, C.; Oechsle, K.; Honecker, F.; Mayer, F.; Hartmann, J.T.; Waller, C.F.; Böhlke, I.; Kollmannsberger, C.; German Testicular Cancer Study Group. Combination chemotherapy with Gemcitabine, Oxaliplatin, and Paclitaxel in patients with Cisplatin-refractory or multiply relapsed germ-cell tumors: A study of the German Testicular Cancer Study Group. Ann. Oncol. 2008, 19, 448–453. [Google Scholar] [CrossRef]
- Jain, A.; Brames, M.J.; Vaughn, D.J.; Einhorn, L.H. Phase II clinical trial of Oxaliplatin and Bevacizumab in refractory germ cell tumors. Am. J. Clin. Oncol. 2014, 37, 450–453. [Google Scholar] [CrossRef] [PubMed]
- Rose, T.L.; Harrison, M.R.; Deal, A.M.; Ramalingam, S.; Whang, Y.E.; Brower, B.; Dunn, M.; Osterman, C.K.; Heiling, H.M.; Bjurlin, M.A.; et al. Phase II study of Gemcitabine and split-dose Cisplatin plus Pembrolizumab as neoadjuvant therapy before radical cystectomy in patients with muscle-invasive bladder cancer. J. Clin. Oncol. 2021, 39, 3140–3148. [Google Scholar] [CrossRef] [PubMed]
- Hu, J.; Wang, X.; Chen, F.; Ding, M.; Dong, M.; Yang, W.; Yin, M.; Wu, J.; Zhang, L.; Fu, X.; et al. Combination of Decitabine and a modified regimen of Cisplatin, Cytarabine and Dexamethasone: A potential salvage regimen for relapsed or refractory diffuse large B-cell lymphoma after second-line treatment gailure. Front. Oncol. 2021, 11, 687374. [Google Scholar] [CrossRef] [PubMed]
- Wiernik, P.H.; Balzarotti, M.; Santoro, A. Diagnosis and treatment of Hodgkin’s lymphoma. In Neoplastic Diseases of the Blood, 5th ed.; Wiernik, P.H., Goldman, J.M., Dutcher, J.P., Kyle, R.A., Eds.; Springer: Berlin/Heidelberg, Germany, 2013; Volume 45, pp. 985–1013. [Google Scholar]
- Mey, U.J.M.; Orlopp, K.S.; Flieger, D.; Strehl, J.W.; Ho, A.D.; Hensel, M.; Bopp, C.; Gorschlüter, M.; Wilhelm, M.; Birkmann, J.; et al. Dexamethasone, high-dose Cytarabine, and Cisplatin in combination with Rituximab as salvage treatment for patients with relapsed or refractory aggressive non-Hodgkin’s lymphoma. Cancer Investig. 2006, 24, 593–600. [Google Scholar] [CrossRef] [PubMed]
- Moskowitz, C.H.; Bertino, J.R.; Glassman, J.R.; Hedrick, E.E.; Hunte, S.; Coady-Lyons, N.; Agus, D.B.; Goy, A.; Jurcic, J.; Noy, A.; et al. Ifosfamide, Carboplatin, and Etoposide: A highly effective cytoreduction and peripheral-blood progenitor-cell mobilization regimen for transplant-eligible patients with non-Hodgkin’s lymphoma. J. Clin. Oncol. 1999, 17, 3776–3785. [Google Scholar] [CrossRef]
- Seymour, J.F.; Grigg, A.P.; Szer, J.; Fox, R.M. Cisplatin, Fludarabine, and Cytarabine: A novel, pharmacologically designed salvage therapy for patients with refractory, histologically aggressive or mantle cell non-Hodgkin’s lymphoma. Cancer 2002, 94, 585–593. [Google Scholar] [CrossRef]
- Heidegger, S.; Beer, A.; Geissinger, E.; Rosenwald, A.; Peschel, C.; Ringshausen, I.; Keller, U. Combination therapy with Brentuximab vedotin and Cisplatin/Cytarabine in a patient with primarily refractory anaplastic lymphoma kinase positive anaplastic large cell lymphoma. OncoTargets Ther. 2014, 7, 1123–1127. [Google Scholar] [CrossRef][Green Version]
- Corrie, P.G.; Pippa, G. Cytotoxic chemotherapy: Clinical aspects. Medicine 2008, 36, 24–28. [Google Scholar] [CrossRef]
- Crump, M.; Kuruvilla, J.; Couban, S.; Mac Donald, D.A.; Kukreti, V.; Kouroukis, C.T.; Rubinger, M.; Buckstein, R.; Imrie, K.R.; Federico, M.; et al. Randomized comparison of Gemcitabine, Dexamethasone, and Cisplatin versus Dexamethasone, Cytarabine, and Cisplatin chemotherapy before autologous stem-cell transplantation for relapsed and refractory aggressive lymphomas: NCIC-CTG LY.12. J. Clin. Oncol. 2014, 32, 3490–3496. [Google Scholar] [CrossRef]
- Li, X.; Cui, Y.; Sun, Z.; Zhang, L.; Li, L.; Wang, X.; Wu, J.; Fu, X.; Ma, W.; Zhang, X.; et al. DDGP versus SMILE in newly diagnosed advanced natural killer/T-cell lymphoma: A randomized controlled, multicenter, open-label study in China. Clin. Cancer Res. 2016, 22, 5223–5228. [Google Scholar] [CrossRef]
- Lorch, J.H.; Goloubeva, O.; Haddad, R.I.; Cullen, K.; Sarlis, N.; Tishler, R.; Tan, M.; Fasciano, J.; Sammartino, D.E.; Posner, M.R.; et al. Induction chemotherapy with Cisplatin and Fluorouracil alone or in combination with Docetaxel in locally advanced squamous-cell cancer of the head and neck: Long-term results of the TAX 324 randomised phase 3 trial. Lancet Oncol. 2011, 12, 153–159. [Google Scholar] [CrossRef]
- Lemma, G.L.; Lee, J.W.; Aisner, S.C.; Langer, C.J.; Tester, W.J.; Johnson, D.H.; Loehrer, P.J. Phase II study of Carboplatin and Paclitaxel in advanced thymoma and thymic carcinoma. J. Clin. Oncol. 2011, 29, 2060–2065. [Google Scholar] [CrossRef] [PubMed]
- Kim, E.S.; Putnam, J.B.; Komaki, R.; Walsh, G.L.; Ro, J.Y.; Shin, H.J.; Truong, M.; Moon, H.; Swisher, S.G.; Fossella, F.V.; et al. Phase II study of a multidisciplinary approach with induction chemotherapy, followed by surgical resection, radiation therapy, and consolidation chemotherapy for unresectable malignant thymomas: Final report. Lung Cancer 2004, 44, 369–379. [Google Scholar] [CrossRef] [PubMed]
- Yoh, K.; Goto, K.; Ishii, G.I.; Niho, S.; Ohmatsu, H.; Kubota, K.; Kakinuma, R.; Nagai, K.; Suga, M.; Nishiwaki, Y. Weekly chemotherapy with Cisplatin, Vincristine, Doxorubicin, and Etoposide is an effective treatment for advanced thymic carcinoma. Cancer 2003, 98, 926–931. [Google Scholar] [CrossRef] [PubMed]
- Sakai, D.; Kanai, M.; Kobayashi, S.; Eguchi, H.; Baba, H.; Seo, S.; Taketomi, A.; Takayama, T.; Yamaue, H.; Ishioka, C.; et al. Randomized phase III study of Gemcitabine, Cisplatin plus S-1 (GCS) versus Gemcitabine, Cisplatin (GC) for advanced biliary tract cancer (KHBO1401-MITSUBA). Ann. Oncol. 2018, 29 (Suppl. S8), 205–270. [Google Scholar] [CrossRef]
- Shroff, R.T.; Javle, M.M.; Xiao, L.; Kaseb, A.O.; Varadhachary, G.R.; Wolff, R.A.; Raghav, K.P.S.; Iwasaki, M.; Masci, P.; Ramanathan, R.K.; et al. Gemcitabine, Cisplatin, andNab-Paclitaxelforthetreatmentofadvancedbiliarytractcancers: Aphase 2 clinicaltrial. JAMA Oncol. 2019, 5, 824–830. [Google Scholar] [CrossRef]
- Rao, S.; Cunningham, D.; Hawkins, R.E.; Hill, M.E.; Smith, D.; Daniel, F.; Ross, P.J.; Oates, J.; Norman, A.R. PhaseIIIstudyof 5FU, EtoposideandLeucovorin (FELV) comparedtoEpirubicin, Cisplatinand 5FU (ECF) inpreviouslyuntreatedpatientswithadvancedbiliarycancer. Br. J. Cancer 2005, 92, 1650–1654. [Google Scholar] [CrossRef][Green Version]
- Kim, S.T.; Kang, J.H.; Lee, J.; Lee, H.W.; Oh, S.Y.; Jang, J.S.; Lee, M.A.; Sohn, B.S.; Yoon, S.Y.; Choi, H.J.; et al. CapecitabineplusOxaliplatinversusGemcitabineplusOxaliplatinasfirst-linetherapyforadvancedbiliarytractcancers: A multicenter, open-label, randomized, phaseIII, noninferioritytrial. Ann. Oncol. 2019, 30, 788–795. [Google Scholar] [CrossRef]
- Edeline, J.; Benabdelghani, M.; Bertaut, A.; Watelet, J.; Hammel, P.; Joly, J.P.; Boudjema, K.; Fartoux, L.; Bouhier-Leporrier, K.; Jouve, J.L.; et al. Gemcitabine and Oxaliplatin chemotherapy or surveillance in resected biliary tract cancer (PRODIGE 12-ACCORD 18-UNICANCERGI): A randomizedphaseIIIstudy. J. Clin. Oncol. 2019, 37, 658–667. [Google Scholar] [CrossRef]
- Lee, J.; Park, S.H.; Chang, H.M.; Kim, J.S.; Choi, H.J.; Lee, M.A.; Jang, J.S.; Jeung, H.C.; Kang, J.H.; Lee, H.W.; et al. Gemcitabine and Oxaliplatin with or without Erlotinibin advanced biliary-tract cancer: A multicentre, open-label, randomised, phase 3 study. Lancet Oncol. 2012, 13, 181–188. [Google Scholar] [CrossRef]
- Zhu, A.X.; Meyerhardt, J.A.; Blaszkowsky, L.S.; Kambadakone, A.R.; Muzikansky, A.; Zheng, H.; Clark, J.W.; Abrams, T.; Chan, J.A.; Enzinger, P.C.; et al. Efficacy and safety of Gemcitabine, Oxaliplatin, and Bevacizumab in advanced biliary-tract cancers and correlation of changes in 18-fluorodeoxyglucose PET with clinical outcome: A phase 2 study. Lancet Oncol. 2010, 11, 48–54. [Google Scholar] [CrossRef]
- Lamarca, A.; Palmer, D.H.; Wasan, H.S.; Ross, P.J.; Ma, Y.T.; Arora, A.; Falk, S.; Gillmore, R.; Wadsley, J.; Patel, K.; et al. Second-line FOLFOX chemotherapy versus active symptom control for advanced biliary tract cancer (ABC-06): A phase 3, open-label, randomised, controlled trial. Lancet Oncol. 2021, 22, 690–701. [Google Scholar] [CrossRef]
- Sun, W.; Sohal, D.; Haller, D.G.; Mykulowycz, K.; Rosen, M.; Soulen, M.C.; Caparro, M.; Teitelbaum, U.R.; Giantonio, B.; O’Dwyer, P.J.; et al. Phase 2 trial of Bevacizumab, Capecitabine, and Oxaliplatin in treatment of advanced hepatocellular carcinoma. Cancer 2011, 117, 3187–3192. [Google Scholar] [CrossRef] [PubMed]
- Qin, S.; Bai, Y.; Lim, H.Y.; Thongprasert, S.; Chao, Y.; Fan, J.; Yang, T.S.; Bhudhisawasdi, V.; Kang, W.K.; Zhou, Y.; et al. Randomized, multicenter, open-label study of Oxaliplatin plus Fluorouracil/Leucovorin versus Doxorubicin as palliative chemotherapy in patients with advanced hepatocellular carcinoma from Asia. J. Clin. Oncol. 2013, 31, 3501–3508. [Google Scholar] [CrossRef] [PubMed]
- Goyal, L.; Zheng, H.; Abrams, T.A.; Miksad, R.; Bullock, A.J.; Allen, J.N.; Yurgelun, M.B.; Clark, J.W.; Kambadakone, A.; Muzikansky, A.; et al. A phase II and biomarker study of Sorafenib combined with modified FOLFOX in patients with advanced hepatocellular carcinoma. Clin. Cancer Res. 2019, 25, 80–89. [Google Scholar] [CrossRef] [PubMed]
- Zaanan, A.; Williet, N.; Hebbar, M.; Dabakuyo, T.S.; Fartoux, L.; Mansourbakht, T.; Dubreuil, O.; Rosmorduc, O.; Cattan, S.; Bonnetain, F.; et al. Gemcitabine plus Oxaliplatin in advanced hepatocellular carcinoma: A large multicenter AGEO study. J. Hepatol. 2013, 58, 81–88. [Google Scholar] [CrossRef] [PubMed]
- Assenat, E.; Pageaux, G.P.; Thézenas, S.; Peron, J.M.; Bécouarn, Y.; Seitz, J.F.; Merle, P.; Blanc, J.F.; Bouché, O.; Ramdani, M.; et al. Sorafenib alone vs Sorafenib plus GEMOX as 1st-line treatment for advanced HCC: The phase II randomised PRODIGE 10 trial. Br. J. Cancer 2019, 120, 896–902. [Google Scholar] [CrossRef]
- von der Maase, H.; Sengelov, L.; Roberts, J.T.; Ricci, S.; Dogliotti, L.; Oliver, T.; Moore, M.J.; Zimmermann, A.; Arning, M. Long-term survival results of a randomized trial comparing Gemcitabine plus Cisplatin, with Methotrexate, Vinblastine, Doxorubicin, plus Cisplatin in patients with bladder cancer. J. Clin. Oncol. 2015, 23, 4602–4608. [Google Scholar] [CrossRef]
- Pattarawat, P.; Hong, T.; Wallace, S.; Hu, Y.; Donnell, R.; Wang, T.H.; Tsai, C.L.; Wang, J.; Wang, H.C.R. CompensatorycombinationofRomidepsinwithGemcitabineandCisplatintoeffectivelyandsafelycontrolurothelialcarcinoma. Br. J. Cancer 2020, 123, 226–239. [Google Scholar] [CrossRef]
- Pizzocaro, G.; Nicolai, N.; Milani, A. Taxanes in combination with Cisplatin and Fluorouracil for advanced penile cancer: Preliminary results. Eur. Urol. 2009, 55, 546–551. [Google Scholar] [CrossRef]
- Jefford, M.; Kiffer, J.D.; Somers, G.; Daniel, F.J.; Davis, I.D. Metastatic basal cell carcinoma: Rapid symptomatic response to Cisplatin and Paclitaxel. ANZ J. Surg. 2004, 74, 704–705. [Google Scholar] [CrossRef] [PubMed]
- Whelan, J.S.; Davis, L.E. Osteosarcoma, chondrosarcoma, and chordoma. J. Clin. Oncol. 2018, 36, 188–193. [Google Scholar] [CrossRef] [PubMed]
- Yu, D.; Zhang, S.; Feng, A.; Xu, D.; Zhu, Q.; Mao, Y.; Zhao, Y.; Lv, Y.; Han, C.; Liu, R.; et al. Methotrexate, Doxorubicin, and Cisplatinum regimen is still the preferred option for osteosarcoma chemotherapy. A meta-analysis and clinical observation. Medicine 2019, 98, e15582. [Google Scholar] [CrossRef] [PubMed]
- Marina, N.M.; Smeland, S.; Bielack, S.S.; Bernstein, M.; Jovic, G.; Krailo, M.D.; Hook, J.M.; Arndt, C.; van den Berg, H.; Brennan, B.; et al. Comparison of MAPIE versus MAP in patients with a poor response to preoperative chemotherapy for newly diagnosed high-grade osteosarcoma (EURAMOS-1): An open-label, international, randomised controlled trial. Lancet Oncol. 2016, 17, 1396–1408. [Google Scholar] [CrossRef]
- Bacci, G.; Briccoli, A.; Rocca, M.; Ferrari, S.; Donati, D.; Longhi, A.; Bertoni, F.; Bacchini, P.; Giacomini, S.; Forni, C.; et al. Neoadjuvant chemotherapy for osteosarcoma of the extremities with metastases at presentation: Recent experience at the Rizzoli Institute in 57 patients treated with Cisplatin, Doxorubicin, and a high dose of Methotrexate and Ifosfamide. Ann. Oncol. 2003, 14, 1126–1134. [Google Scholar] [CrossRef]
- Basaran, M.; Bavbek, E.S.; Saglam, S.; Eralp, L.; Sakar, B.; Atalar, A.C.; Bilgic, B.; Ozger, H.; Onat, H. A phase II study of Cisplatin, Ifosfamide and Epirubicin combination chemotherapy in adults with non-metastatic and extremity osteosarcomas. Oncology 2007, 72, 255–260. [Google Scholar] [CrossRef]
- Katzenstein, H.M.; Malogolowkin, M.H.; Krailo, M.D.; Piao, J.; Towbin, A.J.; Mc Carville, M.B.; Tiao, G.M.; Dunn, S.P.; Langham, M.R.; Mc Gahren, E.D.; et al. Doxorubicin in combination with Cisplatin, 5-Flourouracil, and Vincristine is feasible and effective in unresectable hepatoblastoma: A children’s Oncology Group study. Cancer 2022, 128, 1057–1065. [Google Scholar] [CrossRef]
- van Meerbeeck, J.P.; Gaafar, R.; Manegold, C.; van Klaveren, R.J.; van Marck, E.A.; Vincent, M.; Legrand, C.; Bottomley, A.; Debruyne, C.; Giaccone, G.; et al. Randomized phase III study of Cisplatin with or without Raltitrexed in patients with malignant pleural mesothelioma: An intergroup study of the European Organisation for Research and Treatment of Cancer, Lung Cancer Group and the National Cancer Institute of Canada. J. Clin. Oncol. 2005, 23, 6881–6889. [Google Scholar] [CrossRef]
- Ceresoli, G.L.; Aerts, J.G.; Dziadziuszko, R.; Ramlau, R.; Cedres, S.; van Meerbeeck, J.P.; Mencoboni, M.; Planchard, D.; Chella, A.; Crinò, L.; et al. Tumour treating fields in combination with Pemetrexed and Cisplatin or Carboplatin as first-line treatment for unresectable malignant pleural mesothelioma (STELLAR): A multicentre, single-arm phase 2 trial. Lancet Oncol. 2019, 20, 1702–1709. [Google Scholar] [CrossRef]
- Zalcman, G.; Mazieres, J.; Margery, J.; Greillier, L.; Audigier-Valette, C.; Moro-Sibilot, D.; Molinier, O.; Corre, R.; Monnet, I.; Gounant, V.; et al. Bevacizumab for newly diagnosed pleural mesothelioma in the Mesothelioma Avastin Cisplatin Pemetrexed Study (MAPS): A randomised, controlled, open-label, phase 3 trial. Lancet 2016, 387, 1405–1414. [Google Scholar] [CrossRef]
- Scagliotti, G.V.; Gaafar, R.; Nowak, A.K.; Nakano, T.; van Meerbeeck, J.; Popat, S.; Vogelzang, N.J.; Grosso, F.; Aboelhassan, R.; Jakopovic, M.; et al. Nintedanib in combination with Pemetrexed and Cisplatin for chemotherapy-naive patients with advanced malignant pleural mesothelioma (LUME-Meso): A double-blind, randomised, placebo-controlled phase 3 trial. Lancet Respir. Med. 2019, 7, 569–580. [Google Scholar] [CrossRef]
- Ridolfi, R.; Chiarion-Sileni, V.; Guida, M.; Romanini, A.; Labianca, R.; Freschi, A.; Lo-Re, G.; Nortilli, R.; Brugnara, S.; Vitali, P.; et al. Cisplatin, Dacarbazine with or without subcutaneous Interleukin-2, and Interferon alpha-2b in advanced melanoma outpatients: Results from an Italian multicenter phase III randomized clinical trial. J. Clin. Oncol. 2002, 20, 1600–1607. [Google Scholar] [CrossRef] [PubMed]
- Papadopoulos, N.E.; Bedikian, A.; Ring, S.; Kim, K.B.; Hwu, W.J.; Gerber, D.L.; Homsi, J.; Hwu, P. Phase I/II study of a Cisplatin-taxol-Dacarbazine regimen in metastatic melanoma. Am. J. Clin. Oncol. 2009, 32, 509–514. [Google Scholar] [CrossRef] [PubMed]
- Jungnelius, U.; Ringborg, U.; Aamdal, S.; Mattsson, J.; Stierner, U.; Ingvar, C.; Malmström, P.; Andersson, R.; Karlsson, M.; Willman, K.; et al. Dacarbazine-Vindesine versus Dacarbazine-Vindesine-Cisplatin in disseminated malignant melanoma: A randomised phase III trial. Eur. J. Cancer 1998, 34, 1368–1374. [Google Scholar] [CrossRef]
- Lian, B.; Si, L.; Cui, C.; Chi, Z.; Sheng, X.; Mao, L.; Li, S.; Kong, Y.; Tang, B.; Guo, J. Phase II randomized trial comparing high-dose IFN-α2b with Temozolomide plus Cisplatin as systemic adjuvant therapy for resected mucosal melanoma. Clin. Cancer Res. 2013, 19, 4488–4498. [Google Scholar] [CrossRef]
- Flaherty, K.T.; Lee, S.J.; Zhao, F.; Schuchter, L.M.; Flaherty, L.; Kefford, R.; Atkins, M.B.; Leming, P.; Kirkwood, J.M. Phase III trial of Carboplatin and Paclitaxel with or without Sorafenib in metastatic melanoma. J. Clin. Oncol. 2013, 31, 373–379. [Google Scholar] [CrossRef]
- Yan, X.; Sheng, X.; Chi, Z.; Si, L.; Cui, C.; Kong, Y.; Tang, B.; Mao, L.; Wang, X.; Lian, B.; et al. Randomized phase II study of Bevacizumab in Combination with Carboplatin plus Paclitaxel in patients with previously untreated advanced mucosal melanoma. J. Clin. Oncol. 2021, 39, 881–889. [Google Scholar] [CrossRef]
- Kottschade, L.A.; Suman, V.J.; Perez, D.G.; Mc Williams, R.R.; Kaur, J.S.; Amatruda, T.T.; Geoffroy, F.J.; Gross, H.M.; Cohen, P.A.; Jaslowski, A.J.; et al. A randomized phase 2 study of Temozolomide and Bevacizumab or Nab-Paclitaxel, Carboplatin, and Bevacizumab in patients with unresectable stage IV melanoma: A North Central Cancer Treatment Group study, N0775. Cancer 2013, 119, 586–592. [Google Scholar] [CrossRef]
- Campagna, R.; Bacchetti, T.; Salvolini, E.; Pozzi, V.; Molinelli, E.; Brisigotti, V.; Sartini, D.; Campanati, A.; Ferretti, G.; Offidani, A.; et al. Paraoxonase-2 silencing enhances sensitivity of A375 melanoma cells to treatment with Cisplatin. Antioxidants 2020, 9, 1238. [Google Scholar] [CrossRef]
- Bacchetti, T.; Salvolini, E.; Pompei, V.; Campagna, R.; Molinelli, E.; Brisigotti, V.; Togni, L.; Lucarini, G.; Sartini, D.; Campanati, A.; et al. Paraoxonase-2: A potential biomarker for skin cancer aggressiveness. Eur. J. Clin. Investig. 2021, 51, e13452. [Google Scholar] [CrossRef]
- Fumarola, S.; Cecati, M.; Sartini, D.; Ferretti, G.; Milanese, G.; Galosi, A.B.; Pozzi, V.; Campagna, R.; Morresi, C.; Emanuelli, M.; et al. Bladder cancer chemosensitivity is affected by paraoxonase-2 expression. Antioxidants 2020, 9, 175. [Google Scholar] [CrossRef] [PubMed]
- Bryde, S.; de Kroon, M.A.I.P. Nanocapsules of platinum anticancer drugs: Development towards therapeutic use. Future Med. Chem. 2009, 1, 1467–1480. [Google Scholar] [CrossRef] [PubMed]
- Mylonakis, N.; Athanasiou, A.; Ziras, N.; Angel, J.; Rapti, A.; Lampaki, S.; Politis, N.; Karanikas, C.; Kosmas, C. Phase II study of liposomal Cisplatin (Lipoplatin) plus Gemcitabine versus Cisplatin plus Gemcitabine as first line treatment in Inoperable (stage IIIB/IV) non-small cell lung cancer. Lung Cancer 2010, 68, 240–247. [Google Scholar] [CrossRef]
- Stathopoulos, G.P.; Boulikas, T.; Kourvetaris, A.; Stathopoulos, I. Liposomal Oxaliplatin in the treatment of advanced cancer: A phase I study. Anticancer Res. 2006, 26, 1489–1494. [Google Scholar] [PubMed]
- Koukourakis, M.I.; Giatromanolaki, A.; Pitiakoudis, M.; Kouklakis, G.; Tsoutsou, P.; Abatzoglou, I.; Panteliadou, M.; Sismanidou, K.; Sivridis, E.; Boulikas, T. Concurrent liposomal Cisplatin (Lipoplatin), 5-Fluorouracil and radiotherapy for the treatment of locally advanced gastric cancer: A phase I/II study. Int. J. Radiat. Oncol. Biol. Phys. 2010, 78, 150–155. [Google Scholar] [CrossRef] [PubMed]
- White, S.C.; Lorigan, P.; Margison, G.P.; Margison, J.M.; Martin, F.; Thatcher, N.; Anderson, H.; Ranson, M. Phase II study of SPI-77 (sterically stabilised liposomal Cisplatin) in advanced non-small-cell lung cancer. Br. J. Cancer 2006, 95, 822–828. [Google Scholar] [CrossRef]








| Cisplatin Synergistic Combinations | Disease |
|---|---|
| (1) Cisplatin/Fluorouracil/Docetaxel/Cetuximab [21] | head and neck squamous cell carcinoma |
| (2) Cisplatin/Gemcitabine [22] (3) Cisplatin/Gemcitabine/Necitumumab [23] | squamous non-small-cell lung cancer |
| (4) Cisplatin/Vinorelbine [24] | non-squamous non-small-cell lung cancer |
| (5) Cisplatin/Etoposide/Irinotecan [25] (6) Cisplatin/Etoposide/Durvalumab [26] (7) Cisplatin/Vinorelbine [27] | small-cell lung cancer |
| (8) Cisplatin/Capecitabine [28] (9) Cisplatin/Cetuximab [29] | breast cancer |
| (10) Cisplatin/Docetaxel [30] (11) Cisplatin/Paclitaxel [31] (12) Cisplatin/Tegafur-Gimeracil-Oteracil potassium (S-1) [32] | esophageal squamous cell carcinoma |
| (13) Cisplatin/Capecitabine/Docetaxel [33] (14) Cisplatin/Capecitabine/Epirubicin [34] (15) Cisplatin/Capecitabine/Epirubicin/Rilotumumab [35] (16) Cisplatin/Fluorouracil/Epirubicin [34] | gastroesophageal adenocarcinoma |
| (17) Cisplatin/Capecitabine [36] (18) Cisplatin/Capecitabine/Paclitaxel [37] (19) Cisplatin/Tegafur-Gimeracil-Oteracil potassium (S-1) [36] (20) Cisplatin/Tegafur-Gimeracil-Oteracil potassium (S-1)/Trastuzumab [38] | gastric cancer |
| (21) Cisplatin/Capecitabine/Gemcitabine/Docetaxel [39] (22) Cisplatin/Capecitabine/Gemcitabine/Epirubicin [39] (23) Cisplatin/Capecitabine/Gemcitabine/Nab-Paclitaxel [39] | pancreatic adenocarcinoma |
| (24) Cisplatin/Capecitabine [40] (25) Cisplatin/Gemcitabine [40] | biliary cancer |
| (26) Cisplatin/Gemcitabine/Everolimus [41] | urothelial carcinoma |
| (27) Cisplatin/Capecitabine/radiation therapy [42] (28) Cisplatin/Fluorouracil/Docetaxel [43] (29) Cisplatin/Fluorouracil/Docetaxel/Atezolizumab [43] | anal squamous cell carcinoma |
| (30) Cisplatin/Cemiplimab [44] | metastatic penile cancer |
| Carboplatin Synergistic Combinations | Disease |
|---|---|
| (1) Carboplatin/Gemcitabine [54] | salivary gland cancer |
| (2) Carboplatin/Fluorouracil [56] (3) Carboplatin/Paclitaxel/Cetuximab [21] | head and neck squamous cell carcinoma |
| (4) Carboplatin/Gemcitabine [57] (5) Carboplatin/Gemcitabine/Avelumab [58] (6) Carboplatin/Paclitaxel [59] (7) Carboplatin/Nab-Paclitaxel/Atezolizumab [60] (8) Carboplatin/Paclitaxel/Bevacizumab [61] (9) Carboplatin/Paclitaxel/Nivolumab [62] (10) Carboplatin/Pemetrexed [61] (11) Carboplatin/Pemetrexed/Avelumab [58] (12) Carboplatin/Tegafur-Gimeracil-Oteracil potassium (S-1) [63] (13) Carboplatin/Vinorelbine [64] | non-small-cell lung cancer |
| (14) Carboplatin/Amrubicin [65] (15) Carboplatin/Etoposide [66] (16) Carboplatin/Etoposide/Atezolizumab [26,67] (17) Carboplatin/Etoposide/Durvalumab [26,66] (18) Carboplatin/Etoposide/Durvalumab/Tremelimumab [66] (19) Carboplatin/Etoposide/Obatoclax mesylate [68] (20) Carboplatin/Irinotecan [65] | small-cell lung cancer |
| (21) Carboplatin/Gemcitabine [69] (22) Carboplatin/Gemcitabine/Iniparib [69] (23) Carboplatin/Gemcitabine/Pembrolizumab [70] (24) Carboplatin/Docetaxel/Trastuzumab [71] | breast cancer |
| (25) Carboplatin/Paclitaxel [72] | esophageal squamous cell carcinoma |
| (26) Carboplatin/Docetaxel/Capecitabine [73] | gastroesophageal adenocarcinoma |
| (27) Carboplatin/Paclitaxel [74] | gastric cancer |
| (28) Carboplatin/Bortezomib [75] | ovarian cancer |
| (29) Carboplatin/Paclitaxel [70] (30) Carboplatin/Paclitaxel/Trastuzumab [76] | urotelial carcinoma |
| Oxaliplatin Synergistic Combinations | Disease |
|---|---|
| (1) Oxaliplatin/Cytarabine/Fludarabine [82] | leukemia |
| (2) Oxaliplatin/Cytarabin/Docetaxel [83] | non-small-cell lung cancer |
| (3) Oxaliplatin/Capecitabine [72] (4) Oxaliplatin/Fluorouracil/Leucovorin [84] | esophageal adenocarcinoma |
| (5) Oxaliplatin/Capecitabine/Epirubicin [73] (6) Oxaliplatin/Capecitabine/Sintilimab [85] (7) Oxaliplatin/Fluorouracil/Leucovorin [86] (8) Oxaliplatin/Fluorouracil/Leucovorin/Docetaxel [34] (9) Oxaliplatin/Fluorouracil/Leucovorin/Onartuzumab [86] (10) Oxaliplatin/Fluorouracil/Leucovorin/Panitumumab [87] (11) Oxaliplatin/Fluorouracil/Leucovorin/Rilotumumab [87] (12) Oxaliplatin/Tegafur-Gimeracil-Oteracil potassium (S-1)/Pembrolizumab [88] | gastroesophageal adenocarcinoma |
| (13) Oxaliplatin/Capecitabine [89] (14) Oxaliplatin/Capecitabine/Docetaxel [90,91] (15) Oxaliplatin/Capecitabine/Sintilimab [85] (16) Oxaliplatin/Capecitabine/Trastuzumab [92] (17) Oxaliplatin/Capecitabine/Tegafur-Gimeracil-Oteracil potassium (S-1)/Nivolumab [93] (18) Oxaliplatin/Fluorouracil/Epirubicin [91] (19) Oxaliplatin/Fluorouracil/Leucovorin [94] (20) Oxaliplatin/Fluorouracil/Leucovorin/Docetaxel [95] (21) Oxaliplatin/Fluorouracil/Avelumab [96] (22) Oxaliplatin/Tegafur-Gimeracil-Oteracil potassium (S-1) [97] (23) Oxaliplatin/Tegafur-Gimeracil-Oteracil potassium (S-1)/Pembrolizumab [88] | gastric cancer |
| (24) Oxaliplatin/Fluorouracil/Irinotecan/Leucovorin [98] (25) Oxaliplatin/Fluorouracil/Irinotecan/Bevacizumab [99] (26) Oxaliplatin/Fluorouracil/Leucovorin/Atezolizumab [99] (27) Oxaliplatin/Fluorouracil/Leucovorin/Bevacizumab [99] (28) Oxaliplatin/Fluorouracil/Leucovorin/Durvalumab [100] (29) Oxaliplatin/Fluorouracil/Leucovorin/Tremelimumab [100] (30) Oxaliplatin/Trifluridine/Tipiracil Limagne [101] | colorectal cancer |
| (31) Oxaliplatin/Tegafur-Gimeracil-Oteracil potassium (S-1) [102] | hepatocellular carcinoma |
| (32) Oxaliplatin/Bortezomib [75] | ovarian cancer |
| Nedaplatin Synergistic Combinations | Disease |
|---|---|
| (1) Nedaplatin/Tegafur-Gimeracil-Oteracil potassium (S-1) [108] | head and neck squamous cell carcinoma |
| (2) Nedaplatin/Docetaxel [109] (3) Nedaplatin/Docetaxel/Paclitaxel [83] (4) Nedaplatin/Gemcitabine [110] (5) Nedaplatin/Irinotecan [111] (6) Nedaplatin/Nab-Paclitaxel [112] (7) Nedaplatin/Paclitaxel/Sintilimab [113] | non-small-cell lung cancer |
| (8) Nedaplatin/Irinotecan [114] | neuroendocrine lung carcinoma |
| (9) Nedaplatin/Paclitaxel/Nivolumab [115] | lymphoepithelioma |
| (10) Nedaplatin/Docetaxel [116] (11) Nedaplatin/Docetaxel/Fluorouracil [117] (12) Nedaplatin/Docetaxel/Tegafur-Gimeracil-Oteracil potassium (S-1) [118] (13) Nedaplatin/Fluorouracil [119] (14) Nedaplatin/Paclitaxel [120] (15) Nedaplatin/Paclitaxel/Nimotuzumab [121] (16) Nedaplatin/Gemcitabine/Nimotuzumab [121] (17) Nedaplatin/Fluorouracil/Nimotuzumab [121] | esophageal squamous cell carcinoma |
| (18) Nedaplatin/Gemcitabine [122] (19) Nedaplatin/Fluorouracil [123] (20) Nedaplatin/Paclitaxel/Tegafur-Gimeracil-Oteracil potassium (S-1) [124] (21) Nedaplatin/radiotherapy [125] | nasopharyngeal carcinoma |
| (22) Nedaplatin/Docetaxel [126] (23) Nedaplatin/Gemcitabine [127] (24) Nedaplatin/Irinotecan [128] | squamous lung cell carcinoma |
| (25) Nedaplatin/Gemcitabine [129] (26) Nedaplatin/Paclitaxel/Ifosfamide [130] | urothelial cancer |
| (27) Nedaplatin/Paclitaxel [131] (28) Nedaplatin/Bevacizumab [132] | ovarian cancer |
| (29) Nedaplatin/Irinotecan [133] | endometrial carcinoma |
| (30) Nedaplatin/Paclitaxel [134,135] | cervical cancer |
| Lobaplatin Synergistic Combinations | Disease |
|---|---|
| (1) Lobaplatin/Fluorouracil [156,157] | nasopharyngeal carcinoma |
| (2) Lobaplatin/Etoposide [158] (3) Lobaplatin/Irinotecan [159] | small-cell lung cancer |
| (4) Lobaplatin/Pemetrexed/Bevacizumab/Temozolomide [160] | lung adenocarcinoma |
| (5) Lobaplatin/Capecitabine [161] (6) Lobaplatin/Docetaxel [162] | breast cancer |
| (7) Lobaplatin/Fluorouracil [163] (8) Lobaplatin/Fluorouracil/Leucovorin [164] (9) Lobaplatin/Paclitaxel [165] | esophageal carcinoma |
| (10) Lobaplatin/Paclitaxel [166] | gastric cancer |
| Toxicity | Drugs |
|---|---|
| Neurotoxicity | Cisplatin [51], Carboplatin [51], Oxaliplatin [51] |
| Nephrotoxicity | Cisplatin [178], Heptaplatin [179] |
| Ototoxicity | Cisplatin [180] |
| Myelosuppression (thrombocytopenia) | Carboplatin [51], Oxaliplatin [104], Nedaplatin [105], Lobaplatin [152], Satraplatin [174] |
| Myelosuppression (neutropenia) | Carboplatin [51], Satraplatin [174] |
| Gastrointestinal toxicity | Oxaliplatin [104] |
| Drugs | Mechanism | Target |
|---|---|---|
| Cyclophosphamide, Ifosfamide, Mitomycin C | DNA alkylators | DNA breaks |
| Bleomycin, Dactinomycin, Peplomycin | DNA cross-link breaks | |
| Capecitabine, Fluorouracil, S-1 | thymidilate synthase inhibition | DNA-related proteins |
| Gemcitabine | ribonucleotide reductase inhibition | |
| Pemetrexed | dihydrofolic reductase, thymidilate synthase, formyltransferase ribonucleotide inhibition | |
| Cytarabine, Fludarabine | DNA polymerase and ribonucleotide reductase inhibition | |
| Decitabine | DNA demethylation | |
| Methotrexate | dihydrofolic reductase inhibition | |
| Camptotecins: Belotecan, Irinotecan, Topotecan | topoisomerase I inhibition | |
| Etoposide, Amrubicin, Doxorubicin, Epirubicin | topoisomerase II inhibition | |
| Dexamethasone, Prednisolone, Prednisone | transcriptional interaction with specific genes | Modification of genes |
| Trastuzumab | HER 2 inhibition | Tumor cells membrane receptors |
| Cetuximab | epidermalgrowth factor receptors (EGFR) (Her-1) inhibition | |
| Bevacizumab | vascular endothelial growth factor receptors (VEGFR) inhibition | |
| Imatinib | tyrosine kinase inhibition | Tumor cells intracellular pathways |
| Cabazitaxel, Docetaxel, Paclitaxel, Nab-Paclitaxel | microtubule stabilization | |
| Viblastine, Vincristine, Vinorelbine | inhibition of microtubule polymerization |
| Drugs | Cisplatin and Derivatives |
|---|---|
| Cisplatin | |
| Capecitabine | breast [28], gastric [36], and biliary cancer [40], esophageal carcinoma [216] |
| Fluorouracil | head and neck cancer [56,217], esophageal [216], conjunctival [218], and nasopharyngeal [219] squamous cell carcinoma [218], nasopharyngeal [220], bladder [221], and cervical cancer [222] |
| S-1 | pancreatic [223], and cervical cancer [224] |
| Gemcitabine | breast [225], pancreatic [226], bladder [221], biliary [40], ovarian [227], cervical [228], and non-small-cell lung cancer [22], urothelial carcinoma [229] |
| Pemetrexed | non-squamous non-small-cell lung cancer [221,230] |
| Methotrexate | bladder cancer [221] |
| Carboplatin | |
| Fluorouracil | non-small-cell lung cancer [209], esophageal [216], and head and neck squamous cell carcinoma [56] |
| Gemcitabine | breast [69], ovarian [231], salivary gland [54], and non-small-cell lung cancer [57], urothelial carcinoma [229] |
| Pemetrexed | non-small-cell lung cancer [61] |
| Oxaliplatin | |
| Capecitabine | esophageal adenocarcinoma [72,216], gastric [89], colon [232], and colorectal cancer [233] |
| Fluorouracil | esophageal [216], colorectal [234], pancreatic [235], and prostate cancer [236] |
| S-1 | colon cancer [237], hepatocellular carcinoma [102] |
| Gemcitabine | pancreatic [226], prostate [238], and germ cell cancer [239] |
| Pemetrexed | head and neck [240], gastric [220], colorectal [241], and prostate cancer [242] |
| Nedaplatin | |
| Capecitabine | nasopharyngeal carcinoma [243] |
| Fluorouracil | head and neck cancer [209], nasopharyngeal [123], and esophageal squamous cell carcinoma [119] |
| S-1 | head and neck squamous cell carcinoma [108] |
| Gemcitabine | non-small-cell lung cancer [110], nasopharyngeal [122], urothelial [129], and lung squamous cell carcinoma [127] |
| Lobaplatin | |
| Capecitabine | breast cancer [161] |
| Fluorouracil | nasopharyngeal [156,157], and esophageal carcinoma [163] |
| Satraplatin | |
| Gemcitabine | prostate, gastric, pancreatic, bladder cancer, hepatocellular and papillary renal carcinoma [174] |
| Breast Cancer | Cervical Carncer [222] |
|---|---|
| (1) Cisplatin/Capecitabine [28] | (1) Cisplatin/Ifosfamide |
| (2) Cisplatin/Gemcitabine [225] | (2) Cisplatin/Mitomycin |
| (3) Cisplatin/Docetaxel [259] | |
| (4) Cisplatin/Vinorebine [260] | (3) Cisplatin/Fluorouracil |
| (5) Cisplatin/Cetuximab [29] | (4) Cisplatin/S-1 [224] |
| (6) Cisplatin/Bevacizumab [332] | |
| (7) Cisplatin/Fluorouracil/Vinorelbine (VIFUP) | (5) Cisplatin/Gemcitabine [228] |
| (8) Carboplatin/Gemcitabine [69] | (6) Cisplatin/Topotecan [209] |
| (9) Carboplatin/Docetaxel [261] | |
| (10) Carboplatin/Paclitaxel [262] | (7) Cisplatin/Paclitaxel |
| (11) Carboplatin/Nab-Paclitaxel [264] | (8) Cisplatin/Vinorelbine |
| (12) Carboplatin/Vinorebine [260] | |
| (13) Carboplatin/Veliparib [333] | (9) Cisplatin/Paclitaxel/ |
| (14) Carboplatin/Gemcitabine/Iniparib [69] | Bevacizumab/Pembrolizumab [330] |
| (15) Carboplatin/Gemcitabine/Pembrolizumab [70] | |
| (16) Carboplatin/Docetaxel/Trastuzumab [71] | (10) Carboplatin/Paclitaxel/ |
| (17) Carboplatin/Docetaxel/Trastuzumab/Pertuzumab [71] | Bevacizumab/Pembrolizumab [330] |
| (18) Carboplatin/Paclitaxel/Bevacizumab [329] | |
| (19) Carboplatin/Paclitaxel/Pembrolizumab [331] | (11) Carboplatin/Paclitaxel/ |
| (20) Oxaliplatin/Vinorebine [269] | Bevacizumab [330] |
| (21) Nedaplatin/Docetaxel [260] | |
| (22) Nedaplatin/Vinorebin [260] | (12) Carboplatin/Paclitaxel/ |
| (23) Lobaplatin/Capecitabine [161] | Pembrolizumab [330] |
| (24) Lobaplatin/Docetaxel [162] | |
| (25) Lobaplatin/Vinorebine [260] | (13) Nedaplatin/Paclitaxel [134,135] |
Publisher’s Note: MDPI stays neutral with regard to jurisdictional claims in published maps and institutional affiliations. |
© 2022 by the authors. Licensee MDPI, Basel, Switzerland. This article is an open access article distributed under the terms and conditions of the Creative Commons Attribution (CC BY) license (https://creativecommons.org/licenses/by/4.0/).
Share and Cite
Tsvetkova, D.; Ivanova, S. Application of Approved Cisplatin Derivatives in Combination Therapy against Different Cancer Diseases. Molecules 2022, 27, 2466. https://doi.org/10.3390/molecules27082466
Tsvetkova D, Ivanova S. Application of Approved Cisplatin Derivatives in Combination Therapy against Different Cancer Diseases. Molecules. 2022; 27(8):2466. https://doi.org/10.3390/molecules27082466
Chicago/Turabian StyleTsvetkova, Dobrina, and Stefka Ivanova. 2022. "Application of Approved Cisplatin Derivatives in Combination Therapy against Different Cancer Diseases" Molecules 27, no. 8: 2466. https://doi.org/10.3390/molecules27082466
APA StyleTsvetkova, D., & Ivanova, S. (2022). Application of Approved Cisplatin Derivatives in Combination Therapy against Different Cancer Diseases. Molecules, 27(8), 2466. https://doi.org/10.3390/molecules27082466

