Next Article in Journal
Screening and Demulsification Mechanism of Fluorinated Demulsifier Based on Molecular Dynamics Simulation
Previous Article in Journal
Synthesis of Polysubstituted Ferrocenesulfoxides
 
 
Font Type:
Arial Georgia Verdana
Font Size:
Aa Aa Aa
Line Spacing:
Column Width:
Background:
Article

Coupling Reactions of Anhydro-Aldose Tosylhydrazones with Boronic Acids

Department of Organic Chemistry, University of Debrecen, P.O. Box 400, H-4002 Debrecen, Hungary
*
Authors to whom correspondence should be addressed.
Molecules 2022, 27(6), 1795; https://doi.org/10.3390/molecules27061795
Submission received: 5 February 2022 / Revised: 3 March 2022 / Accepted: 6 March 2022 / Published: 9 March 2022

Abstract

:
A catalyst-free coupling reaction between O-peracetylated, O-perbenzoylated, O-permethylated, and O-permethoxymethylated 2,6-anhydro-aldose tosylhydrazones (C-(β-d-glycopyranosyl)formaldehyde tosylhydrazones) and aromatic boronic acids is reported. The base-promoted reaction is operationally simple and exhibits a broad substrate scope. The main products in most of the transformations were open-chain 1-C-aryl-hept-1-enitol type compounds while the expected β-d-glycopyranosylmethyl arenes (benzyl C-glycosides) were formed in subordinate yields only. A mechanistic rationale is provided to explain how a complex substrate may change the well-established course of the reaction.

1. Introduction

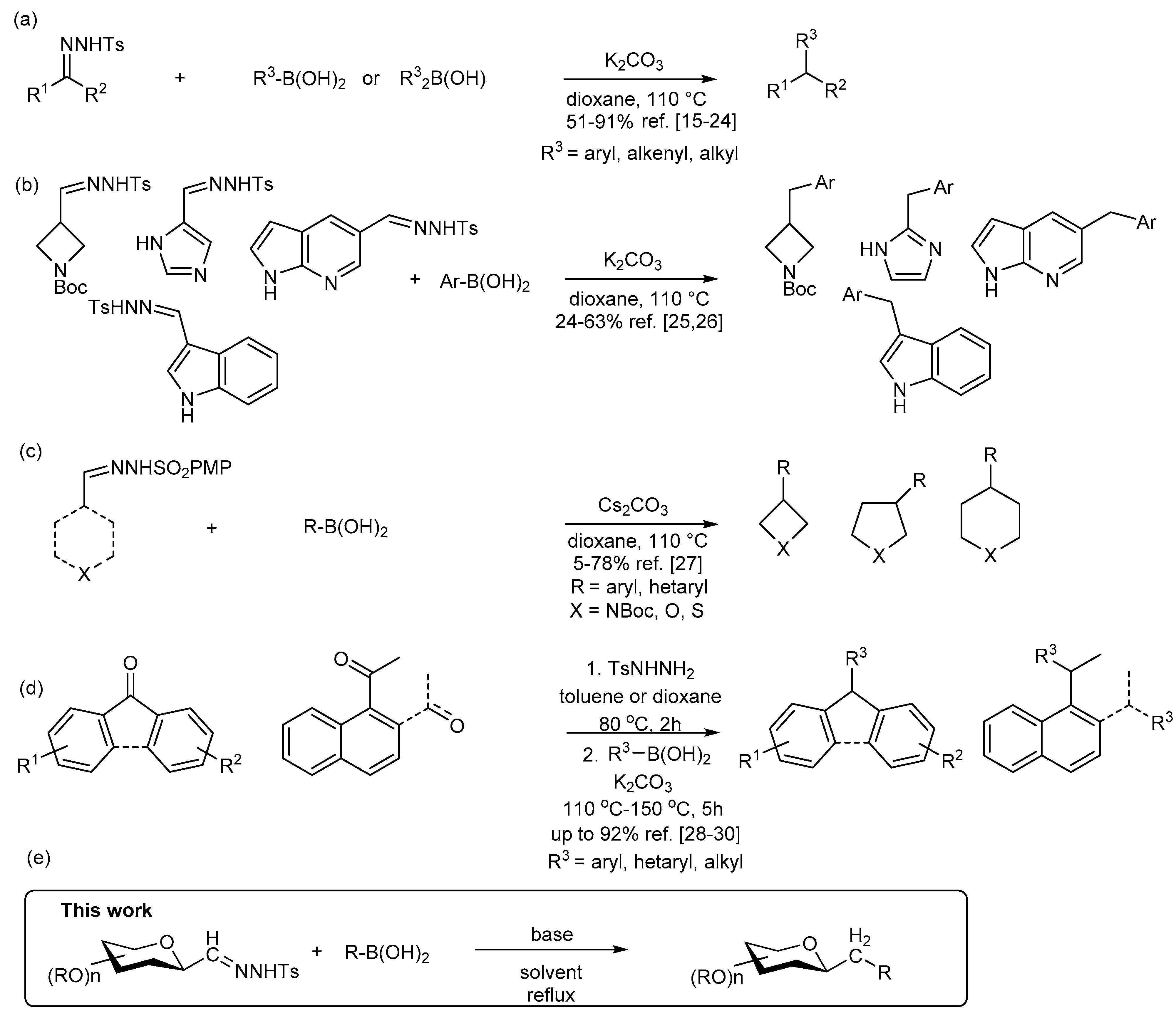
N-Tosylhydrazones have extensively been used in organic synthesis for more than half a century. In the past decade N-tosylhydrazones were generally applied in a variety of carbon–carbon and carbon–heteroatom bond forming reactions [1,2,3,4,5,6]. These transition metal catalyzed or catalyst-free cross-coupling reactions proceed through the in situ generated diazo compounds, followed by the formation of metal–carbene or carbene intermediates, which lead to the corresponding coupled products. Carbohydrate tosylhydrazones are also known, but their application in coupling reactions is poorly investigated.
In our research group an easy, one-step method was worked out for the synthesis of anhydro-aldose tosylhydrazones from readily accessible glycosyl cyanides [7,8,9]. We began a systematic study aimed at the investigation of the applicability of anhydro-aldose-tosylhydrazones 1 [7,8,9] in coupling reactions. In this project C-O [10], C-S [11], and C-N [12] bonds were successfully formed under metal-free conditions, while C-C bonds [13,14] were obtained in Pd-catalyzed reactions (Scheme 1).
The metal-free reaction between the diazo precursor N-tosylhydrazones and alkyl, alkenyl, and arylboronic acids has been established in recent years as a powerful C(sp3)–C bond-forming transformation (Scheme 2a) that avoids the application of precious metal catalysts and highly air/moisture-sensitive or expensive coupling partners [15,16]. However, this reaction was primarily limited to benzylic, α-heterocyclic, and/or aldehyde-derived tosylhydrazones at the substrate level, with lower yields observed for substrates that differed from these [15,17,18,19,20]. Dai and coworkers expanded this reductive coupling to acylferrocene tosylhydrazones, producing highly substituted α-arylalkylferrocenes [21]. N-Tosylhydrazones derived from 2-, 3-, and 4-substituted cyclohexanones and 4-substituted cyclopentanone were also used in couplings with alkenyl boronic acids [22]. The reductive coupling of N-tosylhydrazones under the standard reaction conditions was also examined with diarylborinic acids (Ar2B(OH)) to give diarylmethanes with good yields [23]. Kirschning developed a flow protocol for the reductive coupling reaction of N-tosylhydrazones with aryl boronic acids. To increase the practical applicability of the reaction, a two-step continuous flow protocol, starting with carbonyl compounds and tosylhydrazide, was also developed [24]. Nakagawa and coworkers expanded the scope of the transformation to a set of challenging heterocycle-containing aldehyde tosylhydrazones, such as those of protected azetidine, imidazole, and azaindole derivatives. These couplings resulted in low to good yields of drug-like molecules, bicyclic products, with a methylene linker between the rings (Scheme 2b) [25]. This type of coupling of indole-3-carbaldehyde tosylhydrazone with boronic acids was used for the synthesis of biologically important 3-benzyl indole derivatives (Scheme 2b) [26]. Ley and coworkers used the procedure for the metal-free coupling of 4-, 5-, and 6-membered saturated heterocyclic p-methoxyphenyl (PMP) sulfonylhydrazones with (het)aryl boronic acids to form sp2−sp3 linked bicyclic building blocks, including oxetanes, piperidines, and azetidines, from their parent ketones (Scheme 2c) [27]. The reductive coupling was also applied for the synthesis of 9-arylfluorenes (Scheme 2d) [28]. Thus, a wide range of 9-arylfluorenes was prepared in a one-pot process from 9-fluorenones by treatment with N-tosylhydrazide, followed by the reductive coupling of (het)aryl and alkyl boronic acids in the presence of potassium carbonate. A similar protocol was applied for the synthesis of triarylmethanes from less reactive diaryl ketones (Scheme 2d) [29] and 1(or 2)-(1-phenylethyl)naphthalenes from acetyl naphthalene derivatives [30]. Wang and coworkers developed a three-component transition-metal-free reaction from α-halo-N-tosylhydrazones in the presence of N-alkylindoles and arylboronic acids to form a range of 3-substituted indoles [31]. A new type of cascade cyclization by reaction of alkenylboronic acids with 2-cyanoethyl or 3-cyanopropylcyclohexanone N-tosylhydrazones was developed by Valdés et al. [32,33]. A similar reaction between γ-azido-N-tosylhydrazones and boronic acids led to the formation of 2,2-disubstituted pyrrolidines in a domino process under microwave activation [34].
As the tosylhydrazone-boronic acid coupling can be of a great potential to avoid the utility of costly and poisonous metals and ligands, metal-free coupling reactions of boronic acids with anhydro-aldose tosylhydrazones were examined as a new type of substrate with higher complexity in comparison to the previous ones (Scheme 2e). This transformation offers a simple possibility for the formation of C-glycosylmethyl derivatives whose preparation is rather cumbersome in the literature [13,35,36,37,38,39,40,41,42,43]. Herein we disclose our experiences with this reaction using various sugar configurations, protecting groups and boronic acids.

2. Results and Discussion

We started our study with the reaction between O-perbenzoylated C-(β-d-glucopyranosyl)formaldehyde tosylhydrazone 1a [7,8,9] and phenylboronic acid (Table 1). First, the literature conditions [15] were applied using 1.5 equivalents of boronic acid and 1.5 equivalents of K2CO3 as the base in dry dioxane at reflux temperature (entry 1). The transformation resulted in a complex mixture, containing heptenitols 3a and 4a and exo-glucal 5 [8,44,45] but we did not observe the formation of the expected C-glucoside 2a [13]. However, it can be assumed that the formation of the open chain compounds might occur by a base mediated ring-opening process, whose driving force could be the resonance stabilization of styrene 3a. Similar heptenitols were obtained by the Wittig reaction [46,47]. Migration of a benzoyl protecting group could result in 4a, and intramolecular carbene insertion into the C-2-H bond yielded exo-glucal 5 [8,44,45]. With other bases (Bu4NF, LiOtBu, and K3PO4) the formation of the coupled product 2a could also not be observed (entries 2–4). Instead, we obtained variable amounts of the heptenitols 3a and 4a, and exo-glucal 5. Increasing the amount of K3PO4 raised the yield of heptenitol 3a to 43% (entry 5). The effects of solvents other than dioxane were also studied, but in each case, complex reaction mixtures were obtained (entries 6–8). On the other hand, performing the reaction in the presence of five equivalents of phenylboronic acid with three or four equivalents of K3PO4 gave the C-glucoside 2a in a very low yield beside 3a, while 4a and 5 were also isolated (entries 9 and 10). Raising the base excess gave exo-glucal 5 in moderate yield and heptenitols 3a and 4a in traces (entry 11). The best result was achieved with 20-fold excess of phenylboronic acid and 10-fold excess of K3PO4, to give heptenitol 3a in 70% yield (entry 12). Thus, instead of the expected C-glycosylmethylarene derivative 2a, an open chain compound, 3a, proved to be the main product of the transformation.
To avoid base mediated side reactions, such as the acyl migration, C-(β-d-glucopyranosyl)formaldehyde tosylhydrazone Li-salt 1b [10,12] was used for the couplings, where no added base is needed. Attempted reactions under UV irradiation (λ = 254 nm and 368 nm) carried out in a quartz tube proved to be totally ineffective, resulting in complex reaction mixtures. However, thermic conditions gave, generally, 3a as the main product, besides C-glucoside 2a and exo-glucal 5 (entries 13 and 14). Although the application of 10 equivalents of boronic acid significantly increased the yields (entry 15), the Li-salt reactions appeared less effective. Thus, tosylhydrazone 1a and 1.5 or 20-fold excess of a boronic acid and 3 or 10-fold excesses of K3PO4 were used in further transformations.
The coupling reaction of 1a was also examined with a variety of aryl boronic acids under the conditions selected above. These reactions resulted in varying yields of compound types 25, among which the heptenitols 3 and 4 were the main products (Table 2). Application of higher excess of boronic acids and K3PO4 improved the yields in couplings with 4-(dibenzofuranyl) and 4-methoxyphenyl boronic acids (compare entries 3–4 and 6–7), but in other cases, this had no significant effect on the reaction outcome (compare entries 1–2, 10–11 and 12–13). The coupling was found to be significantly affected by the substituents on the aromatic ring; boronic acids with electron-releasing (entries 1–7) and chloro (entries 8 and 9)-substituents gave better yields. However, with the strong electron-withdrawing nitro group (entries 10–13) exo-glucal 5 was the main product, the coupled compound 2h was observed in only one case. Isolation of the products in pure state often encountered difficulties. Due to very similar mobilities in silica gel column chromatography, C-glucosyl compounds 2 were polluted with the exo-glucal 5, and heptenitols 3 and 4 polluted each other, therefore the yields were generally calculated on the basis of the 1H NMR spectra (Supplementary Materials).
The coupling of O-peracetylated C-(β-d-galactopyranosyl)formaldehyde tosylhydrazone (6, Table 3) with phenylboronic acid was also investigated. With 1.5 equivalents of phenylboronic acid and 3 equivalents of potassium carbonate, only traces of the known compound types 7, 8, and 10 [8,44,45] were detected in the complex product mixture (entry 1), but with a 20-fold excess of the boronic acid C-(galactosyl)phenylmethane 7 was formed in low yield and heptenitols 8 and 9 proved to be the main products (entry 2). A compound with a free 6-OH (analogue of 3), though might be formed, could not be detected possibly due to a faster acetyl migration to give 8 and 9.
The NMR analysis provided evidence for the structure of all of the above derivatives and these are illustrated here by the examples of compounds 2, 3, and 4. Anhydro-heptitol 2a, synthesized in our group earlier [13], showed characteristic 1H NMR resonances for the C-1 methylene (δ 2.96 ppm (H-1a), 2.92 ppm (H-1b), with a great geminal coupling constant (12.3 Hz) between them) and the H-2 (‘anomeric’) protons (4.00 ppm). The characteristic 13C NMR resonances were δ 38.0 ppm (C-1) and 79.2 ppm (C-2). 1H and 13C NMR analysis of C-glycosyl derivatives 2b,c,f,h showed similar chemical shifts for H-1a (2.92–3.44 ppm), H-1b (2.90–3.29 ppm), H-2 (3.98–4.33 ppm), C-1 (32.1–38.1), and C-2 (77.9–79.2) with geminal coupling constants of H-1a-1b in the range of 14.3–15.0 Hz. These data indicated the similar structure of the C-glycosyl derivatives 2. Ring-opened heptenitols 3 and 4 showed quite different spectral data. Signals characteristic for C-1 and C-2 of compounds 2 in the above ranges were missing in the 13C NMR spectra of 3 and 4, instead resonances for –CH= type carbons in the ranges 130.8–136.9 ppm (for C-1) and 119.6–125.9 ppm (for C-2) appeared to prove the presence of a double bond in the molecules. The acyclic form was evidenced by the small vicinal coupling constants (in the range of 0.8–8.9 Hz). The great values (14.9–16.3 Hz) of coupling constant 3J1,2 proved the E-configured double bond C-1=C-2 in these structures. The position of the free OH groups of heptenitols 3 and 4 were confirmed by observing cross peaks between OH and H-6 in heptenitols 3 and OH and H-5 in molecules 4 in their 1H–1H COSY spectra.
To further prove the formation of heptenitols and acyl group migration, benzoylation/acetylation of the corresponding compounds under standard conditions were carried out. Benzoylation [47] of the mixture of heptenitols 3 and 4 resulted in a single product 11 (Table 4) while acetylation [48] of heptenitol 9 gave O-peracetylated product 12 in good to excellent yields (Scheme 3).
To get an insight into the effect of hydrolytically resistant ether type protecting groups on the outcome of the studied coupling reactions, O-permethylated (β-d-glucopyranosyl)formaldehyde tosylhydrazone 17 was synthesized. Methyl glucoside 13 was O-permethyled to get 14 [49] which was converted to the acetate derivative 15 [50] (Scheme 4). On reacting 15 with trimethylsilyl cyanide in the presence of boron trifluoride etherate, cyanide 16 [51] was obtained. The anomers were separated by column chromatography. Then, β-cyanide 16β was reduced in the presence of tosylhydrazide to give β-d-glucosyl tosylhydrazone 17 as a mixture of E and Z isomers.
Couplings with 17 gave cleaner product mixtures in better yields, and resulted in C-glucosides 18 (Table 5, entries 2, 4, and 8) or open-chain heptenitols 19 and 20 as the main products (entries 1, 5, 6, 7, 9, 10). Exo-glucal 21 [52] was always formed as a by-product. Compounds 18 and 21 proved inseparable, similar to open chain isomers 19 and 20.
The transformation was extended to the acetal protected galactose derivative 24, which was synthesized from the galactosyl cyanide 22 in two steps. Compound 22 was reacted with methoxymethyl chloride to obtain cyanide 23 [53], then a reduction step in the presence of tosylhydrazide gave a mixture of E and Z isomers of 24 (Scheme 5).
The coupling reation of 24 with phenylboronic acid resulted in E heptenitol 26 as the main product and an inseparable mixture of C-(galactopyranosyl)phenylmethane 25 and exo-galactal 28 [53]. The Z isomer 27 was also detected in the mixture (Scheme 6).
For the structure elucidation of Me (1820) and MOM (2527), protected derivatives 1D-NMR (1H, 13C) and 2D-NMR (1H–1H COSY, HSQC, and HMBC) spectra were recorded. The characteristic chemical shifts of C-1 (32.0–38.1 ppm vs. 132.3–134 ppm) and C-2 (79.0–80.9 ppm vs. 124.3–130.4 ppm) clearly revealed the structures of the anhydro-heptitols 18, 25, and heptenitols 19, 20, 26, 27, respectively.
In contrast to the transformations of acylated derivatives 2 and 7, those of tosylhydrazones 17 and 24 possessing ether-type protecting groups (Me, MOM) resulted in no migration of the protecting groups as expected, but the E and Z isomers of the acyclic derivatives were isolated. The configuration of the double bonds was identified by the vicinal coupling constants being 16.0 Hz for the E and 11.4–12.1 Hz for the Z isomers. The measured vicinal coupling constants showed high variety for heptenitols 19 and 20, in contrast to the cyclic 4C1 conformers 18, where these values were 8.7 and 9.8 Hz for the trans diaxial protons. The position of the free OH groups of heptenitols 19, 20, 26, and 27 were confirmed by observing cross peaks between OH and H-6 in their 1H–1H COSY spectra.
Table 6. Examination of possible ring opening of some anhydro-heptitols.
Table 6. Examination of possible ring opening of some anhydro-heptitols.
Molecules 27 01795 i006
Entry PGReaction ConditionsExperience
ArBoronic Acid (Equiv.)K3PO4
(Equiv.)
t
(h)
12aBzPh-1022partial deprotection
218gMe4-NO2C6H4-321no conversion
318gMe4-NO2C6H41.5-21no conversion
418cMe4-CF3C6H41.5321no conversion
Table 7. Examination of possible ring closing of heptenitols.
Table 7. Examination of possible ring closing of heptenitols.
Molecules 27 01795 i007
Entry Reaction ConditionsExperience
ArBoronic Acid (Equiv.)K3PO4
(Equiv.)
t
(h)
119c, 20c4-CF3C6H41.5321no conversion
219d, 20d4-FC6H4-321no conversion
319e, 20e4-ClC6H41.5-21no conversion
To obtain more information about the formation of the open-chain heptenitols, first we checked the possibility of the ring opening of the anhydro-heptitols under the reaction conditions. Thus, 2a was reacted with K3PO4 but partial deprotection of 2a was observed only, without the formation of 3a (Table 6, entry 1). The methyl protected derivatives 18c or 18g reacted neither in the presence of K3PO4, nor of a boronic acid or both (entries 2–4).
Next, formation of C-(glycosyl)arylmethane derivatives 18c,d,e was examined from the corresponding heptenitols 19c,d,e and 20c,d,e. Attempted reactions in the presence of base and/or boronic acid resulted in no conversion (Table 7).
Based on these observations, it can be concluded that the cyclic C-glycosylmethyl derivatives and the open-chain heptenitols are not interconvertible under the applied conditions, they must be formed from the same intermediate during the reaction.
To explain these experiences, the following mechanistic possibilities can be considered (Scheme 7). Loss of a sulfinate ion from tosylhydrazones I upon deprotonation or from Li-salt V may lead to the diazo intermediate VI which can give rise to carbene VII by eliminating a nitrogen molecule. The zwitterionic intermediate VIII, which arises from carbene VII (path a) or boronate complex X, formed from the diazo compound VI (path b), may lead to intermediate IX. Then, protodeboronation of IX under basic conditions can give anhydro-heptitol type products III (path c). Nevertheless, in intermediate IX, the ring oxygen, as a Lewis base, can attack the electron deficient boron atom to form the open chain heptenitol borate XI (path e) which, upon hydrolysis, can lead to the isolated heptenitols IV. The driving force of this rearrangement may be the conjugation of the double bond with the aromatic system, leading to an energetically more stable species. The standard by-product exo-glycal II can be formed by an intramolecular insertion reaction of carbene VII (path d).

3. Conclusions

This study on the metal-free coupling reactions of C-(β-d-glycopyranosyl)formaldehyde (2,6-anhydro-aldose) tosylhydrazones with aromatic boronic acids revealed that the main reaction pathway was the formation of ring-opened hept-1-enitol derivatives, while the expected C-glycopyranosyl compounds (benzyl C-glycosides) were formed only in low to moderate yields. The corresponding exo-glycals always appeared as unavoidable by-products. O-Acyl protecting groups on the carbohydrate moieties underwent migrations which further increased the number of products in the otherwise rather complex reaction mixtures. Tosylhydrazones with ether type O-protections gave cleaner reactions but resulted in the same product types in similar ratios. The suggested mechanistic rationale explained how the complex sugar-derived tosylhydrazone substrates changed the reaction pathway. We think that this study also highlights the importance of transformations of high complexity which, though resulting in several products, may lead to a better understanding of their mechanism and may thus inspire further work.

4. Experimental

4.1. General Methods

Optical rotations were determined with a Perkin–Elmer 241 polarimeter or Jasco P-2000 (Easton, MD, USA) at room temperature. NMR spectra were recorded with a Bruker AM Avance DRX 360 MHz (360/90 MHz for 1H/13C) or Bruker AM Avance I 400 MHz (400/100 MHz for 1H/13C) or Bruker AM Avance II 500 MHz (500/125 MHz for 1H/13C) spectrometers. Chemical shifts are referenced to TMS as the internal reference (1H), or to the residual solvent signals (13C). The assignments of the 1H and 13C NMR signals of compounds 24, 79, 11, 12, 1820, and 2527 were performed by their COSY (2a, 3a,c, 4a,e, 7, 8, 9, 11a,b, 12, 18b,f,i, 19a,c,h,i, 20a,d,i, 25, 26, 27), HSQC (2a, 3a,c, 4a,e, 7, 8, 9, 11a,b, 12, 18b,f,i, 19a,c,h,i, 20a,d,i, 25, 26, 27), or HMBC (3a,c, 4a,e, 7, 8, 9, 11a,b, 12, 18b,e,f,i, 19a,c,h,i, 20a,d,i, 25, 26, 27) spectra. Mass spectra were recorded with maXis II UHR ESI-QTOF MS (Bruker Daltonik, Bremen, Germany) instruments in positive ion mode with the electrospray ionization technique, or Thermo LTQ XL (Thermo Electron Corp., San Jose, CA, USA) mass spectrometers operated in a full scan positive ion ESI and APCI mode. TLC was performed on a DCAlurolle Kieselgel 60 F254 (Merck). TLC plates were visualized under UV light, and by gentle heating (generally no spray reagent was used but, if more intense charring was necessary, the plate was sprayed with the following solution: abs. EtOH (95 mL), cc. H2SO4 (5 mL), anisaldehyde (1 mL)). For column chromatography Kieselgel 60 (Merck, particle size (0.063–0.200 mm) was applied. The compound 1,4-dioxane was distilled from sodium benzophenone ketyl and stored over sodium wires.

4.2. General Procedure I: Conditions for the Reaction of Anhydro-Aldose Tosylhydrazones with Boronic Acids

A boronic acid (1.5 or 20 mmol, specified with the particular reactions) and K3PO4 (3 or 10 mmol, specified with the particular reactions) were suspended in dry 1,4-dioxane (15 mL). The suspension was stirred and heated to reflux, and then a solution of a tosylhydrazone (1; 17 or 24, 1 mmol) in dry 1,4-dioxane (15 mL) was added dropwise over ~20 min. When TLC (1:2 EtOAc–hexane for 1 and 17, 1:1 EtOAc–hexane for 24) indicated complete consumption of the starting compound (20 min–4 h), the mixture was cooled down and the insoluble material was filtered off and washed thoroughly with dry 1,4-dioxane (3 × 20 mL). The solvent was removed under reduced pressure, and the residue was purified by column chromatography, with eluents indicated for the particular compounds to give anhydro heptitols and hept-1-enitols.

4.3. Characterization of Anhydro-Heptitols 2

4.3.1. 2,6-Anhydro-3,4,5,7-Tetra-O-Benzoyl-1-Deoxy-1-Phenyl-d-glycero-d-gulo-Heptitol (2a)

Isolated from a reaction of tosylhydrazone 1a (0.10 g, 0.13 mmol), phenylboronic acid (1.5 equiv., 0.02 g, 0.19 mmol), and K3PO4 (3 equiv., 0.08 g, 0.39 mmol) according to General procedure I by column chromatography (1:2 EtOAc–hexane) to yield 3 mg (4%) of 2a as a white amorphous product. Optical rotation, NMR and MS spectra are identical with those reported [13].
Molecules 27 01795 i008

4.3.2. 2,6-Anhydro-3,4,5,7-Tetra-O-Benzoyl-1-Deoxy-1-(Naphth-2-yl)-d-glycero-d-gulo-Heptitol (2b)

Isolated from a reaction of tosylhydrazone 1a (0.10 g, 0.13 mmol), naphthalen-2-ylboronic acid (20 equiv., 0.44 g, 2.57 mmol), and K3PO4 (10 equiv., 0.27 g, 1.29 mmol) according to General procedure I by column chromatography (1:4 EtOAc–hexane) to yield 4 mg (4%) of 2b as a pale brown amorphous solid. Rf: 0.42 (1:2 EtOAc–hexane); [α]D + 6 (c 0.16, CH2Cl2). 1H NMR (400 MHz, CDCl3) δ 7.99–7.19 (27H, m, aromatics), 5.90 (1H, pszeudo t, J4,5 9.6 Hz, H-4), 5.62 (1H, pseudo t, J5,6 9.7 Hz, H-5), 5.52 (1H, pseudo t, J3,4 9.6 Hz, H-3), 4.57 (1H, dd, J7a,7b 12.0 Hz, H-7a), 4.41 (1H, dd, H-7b), 4.09 (1H, ddd, J1a,2 5.1, J1b,2 6.6, J2,3 9.8 Hz, H-2), 4.04 (1H, ddd, J6,7a 2.7, J6,7b 6.3 Hz, H-6), 3.12 (1H, dd, J1a,1b 14.8 Hz, H-1a), 3.08 (1H, dd, H-1b). 13C NMR (90 MHz, CDCl3) δ 166.3, 166.1, 165.6, 165.5 (4 × CO), 136.6–124.7 (aromatics), 79.2 (C-2), 76.3 (C-6), 74.7 (C-4), 72.6 (C-3), 70.1 (C-5), 63.6 (C-7), 38.3 (C-1). HR-ESI-MS positive mode (m/z): calc. for [M + Na]+ = 743.2252, found: [M + Na]+ = 743.2253; C45H36O9 (720.24).
Molecules 27 01795 i009

4.3.3. 2,6-Anhydro-3,4,5,7-Tetra-O-Benzoyl-1-(4-Dibenzo[b,d]furanyl)-1-Deoxy-d-glycero-d-gulo-Heptitol (2c)

Isolated from a reaction of tosylhydrazone 1a (0.10 g, 0.13 mmol), dibenzo[b,d]furan-4-ylboronic acid (20 equiv., 0.55 g, 2.57 mmol), and K3PO4 (10 equiv., 0.27 g, 1.29 mmol) according to General procedure I by column chromatography (1:3 EtOAc–hexane) to yield 30 mg pale brown amorphous solid containing 2c and 5 in 1:1 ratio. Rf: 0.50 (1:2 EtOAc–hexane). 1H NMR (400 MHz, CDCl3) δ 8.21–6.93 (27H, m, aromatics), 5.91 (1H, pseudo t, J4,5 9.5 Hz, H-4), 5.64 (1H, pseudo t, J5,6 9.8 Hz, H-5), 5.52 (1H, pseudo t, J3,4 9.8 Hz, H-3), 4.56 (1H, dd, J7a,7b 12.0 Hz, H-7a), 4.42 (1H, dd, H-7b), 4.33 (1H, ddd, J1a,2 3.2, J1b,2 8.0, J2,3 9.8 Hz, H-2), 4.07 (1H, ddd, J6,7a 2.9, J6,7b 5.9 Hz, H-6), 3.44 (1H, dd, J1a,1b 14.6 Hz, H-1a), 3.29 (1H, dd, H-1b). 13C NMR (100 MHz, CDCl3) δ 166.3, 166.1, 165.5 (4 × CO), 135.6–110.4 (aromatics), 77.9 (C-2), 76.2 (C-6), 74.8 (C-4), 72.5 (C-3), 70.1 (C-5), 63.5 (C-7), 32.1 (C-1). HR-ESI-MS positive mode (m/z): calc. for [M + H]+ = 761.2381, found: [M + H]+ = 761.2379; C47H36O10 (760.23).
Molecules 27 01795 i010

4.3.4. 2,6-Anhydro-3,4,5,7-Tetra-O-Benzoyl-1-(3-Chlorophenyl)-1-Deoxy-d-glycero-d-gulo-Heptitol (2f)

Isolated from a reaction of tosylhydrazone 1a (0.10 g, 0.13 mmol), 3-chlorophenylboronic acid (1.5 equiv., 0.03 g, 0.19 mmol), and K3PO4 (3 equiv., 0.08 g, 0.39 mmol) according to General procedure I by column chromatography (1:4 EtOAc–hexane) to yield 13 mg white amorphous solid containing 2f and 5 in 1:2 ratio. Rf: 0.48 (1:2 EtOAc–hexane). 1H NMR (400 MHz, CDCl3) δ 8.13–7.76 (12H, m, aromatics), 7.63–6.94 (12H, m, aromatics), 5.89 (1H, pseudo t, J4,5 9.7 Hz, H-4), 5.60 (1H, pseudo t, J5,6 9.7 Hz, H-5), 5.45 (1H, pseudo t, J3,4 9.5 Hz, H-3), 4.57 (1H, dd, J7a,7b 12.1 Hz, H-7a), 4.42 (1H, dd, H-7b), 4.05 (1H, ddd, J6,7a 2.8, J6,7b 6.2 Hz, H-6), 3.98 (1H, ddd, J1a,2 5.3, J1b,2 6.6, J2,3 9.7 Hz, H-2), 2.92 (1H, dd, J1a,1b 15.0 Hz, H-1a), 2.90 (1H, dd, H-1b). 13C NMR (90 MHz, CDCl3) δ 166.3, 166.1, 165.7, 165.6 (4 × CO), 156.3–125.7 (aromatics), 78.8 (C-2), 76.4 (C-6), 74.6 (C-4), 72.6 (C-3), 70.1 (C-5), 63.5 (C-7), 37.4 (C-1). HR-ESI-MS positive mode (m/z): calc. for [M + Na]+ = 727.1705, found: [M + Na]+ = 727.1708; C41H33ClO9 (704.18).
Molecules 27 01795 i011

4.3.5. 2,6-Anhydro-3,4,5,7-Tetra-O-Benzoyl-1-Deoxy-1-(4-Nitrophenyl)-d-glycero-d-gulo-Heptitol (2h)

Isolated from a reaction of tosylhydrazone 1a (0.30 g, 0.39 mmol), 4-nitrophenylboronic acid (20 equiv., 1.30 g, 7.72 mmol), and K3PO4 (10 equiv., 0.82 g, 3.86 mmol) according to General procedure I by column chromatography (1:3 EtOAc–hexane) to yield 32 mg pale brown amorphous solid containing 2h and 5 in 4:1 ratio. Rf: 0.44 (1:2 EtOAc–hexane). 1H NMR (400 MHz, CDCl3) δ 8.32–7.72 (8H, m, aromatics), 7.69–7.16 (16H, m, aromatics), 5.90 (1H, pseudo t, J4,5 9.5 Hz, H-4), 5.58 (1H, pseudo t, J5,6 9.8 Hz, H-5), 5.45 (1H, pseudo t, J3,4 9.7 Hz, H-3), 4.53 (1H, dd, J7a,7b 12.2 Hz, H-7a), 4.48 (1H, dd, H-7b), 4.05 (1H, ddd, J6,7a 3.2, J6,7b 6.6 Hz, H-6), 3.99 (1H, ddd, J1a,2 5.1, J1b,2 7.0, J2,3 9.7 Hz, H-2), 3.03 (1H, dd, J1a,1b 14.3 Hz, H-1a), 3.02 (1H, dd, H-1b). 13C NMR (90 MHz, CDCl3) δ 166.4, 166.2, 165.7, 165.6 (4 × CO), 161.7–115.1 (aromatics), 78.3 (C-2), 76.4 (C-6), 74.5 (C-4), 72.5 (C-3), 70.0 (C-5), 63.3 (C-7), 37.8 (C-1). HR-ESI-MS positive mode (m/z): calc. for [M + Na]+ = 738.1946, found: [M + Na]+ = 738.1950; C41H33NO11 (715.21).
Molecules 27 01795 i012

4.4. Characterization of Hept-1-Enitols 3 and 4

4.4.1. (E)-3,4,5,7-Tetra-O-Benzoyl-1,2-Dideoxy-1-Phenyl-d-gluco-Hept-1-Enitol (3a)

Prepared from tosylhydrazone 1a (0.80 g, 1.03 mmol), phenylboronic acid (20 equiv., 2.51 g, 20.60 mmol), and K3PO4 (10 equiv., 2.19 g, 10.30 mmol) according to General procedure I. Purified by column chromatography (1:4 EtOAc–hexane) to yield 484 mg (70%) of 3a as a white amorphous solid. Rf: 0.36 (1:2 EtOAc–hexane); [α]D + 21 (c 0.20, CH2Cl2). 1H NMR (500 MHz, CDCl3) δ 8.18–7.82 (8H, m, aromatics), 7.64–7.15 (17H, m, aromatics), 6.78 (1H, d, J1,2 15.9 Hz, H-1), 6.32 (1H, dd, J2,3 6.9 Hz, H-2), 6.14–6.02 (2H, m, H-3, H-4), 5.76 (1H, dd, J4,5 0.8, J5,6 8.9 Hz, H-5), 4.53 (1H, dd, J6,7a 2.6, J7a,7b 11.9 Hz, H-7a), 4.34 (1H, dd, J6,7b 5.7 Hz, H-7b), 4.21–4.11 (1H, m, H-6), 3.58 (1H, d, J6,OH 4.3 Hz, OH). 13C NMR (125 MHz, CDCl3) δ 167.3, 166.7, 165.6, 165.4 (4 × CO), 136.7 (C-1), 136.3–125.9 (aromatics), 122.1 (C-2), 73.9 (C-3), 73.3 (C-4), 71.3 (C-5), 68.6 (C-6), 65.5 (C-7). HR-ESI-MS positive mode (m/z): calc. for [M + Na]+ = 693.2095, found: [M + Na]+ = 693.2095; C41H34O9 (670.22).
Molecules 27 01795 i013

4.4.2. (E)-3,4,6,7-Tetra-O-Benzoyl-1,2-Dideoxy-1-Phenyl-d-gluco-Hept-1-Enitol (4a)

Isolated from a reaction of tosylhydrazone 1a (0.30 g, 0.39 mmol), phenylboronic acid (20 equiv., 0.94 g, 7.72 mmol), and K3PO4 (10 equiv., 8.20 g, 3.86 mmol) according to General procedure I by column chromatography (1:2 EtOAc–hexane) to yield 24 mg yellow amorphous solid containing 4a and 3a in 10:2 ratio. Rf: 0.37 (1:2 EtOAc–hexane). 1H NMR (400 MHz, CDCl3) δ 8.22–7.77 (8H, m, aromatics), 7.63–7.06 (17H, m, aromatics), 6.99 (1H, d, J1,2 15.6 Hz, H-1), 6.31 (1H, dd, J2,3 8.0 Hz, H-2), 6.23 (1H, pseudo t, J3,4 8.6 Hz, H-3), 5.82 (1H, dd, J4,5 1.3 Hz, H-4), 5.44 (1H, ddd, J6,7a 3.3, J6,7b 4.4, J5,6 8.0 Hz, H-6), 4.81 (1H, dd, J7a,7b 12.4 Hz, H-7a), 4.74 (1H, dd, H-7b), 4.39 (1H, pseudo t, H-5), 3.25 (1H, d, J5,OH 8.4 Hz, OH). 13C NMR (100 MHz, CDCl3) δ 167.3, 166.7, 165.7, 165.4 (4 × CO), 136.9 (C-1), 136.3–124.1 (aromatics), 122.7 (C-2), 74.6 (C-3), 72.4 (C-4), 71.7 (C-6), 68.5 (C-5), 63.4 (C-7). HR-ESI-MS positive mode (m/z): calc. for [M + Na]+ = 693.2095, found: [M + Na]+ = 693.2096; C41H34O9 (670.22).
Molecules 27 01795 i014

4.4.3. (E)-3,4,5,7-Tetra-O-Benzoyl-1,2-Dideoxy-1-Naphth-2-yl-d-gluco-Hept-1-Enitol (3b) and (E)-3,4,6,7-Tetra-O-Benzoyl-1,2-Dideoxy-1-Naphth-2-yl-d-gluco-Hept-1-Enitol (4b)

Isolated from a reaction of tosylhydrazone 1a (0.10 g, 0.13 mmol), naphthalen-2-ylboronic acid (20 equiv., 0.44 g, 2.57 mmol), and K3PO4 (10 equiv., 0.27 g, 1.29 mmol) according to General procedure I by column chromatography (1:4 EtOAc–hexane) to yield 70 mg pale brown amorphous solid containing 3b and 4b in 1.5:1 ratio. Rf: 0.25 (1:2 EtOAc–hexane).
Molecules 27 01795 i015
3b: 1H NMR (400 MHz, CDCl3) δ 8.20–7.03 (27H, m, aromatics), 6.94 (1H, d, J1,2 15.9 Hz, H-1), 6.45 (1H, dd, J2,3 6.7 Hz, H-2), 6.19–6.09 (2H, m, H-3, H-4), 5.82 (1H, dd, J4,5 1.2, J5,6 8.9 Hz, H-5), 4.54 (1H, dd, J6,7a 3.0, J7a,7b 11.9 Hz, H-7a), 4.35 (1H, dd, J6,7b 5.7 Hz, H-7b), 4.24–4.13 (1H, m, H-6), 3.66 (1H, bs, OH). 13C NMR (100 MHz, CDCl3) δ 167.2, 166.7, 165.6, 165.4 (4 × CO), 136.6 (C-1), 136.4–123.3 (aromatics), 122.4 (C-2), 73.9 (C-3), 73.2 (C-4), 71.3 (C-5), 68.5 (C-6), 65.5 (C-7). HR-ESI-MS positive mode (m/z): calc. for [M + Na]+ = 743.2252, found: [M + Na]+ = 743.2250; C45H36O9 (720.24).
4b: 1H NMR (400 MHz, CDCl3) δ 8.20–7.03 (28H, m, aromatics, H-1), 6.44 (1H, dd, J1,2 15.8, J2,3 8.4 Hz, H-2), 6.31 (1H, pseudo t, J3,4 8.9 Hz, H-3), 5.88 (1H, dd, J4,5 1.4 Hz, H-4), 5.48 (1H, ddd, J6,7a 3.3, J6,7b 4.4, J5,6 8.0 Hz, H-6), 4.82 (1H, dd, J7a,7b 12.4 Hz, H-7a), 4.75 (1H, dd, H-7b), 4.44 (1H, d, H-5), 3.57 (1H, bs, OH). 13C NMR (100 MHz, CDCl3) δ 166.9, 166.3, 165.8, 165.4 (4 × CO), 136.9 (C-1), 136.4–123.0 (aromatics), 123.1 (C-2), 74.8 (C-3), 72.5 (C-4), 71.6 (C-6), 68.4 (C-5), 63.4 (C-7). HR-ESI-MS positive mode (m/z): calc. for [M + Na]+ = 743.2252, found: [M + Na]+ = 743.2254; C45H36O9 (720.24).

4.4.4. (E)-3,4,5,7-Tetra-O-Benzoyl-1-(4-Dibenzo[b,d]furanyl)-1,2-Dideoxy-d-gluco-Hept-1-Enitol (3c)

Prepared from tosylhydrazone 1a (0.10 g, 0.13 mmol), dibenzo[b,d]furan-4-ylboronic acid (1.5 equiv., 0.04 g, 0.19 mmol), and K3PO4 (3 equiv., 0.08 g, 0.39 mmol) according to General procedure I. Purified by column chromatography (1:2 EtOAc–hexane) to yield 16 mg (16%) of 3c as a pale brown amorphous solid. Rf: 0.32 (1:2 EtOAc–hexane); [α]D + 5 (c 0.11, CH2Cl2). 1H NMR (400 MHz, CDCl3) δ 8.38–7.68 (12H, m, aromatics), 7.64–7.16 (15H, m, aromatics), 7.15–6.92 (2H, m, H-1, H-2), 6.22 (1H, dd, J2,3 5.5, J3,4 8.0 Hz, H-3), 6.16 (1H, dd, J4,5 1.7 Hz, H-4), 5.87 (1H, dd, J5,6 8.9 Hz, H-5), 4.54 (1H, dd, J6,7a 3.0, J7a,7b 11.9 Hz, H-7a), 4.35 (1H, dd, J6,7b 5.7 Hz, H-7b), 4.23–4.15 (1H, m, H-6), 3.60 (1H, d, J6,OH 5.3 Hz, OH). 13C NMR (100 MHz, CDCl3) δ 167.2, 166.7, 165.6, 165.4 (4 × CO), 130.8 (C-1), 156.5–111.9 (aromatics), 125.9 (C-2), 74.1 (C-3), 73.3 (C-4), 71.3 (C-5), 68.6 (C-6), 65.5 (C-7). C47H36O10 (760.23). HR-ESI-MS positive mode (m/z): calc. for [M + Na]+ = 783.2201, found: [M + Na]+ = 783.2202; C47H36O10 (760.23).
Molecules 27 01795 i016

4.4.5. (E)-3,4,6,7-Tetra-O-Benzoyl-1-(4-Dibenzo[b,d]furanyl)-1,2-Dideoxy-d-gluco-Hept-1-Enitol (4c)

Prepared from tosylhydrazone 1a (0.10 g, 0.13 mmol), dibenzo[b,d]furan-4-ylboronic acid (20 equiv., 0.55 g, 2.57 mmol), and K3PO4 (10 equiv., 0.27 g, 1.29 mmol) according to General procedure I. Purified by column chromatography (1:3 EtOAc–hexane) to yield 29 mg (30%) of 4c as a yellow amorphous solid. Rf: 0.32 (1:2 EtOAc–hexane); [α]D + 5 (c 0.11, CH2Cl2). 1H NMR (400 MHz, CDCl3) δ 8.23–6.76 (27H, m, aromatics), 7.02 (1H, d, J1,2 16.2 Hz, H-1), 6.97 (1H, dd, J2,3 8.2 Hz, H-2), 6.29 (1H, pseudo t, J3,4 9.0 Hz, H-3), 5.91 (1H, dd, J4,5 1.5 Hz, H-4), 5.44 (1H, ddd, J6,7a 3.5, J6,7b 4.4, J5,6 8.0 Hz, H-6), 4.77 (1H, dd, J7a,7b 12.4 Hz, H-7a), 4.68 (1H, dd, H-7b), 4.50–4.41 (1H, m, H-5), 3.28 (1H, d, J5,OH 6.0 Hz, OH). 13C NMR (100 MHz, CDCl3) δ 167.1, 166.9, 165.9, 165.8 (4 × CO), 131.7 (C-1), 156.3–111.0 (aromatics), 120.6 (C-2), 75.1 (C-3), 72.5 (C-4), 71.7 (C-6), 68.4 (C-5), 63.3 (C-7). HR-ESI-MS positive mode (m/z): calc. for [M + Na]+ = 783.2201, found: [M + Na]+ = 783.2202; C47H36O10 (760.23).
Molecules 27 01795 i017

4.4.6. (E)-3,4,5,7-Tetra-O-Benzoyl-1,2-Dideoxy-1-(4-Methylphenyl)-d-gluco-Hept-1-Enitol (3d) and (E)-3,4,6,7-Tetra-O-Benzoyl-1,2-Dideoxy-1-(4-Methylphenyl)-d-gluco-Hept-1-enitol (4d)

Isolated from a reaction of tosylhydrazone 1a (0.10 g, 0.13 mmol), 4-methylphenylboronic acid (1.5 equiv., 0.03 g, 0.19 mmol), and K3PO4 (3 equiv., 0.08 g, 0.39 mmol) according to General procedure I by column chromatography (1:2 EtOAc–hexane) to yield 44 mg pale yellow amorphous solid containing 3d and 4d in 2:1 ratio. Rf: 0.38 (1:2 EtOAc–hexane).
Molecules 27 01795 i018
3d: 1H NMR (400 MHz, CDCl3) δ 8.20–7.81 (8H, m, aromatics), 7.64–7.01 (16H, m, aromatics), 6.74 (1H, d, J1,2 15.9 Hz, H-1), 6.26 (1H, dd, J2,3 6.7 Hz, H-2), 6.12–6.02 (2H, m, H-3, H-4), 5.75 (1H, dd, J4,5 1.1, J5,6 8.9 Hz, H-5), 4.52 (1H, dd, J6,7a 2.9, J7a,7b 11.9 Hz, H-7a), 4.34 (1H, dd, J6,7b 5.9 Hz, H-7b), 4.20–4.10 (1H, m, H-6), 3.60 (1H, d, J6,OH 5.2 Hz, OH), 2.33 (3H, s, CH3). 13C NMR (100 MHz, CDCl3) δ 167.3, 166.7, 165.6, 165.4 (4 × CO), 136.8 (C-1), 139.5–126.1 (aromatics), 120.9 (C-2), 74.0 (C-3), 73.4 (C-4), 71.4 (C-5), 68.6 (C-6), 65.5 (C-7), 21.4 (CH3). HR-ESI-MS positive mode (m/z): calc. for [M + Na]+ = 707.2252, found: [M + Na]+ = 707.2251; C42H36O9 (684.24).
4d: 1H NMR (400 MHz, CDCl3) δ 8.21–7.73 (8H, m, aromatics), 7.72–7.01 (16H, m, aromatics), 6.96 (1H, d, J1,2 14.9 Hz, H-1), 6.25 (1H, dd, J2,3 6.6 Hz, H-2), 6.21 (1H, pseudo t, J3,4 8.6 Hz, H-3), 5.81 (1H, dd, J4,5 1.3 Hz, H-4), 5.44 (1H, ddd, J6,7a 3.4, J6,7b 4.5, J5,6 8.5 Hz, H-6), 4.79 (1H, dd, J7a,7b 12.4 Hz, H-7a), 4.74 (1H, dd, H-7b), 4.39 (1H, pseudo t, J5,OH 8.8 Hz, H-5), 3.16 (1H, bs, OH), 2.35 (3H, s, CH3). 13C NMR (100 MHz, CDCl3) δ 167.1, 166.9, 165.9, 165.3 (4 × CO), 135.9 (C-1), 139.5–115.0 (aromatics), 121.6 (C-2), 74.7 (C-3), 72.5 (C-4), 71.7 (C-6), 68.5 (C-5), 63.4 (C-7), 21.4 (CH3). HR-ESI-MS positive mode (m/z): calc. for [M + Na]+ = 707.2252, found: [M + Na]+ = 707.2254; C42H36O9 (684.24).

4.4.7. (E)-3,4,5,7-Tetra-O-Benzoyl-1,2-Dideoxy-1-(4-Methoxyphenyl)-d-gluco-Hept-1-Enitol (3e) and (E)-3,4,6,7-Tetra-O-Benzoyl-1,2-Dideoxy-1-(4-Methoxyphenyl)-d-gluco-Hept-1-Enitol (4e)

Isolated from a reaction of tosylhydrazone 1a (0.10 g, 0.13 mmol), 4-methoxyphenylboronic acid (1.5 equiv., 0.03 g, 0.19 mmol), and K3PO4 (3 equiv., 0.08 g, 0.39 mmol) according to General procedure I by column chromatography (1:2 EtOAc–hexane) to yield 43 mg yellow amorphous solid containing 3e and 4e in 2.5:1 ratio. Rf: 0.31 (1:2 EtOAc–hexane).
Molecules 27 01795 i019
3e: 1H NMR (400 MHz, CDCl3) δ 8.28–7.67 (8H, m, aromatics), 7.65–7.09 (14H, m, aromatics), 6.81 (2H, d, J 8.8 Hz, aromatics), 6.71 (1H, d, J1,2 15.7 Hz, H-1), 6.25–6.11 (1H, m, H-2), 6.10–6.02 (2H, m, H-3, H-4), 5.75 (1H, dd, J4,5 1.0, J5,6 8.9 Hz, H-5), 4.52 (1H, dd, J6,7a 3.0, J7a,7b 11.9 Hz, H-7a), 4.34 (1H, dd, J6,7b 5.9 Hz, H-7b), 4.21–4.09 (1H, m, H-6), 3.80 (3H, s, OCH3), 3.63 (1H, bs, OH). 13C NMR (100 MHz, CDCl3) δ 167.3, 166.7, 165.6, 165.4 (4 × CO), 136.5 (C-1), 160.9–112.7 (aromatics), 119.6 (C-2), 74.2 (C-3), 73.4 (C-4), 71.4 (C-5), 68.5 (C-6), 65.5 (C-7), 55.4 (OCH3). HR-ESI-MS positive mode (m/z): calc. for [M + Na]+ = 723.2201, found: [M + Na]+ = 723.2204; C42H36O10 (700.23).
4e: 1H NMR (400 MHz, CD3OD) δ 8.19–7.74 (8H, m, aromatics), 7.65–7.12 (14H, m, aromatics), 6.96 (1H, d, J1,2 15.8 Hz, H-1), 6.90 (2H, d, J 8.7 Hz, aromatics), 6.32 (1H, dd, J2,3 8.2 Hz, H-2), 6.21 (1H, pseudo t, J3,4 9.1 Hz, H-3), 5.82 (1H, dd, J4,5 1.5 Hz, H-4), 5.45 (1H, ddd, J6,7a 2.5, J6,7b 5.1 Hz, H-6), 4.93 (1H, dd, J7a,7b 12.2 Hz, H-7a), 4.57 (1H, dd, H-7b), 4.52 (1H, dd, J5,6 9.1 Hz, H-5), 3.80 (3H, s, OCH3), 3.58 (1H, bs, OH). 13C NMR (90 MHz, CDCl3) δ 167.0, 166.9, 165.8, 165.4 (4 × CO), 136.6 (C-1), 160.9–112.7 (aromatics), 120.3 (C-2), 74.5 (C-3), 72.5, 71.7 (C-4, C-6), 68.8 (C-5), 63.4 (C-7), 55.5 (OCH3). HR-ESI-MS positive mode (m/z): calc. for [M + H]+ = 701.2381, found: [M + H]+ = 701.2381; C42H36O10 (700.23).

4.4.8. (E)-3,4,5,7-Tetra-O-Benzoyl-1-(3-Chlorophenyl)-1,2-Dideoxy-d-gluco-Hept-1-Enitol (3f) and (E)-3,4,6,7-Tetra-O-Benzoyl-1-(3-Chlorophenyl)-1,2-Dideoxy-d-gluco-Hept-1-Enitol (4f)

Isolated from a reaction of tosylhydrazone 1a (0.10 g, 0.13 mmol), 3-chlorophenylboronic acid (1.5 equiv., 0.03 g, 0.19 mmol), and K3PO4 (3 equiv., 0.08 g, 0.39 mmol) according to General procedure I by column chromatography (1:4 EtOAc–hexane) to yield 60 mg white amorphous solid containing 3f and 4f in 2:1 ratio with two unidentified species. Rf: 0.35 (1:2 EtOAc–hexane).
Molecules 27 01795 i020
3f: 1H NMR (400 MHz, CDCl3) δ 8.18–7.82 (8H, m, aromatics), 7.64–7.02 (16H, m, aromatics), 6.70 (1H, d, J1,2 15.9 Hz, H-1), 6.34 (1H, dd, J2,3 6.9 Hz, H-2), 6.12–6.04 (2H, m, H-3, H-4), 5.76 (1H, dd, J4,5 0.6, J5,6 8.9 Hz, H-5), 4.54 (1H, dd, J6,7a 3.0, J7a,7b 11.9 Hz, H-7a), 4.34 (1H, dd, J6,7b 5.7 Hz, H-7b), 4.23–4.14 (1H, m, H-6), 3.64 (1H, d, J6,OH 3.9 Hz, OH). 13C NMR (90 MHz, CDCl3) δ 167.1, 166.7, 165.7, 165.5 (4 × CO), 134.9 (C-1), 138.4–123.4 (aromatics), 123.7 (C-2), 73.5 (C-3), 73.0 (C-4), 71.2 (C-5), 68.5 (C-6), 65.5 (C-7). HR-ESI-MS positive mode (m/z): calc. for [M + Na]+ = 727.1705, found: [M + Na]+ = 727.1706; C41H33ClO9 (704.18).
4f: 1H NMR (400 MHz, CDCl3) δ 8.18–7.79 (8H, m, aromatics), 7.69–7.06 (16H, m, aromatics), 6.91 (1H, d, J1,2 15.8 Hz, H-1), 6.32 (1H, dd, J2,3 8.0 Hz, H-2), 6.21 (1H, pseudo t, J3,4 8.4 Hz, H-3), 5.81 (1H, dd, J4,5 1.5 Hz, H-4), 5.43 (1H, ddd, J6,7a 3.3, J6,7b 4.3, J5,6 8.0 Hz, H-6), 4.84 (1H, dd, J7a,7b 12.4 Hz, H-7a), 4.73 (1H, dd, H-7b), 4.38–4.27 (1H, m, H-5), 3.34 (1H, d, J5,OH 8.4 Hz, OH). 13C NMR (90 MHz, CDCl3) δ 167.1, 166.8, 165.8, 165.4 (4 × CO), 135.2 (C-1), 153.1–123.4 (aromatics), 124.4 (C-2), 74.4 (C-3), 72.4 (C-4), 71.7 (C-6), 68.4 (C-5), 63.4 (C-7). HR-ESI-MS positive mode (m/z): calc. for [M + Na]+ = 727.1705, found: [M + Na]+ = 727.1706; C41H33ClO9 (704.18).

4.4.9. 3,4,5,7-Tetra-O-Benzoyl-1-(4-Chlorophenyl)-1,2-Dideoxy-d-gluco-Hept-1-Enitol (3g)

Prepared from tosylhydrazone 1a (0.10 g, 0.13 mmol), 4-chlorophenylboronic acid (1.5 equiv., 0.03 g, 0.19 mmol), and K3PO4 (3 equiv., 0.08 g, 0.39 mmol) according to General procedure I. Purified by column chromatography (1:2 acetone–hexane) to yield 62 mg (68%) of 3g as a white amorphous solid. Rf: 0.36 (1:2 EtOAc–hexane); [α]D + 9 (c 0.57, CH2Cl2). 1H NMR (400 MHz, CDCl3) δ 8.16–7.85 (8H, m, aromatics), 7.64–7.12 (16H, m, aromatics), 6.71 (1H, d, J1,2 16.0 Hz, H-1), 6.34–6.24 (1H, m, H-2), 6.10–6.02 (2H, m, H-3, H-4), 5.74 (1H, dd, J4,5 0.9, J5,6 8.9 Hz, H-5), 4.53 (1H, dd, J6,7a 2.9, J7a,7b 11.9 Hz, H-7a), 4.34 (1H, dd, J6,7b 5.7 Hz, H-7b), 4.21–4.10 (1H, m, H-6), 3.60 (1H, d, J6,OH 5.1 Hz, OH). 13C NMR (100 MHz, CDCl3) δ 167.2, 166.8, 165.5, 165.4 (4 × CO), 135.2 (C-1), 134.7–127.2 (aromatics), 122.7 (C-2), 73.7 (C-3), 73.1 (C-4), 71.2 (C-5), 68.5 (C-6), 65.5 (C-7). HR-ESI-MS positive mode (m/z): calc. for [M + Na]+ = 727.1705, found: [M + Na]+ = 727.1703; C41H33ClO9 (704.18).
Molecules 27 01795 i021

4.5. Characterization of Molecules 79 Isolated from the Reaction of Tosylhydrazone 6 and Phenylboronic Acid

4.5.1. 3,4,5,7-Tetra-O-Acetyl-2,6-Anhydro-1-Deoxy-1-Phenyl-d-glycero-L-manno-Heptitol (7)

Isolated from a reaction of tosylhydrazone 6 (0.10 g, 0.19 mmol), phenylboronic acid (20 equiv., 0.46 g, 3.78 mmol), and K3PO4 (10 equiv., 0.40 g, 1.89 mmol) according to General procedure I by column chromatography (1:4 EtOAc–hexane) to yield 6 mg (7%) of 7 as a white amorphous product. Optical rotation, NMR and MS spectra are identical with those reported [13].
Molecules 27 01795 i022

4.5.2. (E)-3,5,6,7-Tetra-O-Acetyl-1,2-Dideoxy-1-Phenyl-d-galacto-Hept-1-Enitol (8)

Isolated from a reaction of tosylhydrazone 6 (0.30 g, 0.56 mmol), phenylboronic acid (20 equiv., 1.38 g, 11.35 mmol), and K3PO4 (10 equiv., 1.20 g, 5.68 mmol) according to General procedure I by column chromatography (1:4 EtOAc–hexane) to yield 12 mg (5%) of 8 as a white amorphous solid. Rf: 0.15 (1:2 EtOAc–hexane); [α]D + 40 (c 0.18, CHCl3). 1H NMR (400 MHz, CDCl3) δ 7.43–7.22 (5H, m, aromatics), 6.71 (1H, d, J1,2 16.0 Hz, H-1), 6.32 (1H, dd, J2,3 7.6 Hz, H-2), 5.54 (1H, ddd, J6,7a 4.6, J6,7b 7.7 Hz, H-6), 5.48 (1H, dd, J3,4 1.1 Hz, H-3), 5.19 (1H, dd, J5,6 1.7 Hz, H-5), 4.26 (1H, dd, J7a,7b 11.8 Hz, H-7a), 4.05 (1H, dd, H-7b), 3.72 (1H, dd, J4,5 9.6 Hz, H-4), 3.09 (1H, bs, OH), 2.16, 2.11, 2.10, 2.04 (12H, 4s, 4 × CH3). 13C NMR (90 MHz, CDCl3) δ 171.8, 170.6, 170.4, 170.0 (4 × CO), 134.9 (C-1), 136.7–123.2 (aromatics), 123.7 (C-2), 72.4 (C-3), 70.6 (C-4), 70.1, 70.0 (C-5, C-6), 62.8 (C-7), 21.3, 21.0, 20.8 (4 × CH3). HR-ESI-MS positive mode (m/z): calc. for [M + Na]+ = 445.1469, found: [M + Na]+ = 445.1470; C21H26O9 (422.16).
Molecules 27 01795 i023

4.5.3. (E)-3,4,6,7-Tetra-O-Acetyl-1,2-Dideoxy-1-Phenyl-d-galacto-Hept-1-Enitol (9)

Prepared from tosylhydrazone 6 (0.30 g, 0.56 mmol), phenylboronic acid (20 equiv., 1.38 g, 11.35 mmol), and K3PO4 (10 equiv., 1.20 g, 5.68 mmol) according to General procedure I. Purified by column chromatography (1:4 EtOAc–hexane) to yield 180 mg (75%) of 9 as a white amorphous solid. Rf: 0.10 (1:2 EtOAc–hexane); [α]D + 37 (c 0.40, CHCl3). 1H NMR (400 MHz, CDCl3) δ 7.57–7.09 (5H, m, aromatics), 6.63 (1H, d, J1,2 15.8 Hz, H-1), 6.03 (1H, dd, J2,3 6.0 Hz, H-2), 5.88 (1H, dd, J3,4 1.9 Hz, H-3), 5.22 (1H, ddd, J6,7a 4.7, J6,7b 7.8 Hz, H-6), 5.17 (1H, dd, J4,5 9.7 Hz, H-4), 4.43 (1H, dd, J7a,7b 11.7 Hz, H-7a), 4.17 (1H, dd, H-7b), 3.85 (1H, dd, J5,6 1.5 Hz, H-5), 3.53 (1H, bs, OH), 2.21, 2.07, 2.04, 2.01 (12H, 4s, 4 × CH3). 13C NMR (100 MHz, CDCl3) δ 171.5, 171.2, 170.7, 170.0 (4 × CO), 133.0 (C-1), 136.0–121.2 (aromatics), 123.4 (C-2), 72.5 (C-3), 71.6 (C-4), 69.0, (C-6), 67.9 (C-5), 63.4 (C-7), 21.1, 20.8, 20.7 (4 × CH3). HR-ESI-MS positive mode (m/z): calc. for [M + Na]+ = 445.1469, found: [M + Na]+ = 445.1467; C21H26O9 (422.16).
Molecules 27 01795 i024

4.6. General Procedure II for the Synthesis of 1-Aryl-3,4,5,6,7-Penta-O-Benzoyl-1,2-Dideoxy-d-gluco-Hept-1-Enitols 11 and 12

A mixture of 1-aryl-tetra-O-benzoyl-1,2-dideoxy-d-gluco-hept-1-enitol (3 and 4, 1 mmol) and dry pyridine (6.3 mmol) were dissolved in dry chloroform (3 mL). Then, benzoyl–chloride (7 mmol) was added dropwise to the solution. The reaction mixture was stirred and heated at 80 °C. When TLC (1:2 EtOAc–hexane) showed complete consumption of the starting compound (~2 h), the mixture was cooled down. The organic layer was washed with 2M aqueous hydrogen chloride solution (1 × 3 mL), cold, saturated sodium hydrogen carbonate solution (1 × 3 mL), water (1 × 3 mL), and then dried on anhydrous magnesium sulfate. The solvent was removed under reduced pressure, and the residue was purified by column chromatography (1:2 EtOAc–hexane) to give hept-1-enitols.

4.6.1. (E)-3,4,5,6,7-Penta-O-Benzoyl-1,2-Dideoxy-1-Phenyl-d-gluco-Hept-1-Enitol (11a)

Prepared from (E)-3,4,5,7-tetra-O-benzoyl-1,2-dideoxy-1-phenyl-d-gluco-hept-1-enitol 3a and (E)-3,4,6,7-tetra-O-benzoyl-1,2-dideoxy-1-phenyl-d-gluco-hept-1-enitol 4a (0.10 g, 0.15 mmol) according to General procedure II. Purified by column chromatography (1:2 EtOAc–hexane) to yield 104 mg (90%) of 11a as a white amorphous solid. Rf: 0.41 (1:2 EtOAc–hexane); [α]D − 2 (c 0.50, CH2Cl2). 1H NMR (400 MHz, CDCl3) δ 8.24–7.84 (8H, m, aromatics), 7.66–7.17 (17H, m, aromatics), 6.80 (1H, d, J1,2 15.9 Hz, H-1), 6.40–6.29 (1H, m, H-2), 6.18 (1H, dd, J4,5 2.0 Hz, H-5), 6.12–6.04 (2H, m, H-3, H-4), 5.91 (1H, ddd, J6,7a 3.6, J6,7b 5.9, J5,6 7.2 Hz, H-6), 4.82 (1H, dd, J7a,7b 12.3 Hz, H-7a), 4.55 (1H, dd, H-7b). 13C NMR (100 MHz, CDCl3) δ 166.1, 165.7, 165.5, 165.4, 165.3 (5 × CO), 136.7 (C-1), 135.8–127.0 (aromatics), 122.0 (C-2), 73.8 (C-3), 71.8 (C-4), 69.9, 69.7 (C-5, C-6), 62.8 (C-7). HR-ESI-MS positive mode (m/z): calc. for [M + Na]+ = 797.2357, found: [M + Na]+ = 797.2355; C48H38O10 (774.25).
Molecules 27 01795 i025

4.6.2. (E)-3,4,5,6,7-Penta-O-Benzoyl-1-(4-Dibenzo[b,d]furanyl)-1,2-Dideoxy-d-gluco-Hept-1-Enitol (11b)

Prepared from (E)-3,4,5,7-tetra-O-benzoyl-1-(4-dibenzo[b,d]furanyl)-1,2-dideoxy-d-gluco-hept-1-enitol 3c and (E)-3,4,6,7-tetra-O-benzoyl-1-(4-dibenzo[b,d]furanyl)-1,2-dideoxy-d-gluco-hept-1-enitol 4c (0.05 g, 0.06 mmol), according to General procedure II. Purified by column chromatography (1:2 EtOAc–hexane) to yield 28 mg (55%) of 11b as a yellow amorphous solid. Rf: 0.39 (1:2 EtOAc–hexane); [α]D − 1 (c 0.48, CH2Cl2). 1H NMR (400 MHz, CDCl3) δ 8.44–6.81 (32H, m, aromatics), 7.08–7.04 (2H, m, H-1, H-2), 6.28 (1H, dd, J4,5 2.0 Hz, H-5), 6.20–6.14 (2H, m, H-3, H-4), 5.92 (1H, ddd, J6,7a 3.8, J6,7b 5.8, J5,6 7.1 Hz, H-6), 4.82 (1H, dd, J7a,7b 12.2 Hz, H-7a), 4.53 (1H, dd, H-7b). 13C NMR (100 MHz, CDCl3) δ 166.1, 165.7, 165.5, 165.4, 165.3 (5 × CO), 130.9 (C-1), 162.8–110.9 (aromatics), 125.8 (C-2), 74.0 (C-3), 71.8 (C-4), 69.9 (C-6), 69.6 (C-5), 62.8 (C-7). HR-ESI-MS positive mode (m/z): calc. for [M + Na]+ = 887.2463, found: [M + Na]+ = 887.2460; C54H40O11 (864.26).
Molecules 27 01795 i026

4.6.3. (E)-3,4,5,6,7-Penta-O-Acetyl-1,2-Dideoxy-1-Phenyl-d-galacto-Hept-1-Enitol (12)

3,4,6,7-Tetra-O-acetyl-1,2-dideoxy-1-phenyl-d-galacto-hept-1-enitol (9, 0.12 g, 0.29 mmol) was dissolved in dry pyridine (1 mL) and cooled to 0 °C. Then, acetic anhydride (1.5 equiv., 0.04 mL, 0.04 g, 0.43 mmol) was added dropwise to the solution. The reaction mixture was stirred for a day at room temperature and the pyridine was evaporated. The residue was dissolved in dichloromethane and washed with water (1 × 2 mL), then dried on anhydrous magnesium sulfate. The solution was concentrated under reduced pressure and traces of pyridine were removed by repeated co-evaporations with toluene to yield 122 mg (91%) of 12 as a white amorphous solid. Rf: 0.36 (1:2 EtOAc–hexane); [α]D + 115 (c 0.02, CH2Cl2). 1H NMR (400 MHz, CDCl3) δ 7.57–7.06 (5H, m, aromatics), 6.58 (1H, dd, JAr,1 0.7, J1,2 15.9 Hz, H-1), 5.97 (1H, dd, J2,3 6.1 Hz, H-2), 5.67–5.59 (1H, m, H-3), 5.45 (1H, dd, J5,6 1.8 Hz, H-5), 5.41–5.31 (1H, m, H-6), 5.37 (1H, dd, J3,4 2.5, J4,5 10.0 Hz, H-4), 4.29 (1H, dd, J6,7a 5.0, J7a,7b 11.6 Hz, H-7a), 3.88 (1H, dd, J6,7a 7.5 Hz, H-7b), 2.14, 2.10, 2.08, 2.04, 202 (15H, 5s, 5 × CH3). 13C NMR (90 MHz, CDCl3) δ 170.5, 170.3, 170.1, 169.8 (5 × CO), 133.5 (C-1), 136.5–122.2 (aromatics), 122.9 (C-2), 71.1 (C-3), 69.5 (C-4), 68.1 (C-5), 68.0 (C-6), 62.3 (C-7), 21.0, 20.8, 20.7 (5 × CH3). HR-ESI-MS positive mode (m/z): calc. for [M + Na]+ = 487.1575, found: [M + Na]+ = 487.11577; C23H28O10 (464.17).
Molecules 27 01795 i027

4.7. General Procedure III for the Synthesis of Anhydro-Aldose Tosylhydrazones (C-(2,3,4,6-Tetra-O-Alkyl-β-d-Glycopyranosyl) Formaldehyde Tosylhydrazones) (17, 24)

Raney-nickel (1.5 g, an aqueous suspension, Merck) was added at room temperature to a vigorously stirred solution of pyridine (6 mL), acetic acid (4 mL), and water (4 mL). Then, sodium hypophosphite (0.75 g, 8.50 mmol), tosylhydrazine (0.37 g, 2.00 mmol), and nitrile (16β [52] or 23) (1.00 mmol) were added to the mixture. When TLC (2:1 EtOAc–hexane) indicated complete consumption of the starting compound, the insoluble material was filtered off through a pad of celite and washed with dichloromethane (10 mL). The organic layer of the filtrate was separated, washed with water (3 mL), 10% aqueous hydrogen chloride solution (2 × 3 mL), cold, saturated sodium hydrogen carbonate solution (2 × 3 mL), water (3 mL), and then dried on anhydrous magnesium sulfate. The solution was concentrated under reduced pressure, and traces of pyridine were removed by repeated co-evaporations with toluene. The residue was purified by silica gel column chromatography with eluents indicated for the particular compounds to give anhydro-aldose tosylhydrazones 17 or 24.

2,6-Anhydro-3,4,5,7-Tetra-O-Methyl-d-glycero-d-gulo-Heptose Tosylhydrazone (C-(2,3,4,6-Tetra-O-Methyl-β-d-Glucopyranosyl) Formaldehyde Tosylhydrazone) (17)

Prepared from cyanide 16β [52] (1.00 g, 4.08 mmol) according to General procedure III. Purified by column chromatography (1:2 EtOAc–hexane) to yield 1.02 g (60%) two unidentified isomers 17-1 and 17-2 in 1:3 ratio as a colourless oil.
Molecules 27 01795 i028
17-1 Rf: 0.11 (1:1 EtOAc–hexane). 1H NMR (360 MHz, CDCl3) δ 7.92 (1H, bs, NH), 7.86–7.76 (2H, m, aromatics), 7.31 (2H, d, J 8.2 Hz, aromatics), 7.05 (1H, d, J1,2 6.0 Hz, H-1), 3.74 (1H, dd, J2,3 9.5 Hz, H-2), 3.61–3.45 and 3.32–3.00 (6H, m, H-3–H-7b), 3.63, 3.52, 3.35, 3.25 (12H, 4s, 4 × CH3), 2.41 (3H, s, CH3-Ts). 13C NMR (90 MHz, CDCl3) δ 146.7 (C-1), 144.3–127.5 (aromatics), 88.5, 82.7, 79.4, 78.6, 74.1 (C-2–C-6), 71.0 (C-7), 60.9, 60.7, 60.6, 59.3 (4 × CH3), 21.6 (CH3-Ts). HR-ESI-MS positive mode (m/z): calcd. for [M + H]+ = 417.1692, found: [M + H]+ = 417.1694; C18H28N2O7S (416.16).
17-2 Rf: 0.10 (1:1 EtOAc–hexane). 1H NMR (360 MHz, CDCl3) δ 9.31 (1H, bs, NH), 7.83 (2H, d, J 8.2 Hz, aromatics), 7.31 (2H, d, J 8.2 Hz, aromatics), 6.80 (1H, d, J1,2 4.6 Hz, H-1), 4.02 (1H, dd, J2,3 10.3 Hz, H-2), 3.61–3.45 and 3.32–3.00 (6H, m, H-3–H-7b), 3.63, 3.52, 3.41, 3.30 (4s, 12H, 4 × CH3), 2.41 (s, 3H, CH3-Ts). 13C NMR (90 MHz, CDCl3) δ 146.2 (C-1), 144.3–127.5 (aromatics), 87.9, 81.2, 79.4, 78.4, 77.9 (C-2–C-6), 71.3 (C-7), 60.8, 60.4, 59.8, 59.2 (4 × CH3), 21.6 (CH3-Ts). HR-ESI-MS positive mode (m/z): calcd. for [M + H]+ = 417.1692, found: [M + H]+ = 417.1694; C18H28N2O7S (416.16).

4.8. Characterization of Anhydro-Heptitols 18

4.8.1. 2,6-Anhydro-1-Deoxy-3,4,5,7-Tetra-O-Methyl-1-Phenyl-d-glycero-d-gulo-Heptitol (18a)

Isolated from a reaction of tosylhydrazone 17 (0.05 g, 0.13 mmol), phenylboronic acid (1.5 equiv., 0.02 g, 0.19 mmol), and K3PO4 (3 equiv., 0.08 g, 0.39 mmol) according to General procedure I by column chromatography (1:2 EtOAc–hexane) to yield 18 mg amorphous solid containing 18a and 21 in 1.3:1 ratio. Rf: 0.50 (1:2 EtOAc–hexane). 1H NMR (400 MHz, CDCl3) δ 8.34–6.74 (5H, m, aromatics), 3.65 (3H, s, CH3OC-4), 3.59 (3H, s, CH3OC-3), 3.53 (3H, s, CH3OC-5), 3.55–3.50 (2H, m, H-7a, H-7b), 3.36 (3H, s, CH3OC-7), 3.30 (1H, ddd, J1a,2 2.4, J1b,2 8.8, J2,3 8.9 Hz, H-2), 3.23–3.15 (2H, m, H-4, H-5), 3.12 (1H, ddd, J6,7a 2.0, J6,7b 4.0, J5,6 9.8 Hz, H-6), 3.07 (1H, dd, J1a,1b 14.3 Hz, H-1a), 2.90 (1H, pseudo t, J3,4 9.0 Hz, strongly coupled, H-3), 2.74 (1H, dd, H-1b). 13C NMR (90 MHz, CDCl3) δ 139.4–126.1 (aromatics), 89.2 (C-4), 83.7 (C-3), 80.3 (C-2), 80.1 (C-5), 78.8 (C-6), 71.5 (C-7), 60.8 (CH3OC-4) 60.7 (CH3OC-3), 60.4 (CH3OC-5), 59.5 (CH3OC-7), 37.9 (C-1). HR-ESI-MS positive mode (m/z): calc. for [M + Na]+ = 333.1672, found: [M + Na]+ = 333.1672; C17H26O5 (310.39).
Molecules 27 01795 i029

4.8.2. 2,6-Anhydro-1-Deoxy-1-(4-Dibenzo[b,d]furanyl)-3,4,5,7-Tetra-O-Methyl-d-glycero-d-gulo-Heptitol (18b)

Isolated from a reaction of tosylhydrazone 17 (0.05 g, 0.13 mmol), dibenzo[b,d]furan-4-ylboronic acid (1.5 equiv., 0.04 g, 0.19 mmol), and K3PO4 (3 equiv., 0.08 g, 0.39 mmol) according to General procedure I by column chromatography (1:4 EtOAc–hexane) to yield 4 mg (8%) of 18b as a white amorphous solid. Rf: 0.47 (1:2 EtOAc–hexane). 1H NMR (500 MHz, CDCl3) δ 7.93 (1H, d, J 7.7 Hz, aromatic), 7.80 (1H, dd, J 1.1, 7.7 Hz, aromatic), 7.58 (1H, d, J 8.2 Hz, aromatic), 7.47–7.39 (2H, m, aromatics), 7.35–7.30 (1H, m, aromatic), 7.29–7.23 (1H, m, aromatics), 3.67 (3H, s, CH3OC-4), 3.62 (3H, s, CH3OC-3), 3.58 (1H, ddd, J1a,2 2.9, J1b,2 8.9, J2,3 9.2 Hz, H-2), 3.54 (1H, dd, H-1a), 3.53 (3H, s, CH3OC-5), 3.48 (1H, dd, H-7a), 3.46 (1H, dd, J7a,7b 11.2 Hz, H-7b), 3.28 (3H, s, CH3OC-7), 3.26 (1H, pseudo t, J3,4 8.7 Hz, H-4), 3.21 (1H, pseudo t, J4,5 8.8 Hz, H-5), 3.14 (1H, ddd, J6,7a 2.5, J6,7b 3.4, J5,6 9.5 Hz, H-6), 3.09 (1H, dd, J1a,1b 14.4 Hz, H-1b) 3.02 (1H, pseudo t, J3,4 8.9 Hz, H-3). 13C NMR (90 MHz, CDCl3) δ 129.4–110.9 (aromatics), 89.2 (C-4), 84.2 (C-3), 80.2 (C-5), 79.0, 78.9 (C-2, C-6), 71.5 (C-7), 60.9 (CH3OC-4), 60.8 (CH3OC-3), 60.5 (CH3OC-5), 59.5 (CH3OC-7), 32.0 (C-1). HR-ESI-MS positive mode (m/z): calc. for [M + Na]+ = 423.1778, found: [M + Na]+ = 423.1777; C23H28O6 (400.19).
Molecules 27 01795 i030

4.8.3. 2,6-Anhydro-1-Deoxy-3,4,5,7-Tetra-O-Methyl-1-(4-Trifluoromethylphenyl)-d-glycero-d-gulo-Heptitol (18c)

Prepared from tosylhydrazone 17 (0.05 g, 0.13 mmol), (4-trifluoromethly)phenylboronic acid (1.5 equiv., 0.04 g, 0.39 mmol), and K3PO4 (3 equiv., 0.08 g, 0.39 mmol) according to General procedure I. Purified by column chromatography (1:3 EtOAc–hexane) to yield 22 mg (45%) of 18c as a white amorphous solid. Rf: 0.50 (1:2 EtOAc–hexane); [α]D − 6 (c 0.30, CH2Cl2). 1H NMR (400 MHz, CDCl3) δ 7.52 (2H, d, J 8.1 Hz, aromatics), 7.38 (2H, d, J 8.1 Hz, aromatics), 3.65 (3H, s, CH3OC-4), 3.59 (3H, s, CH3OC-3), 3.54 (1H, dd, H-7a), 3.53 (3H, s, CH3OC-5), 3.50 (1H, dd, J7a,7b 11.1 Hz, H-7b), 3.36 (3H, s, CH3OC-7), 3.29 (1H, ddd, J1a,2 2.3, J1b,2 8.9, J2,3 9.2 Hz, H-2), 3.24–3.08 (3H, m, H-1a, H-4, H-5), 3.13 (1H, ddd, J6,7a 2.0, J6,7b 3.9, J5,6 9.8 Hz, H-6), 2.88 (1H, pseudo t, J3,4 8.9 Hz, strongly coupled, H-3), 2.80 (1H, dd, J1a,1b 14.2 Hz, H-1b). 13C NMR (100 MHz, CDCl3) δ 143.7–124.1 (aromatics), 89.2 (C-4), 83.6 (C-3), 80.0 (C-2), 79.8 (C-5), 78.8 (C-6), 71.4 (C-7), 60.8 (CH3OC-4), 60.8 (CH3OC-3), 60.5 (CH3OC-5), 59.5 (CH3OC-7), 37.7 (C-1). HR-ESI-MS positive mode (m/z): calc. for [M + H]+ = 379.1727, found: [M + H]+ = 379.1727; C18H25F3O5 (378.17).
Molecules 27 01795 i031

4.8.4. 2,6-Anhydro-1-Deoxy-1-(4-Fluorophenyl)-3,4,5,7-Tetra-O-Methyl-d-glycero-d-gulo-Heptitol (18d)

Isolated from a reaction of tosylhydrazone 17 (0.05 g, 0.13 mmol), 4-fluorophenylboronic acid (1.5 equiv., 0.03 g, 0.19 mmol), and K3PO4 (3 equiv., 0.08 g, 0.39 mmol) according to General procedure I by column chromatography (1:4 EtOAc–hexane) to yield 6 mg (14%) of 18d as a white amorphous solid. Rf: 0.41 (1:2 EtOAc–hexane); [α]D + 0.5 (c 0.20, CH2Cl2). 1H NMR (400 MHz, CDCl3) δ 7.22 (2H, dd, J 5.6, 8.6 Hz, aromatics), 6.94 (2H, t, J 8.8 Hz, aromatics), 3.65 (3H, s, CH3OC-4), 3.58 (3H, s, CH3OC-3), 3.54 (1H, dd, H-7a), 3.53 (3H, s, CH3OC-5), 3.50 (1H, dd, J7a,7b 10.8 Hz, H-7b), 3.37 (3H, s, CH3OC-7), 3.24 (1H, ddd, J1a,2 2.1, J1b,2 8.8, J2,3 9.1 Hz, H-2), 3.21–3.13 (2H, m, H-4, H-5), 3.12 (1H, ddd, J6,7a 1.9, J6,7b 3.6, J5,6 8.7 Hz, H-6), 3.04 (1H, dd, J1a,1b 14.3 Hz, H-1a), 2.87 (1H, pseudo t, J3,4 9.0 Hz, strongly coupled, H-3), 2.71 (1H, dd, H-1b). 13C NMR (90 MHz, CDCl3) δ 131.4–109.0 (aromatics), 89.3 (C-4), 83.6 (C-3), 80.2, (C-2), 80.1 (C-5), 78.8 (C-6), 71.5 (C-7), 60.8 (CH3OC-3, CH3OC-4), 60.5 (CH3OC-5), 59.5 (CH3OC-7), 37.1 (C-1). HR-ESI-MS positive mode (m/z): calc. for [M + H]+ = 329.1759, found: [M + Na]+ = 329.1759; C17H25FO5 (328.17).
Molecules 27 01795 i032

4.8.5. 2,6-Anhydro-1-(3-Chlorophenyl)-1-Deoxy-3,4,5,7-Tetra-O-Methyl-d-glycero-d-gulo-Heptitol (18e)

Prepared from tosylhydrazone 17 (0.05 g, 0.13 mmol), 3-chorophenylboronic acid (1.5 equiv., 0.03 g, 0.19 mmol), and K3PO4 (3 equiv., 0.08 g, 0.39 mmol) according to General procedure I. Purified by column chromatography (1:2 EtOAc–hexane) to yield 13 mg (29%) of 18e as a pale-yellow amorphous solid. Rf: 0.48 (1:2 EtOAc–hexane); [α]D − 3 (c 0.24, CH2Cl2). 1H NMR (400 MHz, CDCl3) δ 7.32–7.24 (1H, m, aromatic), 7.23–7.08 (3H, m, aromatics), 3.65 (3H, s, CH3OC-4), 3.59 (3H, s, CH3OC-3), 3.56 (1H, dd, J7a,7b 11.0 Hz, H-7a), 3.53 (3H, s, CH3OC-5), 3.51 (1H, dd, H-7b), 3.37 (3H, s, CH3OC-7), 3.27 (1H, ddd, J1a,2 2.3, J1b,2 8.8, J2,3 9.1 Hz, H-2), 3.23–3.14 (2H, m, H-4, H-5), 3.13 (1H, ddd, J6,7a 1.6, J6,7b 3.4, J5,6 8.6 Hz, H-6), 3.04 (1H, dd, J1a,1b 14.3 Hz, H-1a), 2.87 (1H, pseudo t, J3,4 8.8 Hz, H-3), 2.71 (1H, dd, H-1b). 13C NMR (90 MHz, CDCl3) δ 141.3–126.0 (aromatics), 89.2 (C-4), 83.5 (C-3), 80.1 (C-2), 79.9 (C-5), 78.8 (C-6), 71.5 (C-7), 60.9 (CH3OC-4), 60.8 (CH3OC-3), 60.5 (CH3OC-5), 59.6 (CH3OC-7), 37.6 (C-1). HR-ESI-MS positive mode (m/z): calc. for [M + H]+ = 345.1463, found: [M + H]+ = 345.1460; C17H25ClO5 (344.14).
Molecules 27 01795 i033

4.8.6. 2,6-Anhydro-1-(4-Bromophenyl)-1-Deoxy-3,4,5,7-Tetra-O-Methyl-d-glycero-d-gulo-Heptitol (18f)

Prepared from tosylhydrazone 17 (0.05 g, 0.13 mmol), 4-bromophenylboronic acid (1.5 equiv., 0.04 g, 0.19 mmol), and K3PO4 (3 equiv., 0.08 g, 0.39 mmol) according to General procedure I. Purified by column chromatography (1:4 EtOAc–hexane) to yield 11 mg (22%) of 18f as a white amorphous solid. Rf: 0.53 (1:2 EtOAc–hexane); [α]D − 6 (c 0.21, CH2Cl2). 1H NMR (400 MHz, CDCl3) δ 7.38 (2H, d, J 8.4 Hz, aromatics), 7.14 (2H, d, J 8.4 Hz, aromatics), 3.65 (3H, s, CH3OC-4), 3.58 (3H, s, CH3OC-3), 3.53 (3H, s, CH3OC-5), 3.53 (1H, dd, H-7a), 3.49 (1H, dd, J7a,7b 10.8 Hz, H-7b), 3.37 (3H, s, CH3OC-7), 3.24 (1H, ddd, J1a,2 2.2, J1b,2 8.9, J2,3 9.1 Hz, H-2), 3.21–3.13 (2H, m, H-4, H-5), 3.11 (1H, ddd, J6,7a 2.1, J6,7b 3.5, J5,6 9.8 Hz, H-6), 3.02 (1H, dd, J1a,1b 14.3 Hz, H-1a), 2.87 (1H, pseudo t, J3,4 9.0 Hz, strongly coupled, H-3), 2.69 (1H, dd, H-1b). 13C NMR (100 MHz, CDCl3) δ 138.4–119.3 (aromatics), 89.2 (C-4), 83.5 (C-3), 80.0 (C-2, C-5), 78.8 (C-6), 71.4 (C-7), 60.9 (CH3OC-4), 60.8 (CH3OC-3), 60.5 (CH3OC-5), 59.5 (CH3OC-7), 37.3 (C-1). HR-ESI-MS positive mode (m/z): calc. for [M + H]+ = 389.0958, found: [M + H]+ = 389.0959; C17H25BrO5 (389.29).
Molecules 27 01795 i034

4.8.7. 2,6-Anhydro-1-Deoxy-3,4,5,7-Tetra-O-Methyl-1-(4-Nitrophenyl)-d-glycero-d-gulo-Heptitol (18g)

Prepared from tosylhydrazone 17 (0.05 g, 0.13 mmol), 4-nitrophenylboronic acid (1.5 equiv., 0.03 g, 0.19 mmol), and K3PO4 (3 equiv., 0.08 g, 0.39 mmol) according to General procedure I. Purified by column chromatography (1:2 EtOAc–hexane) to yield 21 mg (46%) of 18g as a yellow amorphous solid. Rf: 0.26 (1:2 EtOAc–hexane); [α]D + 3 (c 0.22, CH2Cl2). 1H NMR (400 MHz, CDCl3) δ 8.13 (2H, d, J 8.7 Hz, aromatics), 7.43 (2H, d, J 8.7 Hz, aromatics), 3.66 (3H, s, CH3OC-4), 3.60 (3H, s, CH3OC-3), 3.53 (3H, s, CH3OC-5), 3.53 (1H, dd, H-7a), 3.49 (1H, dd, J7a,7b 10.8 Hz, H-7b), 3.37 (3H, s, CH3OC-7), 3.29 (1H, ddd, J1a,2 2.4, J1b,2 9.0, J2,3 9.2 Hz, H-2), 3.23–3.14 (3H, m, H-1a, H-4, H-5), 3.12 (1H, ddd, J6,7a 1.3, J6,7b 3.1, J5,6 9.6 Hz, H-6), 2.89 (1H, pseudo t, J3,4 8.8 Hz, strongly coupled, H-3), 2.85 (1H, dd, H-1b). 13C NMR (90 MHz, CDCl3) δ 147.6–121.1 (aromatics), 89.2 (C-4), 83.5 (C-3), 80.0 (C-2), 79.6 (C-5), 78.8 (C-6), 71.4 (C-7), 60.9 (CH3OC-3, CH3OC-4), 60.5 (CH3OC-5), 59.5 (CH3OC-7), 37.8 (C-1). HR-ESI-MS positive mode (m/z): calc. for [M + H]+ = 356.1704, found: [M + H]+ = 356.1704; C17H25NO7 (355.16).
Molecules 27 01795 i035

4.8.8. 2,6-Anhydro-1-Deoxy-3,4,5,7-Tetra-O-Methyl-1-(4-Methoxyphenyl)-d-glycero-d-gulo-Heptitol (18h)

Isolated from a reaction of tosylhydrazone 17 (0.05 g, 0.13 mmol), 4-methoxyphenylboronic acid (1.5 equiv., 0.03 g, 0.19 mmol), and K3PO4 (3 equiv., 0.08 g, 0.39 mmol) according to General procedure I by column chromatography (1:2 EtOAc–hexane) to yield 4 mg (9%) of 18h as a pale-yellow amorphous solid. Rf: 0.41 (1:2 EtOAc–hexane); [α]D + 5 (c 0.57, CH2Cl2). 1H NMR (400 MHz, CDCl3) δ 7.19 (2H, d, J 8.6 Hz, aromatics), 6.81 (2H, d, J 8.7 Hz, aromatics), 3.79 (3H, s, OCH3), 3.65 (3H, s, CH3OC-4), 3.59 (3H, s, CH3OC-3), 3.55 (1H, dd, J7a,7b 10.9 Hz, H-7a), 3.53 (3H, s, CH3OC-5), 3.50 (1H, dd, H-7b), 3.38 (3H, s, CH3OC-7), 3.24 (1H, ddd, J1a,2 2.3, J1b,2 8.8, J2,3 9.1 Hz, H-2), 3.21–3.14 (2H, m, H-4, H-5), 3.12 (1H, ddd, J6,7a 2.0, J6,7b 3.9, J5,6 9.8 Hz, H-6), 3.01 (1H, dd, J1a,1b 14.3 Hz, H-1a), 2.88 (1H, pseudo t, J3,4 9.0 Hz, strongly coupled, H-3), 2.69 (1H, dd, H-1b). 13C NMR (90 MHz, CDCl3) δ 162.4–109.6 (aromatics), 89.3 (C-4), 83.7 (C-3), 80.5 (C-2), 80.1 (C-5), 78.8 (C-6), 71.6 (C-7), 60.8 (CH3OC-3, CH3OC-4), 60.5 (CH3OC-5), 59.6 (CH3OC-7), 55.4 (OCH3), 37.0 (C-1). HR-ESI-MS positive mode (m/z): calc. for [M + H]+ = 341.1959, found: [M + H]+ = 341.1957; C18H28O5 (340.42).
Molecules 27 01795 i036

4.8.9. 2,6-Anhydro-1-Deoxy-3,4,5,7-Tetra-O-Methyl-1-(4-Methylphenyl)-d-glycero-d-gulo-Heptitol (18i)

Isolated from a reaction of tosylhydrazone 17 (0.05 g, 0.13 mmol), 4-methylphenylboronic acid (1.5 equiv., 0.03 g, 0.19 mmol), and K3PO4 (3 equiv., 0.08 g, 0.39 mmol) according to General procedure I by column chromatography (1:2 EtOAc–hexane) to yield 11 mg white amorphous solid containing 18i and 21 in 3:1 ratio. Rf: 0.48 (1:2 EtOAc–hexane); [α]D + 0.5 (c 0.08, CH2Cl2). 1H NMR (400 MHz, CDCl3) δ 7.16 (2H, d, J 7.9 Hz, aromatics), 7.07 (2H, d, J 7.9 Hz, aromatics), 3.65 (3H, s, CH3OC-4), 3.59 (3H, s, CH3OC-3), 3.53 (3H, s, CH3OC-5), 3.55–3.50 (2H, m, H-7a, H-7b), 3.37 (3H, s, CH3OC-7), 3.26 (1H, ddd, J1a,2 2.1, J1b,2 8.8, J2,3 9.1 Hz, H-2), 3.23–3.14 (2H, m, H-4, H-5), 3.11 (1H, ddd, J6,7a 1.9, J6,7b 3.6, J5,6 9.7 Hz, H-6), 3.03 (1H, dd, J1a,1b 14.3 Hz, H-1a), 2.88 (1H, pseudo t, J3,4 9.0 Hz, strongly coupled, H-3), 2.70 (1H, dd, H-1b), 2.31 (3H, s, CH3). 13C NMR (100 MHz, CDCl3) δ 136.2–128.6 (aromatics), 89.3 (C-4), 83.7 (C-3), 80.4 (C-2), 80.1 (C-5), 78.8 (C-6), 71.5 (C-7), 60.8 (CH3OC-3, CH3OC-4), 60.5 (CH3OC-5), 59.6 (CH3OC-7), 37.5 (C-1), 21.2 (CH3). HR-ESI-MS positive mode (m/z): calc. for [M + H]+ = 325.2010, found: [M + H]+ = 325.2008; C18H28O5 (324.42).
Molecules 27 01795 i037

4.9. Characterization of Heptenitols 19 and 20

4.9.1. (E)-1,2-Dideoxy-3,4,5,7-Tetra-O-Methyl-1-Phenyl-d-gluco-Hept-1-Enitol (19a) and (Z)-1,2-Dideoxy-3,4,5,7-Tetra-O-Methyl-1-Phenyl-d-gluco-Hept-1-Enitol (20a)

Isolated from a reaction of tosylhydrazone 17 (0.05 g, 0.13 mmol), phenylboronic acid (1.5 equiv., 0.02 g, 0.19 mmol), and K3PO4 (3 equiv., 0.08 g, 0.39 mmol) according to General procedure I by column chromatography (1:2 EtOAc–hexane) to yield 29 mg white amorphous solid containing 19a and 20a in 9:1 ratio. Rf: 0.16 (1:2 EtOAc–hexane), [α]D + 28 (c 0.16, CH2Cl2).
Molecules 27 01795 i038
19a: 1H NMR (500 MHz, CDCl3) δ 7.42 (2H, d, J 7.6 Hz, aromatics), 7.38–7.30 (2H, m, aromatics), 7.29–7.23 (1H, m, aromatic), 6.63 (1H, d, J1,2 16.0 Hz, H-1), 6.16 (1H, dd, J2,3 8.2 Hz, H-2), 4.05 (1H, dd, J3,4 6.0 Hz, H-3), 3.96 (1H, ddd, J6,7a 3.9, J6,7b 5.5, J5,6 6.7 Hz, H-6), 3.60 (3H, s, CH3OC-4), 3.59–3.50 (3H, m, H-4, H-7a, H-7b), 3.40 (6H, 2s, CH3OC-5, CH3OC-7), 3.40–3.37 (1H, m, H-5), 3.37 (3H, s, CH3OC-3), 3.32 (1H, bs, OH). 13C NMR (125 MHz, CDCl3) δ 134.0 (C-1), 137.0–126.3 (aromatics), 126.7 (C-2), 83.8 (C-4), 83.4 (C-3), 79.8 (C-5), 73.8 (C-7), 70.2 (C-6), 60.8 (CH3OC-4), 59.4 (CH3OC-5), 59.2 (CH3OC-7), 56.8 (CH3OC-3). HR-ESI-MS positive mode (m/z): calc. for [M + Na]+ = 333.1672, found: [M + Na]+ = 333.1679; C17H26O5 (310.39).
20a: 1H NMR (500 MHz, CDCl3) δ 7.45–7.38 (2H, m, aromatics), 7.38–7.30 (2H, m, aromatics), 7.29–7.23 (1H, m, aromatic), 6.77 (1H, d, J1,2 12.0 Hz, H-1), 5.58 (1H, dd, J2,3 10.0 Hz, H-2), 4.59 (1H, dd, J3,4 4.6 Hz, H-3), 3.99–3.91 (1H, m, H-6), 3.57 (3H, s, CH3OC-4), 3.57–3.49 (3H, m, H-4, H-7a, H-7b), 3.45 (1H, dd, J4,5 3.6, J5,6 6.4 Hz, H-5), 3.40 (3H, s, CH3OC-7), 3.32 (3H, s, CH3OC-5), 3.23 (3H, s, CH3OC-3), 3.02 (1H, bs, OH). 13C NMR (125 MHz, CDCl3) δ 133.9 (C-1), 137.0–126.3 (aromatics), 129.5 (C-2), 84.1 (C-4), 79.6 (C-5), 76.8 (C-3), 73.9 (C-7), 70.4 (C-6), 60.7 (CH3OC-4), 59.2 (CH3OC-7), 59.1 (CH3OC-5), 56.4 (CH3OC-3). HR-ESI-MS positive mode (m/z): calc. for [M + Na]+ = 333.1672, found: [M + Na]+ = 333.1669; C17H26O5 (310.39).

4.9.2. (E)-1,2-Dideoxy-3,4,5,7-Tetra-O-Methyl-1-(4-Trifluoromethylphenyl)-d-gluco-Hept-1-Enitol (19c)

Isolated from a reaction of tosylhydrazone 17 (0.05 g, 0.13 mmol), (4-trifluoromethly)phenylboronic acid (1.5 equiv., 0.04 g, 0.39 mmol), and K3PO4 (3 equiv., 0.08 g, 0.39 mmol) according to General procedure I by column chromatography (1:3 EtOAc–hexane) to yield 11 mg white amorphous solid containing 19c and an unidentified impurity in 3:1 ratio. Rf: 0.41 (1:2 EtOAc–hexane). 1H NMR (500 MHz, CDCl3) δ 8.40–7.40 (4H, m, aromatics), 6.68 (1H, d, J1,2 16.0 Hz, H-1), 6.29 (1H, dd, J2,3 7.7 Hz, H-2), 4.09 (1H, dd, J3,4 5.9 Hz, H-3), 4.00–3.91 (1H, m, H-6), 3.60 (3H, s, CH3OC-4), 3.60–3.53 (3H, m, H-4, H-7a, H-7b), 3.41 (3H, s, CH3OC-5), 3.40 (3H, s, CH3OC-7), 3.39 (3H, s, CH3OC-3), 3.40–3.36 (1H, m, H-5), 3.07 (1H, bs, OH). 13C NMR (90 MHz, CDCl3) δ 132.1 (C-1), 140.0–120.5 (aromatics), 129.5 (C-2), 83.5 (C-4), 82.7 (C-3), 79.7 (C-5), 73.6 (C-7), 70.2 (C-6), 60.8 (CH3OC-4), 59.5 (CH3OC-7), 59.2 (CH3OC-5), 57.1 (CH3OC-3). HR-ESI-MS positive mode (m/z): calc. for [M + Na]+ = 401.1546, found: [M + Na]+ = 401.1542; C18H25F3O5 (378.17).
Molecules 27 01795 i039

4.9.3. (E)-1,2-Dideoxy-1-(4-Fluorophenyl)-3,4,5,7-Tetra-O-Methyl-d-gluco-Hept-1-Enitol (19d) and (Z)-1,2-Dideoxy-(4-Fluorophenyl)-3,4,5,7-Tetra-O-Methyl-1-d-gluco-Hept-1-Enitol (20d)

Isolated from a reaction of tosylhydrazone 17 (0.05 g, 0.13 mmol), 4-fluorophenylboronic acid (1.5 equiv., 0.03 g, 0.19 mmol), and K3PO4 (3 equiv., 0.08 g, 0.39 mmol) according to General procedure I by column chromatography (1:4 EtOAc–hexane) to yield 31 mg white amorphous solid containing 19d and 20d in 3:1 ratio. Rf: 0.11 (1:2 EtOAc–hexane).
Molecules 27 01795 i040
19d: 1H NMR (400 MHz, CDCl3) δ 7.39 (2H, dd, J 5.4, 8.7 Hz, aromatics), 7.03 (2H, t, J 8.7 Hz, aromatics), 6.60 (1H, d, J1,2 16.0 Hz, H-1), 6.09 (1H, dd, J2,3 8.1 Hz, H-2), 4.04 (1H, dd, J3,4 5.9 Hz, H-3), 4.00–3.91 (1H, m, H-6), 3.59 (3H, s, CH3OC-4), 3.59–3.49 (3H, m, H-4, H-7a, H-7b), 3.40 (6H, 2s, CH3OC-5, CH3OC-7), 3.38 (1H, dd, J4,5 3.1, J5,6 7.3 Hz, H-5), 3.36 (3H, s, CH3OC-3), 3.03 (1H, bs, OH). 13C NMR (90 MHz, CDCl3) δ 132.7 (C-1), 129.7–110.2 (aromatics), 126.4 (C-2), 83.7 (C-4), 83.2 (C-3), 79.8 (C-5), 73.7 (C-7), 70.2 (C-6), 60.8 (CH3OC-4), 59.4 (CH3OC-5), 59.2 (CH3OC-7), 56.9 (CH3OC-3). HR-ESI-MS positive mode (m/z): calc. for [M + Na]+ = 351.1578, found: [M + Na]+ = 351.1579; C17H25FO5 (328.17).
20d: 1H NMR (500 MHz, CDCl3) δ 7.34 (2H, dd, J 5.5, 8.5 Hz, aromatics), 7.03 (2H, t, J 8.7 Hz, aromatics), 6.72 (1H, d, J1,2 11.9 Hz, H-1), 5.66 (1H, dd, J2,3 10.1 Hz, H-2), 4.54 (1H, dd, J3,4 4.8 Hz, H-3), 3.98–3.91 (1H, m, H-6), 3.57 (3H, s, CH3OC-4), 3.57–3.50 (3H, m, H-4, H-7a, H-7b), 3.45 (1H, dd, J4,5 3.3, J5,6 6.6 Hz, H-5), 3.40 (3H, s, CH3OC-7), 3.33 (3H, s, CH3OC-5), 3.22 (3H, s, CH3OC-3), 3.17 (1H, bs, OH). 13C NMR (125 MHz, CDCl3) δ 132.7 (C-1), 131.2–114.5 (aromatics), 129.4 (C-2), 84.1 (C-4), 79.6 (C-5), 76.8 (C-3), 73.9 (C-7), 70.4 (C-6), 60.7 (CH3OC-4), 59.3 (CH3OC-7), 59.0 (CH3OC-5), 56.4 (CH3OC-3). HR-ESI-MS positive mode (m/z): calc. for [M + Na]+ = 351.1578, found: [M + Na]+ = 351.1579; C17H25FO5 (328.17).

4.9.4. (E)-1-(3-Chlorophenyl)-1,2-Dideoxy-3,4,5,7-Tetra-O-Methyl-d-gluco-Hept-1-Enitol (19e) and (Z)-1-(3-Chlorophenyl)-1,2-Dideoxy-3,4,5,7-Tetra-O-Methyl-d-gluco-Hept-1-Enitol (20e)

Isolated from a reaction of tosylhydrazone 17 (0.05 g, 0.13 mmol), 3-chorophenylboronic acid (1.5 equiv., 0.03 g, 0.19 mmol), and K3PO4 (3 equiv., 0.08 g, 0.39 mmol) according to General procedure I by column chromatography (1:2 EtOAc–hexane) to yield 18 mg pale yellow amorphous solid containing 19e and 20e in 9:1 ratio. Rf: 0.13 (1:2 EtOAc–hexane).
Molecules 27 01795 i041
19e: 1H NMR (400 MHz, CDCl3) δ 7.50–7.37 (1H, m, aromatic), 7.36–7.19 (3H, m, aromatics), 6.58 (1H, d, J1,2 16.0 Hz, H-1), 6.19 (1H, dd, J2,3 7.9 Hz, H-2), 4.06 (1H, dd, J3,4 6.2 Hz, H-3), 4.01–3.90 (1H, m, H-6), 3.60 (3H, s, CH3OC-4), 3.59–3.44 (3H, m, H-4, H-7a, H-7b), 3.40 (6H, 2s, CH3OC-5, CH3OC-7), 3.38 (1H, dd, J4,5 2.6, J5,6 7.4 Hz, H-5), 3.37 (3H, s, CH3OC-3), 3.11 (1H, bs, OH). 13C NMR (100 MHz, CDCl3) δ 132.5 (C-1), 138.8–120.5 (aromatics), 124.9 (C-2), 83.5 (C-4), 82.9 (C-3), 79.7 (C-5), 73.6 (C-7), 70.2 (C-6), 60.8 (CH3OC-4), 59.4 (CH3OC-5), 59.2 (CH3OC-7), 57.0 (CH3OC-3). HR-ESI-MS positive mode (m/z): calc. for [M + Na]+ = 367.1283, found: [M + Na]+ = 367.1282; C17H25ClO5 (344.14).
20e: 1H NMR (400 MHz, CDCl3) δ 7.84–6.06 (5H, m, H-1, aromatics), 5.75 (1H, dd, J1,2 11.9, J2,3 10.01 Hz, H-2), 4.52 (1H, dd, J3,4 4.3 Hz, H-3), 4.12–3.71 (1H, m, H-6), 3.57 (3H, s, CH3OC-4), 3.58–3.42 (4H, m, H-4, H-5, H-7a, H-7b), 3.40 (3H, s, CH3OC-7), 3.40–3.23 (3H, m, CH3OC-5), 3.23 (3H, s, CH3OC-3), 3.11 (1H, bs, OH). 13C NMR (100 MHz, CDCl3) δ 132.4 (C-1), 138.8–120.5 (aromatics), 129.3 (C-2), 83.9 (C-4), 83.0 (C-5), 81.4 (C-3), 74.5 (C-7), 73.9 (C-6), 60.4 (CH3OC-4), 59.3 (CH3OC-7), 59.1 (CH3OC-5), 57.0 (CH3OC-3). HR-ESI-MS positive mode (m/z): calc. for [M + Na]+ = 367.1283, found: [M + Na]+ = 367.1282; C17H25ClO5 (344.14).

4.9.5. (E)-1-(4-Bromophenyl)-1,2-Dideoxy-3,4,5,7-Tetra-O-Methyl-d-gluco-Hept-1-Enitol (19f) and (Z)-1-(4-Bromophenyl)-1,2-Dideoxy-3,4,5,7-Tetra-O-Methyl-d-gluco-Hept-1-Enitol (20f)

Isolated from a reaction of tosylhydrazone 17 (0.05 g, 0.13 mmol), 4-bromophenylboronic acid (1.5 equiv., 0.04 g, 0.19 mmol), and K3PO4 (3 equiv., 0.08 g, 0.39 mmol) according to General procedure I by column chromatography (1:4 EtOAc–hexane) to yield 20 mg white amorphous solid containing 19f and 20f in 9:1 ratio. Rf: 0.10 (1:2 EtOAc–hexane).
Molecules 27 01795 i042
19f: 1H NMR (400 MHz, CDCl3) δ 7.46 (2H, d, J 8.5 Hz, aromatics), 7.28 (2H, d, J 8.5 Hz, aromatics), 6.57 (1H, d, J1,2 16.0 Hz, H-1), 6.18 (1H, dd, J2,3 7.9 Hz, H-2), 4.04 (1H, dd, J3,4 5.9 Hz, H-3), 3.99–3.90 (1H, m, H-6), 3.59 (3H, s, CH3OC-4), 3.58–3.50 (3H, m, H-4, H-7a, H-7b), 3.40 (3H, s, CH3OC-5), 3.39 (3H, s, CH3OC-7), 3.37 (3H, s, CH3OC-3), 3.37 (1H, dd, J4,5 2.8, J5,6 6.7 Hz, H-5), 3.00 (1H, bs, OH). 13C NMR (100 MHz, CDCl3) δ 132.4 (C-1), 136.1–117.1 (aromatics), 127.6 (C-2), 83.6 (C-4), 83.0 (C-3), 79.7 (C-5), 73.7 (C-7), 70.2 (C-6), 60.7 (CH3OC-4), 59.4 (CH3OC-5), 59.2 (CH3OC-7), 57.0 (CH3OC-3). HR-ESI-MS positive mode (m/z): calc. for [M + Na]+ = 411.0778, found: [M + Na]+ = 411.0777; C17H25BrO5 (389.29).
20f: 1H NMR (400 MHz, CDCl3) δ 7.47 (2H, d, J 8.4 Hz, aromatics), 7.25 (2H, d, J 8.4 Hz, aromatics), 6.69 (1H, d, J1,2 11.9 Hz, H-1), 5.71 (1H, dd, J2,3 10.1 Hz, H-2), 4.53 (1H, dd, J3,4 4.7 Hz, H-3), 3.99–3.90 (1H, m, H-6), 3.57 (3H, s, CH3OC-4), 3.56–3.47 (3H, m, H-4, H-7a, H-7b), 3.45 (1H, dd, J4,5 3.3, J5,6 6.5 Hz, H-5), 3.40 (3H, s, CH3OC-7), 3.34 (3H, s, CH3OC-5), 3.21 (3H, s, CH3OC-3), 3.00 (1H, bs, OH). 13C NMR (100 MHz, CDCl3) δ 132.6 (C-1), 136.1–117.1 (aromatics), 130.2 (C-2), 84.0 (C-4), 79.5 (C-5), 76.8 (C-3), 73.8 (C-7), 70.4 (C-6), 60.7 (CH3OC-4), 59.3 (CH3OC-7), 59.0 (CH3OC-5), 56.4 (CH3OC-3). HR-ESI-MS positive mode (m/z): calc. for [M + Na]+ = 411.0778, found: [M + Na]+ = 411.0777; C17H25BrO5 (389.29).

4.9.6. (E)-1,2-Dideoxy-3,4,5,7-Tetra-O-Methyl-1-(4-Methoxyphenyl)-d-gluco-Hept-1-Enitol (19h) and (Z)-1,2-Dideoxy-3,4,5,7-Tetra-O-Methyl-1-(4-Methoxyphenyl)-d-gluco-Hept-1-Enitol (20h)

Isolated from a reaction of tosylhydrazone 17 (0.05 g, 0.13 mmol), 4-methoxyphenylboronic acid (1.5 equiv., 0.03 g, 0.19 mmol), and K3PO4 (3 equiv., 0.08 g, 0.39 mmol) according to General procedure I by column chromatography (1:2 EtOAc–hexane) to yield 24 mg pale yellow amorphous solid containing 19h and 20h in 23:1 ratio. Rf: 0.13 (1:2 EtOAc–hexane).
Molecules 27 01795 i043
19h: 1H NMR (400 MHz, CDCl3) δ 7.36 (2H, d, J 8.7 Hz, aromatics), 6.88 (2H, d, J 8.7 Hz, aromatics), 6.57 (1H, d, J1,2 16.0 Hz, H-1), 6.01 (1H, dd, J2,3 8.3 Hz, H-2), 4.02 (1H, dd, J3,4 6.0 Hz, H-3), 3.98–3.91 (1H, m, H-6), 3.82 (3H, s, OCH3), 3.60 (3H, s, CH3OC-4), 3.59–3.53 (2H, m, H-7a, H-7b), 3.54–3.49 (1H, m, H-4), 3.40 (3H, s, CH3OC-5), 3.39 (3H, s, CH3OC-7), 3.38 (1H, dd, J4,5 2.9, J5,6 6.9 Hz, H-5), 3.35 (3H, s, CH3OC-3), 3.02 (1H, bs, OH). 13C NMR (100 MHz, CDCl3) δ 133.6 (C-1), 159.9–112.7 (aromatics), 124.3 (C-2), 83.9 (C-4), 83.6 (C-3), 79.8 (C-5), 73.8 (C-7), 70.3 (C-6), 60.8 (CH3OC-4), 59.4 (CH3OC-5), 59.2 (CH3OC-7), 56.7 (CH3OC-3), 55.5 (OCH3). HR-ESI-MS positive mode (m/z): calc. for [M + Na]+ = 363.1778, found: [M + Na]+ = 363.1779; C18H28O5 (340.42).
20h: 1H NMR (400 MHz, CDCl3) δ 7.32 (2H, d, J 8.7 Hz, aromatics), 6.88 (2H, d, J 8.7 Hz, aromatics), 6.69 (1H, d, J1,2 12.0 Hz, H-1), 5.56 (1H, dd, J2,3 10.0 Hz, H-2), 4.63 (1H, dd, J3,4 4.7 Hz, H-3), 3.99–3.90 (1H, m, H-6), 3.82 (3H, s, OCH3), 3.58 (3H, s, CH3OC-4), 3.57–3.49 (3H, m, H-4, H-7a, H-7b), 3.46 (1H, dd, J4,5 3.3, J5,6 6.6 Hz, H-5), 3.40 (3H, s, CH3OC-7), 3.33 (3H, s, CH3OC-5), 3.23 (3H, s, CH3OC-3), 3.02 (1H, bs, OH). 13C NMR (100 MHz, CDCl3) δ 133.3 (C-1), 161.0–112.7 (aromatics), 130.4 (C-2), 84.2 (C-4), 79.6 (C-5), 77.0 (C-3), 73.9 (C-7), 70.4 (C-6), 60.7 (CH3OC-4), 59.3 (CH3OC-7), 59.0 (CH3OC-5), 56.3 (CH3OC-3), 55.4 (OCH3). HR-ESI-MS positive mode (m/z): calc. for [M + Na]+ = 363.1778, found: [M + Na]+ = 363.1776; C18H28O5 (340.42).

4.9.7. (E)-1,2-Dideoxy-3,4,5,7-Tetra-O-Methyl-1-(4-Methylphenyl)-d-gluco-Hept-1-Enitol (19i) and (Z)-1,2-Dideoxy-3,4,5,7-Tetra-O-Methyl-1-(4-Methylphenyl)-d-gluco-Hept-1-Enitol (20i)

Isolated from a reaction of tosylhydrazone 17 (0.05 g, 0.13 mmol), 4-methylphenylboronic acid (1.5 equiv., 0.03 g, 0.19 mmol), and K3PO4 (3 equiv., 0.08 g, 0.39 mmol) according to General procedure I by column chromatography (1:2 EtOAc–hexane) to yield 24 mg pale white amorphous solid containing 19i and 20i in 8:1 ratio. Rf: 0.13 (1:2 EtOAc–hexane), [α]D + 28 (c 0.36, CH2Cl2).
Molecules 27 01795 i044
19i: 1H NMR (400 MHz, CDCl3) δ 7.32 (2H, d, J 8.1 Hz, aromatics),7.15 (2H, d, J 7.9 Hz, aromatics), 6.60 (1H, d, J1,2 16.0 Hz, H-1), 6.10 (1H, dd, J2,3 8.3 Hz, H-2), 4.03 (1H, dd, J3,4 6.0 Hz, H-3), 3.98–3.90 (1H, m, H-6), 3.60 (3H, s, CH3OC-4), 3.58–3.49 (3H, m, H-4, H-7a, H-7b), 3.39 (6H, 2s, CH3OC-5, CH3OC-7), 3.39–3.36 (1H, m, H-5), 3.35 (3H, s, CH3OC-3), 3.03 (1H, bs, OH), 2.35 (3H, s, CH3). 13C NMR (100 MHz, CDCl3) δ 134.0 (C-1), 138.3–125.3 (aromatics), 125.5 (C-2), 83.8 (C-4), 83.6 (C-3), 79.8 (C-5), 73.8 (C-7), 70.2 (C-6), 60.8 (CH3OC-4), 59.4 (CH3OC-5), 59.2 (CH3OC-7), 56.7 (CH3OC-3), 21.3 (CH3). HR-ESI-MS positive mode (m/z): calc. for [M + Na]+ = 347.1829, found: [M + Na]+ = 347.1828; C18H28O5 (324.42).
20i: 1H NMR (400 MHz, CDCl3) δ 7.28–7.23 (4H, m, aromatics), 6.73 (1H, d, J1,2 12.1 Hz, H-1), 5.62 (1H, dd, J2,3 10.0 Hz, H-2), 4.61 (1H, dd, J3,4 4.6 Hz, H-3), 3.98–3.90 (1H, m, H-6), 3.57 (3H, s, CH3OC-4), 3.58–3.49 (3H, m, H-4, H-7a, H-7b), 3.46 (1H, dd, J4,5 3.4, J5,6 6.5 Hz, H-5), 3.40 (3H, s, CH3OC-7), 3.33 (3H, s, CH3OC-5), 3.23 (3H, s, CH3OC-3), 3.03 (1H, bs, OH), 2.36 (3H, s, CH3). 13C NMR δ 133.7 (C-1), 138.2–125.3 (aromatics), 128.7 (C-2), 84.1 (C-4), 79.6 (C-5), 76.7 (C-3), 73.9 (C-7), 70.5 (C-6), 60.7 (CH3OC-4), 59.2 (CH3OC-7), 59.1 (CH3OC-5), 56.4 (CH3OC-3), 21.3 (CH3). HR-ESI-MS positive mode (m/z): calc. for [M + Na]+ = 347.1829, found: [M + Na]+ = 347.1828; C18H28O5 (324.42).

4.10. 2,6-Anhydro-3,4,5,7-Tetra-O-Methoxymethyl-d-glycero-L-manno-Heptononitrile (2,3,4,6-Tetra-O-Methoxymethyl-β-d-Galactopyranosyl Cyanide) (23)

β-d-Galactopyranosyl cyanide 22 (0.10 g, 0.53 mmol) was suspended in dichloromethane (7 mL). The suspension was stirred under nitrogen atmosphere and cooled to 0 °C, and then N-diisopropylethylamine (6.4 equiv. / OH, 2.3 mL, 1.75 g, 13.55 mmol) was added, followed by careful addition of chloromethyl methyl ether (10 equiv. / OH, 1.6 mL, 1.70 g, 21.13 mmol), dropwise. The reaction mixture was stirred in the dark at room temperature. When TLC (1:1 EtOAc–hexane) indicated complete consumption of the starting compound (3 day), the mixture was cooled to 0 °C. Saturated aqueous NH4Cl solution (1 mL) was added to the reaction mixture. The organic layer was separated, washed with water (1 mL), then the aquous phase was washed with dichloromethane (3 × 3 mL). The combined organic phase was washed with water (1 mL) and dried on anhydrous magnesium sulfate. The solution was concentrated under reduced pressure and purified by column chromatography (1:1 EtOAc–hexane) to yield 163 mg (84%) of 23 as a colourless oil. Rf: 0.45 (1:1 EtOAc–hexane); [α]D − 40 (c 0.29, CHCl3). 1H NMR (400 MHz, DMSO-d6) δ 4.86 (1H, d, J 6.7 Hz, CH2), 4.77 (1H, d, J 6.7 Hz, CH2), 4.72 (1H, d, J 6.6 Hz, CH2), 4.71 (1H, d, J 6.6 Hz, CH2), 4.65–4.58 (3H, m, H-2, CH2), 4.57 (2H, s, 2 × CH2), 4.00 (1H, dd, J5,6 0.6 Hz, H-5), 3.91 (1H, pseudo t, J2,3 9.8, J3,4 9.6 Hz, H-3), 3.85 (1H, ddd, J6,7a 5.9, J6,7b 5.9 Hz, H-6), 3.76 (1H, dd, J4,5 2.7 Hz, H-4), 3.58 (1H, dd, J7a,7b 11.0 Hz, H-7a), 3.56 (1H, dd, H-7b), 3.37, 3.32, 3.31, 3.26 (12H, 4s, 4 × CH3). 13C NMR (100 MHz, DMSO-d6) δ 117.5 (C-1 = CN), 97.0, 95.9, 94.6 (4 × CH2), 77.7, 77.2, 72.3, 72.2, 66.6 (C-2–C-6), 66.2 (C-7), 56.1, 55.4, 55.3, 54.8 (4 × CH3). HR-ESI-MS positive mode (m/z): calcd. for [M + H]+ = 366.1759, found: [M + H]+ = 366.1761; C15H27NO9 (365.17).
Molecules 27 01795 i045

4.11. 2,6-Anhydro-3,4,5,7-Tetra-O-Methoxymethyl-d-glycero-L-manno-Heptose Tosylhydrazone (C-(2,3,4,6-Tetra-O-Methoxymethyl-β-d-Galactopyranosyl) Formaldehyde Tosylhydrazone) (24)

Prepared from cyanide 23 (0.10 g, 0.27 mmol) according to General procedure III. Purified by column chromatography (2:1 EtOAc–hexane) to get two unidentified isomers 24-1 and 24-2.
Molecules 27 01795 i046
24-1 yellow oil, 19 mg (13%); Rf: 0.33 (2:1 EtOAc–hexane). 1H NMR (360 MHz, CDCl3) δ 9.50 (1H, s, NH), 7.84–7.75 (2H, m, aromatics), 7.33–7.22 (2H, m, aromatics), 4.89 (1H, d, J 6.8 Hz, CH2), 4.85 (1H, d, J 6.5 Hz, CH2), 4.79 (1H, d, J 6.8 Hz, CH2), 4.73–4.59 (4H, m, CH2), 4.57 (1H, d, J 6.5 Hz, CH2), 4.03 (1H, dd, J4,5 2.4, J5,6 0.6 Hz, H-5), 4.03–3.99 (1H, m, H-2 or H-4), 3.98 (1H, pseudo t, J2,3 9.9, J3,4 9.9 Hz, H-3), 3.78–3.65 (4H, m, H-2 or H-4, H-6, H-7a, H-7b), 3.41, 3.39, 3.21 (12H, 4s, 4 × CH3), 2.42 (3H, s, CH3-Ts). HR-ESI-MS positive mode (m/z): calcd. for [M + H]+ = 537.2113, found: [M + H]+ = 537.2111; C22H36N2O11S (536.20).
24-2 yellow oil, 96 mg (65%); Rf: 0.19 (2:1 EtOAc–hexane).1H NMR (360 MHz, CDCl3) δ 8.25 (1H, s, NH), 7.86–7.73 (2H, m, aromatics), 7.35–7.23 (2H, m, aromatics), 7.05 (1H, d, J1,2 4.4 Hz, H-1), 4.87 (1H, d, J 6.7 Hz, CH2), 4.77 (1H, d, J 6.6 Hz, CH2), 4.72–4.67 (2H, m, CH2), 4.65 (1H, d, J 6.7 Hz, CH2), 4.60 (2H, s, CH2), 4.42 (1H, d, J 6.7 Hz, CH2), 4.02 (1H, dd, J4,5 2.6, J5,6 0.6 Hz, H-5), 3.88–3.78 (2H, m) and 3.75–3.55 (4H, m) and 3.46–3.19 (1H, m): (H-2, H-3, H-4, H-6, H-7a, H-7b), 3.39, 3.32, 3.05 (12H, 4s, 4 × CH3), 2.42 (3H, s, CH3-Ts). 13C NMR (90 MHz, CDCl3) δ 146.6 (C-1), 144.8–127.4 (aromatics), 98.2, 97.6, 96.9, 95.7 (4 × CH2), 79.1, 78.8, 77.3, 74.6, 72.9 (C-2–C-6), 66.9 (C-7), 56.2, 55.9, 55.6 (4 × CH3-Ts). HR-ESI-MS positive mode (m/z): calcd. for [M + H]+ = 537.2113, found: [M + H]+ = 537.2111; C22H36N2O11S (536.20).

4.12. Characterization of Anhydro-Heptitol 25 and Heptenitols 26 and 27

4.12.1. 2,6-Anhydro-1-Deoxy-3,4,5,7-Tetra-O-Methoxymethyl-1-Phenyl-d-glycero-d-gulo-Heptitol (25)

Isolated from a reaction of tosylhydrazone 24 (0.10 g, 0.19 mmol), phenylboronic acid (1.5 equiv., 0.03 g, 0.28 mmol), and K3PO4 (3 equiv., 0.12 g, 0.56 mmol) according to General procedure I by column chromatography (1:6 EtOAc–hexane) to yield 7 mg white amorphous solid containing 25 and 28 in 2.6:1 ratio. Rf: 0.35 (1:2 EtOAc–hexane). 1H NMR (400 MHz, CDCl3) δ 7.32–7.16 (5H, m, aromatics), 4.98 (1H, d, J 6.5 Hz, CH3OCH2OC-3), 4.92 (1H, d, J 6.8 Hz, CH3OCH2OC-5), 4.83 (1H, d, J 6.8 Hz, CH3OCH2OC-4), 4.76 (H, d, J 6.5 Hz, CH3OCH2OC-3), 4.70 (1H, d, J 6.8 Hz, CH3OCH2OC-4), 4.69 (1H, d, J 7.0 Hz, CH3OCH2OC-5), 4.55 (1H, d, J 6.5 Hz, CH3OCH2OC-7), 4.50 (1H, d, J 6.5 Hz, CH3OCH2OC-7), 4.05 (1H, dd, J4,5 2.0, J5,6 0.6 Hz, H-5), 3.76–3.67 (2H, m, H-3, H-4), 3.67 (1H, dd, J6,7a 6.3, J7a,7b 10.2 Hz, H-7a), 3.58 (1H, dd, J6,7b 6.5 Hz, H-7b), 3.48 (3H, s, CH3OCH2OC-3), 3.50–3.44 (1H, m, H-6), 3.43 (3H, s CH3OCH2OC-4), 3.42 (3H, s CH3OCH2OC-5), 3.42–3.39 (1H, m, H-2), 3.27 (3H, s, CH3OCH2OC-7), 3.23 (1H, dd, J1a,1b 14.2, J1a,2 1.5 Hz, H-1a), 2.77 (1H, dd, J1b,2 10.0 Hz, H-1b). 13C NMR (100 MHz, CDCl3) δ 139.7–125.1 (aromatics), 98.9 (CH3OCH2OC-3), 97.5 (CH3OCH2OC-5), 96.9 (CH3OCH2OC-7), 95.4 (CH3OCH2OC-4), 80.9 (C-2), 80.2 (C-4), 77.5 (C-3), 77.2 (C-6), 72.9 (C-5), 66.7 (C-7), 56.7 (CH3OCH2OC-3), 56.1 (CH3OCH2OC-5), 56.0 (CH3OCH2OC-4), 55.5 (CH3OCH2OC-7), 38.1 (C-1). HR-ESI-MS positive mode (m/z): calc. for [M + Na]+ = 453.2095, found: [M + Na]+ = 453.2093; C21H34O9 (430.49).
Molecules 27 01795 i047

4.12.2. (E)-1,2-Dideoxy-3,4,5,7-Tetra-O-Methoxymethyl-1-Phenyl-d-gluco-Hept-1-Enitol (26) and (Z)-1,2-Dideoxy-3,4,5,7-Tetra-O-Methoxymethyl-1-Phenyl-d-gluco-Hept-1-Enitol (27)

Isolated from a reaction of tosylhydrazone 24 (0.10 g, 0.19 mmol), phenylboronic acid (1.5 equiv., 0.03 g, 0.28 mmol), and K3PO4 (3 equiv., 0.12 g, 0.56 mmol) according to General procedure I by column chromatography (1:6 EtOAc–hexane) to yield 19 mg white amorphous solid containing 26 and 27 in 100:1 ratio. Rf: 0.29 (1:2 EtOAc–hexane), [α]D + 1 (c 0.30, CH2Cl2).
Molecules 27 01795 i048
26: 1H NMR (500 MHz, CDCl3) δ 7.39 (2H, d, J 8.7 Hz, aromatics), 7.35–7.29 (2H, m, aromatics), 7.29–7.23 (1H, m, aromatic), 6.65 (1H, d, J1,2 16.0 Hz, H-1), 6.15 (1H, dd, J2,3 8.1 Hz, H-2), 4.86 (1H, d, J 6.6 Hz, CH3OCH2OC-4), 4.84 (2H, d, J 6.7 Hz, CH3OCH2OC-4, CH3OCH2OC-5), 4.78 (1H, d, J 6.7 Hz, CH3OCH2OC-3), 4.71 (1H, d, J 6.8 Hz, CH3OCH2OC-5), 4.64 (1H, d, J 6.7 Hz, CH3OCH2OC-3), 4.62 (1H, d, J 6.5 Hz, CH3OCH2OC-7), 4.60 (1H, d, J 6.5 Hz, CH3OCH2OC-7), 4.47 (1H, dd, J3,4 5.4 Hz, H-3), 4.20–4.12 (1H, m, H-6), 4.00 (1H, pseudo t, J4,5 4.6 Hz, H-4), 3.89 (1H, dd, J5,6 2.1 Hz, H-5), 3.66 (1H, dd, J6,7a 6.4, J7a,7b 10.3 Hz, H-7a), 3.64 (1H, dd, J6,7b 6.1 Hz, H-7b), 3.49 (1H, dd, J6,OH 3.9 Hz, OH), 3.46 (3H, s CH3OCH2OC-4), 3.44 (3H, s, CH3OCH2OC-5), 3.41 (3H, s, CH3OCH2OC-3), 3.31 (3H, s, CH3OCH2OC-7). 13C NMR (125 MHz, CDCl3) δ 134.6 (C-1), 136.4–125.5 (aromatics), 125.9 (C-2), 98.5 (CH3OCH2OC-4), 97.5 (CH3OCH2OC-5), 96.9 (CH3OCH2OC-7), 94.3 (CH3OCH2OC-3), 81.3 (C-4), 77.2 (C-3), 76.9 (C-5), 69.8 (C-6), 69.1 (C-7), 56.4 (CH3OCH2OC-4, CH3OCH2OC-5), 56.0 (CH3OCH2OC-3), 55.4 (CH3OCH2OC-7). HR-ESI-MS positive mode (m/z): calc. for [M + Na]+ = 453.2095, found: [M + Na]+ = 453.2099; C21H34O9 (430.49).
27: 1H NMR (500 MHz, CDCl3) δ 7.43–7.36 (2H, m, aromatics), 7.35–7.29 (2H, m, aromatics), 7.29–7.23 (1H, m, aromatic), 6.75 (1H, d, J1,2 11.4 Hz, H-1), 5.70 (1H, dd, J2,3 9.9 Hz, H-2), 4.93–4.22 (11H, m, H-3, H-4, H-5, 4 × CH3OCH2), 4.20–4.12 (1H, m, H-6), 3.96–3.83 (2H, m, H-7a, H-7b), 3.44, 3.35, 3.34 (12H, 4s, 4 × CH3OCH2). 13C NMR (125 MHz, CDCl3) δ 133.9 (C-1), 136.4–125.5 (aromatics), 129.2 (C-2), 98.9, 97.6, 97.0, 94.6 (4 × CH3OCH2), 81.6 (C-4), 76.9 (C-5), 71.7 (C-3), 69.5 (C-6), 65.7 (C-7), 56.6, 56.5, 55.9, 55.7 (4 × CH3OCH2). HR-ESI-MS positive mode (m/z): calc. for [M + Na]+ = 453.2095, found: [M + Na]+ = 453.2099; C21H34O9 (430.49).

Supplementary Materials

The following are available online at https://www.mdpi.com/article/10.3390/molecules27061795/s1, The NMR spectral analysis.

Author Contributions

M.T., T.K. designed the experiments; M.T., T.K., B.B., B.Á.B., T.B. performed the synthetic work, M.T., T.K., L.J. carried out the structure elucidation, L.S., M.T. conceived the research, M.T., T.K., L.S., L.J. wrote the paper. All authors have read and agreed to the published version of the manuscript.

Funding

This research was funded by the National Research, Development and Innovation Office, grant number FK128766, and by the EU co-financed by the European Regional Development Fund under the project GINOP-2.3.2-15-2016-00008.

Institutional Review Board Statement

Not applicable.

Informed Consent Statement

Not applicable.

Data Availability Statement

Not applicable.

Conflicts of Interest

The authors declare no conflict of interest.

Sample Availability

Samples are not available.

References

  1. Barluenga, J.; Valdes, C. Tosylhydrazones: New uses for classic reagents in palladium-catalyzed cross-coupling and metal-free reactions. Angew. Chem. Int. Ed. 2011, 50, 7486–7500. [Google Scholar] [CrossRef]
  2. Shao, Z.; Zhang, H. N-Tosylhydrazones: Versatile reagents for metal-catalyzed and metal-free cross-coupling reactions. Chem. Soc. Rev. 2012, 41, 560–572. [Google Scholar] [CrossRef]
  3. Xiao, Q.; Zhang, Y.; Wang, J.B. Diazo Compounds and N-Tosylhydrazones: Novel cross-coupling partners in transition-metal-catalyzed reactions. Acc. Chem. Res. 2013, 46, 236–247. [Google Scholar] [CrossRef]
  4. Qiu, D.; Mo, F.; Zhang, Y.; Wang, J. Chapter Two—Recent advances in transition-metal-catalyzed cross-coupling reactions with N-tosylhydrazones. In Advances in Organometallic Chemistry; Pérez, P.J., Ed.; Academic Press: Cambridge, MA, USA, 2017; Volume 67, pp. 151–219. [Google Scholar]
  5. Xia, Y.; Qiu, D.; Wang, J. Transition-metal-catalyzed cross-couplings through carbene migratory insertion. Chem. Rev. 2017, 117, 13810–13889. [Google Scholar] [CrossRef]
  6. Wang, H.; Deng, Y.-H.; Shao, Z. An update of N-tosylhydrazones: Versatile reagents for metal-catalyzed and metal-free coupling reactions. Synthesis 2018, 50, 2281–2306. [Google Scholar] [CrossRef]
  7. Tóth, M.; Somsák, L. One-pot transformation of nitriles into aldehyde tosylhydrazones. Tetrahedron Lett. 2001, 42, 2723–2725. [Google Scholar] [CrossRef]
  8. Tóth, M.; Kövér, K.E.; Bényei, A.; Somsák, L. C-Glycosylmethylene carbenes: Synthesis of anhydro-aldose tosylhydrazones as precursors; generation and a new synthetic route to exo-glycals. Org. Biomol. Chem. 2003, 1, 4039–4046. [Google Scholar] [CrossRef]
  9. Tóth, M.; Somsák, L.; Goyard, D. Preparation of 2,6-anhydro-aldose-tosylhydrazones. In Carbohydrate Chemistry: Proven Synthetic Methods; Kováč, P., Ed.; CRC Press: Boca Raton, FL, USA, 2012; Volume 1, pp. 355–365. [Google Scholar]
  10. Kaszás, T.; Tóth, M.; Kun, S.; Somsák, L. Coupling of anhydro-aldose tosylhydrazones with hydroxy compounds and carboxylic acids: A new route for the synthesis of C-[β]-d-glycopyranosylmethyl ethers and esters. RSC Adv. 2017, 7, 10454–10462. [Google Scholar] [CrossRef] [Green Version]
  11. Kaszás, T.; Tóth, M.; Somsák, L. A new synthesis of C-[β]-d-glycopyranosylmethyl sulfides by metal-free coupling of anhydro-aldose tosylhydrazones with thiols. New J. Chem. 2017, 41, 13871–13880. [Google Scholar] [CrossRef] [Green Version]
  12. Kaszás, T.; Cservenyák, I.; Juhász-Tóth, É.; Kulcsár, A.E.; Granatino, P.; Nilsson, U.J.; Somsák, L.; Tóth, M. Coupling of N-tosylhydrazones with tetrazoles: Synthesis of 2-β-d-glycopyranosylmethyl-5-substituted-2H-tetrazole type glycomimetics. Org. Biomol. Chem. 2021, 19, 605–618. [Google Scholar] [CrossRef]
  13. Kaszás, T.; Ivanov, A.; Tóth, M.; Ehlers, P.; Langer, P.; Somsák, L. Pd-catalyzed coupling reactions of anhydro-aldose tosylhydrazones with aryl bromides to produce substituted exo-glycals. Carbohydr. Res. 2018, 466, 30–38. [Google Scholar] [CrossRef] [PubMed] [Green Version]
  14. Kaszás, T.; Tóth, M.; Langer, P.; Somsák, L. C-Glycosyl styrene type compounds by Pd-catalyzed cross-coupling reactions of anhydro-aldose tosylhydrazones with benzyl bromides. Adv. Synth. Catal. 2019, 361, 105–117. [Google Scholar] [CrossRef]
  15. Barluenga, J.; Tomas-Gamasa, M.; Aznar, F.; Valdes, C. Metal-free carbon-carbon bond-forming reductive coupling between boronic acids and tosylhydrazones. Nat. Chem. 2009, 1, 494–499. [Google Scholar] [CrossRef] [PubMed]
  16. Paraja, M.; Plaza, M.; Valdés, C. Transition-metal-free reactions between boronic acids and N-sulfonylhydrazones or diazo compounds: Reductive coupling processes and beyond. Synlett 2017, 28, 2373–2389. [Google Scholar] [CrossRef] [Green Version]
  17. Pérez-Aguilar, M.C.; Valdés, C. Olefination of carbonyl compounds through reductive coupling of alkenylboronic acids and tosylhydrazones. Angew. Chem. Int. Ed. 2012, 51, 5953–5957. [Google Scholar] [CrossRef] [PubMed]
  18. Merchant, R.R.; Lopez, J.A. A general C(sp3)–C(sp3) cross-coupling of benzyl sulfonylhydrazones with alkyl boronic acids. Org. Lett. 2020, 22, 2271–2275. [Google Scholar] [CrossRef] [PubMed]
  19. He, J.; Zhang, J.; Dai, B.; Liu, P. Sequentially Formations of Csp3-Csp2 and Csp2-Csp2 bonds by a one-pot reaction involving N-tosylhydrazone and p-bromobenzeneboronic acid. ChemistrySelect 2019, 4, 4496–4498. [Google Scholar] [CrossRef]
  20. Gu, N.; Wei, Y.; Liu, P.; Liu, Y.; Dai, B. Multi-component one-pot reaction of aromatic carbonyl compounds, tosylhydrazide, and arylboronic acids. Molecules 2017, 22, 2168. [Google Scholar] [CrossRef] [Green Version]
  21. Liu, Y.; Ma, X.; Liu, Y.; Liu, P.; Dai, B. Synthesis of α-arylalkylferrocenes through cesium fluoride-promoted coupling of arylboronic acids with N-tosylhydrazones. Synth. Comm. 2018, 48, 921–928. [Google Scholar] [CrossRef]
  22. Plaza, M.; Pérez-Aguilar, M.C.; Valdés, C. Stereoselective Csp3–Csp2 bond-forming reactions by transition-metal-free reductive coupling of cyclic tosylhydrazones with boronic acids. Chem. Eur. J. 2016, 22, 6253–6257. [Google Scholar] [CrossRef]
  23. Li, X.; Feng, Y.; Lin, L.; Zou, G. Synthesis of diarylmethanes via metal-free reductive cross-coupling of diarylborinic acids with tosyl hydrazones. J. Org. Chem. 2012, 77, 10991–10995. [Google Scholar] [CrossRef] [PubMed]
  24. Kupracz, L.; Kirschning, A. Two-step flow synthesis of biarylmethanes by reductive arylation of tosylhydrazones. J. Flow Chem. 2013, 3, 11–16. [Google Scholar] [CrossRef]
  25. Nakagawa, S.; Bainbridge, K.A.; Butcher, K.; Ellis, D.; Klute, W.; Ryckmans, T. Application of Barluenga boronic coupling (BBC) to the parallel synthesis of drug-like and drug fragment-like molecules. ChemMedChem 2012, 7, 233–236. [Google Scholar] [CrossRef] [PubMed]
  26. Khan, I.; Sharma, A.; Kamboj, P.; Maity, B.; Tyagi, V. Base-mediated reductive coupling of indole-3-tosylhydrazone with thiols/boronic acids: Facile synthesis of 3-(phenylthio)methyl/benzyl indole derivatives. ChemistrySelect 2020, 5, 591–600. [Google Scholar] [CrossRef]
  27. Allwood, D.M.; Blakemore, D.C.; Brown, A.D.; Ley, S.V. Metal-free coupling of saturated heterocyclic sulfonylhydrazones with boronic acids. J. Org. Chem. 2014, 79, 328–338. [Google Scholar] [CrossRef]
  28. Shen, X.; Gu, N.; Liu, P.; Ma, X.; Xie, J.; Liu, Y.; He, L.; Dai, B. A simple and efficient synthesis of 9-arylfluorenes via metal-free reductive coupling of arylboronic acids and N-tosylhydrazones in situ. RSC Adv. 2015, 5, 63726–63731. [Google Scholar] [CrossRef]
  29. Shen, X.; Gu, N.; Liu, P.; Ma, X.; Xie, J.; Liu, Y.; Dai, B. One-pot synthesis of triarylmethanes via metal-free reductive coupling of diaryl ketones, tosylhydrazide, and arylboronic acids. Chin. J. Chem. 2016, 34, 1033–1038. [Google Scholar] [CrossRef]
  30. Shen, X.; Liu, P.; Liu, Y.; Liu, Y.; Dai, B. One-pot reductive coupling reactions of acetyl naphthalene derivatives, tosylhydrazide, with arylboronic acids. Tetrahedron 2017, 73, 785–793. [Google Scholar] [CrossRef]
  31. Wu, G.; Deng, Y.; Luo, H.; Zhou, J.; Li, T.; Zhang, Y.; Wang, J. Transition-metal-free cascade reaction of α-halo-N-tosylhydrazones, indoles and arylboronic acids. Chem. Commun. 2016, 52, 5266–5268. [Google Scholar] [CrossRef]
  32. Plaza, M.; Valdés, C. Stereoselective domino carbocyclizations of γ- and δ-cyano-N-tosylhydrazones with alkenylboronic acids with formation of two different C(sp3)–C(sp2) bonds on a quaternary stereocenter. J. Am. Chem. Soc. 2016, 138, 12061–12064. [Google Scholar] [CrossRef] [Green Version]
  33. Plaza, M.; Parisotto, S.; Valdés, C. Heterocyclization and spirocyclization processes based on domino reactions of N-tosylhydrazones and boronic acids involving intramolecular allylborylations of nitriles. Chem. Eur. J. 2018, 24, 14836–14843. [Google Scholar] [CrossRef] [PubMed]
  34. Florentino, L.; López, L.; Barroso, R.; Cabal, M.-P.; Valdés, C. Synthesis of pyrrolidines by a Csp3-Csp3/Csp3-N transition-metal-free domino reaction of boronic acids with γ-azido-N-tosylhydrazones. Angew. Chem. Int. Ed. 2021, 60, 1273–1280. [Google Scholar] [CrossRef] [PubMed]
  35. Panigot, J.; Curley, W. Reaction of glycosyl halides with benzyl Grignard reagents: Unexpected o-tolyl alkylation of tetra-O-acetylglucopyranosyl bromide and direct synthesis of (β-glycosyl)phenylmethanes. J. Carbohydr. Chem. 1994, 13, 293–302. [Google Scholar] [CrossRef]
  36. Sanhueza, C.A.; Mayato, C.; García-Chicano, M.; Díaz-Peñate, R.; Dorta, R.L.; Vázquez, J.T. Antiproliferation and apoptosis induced by C-glycosides in human leukemia cancer cells. Bioorg. Med. Chem. Lett. 2006, 16, 4223–4227. [Google Scholar] [CrossRef]
  37. Kolympadi, M.; Fontanella, M.; Venturi, C.; André, S.; Gabius, H.-J.; Jiménez-Barbero, J.; Vogel, P. Synthesis and conformational analysis of (α-d-galactosyl)phenylmethane and α-,β-difluoromethane analogues: Interactions with the plant lectin viscumin. Chem. Eur. J. 2009, 15, 2861–2873. [Google Scholar] [CrossRef] [Green Version]
  38. Pasetto, P.; Chen, X.; Drain, C.M.; Franck, R.W. Synthesis of hydrolytically stable porphyrin C- and S-glycoconjugates in high yields. Chem. Commun. 2001, 81–82. [Google Scholar] [CrossRef]
  39. Ichikawa, S.; Tatebayashi, N.; Matsuda, A. Synthesis of C-glycosyl pyrrolo[3,4-C]carbazole-1,3(2H,6H)-diones as a scaffold for check point kinase 1 inhibitors. J. Org. Chem. 2013, 78, 12065–12075. [Google Scholar] [CrossRef]
  40. Brenna, E.; Fuganti, C.; Grasselli, P.; Serra, S.; Zamboti, S. A novel general route for the synthesis of C-glycosyl tyrosine analogues. Chemistry 2002, 8, 1872–1878. [Google Scholar] [CrossRef]
  41. Fatima, S.; Pandey, V.P.; Bisht, S.S.; Tripathi, R.P. Application of butenonyl-C-glucosides in the synthesis of pyrazolinyl-, aminopyrimidinyl- and biphenyl methyl-β-d-C-glucopyranosides. Mol. Div. 2011, 15, 759–768. [Google Scholar] [CrossRef]
  42. Johnson, C.R.; Johns, B.A. Suzuki cross-coupling of carbohydrates: Synthesis of β-arylmethyl-C-glycosides and aryl-scaffolded trisaccharide mimics. Synlett 1997, 1406–1408. [Google Scholar] [CrossRef]
  43. Pearce, A.J.; Ramaya, S.; Thorn, S.N.; Bloomberg, G.B.; Walter, D.S.; Gallagher, T. C-glycosyl tyrosines. Synthesis and incorporation into C-glycopeptides. J. Org. Chem. 1999, 64, 5453–5462. [Google Scholar] [CrossRef] [PubMed]
  44. Tóth, M.; Somsák, L. Exo-glycals from glycosyl cyanides. First generation of C-glycosylmethylene carbenes from 2,5- and 2,6-anhydroaldose tosylhydrazones. J. Chem. Soc. Perkin. Trans. 1 2001, 942–943. [Google Scholar] [CrossRef]
  45. Tóth, M.; Kun, S.; Somsák, L.; Goyard, D. Preparation of exo-glycals from 2,6-anhydro-aldose-tosylhydrazones. In Carbohydrate Chemistry: Proven Synthetic Methods; Kováč, P., Ed.; CRC Press: Boca Raton, FL, USA, 2012; Volume 1, pp. 367–375. [Google Scholar]
  46. Kim, I.S.; Kim, S.J.; Lee, J.K.; Li, Q.R.; Jung, Y.H. Synthesis of (2R,5S)-dihydroxymethyl-(3R,4R)-dihydroxypyrrolidine (DGDP) via stereoselective amination using chlorosulfonyl isocyanate. Carbohydr. Res. 2007, 342, 1502–1509. [Google Scholar] [CrossRef] [PubMed]
  47. Schlubach, H.H.; Huntenburg, W. Zwei neue pentabenzoyl-glucosen. Ber. Dtsch. Chem. Ges. 1927, 60, 1487–1488. [Google Scholar] [CrossRef]
  48. Pourceau, G.; Valle-Carrandi, L.d.; Di Gianvincenzo, P.; Michelena, O.; Penadés, S. On the chiroptical properties of Au(i)–thiolate glycoconjugate precursors and their influence on sugar-protected gold nanoparticles (glyconanoparticles). RSC Adv. 2014, 4, 59284–59288. [Google Scholar] [CrossRef]
  49. Tamura, Y.; Kanomata, K.; Kitaoka, T. Interfacial hydrolysis of acetals on protonated TEMPO-oxidized cellulose nanofibers. Sci. Rep. 2018, 8, 5021. [Google Scholar] [CrossRef] [Green Version]
  50. Jensen, H.H.; Nordstrøm, L.U.; Bols, M. The disarming effect of the 4,6-acetal group on glycoside reactivity:  Torsional or electronic? J. Am. Chem. Soc. 2004, 126, 9205–9213. [Google Scholar] [CrossRef]
  51. Sipos, S.; Jablonkai, I. Preparation of 1-C-glycosyl aldehydes by reductive hydrolysis. Carbohydr. Res. 2011, 346, 1503–1510. [Google Scholar] [CrossRef]
  52. Ali, M.H.; Collins, P.M.; Overend, G. Titanium-mediated methylene transfer reactions on sugar esters, lactones, and uloses. Carbohydr. Res. 1990, 205, 428–434. [Google Scholar] [CrossRef]
  53. Walker, J.R.; Alshafie, G.; Nieves, N.; Ahrens, J.; Clagett-Dame, M.; Abou-Issa, H.; Curley, R.W. Synthesis and preliminary chemotherapeutic evaluation of the fully C-linked glucuronide of N-(4-hydroxyphenyl)retinamide. Bioorg. Med. Chem. 2006, 14, 3038–3048. [Google Scholar] [CrossRef] [Green Version]
Scheme 1. Synthetic applications of anhydro-aldose tosylhydrazones in coupling reactions.
Scheme 1. Synthetic applications of anhydro-aldose tosylhydrazones in coupling reactions.
Molecules 27 01795 sch001
Scheme 2. Selected examples of N-tosylhydrazone-boronic acid coupling (ad) and the reaction studied in this work (e).
Scheme 2. Selected examples of N-tosylhydrazone-boronic acid coupling (ad) and the reaction studied in this work (e).
Molecules 27 01795 sch002
Scheme 3. Acetylation of heptenitol 9.
Scheme 3. Acetylation of heptenitol 9.
Molecules 27 01795 sch003
Scheme 4. Synthesis of O-permethylated (β-d-glucopyranosyl)formaldehyde tosylhydrazone 17.
Scheme 4. Synthesis of O-permethylated (β-d-glucopyranosyl)formaldehyde tosylhydrazone 17.
Molecules 27 01795 sch004
Scheme 5. Synthesis of O-permethoxymethylated (β-d-galactopyranosyl)formaldehyde tosylhydrazone 24.
Scheme 5. Synthesis of O-permethoxymethylated (β-d-galactopyranosyl)formaldehyde tosylhydrazone 24.
Molecules 27 01795 sch005
Scheme 6. Coupling of tosylhydrazone 24 with phenylboronic acid.
Scheme 6. Coupling of tosylhydrazone 24 with phenylboronic acid.
Molecules 27 01795 sch006
Scheme 7. Mechanistic possibilities for the coupling reactions.
Scheme 7. Mechanistic possibilities for the coupling reactions.
Molecules 27 01795 sch007
Table 1. Optimization of the coupling reaction of 1 with phenylboronic acid.
Table 1. Optimization of the coupling reaction of 1 with phenylboronic acid.
Molecules 27 01795 i001
E. Reaction ConditionsYield (%)
1PhB(OH)2 (Equiv.)Base
(Equiv.)
SolventT (°C)t (h)2a3a4a5
1a1.5K2CO3 (1.5)1,4-dioxane1013--28-
2a1.5Bu4NF (1.5)1,4-dioxane1013complex reaction mixture
3a1.5LiOtBu (1.5)1,4-dioxane1013-+ a+ a16
4a1.5K3PO4 (1.5)1,4-dioxane1013-+ a-38
5a1.5K3PO4 (3)1,4-dioxane1013-43--
6a1.5K3PO4 (3)fluorbenzene853.5complex reaction mixture
7a1.5K3PO4 (3)acetonitrile823complex reaction mixture
8a1.5K3PO4 (3)toluene1113.5complex reaction mixture
9a5K3PO4 (3)1,4-dioxane1013.5236 b11 b2 b
10a5K3PO4 (4)1,4-dioxane1013438 b12 b-
11a5K3PO4 (10)1,4-dioxane1013-+ a+ a39
12a20K3PO4 (10)1,4-dioxane1012.5-70--
13b2-1,4-dioxane1012+ a22--
14b5-1,4-dioxane1012+ a19--
15b10-1,4-dioxane10127 b17 b15 b15 b
a Compounds were detected in the mixture. b Yields were calculated on the basis of the 1H NMR spectra of the worked-up reaction mixture.
Table 2. Reactions of tosylhydrazone 1a with aryl boronic acids.
Table 2. Reactions of tosylhydrazone 1a with aryl boronic acids.
Molecules 27 01795 i002
Entry Reaction ConditionsYield (%)
ArBoronic Acid (Equiv.)K3PO4 (Equiv.)t
(h)
2345
1b2-naphthyl1.5327 a39 a14 a3 a
2 2-naphthyl20101.5444 a31 a-
3c4-(dibenzofuranyl)1.5323 a16+ b18 a
4 4-(dibenzofuranyl)2010219 a9 a4715 a
5d4-MeC6H41.532-31 a12 a-
6e4-MeOC6H41.533-34 a14 a-
7 4-MeOC6H420103-+ b42-
8f3-ClC6H41.531.55 a34 a18 a11 a
9g4-ClC6H41.532-68-4 a
10h4-NO2C6H41.532---63
11 4-NO2C6H420102.510 a--12 a
12i3-NO2C6H41.532complex reaction mixture22
13 3-NO2C6H420102complex reaction mixture62
a Yields were calculated on the basis of the 1H NMR spectra of the worked-up reaction mixture. b Compounds were detected in the mixture.
Table 3. Reactions of tosylhydrazone 6 with phenyl boronic acids.
Table 3. Reactions of tosylhydrazone 6 with phenyl boronic acids.
Molecules 27 01795 i003
EntryReaction ConditionsIsolated Yield (%)
PhB(OH)2 (Equiv.)Base
(Equiv.)
t
(h)
78910
11.5K2CO3 (3)3.53 a6-2 a
220K3PO4 (10)1.54575-
a Yields were calculated on the basis of the 1H NMR spectra of the worked-up reaction mixture.
Table 4. Benzoylation of heptenitols 3 and 4.
Table 4. Benzoylation of heptenitols 3 and 4.
Molecules 27 01795 i004
Entry Reaction ConditionsYield of 11 (%)
Art
(h)
1aPh290
2b4-(dibenzofuranyl)254
Table 5. Reactions of tosylhydrazone 17 with aryl boronic acids.
Table 5. Reactions of tosylhydrazone 17 with aryl boronic acids.
Molecules 27 01795 i005
Entry Reaction ConditionsYield (%)
ArBoronic Acid (Equiv.)K3PO4 (Equiv.)t
(h)
18192021
1. aPh 1.5 3 3.517 a61 a 7 a 13 a
2. b4-(dibenzofuranyl)1.5 3 18 - - + b
3. 4-COOHC6H4 1.5 3 3complex reaction mixture
4. c4-CF3C6H4 1.5 3 1.545 16 a + b 26
5. d4-FC6H4 1.5 3 5.514 55 a 18 a + b
6. e3-ClC6H4 1.5 3 2.529 37 a 4 a + b
7. f4-BrC6H4 1.5 3 1.522 35 a 4 a + b
8. g4-NO2C6H4 1.5 3 1.546 - - 13
9. h4-MeOC6H4 1.5 3 1.59 52 a 2 a + b
10. i4-MeC6H4 1.5 3 3.520 a 50 a 6 a 7 a
a Yields calculated on the basis of the 1H NMR spectra of the worked-up reaction mixture. b Compounds were detected in the mixture.
Publisher’s Note: MDPI stays neutral with regard to jurisdictional claims in published maps and institutional affiliations.

Share and Cite

MDPI and ACS Style

Kaszás, T.; Baráth, B.Á.; Balázs, B.; Blága, T.; Juhász, L.; Somsák, L.; Tóth, M. Coupling Reactions of Anhydro-Aldose Tosylhydrazones with Boronic Acids. Molecules 2022, 27, 1795. https://doi.org/10.3390/molecules27061795

AMA Style

Kaszás T, Baráth BÁ, Balázs B, Blága T, Juhász L, Somsák L, Tóth M. Coupling Reactions of Anhydro-Aldose Tosylhydrazones with Boronic Acids. Molecules. 2022; 27(6):1795. https://doi.org/10.3390/molecules27061795

Chicago/Turabian Style

Kaszás, Tímea, Balázs Áron Baráth, Bernadett Balázs, Tekla Blága, László Juhász, László Somsák, and Marietta Tóth. 2022. "Coupling Reactions of Anhydro-Aldose Tosylhydrazones with Boronic Acids" Molecules 27, no. 6: 1795. https://doi.org/10.3390/molecules27061795

APA Style

Kaszás, T., Baráth, B. Á., Balázs, B., Blága, T., Juhász, L., Somsák, L., & Tóth, M. (2022). Coupling Reactions of Anhydro-Aldose Tosylhydrazones with Boronic Acids. Molecules, 27(6), 1795. https://doi.org/10.3390/molecules27061795

Article Metrics

Back to TopTop