Assessing the In Vitro Activity of Selected Porphyrins in Human Colorectal Cancer Cells
Abstract
1. Introduction
2. Materials and Methods
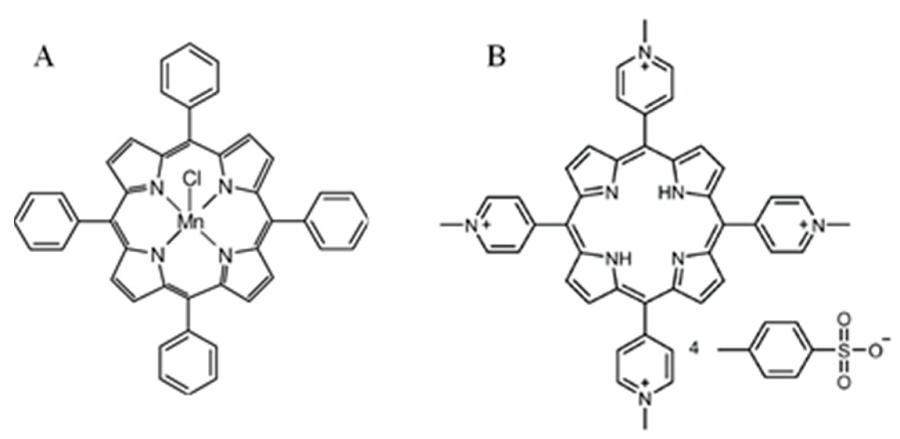
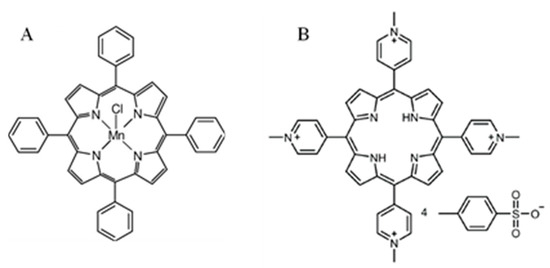
2.1. Tested Substances and General
2.2. Cell Cultures
2.3. Neutral Red (NR) Uptake Assay
2.4. MTT Assay
2.5. Interactions between Porphyrins and Cytostatics
2.6. Double Time Analysis
2.7. Staining of Apoptosis, Necrosis and Autophagy
2.7.1. Apoptosis and Necrosis
2.7.2. Autophagy
2.8. Cell Death Detection ELISAPLUS Assay
2.9. ELISA Assay
2.10. Statistics
3. Results
3.1. Cytotoxicity of Porphyrins
3.2. Interactions between Porphyrins and Cytostatics
3.3. Cell Death Mode Analysis
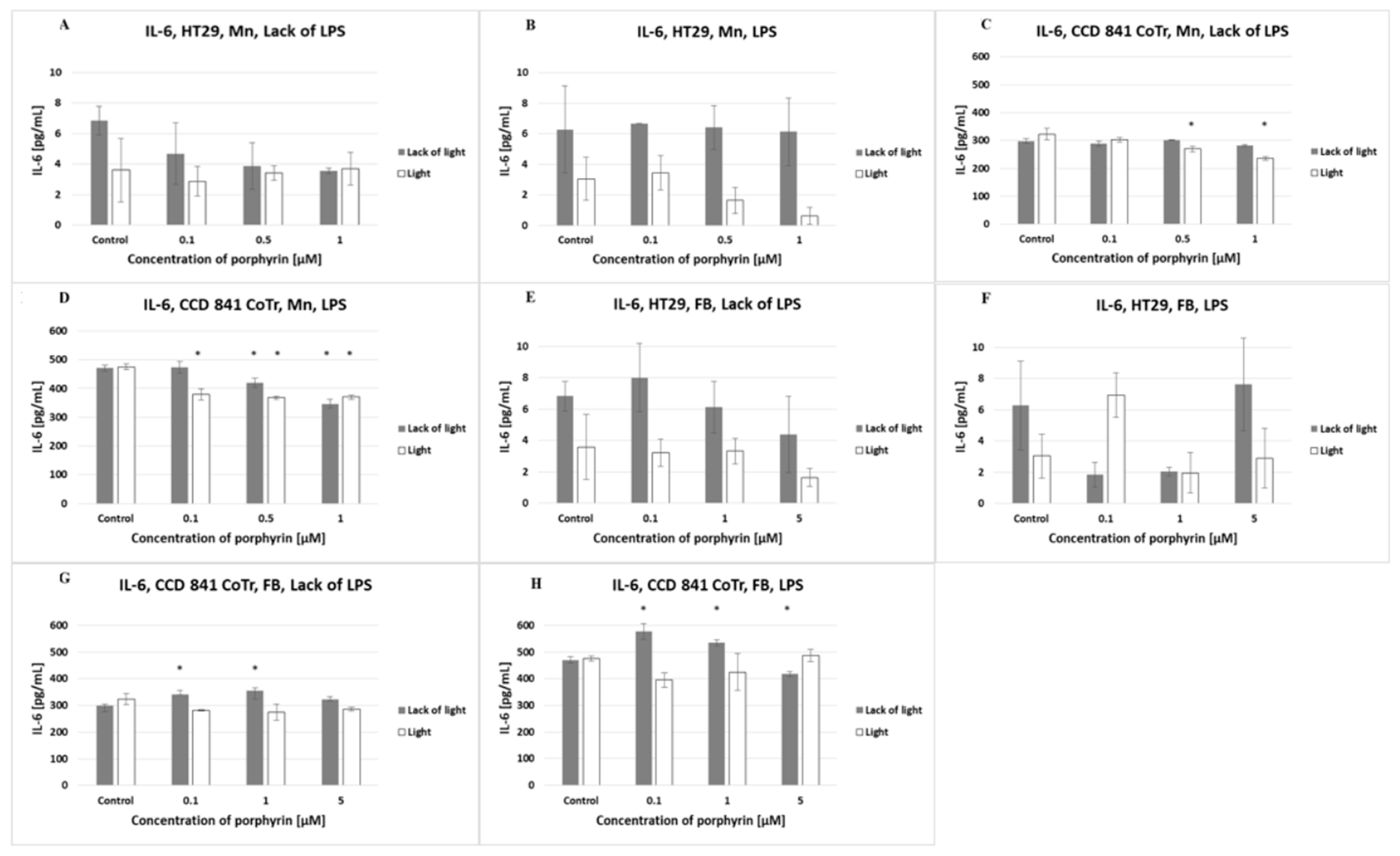
3.4. Inflammation and Tumor Microenvironment
4. Discussion
5. Conclusions
Supplementary Materials
Author Contributions
Funding
Institutional Review Board Statement
Informed Consent Statement
Data Availability Statement
Acknowledgments
Conflicts of Interest
Sample Availability
References
- Hojjat-Farsangi, M. Novel and emerging targeted-based cancer therapy agents and methods. Tumor Biol. 2015, 36, 543–556. [Google Scholar] [CrossRef] [PubMed]
- Folprecht, G.; Bokemeyer, C.; Weitz, J. Therapie des metastasierten Kolonkarzinoms. Der Onkol. 2009, 15, 1223–1234. [Google Scholar] [CrossRef]
- Shishkova, N.; Kuznetsova, O.; Berezov, T. Photodynamic therapy in gastroenterology. J. Gastrointest. Cancer 2013, 44, 251–259. [Google Scholar] [CrossRef] [PubMed]
- Delaney, T.F.; Sindelar, W.F.; Tochner, Z.; Smith, P.D.; Friauf, W.S.; Thomas, G.; Dachowski, L.; Cole, J.W.; Steinberg, S.M.; Glatstein, E. Phase I study of debulking surgery and photodynamic therapy for disseminated intraperitoneal malignancies. Int. J. Radiol. Biol. Phys. 1993, 25, 445–448. [Google Scholar] [CrossRef]
- van Duijnhoven, F.H.; Rovers, J.P.; Engelmann, K.; Krajina, Z.; Purkiss, S.F.; Zoetmulder, F.A.N.; Vogl, T.J.; Terpstra, O.T. Photodynamic therapy with 5,10,15,20-tetrakis(m-hydroxyphenyl) bacteriochlorin for colorectal liver metastases is safe and feasible: Results from a phase I study. Ann. Surg. Oncol. 2005, 12, 808–816. [Google Scholar] [CrossRef] [PubMed]
- Kawczyk-Krupka, A.; Bugaj, A.M.; Latos, W.; Zaremba, K.; Wawrzyniec, K.; Kucharzewski, M.; Sieroń, A. Photodynamic therapy in colorectal cancer treatment—The state of the art in preclinical research. Photodiagnosis Photodyn. Ther. 2016, 13, 158–174. [Google Scholar] [CrossRef]
- Singh, S.; Aggarwal, A.; Bhupathiraju, N.V.S.D.K.; Arianna, G.; Tiwari, K.; Drain, C.M. Glycosylated porphyrins, phthalocyanines, and other porphyrinoids for diagnostics and therapeutics. Chem. Rev. 2015, 115, 10261–10306. [Google Scholar] [CrossRef] [PubMed]
- Park, J.M.; Hong, K.-I.; Lee, H.; Jang, W.-D. Bioinspired applications of porphyrin derivatives. Acc. Chem. Res. 2021, 54, 2249–2260. [Google Scholar] [CrossRef]
- Kulbacka, J.; Kotulska, M.; Rembiałkowska, N.; Choromańska, A.; Kamińska, I.; Garbiec, A.; Rossowska, J.; Daczewska, M.; Jachimska, B.; Saczko, J. Cellular stress induced by photodynamic reaction with CoTPPS and MnTMPyPCl5 in combination with electroporation in human colon adenocarcinoma cell lines (LoVo and LoVoDX). Cell Stress Chaperones 2013, 18, 719–731. [Google Scholar] [CrossRef] [PubMed]
- Imran, M.; Ramzan, M.; Qureshi, A.K.; Khan, M.A.; Tariq, M. Emerging applications of porphyrins and metalloporphyrins in biomedicine and diagnostic magnetic resonance imaging. Biosensors 2018, 8, 95. [Google Scholar] [CrossRef]
- Khadria, A.; Fleischhauer, I.; Boczarow, J.; Wilkinson, D.; Kohl, M.M.; Anderson, H.L. Porphyrin dyes for nonlinear optical imaging of live cells. iScience 2018, 4, 153–163. [Google Scholar] [CrossRef] [PubMed]
- Deda, D.K.; Iglesias, B.A.; Alves, E.; Araki, K.; Garcia, C.R.S. Porphyrin derivative nanoformulations for therapy and an-tiparasitic agents. Molecules 2020, 25, 2080. [Google Scholar] [CrossRef] [PubMed]
- Dąbrowski, J.M.; Arnaut, L.G. Photodynamic therapy (PDT) of cancer: From local to systemic treatment. Photochem. Photobiol. Sci. 2015, 14, 1765–1780. [Google Scholar] [CrossRef] [PubMed]
- Yang, K.; Luo, M.; Li, H.; Abdulrehman, G.; Kang, L. Effects of jasplakinolide on cytotoxicity, cytoskeleton and apoptosis in two different colon cancer cell lines treated with m-THPC-PDT. Photodiagnosis Photodyn. Ther. 2021, 35, 102425. [Google Scholar] [CrossRef] [PubMed]
- Geoghegan, J.G.; Scheele, J. Treatment of colorectal liver metastases. Br. J. Surg. 1999, 86, 158–169. [Google Scholar] [CrossRef] [PubMed]
- Chiappa, A.; Zbar, A.P.; Biella, F.; Staudacher, C. Survival after repeat hepatic resection for recurrent colorectal metastases. Hepatogastroenterology 1999, 46, 1065–1070. [Google Scholar]
- Lustig, R.; Vogl, T.J.; Fromm, D.; Cuenca, R.; Alex His, R.; D’Cruz, A.K.; Krajina, Z.; Turić, M.; Singhal, A.; Chen, J.C. A multicenter phase I safety study of intratumoral photoactivation of Talaporfin sodium in patients with refractory solid tumors. Cancer 2003, 98, 1767–1771. [Google Scholar] [CrossRef] [PubMed]
- Yoon, I.; Li, J.Z.; Shim, Y.K. Advance in photosensitizers and light delivery forphotodynamic therapy. Clin. Endosc. 2013, 46, 7–23. [Google Scholar] [CrossRef]
- Gao, H.; Shi, L.; Yin, H.; Wang, H.; Shen, J.; Wang, C.; Niu, Q.; Li, Y.; Li, W.; Dong, M.; et al. Evaluation of the effect of photodynamic therapy with hematoporphyrin monomethyl ether on VX2 tumors implanted in the rectal submucosa of rabbits. J. Photochem. Photobiol. B 2016, 163, 162–169. [Google Scholar] [CrossRef]
- Wachowska, M.; Gabrysiak, M.; Muchowicz, A.; Bednarek, W.; Barankiewicz, J.; Rygiel, T.; Boon, L.; Mroz, P.; Hamblin, M.R.; Golab, J. 5-Aza-2′-deoxycytidine potentiates antitumour immune response induced by photodynamic therapy. Eur. J. Cancer 2014, 50, 1370–1381. [Google Scholar] [CrossRef]
- Mroz, P.; Hashmi, J.T.; Huang, Y.Y.; Lange, N.; Hamblin, M.R. Stimulation of anti-tumor immunity by photodynamic therapy. Expert Rev. Clin. Immunol. 2011, 7, 75–91. [Google Scholar] [CrossRef] [PubMed]
- Wu, X.; Yang, H.; Chen, X.; Gao, J.; Duan, Y.; Wei, D.; Zhang, J.; Ge, K.; Liang, X.-J.; Huang, Y.; et al. Nano-herb medicine and PDT induced synergistic immunotherapy for colon cancer treatment. Biomaterials 2021, 269, 120654. [Google Scholar] [CrossRef] [PubMed]
- Ouyang, G.; Xiong, L.; Liu, Z.; Lam, B.; Bui, B.; Ma, L.; Chen, X.; Zhou, P.; Wang, K.; Zhang, Z.; et al. Inhibition of autophagy potentiates the apoptosis-inducing effects of photodynamic therapy on human colon cancer cells. Photodiagnosis Photodyn. Ther. 2018, 21, 396–403. [Google Scholar] [CrossRef] [PubMed]
- Lipke, A.; Trytek, M.; Fiedurek, J.; Majdan, M.; Janik, E. Spectroscopic and biocatalytic properties of a chloro-phyll-containing extract in silica gel. J. Mol. Struct. 2013, 1052, 158–164. [Google Scholar] [CrossRef]
- Buczek, K.; Trytek, M.; Deryło, K.; Borsuk, G.; Rybicka-Jasińska, K.; Gryko, D.; Cytryńska, M.; Tchórzewski, M. Bioactivity studies of porphyrinoids against microsporidia isolated from honeybees. Sci. Rep. 2020, 10, 11553. [Google Scholar] [CrossRef] [PubMed]
- Ganbold, M.; Barker, J.; Ma, R.; Jones, L.; Carew, M. Cytotoxicity and bioavailability studies on a decoction of Oldenlandia diffusa and its fractions separated by HPLC. J. Ethnopharmacol. 2010, 131, 396–403. [Google Scholar] [CrossRef] [PubMed]
- Mosmann, T. Rapid colorimetric assay for cellular growth and cytotoxicity. J. Immunol. Methods 1983, 65, 55–63. [Google Scholar] [CrossRef]
- Paduch, R.; Jakubowicz-Gil, J.; Tustanowska-Stachura, A.; Słotwińska, M.; Gawron, A.; Kandefer-Szerszeń, M. Cisplatin and etoposide combined therapy changes heat shock proteins (HSPs) expression in tumor cells. Ann. Univ. Mariae Curie Sklodowska [Biol.] 2007, 62, 55–66. [Google Scholar]
- Altaner, C.; Altanerova, V.; Cihova, M.; Hunakova, L.; Kaiserova, K.; Klepanec, A.; Vulev, I.; Madaric, J. Characterization of mesenchymal stem cells of “no-options” patients with critical limb ischemia treated by autologous bone marrow mononuclear cells. PLoS ONE 2013, 8, e73722. [Google Scholar] [CrossRef] [PubMed]
- Kanzawa, T.; Kondo, Y.; Ito, H.; Kondo, S.; Germano, I. Induction of autophagic cell death in malignant glioma cells by arsenic trioxide. Cancer Res. 2003, 63, 2103–2108. [Google Scholar]
- Rahman, S.N.S.A.; Wahab, N.A.; Malek, S.N.A. In vitro morphological assessment of apoptosis induced by antiproliferative constituents from the rhizomes of Curcuma zedoaria. Evid.-Based Complement. Altern. Med. 2013, 2013, 257108. [Google Scholar]
- Bogoeva, V.; Siksjø, M.; Sæterbø, K.G.; Melø, T.B.; Bjørkøy, A.; Lindgren, M.; Gederaas, O.A. Ruthenium porphyrin-induced photodamage in bladder cancer cells. Photodiagnosis Photodyn. Ther. 2016, 14, 9–17. [Google Scholar] [CrossRef] [PubMed]
- Kosmacek, E.A.; Chatterjee, A.; Tong, Q.; Lin, C.; Oberley-Deegan, R.E. MnTnBuOE-2-PyP protects normal colorectal fibroblasts from radiation damage and simultaneously enhances radio/chemotherapeutic killing of colorectal cancer cells. Oncotarget 2016, 7, 34532–34545. [Google Scholar] [CrossRef] [PubMed]
- Wu, R.W.K.; Yow, C.M.N.; Wong, C.K.; Lam, Y.H. Photodynamic therapy (PDT)—Initiation of apoptosis via activation of stress-activated p38 MAPK and JNK signal pathway in H460 cell lines. Photodiagnosis Photodyn. Ther. 2011, 8, 254–263. [Google Scholar] [CrossRef] [PubMed]
- Yang, Y.; Wang, Q.; Luo, J.; Jiang, Y.; Zhou, R.; Tong, S.; Wang, Z.; Tong, Q. Superoxide dismutase mimic, MnTE-2-PyP enhances rectal anastomotic strength in rats after preoperative chemoradiotherapy. Oxid. Med. Cell. Longev. 2020, 3509859. [Google Scholar] [CrossRef] [PubMed]
- Yang, Y.; Zhang, P.; Yan, R.; Wang, Q.; Fang, E.; Wu, H.; Li, S.; Tan, H.; Zhou, X.; Ma, X.; et al. MnTE-2-PyP attenuates TGF-β-induced epithelial-mesenchymal transition of colorectal cancer cells by inhibiting the Smad2/3 signaling pathway. Oxid. Med. Cell. Longev. 2019, 8639791. [Google Scholar] [CrossRef] [PubMed]
- Berg, K.; Selbo, P.K.; Weyergang, A.; Dietze, A.; Prasmickaite, L.; Bonsted, A.; Engesaeter, B.Ø.; Angell-Petersen, E.; Warloe, T.; Frandsen, N.; et al. Porphyrin-related photosensitizers for cancer imaging and therapeutic applications. J. Microsc. 2005, 218, 133–147. [Google Scholar] [CrossRef]
- Temizel, E.; Sagir, T.; Ayan, E.; Isik, S.; Ozturk, R. Delivery of lipophilic porphyrin by liposomevehicles: Preparation and photodynamictherapy activity against cancer cell lines. Photodiagnosis Photodyn. Ther. 2014, 11, 537–545. [Google Scholar] [CrossRef]
- Zhu, L.-N.; Shi, S.; Yang, L.; Zhang, M.; Liu, K.-K.; Zhang, L.-N. Water soluble cationic porphyrin TMPipEOPP-induced G-quadruplex and double-stranded DNA photocleavage and cell phototoxicity. RSC Adv. 2016, 6, 13080–13087. [Google Scholar] [CrossRef]
- Antoni, P.M.; Naik, A.; Albert, I.; Rubbiani, R.; Gupta, S.; Ruiz-Sanchez, P.; Munikorn, P.; Mateos, J.M.; Luginbuehl, V.; Thamyongkit, P.; et al. (Metallo)porphyrins as potent phototoxic anti-cancer agents after irradiation with red light. Chem. Eur. J. 2015, 21, 1179–1183. [Google Scholar] [CrossRef]
- Tovmasyan, A.; Sampaio, R.S.; Boss, M.-K.; Bueno-Janice, J.C.; Bader, B.H.; Thomas, M.; Reboucas, J.S.; Orr, M.; Chandler, J.D.; Go, Y.-M. Anticancer therapeutic potential of Mn porphyrin/ascorbate system. Free. Radic. Biol. Med. 2015, 89, 1231–1247. [Google Scholar] [CrossRef] [PubMed]
- Josefsen, L.B.; Boyle, R.W. Unique diagnostic and therapeutic roles of porphyrins and phthalocyanines in photodynamic therapy, imaging and theranostics. Theranostics 2012, 2, 916–966. [Google Scholar] [CrossRef] [PubMed]
- Mordon, S.; Maunoury, V. Using white light during photodynamic therapy: Visualization only or treatment? Eur. J. Gastroenterol. Hepatol. 2006, 18, 765–771. [Google Scholar] [CrossRef] [PubMed]
- Trytek, M.; Fiedurek, J.; Radzki, S. A novel porphyrin-based photocatalytic system for terpenoids production from (R)-(+)-limonene. Biotechnol. Prog. 2007, 23, 131–137. [Google Scholar] [CrossRef] [PubMed]
- Trytek, M.; Lipke, A.; Majdan, M.; Pisarek, S.; Gryko, D. Homo- and heterogeneous α-pinene photooxidation using a protoporphyrin-derived amide. Eur. J. Org. Chem. 2013, 2013, 1653–1658. [Google Scholar] [CrossRef]
- Li, D.; Li, L.; Li, P.; Li, Y.; Chen, X. Apoptosis of HeLa cells induced by a new targeting photosensitizer-based PDT via a mitochondrial pathway and ER stress. Onco. Targets Ther. 2015, 8, 703–711. [Google Scholar] [CrossRef]
- Tirapelli, L.F.; Morgueti, M.; Da Cunha Tirapelli, D.P.; Bagnato, V.S.; Ferreira, J.; Neto, F.S.L.; Peria, F.M.; Oliveira, H.F.; Junior, C.G.C. Apoptosis in glioma cells treated with PDT. Photomed. Laser Surg. 2011, 29, 305–309. [Google Scholar] [CrossRef]
- Banfi, S.; Caruso, E.; Caprioli, S.; Mazzagatti, L.; Canti, G.; Ravizza, R.; Gariboldi, M.; Monti, E. Photodynamic effects of porphyrin and chlorin photosensitizers in human colon adenocarcinoma cells. Bioorg. Med. Chem. 2004, 12, 4853–4860. [Google Scholar] [CrossRef]
- Tu, S.; Sun, R.W.-Y.; Lin, M.C.M.; Cui, J.T.; Zou, B.; Gu, Q.; Kung, H.-F.; Che, C.-M.; Wong, B.C.Y. Gold (III) porphyrin complexes induce apoptosis and cell cycle arrest and inhibit tumor growth in colon cancer. Cancer 2009, 115, 4459–4469. [Google Scholar] [CrossRef]
- Evans, M.K.; Tovmasyan, A.; Batinic-Haberle, I.; Devi, G.R. Mn porphyrin in combination with ascorbate acts as a pro-oxidant and mediates caspase-independent cancer cell death. Free. Radic. Biol. Med. 2014, 68, 302–314. [Google Scholar] [CrossRef]
- Kim, J.H.; Park, J.M.; Roh, Y.J.; Kim, I.-W.; Hasan, T.; Choi, M.-G. Enhanced efficacy of photodynamic therapy by inhibiting ABCG2 in colon cancers. BMC Cancer 2015, 15, 504. [Google Scholar] [CrossRef] [PubMed][Green Version]
- Chen, J.; Mao, L.; Liu, S.; Liang, Y.; Wang, S.; Wang, Y.; Zhao, Q.; Zhang, X.; Che, Y.; Gao, L.; et al. Effects of a novel porphyrin-based photosensitizer on sensitive and multidrug-resistant human gastric cancer cell lines. J. Photochem. Photobiol. B Biol. 2015, 151, 186–193. [Google Scholar] [CrossRef]
- Chen, J.-J.; Gao, L.-J.; Liu, T.-J. Photodynamic therapy with a novel porphyrin-based photosensitizer against human gastric cancer. Oncol. Lett. 2016, 11, 775–781. [Google Scholar] [CrossRef] [PubMed]
- Cecic, I.; Serrano, K.; Gyongyossy-Issa, M.; Korbelik, M. Characteristics of complement activation in mice bearing Lewis lung carcinomas treated by photodynamic therapy. Cancer Lett. 2005, 225, 215–223. [Google Scholar] [CrossRef] [PubMed]
- Wet, L.H.; Baumann, H.; Tracy, E.; Wang, Y.; Hutson, A.; Rose-John, S.; Henderson, B.W. Interleukin-6 trans signalling enhances photodynamic therapy by modulating cell cycling. Br. J. Cancer 2007, 97, 1513–1522. [Google Scholar]








| HT29 | CCD 841 CoTr | ||||
|---|---|---|---|---|---|
| Lack of Light | Light | Lack of Light | Light | ||
| NR | Mn | 44 µM | 55.5 µM | 11.3 µM | 8.6 µM |
| FB | nd * | nd * | nd * | nd * | |
| MTT | Mn | 3.2 µM | 3.5 µM | 18 µM | 14.6 µM |
| FB | nd * | 31.2 µM | nd * | 42.6 µM | |
| Mn | Mn + Light | FB | FB + Light | |
|---|---|---|---|---|
| 0.1 μM | 51.7 ± 23.7 | 53.6 ± 18.1 | 35.7 ± 3.9 | 61.6 ± 16.4 |
| 1 μM | 147.5 ± 56.8 | nd | 43.9 ± 2.9 | 90.5 ± 74.2 |
| 5 μM | nd | nd | nd | nd |
| 10 μM | nd | nd | nd | nd |
| 100 μM | nd | nd | nd | nd |
| Mn | Mn + Light | FB | FB + Light | |
|---|---|---|---|---|
| 0.1 μM | 58.4 ± 25.0 | 56.9 ± 21.9 | 69.5 ± 29.1 | 94.9 ± 36.3 |
| 1 μM | 116.3 ± 44.7 | nd | 114.2 ± 34.6 | nd |
| 5 μM | nd | nd | nd | nd |
| 10 μM | nd | nd | nd | nd |
| 100 μM | nd | nd | nd | nd |
Publisher’s Note: MDPI stays neutral with regard to jurisdictional claims in published maps and institutional affiliations. |
© 2022 by the authors. Licensee MDPI, Basel, Switzerland. This article is an open access article distributed under the terms and conditions of the Creative Commons Attribution (CC BY) license (https://creativecommons.org/licenses/by/4.0/).
Share and Cite
Frant, M.P.; Trytek, M.; Paduch, R. Assessing the In Vitro Activity of Selected Porphyrins in Human Colorectal Cancer Cells. Molecules 2022, 27, 2006. https://doi.org/10.3390/molecules27062006
Frant MP, Trytek M, Paduch R. Assessing the In Vitro Activity of Selected Porphyrins in Human Colorectal Cancer Cells. Molecules. 2022; 27(6):2006. https://doi.org/10.3390/molecules27062006
Chicago/Turabian StyleFrant, Maciej Piotr, Mariusz Trytek, and Roman Paduch. 2022. "Assessing the In Vitro Activity of Selected Porphyrins in Human Colorectal Cancer Cells" Molecules 27, no. 6: 2006. https://doi.org/10.3390/molecules27062006
APA StyleFrant, M. P., Trytek, M., & Paduch, R. (2022). Assessing the In Vitro Activity of Selected Porphyrins in Human Colorectal Cancer Cells. Molecules, 27(6), 2006. https://doi.org/10.3390/molecules27062006

