An Update on Synthesis of Coumarin Sulfonamides as Enzyme Inhibitors and Anticancer Agents
Abstract
1. Introduction
2. Coumarin Sulfonamides as Anti-Cancer Agents and Carbonic Anhydrase Inhibitors
2.1. Benzenesulfonamide-Based Coumarins as Carbonic Anhydrases II and IX Inhibitors
2.2. Thiazole-Sulfonamide Coumarin Hybrids as hCA I and hCA II Inhibitors
2.3. Sulfonyl Ureido Coumarins Hybrids as Carbonic Anhydrase Inhibitors
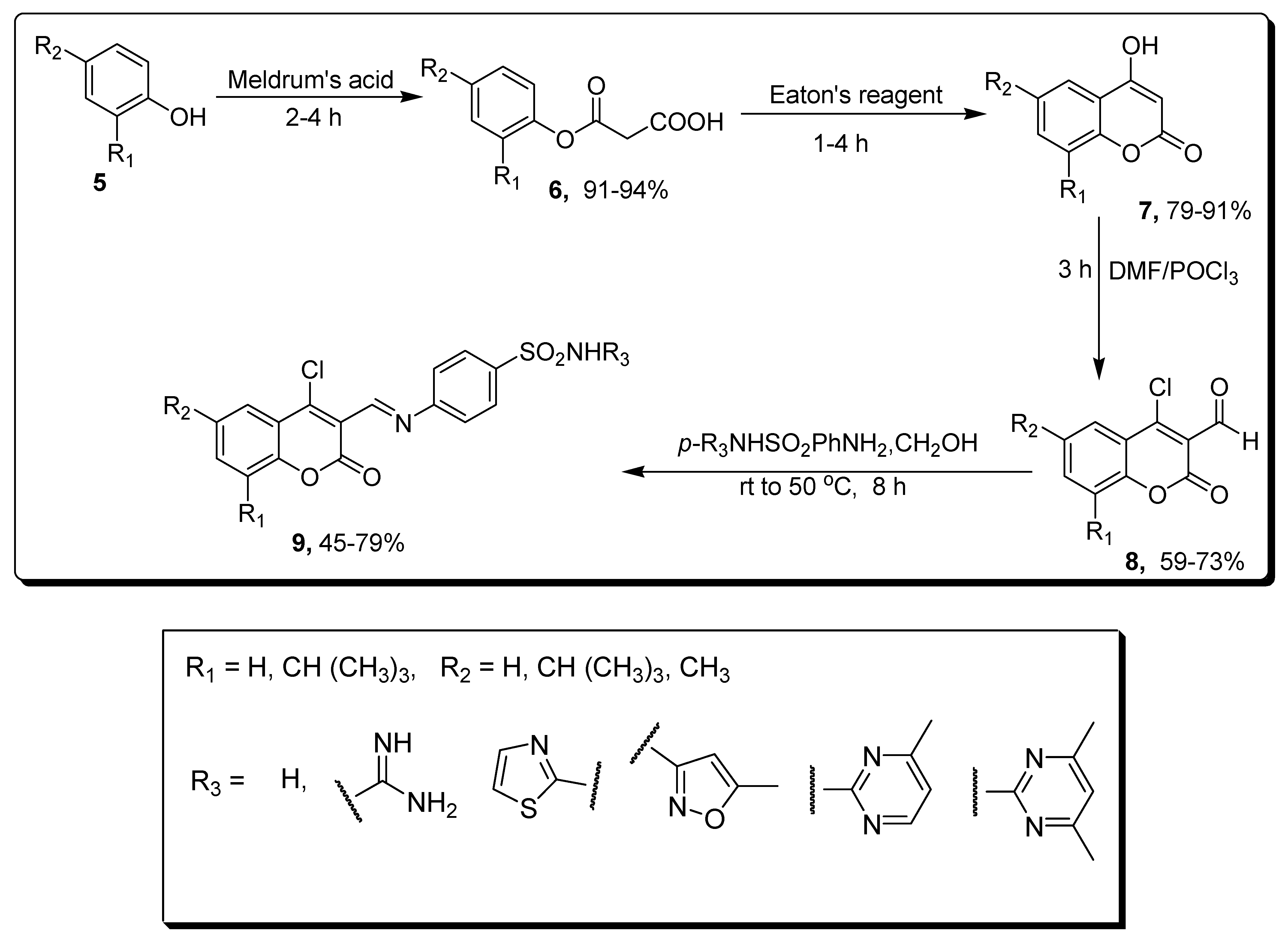
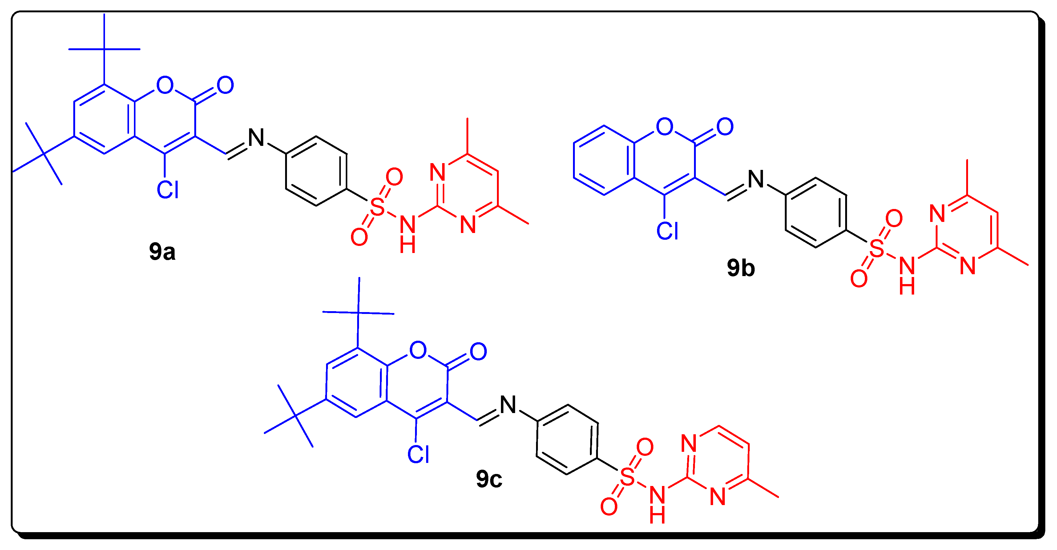
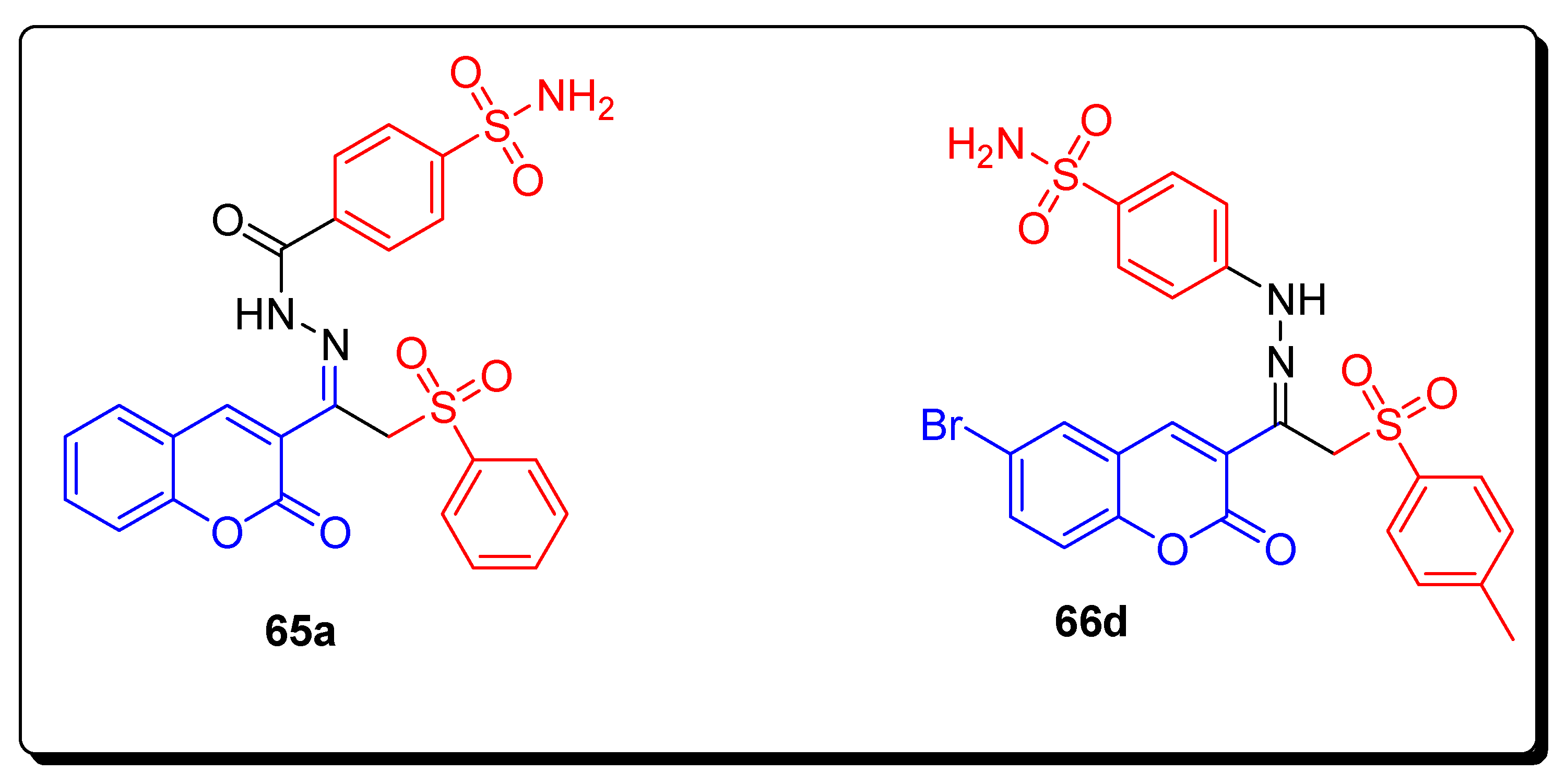
2.4. Benzene Sulfonamido-Coumarinyl Hydrazones Hybrids as CA Inhibitors
2.5. Pyrazole-Based Coumarin Sulfonamides as CA Inhibitors and Anticancer Agents
2.6. 3-Sulfamoyl Coumarins against Cancer-Related IX and XII Isoforms of hCAs
2.7. Triazole-Bridged Coumarin Sulfonamides as CAs Inhibitors and Anticancer Agents
2.8. Substituted Coumarins Sulfonamide as Selective Human CA IX and XII Inhibitors
2.9. Coumarin Sulfonamide as RAF/MEK Inhibitors and Anticancer Agents
3. Pyrazoline-Based Coumarin Sulfonamide Hybrids as Anticancer Agents
3.1. Pyrazoline-Based Coumarin Sulfonamide Hybrids as Anticancer Agents
3.2. Pyrazole Sulfonyl Coumarins Hybrids as Anticancer Agents and Anti-Migratory Activity
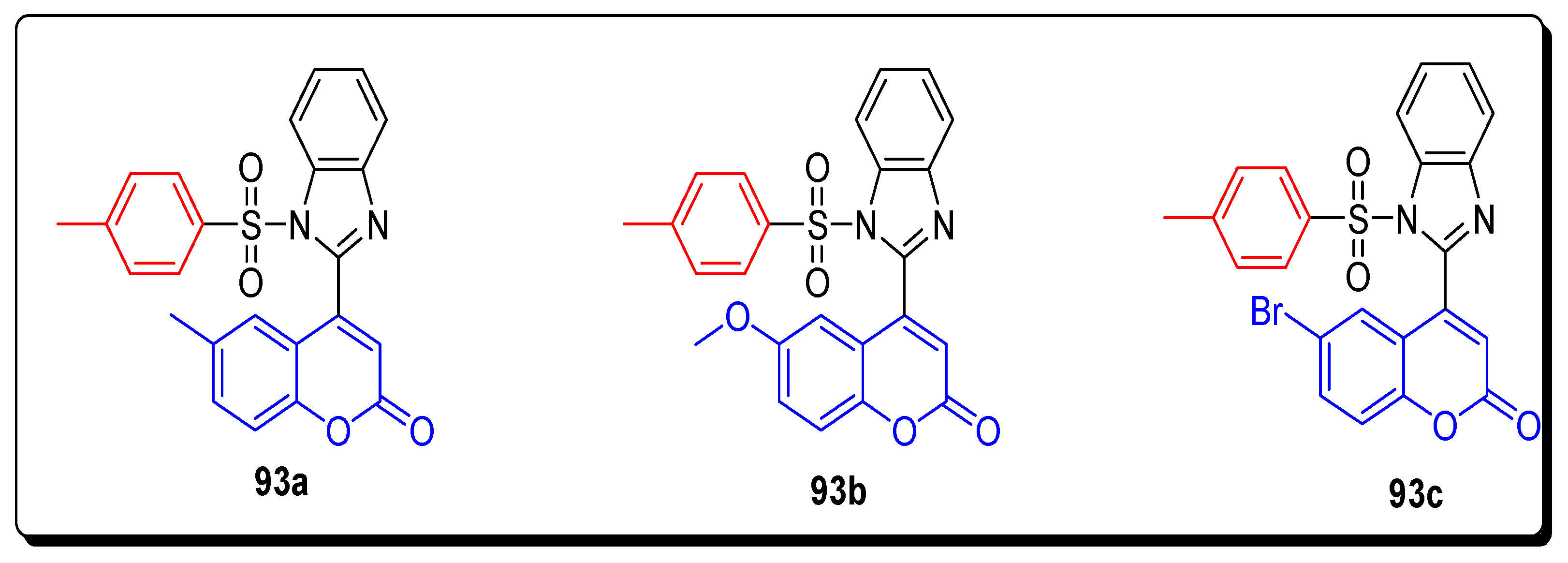
3.3. Coumarin Benzomidazole Sulfonamide Hybrids as Anticancer Agents
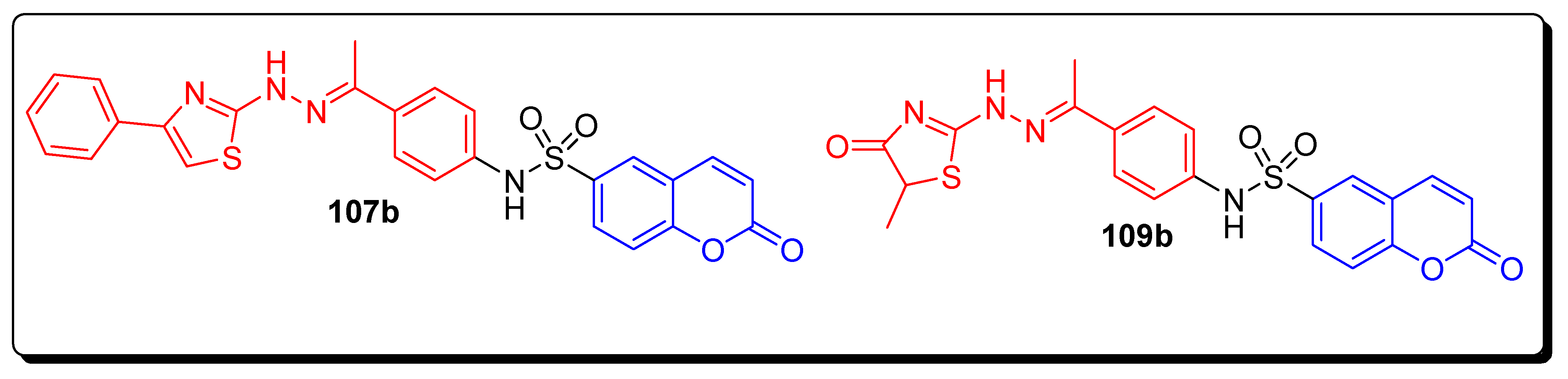
3.4. Coumarin-Proline Sulfonamide Motifs as Anticancer Agents
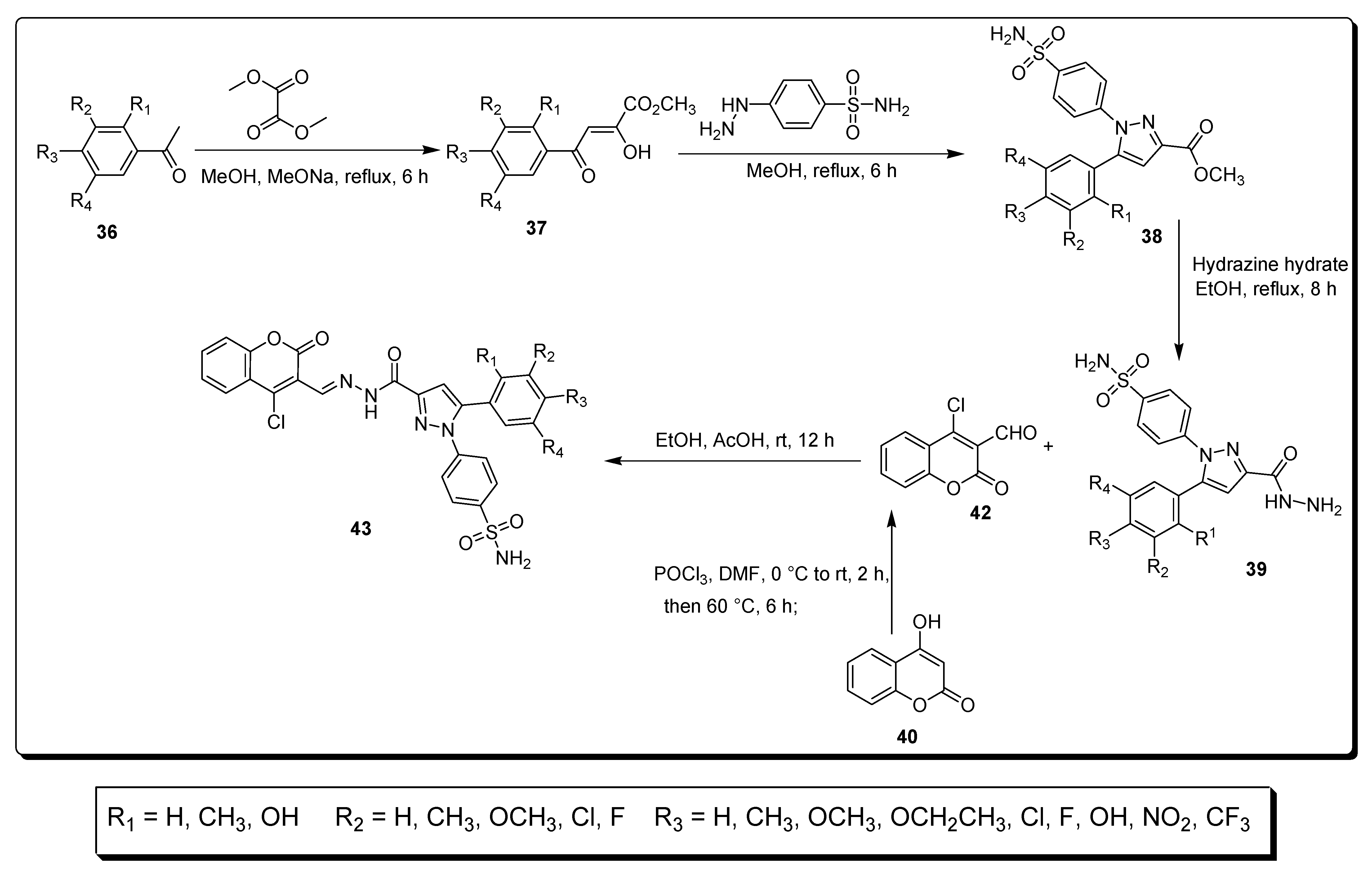
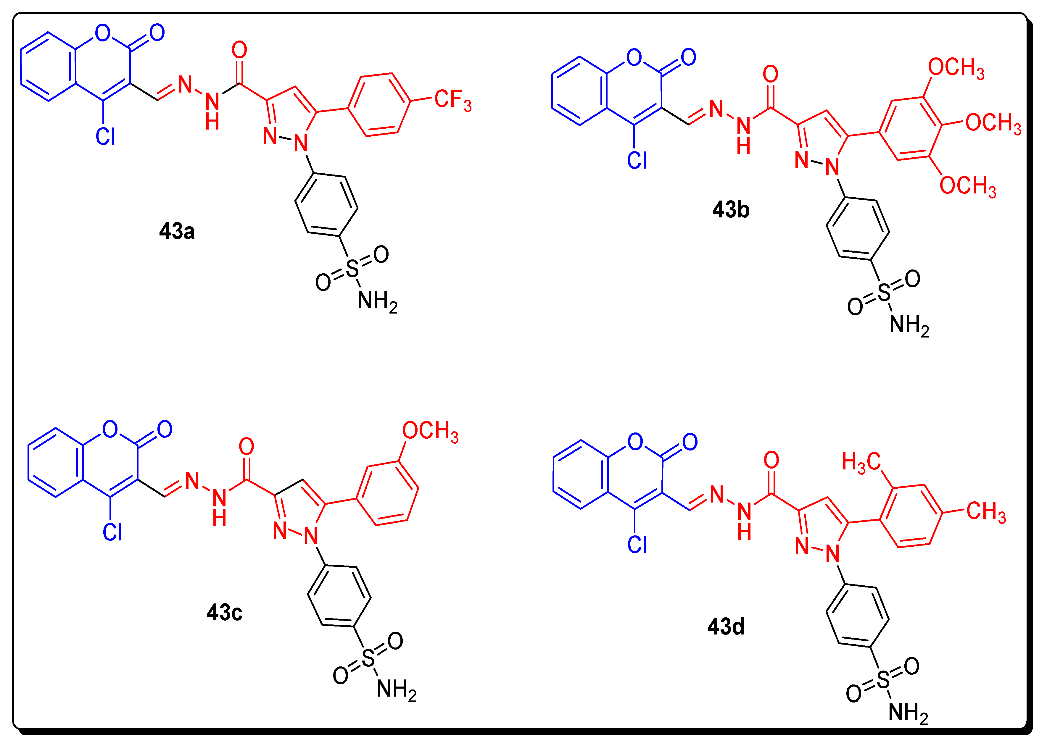
3.5. Coumarin-6-Sulfonamide Derivatives as Anticancer Agents
3.6. Coumarin-Based Substituted Benzenesulfonamide Derivatives as Anticancer Agents
4. Conclusions
Author Contributions
Funding
Conflicts of Interest
References
- De Souza, L.G.; Rennã, M.N.; Figueroa-Villar, J.D. Coumarins as cholinesterase inhibitors. A review. Chem. Biol. Interact. 2016, 254, 11–23. [Google Scholar] [CrossRef] [PubMed]
- Peng, X.M.; Damu, L.V.; Zhou, C.H. Current developments of coumarin compounds in medicinal chemistry. Curr. Pharm. Des. 2013, 19, 3884–3930. [Google Scholar] [CrossRef] [PubMed]
- Kostova, I. Synthetic and natural coumarins as antioxidants. Mini Rev. Med. Chem. 2006, 6, 365–374. [Google Scholar] [CrossRef]
- Pereira, M.T.; Franco, P.D.; Vitorio, F.; Kümmerle, E.A. Coumarin compounds in medicinal chemistry: Some important examples from the last years. Curr. Top. Med. Chem. 2018, 18, 124–148. [Google Scholar] [CrossRef] [PubMed]
- Murray, R.D.H. Coumarins. Nat. Prod. Rep. 1995, 12, 477–505. [Google Scholar] [CrossRef]
- Pereira, T.M.; Vitório, F.; Amaral, R.C.; Zanoni, K.P.S.; Iha, N.Y.M.; Kümmerle, A.E. Microwave-assisted synthesis and photophysical studies of novel fluorescent N-acylhydrazone and semicarbazone-7-OH-coumarin dyes. New J. Chem. 2016, 40, 8846–8854. [Google Scholar] [CrossRef]
- Symeonidis, T.; Chamilos, M.; Litina, D.J.H.; Kallitsakis, M.; Litinas, K.E. Synthesis of hydroxycoumarins and hydroxybenzo[f]- or [h]coumarins as lipid peroxidation inhibitors. Bioorg. Med. Chem. Lett. 2009, 19, 1139–1142. [Google Scholar] [CrossRef]
- Sashidhara, K.V.; Kumar, A.; Kumar, J.M.; Sinha, S.S. Synthesis and in vitro evaluation of novel coumarinechalcone hybrids as potential anticancer agents. Bioorg. Med. Chem. Lett. 2010, 20, 7205–7721. [Google Scholar] [CrossRef]
- Reddy, N.S.; Mallireddigari, M.R.; Cosenza, S.; Gumireddy, K.; Bell, S.C.; Reddy, E.P.; Reddy, M.R. Synthesis of new coumarin 3-(N-aryl) sulfonamides and their anticancer activity. Bioorg. Med. Chem. Lett. 2004, 14, 4093–4097. [Google Scholar] [CrossRef]
- Nasr, S.T.; Bondock, M. Youns, Anticancer activity of new coumarin substituted hydrazide-hydrazone derivatives. Eur. J. Med. Chem. 2014, 76, 539–548. [Google Scholar] [CrossRef]
- Thakur, A.; Singla, R.; Jaitak, V. Coumarins as anticancer agents: A review on synthetic strategies, mechanism of action and SAR studies. Eur. J. Med. Chem. 2015, 101, 476–495. [Google Scholar] [CrossRef] [PubMed]
- Devji, T.; Reddy, C.; Woo, C.; Awale, S.; Kadota, S.; Carrico-Moniz, D. Pancreatic anticancer activity of a novel geranylgeranylatedcoumarin derivative. Bioorg. Med. Chem. Lett. 2011, 21, 5770–5773. [Google Scholar] [CrossRef] [PubMed]
- Alshibl, H.M.; Al-Abdullah, E.S.; Haiba, M.E.; Alkahtani, H.M.; Awad, G.E.A.; Mahmoud, A.H.; Ibrahim, B.M.M.; Bari, A.; Villinger, A. Synthesis and Evaluation of New Coumarin Derivatives as Antioxidant, Antimicrobial, and Anti-Inflammatory Agents. Molecules 2020, 25, 3251. [Google Scholar] [CrossRef]
- Melagraki, G.; Afantitis, A.; Igglessi-Markopoulou, O.; Detsi, A.; Koufaki, M.; Kontogiorgis, C.; Hadjipavlou-Litina, D.J. Synthesis and evaluation of the antioxidant and anti-inflammatory activity of novel coumarin-3-aminoamides and their alpha-lipoic acid adducts. Eur. J. Med. Chem. 2009, 44, 3020–3026. [Google Scholar] [CrossRef] [PubMed]
- Fylaktakidou, K.C.; Hadjipavlou-Litina, D.J.; Litinas, K.E.; Nicolaides, D.N. Natural and synthetic coumarin derivatives with anti-inflammatory/antioxidant activities. Curr. Pharm. Des. 2004, 10, 3813–3833. [Google Scholar] [CrossRef]
- Kontogiorgis, C.; Hadjipavlou-Litina, D. Biological evaluation of several coumarins derivatives designed as possible anti-inflammatory/antioxidant agents. J. Enzym. Inhib. Med. Chem. 2003, 18, 63–69. [Google Scholar] [CrossRef]
- Rehman, S.U.; Chohan, Z.H.; Gulnaz, F.; Supuran, C.T. In-vitro antibacterial, antifungal and cytotoxic activities of some coumarins and their metal complexes. J. Enzym. Inhib. Med. Chem. 2005, 20, 333–340. [Google Scholar] [CrossRef]
- Kalluraya, B.; Vishwanatha, P.; Isloor, A.M.; Rai, G.; Kotian, M. Synthesis and biological activity of 6-substituted-3-[2-(5-substituted-2-furfurylidenehydrazino)-4-thiazolyl] coumarins. Boll. Chim. Farm. 2000, 139, 263–266. [Google Scholar] [CrossRef]
- Musiciki, B.; Periers, A.M.; Laurin, P.; Ferroud, D.; Benedetti, Y.; Lachaud, S.; Chatreaux, F.; Haesslein, J.L.; LLtis, A.; Pierre, C.; et al. Improved antibacterial activities of coumarin antibiotics bearing 5′,5′-dialkylnoviose: Biological activity of RU79115. Bioorg. Med. Chem. Lett. 2000, 10, 1695. [Google Scholar] [CrossRef]
- De Souza, S.M.; Monache, F.D.; Smânia, A. Antibacterial activity of coumarins. Z. Nat. C 2005, 60, 693–700. [Google Scholar] [CrossRef]
- Guerra, F.Q.S.; de Araújo, R.S.A.; de Sousa, J.P.; de Pereira, F.O.; Mendonça-Junior, F.J.B.; Barbosa-Filho, J.M.; de Oliveira Lima, E. Evaluation of antifungal activity and mode of action of new coumarin derivative, 7-hydroxy-6-nitro-2h-1-benzopyran-2-one, against Aspergillus spp. Evid. Based Complement. Altern. Med. 2015, 2015, 925096. [Google Scholar] [CrossRef] [PubMed]
- Montagner, C.; de Souza, S.M.; Groposo, C.; DelleMonache, F.; Smânia, E.F.A.; Smânia, A., Jr. Antifungal activity of coumarins. Z. Nat. C J. Biosci. 2008, 63, 21–28. [Google Scholar] [CrossRef]
- Sardari, S.; Mori, Y.; Horita, K.; Micetich, R.G.; Nishibe, S.; Daneshtalab, M. Synthesis and antifungal activity of coumarins and angular furanocoumarins. Bioorg. Med. Chem. 1999, 7, 1933–1940. [Google Scholar] [CrossRef]
- Ghate, M.; Manohar, D.; Kulkarni, V.; Shobha, R.; Kattimani, S.Y. Synthesis of vanillin ethers from 4-(bromomethyl) coumarins as anti-inflammatory agents. Eur. J. Med. Chem. 2003, 38, 297–302. [Google Scholar] [CrossRef]
- Christos, A.K.; Dimitra, J.H. Synthesis and anti-inflammatory activity of coumarin derivatives. J. Med. Chem. 2005, 48, 6400–6408. [Google Scholar] [CrossRef]
- Li, H.; Yao, Y.; Li, L. Coumarins as potential antidiabetic agents. J. Pharm. Pharmacol. 2017, 69, 1253–1264. [Google Scholar] [CrossRef]
- Campos-Toimil, M.; Orallo, F.; Santana, L.; Uriarte, E. Synthesis and vasorelaxant activity of new coumarin and furocoumarin derivatives. Bioorg. Med. Chem. Lett. 2002, 12, 783–786. [Google Scholar] [CrossRef]
- Ghate, M.; Kusanur, R.A.; Kulkarni, M.V. Synthesis and in vivo analgesic and anti-inflammatory activity of some bi heterocyclic coumarin derivatives. Eur. J. Med. Chem. 2005, 40, 882–887. [Google Scholar] [CrossRef]
- Kostova, I.; Raleva, S.; Genova, P.; Argirova, R. Structure-activity relationships of synthetic coumarins as hiv-1 inhibitors. Bioinorg. Chem. Appl. 2006, 2006, 68274. [Google Scholar] [CrossRef]
- Ojala, T.; Remes, S.; Haansuu, P.; Vuorela, H.; Hiltunen, R.; Haatela, K.; Vuorela, P. Antimicrobial activity of some coumarin containing herbal plants growing in Finland. J. Ethnopharmacol. 2000, 73, 299–305. [Google Scholar] [CrossRef]
- Abdelhafez, M.O.; Amin, M.K.; Batran, Z.R.; Maher, J.T.; Nada, A.S.; Sethumadhavan, S. Synthesis, anticoagulant and PIVKA-II induced by new 4-hydroxycoumarin derivatives. Bioorg. Med. Chem. 2010, 18, 3371–3378. [Google Scholar] [CrossRef] [PubMed]
- Ahmad, R.; Asad, M.; Siddiqui, N.Z.; Kumar, A. Evaluation of antipyretic and antinociceptive potential of new heterocyclic derivatives of 3-formyl-4-hydroxycoumarin in rats. J. Pharm. Appl. Sci. 2013, 3, 253–259. [Google Scholar]
- Mostajeran, N.; Arshad, F.A.; Aliyan, H.; Massah, A.R. Solvent-free synthesis and antibacterial evaluation of novel coumarin sulfonamides. Pharm. Chem. J. 2018, 52, 1–7. [Google Scholar] [CrossRef]
- Irfan, A.; Rubab, L.; Rehman, U.M.; Anjum, R.; Ullah, S.; Marjana, M.; Qadeer, S.; Sana, S. Coumarin sulfonamide derivatives: An emerging class of therapeutic agents. Heterocycl. Commun. 2020, 26, 46–59. [Google Scholar] [CrossRef]
- Alterio, V.; Vitale, R.M.; Monti, S.M.; Pedone, C.; Scozzafava, A.; Cecchi, A.; de Simone, G.; Supuran, C.T. Carbonic anhydrase inhibitors: X-ray and molecular modeling study for the interaction of a fluorescent antitumor sulfonamide with isozyme II and IX. J. Am. Chem. Soc. 2006, 128, 8329–8335. [Google Scholar] [CrossRef]
- Grandane, A.; Tanc, M.; Mannelli, D.C.; Carta, F.; Ghelardini, C.; Zalubovskis, R.; Supuran, T.C. Substituted sulfocoumarins are selectivecarbonic anhdydrase IX and XII inhibitors with significant cytotoxicity against colorectal cancer cells. J. Med. Chem. 2015, 58, 3975–3983. [Google Scholar] [CrossRef]
- Hassanpour, S.H.; Dehghani, M. Review of cancer from perspective of molecular. J. Cancer Res. Pract. 2017, 4, 127–129. [Google Scholar] [CrossRef]
- Arruebo, M.; Vilaboa, N.; Sáez-Gutierrez, B.; Lambea, J.; Tres, A.; Valladares, M.; González-Fernández, Á. Assessment of the evolution of cancer treatment therapies. Cancers 2011, 3, 3279–3330. [Google Scholar] [CrossRef]
- Grasso, C.S.; Wu, Y.M.; Robinson, D.R.; Cao, X.; Dhanasekaran, S.M.; Khan, A.P.; Quist, M.J.; Jing, X.J.; Lonigro, R.J.; Brenner, J.C.; et al. The mutational landscape of lethal castration-resistant prostate cancer. Nature 2012, 487, 239–243. [Google Scholar] [CrossRef]
- Supuran, C.T. Structure-based drug discovery of carbonic anhydrase inhibitors. J. Enzym. Inhib. Med. Chem. 2012, 27, 759–772. [Google Scholar] [CrossRef]
- Wagner, J.; Avvaru, S.B.; Robbins, H.A.; Scozzafava, A.; Supuran, T.C.; McKenna, R. Coumarinyl-substituted sulfonamides strongly inhibit several human carbonic anhydrase isoforms: Solution and crystallographic investigations. Bioorg. Med. Chem. 2010, 18, 4873–4878. [Google Scholar] [CrossRef] [PubMed]
- Supuran, C.T. Bacterial carbonic anhydrases as drug targets: Toward novel antibiotics. Front. Pharmacol. 2011, 2, 34. [Google Scholar] [CrossRef] [PubMed]
- Neri, D.; Supuran, C.T. Interfering with pH regulation in tumours as a therapeutic strategy. Nat. Rev. Drug Discov. 2011, 10, 767–777. [Google Scholar] [CrossRef] [PubMed]
- Supuran, C.T. Carbonic anhydrase inhibitors: An editorial. Expert Opin. Ther. Pat. 2013, 23, 677–679. [Google Scholar] [CrossRef]
- Angeli, A.; Carta, F.; Supuran, C.T. Carbonic Anhydrases: Versatile and Useful Biocatalysts in Chemistry and Biochemistry. Catalysts 2020, 10, 1008. [Google Scholar] [CrossRef]
- Capasso, C.; Supuran, C.T. An overview of the alpha-, beta- and gamma-carbonic anhydrases from bacteria: Can bacterial carbonic anhydrases shed new light on evolution of bacteria. J. Enzym. Inhib. Med. Chem. 2015, 30, 325–332. [Google Scholar] [CrossRef]
- Supuran, C.T.; Capasso, C. The η-class carbonic anhydrases as drug targets for antimalarial agents. Expert Opin. Ther. Targets 2015, 19, 551–563. [Google Scholar] [CrossRef]
- Del Prete, S.; Vullo, D.; De Luca, V.; Supuran, C.T.; Capasso, C. Biochemical characterization of the δ-carbonic anhydrase from the marine diatom Thalassiosiraweissflogii, TweCA. J. Enzym. Inhib. Med. Chem. 2014, 29, 906–911. [Google Scholar] [CrossRef]
- Stefanucci, A.; Angeli, A.; Dimmito, M.P.; Luisi, G.; Del Prete, S.; Capasso, C.; Donald, W.A.; Mollica, A.; Supuran, C.T. Activation of β- and γ-carbonic anhydrases from pathogenic bacteria with tripeptides. J. Enzym. Inhib. Med. Chem. 2018, 33, 945–950. [Google Scholar] [CrossRef]
- Angeli, A.; Del Prete, S.; Alasmary, F.A.S.; Alqahtani, L.S.; AlOthman, Z.; Donald, W.A.; Capasso, C.; Supuran, C.T. The first activation studies of the η-carbonic anhydrase from the malaria parasite Plasmodium falciparum with amines and amino acids. Bioorg. Chem. 2018, 80, 94–98. [Google Scholar] [CrossRef]
- Angeli, A.; Buonanno, M.; Donald, W.A.; Monti, S.M.; Supuran, C.T. The zinc—But not cadmium—Containing ζ-carbonic from the diatom Thalassiosiraweissflogii is potently activated by amines and amino acids. Bioorg. Chem. 2018, 80, 261–265. [Google Scholar] [CrossRef] [PubMed]
- Angeli, A.; Kuuslahti, M.; Parkkila, S.; Supuran, C.T. Activation studies with amines and amino acids of the α-carbonic anhydrase from the pathogenic protozoan Trypanosoma cruzi. Bioorg. Med. Chem. 2018, 26, 4187–4190. [Google Scholar] [CrossRef] [PubMed]
- Angeli, A.; Del Prete, S.; Osman, S.M.; Alasmary, F.A.S.; AlOthman, Z.; Donald, W.A.; Capasso, C.; Supuran, C.T. Activation studies with amines and amino acids of the β-carbonic anhydrase encoded by the Rv3273 gene from the pathogenic bacterium Mycobacterium tuberculosis. J. Enzym. Inhib. Med. Chem. 2018, 33, 364–369. [Google Scholar] [CrossRef] [PubMed]
- Angeli, A.; Del Prete, S.; Donald, W.A.; Capasso, C.; Supuran, C.T. The γ-carbonic anhydrase from the pathogenic bacterium Vibrio cholerae is potently activated by amines and amino acids. Bioorg. Chem. 2018, 77, 1–5. [Google Scholar] [CrossRef]
- Jensen, E.L.; Clement, R.; Kosta, A.; Maberly, S.C.; Gontero, B. A new widespread subclass of carbonic anhydrase in marine phytoplankton. ISME J. 2019, 13, 2094–2106. [Google Scholar] [CrossRef]
- Nishimori, I.; Minakuchi, T.; Onishi, S.; Vullo, D.; Cecchi, A.; Scozzafava, A.; Supuran, C.T. Carbonic anhydrase inhibitors: Cloning, characterization, and inhibition studies of the cytosolic isozyme III with sulfonamides. Bioorg. Med. Chem. 2007, 15, 7229–7236. [Google Scholar] [CrossRef]
- Köhler, K.; Hillebrecht, A.; Schulze, W.J.; Innocenti, A.; Heine, A.; Supuran, C.T.; Klebe, G. Saccharin inhibits carbonicanhydrases: Possible explanation for its unpleasant metallic aftertaste. Angew. Chem. 2007, 46, 7697–7699. [Google Scholar] [CrossRef]
- Supuran, C.T.; Scozzafava, A.; Ilies, M.A.; Briganti, F. Carbonic anhydrase inhibitors. Synthesis of sulfonamides incorporating 2,4,6-trisubstituted-pyridinium-ethylcarboxamido moieties possessing membrane-impermeability and in vivo selectivity for the membrane-bound (CA IV) versus the cytosolic (CA I and CA II) isozymes. J. Enzym. Inhib. 2000, 15, 381–401. [Google Scholar] [CrossRef]
- Scozzafava, A.; Briganti, F.; Ilies, M.A.; Supuran, C.T. Carbonic anhydrase inhibitors. Synthesis of membrane-impermeant low molecular weight sulfonamides possessing in vivo selectivity for the membrane-bound versus the cytosolic isozymes. J. Med. Chem. 2000, 43, 292–300. [Google Scholar] [CrossRef]
- De Simone, G.; Vitale, R.M.; Di Fiore, A.; Pedone, C.; Scozzafava, A.; Montero, J.L.; Winum, J.Y.; Supuran, C.T. Carbonic anhydrase inhibitors:hypoxia-activatable sulfonamides incorporatingdisulfide bonds that target the tumor-associatedisoform IX. J. Med. Chem. 2006, 49, 5544–5551. [Google Scholar] [CrossRef]
- Maresca, A.; Temperini, C.; Vu, H.; Pham, N.B.; Poulsen, S.A.; Scozzafava, A.; Quinn, R.J.; Supuran, C.T. Non-zinc mediated inhibition of carbonic anhydrases: Coumarins are a new class of suicide inhibitors. J. Am. Chem. Soc. 2009, 131, 3057–3062. [Google Scholar] [CrossRef]
- Maresca, A.; Temperini, C.; Pochet, L.; Masereel, B.; Scozzafava, A.; Supuran, C.T. Deciphering the mechanism of carbonic anhydrase inhibition with coumarins and thiocoumarins. J. Med. Chem. 2010, 53, 335–344. [Google Scholar] [CrossRef] [PubMed]
- Supuran, C.T. Carbonic anhydrases: Novel therapeutic applications for inhibitors and activators. Nat. Rev. Drug. Discov. 2008, 7, 168–181. [Google Scholar] [CrossRef] [PubMed]
- Supuran, C.T. Structure and function of carbonic anhydrases. Biochem. J. 2016, 473, 2023–2032. [Google Scholar] [CrossRef] [PubMed]
- Nocentini, A.; Supuran, C.T. Advances in the structural annotation of human carbonic anhydrases and impact on future drug discovery. Expert Opin. Drug Discov. 2019, 14, 1175–1197. [Google Scholar] [CrossRef]
- Supuran, C.T. Coumarin carbonic anhydrase inhibitors from natural sources. J. Enzym. Inhib. Med. Chem. 2020, 35, 1462–1470. [Google Scholar] [CrossRef]
- Wang, Z.C.; Qin, Y.J.; Wang, P.F.; Yang, Y.A.; Wen, Q.; Zhang, X.; Qiu, H.Y.; Duan, Y.T.; Wang, Y.T.; Sang, Y.L.; et al. Sulfonamides containing coumarin moieties selectively and potently inhibit carbonic anhydrases II and IX: Design, synthesis, inhibitory activity and 3D-QSAR analysis. Eur. J. Med. Chem. 2013, 66, 1–11. [Google Scholar] [CrossRef]
- Kurt, B.Z.; Sonmez, F.; Bilen, C.; Ergun, A.; Gencer, N.; Arslan, O.; Kucukislamoglu, M. Synthesis, antioxidant and carbonic anhydrase I and II inhibitory activities of novel sulphonamide-substituted coumarylthiazole derivatives. J. Enzym. Inhib. Med. Chem. 2016, 31, 78–89. [Google Scholar] [CrossRef]
- Bozdag, M.; Ferraroni, M.; Carta, F.; Vullo, D.; Lucarini, L.; Orlandini, E.; Rossello, A.; Nuti, E.; Scozzafava, A.; Masini, E.; et al. Structural insights on carbonic anhydrase inhibitory action, isoform selectivity, and potency of sulfonamides and coumarins incorporating arylsulfonylureido groups. J. Med. Chem. 2014, 57, 9152–9167. [Google Scholar] [CrossRef]
- Chandak, N.; Ceruso, M.; Supuran, C.T.; Sharma, P.K. Novel sulfonamide bearing coumarin scaffolds as selective inhibitors of tumor associated carbonic anhydrase isoforms IX and XII. Bioorg. Med. Chem. 2016, 24, 2882–2886. [Google Scholar] [CrossRef]
- Lu, X.Y.; Wang, Z.C.; Ren, S.Z.; Shen, F.Q.; Man, R.J.; Zhu, H.L. Coumarin sulfonamides derivatives as potent and selective COX-2 inhibitors with efficacy in suppressing cancer proliferation and metastasis. Bioorg. Med. Chem. Lett. 2016, 26, 3491–3498. [Google Scholar] [CrossRef] [PubMed]
- Dar’in, D.; Kantin, G.; Kalinin, S.; Sharonova, T.; Bunev, A.; Ostapenko, G.I.; Nocentini, A.; Sharoyko, V.; Supuran, C.T.; Krasavin, M. Investigation of 3-sulfamoyl coumarins against cancer-related IX and XII isoforms of human carbonic anhydrase as well as cancer cells leads to the discovery of 2-oxo-2H-benzo[h]chromene-3-sulfonamide. A new caspase-activating proapoptotic agent. Eur. J. Med. Chem. 2021, 222, 113589. [Google Scholar] [CrossRef] [PubMed]
- Zengin, K.B.; Sonmez, F.; Ozturk, D.; Akdemir, A.; Angeli, A.; Supuran, C.T. Synthesis of coumarin-sulfonamide derivatives and determination of their cytotoxicity, carbonic anhydrase inhibitory and molecular docking studies. Eur. J. Med. Chem. 2019, 183, 111702. [Google Scholar] [CrossRef]
- Abdelrahman, M.A.; Ibrahim, H.S.; Nocentini, A.; Eldehna, W.M.; Bonardi, A.; Abdel-Aziz, H.A.; Gratteri, P.; Abou-Seri, S.M.; Supuran, C.T. Novel 3-substituted coumarins as selective human carbonic anhydrase IX and XII inhibitors: Synthesis, biological and molecular dynamics analysis. Eur. J. Med. Chem. 2021, 209, 112897. [Google Scholar] [CrossRef]
- Aoki, T.; Hyohdoh, I.; Furuichi, N.; Ozawa, S.; Watanabe, F.; Matsushita, M.; Sakaitani, M.; Ori, K.; Takanashi, K.; Harada, N.; et al. The sulfamide moiety affords higher inhibitory activity and oral bioavailability to a series of coumarin dual selective RAF/MEK inhibitors. Bioorg. Med. Chem. Lett. 2013, 23, 6223–6227. [Google Scholar] [CrossRef] [PubMed]
- Amin, M.K.; Eissa, A.M.; Abou-Seri, M.S.; Awadallah, M.F.; Hassan, S.G. Synthesis and biological evaluation of novel coumarin-pyrazoline hybrids endowed with phenylsulfonyl moiety as antitumor agents. Eur. J. Med. Chem. 2013, 60, 187–198. [Google Scholar] [CrossRef] [PubMed]
- Zhang, J.; Tan, Y.; Li, G.; Chen, L.; Nie, M.; Wang, Z.; Ji, H. Coumarin Sulfonamides and Amides Derivatives: Design, Synthesis, and Antitumor Activity In Vitro. Molecules 2021, 26, 786. [Google Scholar] [CrossRef]
- El-Sawy, R.E.; Ebaid, S.M.; Rady, M.H.; Shalby, B.A.; Ahmed, M.K.; Abo-Salem, M.H. Synthesis and molecular docking of novel non-cytotoxic anti-angiogenic sulfonyl coumarin derivatives against hepatocellular carcinoma cells in vitro. J. Appl. Pharm. Sci. 2017, 7, 49–66. [Google Scholar] [CrossRef][Green Version]
- Holiyachi, M.; Shastri, S.L.; Chougala, B.M.; Shastri, L.A.; Joshi, S.D.; Dixit, S.R.; Nagarajaiah, H.; Sunagar, V.A. Design, Synthesis and Structure-Activity Relationship Study of Coumarin Benzimidazole Hybrid as Potent Antibacterial and Anticancer Agents. ChemistrySelect 2016, 1, 4638–4644. [Google Scholar] [CrossRef]
- Durgapal, S.D.; Soman, S.S. Evaluation of novel coumarin-proline sulfonamide hybrids as anticancer and antidiabetic agents. Synth. Commun. 2019, 49, 2869–2883. [Google Scholar] [CrossRef]
- Sabt, A.; Abdelhafez, O.M.; Haggar, R.S.E.; Madkour, H.M.F.; Eldehna, W.M.; El-Khrisy, E.E.D.A.; Abdel-Rahman, M.A.; Rashed, L. ANovel coumarin-6-sulfonamides as apoptotic anti-proliferative agents: Synthesis, in vitro biological evaluation, and QSAR studies. J. Enzym. Inhib. Med. Chem. 2018, 33, 1095–1107. [Google Scholar] [CrossRef] [PubMed]
- Debbabi, K.F.; Harbi, S.A.A.; Saidi, H.M.A.; Aljuhani, E.H.; Gl, S.M.A.E.; Bashandy, M.S. Study of reactivity of cyanoacetohydrazonoethyl-N-ethyl-N-methyl benzenesulfonamide: Preparation of novel anticancer and antimicrobial active heterocyclic benzenesulfonamide derivatives and their molecular docking against dihydrofolate reductase. J. Enzym. Inhib. Med. Chem. 2016, 31, 7–19. [Google Scholar] [CrossRef] [PubMed][Green Version]








































| Compound | MCF-7 µM | Compounds | hCAs II µM | hCAs IX µM |
|---|---|---|---|---|
| 9a | 0.0088 | 9b | - | 0.124 |
| Doxorubicin | 0.065 | 9c | 0.063 | - |
| Semaxanib | 0.0031 | AAZ | 0.016 | 0.028 |
| - | - | SA | 0.26 | 0.29 |
| Compound | hCA I IC50 (µM) | hCA II IC50 (µM) |
|---|---|---|
| 17a | 5.63 | 8.48 |
| Compound | hCA IX KI (nM) | hCA XII KI (nM) |
|---|---|---|
| 20a | 20.2 | 6.0 |
| AAZ | 25.0 | 5.7 |
| Compound Number | hCA I KI (nM) | hCA II KI (nM) | hCA IX KI (nM) | hCA XII KI (nM) |
|---|---|---|---|---|
| 32a | 263.49 | 21.20 | 2.28 | 0.54 |
| 32b | 349.63 | 17.46 | 2.54 | 0.54 |
| 35a | 220.13 | 13.23 | 58.61 | 4.4 |
| 35b | 21.95 | 1751.72 | 23.59 | 0.62 |
| AZA | 250.0 | 12.1 | 25.0 | 5.7 |
| Compound Number | HeLa IC50 (µM) | HepG2 IC50 (µM) | F10 IC50 (µM) | A549 IC50 (µM) | 293T IC50 (µM) | L02 IC50 (µM) |
|---|---|---|---|---|---|---|
| 43a | 0.36 ± 0.05 | 0.85 ± 0.08 | 2.27 ± 0.17 | 2.56 ± 0.34 | 234.46 ± 4.52 | 267.28 ± 4.87 |
| 43b | 16.19 ± 1.26 | 20.04 ± 1.29 | 26.24 ± 1.57 | 26.14 ± 1.13 | 101.24 ± 2.27 | 116.35 ± 2.69 |
| 43c | 7.58 ± 0.63 | 15.66 ± 1.34 | 9.58 ± 0.87 | 22.41 ± 1.07 | 106.62 ± 2.43 | 104.57 ± 2.73 |
| Celecoxib | 7.79 ± 0.84 | 10.03 ± 0.84 | 14.36 ± 0.96 | 15.64 ± 1.23 | 95.26 ± 2.28 | 98.15 ± 2.39 |
| Compound Number | COX-1 IC50 (µM) | COX-2 IC50 (µM) |
|---|---|---|
| 43d | 39.45 ± 1.33 | 7.13 ± 0.81 |
| 43a | 48.20 ± 1.30 | 0.09 ± 0.01 |
| Celecoxib | 43.37 ± 1.44 | 0.31 ± 0.12 |
| Compound | A431 IC50 (µM) 24 h–72 h | CA I KI (nM) | CA II KI (nM) | CA IX KI (nM) | CA XII KI (nM) |
|---|---|---|---|---|---|
| 46a | 9.73–70.14 | 75,100 | >100 μM | 6371 | 7990 |
| Gefitinib | 32.17–16.02 | - | - | = | - |
| AAZ | - | 250 | 12.5 | 25 | 5.7 |
| Compound | hCA IX KI (nM) | HT-29 IC50 (μM) | HEK293T IC50 (μM) |
|---|---|---|---|
| 53a | 45.5 | 17.01 ± 1.35 | 118.73 ± 1.19 |
| AAZ | 25.8 | 53.78 ± 1.75 | - |
| Doxirubicin | - | 5.38 ± 1.40 | 1.051 ± 0.57 |
| Compound | hCA I KI (nM) | hCA II KI (nM) | hCA IX KI (nM) | hCA XII KI (nM) |
|---|---|---|---|---|
| 56a | 98.8 | 29.1 | 43.8 | 10.1 |
| 56b | 159.7 | 40.0 | 24.2 | 55.8 |
| 58a | 77.6 | 26.3 | 31.6 | 19.7 |
| 58b | 92.5 | 12.1 | 19.8 | 34.6 |
| AAZ | 250.0 | 12.0 | 25.0 | 5.7 |
| Compound | hCA I KI (nM) | hCA II KI (nM) | hCA IX KI (nM) | hCA XII KI (nM) |
|---|---|---|---|---|
| 65a | 1537 | 224.8 | 18.6 | 32.3 |
| 65b | 1352 | 365.2 | 42.1 | 76.8 |
| 66a | 824.2 | 442.4 | 89.1 | 74.4 |
| 66b | 2596 | 559.7 | 76.0 | 91.1 |
| 66c | 3455 | 276.0 | 63.6 | 36.2 |
| 66d | 3962 | 538.3 | 29.2 | 12.0 |
| AAZ | 250.0 | 12.0 | 25.0 | 5.7 |
| Compound Number | C-Raf IC50 (nM) | MEK1 IC50 (nM) | HCT116 IC50 (nM) | HT-29 IC50 (nM) |
|---|---|---|---|---|
| 71a | 8 | 7 | 4 | 1 |
| 71b | 5 | 11 | 12 | 9 |
| 71c | 4 | 36 | 23 | - |
| 71d | 4 | 47 | 36 | - |
| 71e | 40 | 5 | 93 | - |
| Subpanel/Tumor Cell Lines | Compound 79a GI50 (µM) |
|---|---|
| Colon Cancer | |
| HCT-116 | 0.94 |
| Melanoma Cancer | |
| LOX IMVI | 0.87 |
| Breast Cancer | |
| MCF7 | 0.49 |
| Tumor Cell Lines | Compound 84a GI50 (µM) |
|---|---|
| Human breast cancer cell line | |
| MDA-MB-231 | 9.33 ± 1.81 |
| 5-Fluorouracil | 8.59 ± 0.52 |
| Compound Number | Anti-Migratory Effect |
|---|---|
| 89 | 4.7 |
| Compound Number | MCF-7 IC50 (mM) |
|---|---|
| 100a | 1.07 |
| Fluorouracil | 45.04 |
| Compound Number | HepG2 IC50 (µM) | MCF7 IC50 (µM) | Caco-2 IC50 (µM) |
|---|---|---|---|
| 104a | 26.99 ± 2.01 | 14.30 ± 1.18 | 8.53 ± 0.72 |
| Doxorubicin | 5.43 ± 0.24 | 3.18 ± 0.32 | 4.10 ± 1.37 |
| Compound Number | HepG2 IC50 (µM) | MCF7 IC50 (µM) | Caco-2 IC50 (µM) |
|---|---|---|---|
| 107a | 3.48 ± 0.28 | 83.23 ± 6.85 | 83.43 ± 7.04 |
| 109b | 25.07 ± 2.08 | 10.62 ± 1.35 | 174.91 ± 12.30 |
| Doxorubicin | 5.43 ± 0.24 | 3.18 ± 0.32 | 4.10 ± 1.37 |
| Compound Number | Human Breast Cell Line (MCF-7) IC50 (µg/mL) |
|---|---|
| 112 | 1.08 |
| MTX | 12.3 |
Publisher’s Note: MDPI stays neutral with regard to jurisdictional claims in published maps and institutional affiliations. |
© 2022 by the authors. Licensee MDPI, Basel, Switzerland. This article is an open access article distributed under the terms and conditions of the Creative Commons Attribution (CC BY) license (https://creativecommons.org/licenses/by/4.0/).
Share and Cite
Rubab, L.; Afroz, S.; Ahmad, S.; Hussain, S.; Nawaz, I.; Irfan, A.; Batool, F.; Kotwica-Mojzych, K.; Mojzych, M. An Update on Synthesis of Coumarin Sulfonamides as Enzyme Inhibitors and Anticancer Agents. Molecules 2022, 27, 1604. https://doi.org/10.3390/molecules27051604
Rubab L, Afroz S, Ahmad S, Hussain S, Nawaz I, Irfan A, Batool F, Kotwica-Mojzych K, Mojzych M. An Update on Synthesis of Coumarin Sulfonamides as Enzyme Inhibitors and Anticancer Agents. Molecules. 2022; 27(5):1604. https://doi.org/10.3390/molecules27051604
Chicago/Turabian StyleRubab, Laila, Sumbal Afroz, Sajjad Ahmad, Saddam Hussain, Iram Nawaz, Ali Irfan, Fozia Batool, Katarzyna Kotwica-Mojzych, and Mariusz Mojzych. 2022. "An Update on Synthesis of Coumarin Sulfonamides as Enzyme Inhibitors and Anticancer Agents" Molecules 27, no. 5: 1604. https://doi.org/10.3390/molecules27051604
APA StyleRubab, L., Afroz, S., Ahmad, S., Hussain, S., Nawaz, I., Irfan, A., Batool, F., Kotwica-Mojzych, K., & Mojzych, M. (2022). An Update on Synthesis of Coumarin Sulfonamides as Enzyme Inhibitors and Anticancer Agents. Molecules, 27(5), 1604. https://doi.org/10.3390/molecules27051604

