An In Vitro Anticancer, Antioxidant, and Phytochemical Study on Water Extract of Kalanchoe daigremontiana Raym.-Hamet and H. Perrier
Abstract
1. Introduction
2. Results
2.1. Phytochemical Analysis of Bufadienolides in Kalanchoe Daigremontiana Extract
2.2. Kalanchoe Daigremontiana Water Extract Decreased the Viability of SKOV-3 Cells
2.3. Kalanchoe Daigremontiana Water Extract Induced Cell Death of SKOV-3 Cells
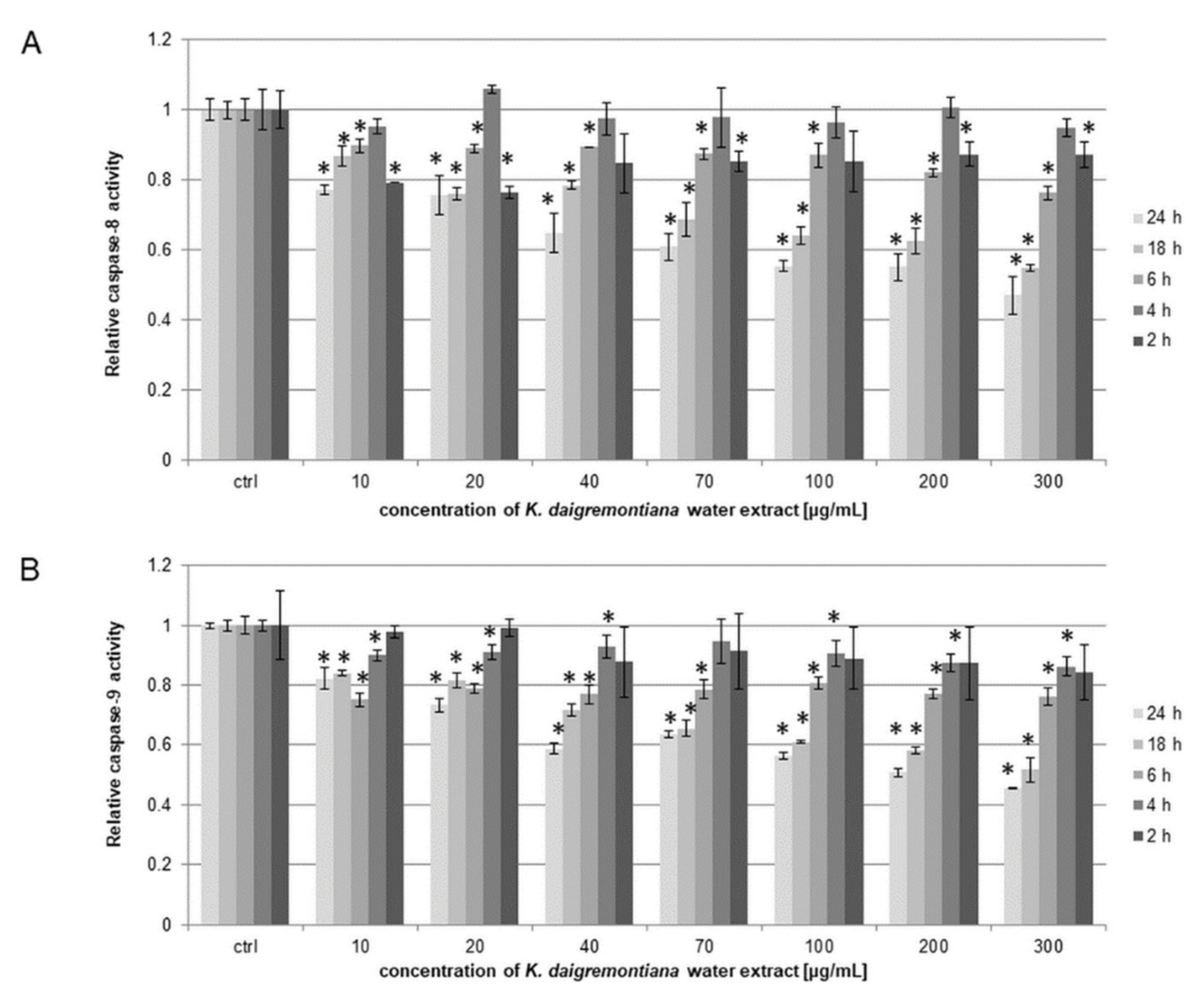
2.4. Kalanchoe Daigremontiana Extract Did Not Activate Caspase-3, 7, 8, or 9
2.5. Kalanchoe Daigremontiana Extract Modulated MMP (ΔΨm) in SKOV-3 Cells
2.6. Kalanchoe Daigremontiana Extract Moderately Increased ROS Production in SKOV-3 Cells
2.7. Antioxidant Efficiency of Kalanchoe Daigremontiana Water Extract
2.8. Kalanchoe Daigremontiana Extract Did Not Cause H2A.X Activation in SKOV-3 Cells
2.9. Kalanchoe Daigremontiana Extract Induced Cell Cycle Arrest in S and G2/M phases
2.10. Kalanchoe Daigremontiana Extract Increased the Expression of Genes Involved in Cell Death
3. Discussion
4. Materials and Methods
4.1. Preparation of Kalanchoe Daigremontiana Water Extract
4.2. Identification and Quantitative Analyses of Bufadienolides
4.3. Cell Culture
4.4. MTT Assay
4.5. Annexin and 7-AAD Assay
4.6. Annexin-V-Fluos and Propidium Iodide (PI) Staining
4.7. Caspase-3, 7, 8, and 9 Activity
4.8. Mitochondrial Membrane Potential (MMP)
4.9. Reactive Oxygen Species (ROS) Production
4.10. In Vitro DPPH and FRAP Assays
4.11. Estimation of H2A.X Activation
4.12. Cell Cycle Analysis
4.13. Real-Time PCR
4.14. Statistical Analysis
Author Contributions
Funding
Institutional Review Board Statement
Informed Consent Statement
Data Availability Statement
Acknowledgments
Conflicts of Interest
References
- Chibli, L.A.; Rodrigues, K.C.M.; Gasparetto, C.M.; Pinto, N.C.C.; Fabri, R.L.; Scio, E.; Alves, M.S.; Del-Vechio-Vieira, G.; Sousa, O.V. Anti-inflammatory effects of Bryophyllum pinnatum (Lam.) Oken ethanol extract in acute and chronic cutaneous inflammation. J. Ethnopharmacol. 2014, 154, 330–338. [Google Scholar] [CrossRef] [PubMed]
- Kolodziejczyk-Czepas, J.; Nowak, P.; Wachowicz, B.; Piechocka, J.; Głowacki, R.; Moniuszko-Szajwaj, B.; Stochmal, A. Antioxidant efficacy of Kalanchoe daigremontiana bufadienolide-rich fraction in blood plasma in vitro. Pharm. Biol. 2016, 54, 3182–3188. [Google Scholar] [CrossRef] [PubMed]
- Kolodziejczyk-Czepas, J.; Stochmal, A. Bufadienolides of Kalanchoe species: An overview of chemical structure, biological activity and prospects for pharmacological use. Phytochem. Rev. 2017, 16, 1155–1171. [Google Scholar] [CrossRef] [PubMed]
- Milad, R.; El-Ahmady, S.; Singab, A.N. Genus Kalanchoe (Crassulaceae): A review of its ethnomedicinal, botanical, chemical and pharmacological properties. Eur. J. Med. Plants 2014, 4, 86–104. [Google Scholar] [CrossRef]
- Majaz, Q.; Khurshid, M.; Nazim, S.; Rahil, K.; Siraj, S. Evaluation of antioxidant activity of Kalanchoe pinnata roots. Int. J. Res. Ayurveda Pharm. 2011, 2, 1722–1775. [Google Scholar]
- Biswas, S.K.; Chowdhury, A.; Das, J.; Riaz Uddin, S.M.; Rahaman, M.S. Literature review on pharmacological potentials of Kalanchoe pinnata (Crassulaceae). Afr. J. Pharm. Pharmacol. 2011, 5, 1258–1262. [Google Scholar] [CrossRef]
- Kawade, R.M.; Ghiware, N.B.; Ghante, M.H.; Malwatkar, S.M.; Vadvalkar, S.M.; Dhadwe, A.K.; Choudhary, R.V. A review on pharmacognostical, phytochemical and pharmacological potentials of Kalanchoe pinnata (Crassulaceae). Am. J. PharmTech. Res. 2014, 4, 1–15. [Google Scholar]
- Fürer, K.; Simões-Wüst, A.P.; von Mandach, U.; Hamburger, M.; Potterat, O. Bryophyllum pinnatum and related species used in anthroposophic medicine: Constituents, pharmacological activities, and clinical efficacy. Planta Med. 2016, 82, 930–941. [Google Scholar] [CrossRef]
- Sarkar, R.; Mondal, C.; Bera, R.; Chakraborty, S.; Barik, R.; Roy, P.; Kumar, A.; Yadav, K.K.; Choudhury, J.; Chaudhary, S.K.; et al. Antimicrobial properties of Kalanchoe blossfeldiana: A focus on drug resistance with particular reference to quorum sensing-mediated bacterial biofilm formation. J. Pharm. Pharmacol. 2015, 67, 951–962. [Google Scholar] [CrossRef]
- Cruz, E.A.; Reuter, S.; Martin, H.; Dehzad, N.; Muzitano, M.F.; Costa, S.S.; Rossi-Bergmann, B.; Buhl, R.; Stassen, M.; Taube, C. Kalanchoe pinnata inhibits mast cell activation and prevents allergic airway disease. Phytomedicine 2012, 19, 115–121. [Google Scholar] [CrossRef]
- Mahata, S.; Maru, S.; Shukla, S.; Pandey, A.; Mugesh, G.; Das, B.C.; Bharti, A.C. Anticancer property of Bryophyllum pinnata (Lam.) Oken. leaf on human cervical cancer cells. BMC Complement. Altern. Med. 2012, 12, 15–25. [Google Scholar] [CrossRef] [PubMed]
- Hsieh, Y.J.; Yang, M.Y.; Leu, Y.L.; Chen, C.; Wan, C.F.; Chang, M.Y.; Chang, C.J. Kalanchoe tubiflora extract inhibits cell proliferation by affecting the mitotic apparatus. BMC Complement. Altern. Med. 2012, 12, 149–159. [Google Scholar] [CrossRef] [PubMed]
- Hsieh, Y.J.; Leu, Y.-L.; Chang, C.J. The anticancer activity of Kalanchoe tubiflora. OA Altern. Med. 2013, 1, 18–21. [Google Scholar]
- Kaewpiboon, C.; Srisuttee, R.; Malilas, W.; Moon, J.; Kaowinn, S.; Cho, I.R.; Johnston, R.N.; Assavalapsakul, W.; Chung, Y.H. Extract of Bryophyllum laetivirens reverses etoposide resistance in human lung A549 cancer cells by downregulation of NF-κB. Oncol. Rep. 2014, 31, 161–168. [Google Scholar] [CrossRef][Green Version]
- Fonseca, A.G.; Ribeiro Dantas, L.L.S.F.; Fernandes, J.M.; Zucolotto, S.M.; Lima, A.A.N.; Soares, L.A.L.; Rocha, H.A.O.; Lemos, T.M.A.M. In vivo and in vitro toxicity evaluation of hydroethanolic extract of Kalanchoe brasiliensis (Crassulaceae) leaves. J. Toxicol. 2018, 2018, 6849765. [Google Scholar] [CrossRef]
- Süsskind, M.; Thürmann, P.A.; Lüke, C.; Jeschke, E.; Tabali, M.; Matthes, H.; Ostermann, T. Adverse drug reactions in a complementary medicine hospital: A prospective, intensified, surveillance study. J. Evid. Based Complement. Altern. Med. 2012, 2012, 320760. [Google Scholar] [CrossRef][Green Version]
- Mawla, F.; Khatoon, S.; Rehana, F.; Jahan, S.; Moshiur, M.R.; Hossain, S.; Haq, W.M.; Rahman, S.; Debnath, K.; Rahmatullah, M. Ethnomedicinal plants of folk medicinal practitioners in four villages of Natore and Rajshahi districts, Bangladesh. Am. J. Sustain. Agric. 2012, 6, 406–416. [Google Scholar]
- García-Pérez, P.; Lozano-Milo, E.; Landin, M.; Gallego, P.P. From Ethnomedicine to Plant Biotechnology and Machine Learning: The Valorization of the Medicinal Plant Bryophyllum sp. Pharmaceuticals 2020, 13, 444. [Google Scholar] [CrossRef]
- Kamboj, A.; Rathour, A.; Kaur, M. Bufadienolides and their medicinal utility: A review. Int. J. Pharm. Pharm. Sci. 2013, 5, 20–27. [Google Scholar]
- Stefanowicz-Hajduk, J.; Asztemborska, M.; Krauze-Baranowska, M.; Godlewska, S.; Gucwa, M.; Moniuszko-Szajwaj, B.; Stochmal, A.; Ochocka, J.R. Identification of flavonoids and bufadienolides and cytotoxic effects of Kalanchoe daigremontiana extracts on human cancer cell lines. Planta Med. 2020, 86, 239–246. [Google Scholar] [CrossRef]
- Kruk, J.; Pisarski, A.; Szymańska, R. Novel vitamin E forms in leaves of Kalanchoe daigremontiana and Phaseolus. J. Plant. Physiol. 2011, 168, 2021–2027. [Google Scholar] [CrossRef]
- Bogucka-Kocka, A.; Zidorn, C.; Kasprzycka, M.; Szymczak, G.; Szewczyk, K. Phenolic acid content, antioxidant and cytotoxic activities of four Kalanchoe species. Saudi J. Biol. Sci. 2018, 25, 622–630. [Google Scholar] [CrossRef] [PubMed]
- Panche, A.N.; Diwan, A.D.; Chandra, S.R. Flavonoids: An overview. J. Nutr. Sci. 2016, 5, 1–15. [Google Scholar] [CrossRef] [PubMed]
- Kumar, S.; Pandey, A.K. Chemistry and Biological Activities of Flavonoids: An Overview. Sci. World J. 2013, 2013, 162750. [Google Scholar] [CrossRef] [PubMed]
- Supratman, U.; Fujita, T.; Akiyama, K.; Hayashi, H.; Murakami, A.; Sakai, H.; Koshimizu, K.; Ohigashi, H. Anti-tumor promoting activity of bufadienolides from Kalanchoe pinnata and K. daigremontiana x tubiflora. Biosci. Biotechnol. Biochem. 2001, 65, 947–949. [Google Scholar] [CrossRef] [PubMed]
- Morishita, S.; Shoji, M.; Oguni, Y.; Ito, C.; Noguchi, K.; Sakanshi, M. Congestive heart failure model in rabbits: Effects of digoxin and a drug containing toad venom. Jpn. J. Pharmacol. 1991, 56, 427–432. [Google Scholar] [CrossRef]
- Zhu, L.; Chen, Y.; Wei, C.; Yang, X.; Cheng, J.; Yang, Z.; Chen, C.; Ji, Z. Anti-proliferative and pro-apoptotic effects of cinobufagin on human breast cancer MCF-7 cells and its molecular mechanism. Nat. Prod. Res. 2018, 32, 493–497. [Google Scholar] [CrossRef]
- Huang, H.C.; Lin, M.K.; Yang, H.L.; Hseu, Y.C.; Liaw, C.C.; Tseng, Y.H.; Tsuzuki, M.; Kuo, Y.H. Cardenolides and bufadienolide glycosides from Kalanchoe tubiflora and evaluation of cytotoxicity. Planta Med. 2013, 79, 1362–1369. [Google Scholar] [CrossRef]
- Kuo, P.C.; Kuo, T.H.; Su, C.R.; Liou, M.J.; Wu, T.S. Cytotoxic principles and α-pyrone ring-opening derivatives of bufadienolides from Kalanchoe hybrida. Tetrahedron 2008, 64, 3392–3396. [Google Scholar] [CrossRef]
- Stefanowicz-Hajduk, J.; Hering, A.; Gucwa, M.; Hałasa, R.; Soluch, A.; Kowalczyk, M.; Stochmal, A.; Ochocka, J.R. Biological activities of leaf extracts from selected Kalanchoe species and their relationship with bufadienoides content. Pharm. Biol. 2020, 58, 732–740. [Google Scholar] [CrossRef]
- Pasquier, E.; Carré, M.; Pourroy, B.; Camoin, L.; Rebaï, O.; Briand, C.; Braguer, D. Antiangiogenic activity of paclitaxel is associated with its cytostatic effect, mediated by the initiation but not completion of a mitochondrial apoptotic signaling pathway. Mol. Cancer Ther. 2004, 3, 1301–1310. [Google Scholar] [PubMed]
- Mekhail, T.M.; Markman, M. Paclitaxel in cancer therapy. Expert. Opin. Pharmacother. 2002, 3, 755–766. [Google Scholar] [PubMed]
- Achkar, I.W.; Abdulrahman, N.; Al-Sulaiti, H.; Joseph, J.M.; Uddin, S.; Mraiche, F. Cisplatin based therapy: The role of the mitogen activated protein kinase signaling pathway. J. Transl. Med. 2018, 16, 96. [Google Scholar] [CrossRef] [PubMed]
- Smith, J.A.; Ngo, H.; Martin, M.C.; Wolf, J.K. An evaluation of cytotoxicity of the taxane and platinum agents combination treatment in a panel of human ovarian carcinoma cell lines. Gynecol. Oncol. 2005, 98, 141–145. [Google Scholar] [CrossRef]
- Vermes, I.; Haanen, C.; Steffens-Nakken, H.; Reutelingsperger, C. A novel assay for apoptosis. Flow cytometric detection of phosphatidylserine expression on early apoptotic cells using fluorescein labelled Annexin, V. J. Immunol. Meth. 1995, 184, 39–51. [Google Scholar] [CrossRef]
- Schmidt, I.; Krall, W.J.; Uittenbogaart, C.H.; Braun, J.; Giorgi, J.V. Dead cell discrimination with 7-amino-actinomycin D in combination with dual color immunofluorescence in single laser flow cytometry. Cytometry 1992, 13, 204–208. [Google Scholar] [CrossRef]
- Aryal, S.; Baniya, M.K.; Danekhu, K.; Kunwar, P.; Gurung, R.; Koirala, N. Total Phenolic Content, Flavonoid Content and Antioxidant Potential of Wild Vegetables from Western Nepal. Plants 2019, 8, 96. [Google Scholar] [CrossRef]
- Tanaka, T.; Huang, X.; Halicka, H.D.; Zhao, H.; Traganos, F.; Albino, A.P.; Wei, D.; Darzynkiewicz, Z. Cytometry of ATM Activation and Histone H2AX Phosphorylation to Estimate Extent of DNA Damage Induced by Exogenous Agents. Cytometry 2007, 71, 648–661. [Google Scholar] [CrossRef]
- Montecucco, A.; Zanetta, F.; Biamonti, G. Molecular mechanisms of etoposide. EXCLI J. 2015, 14, 95–108. [Google Scholar]
- Amatori, S.; Persico, G.; Fanelli, M. Real-time quantitative PCR array to study drug-induced changes of gene expression in tumor cell lines. J. Cancer Metastasis Treat. 2017, 3, 90–99. [Google Scholar] [CrossRef]
- Stefanowicz-Hajduk, J.; Gucwa, M.; Moniuszko-Szajwaj, B.; Stochmal, A.; Kawiak, A.; Ochocka, J.R. Bersaldegenin-1,3,5-orthoacetate induces caspase-independent cell death, DNA damage and cell cycle arrest in human cervical cancer HeLa cells. Pharm. Biol. 2021, 59, 54–65. [Google Scholar] [CrossRef] [PubMed]
- Morgan, D.O. Principles of CDK regulation. Nature 1995, 374, 131–134. [Google Scholar] [CrossRef] [PubMed]
- Gerard, C.; Goldbeter, A. The balance between cell cycle arrest and cell proliferation: Control by the extracellular matrix and by contact inhibition. Interface Focus 2014, 4, 20130075. [Google Scholar] [CrossRef] [PubMed]
- Chakarov, S.; Petkova, R.; Russev, G.C.; Zhelev, N. DNA damage and mutation. Types of DNA damage. Biodiscovery 2014, 11, 1–51. [Google Scholar] [CrossRef]
- Tsujimoto, Y. Multiple ways to die: Non-apoptotic forms of cell death. Acta Oncol. 2012, 51, 293–300. [Google Scholar] [CrossRef]
- Ray, P.D.; Huang, B.W.; Tsuji, Y. Reactive oxygen species (ROS) homeostasis and redox regulation in cellular signaling. Cell Signall. 2012, 24, 981–990. [Google Scholar] [CrossRef]
- Kroemer, G.; Reed, J.C. Mitochondrial control of cell death. Nat. Med. 2000, 6, 513–519. [Google Scholar] [CrossRef]
- Sharma, P.; Jha, A.B.; Dubey, R.S.; Pessarakli, M. Reactive oxygen species, oxidative damage, and antioxidative defense mechanism in plants under stressful conditions. J. Bot. 2012, 2012, 217037. [Google Scholar] [CrossRef]
- Perillo, B.; Di Donato, M.; Pezone, A.; Zazzo, E.D.; Giovanelli, P.; Galasso, G.; Castoria, G.; Migliaccio, A. ROS in cancer therapy: The bright side of the moon. Exp. Mol. Med. 2020, 52, 192–203. [Google Scholar] [CrossRef]
- Itoh, N.; Yonehara, S.; Ishii, A.; Yonehara, M.; Mizushima, S.I.; Sameshima, M.; Hase, A.; Seto, Y.; Nagata, S. The polypeptide encoded by the cDNA for human cell surface antigen Fas can mediate apoptosis. Cell 1991, 66, 233–243. [Google Scholar] [CrossRef]
- Loetscher, H.; Pan, Y.C.; Lahm, H.W.; Gentz, R.; Brockhaus, M.; Tabuchi, H.; Lesslauer, W. Molecular cloning and expression of the human 55 kd tumor necrosis factor receptor. Cell 1990, 61, 351–359. [Google Scholar] [CrossRef]
- Pan, G.; O’Rourke, K.; Chinnaiyan, A.M.; Gentz, R.; Ebner, R.; Ni, J.; Dixit, V.M. The receptor for the cytotoxic ligand TRAIL. Science 1997, 276, 111–113. [Google Scholar] [CrossRef] [PubMed]
- Walczak, H.; Degli-Esposti, M.A.; Johnson, R.S.; Smolak, P.J.; Waugh, J.Y.; Boiani, N.; Timour, M.S.; Gerhart, M.J.; Schooley, K.A.; Smith, C.A.; et al. TRAIL-R2: A novel apoptosis-mediating receptor for TRAIL. EMBO J. 1997, 16, 5386–5397. [Google Scholar] [CrossRef] [PubMed]
- Pan, G.; Bauer, J.H.; Haridas, V.; Wang, S.; Liu, D.; Yu, G.; Vincenz, C.; Aggarwal, B.B.; Ni, J.; Dixit, V.M. Identification and functional characterization of DR6, a novel death domain-containing TNF receptor. FEBS Lett. 1998, 431, 351–356. [Google Scholar] [CrossRef]
- Szegezdi, E.; Legembre, P. Editorial: Death Receptors, Non-apoptotic Signaling Pathways and Inflammation. Front. Immunol. 2020, 11, 2162. [Google Scholar] [CrossRef]
- Le Gallo, M.; Poissonnier, A.; Blanco, P.; Legembre, P. CD95/Fas Non-Apoptotic Signaling Pathways, and Kinases. Front. Immunol. 2017, 8, 1216. [Google Scholar] [CrossRef]
- Moniuszko-Szajwaj, B.; Pecio, L.; Kowalczyk, M.; Stochmal, A. New bufadienolides isolated from the roots of Kalanchoe daigremontiana (Crassulaceae). Molecules 2016, 21, 243. [Google Scholar] [CrossRef]
- Sakdawattanakul, R.; Panapisal, P.; Tansirikongkol, A. Comparative in vitro anti-aging activities of Phyllanthus emblica L. extract, Manilkara sapota L. extract and its combination. Thai J. Pharm. Sci. 2016, 40, 108–111. [Google Scholar]












| No. | Identification | RT [min] | Meas. m/z [M + H] | Ion Formula | mσ | Content [ng/mg d. w.] * |
|---|---|---|---|---|---|---|
| 1 | tetrahydroxy-bufadienolide-rhamnoside | 2.06 | 581.2954 | C30H45O11 | 17.2 | 107.2 ± 9.1 |
| 2 | tetrahydroxy-bufadienolide-dHex isomer 1 | 2.27 | 581.2953 | C30H45O11 | 9.3 | <LLOD |
| 3 | tetrahydroxy-oxo-bufadienolide-acetate isomer 1 | 2.71 | 491.2276 | C26H35O9 | 7.1 | 186.8 ± 16.1 |
| 4 | tetrahydroxy-bufadienolide-dHex isomer 2 | 2.94 | 581.2955 | C30H45O11 | 3.7 | <LLOD |
| 5 | bersaldegenin-acetate/bryophyllin-C isomer 1 | 3.68 | 475.2327 | C26H35O8 | 13.7 | 35.6 ± 10.5 |
| 6 | bryophyllin-B/bryotoxin-B isomer 1 | 4.81 | 489.2119 | C26H33O9 | 19.2 | 113.4 ± 12.3 |
| 7 | daigremontianin isomer 1 | 4.84 | 487.1965 | C26H31O9 | 329.8 | 56.2 ± 8.2 |
| 8 | bryophyllin-A/bryotoxin-C isomer 1 | 4.91 | 473.2174 | C26H33O8 | 5.3 | 573.5 ± 27.2 |
| 9 | bryophyllin-B/bryotoxin-B isomer 2 | 5.05 | 489.2122 | C26H33O9 | 10.5 | <LLOD |
| 10 | daigremontianin isomer 2 | 5.44 | 487.1967 | C26H31O9 | 14.8 | 81.4 ± 4.5 |
| 11 | bryophyllin-A/bryotoxin-C isomer 2 | 5.73 | 473.2172 | C26H33O8 | 6.1 | <LLOD |
| 12 | tetrahydroxy-oxo-bufadienolide-acetate isomer 2 | 6.06 | 477.2483 | C26H37O8 | 13.3 | <LLOD |
| 13 | daigremontianin isomer 3 | 6.23 | 487.1967 | C26H31O9 | 8.8 | <LLOD |
| 14 | bryophyllin-A/bryotoxin-C isomer 2 | 6.28 | 473.2175 | C26H33O8 | 31.4 | <LLOD |
| 15 | bersaldegenin-acetate/bryophyllin-C isomer 2 | 6.85 | 475.2332 | C26H35O8 | 3.4 | 19.2 ± 3.6 |
| 16 | daigredorigenin-acetate | 8.20 | 461.2537 | C26H37O7 | 7.5 | 2.0 ± 0.5 |
| 17 | daigremontianin | 8.32 | 487.1964 | C26H31O9 | 2.6 | 399.4 ± 19.3 |
| 18 | methyl-daigremonate isomer 1 | 10.43 | 503.2277 | C27H35O9 | 3.0 | <LLOD |
| 19 | methyl-daigremonate isomer 2 | 11.94 | 503.2281 | C27H35O9 | 11.2 | <LLOD |
| 20 | bersaldegenin-1,3,5-orthoacetate | 13.86 | 457.2224 | C26H33O7 | 6.8 | 757.4 ± 18.7 |
| Total content 2332.1 ± 30 | ||||||
Publisher’s Note: MDPI stays neutral with regard to jurisdictional claims in published maps and institutional affiliations. |
© 2022 by the authors. Licensee MDPI, Basel, Switzerland. This article is an open access article distributed under the terms and conditions of the Creative Commons Attribution (CC BY) license (https://creativecommons.org/licenses/by/4.0/).
Share and Cite
Stefanowicz-Hajduk, J.; Hering, A.; Gucwa, M.; Sztormowska-Achranowicz, K.; Kowalczyk, M.; Soluch, A.; Ochocka, J.R. An In Vitro Anticancer, Antioxidant, and Phytochemical Study on Water Extract of Kalanchoe daigremontiana Raym.-Hamet and H. Perrier. Molecules 2022, 27, 2280. https://doi.org/10.3390/molecules27072280
Stefanowicz-Hajduk J, Hering A, Gucwa M, Sztormowska-Achranowicz K, Kowalczyk M, Soluch A, Ochocka JR. An In Vitro Anticancer, Antioxidant, and Phytochemical Study on Water Extract of Kalanchoe daigremontiana Raym.-Hamet and H. Perrier. Molecules. 2022; 27(7):2280. https://doi.org/10.3390/molecules27072280
Chicago/Turabian StyleStefanowicz-Hajduk, Justyna, Anna Hering, Magdalena Gucwa, Katarzyna Sztormowska-Achranowicz, Mariusz Kowalczyk, Agata Soluch, and J. Renata Ochocka. 2022. "An In Vitro Anticancer, Antioxidant, and Phytochemical Study on Water Extract of Kalanchoe daigremontiana Raym.-Hamet and H. Perrier" Molecules 27, no. 7: 2280. https://doi.org/10.3390/molecules27072280
APA StyleStefanowicz-Hajduk, J., Hering, A., Gucwa, M., Sztormowska-Achranowicz, K., Kowalczyk, M., Soluch, A., & Ochocka, J. R. (2022). An In Vitro Anticancer, Antioxidant, and Phytochemical Study on Water Extract of Kalanchoe daigremontiana Raym.-Hamet and H. Perrier. Molecules, 27(7), 2280. https://doi.org/10.3390/molecules27072280

