Discovery of Cinnamylidene Derivative of Rhodanine with High Anthelmintic Activity against Rhabditis sp.
Abstract
1. Introduction
2. Results and Discussion
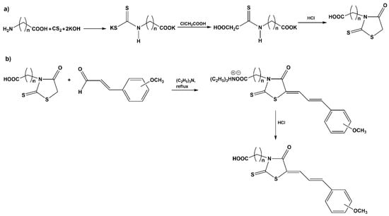
2.1. Synthesis
2.2. X-ray Crystallographic Studies
2.2.1. Crystal Structures of 2 and 4
2.2.2. Anthelmintic Activity and Molecular Geometry
2.3. Anthelmintic Activity
2.4. Studies on Potential Mechanism of Action
2.4.1. Docking Studies
2.4.2. Prediction of Selected Physicochemical Properties
3. Materials and Methods
3.1. Chemical Synthesis
General Procedures for the Synthesis of Final Compounds 1–11
5-(4′-Methoxycinnamylidene)-rhodanine (1)
5-(4′-Methoxycinnamylidene)-rhodanine-3-etanoic Acid (2)
5-(4′-Methoxycinnamylidene)-rhodanine-3-propanoic Acid (3)
5-(4′-Methoxycinnamylidene)-rhodanine-3-butanoic Acid (4)
5-(4′-Methoxycinnamylidene)-rhodanine-3-pentanoic Acid (5)
5-(4′-Methoxycinnamylidene)-rhodanine-3-hexanoic Acid (6)
5-(4′-Methoxycinnamylidene)-rhodanine-3-undecanoic Acid (7)
5-(2′-Methoxycinnamylidene)-rhodanine (8)
5-(2′-Methoxycinnamylidene)-rhodanine-3-etanoic Acid (9)
5-(3′-Methoxycinnamylidene)-rhodanine (10)
5-(3′-Methoxycinnamylidene)-rhodanine-3-etanoic Acid (11)
3.2. X-ray Crystallographic Studies
3.3. Anthelmintic Activity Assay
3.4. Molecular Modeling
3.4.1. Protein Preparation
3.4.2. Ligands Preparation
3.4.3. Molecular Docking Procedure
3.4.4. Log P and Log S Prediction
4. Conclusions
Author Contributions
Funding
Institutional Review Board Statement
Informed Consent Statement
Data Availability Statement
Conflicts of Interest
Sample Availability
References
- Geerts, S.; Gryseels, B. Drug resistance in human helminths: Current situation and lessons from livestock. Clin. Microbiol. Rev. 2000, 13, 207–222. [Google Scholar] [CrossRef] [PubMed]
- Malaria. Available online: https://www.who.int/news-room/fact-sheets/detail/malaria (accessed on 11 January 2022).
- Soil-Transmitted Helminth Infections. Available online: https://www.who.int/news-room/fact-sheets/detail/soil-transmitted-helminth-infections (accessed on 25 January 2022).
- Horn, D.; Duraisingh, M.T. Antiparasitic chemotherapy—From genomes to mechanisms. Annu. Rev. Pharmacol. Toxicol. 2014, 54, 71–94. [Google Scholar] [CrossRef] [PubMed][Green Version]
- Campbell, S.; Soman-Faulkner, K. Antiparasitic Drugs. In StatPearls [Internet]; StatPearls Publishing: Treasure Island, FL, USA, 2021. [Google Scholar]
- Kappagoda, S.; Singh, U.; Blackburn, B.G. Antiparasitic therapy. Mayo Clin. Proc. 2011, 86, 561–583. [Google Scholar] [CrossRef] [PubMed]
- Holden-Dye, L.; Walker, R.J. Anthelmintic drugs. WormBook 2007, 118, 1–13. [Google Scholar] [CrossRef] [PubMed]
- Holden-Dye, L.; Walker, R.J. Anthelmintic drugs and nematicides: Studies in Caenorhabditis elegans. WormBook 2014, 16, 1–29. [Google Scholar] [CrossRef] [PubMed]
- Tejchman, W.; Korona-Głowniak, I.; Malm, A.; Żylewski, M.; Suder, P. Antibacterial properties of 5-substituted derivatives of rhodanine-3-carboxyalkyl acids. Med. Chem. Res. 2017, 26, 1316–1324. [Google Scholar] [CrossRef] [PubMed]
- Tejchman, W.; Korona-Głowniak, I.; Kwietniewski, L.; Żesławska, E.; Nitek, W.; Suder, P.; Żylewski, M.; Malm, A. Antibacterial properties of 5-substituted derivatives of rhodanine-3-carboxyalkyl acids. Part II. Saudi Pharm. J. 2020, 28, 414–426. [Google Scholar] [CrossRef] [PubMed]
- Tejchman, W.; Orwat, B.; Korona-Głowniak, I.; Barbasz, A.; Kownacki, I.; Latacz, G.; Handzlik, J.; Żesławska, E.; Malm, A. Highly efficient microwave synthesis of rhodanine and 2-thiohydantoin derivatives and determination of relationships between their chemical structures and antibacterial activity. RSC Adv. 2019, 9, 39367–39380. [Google Scholar] [CrossRef]
- Stawoska, I.; Tejchman, W.; Mazuryk, O.; Lyčka, A.; Nowak-Sliwinska, P.; Żesławska, E.; Nitek, W.; Kania, A. Spectral Characteristic and Preliminary Anticancer Activity in vitro of Selected Rhodanine-3-carboxylic Acids Derivatives. J. Heterocycl. Chem. 2017, 54, 2889–2897. [Google Scholar] [CrossRef]
- Żesławska, E.; Kincses, A.; Spengler, G.; Nitek, W.; Tejchman, W.; Handzlik, J. Pharmacophoric features for a very potent 5-spirofluorenehydantoin inhibitor of cancer efflux pump ABCB1, based on X-ray analysis. Chem. Biol. Drug Des. 2019, 93, 844–853. [Google Scholar] [CrossRef] [PubMed]
- Chauhan, K.; Sharma, M.; Singh, P.; Kumar, V.; Shukla, P.K.; Siddiqi, M.I.; Chauhan, P.M.S. Discovery of a new class of dithiocarbamates and rhodanine scaffolds as potent antifungal agents: Synthesis, biology and molecular docking. Med. Chem. Commun. 2012, 3, 1104–1110. [Google Scholar] [CrossRef]
- Buzun, K.; Kryshchyshyn-Dylevych, A.; Senkiv, J.; Roman, O.; Gzella, A.; Bielawski, K.; Bielawska, A.; Lesyk, R. Synthesis and anticancer activity evaluation of 5-[2-chloro-3-(4-nitrophenyl)-2-propenylidene]-4-thiazolidinones. Molecules 2021, 26, 3057. [Google Scholar] [CrossRef] [PubMed]
- Andleeb, H.; Tehseen, Y.; Ali Shah, S.J.; Khan, I.; Iqbal, J.; Hameed, S. Identyfication of novel pyrazole-rhodanine hybrid scaffolds as potent inhibitors of aldose reductase: Design, synthesis, biological evaluation and molecular docking analysis. RSC Adv. 2016, 81, 77688–77700. [Google Scholar] [CrossRef]
- Cutshall, N.S.; O’Day, C.; Prezhdo, M. Rhodanine Derivatives as Inhibitors of JSP-1. Bioorganic Med. Chem. Lett. 2005, 15, 3374–3379. [Google Scholar] [CrossRef] [PubMed]
- Kumar, G.; Banerjee, T.; Kapoor, N.; Surolia, N.; Surolia, A. SAR and pharmacophore models for the rhodanine inhibitors of Plasmodium falciparum enoyl-acyl carrier protein reductase. IUBMB Life 2010, 62, 204–213. [Google Scholar] [CrossRef]
- Trotsko, N. Antitubercular properties of thiazolidin-4-ones—A review. Eur. J. Med. Chem. 2021, 215, 113266. [Google Scholar] [CrossRef]
- Yin, L.J.; Kamar, A.K.D.; Fung, G.T.; Liang, C.T.; Avupati, V.R. Review of anticancer potentials and structure-activity relationships (SAR) of rhodanine derivatives. Biomed. Pharmacother. 2022, 145, 112406. [Google Scholar] [CrossRef] [PubMed]
- Lesyk, R. Drug design: 4-thiazolidinones applications. Part 2. Pharmacological profiles. JMS 2020, 89, e407. [Google Scholar] [CrossRef]
- Brahmbhatt, H.; Molnar, M.; Pavić, V.; Rastija, V. Synthesis, Characterization, Antibacterial and Antioxidant Potency of NSubstituted- 2-Sulfanylidene-1,3-Thiazolidin-4-one Derivatives and QSAR Study. Med. Chem. 2019, 15, 840–849. [Google Scholar] [CrossRef] [PubMed]
- Teschner, M.; Würfel, W.; Sedlacek, L.; Suerbaum, S.; Tappe, D.; Hornef, M.W. Outer ear canal infection with Rhabditis sp. nematodes in a human. J. Clin. Microbiol. 2014, 52, 1793–1795. [Google Scholar] [CrossRef] [PubMed]
- He, Y.X.; Jiang, H. 3 human cases of urinary tract infection with Rhabditis. J. Parasitol. Parasit. Dis. 1985, 3, 206–208. [Google Scholar] [PubMed]
- Ahn, Y.K.; Chung, P.R.; Lee, K.T. Rhabditis sp. infected cases in rural school children. Kisaengchunghak Chapchi 1985, 23, 1–6. [Google Scholar] [CrossRef] [PubMed]
- Campos, D.M.; Araújo, J.L.; Vieira, M.C.; Damasceno, F.; Barbosa, A.P. A case of parasitism by Rhabditis sp in a child from Goiânia, Goiás, Brazil. Rev. Soc. Bras. Med. Trop. 2002, 35, 519–522. [Google Scholar] [CrossRef] [PubMed]
- Goldsmid, J.M. Rhabditis (Rhabditella) axei in the urine of an African in Rhodesia. J. Helminthol. 1967, 41, 305–308. [Google Scholar] [CrossRef] [PubMed]
- Fadaei, T.M.; Sharifdini, M.; Zahabiun, F.; Latifi, R.; Kia, E.B. Molecular characterization of human isolates of Strongyloides stercoralis and Rhabditis spp. based on mitochondrial cytochrome c oxidase subunit 1 (cox1). BMC Infect. Dis. 2019, 19, 776. [Google Scholar] [CrossRef]
- Żesławska, E.; Nitek, W.; Tejchman, W. The synthesis and crystal structures of the homologues of epalrestat. J. Chem. Cryst. 2015, 45, 151–157. [Google Scholar] [CrossRef]
- Albendazole. Available online: https://go.drugbank.com/drugs/DB00518 (accessed on 11 January 2022).
- Weinert, T.; Olieric, N.; Cheng, R.; Brunle, S.; James, D.; Ozerov, D.; Gashi, D.; Vera, L.; Marsh, M.; Jaeger, K.; et al. Serial millisecond crystallography for routine room-temperature structure determination at synchrotrons. Nat. Commun. 2017, 8, 542. [Google Scholar] [CrossRef]
- Kerboeuf, D.; Guégnard, F. Anthelmintics Are Substrates and Activators of Nematode P Glycoprotein. Antimicrob. Agents Chemother. 2011, 55, 2224–2232. [Google Scholar] [CrossRef]
- Shoop, W.L.; Mrozik, H.; Fisher, M.H. Structure and activity of avermectins and milbemycins in animal health. Vet. Parasitol. 1995, 59, 139–156. [Google Scholar] [CrossRef]
- Ambudkar, S.V.; Kim, I.W.; Sauna, Z.E. The power of the pump: Mechanisms of action of P-glycoprotein (ABCB1). Eur. J. Pharm. Sci. 2006, 27, 392–400. [Google Scholar] [CrossRef]
- Hendrich, A.B.; Wesolowska, O.; Motohashi, N.; Molnar, J.; Michalak, K. New phenothiazine-type multidrug resistance modifiers: Anti-MDR activity versus membrane perturbing potency. Biochem. Biophys. Res. Commun. 2003, 304, 260–265. [Google Scholar] [CrossRef]
- Burla, M.C.; Caliandro, R.; Carrozzini, B.; Cascarano, G.L.; Cuocci, C.; Ciazovazzo, C.; Mallamo, M.; Mazzone, A.G.; Polidori, G. Crystal structure determination and refinement via SIR2014. J. Appl. Crystallogr. 2015, 48, 306–309. [Google Scholar] [CrossRef]
- Sheldrick, G.M. Crystal structure refinement with SHELXL. Acta Crystallogr. C 2015, 71, 3–8. [Google Scholar] [CrossRef]
- Macrae, C.F.; Sovago, I.; Cottrell, S.J.; Galek, P.T.A.; McCabe, P.; Pidcock, E.; Platings, M.; Shields, G.P.; Stevens, J.S.; Towler, M.; et al. Mercury 4.0: From visualization to analysis, design and prediction. J. Appl. Cryst. 2020, 53, 226–235. [Google Scholar] [CrossRef] [PubMed]
- PL 232918 B1; Method for the Culture of Nematodes of Rhabditis sp. Genus and Determination of the Nematocidal Substances Activity. Uniwersytet Medyczny w Lublinie PL: Warsaw, Poland, 2019.
- Dziduch, K.; Kołodziej, P.; Paneth, A.; Bogucka-Kocka, A.; Wujec, M. Synthesis and Anthelmintic Activity of New Thiosemicarbazide Derivatives—A Preliminary Study. Molecules 2020, 25, 2770. [Google Scholar] [CrossRef] [PubMed]
- Ziaja-Sołtys, M.; Kołodziej, P.; Stefaniuk, D.; Matuszewska, A.; Jaszek, M.; Bogucka-Kocka, A. Low-Molecular-Weight Secondary Metabolites from Fungi: Cerrena unicolor as a New Proposal of an Effective Preparation against Rhabditis Nematodes. Molecules 2022, 27, 1660. [Google Scholar] [CrossRef] [PubMed]
- Bogucka-Kocka, A.; Kołodziej, P.; Makuch-Kocka, A.; Różycka, D.; Rykowski, S.; Nekvinda, J.; Grüner, B.; Olejniczak, A.B. Nematicidal activity of naphthalimide-boron cluster conjugates. Chem. Commun. 2022, 58, 2528–2531. [Google Scholar] [CrossRef]
- Schrödinger Release 2021-4: Maestro; Schrödinger, LLC: New York, NY, USA, 2021.
- Sievers, F.; Wilm, A.; Dineen, D.G.; Gibson, T.J.; Karplus, K.; Li, W.; Lopez, R.; McWilliam, H.; Remmert, M.; Söding, J.; et al. Fast, scalable generation of high-quality protein multiple sequence alignments using Clustal Omega. Mol. Syst. Biol. 2011, 7, 539. [Google Scholar] [CrossRef] [PubMed]
- Sievers, F.; Higgins, D.G. Clustal Omega for making accurate alignments of many protein sequences. Protein Sci. 2018, 27, 135–145. [Google Scholar] [CrossRef]
- O’Boyle, N.M.; Banck, M.; James, C.A.; Morley, C.; Vandermeersch, T.; Geoffrey, R.; Hutchison, G.R. Open Babel: An open chemical toolbox. J. Cheminform 2011, 3, 33. [Google Scholar] [CrossRef]
- HyperChem(TM) Professional 8.0; Hypercube, Inc.: Gainesville, FL, USA, 2007.
- Verdonk, M.L.; Cole, J.C.; Hartshorn, M.J.; Murray, C.W.; Taylor, R.D. Improved protein-ligand docking using GOLD. Proteins Struct. Funct. Genet. 2003, 52, 609–623. [Google Scholar] [CrossRef] [PubMed]
- Eldridge, M.D.; Murray, C.W.; Auton, T.R.; Paolini, G.V.; Mee, R.P. Empirical scoring functions: I. The development of a fast empirical scoring function to estimate the binding affinity of ligands in receptor complexes. J. Comput. Aided Mol. Des. 1997, 11, 425–445. [Google Scholar] [CrossRef]
- Tetko, I.V.; Tanchuk, V.Y. Application of associative neural networks for prediction of lipophilicity in ALOGPS 2.1 program. J. Chem. Inf. Comput. Sci. 2002, 42, 1136–1145. [Google Scholar] [CrossRef] [PubMed]










| Compound | R1 | R2 | Compound | R1 | R2 |
|---|---|---|---|---|---|
| 1 | H | p-OCH3 | 9 | CH2COOH | o-OCH3 |
| 2 | CH2COOH | p-OCH3 | 10 | H | m-OCH3 |
| 3 | (CH2)2COOH | p-OCH3 | 11 | CH2COOH | m-OCH3 |
| 4 | (CH2)3COOH | p-OCH3 | 12 | (CH2)2COOH | p-NO2 |
| 5 | (CH2)4COOH | p-OCH3 | 13 | CH2COOH | p-Cl |
| 6 | (CH2)5COOH | p-OCH3 | 14 | (CH2)2COOH | p-Cl |
| 7 | (CH2)10COOH | p-OCH3 | 15 | CH2COOH | p-N(C2H5)2 |
| 8 | H | o-OCH3 | 16 | (CH2)2COOH | p-N(C2H5)2 |
| Ligand | ChemScore Fitness the Top Result | ChemScore ΔG (kcal/mol) |
|---|---|---|
| colchicine | 24.60 | −25.19 |
| 14 | 19.21 | −20.49 |
| 2 | 18.77 | −19.62 |
| 4 | 17.93 | −19.55 |
| albendazole | 14.83 | −15.01 |
| 16 | 13.48 | −19.35 |
| Compound | log P | log S * |
|---|---|---|
| colchicine | 1.45 | −3.89 |
| albendazole | 3.22 | −4.07 |
| 2 | 2.79 | −4.86 |
| 4 | 3.44 | −4.97 |
| 14 | 3.63 | −5.06 |
| 16 | 4.59 | −4.87 |
Publisher’s Note: MDPI stays neutral with regard to jurisdictional claims in published maps and institutional affiliations. |
© 2022 by the authors. Licensee MDPI, Basel, Switzerland. This article is an open access article distributed under the terms and conditions of the Creative Commons Attribution (CC BY) license (https://creativecommons.org/licenses/by/4.0/).
Share and Cite
Tejchman, W.; Kołodziej, P.; Kalinowska-Tłuścik, J.; Nitek, W.; Żuchowski, G.; Bogucka-Kocka, A.; Żesławska, E. Discovery of Cinnamylidene Derivative of Rhodanine with High Anthelmintic Activity against Rhabditis sp. Molecules 2022, 27, 2155. https://doi.org/10.3390/molecules27072155
Tejchman W, Kołodziej P, Kalinowska-Tłuścik J, Nitek W, Żuchowski G, Bogucka-Kocka A, Żesławska E. Discovery of Cinnamylidene Derivative of Rhodanine with High Anthelmintic Activity against Rhabditis sp. Molecules. 2022; 27(7):2155. https://doi.org/10.3390/molecules27072155
Chicago/Turabian StyleTejchman, Waldemar, Przemysław Kołodziej, Justyna Kalinowska-Tłuścik, Wojciech Nitek, Grzegorz Żuchowski, Anna Bogucka-Kocka, and Ewa Żesławska. 2022. "Discovery of Cinnamylidene Derivative of Rhodanine with High Anthelmintic Activity against Rhabditis sp." Molecules 27, no. 7: 2155. https://doi.org/10.3390/molecules27072155
APA StyleTejchman, W., Kołodziej, P., Kalinowska-Tłuścik, J., Nitek, W., Żuchowski, G., Bogucka-Kocka, A., & Żesławska, E. (2022). Discovery of Cinnamylidene Derivative of Rhodanine with High Anthelmintic Activity against Rhabditis sp. Molecules, 27(7), 2155. https://doi.org/10.3390/molecules27072155

