Development of the Validated Stability-Indicating Method for the Determination of Vortioxetine in Bulk and Pharmaceutical Formulation by HPLC-DAD, Stress Degradation Kinetics Studies and Detection of Degradation Products by LC-ESI-QTOF-MS
Abstract
1. Introduction
2. Results and Discussion
2.1. HPLC Method Development
2.2. Method Validation
2.2.1. Linearity
2.2.2. Lower Limit of Detection (LLOD) and Lower Limit of Quantification (LLOQ)
2.2.3. Accuracy and Precision
2.2.4. Selectivity
2.2.5. System Suitability
2.2.6. Robustness
2.3. Solution Stability
2.4. Application for Pharmaceutical Formulation
2.5. Degradation Study
2.5.1. Degradation Tests and Kinetic Study
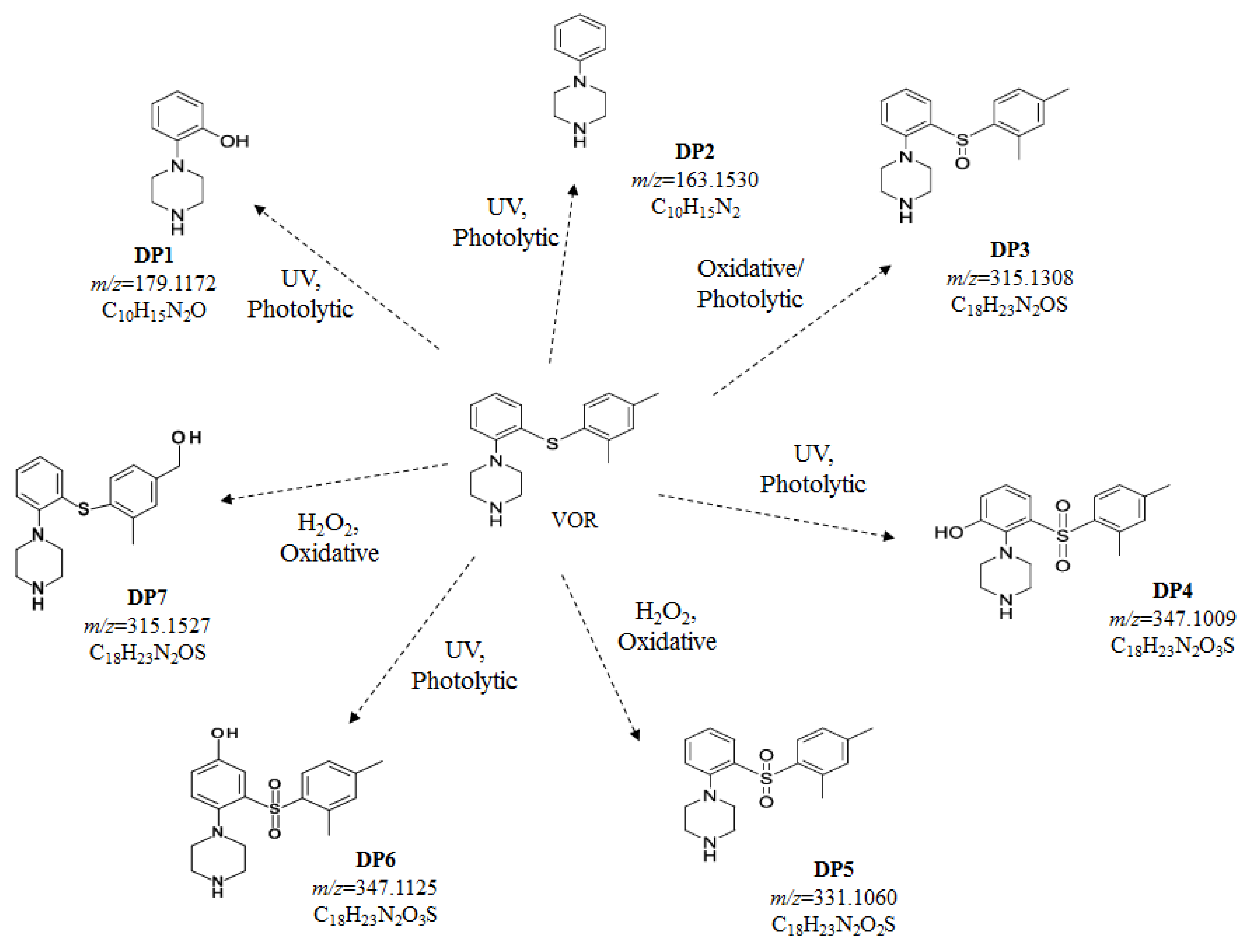
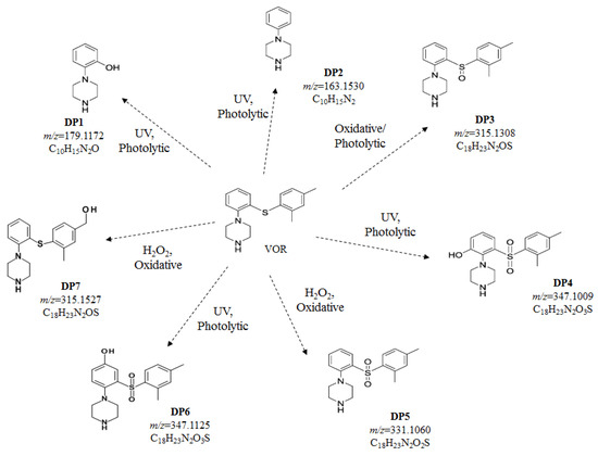
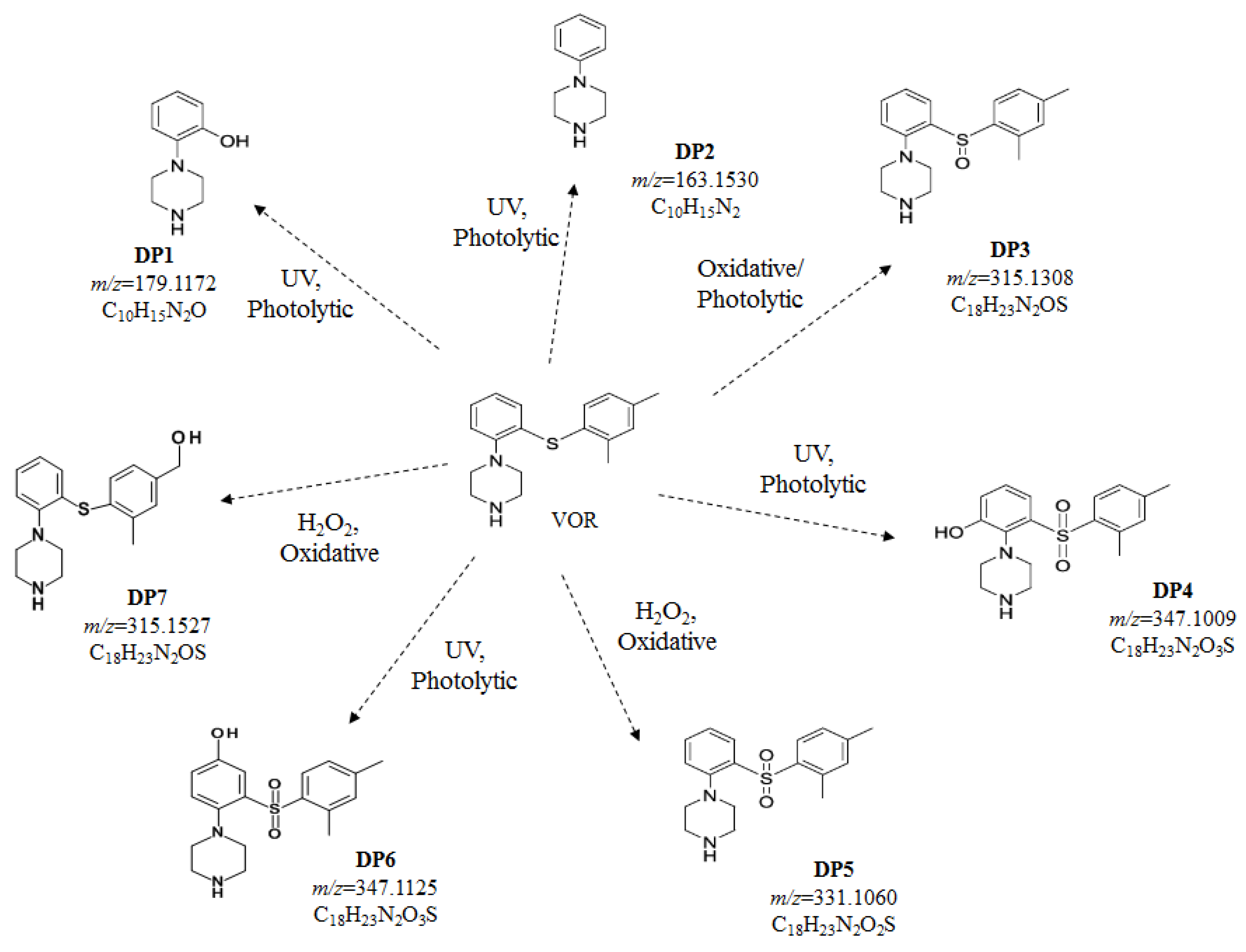
2.5.2. Identification of DPs by LC-ESI-QTOF-MS
2.6. In Silico Toxicity Studies
3. Materials and Methods
3.1. Chemicals and Reagents
3.2. Preparation of Stock Solution and Working Solutions
3.3. Apparatus and LC Conditions
3.3.1. HPLC-DAD Conditions
3.3.2. LC-ESI-Q-TOF-MS Conditions
3.3.3. Method Validation
3.3.4. Linearity
3.3.5. Lower Limit of Detection (LLOD) and Lower Limit of Quantification (LLOQ)
3.3.6. Accuracy and Precision
3.3.7. Selectivity
3.3.8. System Suitability
3.3.9. Robustness
3.4. Solution Stability
3.5. Forced Degradation Study
3.5.1. Photodegradation
Normal Light
UV Light 245 nm
UV Light 366 nm
3.5.2. Thermal Degradation
3.5.3. Acid Degradation
3.5.4. Alkali Degradation
3.5.5. Neutral Degradation
3.5.6. Oxidative Degradation
3.6. Degradation Kinetics Study
3.7. Tablet Assay Preparation
3.8. In Silico Toxicity Studies
4. Conclusions
Supplementary Materials
Author Contributions
Funding
Institutional Review Board Statement
Informed Consent Statement
Data Availability Statement
Conflicts of Interest
References
- Sowa-Kućma, M.; Pańczyszyn-Trzewik, P.; Misztak, P.; Jaeschke, R.R.; Sendek, K.; Styczeń, K.; Datka, W.; Koperny, M. Vortioxetine: A review of the pharmacology and clinical profile of the novel antidepressant. Pharmacol. Rep. 2017, 69, 595–601. [Google Scholar] [CrossRef] [PubMed]
- Sanchez, C.; Asin, K.E.; Artigas, F. Vortioxetine, a novel antidepressant with multimodal activity: Review of preclinical and clinical data. Pharmacol. Ther. 2015, 145, 43–57. [Google Scholar] [CrossRef] [PubMed]
- European Medicines Agency: BRINTELLIX (Vortioxetine). Available online: https://www.ema.europa.eu/en/documents/assessment-report/brintellix-epar-public-assessment-report_en.pdf (accessed on 28 November 2021).
- Brintellix (Vortioxetine Hydrobromide Tablets): US Prescribing Information. Available online: https://www.accessdata.fda.gov/drugsatfda_docs/label/2013/204447s000lbl.pdf (accessed on 28 November 2021).
- McEvoy, G. AHFS Drug Information; American Society of Health-System Pharmacists: Bethesda, MD, USA, 2016. [Google Scholar]
- Sałat, K.; Furgała-Wojas, A. Serotonergic Neurotransmission System Modulator, Vortioxetine, and Dopaminergic D2/D3 Receptor Agonist, Ropinirole, Attenuate Fibromyalgia-Like Symptoms in Mice. Molecules 2021, 26, 2398. [Google Scholar] [CrossRef]
- de Diego, M.; Correa, D.; Mennickent, S.; Godoy, R.; Vergara, C. Determination of vortioxetine and its degradation product in bulk and tablets, by LC-DAD and MS/MS methods. Biomed. Chromatogr. 2018, 32, 4340–4346. [Google Scholar] [CrossRef] [PubMed]
- Liu, L.; Cao, N.; Ma, X.; Xiong, K.; Sun, L.; Zou, Q.; Yao, L. Stability-indicating reversed-phase HPLC method development and characterization of impurities in vortioxetine utilizing LC-MS, IR and NMR. J. Pharm. Biomed. Anal. 2016, 117, 325–332. [Google Scholar] [CrossRef]
- Dousa, M.; Klvana, R.; Doubsky, J.; Srbek, J.; Richter, J.; Exner, M.; Gibala, P. HILIC-MS determination of genotoxic impurity of 2-chloro-N-(2-chloroethyl) ethanamine in the vortioxetine manufacturing process. J. Chromatogr. Sci. 2016, 54, 119–124. [Google Scholar]
- Dong, S.; Yan, Z.; Yang, H. A Sensitive Precolumn Derivatization Method for Determination of Piperazine in Vortioxetine Hydrobromide Using a C8 Column and High-Performance Liquid Chromatography–Mass Spectrometry. Anal. Sci. 2016, 32, 1333–1338. [Google Scholar] [CrossRef][Green Version]
- Ragi, N.C.; Velma, G.R.; Pallerla, P.K.; Siddiqua, S.; Alugonda, V.; Reddy Rachamalla, H.K.; Pabbaraja, S.; Sripadi, P. Identification and characterization of forced degradation products of Vortioxetine by LC/MS/MS and NMR. J. Pharm. Biomed. Anal. 2020, 188, 113442. [Google Scholar] [CrossRef]
- Tiris, G.; Alver, C.; Erk, N. A novel stability-indicating method for determination of a new antidepressant effect of vortioxetine in a pharmaceutical formulation by using RP-HPLC. Futur. J. Pharm. Sci. 2020, 6, 118. [Google Scholar] [CrossRef]
- Atila Karaca, S.; Rashidova, N.; Uğur, A.; Yeniceli Uğur, D. Development of a simple HPLC method for the quantitation of vortioxetine in pharmaceuticals using DoE approach. Chem. Pap. 2019, 74, 1541–1549. [Google Scholar] [CrossRef]
- Modhave, D.; Barrios, B.; Paudel, A. PVP-H2O2 Complex as a New Stressor for the Accelerated Oxidation Study of Pharmaceutical Solids. Pharmaceutics 2019, 11, 457. [Google Scholar] [CrossRef]
- Petruczynik, A.; Wróblewski, K.; Wojtanowski, K.; Mroczek, T.; Juchnowicz, D.; Karakuła-Juchnowicz, H.; Tuzimski, T. Comparison of Various Chromatographic Systems for Identification of Vortioxetine in Bulk Drug Substance, Human Serum, Saliva, and Urine Samples by HPLC-DAD and LC-QTOF-MS. Molecules 2020, 25, 2483. [Google Scholar] [CrossRef]
- Kall, M.A.; Rohde, M.; Jørgensen, M. Quantitative determination of the antidepressant vortioxetine and its major human metabolite in plasma. Bioanalysis 2015, 7, 2881–2894. [Google Scholar] [CrossRef]
- Wróblewski, K.; Petruczynik, A.; Buszewski, B.; Szultka-Młyńska, M.; Karakuła-Juchnowicz, H.; Waksmundzka-Hajnos, M. Determination of vortioxetine in human serum and saliva samples by HPLC-DAD and HPLC-MS. Acta Chromatogr. 2017, 29, 325–344. [Google Scholar] [CrossRef]
- Huang, Y.; Zheng, S.; Panc, Y.; Li, T.; Xu, Z.-S.; Shao, M.-M. Simultaneous quantification of vortioxetine, carvedilol and its active metabolite 4-hydroxyphenyl carvedilol in rat plasma by UPLC–MS/MS: Application to their pharmacokinetic interaction study. J. Pharm. Biomed. Anal. 2016, 128, 184–190. [Google Scholar] [CrossRef]
- Gu, E.-M.; Huang, C.; Liang, B.; Yuan, L.; Lana, T.; Hu, G.; Zhou, H. An UPLC–MS/MS method for the quantitation of vortioxetine in rat plasma: Application to a pharmacokinetic study. J. Chromatogr. B 2015, 997, 70–74. [Google Scholar] [CrossRef]
- Qin, M.; Qiao, H.Q.; Yuan, Y.J.; Shao, Q. A quantitative LC-MS/MS method for simultaneous determination of deuvortioxetine, vortioxetine and their carboxylic acid metabolite in rat plasma, and its application to a toxicokinetic study. Anal. Methods 2018, 10, 1023–1031. [Google Scholar] [CrossRef]
- Chen, Y.; Zhu, Y.L.; Qiu, C.Z.; Pan, Q.M.; Liu, W.Y.; Qiu, X.J. A simple HPLC method for the determination of vortioxetine in rabbit plasma and its application to a pharmacokinetic study. Lat. Am. J. Pharm. 2019, 38, 1111–1115. [Google Scholar]
- El Henawee, M.; Saleh, H.; Attia, A.K.; Hussien, E.M.; Derar, A.R. Carbon nanotubes bulk modified printed electrochemical sensor for green determination of vortioxetine hydrobromide by linear sweep voltammetry. Measurement 2021, 177, 109239. [Google Scholar] [CrossRef]
- Ateş, A.K.; Er, E.; Çelikkan, H.; Erk, N. The fabrication of a highly sensitive electrochemical sensor based on AuNPs@graphene nanocomposite: Application to the determination of antidepressant vortioxetine. Microchem. J. 2019, 148, 306–312. [Google Scholar] [CrossRef]
- Mahnashi, M.H. Synthesis of three-dimensional nickel ferrite nanospheres decorated activated graphite nanoplatelets for electrochemical detection of vortioxetine with pharmacokinetic insights in human volunteers. Microchim. Acta 2020, 187, 519. [Google Scholar] [CrossRef]
- Raies, A.B.; Bajic, V.B. In silico toxicology: Computational methods for the prediction of chemical toxicity. WIREs Comput. Mol. Sci. 2016, 6, 147–172. [Google Scholar] [CrossRef]
- Hemmerich, J.; Ecker, G.F. In silico toxicology: From structure-activity relationships towards deep learning and adverse outcome pathways. WIREs Comput. Mol. Sci. 2020, 10, e1475. [Google Scholar] [CrossRef]
- Wróblewski, K.; Petruczynik, A.; Waksmundzka-Hajnos, M. Separation and determination of selected psychotropic drugs in human serum by SPE/HPLC/DAD on C18 and Polar-RP columns. J. Liq. Chromatogr. Relat. Technol. 2017, 40, 75–82. [Google Scholar] [CrossRef]
- Petruczynik, A.; Wróblewski, K.; Waksmundzka-Hajnos, M. Comparison of chromatographic conditions for analysis of selected psychotropic drugs in human serum. J. Chromatogr. Sci. 2015, 53, 394–400. [Google Scholar] [CrossRef][Green Version]
- ICH Guideline, Q2 (R1). Validation of analytical procedures: Text and methodology. In International Conference on Harmonisation; IFPMA: Geneva, Switzerland, 2005. [Google Scholar]
- ICH Guidelines, Q1A (R2). Stability Testing of New Drug Substances and Products. In International Conference on Harmonization; IFPMA: Geneva, Switzerland, 2003. [Google Scholar]
- Daina, A.; Michielin, O.; Zoete, V. SwissADME: A free web tool to evaluate pharmacokinetics, drug-likeness and medicinal chemistry friendliness of small molecules. Sci. Rep. 2017, 7, 42717. [Google Scholar] [CrossRef]
- Maunz, A.; Gütlein, M.; Rautenberg, M.; Vorgrimmler, D.; Gebele, D.; Helma, C. Lazar: A modular predictive toxicology framework. Front. Pharmacol. 2013, 4, 38. [Google Scholar] [CrossRef]
- Daina, A.; Zoete, V. A BOILED-Egg to Predict Gastrointestinal Absorption and Brain Penetration of Small Molecules. ChemMedChem 2016, 11, 1117–1121. [Google Scholar] [CrossRef]







| Parameter | Value |
|---|---|
| Linearity range (µg/mL) | 1–100 |
| Regression equation | y = 49,940x + 31,468 |
| Slope | 49,940 |
| Intercept | 31,468 |
| r | 0.9999 |
| LLOD (µg/mL) | 1.32 |
| LLOQ (µg/mL) | 3.99 |
| % of Target Levels | Concentration Added (µg/mL) | Intra-Day (n = 6) | Inter-Day (n = 18) | ||
|---|---|---|---|---|---|
| Recovery (%) | %RSD | Recovery (%) | %RSD | ||
| 80 | 16 | 101.23 | 0.72 | 101.36 | 0.87 |
| 100 | 20 | 101.39 | 0.91 | 101.26 | 1.4 |
| 120 | 24 | 101.11 | 0.77 | 100.92 | 1.28 |
| Conditions | Recovery (%) | %RSD |
|---|---|---|
| Column temperature: 20 °C | 101.88 | 0.63 |
| Column temperature: 24 °C | 101.52 | 0.27 |
| Flow rate: 0.9 mL/min | 103.02 | 1.72 |
| Flow rate: 1.1 mL/min | 98.97 | 0.74 |
| Organic phase composition: MeOH 28% v/v, ACN 32% v/v | 100.56 | 0.49 |
| Organic phase composition: MeOH 32% v/v, ACN 28% v/v | 101.17 | 0.77 |
| Organic phase composition: MeOH 31% v/v, ACN 31% v/v | 100.22 | 0.89 |
| Organic phase composition: MeOH 29% v/v, ACN 29% v/v | 101.81 | 0.83 |
| The content of the acetate buffer: 18% v/v | 102.35 | 0.58 |
| The content of the acetate buffer: 22% v/v | 101.28 | 0.97 |
| Time (h) | Recovery (%) | SD |
|---|---|---|
| 0 | 101.14 | 0.52 |
| 4 | 101.70 | 0.62 |
| 8 | 102.33 | 0.74 |
| 12 | 101.46 | 0.92 |
| 24 | 100.83 | 0.95 |
| Mean: | 101.49 | 0.75 |
| Conditions | Time | Recovery (%) | SD |
|---|---|---|---|
| RT | 48 h | 101.51 | 0.99 |
| 4 °C | 14 days | 102.24 | 1.26 |
| −20 °C | 12 months | 101.51 | 0.99 |
| Tested Form of VOR | Stress Type | Stress Condition | Exposed Conditions | Duration | Calculated VOR Concentration * (µg/mL) ± SD | Recovery * (%) ± SD | % Degradation * ± SD | VOR Peak Purity Index | Remarks |
|---|---|---|---|---|---|---|---|---|---|
| STD | Acid hydrolysis, solution | 2 M HCl | 70 °C | 72 h | 19.98 ± 0.12 | 99.92 ± 0.58 | 0.87 ± 0.45 | 1.0000 | No degradation was observed |
| TAB | 20.18 ± 0.1 | 100.90 ± 0.49 | 0.24 ± 0.38 | 1.0000 | |||||
| STD | Base hydrolysis, solution | 2 M NaOH | 70 °C | 72 h | 20.0 ± 0.13 | 100.00 ± 0.65 | 0.78 ± 0.51 | 1.0000 | |
| TAB | 20. 15 ± 0.1 | 100.77 ± 0.5 | 0.37 ± 0.39 | 1.0000 | |||||
| STD | Neutral hydrolysis, solution | H2O | 70 °C | 72 h | 19.97 ± 0.09 | 99.84 ± 0.44 | 0. 95 ± 0.35 | 1.0000 | |
| TAB | 20.03 ± 0.12 | 100.17 ± 0.61 | 0.94 ± 0.39 | 1.0000 | |||||
| STD | Thermal, solid form | Solid | 100 °C | 48 h | 19.91 ± 0.08 | 99.56 ± 0.42 | 0.54 ± 0.33 | 1.0000 | |
| TAB | 19.99 ± 0.1 | 99.97 ± 0.5 | 1.13 ± 0.39 | 1.0000 | |||||
| STD | Photodegradation, solid | Normal white light | RT | 48 h | 20.16 ± 0.07 | 100.78 ± 0.36 | 0.87 ± 0.28 | 1.0000 | |
| Photodegradation, solution | 20.07 ± 0.19 | 100.37 ± 0.96 | 1.26 ± 0.75 | 1.0000 | |||||
| TAB | Photodegradation, solution | 20.17 ± 0.05 | 100.84 ± 0.23 | −0.8 ± 0.19 | 1.0000 | ||||
| STD | Photodegradation, solid | UV 254 nm | RT | 16 h | 12.66 ± 0.12 | 63.28 ± 0.58 | 36.64 ± 0.45 | 1.0000 | Five degradation products: DP1, DP2, DP3, DP4, DP6 |
| Photodegradation, solution | 10.27 ± 0.12 | 51.35 ± 0.62 | 48.02 ± 0.42 | 1.0000 | |||||
| TAB | Photodegradation, solution | 10.03 ± 0.1 | 50,17 ± 0.52 | 48.88 ± 0.35 | 0.999 | ||||
| STD | Photodegradation, solid | UV 366 nm | RT | 24 h | 18.28 ± 0.2 | 91.39 ± 1 | 9. 08 ± 0.79 | 1.0000 | |
| Photodegradation, solution | 18.23 ± 0.19 | 91.16 ± 0.94 | 9.29 ± 0.73 | 1.0000 | |||||
| TAB | Photodegradation, solution | 18.78 ± 0.03 | 93.88 ± 0.16 | 6.12 ± 0.12 | 1.0000 | ||||
| STD | Oxidation, solution | 15% H2O2 | RT | 6 h | 10.39 ± 0.15 | 51.94 ± 0.75 | 46.64 ± 0.59 | 1.0000 | Three degradation products: DP3, DP5, DP7 |
| TAB | 10.06 ± 0.11 | 50.29 ± 0.55 | 48.76 ± 0.43 | 1.0000 |
| Degradation Conditions | Duration (h) | k (h−1) a ± SD | t1/2 (h) b ± SD | t90 (h) c ± SD |
|---|---|---|---|---|
| Oxidative degradation: 15% H2O2, RT | 0, 1, 2, 3, 4, 5, 6 | 0.1043 ± 0.0026 | 6.64 ± 0.17 | 1.01 ± 0.03 |
| Photodegradation: UV 254 nm, RT, solution | 0, 1, 3, 6, 8, 12, 16 | 0.0028 ± 0.0001 | 17.86 ± 0.36 | 1.98 ± 0.04 |
| Photodegradation: UV 254 nm, RT, solid | 0, 1, 3, 6, 8, 16 | 0.0018 ± 0.0001 | 27.78 ± 0.94 | 3.09 ± 0.1 |
| Compound/ Degradation Product | Stress Conditions | Chemical Formula | Molecular Ion [M + H]+ m/z | MS/MS Fragment Ions [M + H]+ (Observed Mass m/z) | Calculated Mass m/z (Error ppm) |
|---|---|---|---|---|---|
| VOR | - | C18H23N2S | 299.1961 | 299.1981 (−6.68) | |
| 109.0364 (C6H5S) | 109.0368 (−3.67) | ||||
| 120.1021 (C8H10N) | 120.1011 (8.32) | ||||
| 150.0665 (C8H8NS) | 150.0659 (3.99) | ||||
| 256.1512 (C16H18NS) | 256.1508 (1.56) | ||||
| DP1 | Photolytic | C10H15N2O | 179.1172 | 179.1181 (−5.02) | |
| 44.0503 (C2H6N) | 44.05017 (2.95) | ||||
| 70.0659 (C4H8N) | 70.0663 (−5.71) | ||||
| 85.0747 (C4H9N2) | 85.0742 (5.88) | ||||
| 92.0488 (C6H6N) | 92.0493 (−5.43) | ||||
| 106.0645 (C7H8N) | 106.0651 (−5.66) | ||||
| 108.0441 (C7H6NO) | 108.0448 (−6.48) | ||||
| 118.0660 (C8H8N) | 118.0658 (1.69) | ||||
| 136.0763 (C8H10NO) | 136.0759 (2.94) | ||||
| DP2 | Photolytic | C10H15N2 | 163.1530 | 163.1541 (−6.74) | |
| 44.0659 (C2H6N) | 44.0658 (2.26) | ||||
| 77.0616 (C6H5) | 77.0608 (10.38) | ||||
| 106.0909 (C7H8N) | 106.0914 (−4.71) | ||||
| 118.0851 (C8H8N) | 118.0856 (−4.23) | ||||
| 120.1052 (C8H10N) | 120.1054 (−1.66) | ||||
| 146.0786 (C10H12N) | 146.0791 (−3.42) | ||||
| DP3 | Oxidative/Photolytic | C18H23N2OS | 315.1308 | 315.1317 (−2.86) | |
| 44.0673 (C2H6N) | 44.0668 (11.35) | ||||
| 56.0697 (C3H6N) | 56.0694 (5.35) | ||||
| 72.0678 (C4H10N) | 72.0683 (−6.94) | ||||
| 94.0910 (C6H8N) | 94.0915 (−5.31) | ||||
| 106.0929 (C7H8N) | 106.0923 (5.65) | ||||
| 120.1103 (C8H10N) | 120.1107 (−3.33) | ||||
| 136.0531 (C7H6NS) | 136.0535 (−2.94) | ||||
| 138.0118 (C7H8NS) | 138.0121 (−2.17) | ||||
| 148.0555 (C8H6NS) | 148.0554 (0.67) | ||||
| 162.0729 (C9H8NS) | 162.0731(−1.23) | ||||
| 191.0128 (C10H11N2S) | 191.0134 (−3.14) | ||||
| 209.1160 (C10H13N2OS) | 209.1164 (−1.91) | ||||
| 242.1397 (C15H16NS) | 242.1391 (2.48) | ||||
| 256.1594 (C16H18NS) | 256.1598 (−1.56) | ||||
| DP4 | Photolytic | C18H23N2O3S | 347.1119 | 347.1121 (−0.58) | |
| 44.0660 (C2H6N) | 44.0663 (−6.81) | ||||
| 56.0682 (C3H6N) | 56.0679 (5.35) | ||||
| 70.0860 (C4H8N) | 70.0867 (−9.99) | ||||
| 85.0375 (C4H9N2) | 85.0371 (4.70) | ||||
| 105.0971 (C7H7N) | 105.0978 (−6.66) | ||||
| 136.0504 (C7H6NS) | 136.0507 (−2.20) | ||||
| 304.0676 (C16H18NO3S) | 304.0681 (−1.64) | ||||
| DP5 | Oxidative | C18H23N2O2S | 331.1060 | 331.1064 (−1.21) | |
| 44.0652 (C2H6N) | 44.0647 (11.35) | ||||
| 77.7323 (C4H15N) | 77.7326 (−3.86) | ||||
| 91.0793 (C7H7) | 91.0798 (−5.49) | ||||
| 106.0926 (C7H8N) | 106.0931 (−4.71) | ||||
| 119.1755 (C8H9N) | 119.1758 (−2.52) | ||||
| 136.0527 (C7H6NS) | 136.0533 (−4.41) | ||||
| 140.0436 (C6H6NOS) | 140.0441 (−3.57) | ||||
| 162.3383 (C9H8NS) | 162.3389 (−3.70) | ||||
| 178.0349 (C9H8NOS) | 178.0344 (2.81) | ||||
| 190.0881 (C10H10N2S) | 190.0876 (2.63) | ||||
| 288.1306 (C16H18N2O2S) | 288.1311 (−1.73) | ||||
| DP6 | Photolytic | C18H23N2O3S | 347.1125 | 347.1121 (1.15) | |
| 56.0674 (C3H6N) | 56.0678 (−7.13) | ||||
| 70.1192 (C4H8N) | 70.1197 (−7.13) | ||||
| 84.3469 (C4H8N2) | 84.3473 (−4.74) | ||||
| 106.0865 (C7H8N) | 106.0868 (−2.83) | ||||
| 120.3363 (C8H10N) | 120.3357 (4.99) | ||||
| 134.0822 (C7H4NS) | 134.0828 (−4.47) | ||||
| 149.1328 (C8H5NS) | 149.1317 (7.38) | ||||
| 164.1592 (C8H6NOS) | 164.1597 (−3.05) | ||||
| 205.0757 (C10H9N2OS) | 205.0763 (−2.93) | ||||
| 223.0854 (C10H11N2O2S) | 223.0862 (−3.59) | ||||
| 304.1010 (C16H18NO3S) | 304.1015 (−1.64) | ||||
| DP7 | Oxidative | C18H23N2OS | 315.1527 | 315.1517 (3.17) | |
| 74.0845 (C4H12N) | 74.0841 (5.40) | ||||
| 106.1101 (C7H8N) | 106.1108 (−6.60) | ||||
| 120.1047 (C8H10N) | 120.1053 (−5.00) | ||||
| 136.0417 (C7H6NS) | 136.0422 (−3.67) | ||||
| 191.0902 (C10H11N2S) | 191.0907 (−2.62) | ||||
| 256.2938 (C16H18NS) | 256.2942 (−1.56) |
| Compound | Num. Aromatic Heavy Atoms | Num. Rotatable Bonds | Num. H-Bond Acceptors | Num. H-Bond Donors | TPSA | XLOGP 3 | Log S (Ali) | Ali Class | CYP1A2 Inhibitor | CYP2C19 Inhibitor | CYP2C9 Inhibitor | CYP2D6 Inhibitor | CYP3A4 Inhibitor |
|---|---|---|---|---|---|---|---|---|---|---|---|---|---|
| DP1 | 6 | 1 | 2 | 2 | 35.50 Å2 | 1.15 | −1.49 | Very soluble | No | No | No | No | No |
| DP2 | 6 | 1 | 1 | 1 | 15.27 Å2 | 1.11 | −1.02 | Very soluble | No | No | No | No | No |
| DP3 | 12 | 3 | 2 | 1 | 51.55 Å2 | 2.90 | −3.64 | Soluble | No | Yes | No | Yes | Yes |
| DP4 | 12 | 3 | 4 | 2 | 78.02 Å2 | 2.56 | −3.85 | Soluble | No | No | No | Yes | Yes |
| DP5 | 12 | 3 | 3 | 1 | 57.79 Å2 | 2.91 | −3.78 | Soluble | No | Yes | Yes | Yes | Yes |
| DP6 | 12 | 3 | 4 | 2 | 78.02 Å2 | 2.56 | −3.85 | Soluble | No | No | No | Yes | Yes |
| DP7 | 12 | 4 | 2 | 2 | 60.80 Å2 | 2.94 | −3.88 | Soluble | Yes | No | No | Yes | Yes |
Publisher’s Note: MDPI stays neutral with regard to jurisdictional claims in published maps and institutional affiliations. |
© 2022 by the authors. Licensee MDPI, Basel, Switzerland. This article is an open access article distributed under the terms and conditions of the Creative Commons Attribution (CC BY) license (https://creativecommons.org/licenses/by/4.0/).
Share and Cite
Wróblewski, K.; Szultka-Młyńska, M.; Janiszewska, D.; Petruczynik, A.; Buszewski, B. Development of the Validated Stability-Indicating Method for the Determination of Vortioxetine in Bulk and Pharmaceutical Formulation by HPLC-DAD, Stress Degradation Kinetics Studies and Detection of Degradation Products by LC-ESI-QTOF-MS. Molecules 2022, 27, 1883. https://doi.org/10.3390/molecules27061883
Wróblewski K, Szultka-Młyńska M, Janiszewska D, Petruczynik A, Buszewski B. Development of the Validated Stability-Indicating Method for the Determination of Vortioxetine in Bulk and Pharmaceutical Formulation by HPLC-DAD, Stress Degradation Kinetics Studies and Detection of Degradation Products by LC-ESI-QTOF-MS. Molecules. 2022; 27(6):1883. https://doi.org/10.3390/molecules27061883
Chicago/Turabian StyleWróblewski, Karol, Małgorzata Szultka-Młyńska, Daria Janiszewska, Anna Petruczynik, and Bogusław Buszewski. 2022. "Development of the Validated Stability-Indicating Method for the Determination of Vortioxetine in Bulk and Pharmaceutical Formulation by HPLC-DAD, Stress Degradation Kinetics Studies and Detection of Degradation Products by LC-ESI-QTOF-MS" Molecules 27, no. 6: 1883. https://doi.org/10.3390/molecules27061883
APA StyleWróblewski, K., Szultka-Młyńska, M., Janiszewska, D., Petruczynik, A., & Buszewski, B. (2022). Development of the Validated Stability-Indicating Method for the Determination of Vortioxetine in Bulk and Pharmaceutical Formulation by HPLC-DAD, Stress Degradation Kinetics Studies and Detection of Degradation Products by LC-ESI-QTOF-MS. Molecules, 27(6), 1883. https://doi.org/10.3390/molecules27061883

