Next Article in Journal
Electronic Structures of Polymorphic Layers of Borophane
Next Article in Special Issue
Highly Sensitive Determination of Tenofovir in Pharmaceutical Formulations and Patients Urine—Comparative Electroanalytical Studies Using Different Sensing Methods
Previous Article in Journal
Isolation, Structure Elucidation and Antimicrobial Evaluation of Natural Pentacyclic Triterpenoids and Phytochemical Investigation of Different Fractions of Ziziphus spina-christi (L.) Stem Bark Using LCHRMS Analysis
Previous Article in Special Issue
Pharmacokinetic Characterization of the DDAH1 Inhibitors ZST316 and ZST152 in Mice Using a HPLC-MS/MS Method
 
 
Font Type:
Arial Georgia Verdana
Font Size:
Aa Aa Aa
Line Spacing:
Column Width:
Background:
Review

High Performance Liquid Chromatography (HPLC) with Fluorescence Detection for Quantification of Steroids in Clinical, Pharmaceutical, and Environmental Samples: A Review

1
Department of Medicinal Chemistry and Pharmacognosy, Faculty of Pharmacy, Jordan University of Science and Technology, Irbid 22110, Jordan
2
School of Biomolecular and Biomedical Science, University College Dublin, Belfield, D04 V1W8 Dublin, Ireland
*
Author to whom correspondence should be addressed.
Molecules 2022, 27(6), 1807; https://doi.org/10.3390/molecules27061807
Submission received: 15 February 2022 / Revised: 4 March 2022 / Accepted: 6 March 2022 / Published: 10 March 2022

Abstract

:
Steroids are compounds widely available in nature and synthesized for therapeutic and medical purposes. Although several analytical techniques are available for the quantification of steroids, their analysis is challenging due to their low levels and complex matrices of the samples. The efficiency and quick separation of the HPLC combined with the sensitivity, selectivity, simplicity, and cost-efficiency of fluorescence, make HPLC coupled to fluorescence detection (HPLC-FLD) an ideal tool for routine measurement and detection of steroids. In this review, we covered HPLC-FLD methods reported in the literature for the steroids quantification in clinical, pharmaceutical, and environmental applications, focusing on the various approaches of fluorescent derivatization. The aspects related to analytical methodology including sample preparation, derivatization reagents, and chromatographic conditions will be discussed.

Graphical Abstract

1. Introduction

Steroids are biologically active molecules that are available in many natural sources such as, animals, plants and fungi, in addition to being manufactured as therapeutics. Steroids share a common four-fused ring core consisting of 17 carbon atoms and vary according to functional groups attached to the core or side chains. Naturally secreted steroids are classified into steroid hormones (sex hormones, mineralo- and glucocorticoids, and anabolic steroids) and cholesterol. These compounds travel the bloodstream bound specifically or non-specifically to plasma proteins, such as albumin and binding globulins [1]. Steroids are key players in many biological, physiological, and pathological events, which are mediated after binding to their cognate tissue receptors. Most prominently, natural steroids play major roles in metabolism, signaling, immunity, reproduction, and salt-retaining activity. On the other hand, many synthetic steroids have been manufactured to mimic natural steroidal activity and have been approved to treat a wide variety of diseases including anti-inflammatory; arthritis, autoimmune disease, asthma and chronic obstructive pulmonary diseases [2,3].
Because steroids can produce biological action at very low concentrations, analytical methods must be very sensitive and precise particularly when quantifying steroid levels in biosamples. Due to the complex nature matrices of most steroid samples, the methods should also be selective to reliably quantify target steroids and resolve them from other similar endogenous compounds and interferences, and to allow for simpler extraction and pre-treatment prior to analysis. This is especially important since sample pre-treatment may lead to the loss of analyte. Steroids possess a naturally lipophilic cyclopentanoperhydrophenanthrene core (Figure 1), although their hydrophilicity is increased by reduction reactions during metabolism. Owing to this hydrophobicity, organic solvents can be used in sample preparation to extract steroids from aqueous media [4].
Commonly used methods in the analysis of steroids include immuno-assays [5,6], gas chromatography-mass spectrometry (GC-MS) [7], high-performance liquid chromatography mass spectrometry (HPLC-MS or MS/MS) [4,8], capillary electrophoresis (CE) [9], and HPLC coupled with UV [10,11,12,13] or fluorescence detection (FLD) [14]. Mass spectrometry (MS) and FLD are relevant to steroid analysis due to their inherited high sensitivity detection and low detection limit. Although both usually require incorporating a derivatization step due to weak ionization of steroids in MS and lack of fluorophores, FLD is considered a simpler and low capital cost technique.
Levels of steroids are required to be continuously monitored since any increase or decrease may be associated with major consequences on health and environment. Therefore, steroid quantification has been gaining increasing importance in disease diagnosis (e.g., increased levels of cortisol in stress and Cushing’s syndrome) [15], contamination assessment of water and food samples [16,17,18,19,20,21], detection of anabolic steroids among sportsmen due to doping [22,23,24,25,26], and detection of growth promoting steroids in animal tissue [18,25,27,28,29,30,31,32,33]. While there are several reviews on steroid quantification by HPLC methods coupled to MS and UV [8,34], to the best of our knowledge no similar reports summarizing data on HPLC-FLD methods exist. This review will discuss the applications of HPLC-FLD methods for quantifying steroids in clinical, pharmaceutical, and environmental samples. Focus will be given to the various derivatization techniques reported in the literature to introduce fluorophores to target steroids and accompanying sample preparation procedures.

2. HPLC-FLD Methods

HPLC is commonly employed in the analysis of steroids as it provides an excellent separation and quantification tool. Regardless of the compound class, separation using the reversed phase mode is the method of choice in HPLC. Octadecyl silica (ODS or C18) columns are commonly used as the stationary phase in reversed phase-HPLC. Other materials, such as C8, C2, phenyl, amino, and cyano phases can also be used to provide different degrees of selectivity. Selectivity depends also on the composition of the mobile phase. Methanol or acetonitrile are commonly used in combination with various percentages of water to prepare the mobile phase which can be employed in the isocratic or gradient mode. Column temperature, pH of the mobile phase and its modifiers are other parameters that can be used to optimize steroids separation. Using narrow and short columns can successfully decrease the amount of solvent needed and analysis time [4].
Prior to injecting steroid-containing samples on the HPLC, a sample preparation method is commonly employed to produce the required selectivity and sensitivity. Sample pretreatment is carried out through a process of sequential steps depending on the extracted steroid and sample type/matrix. For example, biological samples are often prepared by protein precipitation (PP) and enzyme hydrolysis in order to decrease the interferences from undesired compounds such as plasma proteins and to remove the polar groups added to steroids during metabolism. In addition to PP [9], solid phase extraction (SPE) [21,35] and liquid–liquid extraction (LLE) [36,37] are commonly used extraction techniques for the analysis of steroids. Due to the continuous need for faster and simpler sample preparation procedures, other methods such as solid phase microextraction (SPME) [38], liquid-phase microextraction (LPME) [37], turbulent flow chromatography (TFC) [39], dispersive liquid–liquid microextraction (DLLME) [37], molecularly imprinted solid-phase extraction (MISPE) [40,41], restricted access material (RAM) [4,9] are also used.
HPLC-FLD detection can be carried out through direct or indirect methods, depending on the analyte’s need for extraction or/and derivatization (Figure 2). Researchers seek to develop simple methods that do not require extraction or derivatization. For example, estrogens that are native fluorescents, and certain synthetic steroids, such as the anabolic steroid trenbolone, can fluoresce and, therefore, can be quantified without derivatization. Non-native steroids and non-aromatic compounds, on the other hand, show no fluorescence characteristics and must therefore be derivatized (labeled with fluorescent moieties) prior to analysis (Figure 2).
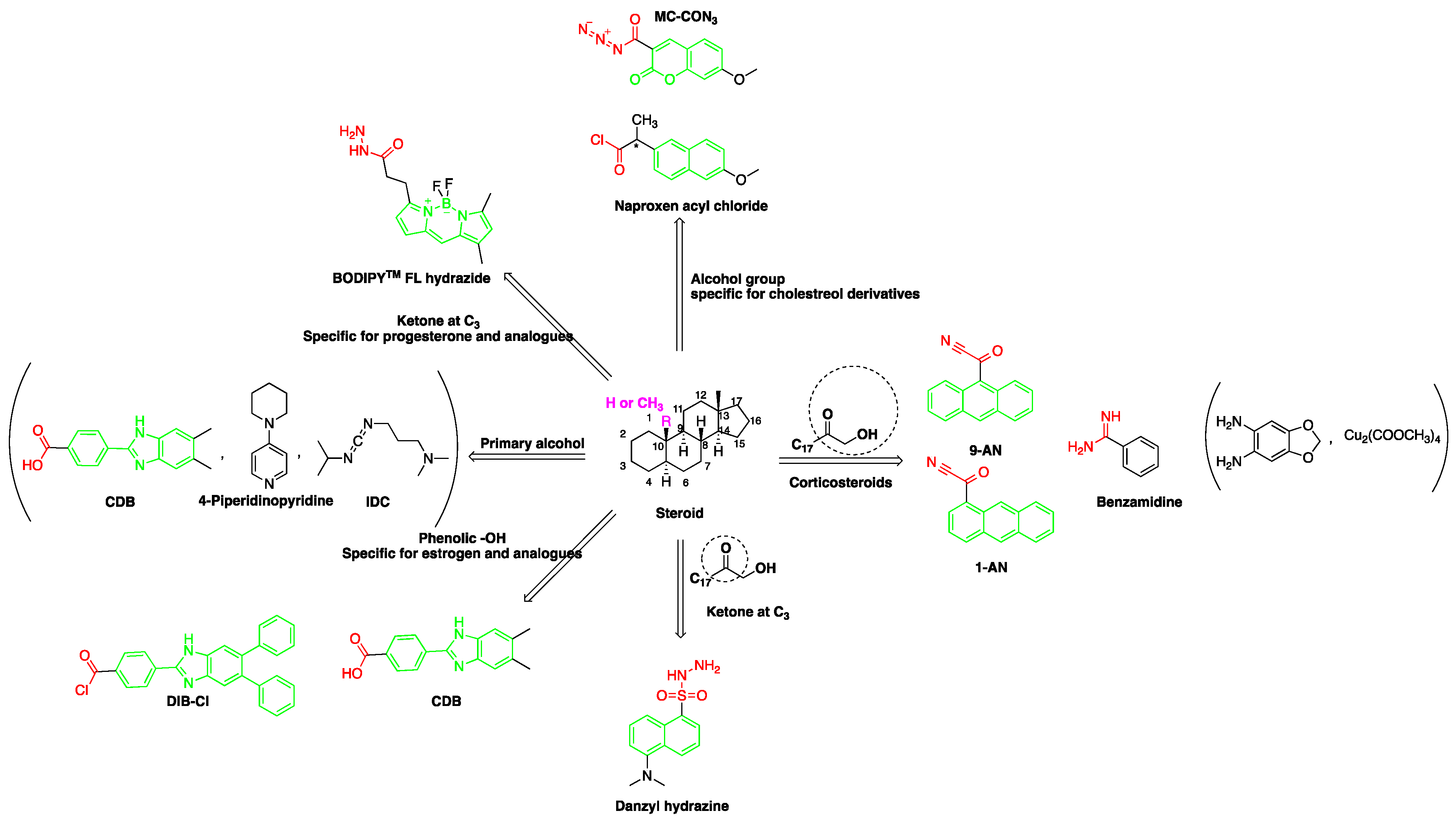
A good derivatization procedure should be simple with high yield and minimum side products and is performed under mild conditions to avoid decomposition of the target steroid [4]. Derivatization enhances the detection of steroids and can be done by either pre-column offline labeling or post-column online labeling (Figure 2), which ideally must be rapid. These procedures can, however, be accelerated by modifying the reaction’s temperature and pH or incorporating a catalyst. Figure 1 is a representation for the most common fluorescent derivatizing pathways and their targets in steroid analysis. There are several classes of fluorescent derivatizing agents including anthracenes, coumarins and phenanthrenes. The derivatization process depends on functionalization of specific groups that are targeted in steroids structure as well as the type of derivatization agent used. For example, steroids with primary alcohol moiety, e.g., cortisone, can be targeted with a fluorescent agent in a selective reaction thus differentiating them from steroids containing secondary and tertiary alcohol groups such as prednisolone. Similarly, other steroids, such as estrogens, have specific phenolic groups, which can also be targeted by other agents. Other functionalities that react with fluorescent derivatizing agents and employed in steroid quantification are ketone and ketolic groups as will be discussed later in this review. The various derivatization procedures reported in the literature used for steroid detection by HPLC-FLD including the reagents employed and conditions used in each procedure are summarized in Table 1.

3. Clinical Applications of HPLC-FLD Techniques

Quantification of steroids plays an important role in the diagnosis and treatment of endocrine disorders. Diseases, such as cancer, metabolic syndromes, and neurodegenerative diseases, are associated with abnormalities in the endocrine system. Steroids also play an important role in biochemical processes, such as aging, reproduction, and metabolic pathways [76]. Furthermore, disturbances in the endocrine system due to EDC from environment and food are becoming a major clinical concern. HPLC-FLD has been employed in many research studies, both in humans and animal models, to quantify the various types of steroids and investigate their role in diseases and clinical conditions.

3.1. Detection of Glucocorticosteroids

Glucocorticosteroids are widely recognized as markers for adrenal activity. Cortisol can reflect the short-term changes in the activity of the hypothalamic–pituitary–adrenocortical axis (HPA axis), making it a valuable surrogate marker for stress and glucose metabolism [56].
Many methods have been developed to detect unconjugated cortisol levels in various biological samples. However, the use of certain samples, such as urine, may not be recommended as these samples may contain many interfering substances thus complicating steroids extraction procedure [55]. In addition, the concentrations of corticosteroids in urine are low compared with those found in plasma, which makes the latter a better medium for measurement. Steroids have been measured by HPLC-FLD methods for various clinical purposes, such as investigating disease courses, pathogenesis, and metabolic processes [15].
The detection of corticosteroids in biological samples can be done directly depending on fluorescence signal enhancement upon the treatment of samples with the deproteinizing agent (ethanol) and sulfuric acid (Figure 3). A study to quantify corticosteroids in serum samples was performed using C18 analytical column after treatment with ethanol and sulfuric acid [53]. Cortisol, testosterone and corticosterone emitted fluorescence, with LOD for cortisol = 0.3 pg/dL (S/N = 3). In another study, the same group measured cortisol in urine samples producing a LOD = 0.26 pg/dL (S/N = 3) [54]. Sudo et al. used post-column derivatization with sulfuric acid to measure cortisol and corticosterone in rat urine (LOD was 0.5 pmol for corticosterone at (S/N = 5)) [55]. They analyzed other corticoids, such as prednisolone, 6α-methylprednisolone, dexamethasone, and betamethasone, but with lower sensitivity. Moreover, ethyl acetate was used for extraction after sulfuric acid hydrolysis to prevent the acid from entering the HPLC system. It was noticed that the fluorescence intensities were dependent on the reactor temperature and sulfuric acid [55,77].
Since cortisol levels in hair might be used as a biomarker of chronic stress, a study developed a HPLC-FLD method to measure cortisol distribution in human hair samples. The method has achieved equal precision to mass spectrometry. Samples were prepared by pulverization and incubation in 0.1 M HCl, and extraction with ethyl acetate followed by derivatization with sulfuric acid. A detection limit of 1 pg/mg was achieved [56].
Derivatization with fluorophore-containing reagents was employed in many studies to detect and quantify corticosteroids in serum and urine samples. The derivatization process depends on functionalization of specific groups in corticosteroids structure (Figure 1). The primary alcohol functionality can be esterified through its reaction with either 2-(4-carboxyphenyl)-5,6-dimethylbenzimidazole (CDB) (Figure 4), 9-anthroyl nitrile (9-AN) (Figure 5), or 1-anthroyl nitrile (1-AN) (Figure 5). These derivatization processes proved to be selective as neither secondary alcohol, nor tertiary alcohol can react with fluorophore-containing reagents (Figure 5).
The derivatization through esterification of corticosteroid primary alcohol functionality with CDB was studied by Katayama et al. [78]. The results showed that the detector response to secondary alcohols was less than one fiftieth that of the primary alcohol. However, certain secondary alcohols in steroids, such as prednisolone acetate and testosterone, and tertiary alcohols, showed no reaction. Later, Katayama et al. used human plasma to detect eight corticosteroids by derivatization with CDB to their esters in acetonitrile. The esters were separated on a reversed-phase column (Zorbax ODS) with water:methanol (25:75, v/v) containing 5 mmol/L tetramethylammonium hydrogen sulfate as a mobile phase. The LOD ranged between 0.06 and 0.3 pg per 100 µL of plasma (S/N = 3) [58].
The use of 9-AN as a derivatizing agent for corticosteroids was reported in several studies. Neufled et al. used 9-AN to derivatize the primary alcohol in C21 corticosteroids. The reaction was carried out at 45 °C for 2 h and the fluorescent derivatives were separated on silica stationary phase with a mixture of 2-propanol and hexane as a mobile phase in the gradient mode. The low temperature in derivatization prevented the thermal degradation of corticosteroids and avoided reaction with secondary hydroxyl groups [46,50].
Measuring endogenous glucocorticoids and their metabolites is important as disturbances in the enzyme responsible for their metabolism can cause hypertension. One study described an HPLC-FLD method using 9-AN derivatization for the determination of cortisol, cortisone, and their tetrahydro- and allo-tetrahydro-metabolites in plasma and urine [45]. Following extraction with dichloromethane and SPE, 9-AN was used to derivatize the steroids in the samples to their fluorescent products. LOD (S/N = 3:1) achieved with this method was 3.0 ng/mL for all analytes. Similarly, Shibata et al. employed 9-AN for fluorescent derivatization and developed a method to investigate cortisone levels in plasma and urine samples of renal transplant patients who received prednisolone [47]. Cortisol, cortisone, prednisolone, prednisone, 6β-hydroxycortisol, and 6β-hydroxyprednisolone were derivatized to their fluorescent esters after extraction with ethyl acetate (Figure 5). The 6β-hydroxycortisone was used as an internal standard. LODs achieved for cortisol, cortisone, prednisolone and prednisone in plasma or urine were 0.1 ng/mL, while those for 6β-hydroxycortisol and 6β-hydroxyprednisolone in plasma or urine were 0.5 ng/mL.
Similar to 9-AN, fluorescent derivatization can be achieved using 1-AN. A study described the use of 1-AN to derivatize 18-oxygenated corticosteroids: 18-hydroxycortisol, 18-hydroxycortisone and 18-oxocortisol in human urine into their fluorescent 21-anthroyl esters [43] (Figure 6). A mixture of ether and dichloromethane was used to extract the steroids, and the anthroyl derivatives were enriched by SPE using a CN cartridge column. The LOD was 0.1 pmol (S/N = 5).
Fluorescent derivatization of corticosteroids can also be carried out using dansyl hydrazine targeting the carbonyl groups (Figure 7). In a study to determine corticosteroids in human plasma and urine samples were derivatized by dansyl hydrazine and quantified by HPLC-FLD, following extraction with methylene chloride. The linearity range of the method was between 0.5 and 60 ng of cortisol, proving it to be suitable for the routine analysis of cortisol in plasma and urine [71].
The detection of corticosteroids with ketolic groups in urine is key part in diagnostic procedure of Cushing’s syndrome. Ketol-containing corticosteroids, such as 17-hydroxycorticosteroid (breakdown product of cortisol), are usually excreted in urine as tetrahydro form making their detection using UV absorption at 240 nm not possible. To detect these steroids in urine, derivatization with amidine-containing compounds was used yielding fluorescent compounds [60] (Figure 8). Using this approach, the best sensitivity was achieved for cortisol.
The utilization of ketolic groups was also performed by Yamaguchi et al. to detect and quantify corticosteroids in urine after their conversion into fluorescent quinoxalines (Figure 9) [67]. They detected nineteen 21-hydroxycorticosteroids in human urine samples achieving LOD = 0.14–29.4 pmol/50 µL injection volume (S/N = 3). In another study by the same group, prednisolone and prednisone were quantified in plasma samples following similar derivatization procedure and analyzed by reversed-phase liquid chromatography with isocratic elution. The LOD of prednisolone and prednisone was 3 ng/mL in plasma (S/N = 3) [65].
Cholesterol quantification is commonly required in the analysis of biosamples. A study described a simple and sensitive method for the determination of cholesterol and phytosterols, such as β-sitosterol in biosamples (e.g., saliva and urine matrices) and food samples (cow and soybean milk) after derivatization with naproxen acyl chloride in toluene (Figure 10). The method employed a C8 column with a mixture of methanol, isopropanol, and water, achieving a LOD of about 25 nM (S/N = 3). The analysis of cholesterol and sitosterol is usually time-consuming, but using the method, a relatively short period of time was required since solvent concentration, evaporation, and replacement steps were not necessary [79].
Free 7α-hydroxycholesterol (7-HC) levels in human serum were reported to be a good indicator for bile acid synthesis. An HPLC-FLD method was developed by Saisho et al. to quantify 7-HC levels in dog plasma, with the purpose of studying the effect of cholestyramine on plasma levels of 7-HC. 7-HC was converted to its fluorescence derivative, by two procedures, after being extracted and then purified [57]. The two derivatization reagents used were 1-AN and 7-methoxycoumarin-3-carbonyl azide (MC-CON3). The MC-CON3 derivatization resulted in higher fluorescence intensity compared to 1-AN route. 1-AN produced only a C-3 fluorescent derivative due to the bulky anthracene group and steric hindrance around the C-7 position. In comparison, MC-CON3 yielded a double coumarin derivative at the C-3 and C-7 positions (Figure 11) producing a LOD of 4 pg (S/N = 5).

3.2. Detection of Steroid Hormones

Detection of steroid hormones and their metabolites are important in diagnosis of metabolic diseases. Several HPLC-FLD methods were described for the detection of steroid hormones. A study developed a method for monitoring progesterone and 17-hydroxyprogesterone in the serum from pregnant women. The quantification employed fluorescent derivatization using 4,4-difluoro-5,7-dimethyl-4-bora-3a,4adiaza-s-indacene-3-propionohydrazide (BODIPYTM FL hydrazide) [71] (Figure 12). The derivatization was carried out in ethanol at room temperature (about 22 °C) for 15 h. This derivatization method was reported to be 50 times faster than that using dansyl hydrazine. The LODs for progesterone, 17-hydroxyprogesterone, dehydroepiandrosterone, androstenedione, testosterone and 17-methyltestosterone were in the range of 550–3700 fmol per 10 µL injection (S/N = 5).
The derivatization reagent 1-AN was used by Shimada et al. to determine the endogenous steroid pregnenolone in Wistar and Sprague–Dawley rat brain samples [46]. The samples were homogenized in isotonic saline then deproteinized with methanol, before subjected to sequential steps of extraction and derivatization. The samples were derivatized with 1-AN (Figure 13) and the excess reagent was removed by purification, carried out on two successive silica gel columns. The 3β-hydroxy-16-methylpregna-5,16-dien-20-one was used as an internal standard.
Several steroids in animal tissue were detected in another study using ultraviolet, fluorometric, and electrochemical detectors [80]. The study demonstrated the selectivity of FLD in determination of estradiol by exploiting its fluorescence emission, although it was eluted with the same fraction containing other steroids and their respective metabolites. Extraction with methanol allowed the separation of acidic corticosteroids (diethylstilbestrol, estradiol, zeranol/zearalenone, and their metabolites) from their neutral anabolic counterparts (testosterone, trenbolone and progesterone).
Urine is the best source for the estimation of estrogen concentrations, since they are primarily excreted renally as glucuronides and sulfates. Previous studies used urine samples for the determination of estrogen levels in their studies, albeit with different extraction methods [42,81]. Mao et al. used chemical hydrolysis in methanol and concentrated hydrochloric acid at 70 °C for 1 h to release the conjugation before SPE sample preparation, whereas Kumar et al. used a fabric phase sorptive extraction (FBSE) procedure, which offered shorter sample preparation times and 400 times higher sorbent loading. This method achieved a lower detection limit and analysis time, proving to be greener and more economical. The LODs for β-estradiol, 17α-ethinylestradiol, and bisphenol A were 20 pg/mL, 36 pg/mL, and 42 pg/mL, respectively.
In another study, Mao et al. used p-nitrobenzoyl chloride at 25 °C as a derivatization reagent, which can easily react with the hydroxyl and phenolic hydroxyl groups of organic chemicals (Figure 14) without the need for a catalyst [42]. Moreover, 4-nonylphenol, bisphenol A (BPA), 17α-ethinylestradiol, and three endogenic estrogens, including 17α-estradiol, 17β-estradiol, and estriol, were determined in urine samples collected from 20 healthy volunteers. Samples were hydrolyzed with HCl and subjected to SPE purification. Separation was performed on a C18 column with gradient elution using acetonitrile and water as a mobile phase. The LODs of the method were 2.7 µg/L for BPA and 17β-estradiol, 2.9 µg/L for 4-nonylphenol, 4.6 µg/L for 17α-estradiol and 17α-ethinylestradiol, and 8.3 µg/L for estriol.
A recent study examined the determination of estrone (E1), 17β-estradiol (E2), and estriol (E3) and their conjugated metabolites levels in cow and river buffalo meat [32]. Samples were extracted with methanol, enzymatically deconjugated and purified by C18 SPE before they are analyzed by HPLC-FLD. The effect of temperature on the studied steroid concentrations was also investigated and it was shown that heating processes was not able to significantly affect the level of phenolic estrogens in meat.
Estrogens in human urine samples were determined by HPLC-FLD following vortex-assisted dispersive liquid–liquid microextraction (VA-DLLME). Fine droplets of nonanoic acid floating on the top of sample solution were used to extract the estrogens using vortex-mix to assist the dispersion of the extraction solvent into the aqueous sample. Derivatization was not required in this work as the high extraction efficiency of DLLME improved the sensitivity and shortened the analysis time. LOD values were 0.01 ng/ml for E3, 0.01 ng/mL for βE2, and 0.06 ng/mL for E1, respectively [82].
The abuse of anabolic steroids has gained worldwide concerns, as frequent high doses can irreversibly affect the endocrine system, mineral metabolism, and may result in hepatic carcinomas [26]. Therefore, several committees have prohibited or imposed strict rules on their use for illegal purposes, such as increasing performance activity for athletes and stimulating meat production in cattle and poultry. Amin et al. used micellar chromatography with the detergent solution as the mobile phase to detect testosterone and bolasterone in human urine samples [26]. The method made use of fluorescence by means of energy transfer from the aromatic carbonyls in the anabolic steroids to the terbium ion in micellar media. No sample preparation was required and urine samples were injected directly onto the HPLC column. Excitation of terbium by means of energy transfer from steroids resulted in 183-fold fluorescence enhancement. The detection limits were 10 ng/200 µL injection volume for testosterone and 2 ng/200 µL for bolasterone.

3.3. Detection of Endocrine Disruptive Chemicals (EDCs)

The analysis and detection of steroid blood levels is vital for the investigation of food safety and effect on health [42,83]. Many studies have reported the presence of synthetic steroids in our daily food, both from plant and animal sources [61,84,85,86]. BPA, an industrial chemical, was found in biological fluids because of its ability to leach into food or liquids or through dental sealants into patient’s saliva [32,42,61,62,63]. One of the reasons behind their existence is that farmers increase their profit by using endocrine disruptive chemicals (EDCs) to support the feed conversion and growth rate in animals. Substances with hormonal actions are prohibited in the European community for use in animals intended for meat production due to their possible toxic effects on public health [83].
When bound to human estrogen receptors, they can stimulate the transcriptional activity of various estrogen receptor subtypes. The increase in levels of estrogen may be linked to the possibility of cancer occurrence among meat consumers [85].
In addition, studies have proved the ability of BPA to cross the placenta and blood brain barrier, in turn affecting the endocrine organs in animals and humans. This includes increasing prostate size, decreasing the number of produced sperms, and causing early puberty in females, in addition to effects on sexual differentiation [62,87]. Therefore, several HPLC-FLD methods were developed and used for quantification of EDC’s.
A sensitive HPLC method was developed for quantification of BPA and eight compounds of alkylphenol [59]. The alkylphenols assessed were; 4-sec-butylphenol, 2-tert-butylphenol, 3-tert-butylphenol, 4-tert-butylphenol, 4-n-pentylphenol, 4-tert-pentylphenol, 4-n-hexylphenol, and 4-n-heptylphenol. Derivatization was done using 2-(4-carboxyphenyl)-5,6-dimethylbenzimidazole (CDB) at 40 °C for 60 min. A C18 stationary phase was used for separation. The reported detection limits were in the range of 0.1–10.0 pg/mL. The method was applied to determination of bisphenol A in mother and infant rat serum samples.
The fluorescent reagent 4-(4,5-diphenyl-1H-imidazol-2-yl) benzoyl chloride (DIB-Cl) (Figure 15) was used by Sun et al. to detect EDC’s. To the evaporated sample residue, DIB-Cl suspension in acetonitrile and triethylamine in acetonitrile were added and reacted at room temperature [63].
The study determined BPA in rat brain samples using HPLC-FLD coupled with a microdialysis [63]. A microdialysis probe was inserted into the hypothalamus of rat brains and artificial cerebrospinal fluid was used for perfusion. After the administration of a single intravenous or oral dose of BPA, concentrations were monitored in brain and plasma for 8 h. The obtained data proved that BPA could penetrate the blood brain barrier. The LOD of BPA was 0.3 ppb in 60 µL brain microdialysate at (S/N = 3).
Kuroda et al. used a similar method for determination of BPA in human blood serum and ascitic fluid samples. Samples were extracted by LLE using chloroform [62]. The LOD of BPA for both samples was 0.04 ppb at (S/N = 3). Human breast milk was also used to investigate the presence of BPA employing DIB-Cl as a fluorescent derivatizing agent [61]. Two steps of LLE were applied, and two C18 columns were used to separate DIB-BPA from the endogenous material in breast milk. The detection limit in 23 samples of healthy lactating women was 0.11 ng/mL at (S/N = 3).
The chromatographic conditions, sample preparation and detection limits of the HPLC-FLD methods that were employed in the steroid studies reviewed in this article are summarized and presented in Table 2.

4. Pharmaceutical Applications

Due to its simplicity and versatility, HPLC has become a cornerstone tool in pharmaceutical and biomedical analysis. HPLC is routinely used in drug discovery, development, and manufacturing, and routine assessment for the identification and quantification of drugs, both as active pharmaceutical ingredients and within their formulations [106]. In addition, it is essential for carrying out product characterizations, including assaying active pharmaceutical ingredients and profiling impurities [107], as well as degradation products generated by accelerated aging [108]. Moreover, the development of formulations requires studying dissolution properties, stability, and content uniformity of solid dosage forms, as well as conducting assays for the pharmaceutical formulations all of which are carried out using HPLC [106,109]. Although UV is the common detector for these applications, FLD was employed in several assays particularly in steroid analysis due to its sensitivity and selectivity as discussed below.
One area employing HPLC-FLD for steroid detection is investigating their pharmacokinetic–pharmacodynamic (PK–PD) properties. Vesser et al. [69] described HPLC-FLD method for quantification of the neurosteroids alfaxalone and pregnanolone in plasma samples (Figure 16). The method involved sample pretreatment with acetonitrile to precipitate plasma proteins, derivatization with dansyl hydrazine, and LLE with dichloromethane. Analysis was done using isocratic reverse phase HPLC on a 3 µM Microsphere C18 column. The limit of detection using 50 µL plasma sample was 10 ng/mL.
Butane acid-(5-androsten-17-one-3ß-ol)-diester (A1998), a novel dehydroepiandrosterone (DHEA) derivative antiarrhythmic steroid was successfully quantified by HPLC-FLD. Although LC–MS has the required sensitivity for quantifying low levels of steroids, A1998 is not ionizable and hard to aerosolize and therefore was not suitable for MS detection. HPLC-FLD was therefore ideal to study its PK–PD properties in rat plasma. A mixture of ZnSO4 solution and acetonitrile were used for sample preparation to precipitate sample plasma proteins [70] and dansyl hydrazine was used as a derivatizing agent using trifluoroacetic acid (TFA) as a catalyst to enhance the yield. A C18 reverse-phase column (150 mm × 4.6 mm, 5 mm) was used for the analysis and the limit of detection was 25 ng/mL (S/N = 10) using 200 μL of plasma.
Another area employing HPLC-FLD for detection of steroids is for development and characterization of drug formulation. In a recent study HPLC-FLD was used to characterize polypeptide-corticosteroid conjugates as a topical treatment approach to treat psoriasis [110]. The study successfully synthesized and characterized a pH-responsive biodegradable poly-L-glutamic acid-fluocinolone acetonide conjugate as a controlled release treatment to reduce skin inflammation. The method employed C-18 LiChrospher analytical column (125 × 4.0 mm), with a flow rate of 1 mL/min, the using a mobile phase of H2O (1% orthophosphoric acid)/ACN (60/40) [110].
Due to the low administered dose of ethinyl estradiol, which can be as low as 10 µg/mL, methods employ derivatization or require composite of samples of up to 10 tablets to improve the quantification limits in performing uniformity and dissolution tests [26,111]. Nonetheless, ethinyl estradiol is a native fluorescent, and it is therefore simpler to measure using direct methods. Strusiak et al. used reversed phase HPLC-FLD with a mobile phase of 0.05 M aqueous KH2PO4-methyl alcohol (2:3) [112] for measuring ethinyl estradiol in tablets. The method required minimal sample preparation and can be applied to measure ethinyl estradiol in combination with other compounds, such as methyl testosterone and progesterone.
Glowka et al. measured triamcinolone (TMC) in the presence of endogenous corticosteroids in human plasma, after its administration as tablets to healthy volunteers [88]. The samples were subjected to SPE before derivatization with 9-anthroyl nitrile (9-AN) in a basic mixture. An isocratic RP-HPLC was performed using a C18 column and a mixture of acetonitrile and 0.3 mM ortho-phosphoric acid as the mobile phase. The method recorded LOD of 1.0 ng/mL (S/N = 6/1).
The use of HPLC-FLD for the analysis of commercial estrogens using post-column online photochemical derivatization was investigated by Gatti et al. [90]. Separation of conjugated and unconjugated estrogens were optimized using a Phenomenex Prodigy column 5 ODS2, and a mobile phase consisting of a TEA phosphate buffer (pH 4.0; 0.05 M) and acetonitrile at different concentrations and flow rates. The addition of photochemical derivatization to the HPLC-FLD method recorded a 1000 times higher sensitivity than UV. The LODs of conjugated estrogens were between 0.03 and 0.19 pmol (S/N = 3). This method provided useful information regarding quality of estrogen in raw materials and conjugated estrogens in dosage forms.
HPLC coupled with UV/FLD was used by Arsova-Sarafinovska et al. for determination of ethinylestradiol and levonorgestrel, present at very low levels in a low-dose oral contraceptive. The method employed Purospher® reversed phase column (150 × 4.0 mm I.D., particle size 5 μm) and a 47%: 53% acetonitrile: water (v/v). Drospirenone, was used as internal standard. FLD showed excellent detection limit for ethinyl estradiol (0.65 ng/mL) which was 83 times lower compared to that produced by UV [12].
Similarly, Silva et al. used HPLC coupled with UV/FLD to quantify ethinyl estradiol and the synthetic progestin drospirenone in coated tablets [73]. The method conditions were comparable to that developed by Arsova-Sarafinovska et al. but reported higher detection limits using FLD (20 ng/mL) [89]. The method was fully validated and was found suitable for routine use in quality control laboratories.

5. Environmental and Food Applications

Steroids can be found in various environmental samples, including water, plant, and animal samples. Water is the transporter medium and reservoir for various synthetic steroids, whereas plants were found to contain many different natural steroids [17,52,93,94,95], which can be classified according to their biological relevance. For example, plant physiological steroids can be present as hormones (e.g., brassinolide) and pheromones (e.g., antheridiol), whereas plant allelochemical substances are biologically related to animal hormones such as vertebrate hormones (progesterone) and insect hormones (ecdysone). Other plant steroids can act as protective steroids (e.g., digitoxigenin, solanidine) [51,99,113].
Exogenous estrogens can enter the human body through sewage discharge and animal waste disposal. It has been reported that the discharge of industrial and municipal wastewater can introduce up to 60% of the manufactured surfactant alkylphenol ethoxylate (APE) [42]. APE can degrade to more toxic products by sewage treatment plants (STP), such as nonylphenol (NP), octylphenol (OP), and their metabolites [28], which can cause toxicity at a low concentration range (3.7–6.0 μg/L). Sample preparation procedures and analytical methods used for analysis of steroid hormones in environmental and food samples have been recently reviewed[114].
Many studies used HPLC-FLD for the analysis of steroids in environmental samples due to its sensitivity and selectivity. Studies investigated the steroid content in samples collected from drinking water, wastewater, river water, tap surface water, and mineral and underground river water [17,20,37,52,92,93,94,95]. Steroids were also analyzed in samples taken from effluent, influent, and sediment wastewater in treatment plant [41]. Other studies have collected samples from fish, chicken, cows, river buffalos, and measured their steroid content [31,73,95].
Lu et al. have analyzed poultry litters samples to detect estrogens 17β-estradiol (E2) and 17α-ethinylestradiol (EE2). The samples were extracted with a mixture of dichloromethane and methanol followed by a clean-up procedure using normal-phase open column chromatography to remove lipid contents. The detection limits for E2 and EE2 were 4.0 μg/kg and 2.6 μg/kg, respectively [91].
In another study, a method was developed to detect four endocrine disruptors: 17-estradiol, estriol, bisphenol A, and 17-ethinylestradiol in environmental water using online monolithic SPME with HPLC-FLD [96]. The speed of the analysis was improved using the extraction medium, poly(acrylamide-vinylpyridine-N,N methylene bisacrylamide) monolith, which was synthesized inside a polyether ether ketone (PEEK) tube. The method was applied successfully to the analysis of several types of environmental water samples. Low detection limits in the range of 0.006–0.10 ng/mL (S/N = 3) were achieved for the target compounds.
Another method based on SPME monolithic extraction media coupled with HPLC-FLD was also employed by Fan et al. to determine bisphenol A and 17α-ethinylestradiol in environmental water samples. The method achieved high extraction efficiency and produced a detection limit of 0.064 and 0.12 ng/mL for bisphenol A and 17α-ethinylestradiol, respectively. The method was applied successfully to the analysis of environmental water samples from different sources demonstrating the robustness of the method in real settings [98].
Online extraction was also employed by another group using SPE with HPLC-FLD for the quantification of selected EDCs in water. Ying et al. tested three types of SPE cartridges to preconcentrate nonylphenols, octylphenols, POE(1-2) nonyl phenol and bisphenol A as well as hormone steroids estradiol, estriol, ethinylestradiol, and ethinylestradiol 3-methyl ether in deionized water. The highest recoveries were obtained with PLRP-s and PRP-1 polymer cartridges compared to C18 cartridges. The method was applied successfully on a river water sample spiked with the EDCs. The detection limits ranged between 20 and 50 ng/L [97].
Another recent study investigating river water samples by HPLC-FLD was carried out by Ali et al. [34]. The study employed a derivatization procedure, which targets the ethinyl group rather than the phenolic group to react with an aryl halide in the presence of palladium (Pd) and copper catalysts. The fluorescent aryl halide labeling reagent used in this reaction is 4-(4,5-diphenyl-1H-imidazol-2-yl) iodobenzene (DIB-I); was prepared by the same group. The method achieved a low detection limit (S/N = 3) of 7.4 ng/L [34].
Zhang et al. determined eight EDCs in wastewater using precolumn derivatization and SPE-HPLC-FLD. In the study 4-octylphenol, 4-nonylphenol, bisphenol A, diethylstilbestrol, estrone, 17α-ethinylestradiol, 17β-estradiol, and estriol were derivatized with 10-ethyl-acridone-2-sulfonyl chloride (EASC). The method was successfully applied to the determination of the EDC compounds in wastewater samples with a significant improvement in sensitivity compared to traditional HPLC methods. The LODs of the method were between 0.3 and 0.7 ng/L [52].
Four trace estrogens were determined in different environmental samples using solid–liquid extraction/auto SPE and HPLC-FLD method developed by Liu et al. The LODs of the method were down to 1.1 × 10−2 (estrone), 4.11 × 10−4 (estradiol), 5.2 × 10−3 (estriol), and 7.18 × 10−3 µg/L (17α-ethynyl estradiol)[21]. The study that quantified estrogens in samples collected at livestock farms and a major river in Northeast China, warned that high levels were observed and that estrogenic fate and contamination should be investigated in the region [21]. The same HPLC-FLD method was employed in two recent studies investigating steroid-degrading strains of bacteria as an approach for tackling increased environmental pollution of steroids [115,116].
Municipal wastewater treatment plants were sampled to investigate the presence of the steroids nonylphenol (NP), octylphenol (OP), nonylphenol polyethoxylates (NPE), 17α-estradiol (E2), and ethinylestradiol (EE2) [5]. SPE disks were used for extraction, followed by HPLC coupled with FLD or competitive radioimmunoassay (RIA). The recorded LODs for HPLC-FLD were 11, 2, and 52 ng/L of water for NP, OP, and NPE, respectively, but were higher than those obtained with HPLC-RIA for E2 and EE2, recorded as 107 and 53 pg/L, respectively [5]. However, safety is a major limitation for routine use of RIA.
Lima et al. developed a low-cost fast method using DLLME with HPLC-FLD for quantification of estrogens in water. The method produced high recoveries and detection limits of 2.0 ng/L and 6.5 ng/L for E2 and EE2, respectively. The method that is suitable for analyzing large number of samples and uses low amount of extraction solvent was applied successfully to the analysis of tap, surface, and waste water samples [37].
The adsorption of estrogens on different types of powdered activated carbon (PAC) was investigated by Yoon et al. using HPLC-FLD. The study demonstrated the feasibility of using PAC for removal of >99% of BPA, 17 β-estradiol (E2), and 17α-ethynyl estradiol (EE2) from raw drinking waters at least at initial concentration of 500 ng/L and higher [94]. PAC type, dosage, and the presence or absence of natural organic matter determined the percentage of steroid removal. The removal was improved by increasing both PAC dose and contact time. The HPLC-FLD method had detection limits of 0.88, 1.15, and 0.96 nM for BPA, E2, and EE2, respectively.
Kozłowska-Tylingo et al. compared the different methods and extraction procedures for the analysis of five estrogens in drinking water and wastewater samples. Extraction of 17α-ethinylestradiol, estrone, estradiol, estriol, and progesterone produced the best recoveries using extraction disks compared to C18 extraction columns. SPE–LC–MS/MS produced the best sensitivities compared to other methods employing UV and FLD [19].
Zhang et al. investigated ionic liquid based pretreatment for quantification of three steroids in water samples by HPLC-FLD. The sample pretreatment has the advantages of being safer and environmentally friendly since no organic solvents is used. The method based on ionic liquid-based homogeneous liquid–liquid microextraction (IF-IHLME) produced detection limits of 0.04, 0.05, and 0.05 ng/mL for 17-α-estradiol, 17-β-estradiol-benzoate, and quinestrol, respectively [101].
Estrogens and their metabolites were also quantified in a study by Guedes-Alonso et al. using molecularly imprinted (MIP) solid-phase extraction coupled with UPLC-FLD. The method was used to analyze wastewater from a veterinary hospital as well as influent and effluent samples of a wastewater treatment plant. The limits of detection were between 0.18 and 0.45 ng/mL [41].
The occurrence of trenbolone acetate metabolites, which is widely used to promote the growth of beef cattle, was evaluated in samples from a beef cattle feedlot discharge and in river water upstream and downstream from the discharge [95]. HPLC-FLD using methanol and water as the mobile phase in gradient flow and C18 column with dimensions of 4.6 mm × 250 mm was employed to quantify 17α- and 17β-trenbolone in the samples. The recorded LOD for was around 4 ng/L. The same metabolites were also quantified in bovine muscle, and liver samples by SPE-HPLC-FLD [33]. In the study, Yoshioka et al. examined several extraction solvents, such as methanol, diethyl ether, acetonitrile, and ethyl acetate, with the latter resulting in the cleanest extracts [33]. LODs in liver and bovine muscle samples were 0.2 and 1.0 ng/g, respectively.
Determination of natural and synthetic estrogenic compounds in dairy products was carried out using hollow fiber liquid-phase microextraction coupled to HPLC-FLD/PDA. Estriol, 17β-estradiol, 17α-estradiol, estrone, 17α-ethinylestradiol, diethylstilbestrol, dienestrol, and hexestrol) and 2-hydroxyestradiol were quantified in natural yogurt, a probiotic yogurt-type drink and cheese. The method produced LODs in the low lg/kg or lg/L range with good precision and accuracy [36].
Ultrasonic assisted dispersive liquid–liquid microextraction (UA-DLLME) method coupled with 9-phenanthreneboronic acid derivatization was used for the quantification of brassinolide a plant hormone by HPLC-FLD. Different extraction and degravitation conditions were investigated and optimized. The method was applied for brassinolide determination in Arabidopsis thaliana, Daucus carota and Brassica campestris L. leaves with higher sensitivity than similar reported methods. LOD of the method was 8.0 ng/L [99].
A study by Ito et al. used HPLC-FLD method for the quantification of different phytosterols and cholesterol in land plants and marine algae after derivatization with 1-anthroyl nitrile. The method used a C-30 column and an isocratic mobile phase of acetone/acetonitrile/hexane/water (71:20:4:5, v/v) at 1.0 mL min−1. The LODs for the different sterols were between 0.25 and 0.40 μg/mL [117].
Zearalenone an estrogenic mycotoxin that contaminates cereal crops was quantified in edible oil by an automated SPE–HPLC-FLD. Dryzmala et al. employed a SPE for reversible hydrazone formation by zearalenone and a hydrazine moiety covalently attached to a solid phase. The results of the HPLC-FLD method were found in agreement with an isotopic dilution LC–MS/MS method. The LOD of the method was 10 µg/kg [100].
Alkylphenol polyethoxylates are nonionic surfactants that act as EDCs and can exert estrogenic effects on fish [118,119]. To assess their contamination in fish and shellfish samples, Tsuda et al. developed a simple and highly sensitive HPLC method [32]. The method was used to detect 4-nonylphenol (NP), 4-nonylphenol mono-(NP1EO), diethoxylates (NP2EO), bisphenol A (BPA), 4-tert-butylphenol (BP), and 4-tert-octylphenol (OP). Acetonitrile was used for extraction, followed by clean-up with a magnesia silica gel adsorbent, Florisil PR, before analysis with HPLC-FLD. The mobile phase was water and methanol with gradient flow. The detection limit was 2 ng/g for NP, NP1EO, and NP2EO, and 1 ng/g for BPA, BP, and OP.
Similarly, Datta et al. examined fish tissue for presence of alkylphenolic compounds using an HPLC-FLD method [28]. Extraction of ground fish tissue was conducted using pressurized fluid extraction, followed by purification on amino propyl silica cartridges. Hexane and ethanol were used as the mobile phase. The recorded LOD was 4–15 ng/mL.

6. Conclusions

This review summarizes the various HPLC-FLD methods reported on in the literature for the quantification of steroids in clinical, pharmaceutical, food, and environmental samples. Researchers in different fields employed HPLC-FLD to meet the needs of their applications in terms of sensitivity and selectivity. Since most steroids lack inherited fluorescent properties, various fluorophore labels were introduced to target steroids through different derivatization approaches to enhance steroids quantification. Reaction schemes included in this review illustrated the chemical coupling of the fluorescent label to steroid compounds and highlighted how different steroids can be selectivity targeted depending on the functional group present in the steroid. It was shown that derivatization approaches vary according to speed, sensitivity, steroid type, the need for sample preparation/purification, and the functional group targeted, therefore offering researchers a selection of options that suit their applications. For this purpose, a table that summarizes the various derivatization approaches used and specific conditions reported on is included in this review, to help researchers quickly compare between these approaches. Another table focuses on the chromatographic and analytical method conditions, highlighting performance characteristics, such as LOD and LLOQ, and a sample matrix, which are critical for choosing the most relevant method, depending on the steroid levels and sample type. Most of the HPLC-FLD methods reported were applied in the clinical field and its related research, which is expected, due to the need for higher selectivity and sensitivity that is relevant to the complex nature of the matrix and low steroid levels of the samples. HPLC-FLD methods also found applications in the pharmaceutical and environmental fields, where sample preparation was mainly employed to enrich the low levels of steroids found in less complex sample matrices, such as water. Overall, this review provides a comprehensive summary of the various methods and procedures which are reported in the literature that can be applied to quantify steroids by HPLC-FLD.

Author Contributions

Conceptualization, A.Z.; methodology, A.Z.; investigation, A.Z. and F.H.; writing—original draft preparation, A.Z., F.H., S.A. and S.H.; writing—review and editing, A.Z., F.H., S.A. and S.H.; supervision, A.Z.; project administration, A.Z.; funding acquisition, A.Z. and S.A. All authors have read and agreed to the published version of the manuscript.

Funding

The publication of this research was supported in part by Deanship of Scientific Research, Jordan University of Science and Technology, Irbid, Jordan.

Conflicts of Interest

The authors declare no conflict of interest.

References

  1. Benc, D.; Icin, T.; Pejakovic, S.; Bajkin, I.; Prodanovic, J.; Vukovic, B.; Novakovic-Paro, J.; Tomic-Naglic, D.; Zvezdin, B.; Mitrovic, M. Glucocorticoid therapy and adrenal suppression. Med. Pregl. 2017, 70, 465–471. [Google Scholar] [CrossRef]
  2. Rudolph, L.M.; Cornil, C.A.; Mittelman-Smith, M.A.; Rainville, J.R.; Remage-Healey, L.; Sinchak, K.; Micevych, P.E. Actions of steroids: New neurotransmitters. J. Neurosci. 2016, 36, 11449–11458. [Google Scholar] [CrossRef] [PubMed] [Green Version]
  3. Cole, T.J.; Short, K.L.; Hooper, S.B. The science of steroids. Semin. Fetal Neonatal Med. 2019, 24, 170–175. [Google Scholar] [CrossRef] [PubMed]
  4. Makin, H.L.J.; Honour, J.W.; Shackleton, C.H.L.; Griffiths, W.J. General Methods for the Extraction, Purification, and Measurement of Steroids by Chromatography and Mass Spectrometry. Steroid Anal. 2010, 163–282. [Google Scholar] [CrossRef]
  5. Snyder, S.A.; Keith, T.L.; Verbrugge, D.A.; Snyder, E.M.; Gross, T.S.; Kannan, K.; Giesy, J.P. Analytical methods for detection of selected estrogenic compounds in aqueous mixtures. Environ. Sci. Technol. 1999, 33, 2814–2820. [Google Scholar] [CrossRef]
  6. Varriale, A.; Pennacchio, A.; Pinto, G.; Oliviero, G.; D’Errico, S.; Majoli, A.; Scala, A.; Capo, A.; Pennacchio, A.; Di Giovanni, S.; et al. A Fluorescence Polarization Assay to Detect Steroid Hormone Traces in Milk. J. Agric. Food Chem. 2015, 63, 9159–9164. [Google Scholar] [CrossRef] [PubMed]
  7. Xiao, X.Y.; McCalley, D.V.; McEvoy, J. Analysis of estrogens in river water and effluents using solid-phase extraction and gas chromatography–negative chemical ionisation mass spectrometry of the pentafluorobenzoyl derivatives. J. Chromatogr. A 2001, 923, 195–204. [Google Scholar] [CrossRef]
  8. Shackleton, C. Clinical steroid mass spectrometry: A 45-year history culminating in HPLC-MS/MS becoming an essential tool for patient diagnosis. J. Steroid Biochem. Mol. Biol. 2010, 121, 481–490. [Google Scholar] [CrossRef] [PubMed]
  9. Appelblad, P.; Irgum, K. Separation and detection of neuroactive steroids from biological matrices. J. Chromatogr. A 2002, 955, 151–182. [Google Scholar] [CrossRef]
  10. Patel, D.; Namdev, K.K.; Verma, K.; Gururani, R.; Tiwari, A.; Kumar, P.; Dewangan, R.P.; Wabaidur, S.M.; Sharma, S.; Dwivedi, J. HPLC-UV and spectrofluorimetric methods for simultaneous estimation of fluticasone furoate and vilanterol in rabbit plasma: A pharmacokinetic study. J. Chromatogr. B Anal. Technol. Biomed. Life Sci. 2019, 1132, 121842. [Google Scholar] [CrossRef] [PubMed]
  11. Yilmaz, B.; Kadioglu, Y. Determination of 17 β-estradiol in pharmaceutical preparation by UV spectrophotometry and high performance liquid chromatography methods. Arab. J. Chem. 2017, 10, S1422–S1428. [Google Scholar] [CrossRef]
  12. Arsova-Sarafinovska, Z.; Ugrinova, L.; Starkoska, K.; Djordjev, D.; Dimitrovska, A. Determination of ethinylestradiol and levonorgestrel in oral contraceptives with HPLC methods with UV detection and UV/fluorescence detection. Maced. Pharm. Bull. 2006, 52, 9–16. [Google Scholar] [CrossRef]
  13. Arsova-sarafinovska, Z.; Polozhani, A.; Dimitrovska, A. Determination of ethinylestradiol and drospirenone in oral contraceptives with HPLC method with UV and fluorescence detection Determination of ethinylestradiol and drospirenone in oral contraceptives with HPLC method with UV and fluorescence detection. Arch. Public Health 2009, 1, 67. [Google Scholar]
  14. Zhang, G.; Yang, Y.; Lu, Y.; Chen, Y.; Li, W.; Wang, S. Effect of heavy metal ions on steroid estrogen removal and transport in SAT using DLLME as a detection method of steroid estrogen. Water (Switzerland) 2020, 12, 589. [Google Scholar] [CrossRef] [Green Version]
  15. Nozaki, O. Steroid analysis for medical diagnosis. J. Chromatogr. A 2001, 935, 267–278. [Google Scholar] [CrossRef]
  16. Fang, T.Y.; Praveena, S.M.; de Burbure, C.; Aris, A.Z.; Ismail, S.N.S.; Rasdi, I. Analytical techniques for steroid estrogens in water samples—A review. Chemosphere 2016, 165, 358–368. [Google Scholar] [CrossRef] [PubMed]
  17. De Liz, M.V.; Do Amaral, B.; Stets, S.; Nagata, N.; Peralta-Zamora, P. Sensitive estrogens determination in wastewater samples by HPLC and fluorescence detection. J. Braz. Chem. Soc. 2017, 28, 1453–1460. [Google Scholar] [CrossRef]
  18. Barreiros, L.; Queiroz, J.F.; Magalhães, L.M.; Silva, A.M.T.; Segundo, M.A. Analysis of 17-β-estradiol and 17-α-ethinylestradiol in biological and environmental matrices—A review. Microchem. J. 2016, 126, 243–262. [Google Scholar] [CrossRef]
  19. Kozlowska-Tylingo, K.; Namieśnik, J.; Górecki, T. Determination of estrogenic endocrine disruptors in environmental samples-a review of chromatographic methods. Crit. Rev. Anal. Chem. 2010, 40, 194–201. [Google Scholar] [CrossRef]
  20. Kozłowska-Tylingo, K.; Konieczka, P.; Gustaw, E.; Wasik, A.; Namieśnik, J. Comparison of High Performance Liquid Chromatography Methods with Different Detectors for Determination of Steroid Hormones in Aqueous Matrices. Anal. Lett. 2014, 47, 1449–1464. [Google Scholar] [CrossRef]
  21. Liu, N.; Shi, Y.E.; Li, M.; Zhang, T.D.; Gao, S. Simultaneous determination of four trace estrogens in feces, leachate, tap and groundwater using solid-liquid extraction/auto solid-phase extraction and high-performance liquid chromatography with fluorescence detection. J. Sep. Sci. 2015, 38, 3494–3501. [Google Scholar] [CrossRef] [PubMed]
  22. Que, A.H.; Palm, A.; Baker, A.G.; Novotny, M.V. Steroid profiles determined by capillary electrochromatography, laser-induced fluorescence detection and electrospray—Mass spectrometry. J. Chromatogr. A 2000, 887, 379–391. [Google Scholar] [CrossRef]
  23. Aufartová, J.; Mahugo-Santana, C.; Sosa-Ferrera, Z.; Santana-Rodríguez, J.J.; Nováková, L.; Solich, P. Determination of steroid hormones in biological and environmental samples using green microextraction techniques: An overview. Anal. Chim. Acta 2011, 704, 33–46. [Google Scholar] [CrossRef] [PubMed]
  24. Toldrá, F.; Reig, M. Methods for rapid detection of chemical and veterinary drug residues in animal foods. Trends Food Sci. Technol. 2006, 17, 482–489. [Google Scholar] [CrossRef]
  25. Noppe, H.; Le Bizec, B.; Verheyden, K.; De Brabander, H.F. Novel analytical methods for the determination of steroid hormones in edible matrices. Anal. Chim. Acta 2008, 611, 1–16. [Google Scholar] [CrossRef] [PubMed]
  26. Amin, M.; Harrington, K.; Von Wandruszka, R. Determination of Steroids in Urine by Micellar HPLC with Detection by Sensitized Terbium Fluorescence. Anal. Chem. 1993, 65, 2346–2351. [Google Scholar] [CrossRef] [PubMed]
  27. Shimada, K.; Nakagi, T. Studies on neurosteroids. IV. Quantitative determination of pregnenolone in rat brains using high-performance liquid chromatography. J. Liq. Chromatogr. Relat. Technol. 1996, 19, 2593–2602. [Google Scholar] [CrossRef]
  28. Datta, S.; Loyo-Rosales, J.E.; Rice, C.P. A simple method for the determination of trace levels of alkylphenolic compounds in fish tissue using pressurized fluid extraction, solid phase cleanup, and high-performance liquid chromatography fluorescence detection. J. Agric. Food Chem. 2002, 50, 1350–1354. [Google Scholar] [CrossRef] [PubMed]
  29. Wu, H.; Li, G.; Liu, S.; Hu, N.; Geng, D.; Chen, G.; Sun, Z.; Zhao, X.; Xia, L.; You, J. Monitoring the contents of six steroidal and phenolic endocrine disrupting chemicals in chicken, fish and aquaculture pond water samples using pre-column derivatization and dispersive liquid-liquid microextraction with the aid of experimental design metho. Food Chem. 2016, 192, 98–106. [Google Scholar] [CrossRef] [PubMed]
  30. Scarth, J.; Akre, C.; van Ginkel, L.; le Bizec, B.; de Brabander, H.; Korth, W.; Points, J.; Teale, P.; Kay, J. Presence and metabolism of endogenous androgenic-anabolic steroid hormones in meat-producing animals: A review. Food Addit. Contam. Part A Chem. Anal. Control. Expo. Risk Assess. 2009, 26, 640–671. [Google Scholar] [CrossRef] [PubMed]
  31. Shahbazi, Y.; Malekinejad, H.; Tajik, H. Determination of naturally occurring estrogenic hormones in cow’s and river buffalo’s meat by HPLC-FLD method. J. Food Drug Anal. 2016, 24, 457–463. [Google Scholar] [CrossRef] [PubMed] [Green Version]
  32. Tsuda, T.; Suga, K.; Kaneda, E.; Ohsuga, M. Determination of 4-nonylphenol, nonylphenol monoethoxylate, nonylphenol diethoxylate and other alkylphenols in fish and shellfish by high-performance liquid chromatography with fluorescence detection. J. Chromatogr. B Biomed. Sci. Appl. 2000, 746, 305–309. [Google Scholar] [CrossRef]
  33. Yoshioka, N.; Akiyama, Y.; Takeda, N. Determination of α- and β-trenbolone in bovine muscle and liver by liquid chromatography with fluorescence detection. J. Chromatogr. B Biomed. Sci. Appl. 2000, 739, 363–367. [Google Scholar] [CrossRef]
  34. Görög, S. Advances in the analysis of steroid hormone drugs in pharmaceuticals and environmental samples (2004-2010). J. Pharm. Biomed. Anal. 2011, 55, 728–743. [Google Scholar] [CrossRef] [PubMed]
  35. Vallejo-Rodríguez, R.; Lopez-Lopez, A.; Saldarriaga-Noreña, H.; Murillo-Tovar, M.; Hernández-Mena, L. Optimization of Analytical Conditions to Determine Steroids and Pharmaceuticals Drugs in Water Samples Using Solid Phase-Extraction and HPLC. Am. J. Anal. Chem. 2011, 02, 863–870. [Google Scholar] [CrossRef]
  36. Socas-Rodríguez, B.; Asensio-Ramos, M.; Hernández-Borges, J.; Rodríguez-Delgado, M.Á. Analysis of oestrogenic compounds in dairy products by hollow-fibre liquid-phase microextraction coupled to liquid chromatography. Food Chem. 2014, 149, 319–325. [Google Scholar] [CrossRef] [PubMed]
  37. Lima, D.L.D.; Silva, C.P.; Otero, M.; Esteves, V.I. Low cost methodology for estrogens monitoring in water samples using dispersive liquid-liquid microextraction and HPLC with fluorescence detection. Talanta 2013, 115, 980–985. [Google Scholar] [CrossRef] [PubMed]
  38. Xiong, L.; Yan, P.; Chu, M.; Gao, Y.Q.; Li, W.H.; Yang, X.L. A rapid and simple HPLC–FLD screening method with QuEChERS as the sample treatment for the simultaneous monitoring of nine bisphenols in milk. Food Chem. 2018, 244, 371–377. [Google Scholar] [CrossRef] [PubMed]
  39. Sánchez-Guijo, A.; Hartmann, M.F.; Shi, L.; Remer, T.; Wudy, S.A. Determination of free cortisol and free cortisone in human urine by on-line turbulent flow chromatography coupled to fused-core chromatography-tandem mass spectrometry (TFC-HPLC-MS/MS). Anal. Bioanal. Chem. 2014, 406, 793–801. [Google Scholar] [CrossRef] [PubMed]
  40. Jiang, T.; Zhao, L.; Chu, B.; Feng, Q.; Yan, W.; Lin, J.M. Molecularly imprinted solid-phase extraction for the selective determination of 17β-estradiol in fishery samples with high performance liquid chromatography. Talanta 2009, 78, 442–447. [Google Scholar] [CrossRef] [PubMed]
  41. Guedes-Alonso, R.; Santana-Viera, S.; Sosa-Ferrera, Z.; Santana-Rodríguez, J.J. Molecularly imprinted solid-phase extraction coupled with ultra high performance liquid chromatography and fluorescence detection for the determination of estrogens and their metabolites in wastewater. J. Sep. Sci. 2015, 38, 3961–3968. [Google Scholar] [CrossRef] [PubMed]
  42. Mao, L.; Sun, C.; Zhang, H.; Li, Y.; Wu, D. Determination of environmental estrogens in human urine by high performance liquid chromatography after fluorescent derivatization with p-nitrobenzoyl chloride. Anal. Chim. Acta 2004, 522, 241–246. [Google Scholar] [CrossRef]
  43. Kurosawa, S.; Koike, T.; Yoshimura, T.; Kurosawa, T.; Tohma, M.; Chiba, H.; Kobayashi, K. Simultaneous determination of 18-oxygenated corticosteroids by high-performance liquid chromatography with fluorescence detection. J. Liq. Chromatogr. 1995, 18, 2383–2396. [Google Scholar] [CrossRef]
  44. Shimada, K.; Nonaka, M. Utility of cyclodextrin in mobile phase for high-performance liquid chromatographic separation of C21 steroids. J. Liq. Chromatogr. 1991, 14, 2109–2117. [Google Scholar] [CrossRef]
  45. Główka, F.K.; Kosicka, K.; Karaźniewicz-Łada, M. HPLC method for determination of fluorescence derivatives of cortisol, cortisone and their tetrahydro- and allo-tetrahydro-metabolites in biological fluids. J. Chromatogr. B Anal. Technol. Biomed. Life Sci. 2010, 878, 283–289. [Google Scholar] [CrossRef] [PubMed]
  46. Goto, J.; Goto, N.; Shamsa, F.; Saito, M.; Komatsu, S.; Suzaki, K.; Nambara, T. New sensitive derivatization of hydroxysteroids for high-performance liquid chromatography with fluorescence detection. Anal. Chim. Acta 1983, 147, 397–400. [Google Scholar] [CrossRef]
  47. Shibata, N.; Hayakawa, T.; Takada, K.; Hoshino, N.; Minouchi, T.; Yamaji, A. Simultaneous determination of glucocorticoids in plasma or urine by high-performance liquid chromatography with precolumn fluorimetric derivatization by 9-anthroyl nitrile. J. Chromatogr. B Biomed. Appl. 1998, 706, 191–199. [Google Scholar] [CrossRef]
  48. Haegele, A.D.; Wade, S.E. Ultrasensitive differential measurement of cortisol and cortisone in biological samples using fluorescent ester derivatives in normal phase hplc. J. Liq. Chromatogr. 1991, 14, 1133–1148. [Google Scholar] [CrossRef]
  49. Kosicka, K.; Siemiątkowska, A.; Szpera-Goździewicz, A.; Krzyścin, M.; Bręborowicz, G.; Główka, F. High-performance liquid chromatography methods for the analysis of endogenous cortisol and cortisone in human urine: Comparison of mass spectrometry and fluorescence detection. Ann. Clin. Biochem. 2019, 56, 82–89. [Google Scholar] [CrossRef] [PubMed]
  50. Neufeld, E.; Chayen, R.; Stern, N. Fluorescence derivatisation of urinary corticosteroids for high-performance liquid chromatographic analysis. J. Chromatogr. B Biomed. Appl. 1998, 718, 273–277. [Google Scholar] [CrossRef]
  51. Gamoh, K.; Omote, K.; Okamoto, N.; Takatsuto, S. High-performance liquid chromatography of brassinosteroids in plants with derivatization using 9-phenanthreneboronic acid. J. Chromatogr. A 1989, 469, 424–428. [Google Scholar] [CrossRef]
  52. Zhang, S.; You, J.; Sun, Z.; Song, C.; Ning, S.; Zhao, C.; Suo, Y. A sensitive method for extraction and determination of endocrine-disrupting compounds from wastewater using 10-ethyl-acridone-2-sulfonyl chloride as pre-column labeling reagent by high-performance liquid chromatography with fluorescence detection. Microchem. J. 2012, 103, 90–96. [Google Scholar] [CrossRef]
  53. Nozaki, O.; Ohata, T.; Ohba, Y.; Moriyama, H.; Kato, Y. Determination of serum cortisol by reversed-phase liquid chromatography using precolumn sulphuric acid-ethanol fluorescence derivatization and column switching. J. Chromatogr. B Biomed. Sci. Appl. 1991, 570, 1–11. [Google Scholar] [CrossRef]
  54. Nozaki, O.; Ohata, T.; Ohba, Y.; Moriyama, H.; Kato, Y. Determination of urinary free cortisol by high performance liquid chromatography with sulphuric acid–ethanol derivatization and column switching. Biomed. Chromatogr. 1992, 6, 109–114. [Google Scholar] [CrossRef]
  55. Sudo, A. Analysis of corticosterone in rat urine by high-performance liquid chromatography and fluorimetry using post-column reaction with sulphuric acid. J. Chromatogr. B Biomed. Sci. Appl. 1990, 528, 453–458. [Google Scholar] [CrossRef]
  56. Gao, W.; Xie, Q.; Jin, J.; Qiao, T.; Wang, H.; Chen, L.; Deng Huihua, H.; Lu, Z. HPLC-FLU detection of cortisol distribution in human hair. Clin. Biochem. 2010, 43, 677–682. [Google Scholar] [CrossRef] [PubMed]
  57. Saisho, Y.; Shimada, C.; Umeda, T. Determination of 7α-hydroxycholesterol in dog plasma by high- performance liquid chromatography with fluorescence detection. Anal. Biochem. 1998, 265, 361–367. [Google Scholar] [CrossRef] [PubMed]
  58. Katayama, M.; Masuda, Y.; Taniguchi, H. Determination of corticosteroids in plasma by high-performance liquid chromatography after pre-column derivatization with 2-(4-carboxyphenyl)-5,6-dimethylbenzimidazole. J. Chromatogr. B Biomed. Sci. Appl. 1993, 612, 33–39. [Google Scholar] [CrossRef]
  59. Katayama, M.; Sasaki, T.; Matsuda, Y.; Kaneko, S.; Iwamoto, T.; Tanaka, M. Sensitive determination of bisphenol A and alkylphenols by high performance liquid chromatography with pre-column derivatization with 2-(4-carboxyphenyl)-5,6-dimethylbenzimidazole. Biomed. Chromatogr. 2001, 15, 403–407. [Google Scholar] [CrossRef] [PubMed]
  60. Seki, T.; Yamaguchi, Y. New fluorimetric determination of 17-hydroxycorticosteroids after high-performance liquid chromatography using post-column derivatization with benzamidine. J. Chromatogr. B Biomed. Sci. Appl. 1984, 305, 188–193. [Google Scholar] [CrossRef]
  61. Sun, Y.; Irie, M.; Kishikawa, N.; Wada, M.; Kuroda, N.; Nakashima, K. Determination of bisphenol A in human breast milk by HPLC with column-switching and fluorescence detection. Biomed. Chromatogr. 2004, 18, 501–507. [Google Scholar] [CrossRef] [PubMed]
  62. Kuroda, N.; Kinoshita, Y.; Sun, Y.; Wada, M.; Kishikawa, N.; Nakashima, K.; Makino, T.; Nakazawa, H. Measurement of bisphenol A levels in human blood serum and ascitic fluid by HPLC using a fluorescent labeling reagent. J. Pharm. Biomed. Anal. 2003, 30, 1743–1749. [Google Scholar] [CrossRef]
  63. Sun, Y.; Nakashima, M.N.; Takahashi, M.; Kuroda, N.; Nakashima, K. Determination of bisphenol A in rat brain by microdialysis and column switching high-performance liquid chromatrography with fluorescence detection. Biomed. Chromatogr. 2002, 16, 319–326. [Google Scholar] [CrossRef] [PubMed]
  64. Ali, M.F.B.; Uejo, Y.; Kishikawa, N.; Ohyama, K.; Kuroda, N. A selective and highly sensitive high performance liquid chromatography with fluorescence derivatization approach based on Sonogashira coupling reaction for determination of ethinyl estradiol in river water samples. J. Chromatogr. A 2020, 1628, 461440. [Google Scholar] [CrossRef] [PubMed]
  65. Yamaguchi, M.; Ishida, J.; Yoshitake, T.; Nakamura, M. Determination of prednisolone and prednisone in plasma by liquid chromatography with fluorescence detection. Anal. Chim. Acta 1991, 242, 113–116. [Google Scholar] [CrossRef]
  66. Yoshitake, T.; Hara, S.; Yamaguchi, M.; Nakamura, M.; Ohkura, Y.; Görög, S. Measurement of 21-hydroxycorticosteroids in human and rat sera by high-performance liquid chromatography with fluorimetric detection. J. Chromatogr. B Biomed. Sci. Appl. 1989, 489, 364–370. [Google Scholar] [CrossRef]
  67. YAMAGUCHI, M.; YOSHITAKE, T.; ISHIDA, J.; NAKAMURA, M. Determination of 21-hydroxycorticosteroids in human urine by high-performance liquid chromatography with fluorescence detection. Chem. Pharm. Bull. 1989, 37, 3022–3025. [Google Scholar] [CrossRef] [PubMed] [Green Version]
  68. Katayama, M.; Nakane, R.; Matsuda, Y.; Kaneko, S.; Hara, I.; Sato, H. Determination of progesterone and 17-hydroxyprogesterone by high performance liquid chromatography after pre-column derivatization with 4,4-difluoro-5,7-dimethyl-4-bora-3a,4a- diaza-s-indacene-3-propionohydrazide. Analyst 1998, 123, 2339–2342. [Google Scholar] [CrossRef] [PubMed]
  69. Visser, S.A.G.; Smulders, C.J.G.M.; Gladdines, W.W.F.T.; Irth, H.; Van Der Graaf, P.H.; Danhof, M. High-performance liquid chromatography of the neuroactive steroids alphaxalone and pregnanolone in plasma using dansyl hydrazine as fluorescent label: Application to a pharmacokinetic-pharmacodynamic study in rats. J. Chromatogr. B Biomed. Sci. Appl. 2000, 745, 357–363. [Google Scholar] [CrossRef]
  70. Peng, X.D.; Xu, D.H.; Jin, J.; Mei, X.T.; Lv, J.Y.; Xu, S.B. Determination of a new active steroid by high performance liquid chromatography with laser-induced fluorescence detection following the pre-column derivatization. Int. J. Pharm. 2007, 337, 25–30. [Google Scholar] [CrossRef] [PubMed]
  71. Kawasaki, T.; Maeda, M.; Tsuji, A. Determination of plasma and urinary cortisol by high-performance liquid chromatography using fluorescence derivatization with dansyl hydrazine. J. Chromatogr. B Biomed. Sci. Appl. 1979, 163, 143–150. [Google Scholar] [CrossRef]
  72. Motegi, C.; Takatsuto, S.; Gamoh, K. Identification of brassinolide and castasterone in the pollen of orange (Citrus sinensis Osbeck) by high-performance liquid chromatography. J. Chromatogr. A 1994, 658, 27–30. [Google Scholar] [CrossRef]
  73. Li, N.; Wu, D.; Liu, J.; Hu, N.; Shi, X.; Dai, C.; Sun, Z.; Suo, Y.; Li, G.; Wu, Y. Magnetic covalent organic frameworks based on magnetic solid phase extraction for determination of six steroidal and phenolic endocrine disrupting chemicals in food samples. Microchem. J. 2018, 143, 350–358. [Google Scholar] [CrossRef]
  74. Li, G.; You, J.; Suo, Y.; Song, C.; Sun, Z.; Xia, L.; Zhao, X.; Shi, J. A developed pre-column derivatization method for the determination of free fatty acids in edible oils by reversed-phase HPLC with fluorescence detection and its application to Lycium barbarum seed oil. Food Chem. 2011, 125, 1365–1372. [Google Scholar] [CrossRef]
  75. Liu, J.; You, J.; Zhang, S.; Song, C.; Ji, Z.; Zhuang, J.; Yu, Y. New fluorescent labeling reagent Benzimidazo[2,1-b]quinazoline-12(6H) -one-5-ethylimidazole ester and its application in the analysis of endocrine disrupting compounds in milk by high performance liquid chromatography with fluorescence detection. Microchem. J. 2018, 138, 309–315. [Google Scholar] [CrossRef]
  76. Norman, A.W.; Litwack, G. Hormones; Elsevier: Amsterdam, The Netherlands, 1997; ISBN 9780125214414. [Google Scholar]
  77. Mason, S.R.; Ward, L.C.; Reilly, P.E.B. Fluorimetric detection of serum corticosterone using high-performance liquid chromatography. J. Chromatogr. B Biomed. Sci. Appl. 1992, 581, 267–271. [Google Scholar] [CrossRef]
  78. Katayama, M.; Masuda, Y.; Taniguchi, H. Determination of alcohols by high-performance liquid chromatography after pre-column derivatization with 2-(4-carboxyphenyl)-5,6-dimethylbenzimidazole. J. Chromatogr. A 1991, 585, 219–224. [Google Scholar] [CrossRef]
  79. Lin, Y.T.; Wu, S.S.; Wu, H.L. Highly sensitive analysis of cholesterol and sitosterol in foods and human biosamples by liquid chromatography with fluorescence detection. J. Chromatogr. A 2007, 1156, 280–287. [Google Scholar] [CrossRef]
  80. Laganà, A.; Marino, A. General and selective isolation procedure for high-performance liquid chromatographic determination of anabolic steroids in tissues. J. Chromatogr. A 1991, 588, 89–98. [Google Scholar] [CrossRef]
  81. Kumar, R.; Gaurav; Heena; Malik, A.K.; Kabir, A.; Furton, K.G. Efficient analysis of selected estrogens using fabric phase sorptive extraction and high performance liquid chromatography-fluorescence detection. J. Chromatogr. A 2014, 1359, 16–25. [Google Scholar] [CrossRef] [PubMed]
  82. Wang, P.; Qiu, X.; Yang, Y. Determination of estrogens in human urine by vortex-assisted dispersive liquid-liquid microextraction based on floating organic acid droplet combined with high-performance liquid chromatography-fluorescence detection. J. Liq. Chromatogr. Relat. Technol. 2015, 38, 640–646. [Google Scholar] [CrossRef]
  83. Impens, S.; De Wasch, K.; Cornelis, M.; De Brabander, H.F. Analysis on residues of estrogens, gestagens and androgens in kidney fat and meat with gas chromatography-tandem mass spectrometry. J. Chromatogr. A 2002, 970, 235–247. [Google Scholar] [CrossRef]
  84. Kawamura, Y.; Koyano, Y.; Takeda, Y.; Yamada, T. Migration of Bisphenol a from Polycarbonate Products. J. Food Hyg. Soc. Japan 1998. [Google Scholar] [CrossRef]
  85. Cho, E.; Chen, W.Y.; Hunter, D.J.; Stampfer, M.J.; Colditz, G.A.; Hankinson, S.E.; Willett, W.C. Red meat intake and risk of breast cancer among premenopausal women. Arch. Intern. Med. 2006, 166, 2253–2259. [Google Scholar] [CrossRef] [PubMed] [Green Version]
  86. Noda, M.; Komatsu, H.; Sano, H. HPLC analysis of dental resin composites components. J. Biomed. Mater. Res. 1999, 47, 374–378. [Google Scholar] [CrossRef]
  87. Vom Saal, F.S.; Cooke, P.S.; Buchanan, D.L.; Palanza, P.; Thayer, K.A.; Nagel, S.C.; Parmigiani, S.; Welshons, W.V. A Physiologically Based Approach To the Study of Bisphenol a and Other Estrogenic Chemicals On the Size of Reproductive Organs, Daily Sperm Production, and Behavior. Toxicol. Ind. Health 1998, 14, 239–260. [Google Scholar] [CrossRef] [PubMed]
  88. Główka, F.K.; Karaźniewicz, M.; Lipnicka, E. RP-HPLC method with fluorescence detection for determination of small quantities of triamcinolone in plasma in presence of endogenous steroids after derivatization with 9-anthroyl nitrile; pharmacokinetic studies. J. Chromatogr. B Anal. Technol. Biomed. Life Sci. 2006, 839, 54–61. [Google Scholar] [CrossRef] [PubMed]
  89. Silva, V.B.; Galdos, A.A.G.; Mothe, C.M.A.; Pallastrelli, M.B.; Prado, M.S.A.; Singh, A.K.; Kedor-Hackmann, E.R.M.; Santoro, M.I.R.M. Simultaneous determination of ethinyl estradiol and drospirenone in oral contraceptive by high performance liquid chromatography. Brazilian J. Pharm. Sci. 2013, 49, 521–528. [Google Scholar] [CrossRef] [Green Version]
  90. Gatti, R.; Gotti, R.; Gioia, M.G.; Cavrini, V. HPLC analysis of pharmaceutical estrogens in raw materials and dosage forms. J. Pharm. Biomed. Anal. 1998, 17, 337–347. [Google Scholar] [CrossRef]
  91. Lu, J.; Kong, D.; Zhao, L.; Zhou, Q. Analysis of oestrogenic hormones in chicken litter by HPLC with fluorescence detection. Int. J. Environ. Anal. Chem. 2014, 94, 783–790. [Google Scholar] [CrossRef]
  92. Pérez, R.L.; Escandar, G.M. Multivariate calibration-assisted high-performance liquid chromatography with dual UV and fluorimetric detection for the analysis of natural and synthetic sex hormones in environmental waters and sediments. Environ. Pollut. 2016, 209, 114–122. [Google Scholar] [CrossRef] [PubMed]
  93. Patrolecco, L.; Ademollo, N.; Grenni, P.; Tolomei, A.; Barra Caracciolo, A.; Capri, S. Simultaneous determination of human pharmaceuticals in water samples by solid phase extraction and HPLC with UV-fluorescence detection. Microchem. J. 2013, 107, 165–171. [Google Scholar] [CrossRef]
  94. Yoon, Y.; Westerhoff, P.; Snyder, S.A.; Esparza, M. HPLC-fluorescence detection and adsorption of bisphenol A, 17β-estradiol, and 17α-ethynyl estradiol on powdered activated carbon. Water Res. 2003, 37, 3530–3537. [Google Scholar] [CrossRef]
  95. Durhan, E.J.; Lambright, C.S.; Makynen, E.A.; Lazorchak, J.; Hartig, P.C.; Wilson, V.S.; Gray, L.E.; Ankley, G.T. Identification of metabolites of trenbolone acetate in androgenic runoff from a beef feedlot. Environ. Health Perspect. 2006, 114, 65–68. [Google Scholar] [CrossRef] [PubMed] [Green Version]
  96. Wen, Y.; Zhou, B.S.; Xu, Y.; Jin, S.W.; Feng, Y.Q. Analysis of estrogens in environmental waters using polymer monolith in-polyether ether ketone tube solid-phase microextraction combined with high-performance liquid chromatography. J. Chromatogr. A 2006, 1133, 21–28. [Google Scholar] [CrossRef] [PubMed]
  97. Ying, G.G.; Kookana, R.S.; Chen, Z. On-line solid-phase extraction and fluorescence detection of selected endocrine disrupting chemicals in water by high-performance liquid chromatography. J. Environ. Sci. Health Part B Pestic. Food Contam. Agric. Wastes 2002, 37, 225–234. [Google Scholar] [CrossRef] [PubMed]
  98. Fan, Y.; Zhang, M.; Da, S.L.; Feng, Y.Q. Determination of endocrine disruptors in environmental waters using poly(acrylamide-vinylpyridine) monolithic capillary for in-tube solid-phase microextraction coupled to high-performance liquid chromatography with fluorescence detection. Analyst 2005, 130, 1065–1069. [Google Scholar] [CrossRef] [PubMed]
  99. Lv, T.; Zhao, X.E.; Zhu, S.; Ji, Z.; Chen, G.; Sun, Z.; Song, C.; You, J.; Suo, Y. Development of an Efficient HPLC Fluorescence Detection Method for Brassinolide by Ultrasonic-Assisted Dispersive Liquid–Liquid Microextraction Coupled with Derivatization. Chromatographia 2014, 77, 1653–1660. [Google Scholar] [CrossRef]
  100. Drzymala, S.S.; Weiz, S.; Heinze, J.; Marten, S.; Prinz, C.; Zimathies, A.; Garbe, L.A.; Koch, M. Automated solid-phase extraction coupled online with HPLC-FLD for the quantification of zearalenone in edible oil. Anal. Bioanal. Chem. 2015, 407, 3489–3497. [Google Scholar] [CrossRef] [PubMed]
  101. Zhang, R.; Cheng, X.; Guo, J.; Zhang, H.; Hao, X. Comparison of Two Ionic Liquid-Based Pretreatment Methods for Three Steroids’ Separation and Determination in Water Samples by HPLC. Chromatographia 2017, 80, 237–246. [Google Scholar] [CrossRef]
  102. Ferreira, F.N.; Benevides, A.P.; Cesar, D.V.; Luna, A.S.; de Gois, J.S. Magnetic solid-phase extraction and pre-concentration of 17β-estradiol and 17α-ethinylestradiol in tap water using maghemite-graphene oxide nanoparticles and determination via HPLC with a fluorescence detector. Microchem. J. 2020, 157, 104947. [Google Scholar] [CrossRef]
  103. Corazza, G.; Merib, J.; Magosso, H.A.; Bittencourt, O.R.; Carasek, E. A hybrid material as a sorbent phase for the disposable pipette extraction technique enhances efficiency in the determination of phenolic endocrine-disrupting compounds. J. Chromatogr. A 2017, 1513, 42–50. [Google Scholar] [CrossRef] [PubMed]
  104. Louros, V.L.; Lima, D.L.D.; Leitão, J.H.; Esteves, V.I.; Nadais, H.G. Determination of estrone and 17α-ethinylestradiol in digested sludge by ultrasonic liquid extraction and high-performance liquid chromatography with fluorescence detection. J. Sep. Sci. 2019, 42, 1585–1592. [Google Scholar] [CrossRef] [PubMed]
  105. Yuan, Y.; Wang, M.; Jia, N.; Zhai, C.; Han, Y.; Yan, H. Graphene/multi-walled carbon nanotubes as an adsorbent for pipette-tip solid-phase extraction for the determination of 17β-estradiol in milk products. J. Chromatogr. A 2019, 1600, 73–79. [Google Scholar] [CrossRef] [PubMed]
  106. Levin, S. High Performance Liquid Chromatography (HPLC) in the Pharmaceutical Analysis. In Pharmaceutical Sciences Encyclopedia: Drug Discovery, Development, and Manufacturing; John Wiley & Sons, Inc.: Hoboken, NJ, USA, 2010; pp. 1–34. [Google Scholar]
  107. Argentine, M.D.; Owens, P.K.; Olsen, B.A. Strategies for the investigation and control of process-related impurities in drug substances. Adv. Drug Deliv. Rev. 2007, 59, 12–28. [Google Scholar] [CrossRef] [PubMed]
  108. Bakshi, M.; Singh, S. Development of validated stability-indicating assay methods—Critical review. J. Pharm. Biomed. Anal. 2002, 28, 1011–1040. [Google Scholar] [CrossRef]
  109. Bleicher, K.H.; Böhm, H.J.; Müller, K.; Alanine, A.I. Hit and lead generation: Beyond high-throughput screening. Nat. Rev. Drug Discov. 2003, 2, 369–378. [Google Scholar] [CrossRef] [PubMed]
  110. Dolz-Pérez, I.; Sallam, M.A.; Masiá, E.; Morelló-Bolumar, D.; Pérez del Caz, M.D.; Graff, P.; Abdelmonsif, D.; Hedtrich, S.; Nebot, V.J.; Vicent, M.J. Polypeptide-corticosteroid conjugates as a topical treatment approach to psoriasis. J. Control. Release 2020, 318, 210–222. [Google Scholar] [CrossRef] [PubMed]
  111. Hartmann, S.; Lacorn, M.; Steinhart, H. Natural occurrence of steroid hormones in food. Food Chem. 1998, 62, 7–20. [Google Scholar] [CrossRef]
  112. STRUSIAK, S.H.; HOOGERHEIDE, J.G.; GARDNER, M.S. Determination of Ethinyl Estradiol in Solid Dosage Forms By High-Performance Liquid-Chromatography. J. Pharm. Sci. 1982, 71, 636–640. [Google Scholar] [CrossRef]
  113. Dinan, L.; Harmatha, J.; Lafont, R. Chromatographic procedures for the isolation of plant steroids. J. Chromatogr. A 2001, 935, 105–123. [Google Scholar] [CrossRef]
  114. Song, Y.; Feng, X.S. Sample Preparation and Analytical Methods for Steroid Hormones in Environmental and Food Samples: An Update Since 2012. Crit. Rev. Anal. Chem. 2021. [Google Scholar] [CrossRef] [PubMed]
  115. Liu, N.; Shi, Y.; Li, J.; Zhu, M.; Zhang, T. Isolation and characterization of a new highly effective 17β-estradiol-degrading Gordonia sp. strain R9. 3 Biotech 2020, 10, 1–10. [Google Scholar] [CrossRef] [PubMed]
  116. Liu, N.; Shi, Y.; Li, J.; Zhu, M.; Zhang, T. Identification and genome analysis of Comamonas testosteroni strain JLU460ET, a novel steroid-degrading bacterium. 3 Biotech 2021, 11, 1–13. [Google Scholar] [CrossRef] [PubMed]
  117. Ito, M.; Ishimaru, M.; Shibata, T.; Hatate, H.; Tanaka, R. High-Performance Liquid Chromatography with Fluorescence Detection for Simultaneous Analysis of Phytosterols (Stigmasterol, β-Sitosterol, Campesterol, Ergosterol, and Fucosterol) and Cholesterol in Plant Foods. Food Anal. Methods 2017, 10, 2692–2699. [Google Scholar] [CrossRef]
  118. Jobling, S.; Sumpter, J.P. Detergent components in sewage effluent are weakly oestrogenic to fish: An in vitro study using rainbow trout (Oncorhynchus mykiss) hepatocytes. Aquat. Toxicol. 1993, 27, 361–372. [Google Scholar] [CrossRef]
  119. Jobling, S.; Sheahan, D.; Osborne, J.A.; Matthiessen, P.; Sumpter, J.P. Inhibition of testicular growth in rainbow trout (Oncorhynchus mykiss) exposed to estrogenic alkylphenolic chemicals. Environ. Toxicol. Chem. 1996, 15, 194–202. [Google Scholar] [CrossRef]
Figure 1. Representation of fluorescent derivatizing agents used in steroid analysis by HPLC-FLD.
Figure 1. Representation of fluorescent derivatizing agents used in steroid analysis by HPLC-FLD.
Molecules 27 01807 g001
Figure 2. Derivatization using fluorophore-containing reagents for steroids analysis by HPLC-FLD.
Figure 2. Derivatization using fluorophore-containing reagents for steroids analysis by HPLC-FLD.
Molecules 27 01807 g002
Figure 3. Fluorescence emission of steroids after treatment with sulfuric acid.
Figure 3. Fluorescence emission of steroids after treatment with sulfuric acid.
Molecules 27 01807 g003
Figure 4. Esterification of primary alcohol functionality of cortisol and cortisone by 2-(4-carboxyphenyl)-5,6-dimethylbenzimidazole (CDB) in the presence of 4-piperidinopyridine and 1-isopropyl-3-(3-dimethylaminopropyl) carbodiimide (IDC) perchlorate. Prednisolone secondary alcohol shows no reaction.
Figure 4. Esterification of primary alcohol functionality of cortisol and cortisone by 2-(4-carboxyphenyl)-5,6-dimethylbenzimidazole (CDB) in the presence of 4-piperidinopyridine and 1-isopropyl-3-(3-dimethylaminopropyl) carbodiimide (IDC) perchlorate. Prednisolone secondary alcohol shows no reaction.
Molecules 27 01807 g004
Figure 5. Esterification of primary alcohol functionality of cortisol and cortisone by 9-anthroyl nitrile (9-AN) or 1-anthroyl nitrile (1-AN).
Figure 5. Esterification of primary alcohol functionality of cortisol and cortisone by 9-anthroyl nitrile (9-AN) or 1-anthroyl nitrile (1-AN).
Molecules 27 01807 g005
Figure 6. Fluorescent derivatization of 18-oxygenated corticosteroids by or 1-anthroyl nitrile (1-AN).
Figure 6. Fluorescent derivatization of 18-oxygenated corticosteroids by or 1-anthroyl nitrile (1-AN).
Molecules 27 01807 g006
Figure 7. Fluorescent derivatization of carbonyl functionality of cortisol by dansyl hydrazine.
Figure 7. Fluorescent derivatization of carbonyl functionality of cortisol by dansyl hydrazine.
Molecules 27 01807 g007
Figure 8. Fluorescent derivatization of ketolic-containing corticosteroids by benzamidine.
Figure 8. Fluorescent derivatization of ketolic-containing corticosteroids by benzamidine.
Molecules 27 01807 g008
Figure 9. Fluorescent derivatization of ketol-containing corticosteroids to quinoxaline derivative.
Figure 9. Fluorescent derivatization of ketol-containing corticosteroids to quinoxaline derivative.
Molecules 27 01807 g009
Figure 10. Derivatization of cholesterol by naproxen acyl chloride.
Figure 10. Derivatization of cholesterol by naproxen acyl chloride.
Molecules 27 01807 g010
Figure 11. Derivatization of 7α-hydroxycholesterol (7-HC) by 1-anthroyl nitrile (1-AN) or 7-methoxycoumarin-3-carbonyl azide (MC-CON3).
Figure 11. Derivatization of 7α-hydroxycholesterol (7-HC) by 1-anthroyl nitrile (1-AN) or 7-methoxycoumarin-3-carbonyl azide (MC-CON3).
Molecules 27 01807 g011
Figure 12. Derivatization of progesterone by 4,4-difluoro-5,7-dimethyl-4-bora-3a,4adiaza-s-indacene-3-propionohydrazide (BOD-IPYTM FL hydrazide).
Figure 12. Derivatization of progesterone by 4,4-difluoro-5,7-dimethyl-4-bora-3a,4adiaza-s-indacene-3-propionohydrazide (BOD-IPYTM FL hydrazide).
Molecules 27 01807 g012
Figure 13. Derivatization of pregnenolone by 1-anthroyl nitrile (1-AN).
Figure 13. Derivatization of pregnenolone by 1-anthroyl nitrile (1-AN).
Molecules 27 01807 g013
Figure 14. Derivatization of 17β-estradiol by p-nitrobenzoyl chloride.
Figure 14. Derivatization of 17β-estradiol by p-nitrobenzoyl chloride.
Molecules 27 01807 g014
Figure 15. Derivatization of alkyl phenols by 2-(4-carboxyphenyl)-5,6-dimethylbenzimidazole (CDB) or 4-(4,5-diphenyl-1H-imidazol-2-yl) benzoyl chloride (DIB-Cl).
Figure 15. Derivatization of alkyl phenols by 2-(4-carboxyphenyl)-5,6-dimethylbenzimidazole (CDB) or 4-(4,5-diphenyl-1H-imidazol-2-yl) benzoyl chloride (DIB-Cl).
Molecules 27 01807 g015
Figure 16. Derivatization of alfaxalone by dansyl hydrazine.
Figure 16. Derivatization of alfaxalone by dansyl hydrazine.
Molecules 27 01807 g016
Table 1. Derivatization reagents and conditions used in steroid quantification by HPLC-FLD.
Table 1. Derivatization reagents and conditions used in steroid quantification by HPLC-FLD.
ReagentTarget SteroidSample Preparation and Derivatization ConditionsReference
p-Nitrobenzoyl chloride
Molecules 27 01807 i001
EstrogensSample was extracted by SPE C18.
Residue reacted with p-nitrobenzoyl chloride at 25 °C, 30 min
Mao et al. 2004 [42]
1-Anthroyl nitrile (1-AN)
Molecules 27 01807 i002
18-Oxygenated corticosteroids, 18-hydroxycortisol, 18-hydroxycortisone and 18-oxocortisol, Pregnenolone and C21 steroids; especially corticoidsSample was extracted by SPE or LLE with a mixture of diethyl ether and dichloromethane.
Extract reacted with 1-anthroyl nitrile in acetonitrile at room temperature for 10 min.
Kurosawa et al. 1995 [43]
Shimada et al. 1996 [27]
Shimada et al. 1991 [44]
9-Anthroyl nitrile (9-AN)
Molecules 27 01807 i003
Glucocorticoids;
F and E, Hydroxysteroids
Corticosteroids
Sample was extracted by LLE or SPE.
Extracts reacted with 9-AN in a mixture of quinuclidine and triethylamine for 30 min at RT.
Glowka et al. 2009 [45]
Goto et al. 1983 [46]
Shibata et al. 1997 [47]
Haegele et al. 1991 [48]
Kosicka et al. 2018 [49]
Neufeld et al. 1998 [50]
Shimada et al. 1991 [44]
2-(11H-Benzo[a]carbazole-11-yl) ethyl carbonochloridate (BCEC-Cl)
Molecules 27 01807 i004
E1, E2, E3, BPA, NP, OPSample was extracted by DLLME.
Extracts were added to BCEC-Cl in a NaHCO3 buffer at pH 10; it was shaken for 10 s, and then allowed to stand for 14 min at 43 °C.
Wu et al. 2015 [29]
9-Phenanthrene
boronic acid
Molecules 27 01807 i005
BrassinosteroidsSample was extracted by LLE.
Extracts reacted with 9-phenanthrene-boronic acid in a mixture of pyridine and acetonitrile for 10 min at 70 °C.
Gamoh
and
Takatsuto. 1989 [51]
10-Ethyl-acridone-
2-sulfonyl
chloride (EASC)
Molecules 27 01807 i006
Estrogens and
Biogenic Amines
(aliphatic amines)
Sample was extracted by LLE or SPE.
Extracts reacted with EASC in anhydrous acetonitrile and NaHCO3 buffer pH (10.2), for 5 min at 60 °C.
Zhang et al. 2012 [52]
Sulfuric acid
Molecules 27 01807 i007
F and
Corticosterone
Sample was extracted by SPE or LLE.
Extracts reacted with sulfuric acid in ethanol; it was cooled in crushed ice for 15 min in the dark.
Nozaki et al. 1991 [53]
Nozaki et al. 1992 [54]
Sudo et al. 1990 [55]Gao et al. 2010 [56]
7-Methoxycoumarin-3-carbonyl azide (MC-CON3)
Molecules 27 01807 i008
7α-hydroxycholesterolSample was extracted by LLE and purified by normal-phase SPE.
Extracts reacted with MC-CON3 in ethyl acetate for 40 min at 140 °C.
Saisho et al. 1998 [57]
2-(4-Carboxyphenyl)-5,6-dimethylbenzimidazole(CDB)
Molecules 27 01807 i009
Corticosteroids, BPA and alkylphenolsSample was extracted by LLE.
0.02% w/v CDB solution, 2.0% w/v 1-isopropyl-3-(3-dimethylaminopropyl) carbodiimide perchlorate (IDC) solution, and 0.01% w/v (10 mg/mL) 4-piperidinopyridine, for 60 min at 40 °C.
Katayama et al. 1991 [58]
Katayama et al. 1992 [58]
Katayama et al. 2001 [59]
Benzamidine
Molecules 27 01807 i010
17-hydroxycorticosteroidsSample was extracted by LLE.
Extracts reacted with benzamidine in a basic medium of sodium hydroxide solution, with a mixture of propanol and water for 5 min at 95 °C.
Seki et al. 1984 [60]
4-(4,5-Diphenyl-1H-
imidazol-2-yl) benzoyl chloride (DIB-Cl)
Molecules 27 01807 i011
BPASample was extracted by LLE or SPE.
Extracts reacted with DIB-Cl in a mixture of acetonitrile and triethylamine for 20 min at RT.
Sun et al. 2004 [61]
Kuroda et al. 2003 [62]
Sun et al. 2002 [63]
4-(4,5-Diphenyl-1H-imidazol-2-yl) iodobenzene (DIB-I)
Molecules 27 01807 i012
EESample was extracted by the SPE disc method (C18 SPE disk).
A total of 50 μL of the extracts reacted with 50 μL of DIB-I (3.0 mM), in a mixture of 50 μL of solution containing 0.2 mM of PdCl2 and 0.3 mM of CuI, and 50 μL of DIPEA (3.0 mM). The vial contents were deoxygenated by N2 purge for 10 sec, heated at 100 °C for 40 min, cooled, then filtered through a 0.45-μm membrane filter before injection into the HPLC-FLD system.
Ali et al. 2020 [64]
1,2-Diamino-4,5-methylenedioxybenzene (DMB)
Molecules 27 01807 i013
α-Dicarbonyl compounds; prednisolone, PN and 21-hydroxycorticosteroidsSample was extracted by LLE.
Extracts reacted with DMB for 40 min at 60 °C.
Yamaguchi et al. 1991 [65]
Yoshitake et al. 1989 [66]
Yamaguchi et al. 1989 [67]
2-(4-Carboxyphenyl)-5,6-dimethylbenzimidazole (BODIPY FL hydrazide)
Molecules 27 01807 i014
Aldehydes and ketones; progesterone,
17-hydroxyprogesterone, and other 3-keto steroids.
Sample was extracted by LLE.
Extracts reacted with BODIPY FL hydrazide in ethanol for 15 h at RT.
Katayama et al. 1998 [68]
Dansyl hydrazine
Molecules 27 01807 i015
F, Butane acid-(5-androsten-17-one-3beta-ol)-diester (A1998)[69], alfaxalone and pregnanolone [70]Sample was extracted by LLE.
Extracts reacted with dansyl hydrazine in organic solvent for 30 min at RT in acidic medium.
Kawasaki et al. 1979 [71]
Visser et al. 2000 [69]
Peng et al. 2007 [70]
Naproxen acyl chloride in toluene
Molecules 27 01807 i016
Cholesterol and sitosterolSample was extracted by LLE.
Extracts reacted with naproxen acyl chloride in toluene, while shaking for 1.5 h at 90 °C. Diethylamine in toluene was then added to inactivate the excess naproxen acyl chloride, while shaking for 5 min at 30 °C.
Lin et al. 2007 [38]
Dansylaminophenylboronic acid
Molecules 27 01807 i017
Brassinolide and castasteroneSample was extracted by LLE.
Extracts reacted with dansylaminophenylboronic acid in a mixture of pyridine and acetonitrile for 20 min at 70 °C.
Motegi et al. 1994 [72]
9-Fluorenylmethyl chloroformate (Fmoc-Cl)
Molecules 27 01807 i018
E1, E2, E3, BPA, NP, OPSamples were extracted by MSPE.
Extracts were reacted with Fmoc-Cl in NaHCO3 (pH = 10.5) at 60 °C for 10 min, and then added to a mixture of aqueous acetic acid and acetonitrile. The mixture was cooled to RT.
Qianyu Li et al. 2018 [73]
2-(11H-Benzo[a]carbazole-11-yl)-
ethyl-4-methylbenzenesulfonate (BCETS)
Molecules 27 01807 i019
FFAThe samples were extracted by supercritical CO2 and organic solvent extraction. The extracted samples were derivatized in BCETS in a solution of K2CO3 at 84 °C; then the mixture was cooled down to RT and diluted with DMF.Li et al. 2011 [74]
Benzimidazo[2, 1-b]quinazoline-12(6H)-one-5-ethylimidazole ester (BQEIC)
Molecules 27 01807 i020
OP, NP, TBP, BPA, E1, E2, E3The samples were extracted by LLE.
BQEIC in a solvent of DMAP at 80 °C for 60 min. Finally, the mixture was cooled to RT and diluted with acetonitrile.
Liu et al. 2018 [75]
Abbreviation: solid-phase extraction (SPE), liquid–liquid extraction (LLE), 4-octylphenol (OP), 4-tert-octylphenol (4-t-OP), 4-nonylphenol (NP), 4-tert-butylphenol (TBP), bisphenol A (BPA), estrone (E1), 17β-estradiol (17β-E2), 17α-estradiol (17α-E2), estriol (E3), free fatty acids(FFA), 17α-ethinylestradiol (EE2), ethinylestradiol (EED), cortisol (F), cortisone (E), 4,40-(1,2-diethylethylene)diphenol (HEX), prednisolone (PL), prednisone (PN), 6β-hydroxycortisol (6β-OHF), 6β-hydroxyprednisolone (6β-OHP) and 6β-hydroxycortisone (6β-OHE), room temperature (RT).
Table 2. HPLC-FLD method conditions used for steroid detection.
Table 2. HPLC-FLD method conditions used for steroid detection.
Detected SteroidsSample TypeColumn ChemistryMobile Phase (v/v)Derivatization AgentExcitation (λex) and Emission Wavelengths (λem) (nm)Extraction MethodLODReferences
PL
and PN
Human plasmaC18MeOH:ACN:1.0 M ammonium acetate (38:25:45)DMB350, 390LLE3 ng/mLYamaguchi et al. 1991 [65]
F and EBiological samplesKeystone HypersilH2O:MeOH:ACN (50:33.3:16.7)9-AN305–395, 430–470SPEF: 50 pg
E: 70 pg
Haegele et al. 1991 [48]
F Human serum C181: 10 mM potassium biphthalate
2: ACN
Tetrahydrofuran: 19 mM potassium biphthalate (40:6:54)
Both adjusted to pH
1.85 with trifluoroacetic acid
Sulfuric acid-ethanol365, 520-0.30 pg/dLNozaki et al. 1991 [53]
F Human urine C18Gradient of ACN:
36.4 mmol/L phosphate (45:55; pH 1.85 with trifluoroacetic acid)
Sulfuric acid-ethanol365, 520SPE0.26 pg/dLNozaki et al. 1992 [54]
7α-Hydroxycholesterol Dog plasma Develosil Ph-5Acetonitrile:
Water (5:2)
1-AN338, 411LLE4 pgSaisho et al. 1998 [57]
Corticosteroids Urine Silica2-Propanol–hexane9-AN370, 470Enzyme hydrolysis, extraction with 0.5 M NaOHNRNeufeld et al. 1998 [50]
F and E Human plasma C18ACN: 0.3 mM ortho-phosphoric acid (470:530)9-AN360, 460SPE3.0 ng/mLGlowka et al. 2009 [45]
CorticosteroneRat urineCNACN: H2O (24.5:75.5)post-column reaction with
sulfuric acid
460, 510LLE0.5 pmolSudo et al. 1990 [55]
F Human hair C18MeOH:H2O
60:40
sulfuric acid360, 480LLE1 pg/mgGao et al. 2010 [56]
EE2, E2, and BPAHuman urine and aqueous samplesC18ACN:MeOH:H2O (30:15:55)-280, 310FPSEE2: 20 pg/mL
EE2: 36 pg/mL
BPA: 42 pg/mL
Kumar et al. 2014 [81]
BPA, NP, E2, EE2, and E3Human urineC18Gradient elution of ACN and H2Op-nitrobenzoyl chlorideE2, E3: 282, 315
BPA, NP, EE2: 228, 316
SPEBPA and E2: 2.7 μg/L
NP: 2.9 μg/L
E2 and EE2: 4.6 μg/L
E3: 8.3 μg/L
Mao et al. 2004 [42]
E, testosterone, methyltestosterone, bolasterone, testosterone acetate, progesteroneUrineC180.01 M Tb(NO3)3, 0.1 M sodium dodecyl sulfate (SDS), and 20%
acetonitrile
-245, 547SPEDown to 100 pg/mLAmin et al. 1993 [26]
BPA and 8
alkylphenols (4-sec-Butylphenol,
2-tert-Butylphenol, 3-tert-butylphenol, 4-tert-butylphenol,
4-n-Pentylphenol, 4-tert-pentylphenol, 4-n-hexylphenol,
and 4-n-heptylphenol)
Rat plasma and bloodC18MeOH:Water (10:90)2-(4-carboxyphenyl)-5,6-
dimethylbenzimidazole
Derivatized: 336, 440
Native: 275, 315
LLEBPA: 0.1 pg/mL
Alkylphenol: 0.7–10 pg/mL
Katayama et al. 2001 [59]
progesterone and 17-hydroxyprogesterone
dehydroepiandrosterone, androstenedione, testosterone and 17-methyltestosterone
Serum from pregnant and non-pregnant womenWakosil 5C4Acetonitrile:Water (7:3)BODIPY FL hydrazide495, 516LLE550–3700 fmol per 10 μLKatayama et al. 1998 [68]
aldosterone, corticosterone, F, E, dexamethasone, fluocinolone
acetonide, triamcinolone and triamcinolone acetonide
Human plasmaC18Water:MeOH (25:75) containing 5 mmol/L tetramethylammonium hydrogen sulphateCDB334, 418LLE0.06–0.3 pg per 100 μLKatayama et al. 1992 [58]
BPA Breast Milk C181: ACN:H2O:MeOH (72:13:15)
2: ACN:0.1 M acetate buffer (pH 5.5):MeOH (55:12:33)
DIB-Cl 350, 475SPE then LLE0.11 ng/mLSun et al. 2004 [61]
BPAHuman blood serum and ascitic fluid samplesC181: ACN:
H2O:MeOH (72:13:15)
2: ACN:0.1 M Acetate buffer
(pH 5.5):MeOH (55:12:33)
DIB-Cl350, 475LLE0.04 ppbKuroda et al. 2003 [62]
BPARat brain
rat plasma
C181: ACN:
H2O:MeOH:Tetrahydrofuran (55:10:35:2.5)
2: ACN:0.1 M Acetate buffer (pH 3.0):MeOH (35:10:55)
DIB-Cl350, 475LLE0.3 ppb in 60 μL rat brain
4.6 ppb in 50 μL rat plasma
Sun et al. 2002 [63]
F, E, PL, PN,
6β-OHF, 6β-OHP and 6β-OHE
Human plasma and urineCosmosil 5SLdiethylene dioxide: ethyl acetate:chloroform:n-hexane:pyridine (500:100:100:1400:21)9-AN360, 460LLEF, E, PL and PN: 0.1 ng/mL
6β-OHF and 6β-OHP: 0.5 ng/mL
Shibata et al. 1997 [47]
CorticosteroneRat serumC1860% MeOH: 40% 5 mM
triethylamine, pH 3.3
-375, 485LLE0.1 ngMason et al. 1992 [77]
18-Oxygenated corticosteroids, 18-hydroxycortisol, 18-
hydroxycortisone and 18-oxocortisol
Human urineμBondasphere phenylA: 10 mM ammonium acetate: MeOH (50:50)
B: ACN
1-AN370, 470LLE and SPE0.1 pmolKurosawa et al. 1995 [43]
Cholesterol and sitosterolSaliva and urine biosamples, Cow milk, and Soybean milkC8MeOH:isopropanol:H2O
(90:5:5)
naproxen acyl chloride231, 352LLE25 nM per 10 μL injected volumeLin et al. 2007 [79]
PregnenoloneRat brainC18MeOH:H2O (9:1)1-AN370, 470SPENRShimada et al. 1996 [27]
C21 steroids; corticoidsSteroid standardsC18MeOH:H2O:cyclodextrin1-AN360, 460NRNRShimada et al. 1991 [44]
TriamcinoloneHuman plasmaC18ACN and 0.3 mM
ortho-phosphoric acid
9-AN360, 460SPE1 ng/mLGlowka et al. 2006 [88]
Butane acid-(5-androsten-17-one-3beta-ol)-diester (A1998)Rat plasmaC1825 mM acetate buffer (pH 3.7):ACN
Alfaxalone: (45:55)
Pregnanolone: (40:60)
Dansyl hydrazine332, 516LLE10 ng/mLVisser et al. 2000 [69]
Alfaxalone and pregnanoloneRat plasmaC18Gradient mixture of
ACN and H2O
Dansyl Hydrazine350, 520-0.025 μg/mLPeng et al. 2007 [70]
EED Oral contraceptive tablets STAR RP-18eACN:H2O (47:53)-EED: 285, 310-EED: 0.0538 μg/mlSarafinovska et al. 2006 [12]
EED and drospirenone Oral contraceptive tablets STAR RP-18e RPACN:H2O (47:53)-285, 310-EED: 0.00065 μg/mL
DROSP:
0.0774 μg/mL
Sarafinovska et al. 2009 [13]
EED Coated tablets LiChroCART 100RPACN:H2O (50:50)-280, 310-EED: 0.02 μg/mLSilva et al. 2013 [89]
Sodium E1
sulphate, sodium equilin sulphate, E1 and
equilin
Raw materials and
Pharmaceuticals
5 ODS2TEA phosphate
buffer (pH 4.0; 0.05 M):ACN
1—
(70:30, v:v)
2—for unconjugated estrogens:
(66:34)
Postcolumn on line photochemical derivatization280, 410 or 312-0.01–1.38 pmolGatti et al. 1998 [90]
E1, 17β-Estradiol,
E3,
BPA, NP,
OP
Fish, chicken, aquaculture pond water sampleC18Gradient program of
1: H2O: 5% ACN
2: H2O: ACN
BCEC-Cl279, 380DLLME0.02–0.07 µg/LWu et al. 2015 [29]
E1,
E2, and E3
Cow and river Buffalo C181: ACN:H2O:Formic Acid (40:60:0.4)
2: ACN:H2O:Formic Acid (90:10:0.4)
-280, 310LLE and SPE5–10 ng/kgShahbazi et al. 2016 [31]
α- and β-TrenboloneBovine muscle and liverC18MeOH:H2O (60:40)-364, 460LLE then SPEbovine muscle: 0.2 ng/g
liver: 1.0 ng/g
Yoshioka et al. 2000 [33]
NP, 4-nonylphenol
mono-(NP1EO), diethoxylates (NP2EO), BPA, TBP, and OP
Fish and shellfishInertsil PHGradient program of A: H2O
B: MeOH
-275, 300LLENP NP1EO and NP2EO
: 2 ng/g
BPA, BP and OP: 1 ng/g
Tsuda et al. 2000 [32]
Nonylphenol and its ethoxylates Fish tissue Hypersil APSHexane:ethanol (98:2)-230, 300Pressurized fluid extraction4–15 ng/mLDatta et al. 2002 [28]
E2 and EE2 Poultry litter C18Gradient program of A: H2O
B: ACN
-280, 312LLEE2: 4.0 μg/kg
EE2: 2.6 μg/kg
Lu et al. 2014 [91]
E2 and EE2Waste WaterC18Gradient program of A: H2O
B: ACN
-282, 306SPE2.5 ng/LLiz et al. 2017 [17]
E3, E2, EE2,
HEX, mestranol
Water, sedimentPoroshell 120 ECH2O:ACN 50:50-275, 310SPEWater: 6–24 ng/L
Sediment: 0.1–0.9 ng/g
Perez et al. 2015 [92]
E2, 17α-EE2, and E1WaterC18Gradient program of A: ACN
B: H2O acidified at pH 3.6 with glacial acetic acid
-230, 302SPE10 to 1100
ng/L
Patrolecco et al. 2013 [93]
OP,
NP, BPA, diethylstilbestrol, E1, EE2, E2, and E3
Wastewater
samples
C18Gradient program of A: 5%
ACN
B: ACN
EASC262, 430SPE0.3–0.7 ng/LZhang et al. 2012 [52]
E2 and
EE2
Tap, surface and waste waterC18Water:acetonitrile mixture (50:50)-280, 310DLLMEE2: 2.0 ng/L
EE2: 6.5 ng/L
Lima et al. 2013 [37]
BPA, 17β-estradiol, and 17α-ethynyl estradiolDrinking waterLiChro-sorbs RP1810 mM H3PO4:55% MeOH (45:55)-280, 310PACBPA: 201 ng/L
E2: 313 ng/L
EE2: 284.5 ng/L
Yoon et al. 2003 [94]
17α- and 17β-Trenbolone River water C18Gradient program of
MeOH:H2O
-359, 458SPE4 ng/LDurhan et al. 2005 [95]
NP,
OP, NP polyethoxylates
municipal wastewater treatment plantsC18Gradient program of
H2O:ACN
-229, 310LLEOP: 2 ng/L
NP: 11 ng/L
NPE: 52 ng/L
Snyder et al. 1999 [5]
E2, E3, BPA,
and 17β-ethinylestradiol
environmental
waters
C18ACN:0.02 mol/L phosphate solution (45:55)-227, 315Synthesized in-tube SPME device0.006–0.10 ng/mLWen et al. 2006 [96]
E2, E3, EE2,
3-methyl ether EE2, NP,
OP, POE(1-2) nonyl phenol and BPA
River waterC18Gradient program of
Milli-Q H2O and ACN
-230, 290on-line SPE20–50 ng/LYing et al. 2002 [97]
Endocrine disruptors; BPA and EE2Environmental water samplesC18MeOH:0.025 mol/L Na2HPO4 buffer (70:30)-220, 315A poly(acrylamide-vinylpyridine)
monolithic capillary column
BPA: 0.064 ng/mL
17α-ethinylestradiol: 0.12 ng/mL
Fan et al. 2005 [98]
BrassinosteroidsPlant:
(Vicia faba L.)
C18ACN: H2O (90:10)9-Phenanthreneboronic acid305, 375LLE50 pgGamoh et al. 1989 [51]
BrassinolideArabidopsis thaliana, Daucus
carota and Brassica campestris L. leaves’ samples
C18Gradient program of
A: H2O and ACN
B: ACN
and 0.1% Formic Acid
-305, 375UA-DLLME8.0 ng/LLv et al. 2014 [99]
Brassinolide and castasteronePollen of orange (Citrus sinensis Osbeck)C18ACN:H2O (80:20)Dansylaminophenylboronic
acid
345, 515LLENRMotegi et al. 1994 [72]
Norgestrel, norethindrone, EE2, gestodene, and norethisterone acetate Meat samples Hypersil GOLDGradient program of
(A) H2O containing 5% ACN (B)ACN
Fmoc-Cl250, 395MSPE1.4 × 103–8.7 × 103Qianyu Li et al. 2018 [73]
F and EHuman urine samplesC18ACN:0.3 mM orthophosphoric acid (470: 530)9-AN360, 460LLELLOQ: F: 27.6 nmol/L
E: 27.7 nmol/L
Kosicka et al. 2018 [49]
FFAEdible oils and foodstuffC8Gradient system:
A: H2O
B: ACN/DMF (1:1)
C: ACN (100%)
BCETS279, 380Supercritical CO2 and organic solvent extraction0.22–1.06 ng/mLLi et al. 2011 [74]
OP, NP, TBP, BPA, E1, E2, E3Milk samplesC18Gradient program of
A:5% ACN in H2O
B: ACN
BQEIC302, 401LLE10.5–13.8 ng/LLiu et al. 2018 [75]
E3, 2-OHE2, 17β-E2, 17α-E2, EE2, HEX Dairy products C18Gradient Flow
A: 1 mM formic acid in ACN
B: 1 mM formic acid at pH 3.50
-280, 310/320HF-LPME0.23–14.8 μg/kgBárbara Socas-Rodríguez et al. 2014 [36]
ZearalenoneEdible oilC18Gradient program of
A: H2O, B: ACN
274, 456SPE10 μg/kgDrzymala et al. 2015 [100]
EE2, E1, E2, E3, and progesterone Drinking water and wastewater samples C18Gradient program of
A: H2O/CH3CN 90/10 v/v
B: CH3CN
200, 315SPEDrinking water: 1–3.8 ng/L
Sewage water: 3.8–7.5 ng/L
Kozłowska-Tylingo et al. 2015 [20]
E3, E2, E1 Human urine C18Gradient program of
A: H2O, B: ACN
280, 310VA-DLLME-FOAE3: 0.01 ng/mL
β-E2: 0.01 ng/mL
E1: 0.06 ng/mL
Wang et al. 2015 [82]
17-α-E2, 17-β-E2 benzoate
and quinestrol
Environmental water samples Zorbax Eclipse SB-C18Gradient program of
A: ACN, B: H2O
265, 311IF-IHLME17-α-Estradiol: 0.04 ng/mL
E2 and Quinestrol: 0.05 ng/mL
Zhang et al. 2017 [101]
E2 and EE2 Tap water samples Pursuit 5 C18 columnACN:H2O (50:50), with 200 μL of H3PO4 230, 306Nanoparticles of graphene oxide/γ-Fe2O3 as a
sorbent for SPE
E2: 2.7 ng/L
EE2: 0.8 ng/L
Fernanda Nunes Ferreira et al. 2020 [102]
17-E2 and E3 Water samples C18H2O:MeOH:ACN
(50:30:20)
280, 310ultrasonication assisted DLLMEDLLME-HPLC/FLD: 7.16–69.22 ng/LZhang et al. 2020 [14]
E2, 1,3,5(10)-Estratriene-3,17β-diol Fish and prawn tissue samples ODS C18H2O:MeOH (30:70) 280,310MISPE0.023 mg/LJiang et al. 2009 [40]
BPA, EE2, 4-t-
OP, 4-OP, and 4-NP
River water C18Gradient program of
A: ACN
B: H2O
277, 307Disposable pipette extraction (DPX)BPA, EE2, 4-OP and 4-NP: 0.30 μg/L
4-t-OP: 0.60 μg/L
Gabriela Corazza et al. 2017 [103]
E1 and EE2 Digested sludge C18-PFPA: H2O
B: ACN
E1: (50:50) EE2 (55:45)
280, 310ultrasonic liquid extractionE1: 0.305 μg/g
EE2: 0.052 μg/g
Vitória L. Louros et al. 2019 [104]
E2 Milk sample XDB-C18MeOH:H2O
(70:30)
280, 310SPE0.7 ng/mLYanan Yuan et al. 2019 [105]
Nine BPs milk samples C18Gradient program of
0.1% formic acid: ACN
230, 305ultrasonically with acetonitrile and cleaned
using the QuEChERS technique.
1.0–3.1 µg/kgXiong et al. 2017 [38]
EE river water samples 5C18 MS-IIACN: 5.0 mM Tris-HNO3 buffer, pH 7.4 (60:40) 310, 400C18 SPE disk7.4 ng/LAli et al. 2020 [64]
E3, 17β-estradiol glucuronide,
17β-E2, 17α-E2,
17β-E2-3-methyl ether
wastewaterUPLC C18Gradient program of
water with 0.1% of ammonia: ACN
280, 310Molecularly Imprinted SPE1.4 to 2.5 ng/mLRayco Guedes-Alonso et al. 2015 [41]
Abbreviation: solid phase extraction (SPE), liquid–liquid extraction (LLE), dispersive-liquid–liquid extraction (DLLME), ultrasonic-assisted dispersive liquid–liquid microextraction (UA-DLLME), vortex-assisted dispersive liquid–liquid microextraction method based on floating organic acid droplet (VA-DLLME-FOA), ionic liquid foam floatation coupled with an ionic liquid-based homogeneous liquid–liquid microextraction (IF-IHLME), magnetic solid phase extraction (MSPE), fabric phase sorptive extraction (FPSE), molecularly imprinted solid-phase extraction (MISPE), hollow fiber liquid-phase microextraction (HF-LPME), 4-octylphenol (OP), 4-tert-octylphenol (4-t-OP), 4-nonylphenol (NP), 4-tert-butylphenol (TBP), bisphenol A (BPA), estrone (E1), 17β-estradiol (17β-E2), 17α-estradiol (17α-E2), estriol (E3), free fatty acids (FFA), 17α-ethinylestradiol (EE2), ethinylestradiol (EED), cortisol (F), cortisone (E), 4,40-(1,2-diethylethylene)diphenol (HEX), prednisolone (PL), prednisone (PN), 6β-hydroxycortisol (6β-OHF), 6β-hydroxyprednisolone (6β-OHP) and 6β-hydroxycortisone (6β-OHE), room temperature (RT).
Publisher’s Note: MDPI stays neutral with regard to jurisdictional claims in published maps and institutional affiliations.

Share and Cite

MDPI and ACS Style

Hameedat, F.; Hawamdeh, S.; Alnabulsi, S.; Zayed, A. High Performance Liquid Chromatography (HPLC) with Fluorescence Detection for Quantification of Steroids in Clinical, Pharmaceutical, and Environmental Samples: A Review. Molecules 2022, 27, 1807. https://doi.org/10.3390/molecules27061807

AMA Style

Hameedat F, Hawamdeh S, Alnabulsi S, Zayed A. High Performance Liquid Chromatography (HPLC) with Fluorescence Detection for Quantification of Steroids in Clinical, Pharmaceutical, and Environmental Samples: A Review. Molecules. 2022; 27(6):1807. https://doi.org/10.3390/molecules27061807

Chicago/Turabian Style

Hameedat, Fatima, Sahar Hawamdeh, Soraya Alnabulsi, and Aref Zayed. 2022. "High Performance Liquid Chromatography (HPLC) with Fluorescence Detection for Quantification of Steroids in Clinical, Pharmaceutical, and Environmental Samples: A Review" Molecules 27, no. 6: 1807. https://doi.org/10.3390/molecules27061807

APA Style

Hameedat, F., Hawamdeh, S., Alnabulsi, S., & Zayed, A. (2022). High Performance Liquid Chromatography (HPLC) with Fluorescence Detection for Quantification of Steroids in Clinical, Pharmaceutical, and Environmental Samples: A Review. Molecules, 27(6), 1807. https://doi.org/10.3390/molecules27061807

Article Metrics

Back to TopTop