Seasonal Variability and Effect of Sample Storage on Volatile Components in Calypogeia azurea
Abstract
1. Introduction
2. Results and Discussion
2.1. Volatiles Present in Calypogeia azurea
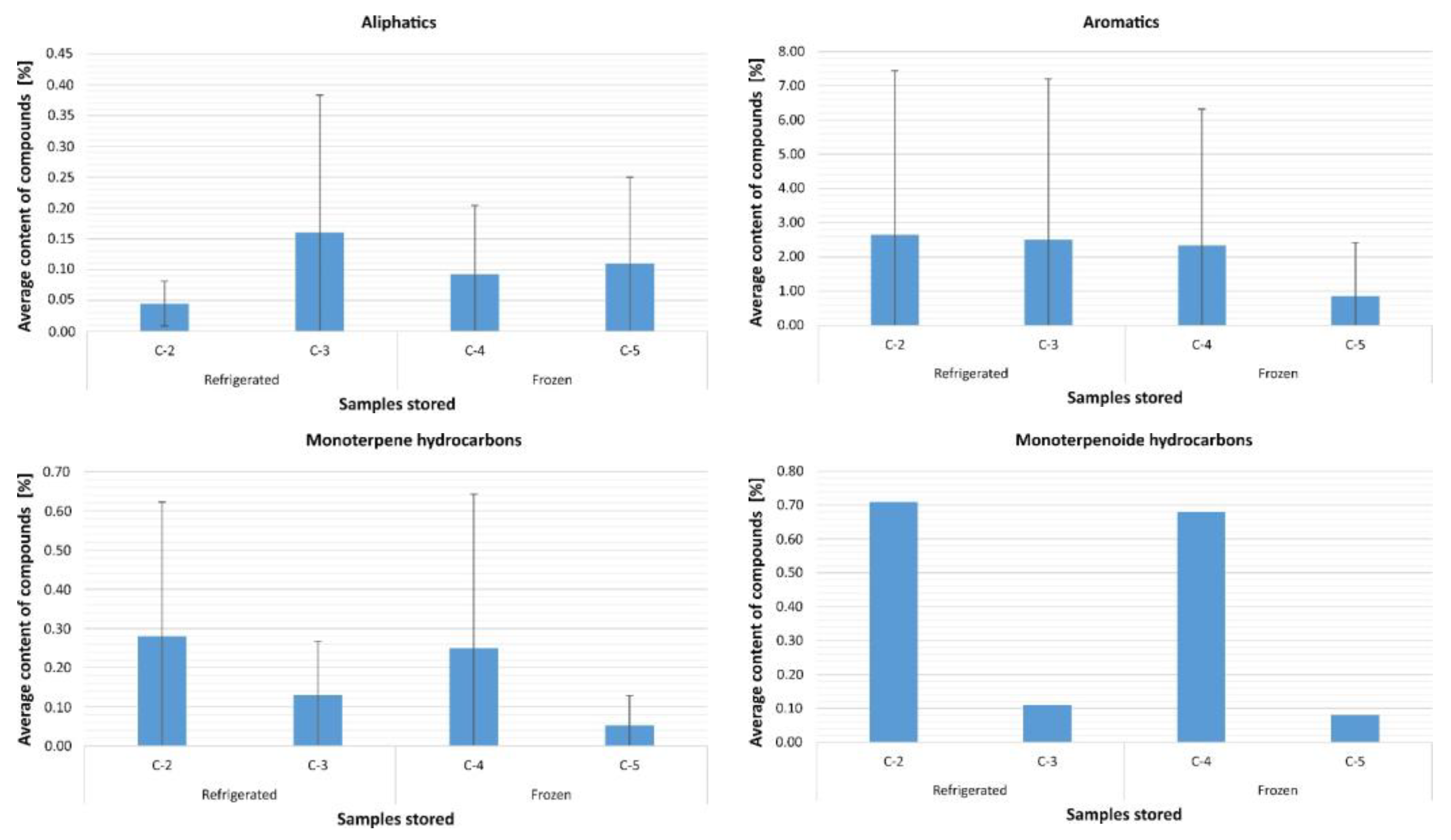
2.2. Storage Effect on Volatile Organic Compounds Present in Calypogeia azurea
2.3. The Effect of Seasonality on the Content of Volatile Organic Compounds
2.4. Effect of the Type of Substratum on the Content of Secondary Metabolites
2.5. Volatile Organic Compounds in In Vitro Culture
2.6. Statistical Analysis of the Obtained Results
2.6.1. Observation of Changes Depending on the Season
2.6.2. Observation of Changes Depending on Storage
2.6.3. Observation of Changes Depending on the Type of Substrate
3. Materials and Methods
3.1. Plant Material
3.2. HS-SPME Extraction
3.3. GC-MS Analysis
3.4. Statistical Analysis
4. Conclusions
Author Contributions
Funding
Institutional Review Board Statement
Informed Consent Statement
Data Availability Statement
Acknowledgments
Conflicts of Interest
Sample Availability
References
- Saritas, Y.; Mekem Sonwa, M.; Iznaguen, H.; König, W.A.; Muhle, H.; Mues, R. Volatile Constituents in Mosses (Musci). Phytochemistry 2001, 57, 443–457. [Google Scholar] [CrossRef]
- Linde, J.; Combrinck, S.; van Vuuren, S.; van Rooy, J.; Ludwiczuk, A.; Mokgalaka, N. Volatile Constituents and Antimicrobial Activities of Nine South African Liverwort Species. Phytochem. Lett. 2016, 16, 61–69. [Google Scholar] [CrossRef]
- Nagashima, F.; Asakawa, Y. Terpenoids and Bibenzyls from Three Argentine Liverworts. Molecules 2011, 16, 10471–10478. [Google Scholar] [CrossRef] [PubMed]
- Zhu, M.Z.; Li, Y.; Zhou, J.C.; Lu, J.H.; Zhu, R.X.; Qiao, Y.N.; Zhang, J.Z.; Zong, Y.; Wang, X.; Jin, X.Y.; et al. Terpenoids from the Chinese Liverwort Odontoschisma grosseverrucosum and Their Antifungal Virulence Activity. Phytochemistry 2020, 174, 112341. [Google Scholar] [CrossRef]
- Veljić, M.; Ćirić, A.; Soković, M.; Janaćković, P.; Marin, P.D. Antibacterial and Antifungal Activity of the Liverwort (Ptilidium pulcherrimum) Methanol Extract. Arch. Biol. Sci. 2010, 62, 381–386. [Google Scholar] [CrossRef]
- Söderström, L.; Váňa, J.; Crandall-Stotler, B.; Renner, M.A.M.; Hagborg, A.; von Konrat, M. Notes on Early Land Plants Today. 68. Miscellaneous Notes on Marchantiophyta. Phytotaxa 2015, 202, 69–72. [Google Scholar] [CrossRef][Green Version]
- Fan, H.; Wei, G.; Chen, X.; Guo, H.; Crandall-Stotler, B.; Köllner, T.G.; Chen, F. Sesquiterpene Biosynthesis in a Leafy Liverwort Radula lindenbergiana Gottsche Ex C. Hartm. Phytochemistry 2021, 190, 112847. [Google Scholar] [CrossRef]
- Zhao, J.; Davis, L.C.; Verpoorte, R. Elicitor Signal Transduction Leading to Production of Plant Secondary Metabolites. Biotechnol. Adv. 2005, 23, 283–333. [Google Scholar] [CrossRef]
- Lunić, T.M.; Mandić, M.R.; Oalđe Pavlović, M.M.; Sabovljević, A.D.; Sabovljević, M.S.; Božić Nedeljković, B.; Božić, B. The Influence of Seasonality on Secondary Metabolite Profiles and Neuroprotective Activities of Moss Hypnum cupressiforme Extracts: In Vitro and in Silico Study. Plants 2022, 11, 123. [Google Scholar] [CrossRef]
- Schuster, R.M. Hepaticae and Anthocerotae of North America East of the Hundredth Meridian; Columbia University Press: Columbia, IN, USA, 1969; Volume 2, ISBN 0231089821. [Google Scholar]
- Buczkowska, K.; Bączkiewicz, A. New Taxon of the Genus Calypogeia (Jungermanniales, Hepaticae) in Poland. Acta Soc. Bot. Pol. 2011, 80, 327–333. [Google Scholar] [CrossRef][Green Version]
- Schuster, R.M. Phylogenetic and Taxonomic Studies of Jungermanniidae, III Calypogeiaceae. Fragm. Florist. Geobot. 1995, 40, 825–888. [Google Scholar]
- Grolle, R.; Long, D. An Annotated Check-List of the Hepaticae and Anthocerotae of Europe and Macaronesia. J. Bryol. 2000, 22, 103–140. [Google Scholar] [CrossRef]
- Buczkowska, K. The Genus Calypogeia raddi (Jungermanniales, Hepaticae) in Poland, Biometrical Analysis of Morphological and Anatomical Variation. Nova Hedwig. 2004, 78, 121–146. [Google Scholar] [CrossRef]
- Buczkowska, K.; Bakalin, V.; Bczkiewicz, A.; Aguero, B.; Gonera, P.; Elipiko, M.; Szczeciñska, M.; Sawicki, J. Does Calypogeia azurea (Calypogeiaceae, Marchantiophyta) Occur Outside Europe? Molecular and Morphological Evidence. PLoS ONE 2018, 13, e0204561. [Google Scholar] [CrossRef]
- Ludwiczuk, A.; Asakawa, Y. Fingerprinting of Secondary Metabolites of Liverworts: Chemosystematic Approach. J. AOAC Int. 2014, 97, 1234–1243. [Google Scholar] [CrossRef]
- Shic Hong, W. The Family Calypogeiaceae in North America West of the Hundredth Meridian; American Bryological and Lichenological Society: New York, NY, USA, 1990; Volume 93. [Google Scholar]
- Gordon, M. The Azulenes. Chem. Rev. 1952, 50, 127–200. [Google Scholar] [CrossRef]
- Warmers, U.; Wihstutz, K.; Bülow, N.; Low, È.; Fricke, C.; König, W.A.; Nig, È. Sesquiterpene Constituents of the Liverwort Calypogeia Muelleriana. Phytochemistry 1998, 49, 1723–1731. [Google Scholar] [CrossRef]
- Glime, J. Aquatic and Wet Marchantiophyta, Order Jungermanniales: Jungermanniineae. In Bryophyte Ecology; Michigan Technological University: Houghton, MI, USA; International Association of Bryologists: Seattle, DC, USA, 2021; Volume 4. [Google Scholar]
- Sasidharan, S.; Chen, Y.; Saravanan, D.; Sundram, K.M.; Yoga Latha, L. Extraction, Isolation and Characterization of Bioactive Compounds from Plants’ Extracts. Afr. J. Tradit. Complementary Altern. Med. 2011, 8, 1–10. [Google Scholar] [CrossRef]
- Fabricant, D.S.; Farnsworth, N.F. The Value of Plants Used in Traditional Medicine for Drug Discovery. Environ. Health Perspect. 2001, 109, 69–75. [Google Scholar] [CrossRef]
- Handley, A.J. Extraction Methods in Organic Analysis; Wiley–Blackwell: Hoboken, NJ, USA, 1999; ISBN 978-1-850-75941-6. [Google Scholar]
- Smith, R.M. Before the Injection—Modern Methods of Sample Preparation for Separation Techniques. J. Chromatogr. A 2003, 1000, 3–27. [Google Scholar] [CrossRef]
- Rowan, D.D. Volatile Metabolites. Metabolites 2011, 1, 41–63. [Google Scholar] [CrossRef] [PubMed]
- Nogués, S.; Allen, D.J.; Morison, J.I.L.; Baker, N.R. Ultraviolet-B Radiation Effects on Water Relations, Leaf Development, and Photosynthesis in Droughted Pea Plants. Plant Physiol. 1998, 17, 173–181. [Google Scholar] [CrossRef] [PubMed]
- Carvalho, R.F.; Takaki, M.; Azevedo, R.A. Plant Pigments: The Many Faces of Light Perception. Acta Physiol. Plant. 2011, 33, 241–248. [Google Scholar] [CrossRef]
- Zoratti, L.; Karppinen, K.; Escobar, A.L.; Häggman, H.; Jaakola, L. Light-Controlled Flavonoid Biosynthesis in Fruits. Front. Plant Sci. 2014, 5, 534. [Google Scholar] [CrossRef]
- Yang, L.; Wen, K.S.; Ruan, X.; Zhao, Y.X.; Wei, F.; Wang, Q. Response of Plant Secondary Metabolites to Environmental Factors. Molecules 2018, 23, 762. [Google Scholar] [CrossRef]
- Wawrzyniak, R.; Wasiak, W.; Ba̧czkiewicz, A.; Buczkowska, K. Volatile Compounds in Cryptic Species of the Aneura pinguis Complex and Aneura maxima (Marchantiophyta, Metzgeriidae). Phytochemistry 2014, 105, 115–122. [Google Scholar] [CrossRef]
- Wawrzyniak, R.; Wasiak, W.; Jasiewicz, B.; Bączkiewicz, A.; Buczkowska, K. Chemical Fingerprinting of Cryptic Species and Genetic Lineages of Aneura pinguis (L.) Dumort. (Marchantiophyta, Metzgeriidae). Molecules 2021, 26, 1180. [Google Scholar] [CrossRef]
- Siegel, U.; Mues, R.; Dönig, R.; Eicher, T.H.; Blechschmidt, M.; Beckeri, H. Ten Azulenes from Plagiochila longispina and Calypogeia azurea. Phytochemistry 1992, 31, 1671–1678. [Google Scholar] [CrossRef]
- Nakagawara, S.; Katoh, K.; Kusumi, T.; Komura, H.; Nomoto, K.; Konno, H.; Huneck, S.; Takeda, R. Two Azulenes Produced by the Liverwort, Calypogeia azurea, during in Vitro Culture. Phytochemistry 1992, 31, 1667–1670. [Google Scholar] [CrossRef]
fresh,
fridge—1 month,
fridge—3 months,
freezer—1 month,
freezer—3 months.
fresh,
fridge—1 month,
fridge—3 months,
freezer—1 month,
freezer—3 months.
spring,
summer,
autumn.
spring,
summer,
autumn.
liverworts growing on soil
liverworts growing on a rotten tree under the forest litter.
liverworts growing on soil
liverworts growing on a rotten tree under the forest litter.




| Sample Code | Collection Place | Geographical Coordinates | Type of Sample | Date Month Year |
|---|---|---|---|---|
| C-1 | SE, Poland, Beskid Sądecki Mts, Krzyżowa Pass | 49°25′24.7″ N, 20°56′01.4″ E | fresh | May 2019 |
| C-2 | SE Poland, Beskid Sądecki Mts, Krzyżowa Pass | 49°25′24.7″ N, 20°56′01.4″ E | fridge 1 month | May 2019 |
| C-3 | SE Poland, Beskid Sądecki Mts, Krzyżowa Pass | 49°25′24.7″ N, 20°56′01.4″ E | fridge 3 months | May 2019 |
| C-4 | SE Poland, Beskid Sądecki Mts, Krzyżowa Pass | 49°25′24.7″ N, 20°56′01.4″ E | freezer 1 month | May 2019 |
| C-5 | SE Poland, Beskid Sądecki Mts, Krzyżowa Pass | 49°25′24.7″ N, 20°56′01.4″ E | freezer 3 months | May 2019 |
| C-6 | SE, Poland, Beskid Sądecki Mts, Krzyżowa Mount | 49°25′09.1″ N, 20°56′24.8″ E | fresh | May 2019 |
| C-7 | SW Poland, Karkonosze Mts, Sowia Valley | 50°45′19.1″ N, 15°46′32.1″ E | fresh | May 2019 |
| C-8 | SW Poland, Karkonosze Mts, Stara Road | 50°47′52.9″ N, 15°31′41.8″ E | fresh | May 2019 |
| C-9 | SE Poland, Beskid Sądecki Mts, Krzyżowa Pass | 49°25′24.7″ N, 20°56′01.4″ E | fresh | August 2019 |
| C-10 | SE, Poland, Beskid Sądecki Mts, Krzyżowa Mount | 49°25′09.1″ N, 20°56′24.8″ E | fresh | August 2019 |
| C-11 | SW Poland, Karkonosze Mts, Sowia Valley | 50°45′19.1″ N, 15°46′32.1″ E | fresh | August 2019 |
| C-12 | SW Poland, Karkonosze Mts, Stara Road | 50°47′52.9″ N, 15°31′41.8″ E | fresh | August 2019 |
| C-13 | SE Poland, Beskid Sądecki Mts, Krzyżowa Pass | 49°25′24.7″ N, 20°56′01.4″ E | fresh | November 2019 |
| C-14 | SE, Poland, Beskid Sądecki Mts, Krzyżowa Mount | 49°25′09.1″ N, 20°56′24.8″ E | fresh | November 2019 |
| C-15 | SW Poland, Karkonosze Mts, Sowia Valley | 50°45′19.1″ N, 15°46′32.1″ E | fresh | November 2019 |
| C-16 | SW Poland, Karkonosze Mts, Stara Road | 50°47′52.9″ N, 15°31′41.8″ E | fresh | November 2019 |
| C-17 | SE, Poland, Beskid Sądecki Mts, Krzyżowa Pass | 49°25′24.7″ N, 20°56′01.4″ E | in vitro | November 2019 |
| C-18 | SE, Poland, Beskid Sądecki Mts, Krzyżowa Pass | 49°25′24.7″ N, 20°56′01.4″ E | fresh | May 2020 |
| C-19 | SE, Poland, Beskid Sądecki Mts, Krzyżowa Mount | 49°25′24.7″ N, 20°56′01.4″ E | fresh | May 2020 |
| C-20 | SW Poland, Karkonosze Mts, Sowia Valley | 50°45′19.1″ N, 15°46′32.1″ E | fresh | May 2020 |
| C-21 | SW Poland, Karkonosze Mts, Stara Road | 50°47′52.9″ N, 15°31′41.8″ E | fresh | May 2020 |
| C-22 | SE Poland, Beskid Sądecki Mts, Krzyżowa Pass | 49°25′24.7″ N, 20°56′01.4″ E | fresh | August 2020 |
| C-23 | SE, Poland, Beskid Sądecki Mts, Krzyżowa Mount | 49°25′09.1″ N, 20°56′24.8″ E | fresh | August 2020 |
| C-24 | SW Poland, Karkonosze Mts, Sowia Valley | 50°45′19.1″ N, 15°46′32.1″ E | fresh | August 2020 |
| C-25 | SW Poland, Karkonosze Mts, Stara Road | 50°47′52.9″ N, 15°31′41.8″ E | fresh | August 2020 |
| C-26 | SE, Poland, Beskid Sądecki Mts, Krzyżowa Pass | 49°25′24.7″ N, 20°56′01.4″ E | fresh | November 2020 |
| C-27 | SE, Poland, Beskid Sądecki Mts, Krzyżowa Mount | 49°25′09.1″ N, 20°56′24.8″ E | fresh | November 2020 |
| C-28 | SW Poland, Karkonosze Mts, Sowia Valley | 50°45′19.1″ N, 15°46′32.1″ E | fresh | November 2020 |
| C-29 | SW Poland, Karkonosze Mts, Stara Road | 50°47′52.9″ N, 15°31′41.8″ E | fresh | November 2020 |
| C-30 | SE, Poland, Beskid Sądecki Mts, Krzyżowa Pass | 49°25′24.7″ N, 20°56′01.4″ E | in vitro | November 2020 |
| C-31 | SE, Poland, Beskid Sądecki Mts, Krzyżowa Pass | 49°25′24.7″ N, 20°56′01.4″ E | fresh | May 2021 |
| C-32 | SE, Poland, Beskid Sądecki Mts, Krzyżowa Mount | 49°25′24.7″ N, 20°56′01.4″ E | fresh | May 2021 |
| C-33 | SW Poland, Karkonosze Mts, Sowia Valley | 50°45′19.1″ N, 15°46′32.1″ E | fresh | May 2021 |
| C-34 | SW Poland, Karkonosze Mts, Stara Road | 50°47′52.9″ N, 15°31′41.8″ E | fresh | May 2021 |
| C-35 | SE Poland, Beskid Sądecki Mts, Krzyżowa Pass | 49°25′24.7″ N, 20°56′01.4″ E | fresh | August 2021 |
| C-36 | SE, Poland, Beskid Sądecki Mts, Krzyżowa Mount | 49°25′09.1″ N, 20°56′24.8″ E | fresh | August 2021 |
| C-37 | SW Poland, Karkonosze Mts, Sowia Valley | 50°45′19.1″ N, 15°46′32.1″ E | fresh | August 2021 |
| C-38 | SW Poland, Karkonosze Mts, Stara Road | 50°47′52.9″ N, 15°31′41.8″ E | fresh | August 2021 |
| C-39 | SE Poland, Beskid Sądecki Mts, Krzyżowa Pass | 49°25′24.7″ N, 20°56′01.4″ E | fresh | November 2021 |
| C-40 | SE, Poland, Beskid Sądecki Mts, Krzyżowa Mount | 49°25′09.1″ N, 20°56′24.8″ E | fresh | November 2021 |
| C-41 | SW Poland, Karkonosze Mts, Sowia Valley | 50°45′19.1″ N, 15°46′32.1″ E | fresh | November 2021 |
| C-42 | SW Poland, Karkonosze Mts, Stara Road | 50°47′52.9″ N, 15°31′41.8″ E | fresh | November 2021 |
| C-43 | SE, Poland, Beskid Sądecki Mts, Krzyżowa Pass | 49°25′24.7″ N, 20°56′01.4″ E | in vitro | November 2021 |
| No. | Compounds | RI a | Code b | ||||
|---|---|---|---|---|---|---|---|
| C-1 | C-2 | C-3 | C-4 | C-5 | |||
| 1 | 2-methyl-1-propanol | <700 | - | - | - | - | - |
| 2 | pentanal | <700 | 0.13 (0.02) | 0.10 (0.02) | 0.05 (0.01) | 0.07 (0.03) | 0.03 (0.01) |
| 3 | cyclopentanol | 748 | - | - | - | - | - |
| 4 | 3-methyl-1-butanol | 768 | 0.04 (0.02) | 0.02 (0.02) | 0.50 (0.08) | 0.26 (0.08) | 0.32 (0.08) |
| 5 | hexanal | 834 | 0.05 (0.01) | 0.03 (0.02) | 0.02 (0.01) | 0.02 (0.01) | 0.01 (*) |
| 6 | (Z)-3-hexen-1-ol | 886 | - | - | - | 0.04 (0.01) | 0.11 (0.04) |
| 7 | 1-hexanol | 896 | - | - | - | 0.06 (0.02) | 0.11 (0.03) |
| 8 | 106[M+](58) 91(100) 77(13) | 902 | 0.79 (0.06) | 0.59 (0.07) | 0.11 (0.04) | 0.35 (0.11) | 0.02 (0.01) |
| 9 | tricyclene | 939 | - | - | - | - | - |
| 10 | α-pinene | 952 | 0.06 (0.01) | 0.04 (0.02) | 0.02 (0.01) | 0.03 (0.01) | 0.01 (*) |
| 11 | camphene | 971 | - | - | - | - | - |
| 12 | β-pinene | 1004 | 0.66 (0.01) | 0.18 (0.03) | 0.11 (0.04) | 0.07 (0.02) | 0.02 (0.01) |
| 13 | 3-octanol | 1018 | - | 0.13 (0.02) | - | 0.15 (0.11) | - |
| 14 | limonene | 1048 | 0.67 (0.01) | 0.62 (0.02) | 0.26 (0.05) | 0.65 (0.21) | 0.13 (0.04) |
| 15 | benzeneacetaldehyde | 1093 | 0.12 (0.02) | 0.33 (0.02) | 0.09 (0.02) | 0.48 (0.12) | 0.01 (*) |
| 16 | 1-octen-3-yl-acetate | 1123 | 0.01 (*) | 0.03 (0.02) | 0.07 (0.02) | 0.02 (0.01) | 0.08 (0.02) |
| 17 | benzeneethanol | 1156 | 0.01 (*) | 0.21 (0.02) | 0.02 (0.01) | 0.55 (0.11) | 0.04 (0.01) |
| 18 | 160[M+](49) 145(100) 117(34) | 1224 | 4.49 (0.05) | 3.49 (0.05) | 2.63 (0.11) | 3.36 (1.14) | 0.51 (0.11) |
| 19 | β-cyclocitral | 1257 | 1.31 (0.03) | 0.71 (0.04) | 0.11 (0.03) | 0.68 (0.12) | 0.08 (0.02) |
| 20 | 1,2-dihydro-6-methylnaphthalene | 1295 | 0.14 (0.02) | 0.08 (0.03) | 0.05 (0.01) | 0.04 (0.02) | 0.03 (0.01) |
| 21 | 207[M]+(18) 121(100) 93(71) | 1332 | 0.03 (0.02) | 0.05 (0.02) | 0.07 (0.04) | 0.06 (0.01) | 0.13 (0.08) |
| 22 | δ-elemene | 1344 | 0.76 (0.02) | 1.34 (0.04) | 1.52 (0.21) | 1.31 (0.21) | 2.21 (1.11) |
| 23 | methylnaphthalene | 1359 | 0.15 (0.02) | 0.17 (0.03) | 0.27 (0.08) | 0.15 (0.11) | 0.19 (0.08) |
| 24 | 202[M+](18) 81(100) 96(83) | 1364 | 0.09 (0.02) | 0.15 (0.03) | 0.16 (0.05) | 0.21 (0.08) | 0.46 (0.11) |
| 25 | anastreptene | 1379 | 6.72 (0.03) | 10.72 (0.10) | 14.40 (1.01) | 23.93 (1.12) | 26.43 (1.34) |
| 26 | 204[M+](25) 105(100) 161(83) | 1382 | 0.52 (0.02) | 0.24 (0.02) | 0.08 (0.02) | 0.11 (0.04) | 0.04 (0.01) |
| 27 | 202[M+](5) 159(100) 91(95) | 1387 | 0.10 (0.10) | 0.08 (0.03) | 0.05 (0.01) | 0.07 (0.02) | 0.03 (0.01) |
| 28 | 202[M+](5) 143(100) 128(92) | 1392 | 1.73 (0.03) | 1.63 (0.05) | 1.35 (0.03) | 0.75 (0.12) | 0.07 (0.02) |
| 29 | β-elemene | 1405 | 0.18 (0.02) | 0.38 (0.04) | 0.38 (0.01) | 0.59 (0.08) | 0.93 (0.21) |
| 30 | 204[M]+(52) 161(100) 107(89) | 1407 | - | - | - | - | - |
| 31 | 202[M]+(2) 143(100) 128(93) | 1418 | 0.28 (0.03) | 0.24 (0.02) | 0.19 (0.01) | 0.06 (0.02) | 0.04 (0.01) |
| 32 | α-gurjunene | 1423 | 0.20 (0.01) | 0.21 (0.02) | 0.25 (0.02) | 0.26 (0.08) | 0.28 (0.09) |
| 33 | 202[M]+(2) 145(100) 160(35) | 1426 | 0.22 (0.02) | 0.18 (0.02) | 0.15 (0.01) | 0.20 (0.06) | 0.18 (0.07) |
| 34 | β-gurjunene | 1431 | 0.20 (0.02) | 0.26 (0.03) | 0.15 (0.03) | 0.52 (0.12) | 0.11 (0.05) |
| 35 | 204[M]+(12) 159(100) 105(95) | 1436 | 0.13 (0.02) | 0.11 (0.02) | 0.12 (0.02) | 0.21 (0.08) | 0.31 (0.11) |
| 36 | (−)-aristolene | 1439 | 0.29 (0.02) | 0.23 (0.03) | 0.17 (0.02) | 0.26 (0.08) | 0.11 (0.08) |
| 37 | γ-gurjunene | 1444 | 0.04 (0.01) | 0.03 (0.02) | 0.04 (0.01) | 0.03 (0.01) | 0.02 (0.01) |
| 38 | γ-maaliene | 1449 | 0.39 (0.02) | 0.44 (0.02) | 0.66 (0.03) | 0.83 (0.14) | 1.19 (0.21) |
| 39 | α-maaliene | 1455 | 0.33 (0.02) | 0.59 (0.04) | 0.56 (0.03) | 0.79 (0.18) | 0.71 (0.11) |
| 40 | alloaromadendrene | 1459 | 3.63 (0.04) | 5.50 (0.20) | 5.87 (0.06) | 8.38 (2.32) | 10.17 (2.46) |
| 41 | selina-5,11-diene | 1470 | 0.56 (0.04) | 0.90 (0.06) | 0.64 (0.02) | 1.73 (0.08) | 1.63 (0.32) |
| 42 | 202[M]+(20) 105(100) 159(68) | 1475 | 0.64 (0.06) | 0.71 (0.04) | 0.85 (0.04) | 0.99 (0.12) | 1.52 (0.28) |
| 43 | 202[M+](30) 159(100) 131(75) | 1479 | 0.51 (0.01) | 0.62 (0.02) | 0.26 (0.03) | 1.12 (0.06) | 0.73 (0.11) |
| 44 | dehydroaromadendrene | 1482 | 0.47 (0.06) | 0.66 (0.03) | 0.72 (0.06) | 1.01 (0.04) | 1.21 (0.22) |
| 45 | 204[M+](1) 142(100) 141(78) | 1495 | 0.11 (0.02) | 0.09 (0.02) | 0.05 (0.02) | 0.29 (0.08) | 0.31 (0.10) |
| 46 | β-guaiene | 1505 | 0.04 (0.01) | 0.07 (0.02) | 0.13 (0.04) | 0.11 (0.02) | 0.08 (0.04) |
| 47 | germacrene D | 1510 | 2.78 (0.14) | 3.22 (0.05) | 2.19 (0.11) | 5.15 (1.21) | 4.95 (1.11) |
| 48 | ledene | 1516 | 0.03 (0.01) | 0.06 (0.02) | 0.04 (0.01) | 0.13 (0.06) | 0.09 (0.03) |
| 49 | bicyclogermacrene | 1521 | 4.08 (0.31) | 7.01 (0.12) | 10.43 (0.31) | 13.00 (2.42) | 15.39 (5.43) |
| 50 | 220[M+](5) 148(100) 133(95) | 1525 | 0.12 (0.02) | 0.36 (0.02) | 0.26 (0.06) | 0.72 (0.12) | 0.43 (0.14) |
| 51 | cuparene | 1538 | 0.68 (0.08) | 1.06 (0.03) | 1.58 (0.08) | 1.85 (0.24) | 3.82 (1.12) |
| 52 | 204[M+](22) 93(100) 105(68) | 1543 | 0.08 (0.03) | 0.05 (0.03) | 0.04 (0.01) | 0.09 (0.02) | 0.08 (0.02) |
| 53 | 202[M+](12) 157(100) 142(62) | 1554 | 0.36 (0.04) | 0.45 (0.03) | 0.31 (0.03) | 1.52 (0.24) | 1.20 (0.24) |
| 54 | 204[M+](18) 155(100) 119(82) | 1558 | 0.06 (0.02) | 0.04 (0.02) | 0.07 (0.02) | 0.02 (0.01) | 0.03 (0.01) |
| 55 | 200[M]+ (72) 143(100) 129(93) | 1571 | 0.22 (0.04) | 0.45 (0.02) | 0.42 (0.08) | 0.64 (0.16) | 0.85 (0.12) |
| 56 | 200[M+](73) 143(100) 157(97) | 1579 | 0.05 (0.02) | 0.12 (0.02) | 0.33 (0.04) | 0.31 (0.10) | 0.23 (0.10) |
| 57 | 204[M]+ (6) 69(100) 41(85) | 1586 | 0.22 (0.04) | 0.05 (0.02) | 0.05 (0.01) | 0.08 (0.02) | 0.06 (0.02) |
| 58 | cadina-3,9-diene | 1591 | 0.21 (0.03) | 0.19 (0.02) | 0.12 (0.05) | 0.27 (0.08) | 0.21 (0.09) |
| 59 | maaliol | 1609 | - | - | - | 0.25 (0.08) | 1.52 (0.22) |
| 60 | 1,4-dimethylazulene | 1616 | 46.10 (1.40) | 36.35 (0.91) | 29.16 (1.22) | 4.00 (0.32) | 0.42 (0.10) |
| 61 | (+)-spathulenol | 1619 | - | 0.2 (0.03) | - | 0.21 (0.10) | - |
| 62 | (−)-globulol | 1631 | 0.50 (0.07) | 0.15 (0.03) | 0.06 (0.01) | 0.13 (0.06) | 0.21 (0.09) |
| 63 | 220[M+](5) 132(100) 43(96) | 1637 | 0.47 (0.04) | 0.47 (0.06) | 0.93 (0.08) | 1.21 (0.28) | 1.28 (0.21) |
| 64 | 202[M+](3) 166(100) 165(98) | 1645 | - | - | - | - | - |
| 65 | 202[M+](2)129(100) 172(72) | 1655 | 1.53 (0.22) | 1.54 (0.06) | 1.54 (0.13) | 0.80 (0.11) | 1.43 (0.18) |
| 66 | 200[M+](2) 145(100) 158(55) | 1664 | - | - | - | - | - |
| 67 | isospathulenol | 1667 | 0.34 (0.04) | 0.32 (0.03) | 0.21 (0.07) | 1.17 (0.21) | 1.85 (0.15) |
| 68 | 218[M+](2) 71(100) 57(93) | 1674 | 0.08 (0.02) | 0.03 (0.01) | 0.05 (0.02) | 0.26 (0.08) | 0.06 (0.02) |
| 69 | 220[M+](5) 129(100) 144(92) | 1678 | 0.10 (0.03) | 0.08 (0.02) | 0.05 (0.01) | 0.07 (0.02) | 0.05 (0.01) |
| 70 | 220[M+](31) 159(100) 105(81) | 1684 | 0.46 (0.04) | 0.32 (0.02) | 0.66 (0.08) | 0.17 (0.07) | 0.52 (0.10) |
| 71 | 202[M+](92) 143(100) 128(78) | 1689 | 0.13 (0.03) | 0.21 (0.03) | 0.15 (0.05) | 0.08 (0.02) | 0.05 (0.01) |
| 72 | 220[M+](11) 109(100) 121(51) | 1695 | 0.06 (0.02) | 0.07 (0.02) | 0.04 (0.01) | 0.14 (0.08) | 0.11 (0.08) |
| 73 | 220[M+](13) 159(100) 145(89) | 1710 | 0.16 (0.04) | 0.12 (0.03) | 0.12 (0.07) | 0.18 (0.04) | 0.24 (0.08) |
| 74 | 4-(cyclopent-1-enyl)benzoic acid methyl ester | 1722 | 13.61 (0.58) | 12.43 (0.15) | 12.08 (0.58) | 10.45 (2.22) | 4.04 (1.12) |
| 75 | 216[M+](10) 202(100) 159(96) | 1744 | 0.08 (0.02) | 0.15 (0.03) | 0.21 (0.08) | 0.29 (0.08) | 0.33 (0.12) |
| 76 | 216[M+](3) 202(100) 143(81) | 1784 | 0.05 (0.03) | 0.07 (0.02) | 0.03 (0.01) | - | - |
| 77 | germacra-4(15),5,10(14)-trien-1-alpha-ol | 1801 | 0.42 (0.03) | 0.67 (0.06) | 0.82 (0.11) | 1.26 (0.26) | 2.89 (1.11) |
| 78 | 1,4-dimethyl-7-(1-methylethyl)-azulene | 1823 | 0.05 (0.03) | 0.05 (0.02) | 0.02 (0.01) | 0.25 (0.10) | 0.27 (0.09) |
| 79 | methyl-2-methylazulene-1-carboxylate | 2025 | 0.08 (0.02) | 0.54 (0.04) | 1.56 (0.22) | 1.52 (0.34) | 2.87 (1.12) |
| Total | 99.91 (4.22) | 98.99 (3.23) | 96.66 (5.89) | 97.02 (16.53) | 96.08 (20.87) | ||
| % Identified | 86.04 (3.19) | 86.23 (2.41) | 85.33 (4.67) | 82.66 (13.14) | 84.78 (18.38) | ||
| Including: | |||||||
| Aliphatics | 0.23 (0.05) | 0.31 (0.09) | 0.64 (0.12) | 0.62 (0.27) | 0.66 (0.18) | ||
| Aromatics | 14.03 (0.63) | 13.22 (0.24) | 12.51 (0.68) | 11.67 (2.55) | 4.31 (1.22) | ||
| Monoterpene hydrocarbons | 1.39 (0.03) | 0.84 (0.06) | 0.39 (0.09) | 0.75 (0.24) | 0.16 (0.05) | ||
| Monoterpenoide hydrocarbons | 1.31 (0.03) | 0.71 (0.04) | 0.11 (0.03) | 0.68 (0.12) | 0.08 (0.02) | ||
| Sesquiterpene hydrocarbons | 68.16 (2.32) | 69.94 (1.86) | 69.85 (3.45) | 65.66 (9.17) | 73.12 (15.33) | ||
| Sesquiterpenoide hydrocarbons | 0.92 (0.14) | 1.21 (0.12) | 1.83 (0.30) | 3.28 (0.79) | 6.45 (1.58) | ||
| No. | Compounds | RI a | Code b | ||||
|---|---|---|---|---|---|---|---|
| C-6 | C-7 | C-8 | C-9 | C-10 | |||
| 1 | 2-methyl-1-propanol | <700 | 0.15 (0.08) | - | - | - | 0.08 (0.02) |
| 2 | pentanal | <700 | 0.05 (0.01) | 0.14 (0.02) | 0.06 (0.02) | 0.01 (*) | 0.03 (0.01) |
| 3 | cyclopentanol | 748 | 0.05 (0.02) | - | - | - | 0.06 (0.01) |
| 4 | 3-methyl-1-butanol | 768 | 0.45 (0.11) | 0.03 (0.01) | 0.02 (0.01) | 0.03 (0.01) | 0.21 (0.09) |
| 5 | hexanal | 834 | 0.27 (0.08) | 0.02 (0.01) | 0.01 (*) | 0.01 (*) | 0.12 (0.04) |
| 6 | (Z)-3-hexen-1-ol | 886 | 0.16 (0.06) | - | - | - | 0.10 (0.02) |
| 7 | 1-hexanol | 896 | 0.08 (0.04) | - | - | 0.10 (0.02) | 0.12 (0.04) |
| 8 | 106[M+](58) 91(100) 77(13) | 902 | 1.22 (0.22) | 0.65 (0.08) | 0.55 (0.10) | 0.41 (010) | 0.60 (0.10) |
| 9 | tricyclene | 939 | 0.09 (0.02) | - | - | - | 0.05 (0.01) |
| 10 | α-pinene | 952 | 0.37 (0.08) | 0.05 (0.01) | 0.08 (0.02) | 0.04 (0.01) | 0.18 (0.04) |
| 11 | camphene | 971 | 0.70 (0.12) | - | - | - | 0.48 (0.11) |
| 12 | β-pinene | 1004 | 0.31 (0.10) | 0.61 (0.07) | 0.53 (0.12) | 0.06 (0.01) | 0.18 (0.06) |
| 13 | 3-octanol | 1018 | 0.15 (0.08) | - | - | 0.03 (0.01) | 0.23 (0.09) |
| 14 | limonene | 1048 | 1.82 (0.21) | 0.45 (0.06) | 0.56 (0.10) | 0.15 (0.06) | 0.28 (0.09) |
| 15 | benzeneacetaldehyde | 1093 | 0.07 (0.02) | 0.21 (0.04) | 0.15 (0.04) | 0.07 (0.01) | 0.05 (0.01) |
| 16 | 1-octen-3-yl-acetate | 1123 | 0.92 (0.16) | 0.02 (0.01) | 0.05 (0.04) | 0.47 (0.10) | 1.21 (0.09) |
| 17 | benzeneethanol | 1156 | - | 0.01 (*) | 0.01 (*) | 0.01 (*) | - |
| 18 | 160[M+](49) 145(100) 117(34) | 1224 | 2.33 (0.88) | 3.43 (0.12) | 4.90 (1.11) | 3.49 (0.88) | 2.23 (0.21) |
| 19 | β-cyclocitral | 1257 | 0.46 (0.10) | 1.45 (0.10) | 1.28 (0.24) | 1.21 (0.10) | 0.64 (0.10) |
| 20 | 1,2-dihydro-6-methylnaphthalene | 1295 | - | 0.10 (0.04) | 0.04 (0.01) | 0.10 (0.03) | - |
| 21 | 207[M]+(18) 121(100) 93(71) | 1332 | 0.06 (0.02) | 0.09 (0.02) | 0.10 (0.02) | 0.14 (0.08) | 0.07 (0.01) |
| 22 | δ-elemene | 1344 | 1.17 (0.34) | 0.66 (0.08) | 0.42 (0.10) | 2.32 (0.21) | 1.21 (0.09) |
| 23 | methylnaphthalene | 1359 | 0.01 (*) | 0.08 (0.02) | 0.08 (0.02) | 0.09 (0.02) | 0.03 (0.01) |
| 24 | 202[M+](18) 81(100) 96(83) | 1364 | 0.35 (0.10) | 0.08 (0.02) | 0.12 (0.04) | 0.19 (0.08) | 0.15 (0.04) |
| 25 | anastreptene | 1379 | 30.89 (1.58) | 6.92 (0.12) | 6.82 (1.24) | 11.95 (2.22) | 21.06 (3.34) |
| 26 | 204[M+](25) 105(100) 161(83) | 1382 | - | 0.44 (0.08) | 0.49 (0.12) | 0.32 (0.10) | 0.05 (0.01) |
| 27 | 202[M+](5) 159(100) 91(95) | 1387 | - | 0.16 (0.03) | 0.05 (0.01) | 0.05 (0.01) | - |
| 28 | 202[M+](5) 143(100) 128(92) | 1392 | 0.45 (0.11) | 1.82 (0.11) | 1.44 (0.34) | 1.21 (0.08) | 0.55 (0.12) |
| 29 | β-elemene | 1405 | 0.47 (0.10) | 0.20 (0.08) | 0.43 (0.08) | 0.50 (0.10) | 0.41 (0.10) |
| 30 | 204[M]+(52) 161(100) 107(89) | 1407 | 0.01 (*) | - | - | - | 0.04 (0.01) |
| 31 | 202[M]+(2) 143(100) 128(93) | 1418 | 0.17 (0.08) | 0.38 (0.10) | 0.20 (0.09) | 0.21 (0.09) | 0.09 (0.02) |
| 32 | α-gurjunene | 1423 | 0.69 (0.10) | 0.20 (0.08) | 0.13 (0.06) | 0.25 (0.08) | 0.29 (0.09) |
| 33 | 202[M]+(2) 145(100) 160(35) | 1426 | 0.01 (0.09) | 0.35 (0.04) | 0.25 (0.08) | 0.18 (0.06) | 0.11 (0.04) |
| 34 | β-gurjunene | 1431 | 0.46 (0.10) | 0.15 (0.04) | 0.13 (0.07) | 0.05 (0.01) | 0.07 (0.02) |
| 35 | 204[M]+(12) 159(100) 105(95) | 1436 | 0.24 (0.09) | 0.12 (0.03) | 0.12 (0.08) | 0.03 (0.01) | 0.25 (0.09) |
| 36 | (−)-aristolene | 1439 | 0.37 (0.10) | 0.31 (0.09) | 0.21 (0.09) | 0.34 (0.09) | 0.15 (0.04) |
| 37 | γ-gurjunene | 1444 | 0.14 (0.08) | 0.04 (0.01) | 0.05 (0.01) | 0.05 (0.01) | 0.09 (0.02) |
| 38 | γ-maaliene | 1449 | 0.83 (0.12) | 0.92 (0.08) | 0.78 (0.10) | 0.60 (0.10) | 0.74 (0.10) |
| 39 | α-maaliene | 1455 | 0.78 (0.10) | 0.35 (0.06) | 0.45 (0.09) | 0.39 (0.09) | 0.62 (0.09) |
| 40 | alloaromadendrene | 1459 | 8.83 (1.22) | 3.32 (0.12) | 4.32 (0.14) | 4.70 (1.10) | 6.22 (1.22) |
| 41 | selina-5,11-diene | 1470 | 1.07 (0.21) | 0.92 (0.08) | 0.92 (0.21) | 0.81 (0.10) | 0.24 (0.09) |
| 42 | 202[M]+(20) 105(100) 159(68) | 1475 | 1.61 (0.32) | 0.19 (0.03) | 0.16 (0.06) | 0.14 (0.07) | 0.82 (0.12) |
| 43 | 202[M+](30) 159(100) 131(75) | 1479 | 2.20 (0.43) | 0.62 (0.12) | 0.18 (0.07) | 0.28 (0.09) | 1.14 (0.21) |
| 44 | dehydroaromadendrene | 1482 | 1.47 (0.32) | 0.65 (0.10) | 0.53 (0.10) | 1.00 (0.22) | 0.88 (0.09) |
| 45 | 204[M+](1) 142(100) 141(78) | 1495 | 0.16 (0.08) | 0.16 (0.06) | 0.08 (0.02) | 0.10 (0.03) | 0.30 (0.05) |
| 46 | β-guaiene | 1505 | 0.08 (0.04) | 0.03 (0.01) | 0.04 (0.01) | 0.14 (0.04) | 0.20 (0.07) |
| 47 | germacrene D | 1510 | 5.22 (1.05) | 3.48 (0.12) | 3.20 (0.22) | 2.82 (0.22) | 3.21 (0.32) |
| 48 | ledene | 1516 | 0.13 (0.04) | - | - | 0.03 (0.01) | 0.05 (0.01) |
| 49 | bicyclogermacrene | 1521 | 8.93 (1.73) | 4.52 (1.11) | 4.32(0.84) | 9.63 (1.11) | 15.59 (1.34) |
| 50 | 220[M+](5) 148(100) 133(95) | 1525 | 0.10 (0.04) | 0.25 (0.07) | 0.22 (0.09) | 0.52 (0.10) | 0.42 (0.09) |
| 51 | cuparene | 1538 | 1.94 (0.32) | 0.78 (0.10) | 0.65 (0.10) | 1.47 (0.21) | 1.02 (0.12) |
| 52 | 204[M+](22) 93(100) 105(68) | 1543 | 0.01 (0.04) | 0.08 (0.02) | 0.08 (0.02) | 0.05 (0.01) | 0.08 (0.02) |
| 53 | 202[M+](12) 157(100) 142(62) | 1554 | 1.31 (0.22) | 0.37 (0.08) | 0.18 (0.08) | 0.49 (0.10) | 0.20 (0.09) |
| 54 | 204[M+](18) 155(100) 119(82) | 1558 | 0.09 (0.02) | 0.09 (0.02) | 0.02 (0.01) | 0.03 (0.01) | 0.05 (0.01) |
| 55 | 200[M]+ (72) 143(100) 129(93) | 1571 | 0.42 (0.12) | 0.32 (0.09) | 0.32 (0.09) | 0.79 (0.12) | 0.36 (0.11) |
| 56 | 200[M+](73) 143(100) 157(97) | 1579 | 0.22 (0.08) | 0.08 (0.02) | 0.06 (0.01) | 0.23 (0.08) | 0.15 (0.08) |
| 57 | 204[M]+ (6) 69(100) 41(85) | 1586 | 0.06 (0.02) | 0.30 (0.09) | 0.11 (0.02) | 0.15 (0.08) | 0.08 (0.02) |
| 58 | cadina-3,9-diene | 1591 | 0.11 (0.04) | 0.15 (0.04) | 0.11 (0.02) | 0.03 (0.01) | 0.18 (0.06) |
| 59 | maaliol | 1609 | - | - | - | - | - |
| 60 | 1,4-dimethylazulene | 1616 | 10.08 (0.32) | 40.95 (1.08) | 42.32 (1.12) | 28.05 (1.12) | 19.55 (0.84) |
| 61 | (+)-spathulenol | 1619 | 0.58 (0.12) | - | - | - | 0.36 (0.10) |
| 62 | (-)-globulol | 1631 | 0.79 (0.11) | 0.22 (0.09) | 0.23 (0.10) | 0.13 (0.06) | 0.09 (0.02) |
| 63 | 220[M+](5) 132(100) 43(96) | 1637 | 0.43 (0.12) | 0.22 (0.08) | 0.82 (0.12) | 0.99 (0.22) | 0.17 (0.04) |
| 64 | 202[M+](3) 166(100) 165(98) | 1645 | - | - | - | - | 0.01 (*) |
| 65 | 202[M+](2)129(100) 172(72) | 1655 | 0.82 (0.14) | 1.80 (0.12) | 1.75 (0.15) | 2.97 (0.64) | 1.36 (0.22) |
| 66 | 200[M+](2) 145(100) 158(55) | 1664 | - | - | - | - | 0.01 (*) |
| 67 | isospathulenol | 1667 | 0.36 (0.11) | 0.36 (0.09) | 0.26 (0.03) | 0.30 (0.08) | 0.80 (0.12) |
| 68 | 218[M+](2) 71(100) 57(93) | 1674 | 0.39 (0.12) | 0.40 (0.08) | 0.11 (0.02) | 0.02 (0.01) | 0.18 (0.06) |
| 69 | 220[M+](5) 129(100) 144(92) | 1678 | 0.10 (0.02) | 0.02 (0.01) | 0.03 (0.01) | 0.03 (0.01) | - |
| 70 | 220[M+](31) 159(100) 105(81) | 1684 | 0.25 (0.08) | 0.33 (0.08) | 0.34 (0.06) | 0.51 (0.12) | 0.85 (0.24) |
| 71 | 202[M+](92) 143(100) 128(78) | 1689 | 0.08 (0.02) | 0.03 (0.01) | 0.12 (0.02) | 0.14 (0.03) | 0.03 (0.01) |
| 72 | 220[M+](11) 109(100) 121(51) | 1695 | 0.16 (0.08) | 0.08 (0.01) | 0.09 (0.02) | 0.04 (0.01) | 0.10 (0.06) |
| 73 | 220[M+](13) 159(100) 145(89) | 1710 | 0.13 (0.06) | 0.15 (0.03) | 0.12 (0.02) | 0.20 (0.04) | 0.98 (0.12) |
| 74 | 4-(cyclopent-1-enyl)benzoic acid methyl ester | 1722 | 1.23 (0.21) | 14.98 (2.22) | 13.60 (0.32) | 13.55 (0.42) | 9.00 (0.33) |
| 75 | 216[M+](10) 202(100) 159(96) | 1744 | 0.29 (0.08) | 0.12 (0.04) | 0.02 (0.01) | 0.09 (0.02) | 0.12 (0.05) |
| 76 | 216[M+](3) 202(100) 143(81) | 1784 | 0.04 (0.01) | 0.07 (0.02) | 0.05 (0.01) | 0.04 (0.01) | 0.02 (0.01) |
| 77 | germacra-4(15),5,10(14)-trien-1-alpha-ol | 1801 | 1.02 (0.10) | 0.47 (0.10) | 0.28 (0.03) | 0.98 (0.11) | 0.31 (0.10) |
| 78 | 1,4-dimethyl-7-(1-methylethyl)-azulene | 1823 | 0.15 (0.08) | 0.08 (0.02) | 0.08 (0.02) | 0.01 (*) | 0.08 (0.02) |
| 79 | methyl-2-methylazulene-1-carboxylate | 2025 | 0.01 (*) | 0.09 (0.03) | 0.08 (0.02) | 1.36 (0.14) | 0.84 (0.12) |
| Total | 97.62 (13.58) | 97.12 (8.08) | 96.31 (8.61) | 97.89 (11.53) | 98.88 (11.96) | ||
| % Identified | 83.91 (9.93) | 83.92 (6.37) | 83.23 (5.71) | 83.85 (8.24) | 87.31 (9.70) | ||
| Including: | |||||||
| Aliphatics | 2.28 (0.64) | 0.21 (0.05) | 0.14 (0.04) | 0.65 (0.14) | 2.16 (0.41) | ||
| Aromatics | 1.31 (0.23) | 15.38 (2.32) | 13.88 (0.39) | 13.83 (0.48) | 9.08 (0.35) | ||
| Monoterpene hydrocarbons | 3.29 (0.53) | 1.11 (0.14) | 1.17 (0.24) | 0.25 (0.08) | 1.17 (0.31) | ||
| Monoterpenoide hydrocarbons | 0.46 (0.10) | 1.45 (0.10) | 1.28 (0.24) | 1.21 (0.10) | 0.64 (0.10) | ||
| Sesquiterpene hydrocarbons | 74.83 (8.09) | 65.10 (3.55) | 66.19 (4.65) | 66.12 (7.16) | 72.17 (8.17) | ||
| Sesquiterpenoide hydrocarbons | 1.74 (0.34) | 0.67 (0.21) | 0.57 (0.15) | 1.79 (0.28) | 2.09 (0.36) | ||
| No | Compounds | RI a | Code b | ||||
|---|---|---|---|---|---|---|---|
| C-11 | C-12 | C-13 | C-14 | C-15 | |||
| 1 | 2-methyl-1-propanol | <700 | - | - | - | 0.01 (*) | - |
| 2 | pentanal | <700 | 0.02 (0.01) | 0.06 (0.01) | 0.09 (0.02) | 0.01 (*) | 0.07 (0.02) |
| 3 | cyclopentanol | 748 | - | - | - | 0.07 (0.01) | - |
| 4 | 3-methyl-1-butanol | 768 | 0.01 (*) | 0.02 (0.01) | 0.02 (0.02) | 0.06 (0.01) | 0.01 (*) |
| 5 | hexanal | 834 | 0.01 (*) | 0.01 (*) | 0.01 (*) | 0.01 (*) | 0.01 (*) |
| 6 | (Z)-3-hexen-1-ol | 886 | - | - | - | - | - |
| 7 | 1-hexanol | 896 | 0.10 (0.04) | 0.09 (0.02) | 0.35 (0.10) | 0.22 (0.09) | 0.28 (0.09) |
| 8 | 106[M+](58) 91(100) 77(13) | 902 | 0.28 (0.09) | 0.31 (0.09) | 0.10 (0.03) | - | 0.11 (0.03) |
| 9 | tricyclene | 939 | - | - | - | 0.01 (*) | - |
| 10 | α-pinene | 952 | 0.08 (0.02) | 0.18 (0.04) | 0.08 (0.02) | 0.04 (0.01) | 0.15 (0.04) |
| 11 | camphene | 971 | - | - | - | 0.01 (*) | - |
| 12 | β-pinene | 1004 | 0.03 (0.01) | 0.15 (0.04) | 0.43 (0.10) | 0.36 (0.09) | 0.45 (0.10) |
| 13 | 3-octanol | 1018 | 0.02 (0.01) | 0.01 (*) | 0.07 (0.01) | 0.11 (0.02) | 0.03 (0.01) |
| 14 | limonene | 1048 | 0.13 (0.06) | 0.12 (0.04) | 0.45 (0.09) | 0.07 (0.01) | 0.35 (0.09) |
| 15 | benzene acetaldehyde | 1093 | 0.23 (0.09) | 0.15 (0.06) | 0.07 (0.01) | 0.01 (*) | 0.23 (0.08) |
| 16 | 1-octen-3-yl-acetate | 1123 | 0.38 (0.10) | 0.33 (0.10) | 0.60 (0.12) | 1.42 (0.10) | 0.48 (0.10) |
| 17 | benzene ethanol | 1156 | 0.01 (*) | 0.01 (*) | 0.01 (*) | - | 0.01 (*) |
| 18 | 160[M+](49) 145(100) 117(34) | 1224 | 3.47 (0.46) | 2.95 (0.22) | 1.28 (0.16) | 2.19 (0.18) | 1.47 (0.18) |
| 19 | β-cyclocitral | 1257 | 0.79 (0.12) | 1.26 (0.16) | 1.64 (0.17) | 0.52 (0.10) | 0.79 (0.18) |
| 20 | 1,2-dihydro-6-methylnaphthalene | 1295 | 0.14 (0.04) | 0.06 (0.01) | 0.14 (0.04) | - | 0.18 (0.04) |
| 21 | 207[M]+(18) 121(100) 93(71) | 1332 | 0.15 (0.04) | 0.16 (0.04) | 0.05 (0.01) | 0.08 (0.02) | 0.02 (0.01) |
| 22 | δ-elemene | 1344 | 2.08 (0.87) | 2.72 (0.76) | 0.22 (0.09) | 1.35 (0.12) | 0.31 (0.09) |
| 23 | methylnaphthalene | 1359 | 0.05 (0.01) | 0.05 (0.01) | 0.14 (0.04) | 0.05 (0.01) | 0.05 (0.01) |
| 24 | 202[M+](18) 81(100) 96(83) | 1364 | 0.18 (0.06) | 0.20 (0.06) | 0.13 (0.03) | 0.11 (0.03) | 0.14 (0.03) |
| 25 | anastreptene | 1379 | 10.68 (2.46) | 10.91 (2.42) | 4.87 (0.86) | 8.81 (1.32) | 5.32 (0.98) |
| 26 | 204[M+](25) 105(100) 161(83) | 1382 | 0.28 (0.09) | 0.58 (0.12) | 0.10 (0.02) | 0.11 (0.03) | 0.11 (0.03) |
| 27 | 202[M+](5) 159(100) 91(95) | 1387 | 0.04 (0.01) | 0.07 (0.01) | 0.15 (0.04) | 0.02 (0.01) | 0.21 (0.06) |
| 28 | 202[M+](5) 143(100) 128(92) | 1392 | 1.09 (0.46) | 1.24 (0.08) | 0.89 (0.10) | 0.62 (0.09) | 1.09 (0.12) |
| 29 | β-elemene | 1405 | 0.30 (0.08) | 0.52 (0.10) | 0.14 (0.04) | 0.35 (0.10) | 0.70 (0.22) |
| 30 | 204[M]+(52) 161(100) 107(89) | 1407 | - | - | - | 0.09 (0.02) | - |
| 31 | 202[M]+(2) 143(100) 128(93) | 1418 | 0.32 (0.10) | 0.25 (0.09) | 0.12 (0.04) | 0.02 (0.01) | 0.12 (0.03) |
| 32 | α-gurjunene | 1423 | 0.25 (0.09) | 0.19 (0.08) | 0.16 (0.03) | 0.16 (0.03) | 0.11 (0.02) |
| 33 | 202[M]+(2) 145(100) 160(35) | 1426 | 0.46 (0.12) | 0.30 (0.09) | 0.12 (0.03) | 0.22 (0.08) | 0.21 (0.08) |
| 34 | β-gurjunene | 1431 | 0.02 (0.01) | 0.03 (0.01) | 0.02 (0.01) | 0.06 (0.01) | 0.01 (*) |
| 35 | 204[M]+(12) 159(100) 105(95) | 1436 | 0.05 (0.01) | 0.10 (0.03) | 0.01 (*) | 0.27 (0.08) | 0.02 (0.01) |
| 36 | (-)-aristolene | 1439 | 0.52 (0.14) | 0.35 (0.10) | 0.15 (0.04) | 0.02 (0.01) | 0.05 (0.01) |
| 37 | γ-gurjunene | 1444 | 0.05 (0.01) | 0.05 (0.01) | 0.28 (0.09) | 0.04 (0.01) | 0.30 (0.08) |
| 38 | γ-maaliene | 1449 | 1.08 (0.46) | 0.85 (0.09) | 0.14 (0.03) | 0.62 (0.08) | 0.32 (0.08) |
| 39 | α-maaliene | 1455 | 0.28 (0.09) | 0.45 (0.09) | 0.31 (0.09) | 0.51 (0.07) | 0.25 (0.07) |
| 40 | alloaromadendrene | 1459 | 4.01 (1.22) | 4.96 (1.10) | 1.13 (0.42) | 4.98 (1.10) | 1.05 (0.22) |
| 41 | selina-5,11-diene | 1470 | 1.20 (0.12) | 1.05 (0.12) | 0.18 (0.05) | 0.70 (0.09) | 0.25 (0.08) |
| 42 | 202[M]+(20) 105(100) 159(68) | 1475 | 0.29 (0.08) | 0.23 (0.08) | 0.04 (0.01) | 0.39 (0.08) | 0.12 (0.04) |
| 43 | 202[M+](30) 159(100) 131(75) | 1479 | 0.37 (0.09) | 0.25 (0.09) | 0.37 (0.09) | 0.50 (0.07) | 0.46 (0.10) |
| 44 | dehydroaromadendrene | 1482 | 1.04 (0.22) | 1.33 (0.22) | - | 0.41 (0.10) | - |
| 45 | 204[M+](1) 142(100) 141(78) | 1495 | 0.17 (0.06) | 0.08 (0.01) | 0.10 (0.02) | 0.13 (0.03) | 0.05 (0.01) |
| 46 | β-guaiene | 1505 | 0.07 (0.01) | 0.10 (0.04) | 0.21 (0.09) | 0.04 (0.01) | 0.11 (0.02) |
| 47 | germacrene D | 1510 | 2.57 (0.34) | 2.60 (0.32) | 1.15 (0.18) | 2.98 (0.28) | 1.56 (0.15) |
| 48 | ledene | 1516 | 0.01 (*) | 0.02 (0.01) | 0.02 (0.01) | 0.03 (0.01) | 0.01 (*) |
| 49 | bicyclogermacrene | 1521 | 10.95 (1.10) | 10.47 (1.32) | 1.67 (0.22) | 8.73 (1.12) | 1.45 (0.18) |
| 50 | 220[M+](5) 148(100) 133(95) | 1525 | 0.32 (0.09) | 0.32 (0.09) | 0.09 (0.02) | 0.31 (0.09) | 0.09 (0.02) |
| 51 | cuparene | 1538 | 0.98 (0.10) | 1.28 (0.21) | 0.60 (0.09) | 0.66 (0.08) | 0.34 (0.09) |
| 52 | 204[M+](22) 93(100) 105(68) | 1543 | 0.10 (0.04) | 0.12 (0.04) | 0.04 (0.01) | 0.11 (0.04) | 0.03 (0.01) |
| 53 | 202[M+](12) 157(100) 142(62) | 1554 | 0.43 (0.12) | 0.24 (0.09) | 0.41 (0.10) | 0.53 (0.12) | 0.40 (0.10) |
| 54 | 204[M+](18) 155(100) 119(82) | 1558 | 0.10 (0.03) | 0.03 (0.01) | 0.16 (0.04) | 0.02 (0.01) | 0.24 (0.08) |
| 55 | 200[M]+ (72) 143(100) 129(93) | 1571 | 0.48 (0.10) | 0.53 (0.10) | 0.48 (0.10) | 0.37 (0.09) | 0.34 (0.09) |
| 56 | 200[M+](73) 143(100) 157(97) | 1579 | 0.19 (0.06) | 0.15 (0.04) | 0.05 (0.01) | 0.12 (0.03) | 0.04 (0.01) |
| 57 | 204[M]+ (6) 69(100) 41(85) | 1586 | 0.35 (0.10) | 0.17 (0.06) | 0.18 (0.05) | 0.11 (0.03) | 0.12 (0.02) |
| 58 | cadina-3,9-diene | 1591 | 0.08 (0.02) | 0.14 (0.04) | 0.12 (0.03) | 0.19 (0.04) | 0.08 (0.01) |
| 59 | maaliol | 1609 | - | - | - | - | - |
| 60 | 1,4-dimethylazulene | 1616 | 27.03 (1.22) | 26.17 (1.12) | 58.79 (1.76) | 30.28 (0.98) | 54.28 (1.76) |
| 61 | (+)-spathulenol | 1619 | - | - | - | 0.12 (0.04) | - |
| 62 | (−)-globulol | 1631 | 0.18 (0.04) | 0.25 (0.07) | 0.47 (0.12) | 0.54 (0.09) | 0.12 (0.03) |
| 63 | 220[M+](5) 132(100) 43(96) | 1637 | 0.60 (0.14) | 0.72 (0.14) | 0.48 (0.12) | 0.02 (0.01) | 0.33 (0.09) |
| 64 | 202[M+](3) 166(100) 165(98) | 1645 | - | - | - | 0.03 (0.01) | - |
| 65 | 202[M+](2)129(100) 172(72) | 1655 | 3.72 (0.72) | 2.98 (0.46) | 1.07 (0.21) | 1.92 (0.18) | 1.72 (0.16) |
| 66 | 200[M+](2) 145(100) 158(55) | 1664 | - | - | - | 0.03 (0.01) | - |
| 67 | isospathulenol | 1667 | 0.36 (0.09) | 0.26 (0.09) | 0.13 (0.03) | 0.30 (0.08) | 0.26 (0.07) |
| 68 | 218[M+](2) 71(100) 57(93) | 1674 | 0.04 (0.01) | 0.11 (0.03) | - | 0.02 (0.01) | - |
| 69 | 220[M+](5) 129(100) 144(92) | 1678 | 0.02 (0.01) | 0.03 (0.01) | 0.13 (0.04) | 0.31 (0.14) | 0.12 (0.03) |
| 70 | 220[M+](31) 159(100) 105(81) | 1684 | 0.39 (0.10) | 0.38 (0.09) | 0.16 (0.03) | 4.22 (0.72) | 0.29 (0.08) |
| 71 | 202[M+](92) 143(100) 128(78) | 1689 | 0.14 (0.04) | 0.14 (0.03) | 0.19 (0.03) | 0.01 (*) | 0.11 (0.02) |
| 72 | 220[M+](11) 109(100) 121(51) | 1695 | 0.06 (0.01) | 0.12 (0.02) | - | 0.09 (0.02) | - |
| 73 | 220[M+](13) 159(100) 145(89) | 1710 | 0.19 (0.04) | 0.18 (0.04) | 0.10 (0.02) | 1.43 (0.12) | 0.11 (0.02) |
| 74 | 4-(cyclopent-1-enyl)benzoic acid methyl ester | 1722 | 15.87 (0.48) | 14.50 (0.52) | 14.55 (0.56) | 16.10 (0.62) | 16.92 (0.64) |
| 75 | 216[M+](10) 202(100) 159(96) | 1744 | 0.13 (0.04) | 0.04 (0.01) | 0.02 (0.01) | 0.05 (0.01) | 0.08 (0.02) |
| 76 | 216[M+](3) 202(100) 143(81) | 1784 | 0.06 (0.01) | 0.03 (0.01) | 0.03 (0.01) | 0.01 (*) | 0.06 (0.01) |
| 77 | germacra-4(15),5,10(14)-trien-1-alpha-ol | 1801 | 0.70 (0.09) | 0.72 (0.08) | 0.57 (0.08) | 0.35 (0.09) | 0.52 (0.09) |
| 78 | 1,4-dimethyl-7-(1-methylethyl)-azulene | 1823 | 0.06 (0.01) | 0.02 (0.01) | 0.05 (0.01) | 0.01 (*) | 0.11 (0.02) |
| 79 | methyl-2-methylazulene-1-carboxylate | 2025 | 1.22 (0.16) | 1.44 (0.14) | 1.52 (0.14) | 1.62 (0.12) | 1.38 (0.12) |
| Total | 98.06 (13.27) | 96.89 (11.84) | 98.60 (7.19) | 97.39 (9.41) | 97.11 (7.28) | ||
| % Identified | 83.59 (9.94) | 83.88 (9.56) | 91.55 (5.82) | 82.94 (7.05) | 88.90 (5.79) | ||
| Including: | |||||||
| Aliphatics | 0.54 (0.16) | 0.52 (0.14) | 1.14 (0.27) | 1.91 (0.23) | 0.88 (0.22) | ||
| Aromatics | 16.30 (0.62) | 14.77 (0.60) | 14.91 (0.65) | 16.16 (0.63) | 17.39 (0.77) | ||
| Monoterpene hydrocarbons | 0.24 (0.09) | 0.45 (0.12) | 0.96 (0.21) | 0.49 (0.11) | 0.95 (0.23) | ||
| Monoterpenoide hydrocarbons | 0.79 (0.12) | 1.26 (0.16) | 1.64 (0.17) | 0.52 (0.10) | 0.79 (0.18) | ||
| Sesquiterpene hydrocarbons | 63.96 (8.66) | 64.93 (8.24) | 70.78 (4.22) | 61.28 (5.65) | 67.13 (4.17) | ||
| Sesquiterpenoide hydrocarbons | 1.76 (0.29) | 1.95 (0.30) | 2.12 (0.30) | 2.58 (0.33) | 1.76 (0.22) | ||
| No | Compounds | RI a | Code b | ||||
|---|---|---|---|---|---|---|---|
| C-16 | C-17 | C-18 | C-19 | C-20 | |||
| 1 | 2-methyl-1-propanol | <700 | - | - | - | 0.11 (0.04) | - |
| 2 | pentanal | <700 | 0.09 (0.02) | 0.01 (*) | 0.11 (0.04) | 0.07 (0.01) | 0.09 (0.02) |
| 3 | cyclopentanol | 748 | - | - | - | 0.06 (0.01) | - |
| 4 | 3-methyl-1-butanol | 768 | 0.02 (0.01) | 0.02 (0.01) | 0.07 (0.01) | 0.38 (0.09) | 0.05 (0.01) |
| 5 | hexanal | 834 | 0.01 (*) | 0.01 (*) | 0.03 (0.01) | 0.33 (0.08) | 0.01 (*) |
| 6 | (Z)-3-hexen-1-ol | 886 | - | - | - | 0.19 (0.05) | - |
| 7 | 1-hexanol | 896 | 0.41 (0.09) | 0.08 (0.02) | - | 0.11 (0.03) | - |
| 8 | 106[M+](58) 91(100) 77(13) | 902 | 0.08 (0.02) | 0.57 (0.09) | 0.68 (0.10) | 1.25 (0.12) | 0.59 (0.11) |
| 9 | tricyclene | 939 | - | - | - | 0.08 (0.02) | - |
| 10 | α-pinene | 952 | 0.13 (0.03) | 0.05 (0.01) | 0.04 (0.01) | 0.38 (0.09) | 0.07 (0.02) |
| 11 | camphene | 971 | - | - | - | 0.68 (0.11) | - |
| 12 | β-pinene | 1004 | 0.32 (0.09) | 0.05 (0.01) | 0.73 (0.12) | 0.27 (0.08) | 0.65 (0.11) |
| 13 | 3-octanol | 1018 | 0.04 (0.01) | 0.02 (0.01) | - | 0.15 (0.04) | - |
| 14 | limonene | 1048 | 0.15 (0.04) | 0.13 (0.03) | 0.61 (0.10) | 1.79 (0.14) | 0.47 (0.09) |
| 15 | benzene acetaldehyde | 1093 | 0.15 (0.03) | 0.07 (0.01) | 0.15 (0.02) | 0.11 (0.03) | 0.25 (0.05) |
| 16 | 1-octen-3-yl-acetate | 1123 | 0.23 (0.08) | 0.45 (0.09) | 0.03 (0.01) | 1.01 (0.10) | 0.01 (*) |
| 17 | benzene ethanol | 1156 | 0.01 (*) | 0.01 (*) | 0.02 (0.01) | - | 0.02 (0.01) |
| 18 | 160[M+](49) 145(100) 117(34) | 1224 | 1.95 (0.18) | 3.10 (0.42) | 4.29 (0.26) | 2.29 (0.22) | 3.39 (0.22) |
| 19 | β-cyclocitral | 1257 | 0.76 (0.18) | 1.11 (0.10) | 1.37 (0.12) | 0.51 (0.10) | 1.38 (0.26) |
| 20 | 1,2-dihydro-6-methylnaphthalene | 1295 | 0.16 (0.03) | 0.12 (0.03) | 0.16 (0.04) | - | 0.11 (0.04) |
| 21 | 207[M]+(18) 121(100) 93(71) | 1332 | 0.04 (0.01) | 0.10 (0.02) | 0.05 (0.01) | 0.08 (0.02) | 0.08 (0.02) |
| 22 | δ-elemene | 1344 | 0.21 (0.08) | 2.01 (0.26) | 0.71 (0.10) | 1.23 (0.12) | 0.61 (0.11) |
| 23 | methylnaphthalene | 1359 | 0.05 (0.01) | 0.06 (0.01) | 0.17 (0.04) | 0.03 (0.01) | 0.11 (0.03) |
| 24 | 202[M+](18) 81(100) 96(83) | 1364 | 0.11 (0.02) | 0.29 (0.06) | 0.11 (0.03) | 0.28 (0.08) | 0.10 (0.02) |
| 25 | anastreptene | 1379 | 4.91 (0.78) | 11.48 (0.82) | 6.68 (0.82) | 31.01 (2.12) | 6.95 (0.28) |
| 26 | 204[M+](25) 105(100) 161(83) | 1382 | 0.17 (0.04) | 0.34 (0.07) | 0.48 (0.10) | - | 0.47 (0.09) |
| 27 | 202[M+](5) 159(100) 91(95) | 1387 | 0.18 (0.04) | 0.06 (0.01) | 0.13 (0.04) | - | 0.21 (0.06) |
| 28 | 202[M+](5) 143(100) 128(92) | 1392 | 1.11 (0.11) | 1.06 (0.10) | 1.81 (0.14) | 0.52 (0.12) | 1.78 (0.12) |
| 29 | β-elemene | 1405 | 0.15 (0.04) | 0.61 (0.10) | 0.21 (0.07) | 0.41 (0.10) | 0.22 (0.04) |
| 30 | 204[M]+(52) 161(100) 107(89) | 1407 | - | - | - | 0.02 (0.01) | - |
| 31 | 202[M]+(2) 143(100) 128(93) | 1418 | 0.14 (0.03) | 0.13 (0.03) | 0.31 (0.09) | 0.21 (0.06) | 0.41 (0.09) |
| 32 | α-gurjunene | 1423 | 0.12 (0.03) | 0.25 (0.04) | 0.18 (0.05) | 0.59 (0.12) | 0.18 (0.05) |
| 33 | 202[M]+(2) 145(100) 160(35) | 1426 | 0.24 (0.07) | 0.27 (0.04) | 0.17 (0.04) | 0.03 (0.01) | 0.37 (0.08) |
| 34 | β-gurjunene | 1431 | 0.02 (0.01) | 0.05 (0.01) | 0.19 (0.04) | 0.48 (0.10) | 0.17 (0.04) |
| 35 | 204[M]+(12) 159(100) 105(95) | 1436 | 0.05 (0.01) | 0.02 (0.01) | 0.12 (0.03) | 0.21 (0.06) | 0.15 (0.04) |
| 36 | (-)-aristolene | 1439 | 0.08 (0.02) | 0.47 (0.09) | 0.33 (0.09) | 0.33 (0.08) | 0.27 (0.08) |
| 37 | γ-gurjunene | 1444 | 0.32 (0.09) | 0.07 (0.01) | 0.02 (0.01) | 0.18 (0.04) | 0.03 (0.01) |
| 38 | γ-maaliene | 1449 | 0.25 (0.08) | 0.72 (0.10) | 0.34 (0.09) | 0.87 (0.12) | 0.87 (0.10) |
| 39 | α-maaliene | 1455 | 0.22 (0.08) | 0.39 (0.09) | 0.37 (0.09) | 0.78 (0.11) | 0.35 (0.09) |
| 40 | alloaromadendrene | 1459 | 1.92 (0.21) | 5.11 (0.76) | 3.59 (0.26) | 8.91 (1.56) | 3.28 (1.10) |
| 41 | selina-5,11-diene | 1470 | 0.30 (0.09) | 0.79 (0.10) | 0.59 (0.12) | 1.11 (0.14) | 0.91 (0.14) |
| 42 | 202[M]+(20) 105(100) 159(68) | 1475 | 0.14 (0.03) | 0.19 (0.04) | 0.67 (0.11) | 1.47 (0.16) | 0.20 (0.06) |
| 43 | 202[M+](30) 159(100) 131(75) | 1479 | 0.51 (0.12) | 0.33 (0.09) | 0.47 (0.10) | 2.18 (0.11) | 0.59 (0.10) |
| 44 | dehydroaromadendrene | 1482 | - | 1.33 (0.14) | 0.54 (0.12) | 1.41 (0.14) | 0.57 (0.10) |
| 45 | 204[M+](1) 142(100) 141(78) | 1495 | 0.05 (0.01) | 0.08 (0.02) | 0.11 (0.03) | 0.18 (0.04) | 0.21 (0.04) |
| 46 | β-guaiene | 1505 | 0.15 (0.03) | 0.19 (0.04) | 0.05 (0.01) | 0.07 (0.01) | 0.03 (0.01) |
| 47 | germacrene D | 1510 | 1.86 (0.18) | 3.08 (0.32) | 2.76 (0.16) | 5.18 (0.32) | 3.51 (1.10) |
| 48 | ledene | 1516 | 0.02 (0.01) | 0.15 (0.04) | 0.06 (0.02) | 0.15 (0.03) | - |
| 49 | bicyclogermacrene | 1521 | 1.78 (0.15) | 10.35 (0.76) | 4.11 (0.22) | 9.01 (1.86) | 4.47 (1.21) |
| 50 | 220[M+](5) 148(100) 133(95) | 1525 | 0.11 (0.02) | 0.61 (0.12) | 0.15 (0.03) | 0.12 (0.04) | 0.21 (0.05) |
| 51 | cuparene | 1538 | 0.42 (0.10) | 1.88 (0.22) | 0.63 (0.10) | 1.96 (0.21) | 0.81 (0.12) |
| 52 | 204[M+](22) 93(100) 105(68) | 1543 | 0.05 (0.01) | 0.09 (0.02) | 0.05 (0.01) | 0.02 (0.01) | 0.11 (0.03) |
| 53 | 202[M+](12) 157(100) 142(62) | 1554 | 0.20 (0.06) | 0.54 (0.09) | 0.33 (0.12) | 1.28 (0.18) | 0.35 (0.09) |
| 54 | 204[M+](18) 155(100) 119(82) | 1558 | 0.27 (0.08) | 0.04 (0.01) | 0.07 (0.02) | 0.08 (0.02) | 0.07 (0.02) |
| 55 | 200[M]+ (72) 143(100) 129(93) | 1571 | 0.38 (0.09) | 0.64 (0.10) | 0.18 (0.04) | 0.38 (0.09) | 0.35 (0.08) |
| 56 | 200[M+](73) 143(100) 157(97) | 1579 | 0.02 (0.01) | 0.29 (0.04) | 0.07 (0.01) | 0.21 (0.06) | 0.05 (0.01) |
| 57 | 204[M]+ (6) 69(100) 41(85) | 1586 | 0.15 (0.03) | 0.20 (0.04) | 0.18 (0.04) | 0.05 (0.01) | 0.27 (0.06) |
| 58 | cadina-3,9-diene | 1591 | 0.07 (0.01) | 0.15 (0.03) | 0.23 (0.05) | 0.13 (0.03) | 0.17 (0.03) |
| 59 | maaliol | 1609 | - | - | - | - | - |
| 60 | 1,4-dimethylazulene | 1616 | 56.13 (1.86) | 29.05 (0.88) | 45.98 (2.46) | 10.15 (0.76) | 40.87 (1.52) |
| 61 | (+)-spathulenol | 1619 | - | - | - | 0.51 (0.10) | - |
| 62 | (-)-globulol | 1631 | 0.23 (0.06) | 0.23 (0.05) | 0.47 (0.10) | 0.72 (0.10) | 0.25 (0.06) |
| 63 | 220[M+](5) 132(100) 43(96) | 1637 | 0.42 (0.11) | 0.97 (0.10) | 0.52 (0.11) | 0.39 (0.09) | 0.18 (0.04) |
| 64 | 202[M+](3) 166(100) 165(98) | 1645 | - | - | - | - | - |
| 65 | 202[M+](2)129(100) 172(72) | 1655 | 1.22 (0.13) | 2.61 (0.28) | 1.59 (0.16) | 0.79 (0.11) | 1.91 (0.16) |
| 66 | 200[M+](2) 145(100) 158(55) | 1664 | - | - | - | - | - |
| 67 | isospathulenol | 1667 | 0.20 (0.06) | 0.41 (0.09) | 0.29 (0.07) | 0.41 (0.09) | 0.41 (0.09) |
| 68 | 218[M+](2) 71(100) 57(93) | 1674 | - | 0.03 (0.01) | 0.11 (0.03) | 0.40 (0.09) | 0.39 (0.08) |
| 69 | 220[M+](5) 129(100) 144(92) | 1678 | 0.11 (0.03) | 0.07 (0.01) | 0.08 (0.02) | 0.11 (0.03) | 0.02 (0.01) |
| 70 | 220[M+](31) 159(100) 105(81) | 1684 | 0.28 (0.08) | 0.47 (0.09) | 0.51 (0.10) | 0.18 (0.04) | 0.35 (0.08) |
| 71 | 202[M+](92) 143(100) 128(78) | 1689 | 0.17 (0.03) | 0.09 (0.01) | 0.15 (0.03) | 0.09 (0.02) | 0.05 (0.01) |
| 72 | 220[M+](11) 109(100) 121(51) | 1695 | - | 0.07 (0.01) | 0.08 (0.02) | 0.16 (0.03) | 0.09 (0.02) |
| 73 | 220[M+](13) 159(100) 145(89) | 1710 | 0.10 (0.03) | 0.14 (0.03) | 0.13 (0.03) | 0.15 (0.04) | 0.13 (0.03) |
| 74 | 4-(cyclopent-1-enyl)benzoic acid methyl ester | 1722 | 15.22 (0.68) | 9.82 (0.52) | 13.55 (0.68) | 1.17 (0.18) | 15.87 (0.70) |
| 75 | 216[M+](10) 202(100) 159(96) | 1744 | 0.02 (0.01) | 0.11 (0.03) | 0.11 (0.03) | 0.29 (0.08) | 0.14 (0.03) |
| 76 | 216[M+](3) 202(100) 143(81) | 1784 | 0.03 (0.01) | 0.05 (0.01) | 0.07 (0.01) | 0.03 (0.01) | 0.08 (0.01) |
| 77 | germacra-4(15),5,10(14)-trien-1-alpha-ol | 1801 | 0.48 (0.09) | 1.26 (0.18) | 0.38 (0.09) | 1.05 (0.14) | 0.45 (0.10) |
| 78 | 1,4-dimethyl-7-(1-methylethyl)-azulene | 1823 | 0.11 (0.03) | 0.26 (0.04) | 0.06 (0.01) | 0.16 (0.05) | 0.07 (0.02) |
| 79 | methyl-2-methylazulene-1-carboxylate | 2025 | 1.21 (0.13) | 1.50 (0.16) | 0.09 (0.02) | 0.03 (0.01) | 0.15 (0.03) |
| Total | 97.21 (6.92) | 97.36 (8.18) | 99.64 (8.27) | 97.72 (11.63) | 97.99 (9.63) | ||
| % Identified | 88.91 (5.52) | 83.80 (6.18) | 85.86 (6.38) | 84.27 (9.67) | 84.69 (7.77) | ||
| Including: | |||||||
| Aliphatics | 0.80 (0.21) | 0.59 (0.13) | 0.24 (0.07) | 2.41 (0.45) | 0.16 (0.03) | ||
| Aromatics | 15.59 (0.75) | 10.08 (0.57) | 14.01 (0.79) | 1.31 (0.22) | 16.36 (0.83) | ||
| Monoterpene hydrocarbons | 0.60 (0.16) | 0.23 (0.05) | 1.38 (0.23) | 3.20 (0.44) | 1.19 (0.22) | ||
| Monoterpenoide hydrocarbons | 0.76 (0.18) | 1.11 (0.10) | 1.37 (0.12) | 0.51 (0.10) | 1.38 (0.26) | ||
| Sesquiterpene hydrocarbons | 69.52 (3.97) | 69.65 (5.03) | 68.01 (4.98) | 75.17 (8.16) | 64.79 (6.25) | ||
| Sesquiterpenoide hydrocarbons | 1.64 (0.25) | 2.14 (0.30) | 0.85 (0.19) | 1.67 (0.30) | 0.81 (0.18) | ||
| No. | Compounds | RI a | Code b | ||||
|---|---|---|---|---|---|---|---|
| C-21 | C-22 | C-23 | C-24 | C-25 | |||
| 1 | 2-methyl-1-propanol | <700 | - | - | 0.11 (0.03) | - | - |
| 2 | pentanal | <700 | 0.07 (0.02) | 0.03 (0.01) | 0.04 (0.01) | 0.06 (0.01) | 0.10 (0.02) |
| 3 | cyclopentanol | 748 | - | - | 0.03 (0.01) | - | - |
| 4 | 3-methyl-1-butanol | 768 | 0.05 (0.01) | 0.01 (*) | 0.19 (0.05) | 0.02 (0.01) | 0.05 (0.01) |
| 5 | hexanal | 834 | 0.02 (0.01) | 0.05 (0.01) | 0.16 (0.04) | 0.02 (0.01) | 0.03 (0.01) |
| 6 | (Z)-3-hexen-1-ol | 886 | - | - | 0.13 (0.03) | - | - |
| 7 | 1-hexanol | 896 | - | 0.08 (0.02) | 0.15 (0.04) | 0.12 (0.03) | 0.11 (0.03) |
| 8 | 106[M+](58) 91(100) 77(13) | 902 | 0.59 (0.12) | 0.45 (0.10) | 0.57 (0.10) | 0.25 (0.04) | 0.25 (0.04) |
| 9 | tricyclene | 939 | - | - | 0.07 (0.02) | - | - |
| 10 | α-pinene | 952 | 0.11 (0.03) | 0.07 (0.01) | 0.21 (0.03) | 0.11 (0.02) | 0.23 (0.04) |
| 11 | camphene | 971 | - | - | 0.52 (0.10) | - | - |
| 12 | β-pinene | 1004 | 0.49 (0.10) | 0.05 (0.01) | 0.16 (0.03) | 0.05 (0.01) | 0.13 (0.03) |
| 13 | 3-octanol | 1018 | - | 0.01 (*) | 0.25 (0.04) | 0.03 (0.01) | 0.01 (*) |
| 14 | limonene | 1048 | 0.58 (0.11) | 0.20 (0.05) | 0.26 (0.04) | 0.15 (0.04) | 0.15 (0.02) |
| 15 | benzene acetaldehyde | 1093 | 0.17 (0.03) | 0.09 (0.02) | 0.07 (0.02) | 0.27 (0.04) | 0.14 (0.02) |
| 16 | 1-octen-3-yl-acetate | 1123 | 0.06 (0.01) | 0.51 (0.10) | 1.18 (0.12) | 0.31 (0.05) | 0.39 (0.09) |
| 17 | benzene ethanol | 1156 | 0.02 (0.01) | 0.03 (0.01) | - | 0.01 (*) | 0.01 (*) |
| 18 | 160[M+](49) 145(100) 117(34) | 1224 | 4.95 (0.18) | 3.52 (0.14) | 2.26 (0.18) | 3.52 (0.22) | 3.02 (0.22) |
| 19 | β-cyclocitral | 1257 | 1.31 (0.26) | 1.27 (0.18) | 0.67 (0.10) | 0.81 (0.12) | 1.31 (0.18) |
| 20 | 1,2-dihydro-6-methylnaphthalene | 1295 | 0.06 (0.01) | 0.13 (0.03) | - | 0.14 (0.04) | 0.05 (0.01) |
| 21 | 207[M]+(18) 121(100) 93(71) | 1332 | 0.11 (0.02) | 0.15 (0.04) | 0.11 (0.03) | 0.17 (0.03) | 0.17 (0.02) |
| 22 | δ-elemene | 1344 | 0.38 (0.09) | 2.29 (0.22) | 1.24 (0.14) | 2.12 (0.22) | 2.83 (0.16) |
| 23 | methylnaphthalene | 1359 | 0.11 (0.03) | 0.11 (0.03) | 0.09 (0.02) | 0.06 (0.01) | 0.07 (0.02) |
| 24 | 202[M+](18) 81(100) 96(83) | 1364 | 0.15 (0.04) | 0.21 (0.04) | 0.11 (0.03) | 0.18 (0.04) | 0.15 (0.02) |
| 25 | anastreptene | 1379 | 6.79 (0.28) | 12.01 (0.34) | 20.89 (0.56) | 10.57 (0.34) | 11.05 (0.34) |
| 26 | 204[M+](25) 105(100) 161(83) | 1382 | 0.52 (0.10) | 0.35 (0.09) | 0.05 (0.01) | 0.31 (0.08) | 0.61 (0.12) |
| 27 | 202[M+](5) 159(100) 91(95) | 1387 | 0.06 (0.01) | 0.05 (0.01) | - | 0.06 (0.02) | 0.11 (0.03) |
| 28 | 202[M+](5) 143(100) 128(92) | 1392 | 1.38 (0.12) | 1.25 (0.17) | 0.61 (0.10) | 1.11 (0.14) | 1.31 (0.16) |
| 29 | β-elemene | 1405 | 0.55 (0.10) | 0.47 (0.09) | 0.39 (0.09) | 0.32 (0.09) | 0.59 (0.10) |
| 30 | 204[M]+(52) 161(100) 107(89) | 1407 | - | - | 0.05 (0.01) | - | - |
| 31 | 202[M]+(2) 143(100) 128(93) | 1418 | 0.20 (0.04) | 0.18 (0.04) | 0.11 (0.03) | 0.27 (0.08) | 0.31 (0.09) |
| 32 | α-gurjunene | 1423 | 0.15 (0.02) | 0.23 (0.06) | 0.29 (0.06) | 0.26 (0.07) | 0.22 (0.07) |
| 33 | 202[M]+(2) 145(100) 160(35) | 1426 | 0.23 (0.04) | 0.21 (0.05) | 0.13 (0.03) | 0.51 (0.11) | 0.33 (0.08) |
| 34 | β-gurjunene | 1431 | 0.16 (0.03) | 0.06 (0.02) | 0.09 (0.02) | 0.03 (0.01) | 0.09 (0.02) |
| 35 | 204[M]+(12) 159(100) 105(95) | 1436 | 0.14 (0.02) | 0.05 (0.01) | 0.28 (0.04) | 0.03 (0.01) | 0.15 (0.03) |
| 36 | (-)-aristolene | 1439 | 0.22 (0.04) | 0.41 (0.09) | 0.17 (0.04) | 0.49 (0.10) | 0.28 (0.08) |
| 37 | γ-gurjunene | 1444 | 0.05 (0.01) | 0.04 (0.01) | 0.13 (0.03) | 0.05 (0.01) | 0.09 (0.02) |
| 38 | γ-maaliene | 1449 | 0.81 (0.12) | 0.58 (0.10) | 0.69 (0.10) | 1.17 (0.16) | 0.93 (0.12) |
| 39 | α-maaliene | 1455 | 0.52 (0.09) | 0.39 (0.09) | 0.59 (0.11) | 0.24 (0.05) | 0.51 (0.10) |
| 40 | alloaromadendrene | 1459 | 4.28 (1.12) | 4.69 (0.32) | 6.32 (1.18) | 4.15 (0.32) | 5.21 (0.22) |
| 41 | selina-5,11-diene | 1470 | 0.89 (0.12) | 0.83 (0.12) | 0.27 (0.05) | 0.98 (0.18) | 1.21 (0.21) |
| 42 | 202[M]+(20) 105(100) 159(68) | 1475 | 0.19 (0.05) | 0.17 (0.04) | 0.92 (0.17) | 0.33 (0.09) | 0.33 (0.09) |
| 43 | 202[M+](30) 159(100) 131(75) | 1479 | 0.21 (0.04) | 0.22 (0.05) | 1.04 (0.16) | 0.41 (0.09) | 0.23 (0.06) |
| 44 | dehydroaromadendrene | 1482 | 0.49 (0.10) | 1.09 (0.12) | 0.92 (0.12) | 1.09 (0.22) | 1.15 (0.18) |
| 45 | 204[M+](1) 142(100) 141(78) | 1495 | 0.09 (0.02) | 0.16 (0.04) | 0.31 (0.07) | 0.25 (0.04) | 0.09 (0.02) |
| 46 | β-guaiene | 1505 | 0.04 (0.01) | 0.14 (0.04) | 0.24 (0.04) | 0.05 (0.01) | 0.19 (0.04) |
| 47 | germacrene D | 1510 | 3.15 (0.11) | 2.69 (0.160 | 3.25 (0.18) | 2.63 (0.18) | 2.47 (0.18) |
| 48 | ledene | 1516 | - | 0.06 (0.01) | 0.03 (0.01) | 0.01 (*) | 0.02 (0.01) |
| 49 | bicyclogermacrene | 1521 | 4.39 (1.20) | 9.65 (2.22) | 15.28 (1.42) | 11.18 (1.11) | 10.25 (1.02) |
| 50 | 220[M+](5) 148(100) 133(95) | 1525 | 0.18 (0.05) | 0.61 (0.10) | 0.51 (0.11) | 0.28 (0.06) | 0.39 (0.09) |
| 51 | cuparene | 1538 | 0.71 (0.10) | 1.53 (0.13) | 1.12 (0.14) | 1.05 (0.16) | 1.21 (0.14) |
| 52 | 204[M+](22) 93(100) 105(68) | 1543 | 0.11 (0.03) | 0.07 (0.02) | 0.08 (0.01) | 0.08 (0.02) | 0.19 (0.04) |
| 53 | 202[M+](12) 157(100) 142(62) | 1554 | 0.21 (0.04) | 0.51 (0.10) | 0.24 (0.04) | 0.37 (0.09) | 0.18 (0.03) |
| 54 | 204[M+](18) 155(100) 119(82) | 1558 | 0.01 (*) | 0.05 (0.01) | 0.06 (0.01) | 0.10 (0.02) | 0.01 (*) |
| 55 | 200[M]+ (72) 143(100) 129(93) | 1571 | 0.28 (0.08) | 0.81 (0.11) | 0.41 (0.09) | 0.51 (0.09) | 0.64 (0.12) |
| 56 | 200[M+](73) 143(100) 157(97) | 1579 | 0.06 (0.02) | 0.26 (0.04) | 0.15 (0.03) | 0.21 (0.05) | 0.15 (0.03) |
| 57 | 204[M]+ (6) 69(100) 41(85) | 1586 | 0.11 (0.04) | 0.19 (0.04) | 0.11 (0.02) | 0.42 (0.09) | 0.21 (0.05) |
| 58 | cadina-3,9-diene | 1591 | 0.13 (0.04) | 0.06 (0.01) | 0.21 (0.05) | 0.09 (0.02) | 0.15 (0.03) |
| 59 | maaliol | 1609 | - | - | - | - | - |
| 60 | 1,4-dimethylazulene | 1616 | 41.89 (1.62) | 28.09 (0.88) | 20.13 (0.86) | 26.99 (0.92) | 26.29 (0.92) |
| 61 | (+)-spathulenol | 1619 | - | - | 0.41 (0.09) | - | - |
| 62 | (−)-globulol | 1631 | 0.23 (0.06) | 0.17 (0.04) | 0.04 (0.01) | 0.21 (0.04) | 0.18 (0.03) |
| 63 | 220[M+](5) 132(100) 43(96) | 1637 | 0.87 (0.10) | 1.09 (0.16) | 0.15 (0.02) | 0.57 (0.10) | 0.82 (0.12) |
| 64 | 202[M+](3) 166(100) 165(98) | 1645 | - | - | 0.01 (*) | - | - |
| 65 | 202[M+](2)129(100) 172(72) | 1655 | 1.75 (0.16) | 2.97 (0.18) | 1.15 (0.22) | 3.84 (0.18) | 3.12 (0.22) |
| 66 | 200[M+](2) 145(100) 158(55) | 1664 | - | - | 0.01 (*) | - | - |
| 67 | isospathulenol | 1667 | 0.31 (0.08) | 0.27 (0.05) | 0.69 (0.12) | 0.43 (0.09) | 0.31 (0.09) |
| 68 | 218[M+](2) 71(100) 57(93) | 1674 | 0.15 (0.03) | 0.05 (0.01) | 0.19 (0.04) | 0.02 (0.01) | 0.11 (0.03) |
| 69 | 220[M+](5) 129(100) 144(92) | 1678 | 0.03 (0.01) | 0.07 (0.02) | - | 0.02 (0.01) | 0.03 (0.01) |
| 70 | 220[M+](31) 159(100) 105(81) | 1684 | 0.41 (0.09) | 0.57 (0.10) | 0.95 (0.12) | 0.42 (0.09) | 0.41 (0.09) |
| 71 | 202[M+](92) 143(100) 128(78) | 1689 | 0.13 (0.03) | 0.19 (0.04) | 0.05 (0.01) | 0.15 (0.03) | 0.21 (0.04) |
| 72 | 220[M+](11) 109(100) 121(51) | 1695 | 0.08 (0.01) | 0.90 (0.12) | 0.09 (0.02) | 0.06 (0.01) | 0.15 (0.04) |
| 73 | 220[M+](13) 159(100) 145(89) | 1710 | 0.15 (0.02) | 0.18 (0.040 | 0.98 (0.18) | 0.21 (0.03) | 0.16 (0.03) |
| 74 | 4-(cyclopent-1-enyl)benzoic acid methyl ester | 1722 | 14.54 (0.78) | 12.95 (0.68) | 8.15 (0.56) | 15.92 (0.34) | 15.02 (0.67) |
| 75 | 216[M+](10) 202(100) 159(96) | 1744 | 0.02 (0.01) | 0.07 (0.02) | 0.15 (0.04) | 0.15 (0.03) | 0.04 (0.01) |
| 76 | 216[M+](3) 202(100) 143(81) | 1784 | 0.07 (0.01) | 0.09 (0.02) | 0.02 (0.01) | 0.05 (0.01) | 0.03 (0.01) |
| 77 | germacra-4(15),5,10(14)-trien-1-alpha-ol | 1801 | 0.31 (0.10) | 1.09 (0.14) | 0.35 (0.09) | 0.69 (0.12) | 0.69 (0.10) |
| 78 | 1,4-dimethyl-7-(1-methylethyl)-azulene | 1823 | 0.08 (0.01) | 0.03 (0.01) | 0.06 (0.01) | 0.06 (0.01) | 0.02 (0.01) |
| 79 | methyl-2-methylazulene-1-carboxylate | 2025 | 0.11 (0.03) | 1.41 (0.12) | 0.91 (0.10) | 1.29 (0.12) | 1.38 (0.11) |
| Total | 97.67 (9.41) | 99.52 (8.50) | 99.01 (8.84) | 99.09 (7.22) | 99.03 (7.39) | ||
| % Identified | 84.23 (7.88) | 83.87 (6.55) | 87.15 (6.91) | 84.23 (5.31) | 85.12 (5.45) | ||
| Including: | |||||||
| Aliphatics | 0.20 (0.05) | 0.69 (0.14) | 2.24 (0.37) | 0.56 (0.12) | 0.69 (0.16) | ||
| Aromatics | 14.90 (0.86) | 13.31 (0.77) | 8.31 (0.60) | 16.40 (0.43) | 15.29 (0.72) | ||
| Monoterpene hydrocarbons | 1.18 (0.24) | 0.32 (0.07) | 1.22 (0.22) | 0.31 (0.07) | 0.51 (0.09) | ||
| Monoterpenoide hydrocarbons | 1.31 (0.26) | 1.27 (0.18) | 0.67 (0.10) | 0.81 (0.12) | 1.31 (0.18) | ||
| Sesquiterpene hydrocarbons | 65.99 (6.30) | 66.43 (5.18) | 72.66 (5.30) | 64.22 (4.30) | 65.45 (4.07) | ||
| Sesquiterpenoide hydrocarbons | 0.65 (0.17) | 1.85 (0.21) | 2.05 (0.32) | 1.93 (0.27) | 1.87 (0.23) | ||
| No. | Compounds | RI a | Code b | ||||
|---|---|---|---|---|---|---|---|
| C-26 | C-27 | C-28 | C-29 | C-30 | |||
| 1 | 2-methyl-1-propanol | <700 | - | 0.01 (*) | - | - | - |
| 2 | pentanal | <700 | 0.07 (0.02) | 0.01 (*) | 0.02 (0.01) | 0.12 (0.03) | 0.03 (0.01) |
| 3 | cyclopentanol | 748 | - | 0.05 (0.01) | - | - | - |
| 4 | 3-methyl-1-butanol | 768 | 0.05 (0.05) | 0.05 (0.01) | 0.01 (*) | 0.01 (*) | 0.03 (0.01) |
| 5 | hexanal | 834 | 0.01 (*) | 0.01 (*) | 0.01 (*) | 0.01 (*) | 0.03 (0.01) |
| 6 | (Z)-3-hexen-1-ol | 886 | - | - | - | - | - |
| 7 | 1-hexanol | 896 | 0.29 (0.04) | 0.18 (0.03) | 0.15 (0.02) | 0.23 (0.04) | 0.12 (0.03) |
| 8 | 106[M+](58) 91(100) 77(13) | 902 | 0.15 (0.03) | - | 0.21 (0.04) | 0.15 (0.04) | 0.48 (0.09) |
| 9 | tricyclene | 939 | - | 0.01 (*) | - | - | - |
| 10 | α-pinene | 952 | 0.11 (0.02) | 0.03 (0.01) | 0.19 (0.03) | 0.15 ((0.04) | 0.06 (0.01) |
| 11 | camphene | 971 | - | 0.02 (0.01) | - | - | - |
| 12 | β-pinene | 1004 | 0.51 (0.09) | 0.28 (0.04) | 0.33 (0.06) | 0.42 (0.09) | 0.07 (0.01) |
| 13 | 3-octanol | 1018 | 0.06 (0.01) | 0.09 (0.02) | 0.10 (0.02) | 0.01 (*) | 0.03 (0.01) |
| 14 | limonene | 1048 | 0.41 (0.09) | 0.11 (0.03) | 0.42 (0.09) | 0.21 (0.04) | 0.11 (0.03) |
| 15 | benzene acetaldehyde | 1093 | 0.07 (0.01) | 0.01 (*) | 0.16 (0.04) | 0.11 (0.03) | 0.04 (0.01) |
| 16 | 1-octen-3-yl-acetate | 1123 | 0.59 (0.09) | 1.38 (0.12) | 0.55 (0.09) | 0.33 (0.07) | 0.62 (0.10) |
| 17 | benzene ethanol | 1156 | 0.01 (*) | - | 0.01 (*) | 0.01 (*) | 0.02 (0.01) |
| 18 | 160[M+](49) 145(100) 117(34) | 1224 | 1.31 (0.14) | 2.25 (0.18) | 1.38 (0.16) | 1.73 (0.32) | 3.38 (0.34) |
| 19 | β-cyclocitral | 1257 | 1.59 (0.11) | 0.47 (0.09) | 0.85 (0.12) | 0.69 (0.09) | 1.19 (0.14) |
| 20 | 1,2-dihydro-6-methylnaphthalene | 1295 | 0.19 (0.03) | - | 0.21 (0.03) | 0.11 (0.03) | 0.08 (0.01) |
| 21 | 207[M]+(18) 121(100) 93(71) | 1332 | 0.06 (0.01) | 0.05 (0.01) | 0.01 (*) | 0.01 (*) | 0.13 (0.03) |
| 22 | δ-elemene | 1344 | 0.25 (0.03) | 1.41 (0.12) | 0.24 (0.04) | 0.17 (0.04) | 2.23 (0.32) |
| 23 | methylnaphthalene | 1359 | 0.14 (0.02) | 0.04 (0.01) | 0.01 (*) | 0.05 (0.01) | 0.08 (0.01) |
| 24 | 202[M+](18) 81(100) 96(83) | 1364 | 0.15 (0.03) | 0.11 (0.02) | 0.22 (0.04) | 0.06 (0.01) | 0.18 (0.04) |
| 25 | anastreptene | 1379 | 5.06 (0.32) | 8.93 (0.84) | 4.98 (0.34) | 5.23 (0.35) | 12.85 (0.54) |
| 26 | 204[M+](25) 105(100) 161(83) | 1382 | 0.12 (0.04) | 0.12 (0.03) | 0.21 (0.05) | 0.13 (0.03) | 0.32 (0.09) |
| 27 | 202[M+](5) 159(100) 91(95) | 1387 | 0.17 (0.03) | 0.03 (0.01) | 0.17 (0.03) | 0.22 (0.04) | 0.03 (0.01) |
| 28 | 202[M+](5) 143(100) 128(92) | 1392 | 0.91 (0.10) | 0.65 (0.11) | 1.15 (0.14) | 1.01 (0.22) | 1.18 (0.12) |
| 29 | β-elemene | 1405 | 0.17 (0.03) | 0.28 (0.06) | 0.57 (0.09) | 0.10 (0.02) | 0.74 (0.10) |
| 30 | 204[M]+(52) 161(100) 107(89) | 1407 | - | 0.05 (0.01) | - | - | - |
| 31 | 202[M]+(2) 143(100) 128(93) | 1418 | 0.15 (0.02) | 0.01 (*) | 0.07 (0.02) | 0.14 (0.03) | 0.23 (0.04) |
| 32 | α-gurjunene | 1423 | 0.17 (0.02) | 0.11 (0.03) | 0.11 (0.03) | 0.06 (0.01) | 0.23 (0.04) |
| 33 | 202[M]+(2) 145(100) 160(35) | 1426 | 0.15 (0.02) | 0.18 (0.03) | 0.18 (0.04) | 0.33 (0.08) | 0.27 (0.05) |
| 34 | β-gurjunene | 1431 | 0.05 (0.01) | 0.03 (0.01) | 0.01 (*) | 0.01 (*) | 0.04 (0.01) |
| 35 | 204[M]+(12) 159(100) 105(95) | 1436 | 0.02 (0.01) | 0.19 (0.04) | 0.01 (*) | 0.02 (0.01) | 0.04 (0.01) |
| 36 | (−)-aristolene | 1439 | 0.17 (0.03) | 0.01 (*) | 0.02 (0.01) | 0.05 (0.01) | 0.24 (0.05) |
| 37 | γ-gurjunene | 1444 | 0.31 (0.08) | 0.01 (*) | 0.35 (0.07) | 0.43 (0.09) | 0.07 (0.01) |
| 38 | γ-maaliene | 1449 | 0.19 (0.03) | 0.47 (0.09) | 0.27 (0.05) | 0.17 (0.03) | 0.55 (0.09) |
| 39 | α-maaliene | 1455 | 0.35 (0.08) | 0.52 (0.09) | 0.25 (0.04) | 0.22 (0.04) | 0.44 (0.09) |
| 40 | alloaromadendrene | 1459 | 1.03 (0.18) | 5.21 (0.18) | 1.15 (0.14) | 2.03 (0.32) | 4.66 (0.36) |
| 41 | selina-5,11-diene | 1470 | 0.25 (0.03) | 0.61 (0.10) | 0.15 (0.03) | 0.34 (0.06) | 0.82 (0.10) |
| 42 | 202[M]+(20) 105(100) 159(68) | 1475 | 0.02 (0.01) | 0.31 (0.09) | 0.24 (0.05) | 0.09 (0.02) | 0.14 (0.03) |
| 43 | 202[M+](30) 159(100) 131(75) | 1479 | 0.41 (0.09) | 0.43 (0.09) | 0.62 (0.10) | 0.42 (0.09) | 0.41 (0.09) |
| 44 | dehydroaromadendrene | 1482 | - | 0.41 (0.08) | - | - | 1.18 (0.18) |
| 45 | 204[M+](1) 142(100) 141(78) | 1495 | 0.10 (0.02) | 0.14 (0.03) | 0.01 (*) | 0.01 (*) | 0.23 (0.04) |
| 46 | β-guaiene | 1505 | 0.22 (0.03) | 0.01 (*) | 0.13 (0.04) | 0.15 (0.04) | 0.13 (0.03) |
| 47 | germacrene D | 1510 | 1.19 (0.18) | 3.12 (0.18) | 1.63 (0.21) | 1.73 (0.18) | 2.98 (0.22) |
| 48 | ledene | 1516 | 0.02 (0.01) | 0.01 (*) | 0.01 (*) | 0.02 (0.01) | 0.13 (0.03) |
| 49 | bicyclogermacrene | 1521 | 1.73 (0.18) | 7.89 (0.89) | 1.38 (0.19) | 1.89 (0.18) | 8.06 (0.36) |
| 50 | 220[M+](5) 148(100) 133(95) | 1525 | 0.13 (0.03) | 0.37 (0.09) | 0.04 (0.01) | 0.11 (0.03) | 0.19 (0.04) |
| 51 | cuparene | 1538 | 0.67 (0.12) | 0.78 (0.09) | 0.39 (0.09) | 0.37 (0.08) | 1.71 (0.14) |
| 52 | 204[M+](22) 93(100) 105(68) | 1543 | 0.04 (0.01) | 0.15 (0.03) | 0.01(*) | 0.04 (0.01) | 0.06 (0.01) |
| 53 | 202[M+](12) 157(100) 142(62) | 1554 | 0.49 (0.09) | 0.64 (0.08) | 0.29 (0.05) | 0.18 (0.02) | 0.61 (0.09) |
| 54 | 204[M+](18) 155(100) 119(82) | 1558 | 0.13 (0.04) | 0.01 (*) | 0.24 (0.05) | 0.33 (0.07) | 0.05 (0.01) |
| 55 | 200[M]+ (72) 143(100) 129(93) | 1571 | 0.53 (0.10) | 0.42 (0.09) | 0.29 (0.04) | 0.35 (0.07) | 0.58 (0.09) |
| 56 | 200[M+](73) 143(100) 157(97) | 1579 | 0.05 (0.01) | 0.16 (0.03) | 0.01 (*) | 0.01 (*) | 0.24 (0.05) |
| 57 | 204[M]+ (6) 69(100) 41(85) | 1586 | 0.19 (0.03) | 0.14 (0.02) | 0.16 (0.03) | 0.08 (0.02) | 0.25 (0.05) |
| 58 | cadina-3,9-diene | 1591 | 0.13 (0.02) | 0.24 (0.04) | 0.08 (0.01) | 0.07 (0.02) | 0.08 (0.01) |
| 59 | maaliol | 1609 | - | - | - | - | - |
| 60 | 1,4-dimethylazulene | 1616 | 57.13 (1.38) | 31.01 (0.96) | 55.62 (1.02) | 57.32 (1.12) | 27.99 (0.86) |
| 61 | (+)-spathulenol | 1619 | - | 0.08 (0.02) | - | - | - |
| 62 | (-)-globulol | 1631 | 0.52 (0.11) | 0.43 (0.10) | 0.09 (0.02) | 0.13 (0.03) | 0.18 (0.04) |
| 63 | 220[M+](5) 132(100) 43(96) | 1637 | 0.51 (0.10) | 0.01 (*) | 0.24 (0.05) | 0.38 (0.08) | 1.21 (0.12) |
| 64 | 202[M+](3) 166(100) 165(98) | 1645 | - | 0.01 (*) | - | - | - |
| 65 | 202[M+](2)129(100) 172(72) | 1655 | 1.01 (0.17) | 2.18 (0.18) | 1.83 (0.16) | 1.38 (0.18) | 2.64 (0.18) |
| 66 | 200[M+](2) 145(100) 158(55) | 1664 | - | 0.01 (*) | - | - | - |
| 67 | isospathulenol | 1667 | 0.07 (0.02) | 0.21 (0.03) | 0.16 (0.04) | 0.14 (0.03) | 0.37 (0.09) |
| 68 | 218[M+](2) 71(100) 57(93) | 1674 | - | 0.01 (*) | - | - | 0.05 (0.01) |
| 69 | 220[M+](5) 129(100) 144(92) | 1678 | 0.13 (0.03) | 0.24 (0.05) | 0.15 (0.04) | 0.11 (0.02) | 0.02 (0.01) |
| 70 | 220[M+](31) 159(100) 105(81) | 1684 | 0.18 (0.04) | 4.32 (0.32) | 0.32 (0.08) | 0.37 (0.08) | 0.52 (0.09) |
| 71 | 202[M+](92) 143(100) 128(78) | 1689 | 0.21 (0.04) | 0.01 (*) | 0.19 (0.04) | 0.21 (0.04) | 0.13 (0.03) |
| 72 | 220[M+](11) 109(100) 121(51) | 1695 | - | 0.03 (0.01) | - | - | 0.04 (0.01) |
| 73 | 220[M+](13) 159(100) 145(89) | 1710 | 0.07 (0.02) | 1.57 (0.21) | 0.07 (0.01) | 0.10 (0.02) | 0.15 (0.03) |
| 74 | 4-(cyclopent-1-enyl)benzoic acid methyl ester | 1722 | 14.72 (0.67) | 16.47 (0.72) | 17.01 (0.64) | 15.37 (0.46) | 11.72 (0.38) |
| 75 | 216[M+](10) 202(100) 159(96) | 1744 | 0.01 (*) | 0.05 (0.01) | 0.14 (0.04) | 0.01 (*) | 0.13 (0.03) |
| 76 | 216[M+](3) 202(100) 143(81) | 1784 | 0.02 (0.01) | 0.01 (*) | 0.01 (*) | 0.01 (*) | 0.04 (0.01) |
| 77 | germacra-4(15),5,10(14)-trien-1-alpha-ol | 1801 | 0.61 (0.10) | 0.18 (0.03) | 0.37 (0.09) | 0.52 (0.10) | 1.16 (0.12) |
| 78 | 1,4-dimethyl-7-(1-methylethyl)-azulene | 1823 | 0.04 (0.01) | 0.01 (*) | 0.08 (0.02) | 0.12 (0.02) | 0.15 (0.03) |
| 79 | methyl-2-methylazulene-1-carboxylate | 2025 | 1.60 (0.12) | 1.42 (0.14) | 1.43 (0.17) | 1.04 (0.14) | 2.25 (0.22) |
| Total | 98.17 (5.59) | 97.46 (6.95) | 97.97 (5.16) | 98.13 (5.36) | 97.40 (6.66) | ||
| % Identified | 90.75 (4.33) | 82.61 (5.18) | 89.50 (3.89) | 90.14 (3.85) | 83.47 (4.82) | ||
| Including: | |||||||
| Aliphatics | 1.07 (0.17) | 1.78 (0.19) | 0.84 (0.14) | 0.71 (0.14) | 0.86 (0.17) | ||
| Aromatics | 15.13 (0.73) | 16.52 (0.73) | 17.40 (0.71) | 15.65 (0.53) | 11.94 (0.42) | ||
| Monoterpene hydrocarbons | 1.03 (0.20) | 0.45 (0.09) | 0.94 (0.18) | 0.78 (0.17) | 0.24 (0.05) | ||
| Monoterpenoide hydrocarbons | 1.59 (0.11) | 0.47 (0.09) | 0.85 (0.12) | 0.69 (0.09) | 1.19 (0.14) | ||
| Sesquiterpene hydrocarbons | 69.74 (2.87) | 61.25 (3.79) | 67.79 (2.51) | 71.00 (2.72) | 66.44 (3.69) | ||
| Sesquiterpenoide hydrocarbons | 2.19 (0.25) | 2.14 (0.29) | 1.68 (0.23) | 1.31 (0.20) | 2.80 (0.35) | ||
| No. | Compounds | RI a | Code b | ||||
|---|---|---|---|---|---|---|---|
| C-31 | C-32 | C-33 | C-34 | C-35 | |||
| 1 | 2-methyl-1-propanol | <700 | - | 0.12 (0.03) | - | - | - |
| 2 | pentanal | <700 | 0.09 (0.02) | 0.01 (*) | 0.04 (0.01) | 0.11 (0.03) | 0.02 (0.01) |
| 3 | cyclopentanol | 748 | - | 0.09 (0.02) | - | - | - |
| 4 | 3-methyl-1-butanol | 768 | 0.03 (0.01) | 0.51 (0.10) | 0.03 (0.01) | 0.01 (*) | 0.01 (*) |
| 5 | hexanal | 834 | 0.02 (0.01) | 0.33 (0.09) | 0.01 (*) | 0.01 (*) | 0.01 (*) |
| 6 | (Z)-3-hexen-1-ol | 886 | - | 0.17 (0.03) | - | - | - |
| 7 | 1-hexanol | 896 | - | 0.09 (0.02) | - | - | 0.08 (0.02) |
| 8 | 106[M+](58) 91(100) 77(13) | 902 | 0.69 (0.10) | 1.35 (0.18) | 0.45 (0.09) | 0.57 (0.10) | 0.38 (0.09) |
| 9 | tricyclene | 939 | - | 0.11 (0.03) | - | - | - |
| 10 | α-pinene | 952 | 0.02 (0.01) | 0.41 (0.09) | 0.01 (*) | 0.03 (0.01) | 0.03 (0.01) |
| 11 | camphene | 971 | - | 0.61 (0.14) | - | - | - |
| 12 | β-pinene | 1004 | 0.76 (0.11) | 0.29 (0.09) | 0.49 (0.10) | 0.62 (0.12) | 0.08 (0.02) |
| 13 | 3-octanol | 1018 | - | 0.08 (0.01) | - | - | 0.01 (*) |
| 14 | limonene | 1048 | 0.73 (0.10) | 1.97 (0.32) | 0.47 (0.09) | 0.51 (0.10) | 0.13 (0.02) |
| 15 | benzene acetaldehyde | 1093 | 0.15 (0.03) | 0.03 (0.01) | 0.14 (0.03) | 0.19 (0.04) | 0.08 (0.01) |
| 16 | 1-octen-3-yl-acetate | 1123 | 0.01 (*) | 0.83 (0.10) | 0.01 (*) | 0.01 (*) | 0.51 (0.10) |
| 17 | benzene ethanol | 1156 | 0.02 (0.01) | - | 0.01 (*) | 0.01 (*) | 0.01 (*) |
| 18 | 160[M+](49) 145(100) 117(34) | 1224 | 4.61 (0.28) | 2.15 (0.32) | 4.23 (0.86) | 3.89 (0.72) | 3.45 (0.70) |
| 19 | β-cyclocitral | 1257 | 1.39 (0.12) | 0.33 (0.09) | 1.51 (0.18) | 1.35 (0.64) | 1.16 (0.12) |
| 20 | 1,2-dihydro-6-methylnaphthalene | 1295 | 0.09 (0.02) | - | 0.08 (0.01) | 0.02 (0.01) | 0.09 (0.02) |
| 21 | 207[M]+(18) 121(100) 93(71) | 1332 | 0.01 (*) | 0.06 (0.01) | 0.11 (0.03) | 0.08 (0.01) | 0.13 (0.13) |
| 22 | δ-elemene | 1344 | 0.82 (0.18) | 1.25 (0.42) | 0.55 (0.09) | 0.47 (0.10) | 2.28 (0.46) |
| 23 | methylnaphthalene | 1359 | 0.17 (0.03) | 0.01 (*) | 0.07 (0.02) | 0.07 (0.02) | 0.08 (0.01) |
| 24 | 202[M+](18) 81(100) 96(83) | 1364 | 0.09 (0.02) | 0.37 (0.09) | 0.05 (0.01) | 0.07 (0.02) | 0.21 (0.04) |
| 25 | anastreptene | 1379 | 6.69 (0.42) | 33.29 (0.86) | 7.01 (0.86) | 6.92 (0.76) | 12.01 (0.98) |
| 26 | 204[M+](25) 105(100) 161(83) | 1382 | 0.47 (0.09) | - | 0.33 (0.08) | 0.48 (0.10) | 0.35 (0.09) |
| 27 | 202[M+](5) 159(100) 91(95) | 1387 | 0.19 (0.03) | - | 0.03 (0.01) | 0.16 (0.03) | 0.03 (0.01) |
| 28 | 202[M+](5) 143(100) 128(92) | 1392 | 1.65 (0.28) | 0.51 (0.11) | 1.39 (0.12) | 1.56 (0.14) | 1.11 (0.14) |
| 29 | β-elemene | 1405 | 0.13 (0.03) | 0.38 (0.09) | 0.14 (0.04) | 0.38 (0.09) | 0.53 (0.12) |
| 30 | 204[M]+(52) 161(100) 107(89) | 1407 | - | 0.01 (*) | - | - | - |
| 31 | 202[M]+(2) 143(100) 128(93) | 1418 | 0.34 (0.09) | 0.12 (0.03) | 0.38 (0.08) | 0.20 (0.04) | 0.18 (0.03) |
| 32 | α-gurjunene | 1423 | 0.15 (0.03) | 0.71 (0.18) | 0.22 (0.04) | 0.19 (0.03) | 0.31 (0.08) |
| 33 | 202[M]+(2) 145(100) 160(35) | 1426 | 0.26 (0.04) | 0.01 (*) | 0.25 (0.04) | 0.35 (0.09) | 0.20 (0.03) |
| 34 | β-gurjunene | 1431 | 0.23 (0.03) | 0.51 (0.10) | 0.12 (0.03) | 0.15 (0.03) | 0.04 (0.01) |
| 35 | 204[M]+(12) 159(100) 105(95) | 1436 | 0.15 (0.02) | 0.20 (0.04) | 0.13 (0.03) | 0.14 (0.03) | 0.01 (*) |
| 36 | (-)-aristolene | 1439 | 0.33 (0.09) | 0.31 (0.08) | 0.29 (0.06) | 0.27 (0.04) | 0.29 (0.05) |
| 37 | γ-gurjunene | 1444 | 0.01 (*) | 0.19 (0.04) | 0.01 (*) | 0.02 (0.01) | 0.03 (0.01) |
| 38 | γ-maaliene | 1449 | 0.43 (0.09) | 0.93 (0.22) | 0.82 (0.18) | 0.86 (0.11) | 0.54 (0.10) |
| 39 | α-maaliene | 1455 | 0.29 (0.03) | 0.77 (0.18) | 0.41 (0.09) | 0.39 (0.09) | 0.41 (0.09) |
| 40 | alloaromadendrene | 1459 | 3.49 (0.24) | 9.21 (0.86) | 3.21 (0.18) | 4.12 (0.26) | 4.73 (0.28) |
| 41 | selina-5,11-diene | 1470 | 0.62 (0.09) | 0.92 (0.12) | 0.97 (0.24) | 0.91 (0.12) | 0.76 (0.14) |
| 42 | 202[M]+(20) 105(100) 159(68) | 1475 | 0.63 (0.08) | 1.73 (0.24) | 0.13 (0.02) | 0.15 (0.03) | 0.21 (0.04) |
| 43 | 202[M+](30) 159(100) 131(75) | 1479 | 0.54 (0.10) | 2.23 (0.18) | 0.55 (0.10) | 0.61 (0.10) | 0.23 (0.04) |
| 44 | dehydroaromadendrene | 1482 | 0.39 (0.08) | 1.51 (0.18) | 0.53 (0.10) | 0.65 (0.10) | 1.07 (0.18) |
| 45 | 204[M+](1) 142(100) 141(78) | 1495 | 0.14 (0.03) | 0.16 (0.04) | 0.08 (0.02) | 0.16 (0.03) | 0.08 (0.01) |
| 46 | β-guaiene | 1505 | 0.02 (0.01) | 0.06 (0.01) | 0.01 (*) | 0.02 (0.01) | 0.16 (0.03) |
| 47 | germacrene D | 1510 | 2.83 (0.18) | 5.11 (0.24) | 3.18 (0.32) | 3.47 (0.34) | 2.76 (0.22) |
| 48 | ledene | 1516 | 0.01 (*) | 0.04 (0.01) | - | - | 0.01 (*) |
| 49 | bicyclogermacrene | 1521 | 3.91 (0.28) | 9.03 (0.76) | 4.28 (0.42) | 4.39 (0.44) | 9.74 (0.78) |
| 50 | 220[M+](5) 148(100) 133(95) | 1525 | 0.08 (0.02) | 0.04 (0.01) | 0.23 (0.03) | 0.18 (0.04) | 0.49 (0.10) |
| 51 | cuparene | 1538 | 0.72 (0.22) | 2.03 (0.22) | 0.61 (0.11) | 0.72 (0.14) | 1.52 (0.12) |
| 52 | 204[M+](22) 93(100) 105(68) | 1543 | 0.11 (0.02) | 0.01 (*) | 0.05 (0.01) | 0.09 (0.02) | 0.04 (0.01) |
| 53 | 202[M+](12) 157(100) 142(62) | 1554 | 0.41 (0.09) | 1.22 (0.16) | 0.25 (0.03) | 0.34 (0.09) | 0.52 (0.12) |
| 54 | 204[M+](18) 155(100) 119(82) | 1558 | 0.03 (0.01) | 0.04 (0.01) | 0.01 (*) | 0.01 (*) | 0.01 (*) |
| 55 | 200[M]+ (72) 143(100) 129(93) | 1571 | 0.26 (0.03) | 0.38 (0.09) | 0.24 (0.04) | 0.25 (0.04) | 0.83 (0.12) |
| 56 | 200[M+](73) 143(100) 157(97) | 1579 | 0.07 (0.02) | 0.17 (0.04) | 0.03 (0.01) | 0.04 (0.01) | 0.18 (0.03) |
| 57 | 204[M]+ (6) 69(100) 41(85) | 1586 | 0.27 (0.06) | 0.03 (0.01) | 0.12 (0.03) | 0.34 (0.09) | 0.16 (0.02) |
| 58 | cadina-3,9-diene | 1591 | 0.21 (0.05) | 0.12 (0.02) | 0.15 (0.02) | 0.16 (0.03) | 0.02 (0.01) |
| 59 | maaliol | 1609 | - | - | - | - | - |
| 60 | 1,4-dimethylazulene | 1616 | 47.51 (0.96) | 9.12 (0.34) | 43.12 (0.92) | 41.89 (0.88) | 27.91 (0.86) |
| 61 | (+)-spathulenol | 1619 | - | 0.41 (0.09) | - | - | - |
| 62 | (−)-globulol | 1631 | 0.49 (0.18) | 0.63 (0.10) | 0.25 (0.03) | 0.24 (0.03) | 0.15 (0.03) |
| 63 | 220[M+](5) 132(100) 43(96) | 1637 | 0.46 (0.16) | 0.33 (0.09) | 0.55 (0.11) | 0.73 (0.16) | 1.08 (0.12) |
| 64 | 202[M+](3) 166(100) 165(98) | 1645 | - | - | - | - | - |
| 65 | 202[M+](2)129(100) 172(72) | 1655 | 1.33 (0.18) | 0.74 (0.16) | 1.69 (0.16) | 1.83 (0.14) | 3.03 (0.22) |
| 66 | 200[M+](2) 145(100) 158(55) | 1664 | - | - | - | - | - |
| 67 | isospathulenol | 1667 | 0.29 (0.09) | 0.39 (0.09) | 0.41 (0.09) | 0.33 (0.09) | 0.27 (0.04) |
| 68 | 218[M+](2) 71(100) 57(93) | 1674 | 0.06 (0.01) | 0.38 (0.08) | 0.39 (0.09) | 0.39 (0.08) | 0.01 (*) |
| 69 | 220[M+](5) 129(100) 144(92) | 1678 | 0.12 (0.02) | 0.01 (*) | 0.02 (0.01) | 0.01 (*) | 0.01 (*) |
| 70 | 220[M+](31) 159(100) 105(81) | 1684 | 0.52 (0.09) | 0.13 (0.03) | 0.29 (0.05) | 0.27 (0.04) | 0.49 (0.09) |
| 71 | 202[M+](92) 143(100) 128(78) | 1689 | 0.09 (0.02) | 0.08 (0.02) | 0.03 (0.01) | 0.03 (0.01) | 0.09 (0.01) |
| 72 | 220[M+](11) 109(100) 121(51) | 1695 | 0.07 (0.01) | 0.09 (0.02) | 0.09 (0.01) | 0.05 (0.01) | 0.02 (0.01) |
| 73 | 220[M+](13) 159(100) 145(89) | 1710 | 0.18 (0.04) | 0.23 (0.05) | 0.11 (0.03) | 0.12 (0.03) | 0.26 (0.04) |
| 74 | 4-(cyclopent-1-enyl)benzoic acid methyl ester | 1722 | 12.38 (0.44) | 1.11 (0.28) | 16.01 (0.46) | 14.89 (0.42) | 13.53 (0.44) |
| 75 | 216[M+](10) 202(100) 159(96) | 1744 | 0.06 (0.01) | 0.27 (0.05) | 0.02 (0.01) | 0.12 (0.03) | 0.11 (0.02) |
| 76 | 216[M+](3) 202(100) 143(81) | 1784 | 0.02 (0.01) | 0.01 (*) | 0.01 (*) | 0.02 (0.01) | 0.02 (0.01) |
| 77 | germacra-4(15),5,10(14)-trien-1-alpha-ol | 1801 | 0.33 (0.09) | 0.91 (0.18) | 0.38 (0.09) | 0.41 (0.09) | 1.01 (0.12) |
| 78 | 1,4-dimethyl-7-(1-methylethyl)-azulene | 1823 | 0.01 (*) | 0.14 (0.03) | 0.05 (0.01) | 0.03 (0.01) | 0.01 (*) |
| 79 | methyl-2-methylazulene-1-carboxylate | 2025 | 0.09 (0.02) | 0.03 (0.01) | 0.12 (0.03) | 0.11 (0.03) | 1.28 (0.12) |
| Total | 99.77 (6.26) | 98.16 (8.94) | 97.96 (6.98) | 98.17 (7.46) | 97.59 (7.78) | ||
| % Identified | 85.86 (4.30) | 85.10 (6.88) | 85.72 (4.86) | 84.93 (5.22) | 83.67 (5.61) | ||
| Including: | |||||||
| Aliphatics | 0.15 (0.04) | 2.23 (0.40) | 0.09 (0.02) | 0.14 (0.03) | 0.64 (0.13) | ||
| Aromatics | 12.81 (0.53) | 1.15 (0.29) | 16.31 (0.52) | 15.18 (0.49) | 13.79 (0.48) | ||
| Monoterpene hydrocarbons | 1.51 (0.22) | 3.39 (0.67) | 0.97 (0.19) | 1.16 (0.23) | 0.24 (0.05) | ||
| Monoterpenoide hydrocarbons | 1.39 (0.12) | 0.33 (0.09) | 1.51 (0.18) | 1.35 (0.64) | 1.16 (0.12) | ||
| Sesquiterpene hydrocarbons | 69.13 (3.10) | 76.54 (5.14) | 66.06 (3.80) | 66.42 (3.68) | 66.14 (4.64) | ||
| Sesquiterpenoide hydrocarbons | 0.87 (0.29) | 1.46 (0.29) | 0.78 (0.15) | 0.68 (0.15) | 1.70 (0.19) | ||
| No. | Compounds | RI a | Code b | ||||
|---|---|---|---|---|---|---|---|
| C-36 | C-37 | C-38 | C-39 | C-40 | |||
| 1 | 2-methyl-1-propanol | <700 | 0.05 (0.01) | - | - | - | 0.01 (*) |
| 2 | pentanal | <700 | 0.01 (*) | 0.01 (*) | 0.02 (0.01) | 0.11 (0.02) | 0.01 (*) |
| 3 | cyclopentanol | 748 | 0.03 (0.01) | - | - | - | 0.01 (*) |
| 4 | 3-methyl-1-butanol | 768 | 0.25 (0.04) | 0.02 (0.01) | 0.01 (*) | 0.01 (*) | 0.01 (*) |
| 5 | hexanal | 834 | 0.15 (0.03) | 0.02 (0.01) | 0.01 (*) | 0.01 (*) | 0.01 (*) |
| 6 | (Z)-3-hexen-1-ol | 886 | 0.09 (0.01) | - | - | - | - |
| 7 | 1-hexanol | 896 | 0.14 (0.03) | 0.08 (0.01) | 0.05 (0.01) | 0.29 (0.03) | 0.22 (0.02) |
| 8 | 106[M+](58) 91(100) 77(13) | 902 | 0.57 (0.12) | 0.31 (0.08) | 0.30 (0.08) | 0.04 (0.01) | - |
| 9 | tricyclene | 939 | 0.03 (0.01) | - | - | - | 0.01 (*) |
| 10 | α-pinene | 952 | 0.21 (0.04) | 0.06 (0.01) | 0.15 (0.03) | 0.03 (0.01) | 0.01 (*) |
| 11 | camphene | 971 | 0.53 (0.12) | - | - | - | 0.01 (*) |
| 12 | β-pinene | 1004 | 0.16 (0.03) | 0.01 (*) | 0.21 (0.03) | 0.39 (0.09) | 0.41 (0.09) |
| 13 | 3-octanol | 1018 | 0.25 (0.04) | 0.01 (*) | 0.01 (*) | 0.05 (0.01) | 0.08 (0.01) |
| 14 | limonene | 1048 | 0.32 (0.06) | 0.16 (0.02) | 0.07 (0.01) | 0.51 (0.09) | 0.04 (0.01) |
| 15 | benzene acetaldehyde | 1093 | 0.02 (0.01) | 0.25 (0.03) | 0.13 (0.02) | 0.04 (0.01) | 0.01 (*) |
| 16 | 1-octen-3-yl-acetate | 1123 | 1.27 (0.12) | 0.31 (0.06) | 0.29 (0.03) | 0.59 (0.10) | 1.52 (0.10) |
| 17 | benzene ethanol | 1156 | - | 0.01 (*) | 0.01 (*) | 0.01 (*) | - |
| 18 | 160[M+](49) 145(100) 117(34) | 1224 | 2.27 (0.32) | 3.51 (0.14) | 3.01 (0.14) | 1.31 (0.11) | 2.23 (0.12) |
| 19 | β-cyclocitral | 1257 | 0.59 (0.10) | 0.73 (0.10) | 1.31 (0.10) | 1.59 (0.10) | 0.47 (0.09) |
| 20 | 1,2-dihydro-6-methylnaphthalene | 1295 | - | 0.17 (0.03) | 0.04 (0.01) | 0.11 (0.03) | - |
| 21 | 207[M]+(18) 121(100) 93(71) | 1332 | 0.05 (0.01) | 0.13 (0.02) | 0.18 (0.04) | 0.03 (0.01) | 0.06 (0.01) |
| 22 | δ-elemene | 1344 | 1.27 (0.12) | 2.11 (0.12) | 2.75 (0.14) | 0.27 (0.04) | 1.41 (0.10) |
| 23 | methylnaphthalene | 1359 | 0.01 (*) | 0.03 (0.01) | 0.04 (0.01) | 0.11 (0.03) | 0.01 (*) |
| 24 | 202[M+](18) 81(100) 96(83) | 1364 | 0.11 (0.03) | 0.21 (0.05) | 0.23 (0.03) | 0.11 (0.03) | 0.05 (0.01) |
| 25 | anastreptene | 1379 | 21.18 (0.92) | 10.71 (0.42) | 11.03 (0.45) | 4.96 (0.14) | 8.95 (0.42) |
| 26 | 204[M+](25) 105(100) 161(83) | 1382 | 0.04 (0.01) | 0.18 (0.03) | 0.63 (0.09) | 0.07 (0.01) | 0.04 (0.01) |
| 27 | 202[M+](5) 159(100) 91(95) | 1387 | - | 0.02 (0.01) | 0.04 (0.01) | 0.09 (0.01) | 0.01 (*) |
| 28 | 202[M+](5) 143(100) 128(92) | 1392 | 0.57 (0.12) | 1.11 (0.10) | 1.31 (0.10) | 0.96 (0.10) | 0.67 (0.10) |
| 29 | β-elemene | 1405 | 0.37 (0.09) | 0.31 (0.08) | 0.45 (0.09) | 0.18 (0.03) | 0.41 (0.09) |
| 30 | 204[M]+(52) 161(100) 107(89) | 1407 | 0.02 (0.01) | - | - | - | 0.11 (0.03) |
| 31 | 202[M]+(2) 143(100) 128(93) | 1418 | 0.10 (0.02) | 0.29 (0.07) | 0.31 (0.07) | 0.08 (0.01) | 0.01 (*) |
| 32 | α-gurjunene | 1423 | 0.31 (0.07) | 0.27 (0.04) | 0.23 (0.04) | 0.21 (0.03) | 0.15 (0.02) |
| 33 | 202[M]+(2) 145(100) 160(35) | 1426 | 0.13 (0.02) | 0.48 (0.09) | 0.33 (0.06) | 0.09 (0.01) | 0.29 (0.04) |
| 34 | β-gurjunene | 1431 | 0.04 (0.01) | 0.01 (*) | 0.01 (*) | 0.01 (*) | 0.09 (0.01) |
| 35 | 204[M]+(12) 159(100) 105(95) | 1436 | 0.28 (0.04) | 0.01 (*) | 0.13 (0.03) | 0.01 (*) | 0.31 (0.08) |
| 36 | (−)-aristolene | 1439 | 0.11 (0.03) | 0.55 (0.12) | 0.29 (0.06) | 0.09 (0.01) | 0.01 (*) |
| 37 | γ-gurjunene | 1444 | 0.11 (0.02) | 0.01 (*) | 0.01 (*) | 0.34 (0.08) | 0.01 (*) |
| 38 | γ-maaliene | 1449 | 0.69 (0.11) | 1.12 (0.14) | 0.95 (0.10) | 0.16 (0.03) | 0.59 (0.10) |
| 39 | α-maaliene | 1455 | 0.61 (0.10) | 0.31 (0.08) | 0.35 (0.08) | 0.29 (0.04) | 0.55 (0.09) |
| 40 | alloaromadendrene | 1459 | 6.25 (0.32) | 3.99 (0.22) | 5.03 (0.28) | 1.22 (0.10) | 5.07 (0.44) |
| 41 | selina-5,11-diene | 1470 | 0.26 (0.26) | 1.23 (0.12) | 0.99 (0.10) | 0.21 (0.04) | 0.67 (0.10) |
| 42 | 202[M]+(20) 105(100) 159(68) | 1475 | 0.91 (0.12) | 0.31 (0.09) | 0.18 (0.03) | 0.01 (*) | 0.44 (0.09) |
| 43 | 202[M+](30) 159(100) 131(75) | 1479 | 1.04 (0.11) | 0.35 (0.08) | 0.19 (0.03) | 0.43 (0.09) | 0.53 (0.10) |
| 44 | dehydroaromadendrene | 1482 | 0.91 (0.12) | 0.99 (0.10) | 1.36 (0.10) | - | 0.47 (0.09) |
| 45 | 204[M+](1) 142(100) 141(78) | 1495 | 0.33 (0.06) | 0.21 (0.04) | 0.04 (0.01) | 0.11 (0.03) | 0.16 (0.03) |
| 46 | β-guaiene | 1505 | 0.17 (0.02) | 0.05 (0.01) | 0.12 (0.03) | 0.24 (0.03) | 0.01 (*) |
| 47 | germacrene D | 1510 | 3.17 (0.18) | 2.63 (0.20) | 2.56 (0.20) | 1.05 (0.10) | 3.03 (0.22) |
| 48 | ledene | 1516 | 0.05 (0.01) | 0.01 (*) | 0.01 (*) | 0.01 (*) | 0.01 (*) |
| 49 | bicyclogermacrene | 1521 | 15.63 (0.22) | 11.01 (0.22) | 10.37 (0.22) | 1.73 (0.10) | 8.83 (0.20) |
| 50 | 220[M+](5) 148(100) 133(95) | 1525 | 0.38 (0.06) | 0.35 (0.07) | 0.39 (0.09) | 0.11 (0.02) | 0.34 (0.09) |
| 51 | cuparene | 1538 | 1.06 (0.12) | 0.95 (0.10) | 1.33 (0.10) | 0.64 (0.09) | 0.68 (0.10) |
| 52 | 204[M+](22) 93(100) 105(68) | 1543 | 0.04 (0.01) | 0.11 (0.03) | 0.15 (0.03) | 0.01 (*) | 0.07 (0.01) |
| 53 | 202[M+](12) 157(100) 142(62) | 1554 | 0.18 (0.03) | 0.45 (0.09) | 0.29 (0.04) | 0.47 (0.09) | 0.50 (0.09) |
| 54 | 204[M+](18) 155(100) 119(82) | 1558 | 0.02 (0.01) | 0.11 (0.02) | 0.01 (*) | 0.19 (0.02) | 0.01 (*) |
| 55 | 200[M]+ (72) 143(100) 129(93) | 1571 | 0.41 (0.08) | 0.41 (0.08) | 0.43 (0.09) | 0.55 (0.09) | 0.42 (0.09) |
| 56 | 200[M+](73) 143(100) 157(97) | 1579 | 0.16 (0.03) | 0.13 (0.03) | 0.21 (0.03) | 0.02 (0.01) | 0.08 (0.01) |
| 57 | 204[M]+ (6) 69(100) 41(85) | 1586 | 0.09 (0.02) | 0.41 (0.09) | 0.15 (0.02) | 0.22 (0.03) | 0.10 (0.02) |
| 58 | cadina-3,9-diene | 1591 | 0.23 (0.04) | 0.07 (0.01) | 0.22 (0.04) | 0.09 (0.01) | 0.23 (0.03) |
| 59 | maaliol | 1609 | - | - | - | - | - |
| 60 | 1,4-dimethylazulene | 1616 | 20.08 (0.76) | 27.07 (0.78) | 26.27 (0.76) | 59.23 (0.92) | 30.48 (0.64) |
| 61 | (+)-spathulenol | 1619 | 0.31 (0.09) | - | - | - | 0.09 (0.01) |
| 62 | (−)-globulol | 1631 | 0.11 (0.02) | 0.21 (0.03) | 0.18 (0.04) | 0.37 (0.09) | 0.61 (0.10) |
| 63 | 220[M+](5) 132(100) 43(96) | 1637 | 0.19 (0.03) | 0.59 (0.10) | 0.82 (0.12) | 0.55 (0.10) | 0.01 (*) |
| 64 | 202[M+](3) 166(100) 165(98) | 1645 | 0.01 (*) | - | - | - | 0.01 (*) |
| 65 | 202[M+](2)129(100) 172(72) | 1655 | 1.18 (0.12) | 3.65 (0.22) | 3.08 (0.24) | 0.97 (0.10) | 2.05 (0.18) |
| 66 | 200[M+](2) 145(100) 158(55) | 1664 | 0.03 (0.01) | - | - | - | 0.02 (0.01) |
| 67 | isospathulenol | 1667 | 0.79 (0.10) | 0.41 (0.09) | 0.16 (0.03) | 0.19 (0.03) | 0.27 (0.03) |
| 68 | 218[M+](2) 71(100) 57(93) | 1674 | 0.21 (0.03) | 0.01 (*) | 0.13 (0.03) | - | 0.01 (*) |
| 69 | 220[M+](5) 129(100) 144(92) | 1678 | - | 0.01 (*) | 0.01 (*) | 0.09 (0.02) | 0.27 (0.03) |
| 70 | 220[M+](31) 159(100) 105(81) | 1684 | 0.79 (0.10) | 0.43 (0.09) | 0.41 (0.14) | 0.22 (0.03) | 4.35 (0.36) |
| 71 | 202[M+](92) 143(100) 128(78) | 1689 | 0.01 (*) | 0.15 (0.02) | 0.09 (0.02) | 0.22 (0.03) | 0.01 (*) |
| 72 | 220[M+](11) 109(100) 121(51) | 1695 | 0.11 (0.02) | 0.03 (0.01) | 0.12 (0.03) | - | 0.03 (0.01) |
| 73 | 220[M+](13) 159(100) 145(89) | 1710 | 1.03 (0.12) | 0.21 (0.03) | 0.17 (0.03) | 0.13 (0.02) | 1.53 (0.10) |
| 74 | 4-(cyclopent-1-enyl)benzoic acid methyl ester | 1722 | 8.11 (0.32) | 15.93 (0.34) | 14.47 (0.42) | 14.67 (0.40) | 15.97 (0.42) |
| 75 | 216[M+](10) 202(100) 159(96) | 1744 | 0.08 (0.01) | 0.12 (0.03) | 0.01 (*) | 0.01 (*) | 0.03 (0.01) |
| 76 | 216[M+](3) 202(100) 143(81) | 1784 | 0.01 (*) | 0.03 (0.01) | 0.01 (*) | 0.01 (*) | 0.01 * |
| 77 | germacra-4(15),5,10(14)-trien-1-alpha-ol | 1801 | 0.28 (0.03) | 0.79 (0.12) | 0.69 (0.10) | 0.63 (0.10) | 0.29 (0.04) |
| 78 | 1,4-dimethyl-7-(1-methylethyl)-azulene | 1823 | 0.60 (0.18) | 0.02 (0.01) | 0.01 (*) | 0.01 (*) | 0.01 (*) |
| 79 | methyl-2-methylazulene-1-carboxylate | 2025 | 0.91 (0.11) | 1.31 (0.10) | 1.54 (0.11) | 1.42 (0.10) | 1.59 (0.12) |
| Total | 99.07 (6.68) | 98.26 (5.66) | 97.09 (5.58) | 99.18 (4.35) | 98.07 (5.30) | ||
| % Identified | 87.72 (5.01) | 83.94 (3.94) | 83.73 (3.95) | 92.07 (3.37) | 83.32 (3.67) | ||
| Including: | |||||||
| Aliphatics | 2.24 (0.29) | 0.45 (0.09) | 0.39 (0.05) | 1.06 (0.16) | 1.87 (0.13) | ||
| Aromatics | 8.14 (0.33) | 16.39 (0.41) | 14.69 (0.46) | 14.94 (0.47) | 15.99 (0.42) | ||
| Monoterpene hydrocarbons | 1.25 (0.26) | 0.23 (0.03) | 0.43 (0.07) | 0.93 (0.19) | 0.48 (0.10) | ||
| Monoterpenoide hydrocarbons | 0.59 (0.10) | 0.73 (0.10) | 1.31 (0.10) | 1.59 (0.10) | 0.47 (0.09) | ||
| Sesquiterpene hydrocarbons | 73.38 (3.71) | 64.21 (3.09) | 65.03 (3.09) | 71.57 (2.23) | 61.95 (2.67) | ||
| Sesquiterpenoide hydrocarbons | 2.12 (0.32) | 1.93 (0.22) | 1.88 (0.18) | 1.98 (0.22) | 2.56 (0.26) | ||
| No. | Compounds | RI a | Code b | ||
|---|---|---|---|---|---|
| C-41 | C-42 | C-43 | |||
| 1 | 2-methyl-1-propanol | <700 | - | - | - |
| 2 | pentanal | <700 | 0.09 (0.01) | 0.03 (0.01) | 0.02 (0.01) |
| 3 | cyclopentanol | 748 | - | - | - |
| 4 | 3-methyl-1-butanol | 768 | 0.01 (*) | 0.01 (*) | 0.04 (0.01) |
| 5 | hexanal | 834 | 0.01 (*) | 0.01 (*) | 0.01 (*) |
| 6 | (Z)-3-hexen-1-ol | 886 | - | - | - |
| 7 | 1-hexanol | 896 | 0.33 (0.08) | 0.45 (0.09) | 0.09 (0.01) |
| 8 | 106[M+](58) 91(100) 77(13) | 902 | 0.15 (0.03) | 0.04 (0.01) | 0.47 (0.09) |
| 9 | tricyclene | 939 | - | - | - |
| 10 | α-pinene | 952 | 0.13 (0.02) | 0.15 (0.03) | 0.05 (0.01) |
| 11 | camphene | 971 | - | - | - |
| 12 | β-pinene | 1004 | 0.40 (0.09) | 0.35 (0.08) | 0.03 (0.01) |
| 13 | 3-octanol | 1018 | 0.01 (*) | 0.01 (*) | 0.02 (0.01) |
| 14 | limonene | 1048 | 0.37 (0.08) | 0.05 (0.01) | 0.16 (0.03) |
| 15 | benzene acetaldehyde | 1093 | 0.21 (0.03) | 0.05 (0.01) | 0.06 (0.01) |
| 16 | 1-octen-3-yl-acetate | 1123 | 0.52 (0.10) | 0.27 (0.04) | 0.58 (0.09) |
| 17 | benzene ethanol | 1156 | 0.01 (*) | 0.01 (*) | 0.02 (0.01) |
| 18 | 160[M+](49) 145(100) 117(34) | 1224 | 1.53 (0.11) | 2.03 (0.18) | 3.54 (0.32) |
| 19 | β-cyclocitral | 1257 | 0.82 (0.10) | 0.69 (0.10) | 1.15 (0.11) |
| 20 | 1,2-dihydro-6-methylnaphthalene | 1295 | 0.14 (0.03) | 0.23 (0.04) | 0.09 (0.01) |
| 21 | 207[M]+(18) 121(100) 93(71) | 1332 | 0.10 (0.02) | 0.02 (0.01) | 0.15 (0.03) |
| 22 | δ-elemene | 1344 | 0.24 (0.03) | 0.18 (0.03) | 2.18 (0.20) |
| 23 | methylnaphthalene | 1359 | 0.02 (0.01) | 0.02 (0.01) | 0.05 (0.01) |
| 24 | 202[M+](18) 81(100) 96(83) | 1364 | 0.11 (0.02) | 0.07 (0.01) | 0.22 (0.04) |
| 25 | anastreptene | 1379 | 5.28 (0.26) | 4.89 (0.22) | 12.67 (0.68) |
| 26 | 204[M+](25) 105(100) 161(83) | 1382 | 0.06 (0.01) | 0.10 (0.02) | 0.33 (0.07) |
| 27 | 202[M+](5) 159(100) 91(95) | 1387 | 0.23 (0.03) | 0.22 (0.03) | 0.03 (0.01) |
| 28 | 202[M+](5) 143(100) 128(92) | 1392 | 1.03 (0.10) | 1.23 (0.10) | 1.31 (0.11) |
| 29 | β-elemene | 1405 | 0.62 (0.09) | 0.18 (0.03) | 0.47 (0.09) |
| 30 | 204[M]+(52) 161(100) 107(89) | 1407 | - | - | - |
| 31 | 202[M]+(2) 143(100) 128(93) | 1418 | 0.09 (0.01) | 0.11 (0.02) | 0.17 (0.03) |
| 32 | α-gurjunene | 1423 | 0.08 (0.01) | 0.10 (0.02) | 0.18 (0.03) |
| 33 | 202[M]+(2) 145(100) 160(35) | 1426 | 0.17 (0.03) | 0.34 (0.07) | 0.21 (0.04) |
| 34 | β-gurjunene | 1431 | 0.01 (*) | 0.01 (*) | 0.04 (0.01) |
| 35 | 204[M]+(12) 159(100) 105(95) | 1436 | 0.01 (*) | 0.02 (0.01) | 0.03 (0.01) |
| 36 | (−)-aristolene | 1439 | 0.03 (0.01) | 0.03 (0.01) | 0.36 (0.09) |
| 37 | γ-gurjunene | 1444 | 0.27 (0.03) | 0.41 (0.09) | 0.06 (0.01) |
| 38 | γ-maaliene | 1449 | 0.29 (0.04) | 0.18 (0.03) | 0.55 (0.09) |
| 39 | α-maaliene | 1455 | 0.27 (0.03) | 0.23 (0.04) | 0.41 (0.09) |
| 40 | alloaromadendrene | 1459 | 1.12 (0.10) | 2.07 (0.22) | 4.72 (0.38) |
| 41 | selina-5,11-diene | 1470 | 0.18 (0.03) | 0.39 (0.09) | 0.85 (0.11) |
| 42 | 202[M]+(20) 105(100) 159(68) | 1475 | 0.08 (0.01) | 0.08 (0.01) | 0.18 (0.03) |
| 43 | 202[M+](30) 159(100) 131(75) | 1479 | 0.51 (0.02) | 0.62 (0.10) | 0.33 (0.08) |
| 44 | dehydroaromadendrene | 1482 | - | - | 1.05 (0.11) |
| 45 | 204[M+](1) 142(100) 141(78) | 1495 | 0.02 (0.01) | 0.01 (*) | 0.09 (0.01) |
| 46 | β-guaiene | 1505 | 0.08 (0.01) | 0.08 (0.01) | 0.13 (0.03) |
| 47 | germacrene D | 1510 | 1.63 (0.10) | 1.75 (0.10) | 2.89 (0.24) |
| 48 | ledene | 1516 | 0.01 (*) | 0.01 (*) | 0.05 (0.01) |
| 49 | bicyclogermacrene | 1521 | 1.40 (0.10) | 1.68 (0.10) | 10.22 (0.38) |
| 50 | 220[M+](5) 148(100) 133(95) | 1525 | 0.02 (0.01) | 0.07 (0.01) | 0.47 (0.09) |
| 51 | cuparene | 1538 | 0.29 (0.04) | 0.38 (0.03) | 1.56 (0.12) |
| 52 | 204[M+](22) 93(100) 105(68) | 1543 | 0.01 (*) | 0.02 (0.01) | 0.02 (0.01) |
| 53 | 202[M+](12) 157(100) 142(62) | 1554 | 0.36 (0.08) | 0.24 (0.03) | 0.51 (0.09) |
| 54 | 204[M+](18) 155(100) 119(82) | 1558 | 0.18 (0.03) | 0.22 (0.04) | 0.05 (0.01) |
| 55 | 200[M]+ (72) 143(100) 129(93) | 1571 | 0.29 (0.04) | 0.29 (0.03) | 0.83 (0.11) |
| 56 | 200[M+](73) 143(100) 157(97) | 1579 | 0.02 (0.01) | 0.01 (*) | 0.18 (0.03) |
| 57 | 204[M]+ (6) 69(100) 41(85) | 1586 | 0.08 (0.01) | 0.08 (0.01) | 0.20 (0.04) |
| 58 | cadina-3,9-diene | 1591 | 0.08 (0.01) | 0.02 (0.01) | 0.06 (0.01) |
| 59 | maaliol | 1609 | - | - | - |
| 60 | 1,4-dimethylazulene | 1616 | 54.71 (0.88) | 56.82 (0.86) | 27.11 (0.68) |
| 61 | (+)-spathulenol | 1619 | - | - | - |
| 62 | (−)-globulol | 1631 | 0.11 (0.02) | 0.17 (0.04) | 0.16 (0.03) |
| 63 | 220[M+](5) 132(100) 43(96) | 1637 | 0.32 (0.08) | 0.38 (0.08) | 1.11 (0.10) |
| 64 | 202[M+](3) 166(100) 165(98) | 1645 | - | - | - |
| 65 | 202[M+](2)129(100) 172(72) | 1655 | 1.87 (0.12) | 1.38 (0.10) | 2.87 (0.18) |
| 66 | 200[M+](2) 145(100) 158(55) | 1664 | - | - | - |
| 67 | isospathulenol | 1667 | 0.34 (0.08) | 0.22 (0.03) | 0.34 (0.07) |
| 68 | 218[M+](2) 71(100) 57(93) | 1674 | - | - | 0.05 (0.01) |
| 69 | 220[M+](5) 129(100) 144(92) | 1678 | 0.11 (0.03) | 0.11 (0.02) | 0.06 (0.01) |
| 70 | 220[M+](31) 159(100) 105(81) | 1684 | 0.34 (0.08) | 0.33 (0.08) | 0.47 (0.09) |
| 71 | 202[M+](92) 143(100) 128(78) | 1689 | 0.15 (0.02) | 0.14 (0.03) | 0.12 (0.02) |
| 72 | 220[M+](11) 109(100) 121(51) | 1695 | - | - | 0.04 (0.01) |
| 73 | 220[M+](13) 159(100) 145(89) | 1710 | 0.15 (0.02) | 0.07 (0.01) | 0.21 (0.03) |
| 74 | 4-(cyclopent-1-enyl)benzoic acid methyl ester | 1722 | 17.31 (0.44) | 15.02 (0.42) | 12.59 (0.42) |
| 75 | 216[M+](10) 202(100) 159(96) | 1744 | 0.07 (0.01) | 0.10 (0.02) | 0.09 (0.02) |
| 76 | 216[M+](3) 202(100) 143(81) | 1784 | 0.05 (0.01) | 0.01 (*) | 0.04 (0.01) |
| 77 | germacra-4(15),5,10(14)-trien-1-alpha-ol | 1801 | 0.47 (0.09) | 0.51 (0.09) | 1.02 (0.10) |
| 78 | 1,4-dimethyl-7-(1-methylethyl)-azulene | 1823 | 0.08 (0.01) | 0.09 (0.01) | 0.06 (0.01) |
| 79 | methyl-2-methylazulene-1-carboxylate | 2025 | 1.42 (0.10) | 1.32 (0.10) | 1.54 (0.14) |
| Total | 97.50 (4.35) | 97.41 (4.35) | 98.02 (6.19) | ||
| % Identified | 89.39 (3.40) | 89.07 (3.31) | 83.64 (4.46) | ||
| Including: | |||||
| Aliphatics | 0.97 (0.19) | 0.78 (0.14) | 0.76 (0.13) | ||
| Aromatics | 17.69 (0.51) | 15.33 (0.48) | 12.81 (0.46) | ||
| Monoterpene hydrocarbons | 0.90 (0.19) | 0.55 (0.12) | 0.24 (0.05) | ||
| Monoterpenoide hydrocarbons | 0.82 (0.10) | 0.69 (0.10) | 1.15 (0.11) | ||
| Sesquiterpene hydrocarbons | 67.14 (2.21) | 70.01 (2.30) | 66.64 (3.47) | ||
| Sesquiterpenoide hydrocarbons | 1.87 (0.20) | 1.71 (0.17) | 2.04 (0.24) | ||
Publisher’s Note: MDPI stays neutral with regard to jurisdictional claims in published maps and institutional affiliations. |
© 2022 by the authors. Licensee MDPI, Basel, Switzerland. This article is an open access article distributed under the terms and conditions of the Creative Commons Attribution (CC BY) license (https://creativecommons.org/licenses/by/4.0/).
Share and Cite
Guzowska, M.; Wawrzyniak, R.; Wasiak, W. Seasonal Variability and Effect of Sample Storage on Volatile Components in Calypogeia azurea. Molecules 2022, 27, 2426. https://doi.org/10.3390/molecules27082426
Guzowska M, Wawrzyniak R, Wasiak W. Seasonal Variability and Effect of Sample Storage on Volatile Components in Calypogeia azurea. Molecules. 2022; 27(8):2426. https://doi.org/10.3390/molecules27082426
Chicago/Turabian StyleGuzowska, Małgorzata, Rafał Wawrzyniak, and Wiesław Wasiak. 2022. "Seasonal Variability and Effect of Sample Storage on Volatile Components in Calypogeia azurea" Molecules 27, no. 8: 2426. https://doi.org/10.3390/molecules27082426
APA StyleGuzowska, M., Wawrzyniak, R., & Wasiak, W. (2022). Seasonal Variability and Effect of Sample Storage on Volatile Components in Calypogeia azurea. Molecules, 27(8), 2426. https://doi.org/10.3390/molecules27082426

