N-Phenacyldibromobenzimidazoles—Synthesis Optimization and Evaluation of Their Cytotoxic Activity
Abstract
1. Introduction
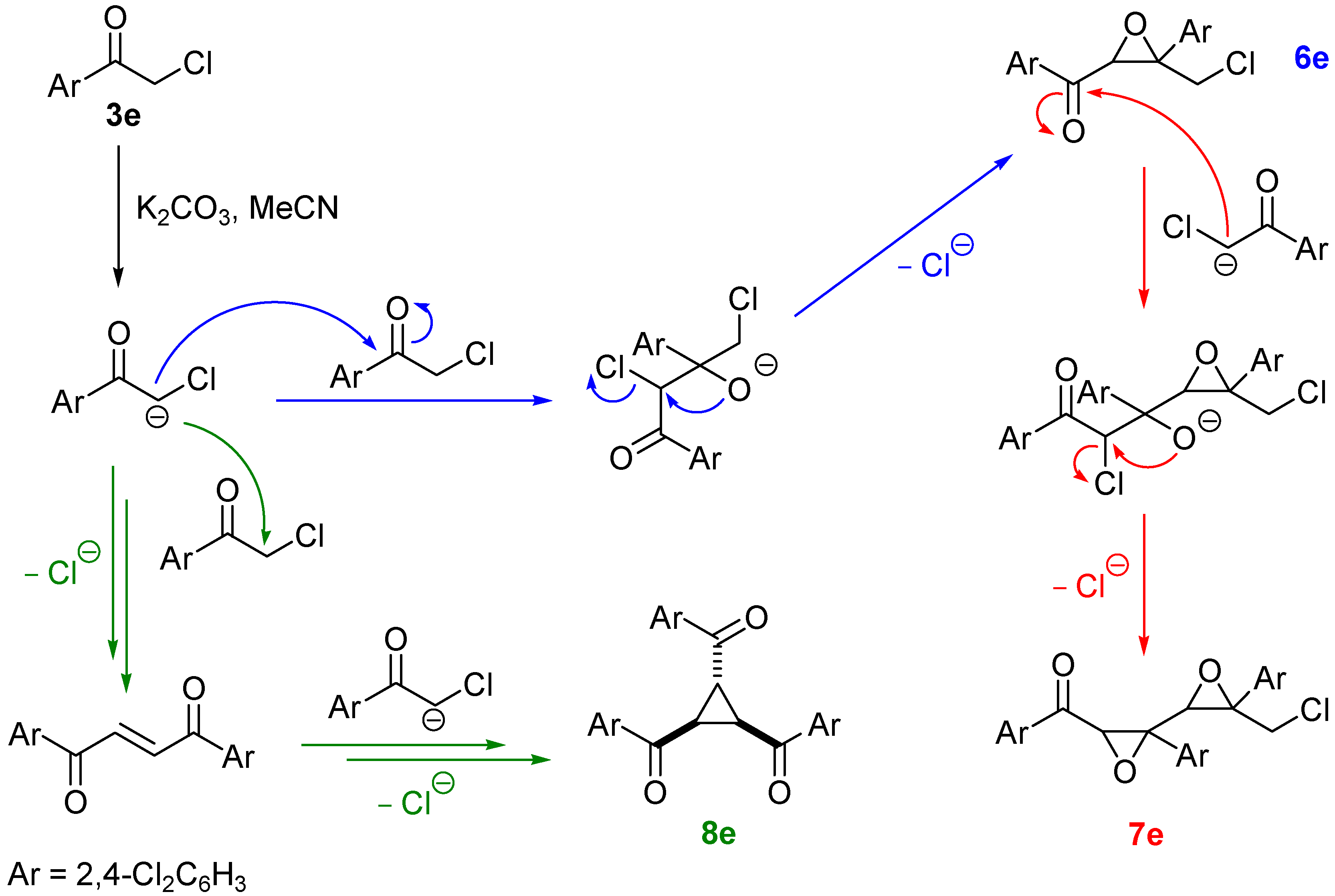
2. Results and Discussion
2.1. Synthesis of Title Compounds
2.2. Evaluation of Biological Activity
3. Materials and Methods
3.1. Procedure for Optimization Reactions in NaHCO3-MeCN System
3.2. Procedure for Optimization Reactions in K2CO3-MeCN System
3.3. Synthesis of N-Phenacylbenzimidazoles 4,5a–f, 4,5h–j
3.4. Synthesis of N-(2,4,6-Trichlorophenacyl)Benzimidazoles 4g,5g
3.5. Cell Culture and Agents Treatment
3.6. 3-(4,5-Dimethylthiazol-2-yl)-2,5-Diphenyltetrazolium Bromide (MTT)-Based Viability Assay
3.7. Detection of Apoptosis by Flow Cytometry
4. Conclusions
Supplementary Materials
Author Contributions
Funding
Institutional Review Board Statement
Informed Consent Statement
Data Availability Statement
Acknowledgments
Conflicts of Interest
References
- Vargas-Oviedo, D.; Butassi, E.; Zacchino, S.; Portilla, J. Eco-friendly synthesis and antifungal evaluation of N-substituted benzimidazoles. Monatsh. Chem. 2020, 151, 575–588. [Google Scholar] [CrossRef]
- Elejalde, N.-R.; Macías, M.; Castillo, J.-C.; Sortino, M.; Svetaz, L.; Zacchino, S.; Portilla, J. Synthesis and in vitro antifungal evaluation of novel N-substituted 4-aryl-2-methylimidazoles. ChemistrySelect 2018, 3, 5220–5227. [Google Scholar] [CrossRef]
- Olender, D.; Zaprutko, L.; Mertas, A.; Szliszka, E.; Wyrozumski, D.; Król, D. Anti-candida activity of 4-morpholino-5-nitro- and 4,5-dinitro-imidazole derivatives. Pharm. Chem. J. 2018, 51, 1063–1067. [Google Scholar] [CrossRef]
- Nelson, R.; Kesternich, V.; Pérez-Fehrmann, M.; Salazar, F.; Marcourt, L.; Christen, P.; Godoy, P. Synthesis and antifungal activity of phenacyl azoles. J. Chem. Res. 2014, 38, 549–552. [Google Scholar] [CrossRef]
- Olender, D.; Żwawiak, J.; Lukianchuk, V.; Lesyk, R.; Kropacz, R.; Fojutowski, A.; Zaprutko, L. Synthesis of some N-substituted nitroimidazole derivatives as potential antioxidant and antifungal agents. Eur. J. Med. Chem. 2009, 44, 645–652. [Google Scholar] [CrossRef] [PubMed]
- Emami, S.; Foroumadi, A.; Falahati, M.; Lotfali, E.; Rajabalian, S.; Ebrahimi, S.-A.; Farahyar, S.; Shafiee, A. 2-Hydroxyphenacyl azoles and related azolium derivatives as antifungal agents. Bioorg. Med. Chem. Lett. 2008, 18, 141–146. [Google Scholar] [CrossRef] [PubMed]
- Salerno, L.; Modica, M.N.; Romeo, G.; Pittalà, V.; Siracusa, M.A.; Amato, M.E.; Acquaviva, R.; Di Giacomo, C.; Sorrenti, V. Novel inhibitors of nitric oxide synthase with antioxidant properties. Eur. J. Med. Chem. 2012, 49, 118–126. [Google Scholar] [CrossRef]
- Panchal, S.N.; Vekariya, R.H.; Patel, K.D.; Prajapati, S.M.; Rajani, D.P.; Rajani, S.D.; Patel, H.D. Synthesis, in vitro and in vivo antitumor and antiviral activity of novel 1-substituted benzimidazole derivatives. Indian J. Chem. 2016, 55B, 604–612. [Google Scholar]
- Kumar, V.; Kaur, K.; Karelia, D.N.; Beniwal, V.; Gupta, G.K.; Sharma, A.K.; Gupta, A.K. Synthesis and biological evaluation of some 2-(3,5-dimethyl-1H-pyrazol-1-yl)-1-arylethanones: Antibacterial, DNA photocleavage, and anticancer activities. Eur. J. Med. Chem. 2014, 81, 267–276. [Google Scholar] [CrossRef]
- Wang, Y.; Damu, G.L.V.; Lv, J.-S.; Geng, R.-X.; Yang, D.-C.; Zhou, C.-H. Design, synthesis and evaluation of clinafloxacin triazole hybrids as a new type of antibacterial and antifungal agents. Bioorg. Med. Chem. Lett. 2012, 22, 5363–5366. [Google Scholar] [CrossRef]
- Shaker, Y.M.; Omar, M.A.; Mahmoud, K.; Elhallouty, S.M.; El-Senousy, W.M.; Ali, M.M.; Mahmoud, A.E.; Abdel-Halim, A.H.; Soliman, S.M.; El Diwani, H.I. Synthesis, in vitro and in vivo antitumor and antiviral activity of novel 1-substituted benzimidazole derivatives. J. Enzym. Inhib. Med. Chem. 2015, 30, 826–845. [Google Scholar] [CrossRef] [PubMed]
- Shafiei, M.; Peyton, L.; Hashemzadeh, M.; Foroumadi, A. History of the development of antifungal azoles: A review on structures, SAR, and mechanism of action. Bioorg. Chem. 2020, 104, 104240. [Google Scholar] [CrossRef] [PubMed]
- Heeres, J.; Meerpoel, L.; Lewi, P. Conazoles. Molecules 2010, 15, 4129–4188. [Google Scholar] [CrossRef] [PubMed]
- Lee, Y.; Puumala, E.; Robbins, N.; Cowen, L.E. Antifungal drug resistance: Molecular mechanisms in Candida albicans and beyond. Chem. Rev. 2021, 121, 3390–3411. [Google Scholar] [CrossRef]
- Costa-de-Oliveira, S.; Rodrigues, A.G. Candida albicans antifungal resistance and tolerance in bloodstream infections: The triad yeast-host-antifungal. Microorganisms 2020, 8, 154. [Google Scholar] [CrossRef]
- Krishnasamy, L.; Krishnakumar, S.; Kumaramanickavel, G.; Saikumar, C. Molecular mechanisms of antifungal drug resistance in Candida Species. J. Clin. Diagn. Res. 2018, 12, DE01–DE06. [Google Scholar] [CrossRef]
- Beardsley, J.; Halliday, C.L.; Chen, S.C.-A.; Sorrell, T.C. Responding to the emergence of antifungal drug resistance: Perspectives from the bench and the bedside. Future Microbiol. 2018, 13, 1175–1191. [Google Scholar] [CrossRef]
- Wiederhold, N.P. Antifungal resistance: Current trends and future strategies to combat. Infect. Drug Resist. 2017, 10, 249–259. [Google Scholar] [CrossRef]
- Whaley, S.G.; Berkow, E.L.; Rybak, J.M.; Nishimoto, A.T.; Barker, K.S.; Rogers, P.D. Azole antifungal resistance in Candida albicans and emerging non-albicans Candida species. Front. Microbiol. 2017, 7, 2173. [Google Scholar] [CrossRef]
- Benedict, K.; Molinari, N.A.M.; Jackson, B.R. Public awareness of invasive fungal diseases—United States, 2019. MMWR Morb. Mortal. Wkly. Rep. 2020, 69, 1343–1346. [Google Scholar] [CrossRef]
- Benedict, K.; Jackson, B.R.; Chiller, T.; Beer, K.D. Estimation of direct healthcare costs of fungal diseases in the United States. Clin. Infect. Dis. 2019, 68, 1791–1797. [Google Scholar] [CrossRef] [PubMed]
- von Lilienfeld-Toal, M.; Wagener, J.; Einsele, H.; Cornely, O.A.; Kurzai, O. Invasive Fungal Infection. New treatments to meet new challenges. Dtsch. Arztebl. Int. 2019, 116, 271–278. [Google Scholar] [PubMed]
- Pal, M. Morbidity and mortality due to fungal infections. Appl. Biochem. Microbiol. 2017, 1, 2. [Google Scholar] [CrossRef]
- Bongomin, F.; Gago, S.; Oladele, R.O.; Denning, D.W. Global and multi-national prevalence of fungal diseases—Estimate precision. J. Fungi 2017, 3, 57. [Google Scholar] [CrossRef] [PubMed]
- Hirano, R.; Sakamoto, Y.; Kudo, K.; Ohnishi, M. Retrospective analysis of mortality and candida isolates of 75 patients with candidemia: A single hospital experience. Infect. Drug Resist. 2015, 8, 199–205. [Google Scholar] [CrossRef]
- Pegorie, M.; Denning, D.W.; Welfare, W. Estimating the burden of invasive and serious fungal disease in the United Kingdom. J. Infect. 2017, 74, 60–71. [Google Scholar] [CrossRef]
- Pfaller, M.A.; Diekema, D.J. Epidemiology of invasive candidiasis: A persistent public health problem. Clin. Microbiol. Rev. 2007, 20, 133–163. [Google Scholar] [CrossRef]
- Nami, S.; Aghebati-Maleki, A.; Morovati, H.; Aghebati-Maleki, L. Current antifungal drugs and immunotherapeutic approaches as promising strategies to treatment of fungal diseases. Biomed. Pharmacother. 2019, 110, 857–868. [Google Scholar] [CrossRef]
- Staniszewska, M.; Kuryk, Ł.; Gryciuk, A.; Kawalec, J.; Rogalska, M.; Baran, J.; Kowalkowska, A. The antifungal action mode of N-phenacyldibromobenzimidazoles. Molecules 2021, 26, 5463. [Google Scholar] [CrossRef]
- Abdel-Megid, M.; Elnagdi, M.H.; Negm, A.M. Studies with 1-functionally substituted alkyl azoles: Novel synthesis of functionally substituted azolylbenzimidazoles and functionally substituted azolyl-1,2,4-triazoles. J. Heterocycl. Chem. 2002, 39, 105–108. [Google Scholar] [CrossRef]
- Roeintan, A.; Moosavi, S.M.; Soltani Rad, M.N.; Behrouz, S. ‘Click synthesis’ of some novel benzimidazol oxime ethers containing heterocycle residues as potential β-adrenergic blocking agents. J. Chin. Chem. Soc. 2015, 62, 1097–1104. [Google Scholar] [CrossRef]
- Soltani Rad, M.N.; Khalafi-Nezhad, A.; Behrouz, S. Synthesis of some novel hydrazono acyclic nucleoside analogues. Beilstein J. Org. Chem. 2010, 6, 49. [Google Scholar] [CrossRef] [PubMed]
- Yousefi, R.; Khalafi-Nezhad, A.; Soltani Rad, M.N.; Behrouz, S.; Panahi, F.; Esmaili, M.; Ghaffari, S.M.; Niazi, A.; Moosavi-Movahedi, A.A. Structure–cytotoxicity relationship of a novel series of miconazole-like compounds. Med. Chem. Res. 2012, 21, 1921–1928. [Google Scholar] [CrossRef]
- Soltani Rad, M.N.; Khalafi-Nezhad, A.; Behrouz, S. Design and synthesis of some novel oxiconazole-like carboacyclic nucleoside analogues, as potential chemotherapeutic agents. Helv. Chim. Acta 2009, 92, 1760–1774. [Google Scholar] [CrossRef]
- Stanescu, M.D.; Stefanov, C.; Albota, F.; Hirtopeanu, A.; Oprea, O.C.; Stanica, N.; Ferbinteanu, M. Synthesis and structural analysis of complexes based on α-amino ketone derived from benzimidazole. J. Mol. Struct. 2021, 1228, 129716. [Google Scholar] [CrossRef]
- Murugaiah, A.M.S.; Wu, X.; Wallinder, C.; Mahalingam, A.K.; Wan, Y.; Sköld, C.; Botros, M.; Guimond, M.-O.; Joshi, A.; Nyberg, F.; et al. From the first selective non-peptide AT2 receptor agonist to structurally related antagonists. J. Med. Chem. 2012, 55, 2265–2278. [Google Scholar] [CrossRef]
- Güven, Ö.Ö.; Erdoğan, T.; Göker, H.; Yıldız, S. Synthesis and antimicrobial activity of some novel phenyl and benzimidazole substituted benzyl ethers. Bioorg. Med. Chem. Lett. 2007, 17, 2233–2236. [Google Scholar] [CrossRef]
- Yavuz, K.; Küçükbay, H. Efficient and green catalytic system incorporating new benzimidazolium salts for the Sonogashira cross-coupling reaction. Appl. Organomet. Chem. 2018, 32, e3897. [Google Scholar] [CrossRef]
- Erdmann, A.; Menon, Y.; Gros, C.; Molinier, N.; Novosad, N.; Samson, A.; Gregoire, J.-M.; Long, C.; Ausseil, F.; Halby, L.; et al. Design and synthesis of new non nucleoside inhibitors of DNMT3A. Bioorg. Med. Chem. 2015, 23, 5946–5953. [Google Scholar] [CrossRef]
- Vargas-Oviedo, D.; Portilla, J.; Macías, M.A. Influence of the haloaryl moiety over the molecular packing in N-phenacylbenzimidazoles crystallizing in the same space group. J. Mol. Struct. 2021, 1230, 129869. [Google Scholar] [CrossRef]
- Hague, M.R.; Rasmussen, M. Ambident heterocyclic reactivity: Alkylation of 4-substituted and 2,4-disubstituted benzimidazoles. Aust. J. Chem. 1994, 47, 1523–1535. [Google Scholar] [CrossRef]
- Han, Q.; Dominguez, C.; Stouten, P.F.W.; Park, J.M.; Duffy, D.E.; Galemmo, R.A.; Rossi, K.A.; Alexander, R.S.; Smallwood, A.M.; Wong, P.C.; et al. Design, synthesis, and biological evaluation of potent and selective amidino bicyclic factor Xa inhibitors. J. Med. Chem. 2000, 43, 4398–4415. [Google Scholar] [CrossRef] [PubMed]
- Wannberg, J.; Gising, J.; Lindman, J.; Salander, J.; Gutiérrez-de-Terán, H.; Ablahad, H.; Hamid, S.; Grönbladh, A.; Spizzo, I.; Gaspari, T.A.; et al. N-(Methyloxycarbonyl)thiophene sulfonamides as high affinity AT2 receptor ligands. Bioorg. Med. Chem. 2021, 29, 115859. [Google Scholar] [CrossRef] [PubMed]
- Pérez, E.R.; Loupy, A.; Liagre, M.; de Guzzi Plepis, A.M.; Cordeiro, P.J. Clean and efficient microwave-solvent-free synthesis of 1-(2′,4′-dichlorophenacyl) azoles. Tetrahedron 2003, 59, 865–870. [Google Scholar] [CrossRef]
- Zhang, L.; Fu, L.; Zhang, S.; Zhang, J.; Zhao, Y.; Zheng, Y.; He, G.; Yang, S.; Ouyang, L.; Liu, B. Discovery of a small molecule targeting ULK1- modulated cell death of triple negative breast cancer in vitro and in vivo. Chem. Sci. 2017, 8, 2687–2701. [Google Scholar] [CrossRef]
- Čapkauskaitė, E.; Zakšauskas, A.; Ruibys, V.; Linkuvienė, V.; Paketurytė, V.; Gedgaudas, M.; Kairys, V.; Matulis, D. Benzimidazole design, synthesis, and docking to build selective carbonic anhydrase VA inhibitors. Bioorg. Med. Chem. 2018, 26, 675–687. [Google Scholar] [CrossRef]
- Zubrienė, A.; Čapkauskaitė, E.; Gylytė, J.; Kišonaitė, S.; Tumkevičius, S.; Matulis, D. Benzenesulfonamides with benzimidazole moieties as inhibitors of carbonic anhydrases I, II, VII, XII and XIII. J. Enzym. Inhib. Med. Chem. 2014, 29, 124–131. [Google Scholar] [CrossRef]
- Čapkauskaitė, E.; Baranauskienė, L.; Golovenko, D.; Manakova, E.; Gražulis, S.; Tumkevičius, S.; Matulis, D. Indapamide-like benzenesulfonamides as inhibitors of carbonic anhydrases I, II, VII, and XIII. Bioorg. Med. Chem. 2010, 18, 7357–7364. [Google Scholar] [CrossRef]
- Wen, J.; Teske, K.A.; Hadden, M.K. Inhibition of hedgehog signaling by stereochemically defined des-triazole itraconazole analogues. Bioorg. Med. Chem. Lett. 2020, 30, 126794. [Google Scholar] [CrossRef]
- Han, X.; Wang, S.; Zhang, N.; Ren, L.; Sun, X.; Song, Y.; Wang, J.; Xiao, B. Novel triazole derivatives containing different ester skeleton: Design, synthesis, biological evaluation and molecular docking. Chem. Pharm. Bull. 2020, 68, 64–69. [Google Scholar] [CrossRef]
- Li, B.; Zhang, D.; Zhang, Y.; Jiang, D.; Li, S.; Lei, W.; Wang, H.; Lin, F. Synthesis and evaluation of novel benzene-ethanol bearing 1,2,4-triazole derivatives as potential antimicrobial agents. Med. Chem. Res. 2016, 26, 44–51. [Google Scholar] [CrossRef]
- Tang, H.; Zheng, C.-H.; Ren, X.-H.; Liu, J.; Liu, N.; Lv, J.-G.; Zhu, J.; Zhou, Y.-J. Synthesis and biological evaluation of novel triazole derivatives as antifungal agents. Chin. Chem. Lett. 2013, 24, 219–222. [Google Scholar] [CrossRef]
- Yin, B.-T.; Yan, C.-Y.; Peng, X.-M.; Zhang, S.-L.; Rasheed, S.; Geng, R.-X.; Zhou, C.-H. Synthesis and biological evaluation of a-triazolyl chalcones as a new type of potential antimicrobial agents and their interaction with calf thymus DNA and human serum albumin. Eur. J. Med. Chem. 2014, 71, 148–159. [Google Scholar] [CrossRef] [PubMed]
- Zhang, Y.; Damu, G.L.V.; Cui, S.-F.; Mi, J.-L.; Reddy Tangadanchu, V.K.; Zhou, C.-H. Discovery of potential antifungal triazoles: Design, synthesis, biological evaluation, and preliminary antifungal mechanism exploration. Med. Chem. Commun. 2017, 8, 1631–1639. [Google Scholar] [CrossRef] [PubMed]
- Itoh, H.; Yoneda, R.; Tobitsuka, J.; Matsuhisa, T.; Kajino, H.; Ohta, H.; Hayashi, N.; Takahi, Y.; Tsuda, M.; Takeshiba, H. Synthesis and Systemic Fungicidal Activity of Silicon-Containing Azole Derivatives. Chem. Pharm. Bull. 2000, 48, 1148–1153. [Google Scholar] [CrossRef][Green Version]
- Pace, J.R.; DeBerardinis, A.M.; Sail, V.; Tacheva-Grigorova, S.K.; Chan, K.A.; Tran, R.; Raccuia, D.S.; Wechsler-Reya, R.J.; Hadden, M.K. Repurposing the clinically efficacious antifungal agent itraconazole as an anticancer chemotherapeutic. J. Med. Chem. 2016, 59, 3635–3649. [Google Scholar] [CrossRef]
- Yu, S.; Wang, N.; Chai, X.; Wang, B.; Cui, H.; Zhao, Q.; Zou, Y.; Sun, Q.; Meng, Q.; Wu, Q. Synthesis and antifungal activity of the novel triazole derivatives containing 1,2,3-triazole fragment. Arch. Pharm. Res. 2013, 36, 1215–1222. [Google Scholar] [CrossRef]
- Zou, Y.; Zhao, Q.; Liao, J.; Hu, H.; Yu, S.; Chai, X.; Xu, M.; Wu, Q. New triazole derivatives as antifungal agents: Synthesis via click reaction, in vitro evaluation and molecular docking studies. Bioorg. Med. Chem. Lett. 2012, 22, 2959–2962. [Google Scholar] [CrossRef]
- Chai, X.; Yang, G.; Zhang, J.; Yu, S.; Zou, Y.; Wu, Q.; Zhang, D.; Jiang, Y.; Cao, Y.; Sun, Q. Synthesis and biological evaluation of triazole derivatives as potential antifungal agent. Chem. Biol. Drug Des. 2012, 80, 382–387. [Google Scholar] [CrossRef]
- Yu, S.; Chai, X.; Hu, H.; Yan, Y.; Guan, Z.; Zou, Y.; Sun, Q.; Wu, Q. Synthesis and antifungal evaluation of novel triazole derivatives as inhibitors of cytochrome P450 14α-demethylase. Eur. J. Med. Chem. 2010, 45, 4435–4445. [Google Scholar] [CrossRef]
- Chai, X.; Zhang, J.; Yu, S.; Hu, H.; Zou, Y.; Zhao, Q.; Dan, Z.; Zhang, D.; Wu, Q. Design, synthesis, and biological evaluation of novel 1-(1H-1,2,4-triazole-1-yl)- 2-(2,4-difluorophenyl)-3-substituted benzylamino-2-propanols. Bioorg. Med. Chem. Lett. 2009, 19, 1811–1814. [Google Scholar] [CrossRef] [PubMed]
- Borate, H.B.; Sawargave, S.P.; Maujan, S.R. A short synthesis of 3,6-disubstituted N-2-thienyl/aryl-indoles. Tetrahedron Lett. 2009, 50, 6562–6566. [Google Scholar] [CrossRef]
- Elias, R.; Benhamou, R.I.; Jaber, Q.Z.; Dorot, O.; Zada, S.L.; Oved, K.; Pichinuk, E.; Fridman, M. Antifungal activity, mode of action variability, and subcellular distribution of coumarin-based antifungal azoles. Eur. J. Med. Chem. 2019, 179, 779–790. [Google Scholar] [CrossRef] [PubMed]
- Xu, H.; Su, X.; Guo, M.-b.; An, R.; Mou, Y.-h.; Hou, Z. Design, synthesis, and biological evaluation of novel miconazole analogues containing selenium as potent antifungal agents. Eur. J. Med. Chem. 2020, 198, 112360. [Google Scholar] [CrossRef] [PubMed]
- Jiang, Z.; Gu, J.; Wang, C.; Wang, S.; Liu, N.; Jiang, Y.; Dong, G.; Wang, Y.; Liu, Y.; Yao, J.; et al. Design, synthesis and antifungal activity of novel triazole derivatives containing substituted 1,2,3-triazole-piperidine side chains. Eur. J. Med. Chem. 2014, 82, 490–497. [Google Scholar] [CrossRef]
- Sheng, C.; Wang, W.; Che, X.; Dong, G.; Wang, S.; Ji, H.; Miao, Z.; Yao, J.; Zhang, W. Improved model of lanosterol 14a-demethylase by ligand-supported homology modeling: Validation by virtual screening and azole optimization. ChemMedChem 2010, 5, 390–397. [Google Scholar] [CrossRef]
- Wang, W.; Sheng, C.; Che, X.; Ji, H.; Cao, Y.; Miao, Z.; Yao, J.; Zhang, W. Discovery of highly potent novel antifungal azoles by structure-based rational design. Bioorg. Med. Chem. Lett. 2009, 19, 5965–5969. [Google Scholar] [CrossRef]
- Tahlan, S.; Kumar, S.; Kakkar, S.; Narasimhan, B. Benzimidazole scafolds as promising antiproliferative agents: A review. BMC Chem. 2019, 13, 66. [Google Scholar] [CrossRef]
- Arshad, M.N.; Asiri, A.M.; Alamry, K.A.; Al-Juaid, S.S.; Khan, S.B.; Bokhari, T.H.; Shafiq, M. Crystal structure of 3-chloromethyl-(3-phenyl-oxiranyl)phenyl methanone: New monoclinic polymorph. Asian J. Chem. 2014, 26, 2715–2717. [Google Scholar] [CrossRef]
- Rapi, Z.; Bakó, P.; Keglevich, G.; Szöllősy, Á.; Drahos, L.; Botyánszki, A.; Holczbauer, T. Asymmetric phase transfer Darzens reactions catalyzed by D-glucose and D-mannose-based chiral crown ethers. Tetrahedron Asymmetry 2012, 23, 489–496. [Google Scholar] [CrossRef]
- Fuglseth, E.; Thvedt, T.H.K.; Møll, M.F.; Hoff, B.H. Electrophilic and nucleophilic side chain fluorination of para-substituted acetophenones. Tetrahedron 2008, 64, 7318–7323. [Google Scholar] [CrossRef]
- Bakó, P.; Czinege, E.; Bakó, T.; Czugler, M.; Tőke, L. Asymmetric C–C bond forming reactions with chiral crown catalysts derived from D-glucose and D-galactose. Tetrahedron Asymmetry 1999, 10, 4539–4551. [Google Scholar] [CrossRef]
- Kulka, M. Self-condensation of p-chlorophenacyl chloride in the presence of Grignard reagent. Can. J. Chem. 1964, 42, 2791–2796. [Google Scholar] [CrossRef]
- Stevens, C.L.; Church, R.J.; Traynelis, V.J. The halodiphenacyls. J. Org. Chem. 1954, 19, 522–523. [Google Scholar] [CrossRef]
- Scott, J.H.; Smith, T.A.; Hutchinson, J.H. Reactions of substituted phenacyl bromides with various bases. o- and p-nitrophenacyl bromide. I. J. Heterocycl. Chem. 1984, 21, 903–904. [Google Scholar] [CrossRef]
- Campaigne, E.; Hutchinson, J.H. Novel bis-epoxides from nitrophenacyl bromides. J. Heterocycl. Chem. 1973, 10, 229–230. [Google Scholar] [CrossRef]
- Manna, S.; Antonchick, A.P. [1+1+1] cyclotrimerization for the synthesis of cyclopropanes. Angew. Chem. Int. Ed. 2016, 55, 5290–5293. [Google Scholar] [CrossRef]
- Ibata, T.; Kashiuchi, M. Generation of the selenonium ylide by the carbenic reaction. formation of cyclopropane derivatives via selenonium ylide. Bull. Chem. Soc. Jpn. 1986, 59, 929–930. [Google Scholar] [CrossRef]
- De Pasquale, R.J.; Vogel, M. Base-Induced reactions of phenacyl chloride. J. Org. Chem. 1970, 35, 1057–1060. [Google Scholar] [CrossRef]
- Pasto, D.J.; Garves, K.; Sevenair, J.P. Reaction of ω-chloro ketones with methylenetriphenylphosphorane. J. Org. Chem. 1968, 33, 2975–2977. [Google Scholar] [CrossRef]
- Chojnacki, K.; Wińska, P.; Skierka, K.; Wielechowska, M.; Bretner, M. Synthesis, in vitro antiproliferative activity and kinase profile of new benzimidazole and benzotriazole derivatives. Bioorg. Chem. 2017, 72, 1–10. [Google Scholar] [CrossRef] [PubMed]
- Śliwińska, A.; Pobudkowska, A.; Kowalkowska, A. Physicochemical characteristics of dibromobenzimidazole derivatives. J. Solut. Chem. 2022, 51, 556–576. [Google Scholar] [CrossRef]
- Wińska, P.; Karatsai, O.; Staniszewska, M.; Koronkiewicz, M.; Chojnacki, K.; Rędowicz, M.J. Synergistic interactions of 5-fluorouracil with inhibitors of protein kinase CK2 correlate with P38 MAPK activation and FAK inhibition in the triple-negative breast cancer cell line. Int. J. Mol. Sci. 2020, 21, 6234. [Google Scholar] [CrossRef]






| Entry a | Solvent | Base | Temp. | Time (h) | 1:3e:Base (mol/mol/mol) | Yield (%) b |
|---|---|---|---|---|---|---|
| 1 | MeCN | K2CO3 | RT | 24 h | 3:1:20 | 28 |
| 2 | MeCN | K2CO3 | RT | 24 h | 2:1:20 | 13 |
| 3 | MeCN | K2CO3 | RT | 24 h | 1:1:20 | 12 |
| 4 | MeCN | K2CO3 | RT | 24 h | 1:2:20 | 17 |
| 5 | MeCN | K2CO3 | RT | 24 h | 1:3:20 | 15 |
| 6 | MeCN | K2CO3 | RT | 24 h | 1:4:20 | 13 |
| 7 | DMF | NaH | RT | 24 h | 1:1:20 | 0 |
| 8 | MeCN | NaH | RT | 24 h | 1:1:20 | 0 |
| 9 | THF | NaH | RT | 24 h | 1:1:20 | 0 |
| 10 | MeCN | t-BuOK | RT | 24 h | 1:1: 20 | 0 |
| 11 | MeCN | MeONa | RT | 24 h | 1:1:20 | 0 |
| 12 | MeCN | KOH | RT | 24 h | 1:1:20 | 0 |
| 13 | MeCN | Cs2CO3 | RT | 24 h | 1:1:20 | 0 |
| 14 | DMSO | K2CO3 | RT | 24 h | 1:1:20 | 0 |
| 15 | THF | K2CO3 | RT | 24 h | 1:1:20 | 0 |
| 16 | dioxane | K2CO3 | RT | 24 h | 1:1:20 | 7 |
| 17 | DMF | K2CO3 | RT | 24 h | 1:1:20 | 0 |
| 18 | MeCN | NaHCO3 | RT | 24 h | 1:1:20 | <1 |
| 19 | MeCN | DBU | RT | 24 h | 1:1:20 | 0 |
| 20 | MeCN | Et3N | RT | 24 h | 1:1:20 | 22 |
| 21 | DMF | Et3N | RT | 24 h | 1:1:20 | 15 |
| 22 | MeCN | DIPEA | RT | 24 h | 1:1:20 | 21 |
| 23 | MeCN | DABCO | RT | 24 h | 1:1:20 | 0 |
| 24 | MeCN | K2CO3 | reflux | 3 h | 1:1:20 | 41 |
| 25 | MeCN | NaHCO3 | reflux | 3 h | 1:1:20 | 44 |
| 26 | MeCN | Et3N | reflux | 3 h | 1:1:20 | 28 |
| 27 | MeCN | DIPEA | reflux | 3 h | 1:1:20 | 37 |
| 28 | MeCN | DIPEA | reflux | 24 h | 1:1:20 | 30 |
| 29 | MeCN | NaHCO3 | reflux | 24 h | 1:1:20 | 43 |
| 30 | MeCN | Et3N | RT | 24 h | 1:2:20 | 35 |
| 31 | MeCN | DIPEA | RT | 24 h | 1:2:20 | 33 |
| 32 | MeCN | NaHCO3 | reflux | 3 h | 1:2:20 | 26 |
| 33 | MeCN | NaHCO3 | reflux | 24 h | 1:2:20 | 45 |
| 34 | MeCN | NaHCO3 | reflux | 24 h | 1:1.3:20 | 54 |
| 35 | MeCN | NaHCO3 | reflux | 24 h | 1:1.6:20 | 41 |
| Entry | 1 (mmol) | 3e:1 mol/mol | Base (Equiv.) | MeCN (mL/1 mmol of 1) | Temp. | Time (h) | Purification | Yield (%) |
|---|---|---|---|---|---|---|---|---|
| 1 | 1 | 1:1 | NaHCO3, 20 | 50 | reflux | 24 | chromatography | 58 |
| 2 | 1 | 1:1 | NaHCO3, 20 | 50 | 60 °C | 24 | chromatography | 38 |
| 3 | 1 | 1.3:1 a | NaHCO3, 20 | 50 | reflux | 24 | chromatography | 52 |
| 4 | 1 | 1:1 | NaHCO3, 20 | 30 | reflux | 24 | chromatography | 43 |
| 5 | 1 | 2:1 b | NaHCO3, 5 | 50 | reflux | 24 | chromatography | 67 |
| 6 | 1 | 2:1 b | NaHCO3, 5 | 50 | reflux | 24 | precipitation | 63 |
| 7 | 4 | 2:1 b | NaHCO3, 5 | 40 | reflux | 24 | precipitation | 66 |
| 8 | 1 | 2:1 b | NaHCO3, 5 | 30 | reflux | 24 | precipitation | 65 c |
| 9 | 1 | 2:1 b | NaHCO3, 5 | 20 | reflux | 24 | precipitation | - d |
| 10 | 1 | 1:1 | K2CO3, 5 | 25 | reflux | 0.5 | chromatography | 61 |
| 11 | 1 | 1:1 | K2CO3, 5 | 25 | reflux | 0.5 | precipitation | - d |
| Entry a | 3, Ar | Yield of 4 (%) | Yield of 5 (%) |
|---|---|---|---|
| 1 | a, C6H5 | 51 | 82 |
| 2 | b, 4-FC6H4 | 60 | 89 |
| 3 | c, 4-ClC6H4 | 47 | 83 |
| 4 | d, 4-BrC6H4 | 61 | 84 |
| 5 | e, 2,4-Cl2C6H3 | 67 | 80 |
| 6 | f, 3,4-Cl2C6H3 | 63 | 77 |
| 7 | g, 2,4,6-Cl2C6H2 | 41 b | 39 b |
| 8 | h, 2,4-F2C6H3 | 48 | 74 |
| 9 | i, 2,5-F2C6H3 | 65 | 59 |
| 10 | j, 2,4,6-F2C6H2 | 54 | 57 |
| Entry | Compound | Cell Line | |||||
|---|---|---|---|---|---|---|---|
| MRC-5 | A-549 | MCF-7 | CCRF-CEM | ||||
| EC50 ± SD (µM) | EC50 ± SD (µM) | EC50 ± SD (µM) | SI a | EC50 ± SD (µM) | SI a | ||
| 1 | 4a | 51.37 ± 1.62 | 110.7 ± 11.73 | 37.55 ± 3.40 | 1.37 | 78.07 ± 5.58 | 0.66 |
| 2 | 5a | 57.92 ± 0.88 | 81.24 ± 6.68 | 28.35 ± 1.11 | 2.04 | 182.7 ± 7.84 | 0.32 |
| 3 | 4b | 56.08 ± 4.33 | 54.53 ± 1.58 | 33.02 ± 2.63 | 1.70 | 44.12 ± 3.04 | 1.27 |
| 4 | 5b | 49.16 ± 10.55 | 84.51 ± 3.09 | 45.93 ± 0.36 | 1.07 | ND b | ND b |
| 5 | 4c | 54.24 ± 0.52 | 76.60 ± 3.08 | 49.11 ± 5.58 | 1.10 | 56.56 ± 4.48 | 0.96 |
| 6 | 5c | 39.11 ± 8.41 | 46.71 ± 1.20 | 30.42 ± 2.31 | 1.29 | 42.52 ± 8.36 | 0.92 |
| 7 | 4d | ND b | ND b | ND b | ND b | ND b | ND b |
| 8 | 5d | 45.08 ± 5.73 | 50.86 ± 2.84 | 27.75 ± 2.61 | 1.62 | 50.45 ± 1.52 | 0.89 |
| 9 | 4e | 57.61 ± 5,21 | 67.98 ± 0.41 | 60.33 ± 6.20 | 0.95 | 61.11 ± 2.76 | 0.94 |
| 10 | 5e | 34.36 ± 7.83 | 46.00 ± 3.42 | 27.45 ± 1.57 | 1.25 | 38.4 ± 1.39 | 0.89 |
| 11 | 4f | 48.54 ± 4.50 | 51.09 ± 2.78 | 26.39 ± 0.80 | 1.84 | 27.54 ± 2.46 | 1.76 |
| 12 | 5f | 43.16 ± 12.11 | 40.00 ± 5.78 | 32.77 ± 1.88 | 1.32 | 40.57 ± 2.39 | 1.06 |
| 13 | 4g | 13.70 ± 0.63 | >200 | 36.06 ± 1.47 | 0.38 | ND b | ND b |
| 14 | 5g | 26.90 ± 1.62 | 41.34 ± 3.20 | 23.98 ± 2.33 | 1.12 | 26.64 ± 0.31 | 1.01 |
| 15 | 4h | 57.61 ± 0.71 | 54.07 ± 4.05 | 41.21 ± 3.85 | 1.40 | 59.92 ± 4.40 | 0.96 |
| 16 | 5h | 45,50 ± 12.64 | 61.26 ± 0.45 | 37.02 ± 2.15 | 1.23 | 51.16 ± 1.06 | 0.89 |
| 17 | 4i | 47.79 ± 11.96 | 37.87 ± 1.72 | 29.64 ± 2.24 | 1.61 | 102.0 ± 8.62 | 0.47 |
| 18 | 5i | 48.07 ± 0.04 | 82.74 ± 10.58 | 44.83 ± 6.33 | 1.07 | 46.24 ± 3.24 | 1.04 |
| 19 | 4j | 48.81 ± 9.07 | 94.32 ± 6.47 | 37.60 ± 3.58 | 1.30 | 40.66 ± 1.03 | 1.20 |
| 20 | 5j | 61.03 ± 5.64 | 85.39 ± 3.16 | 42.20 ± 3.95 | 1.45 | 34.44 ± 2.30 | 1.77 |
| 21 | 4,5,6,7-tetrabromo-1H-benzimidazole (TBBi) | ND | 36.42 ± 0.70 c | 23.60 ± 0.10 d | - | 18.10 ± 0.60 d | - |
Publisher’s Note: MDPI stays neutral with regard to jurisdictional claims in published maps and institutional affiliations. |
© 2022 by the authors. Licensee MDPI, Basel, Switzerland. This article is an open access article distributed under the terms and conditions of the Creative Commons Attribution (CC BY) license (https://creativecommons.org/licenses/by/4.0/).
Share and Cite
Kowalkowska, A.; Chojnacki, K.; Multan, M.; Maurin, J.K.; Łukowska-Chojnacka, E.; Wińska, P. N-Phenacyldibromobenzimidazoles—Synthesis Optimization and Evaluation of Their Cytotoxic Activity. Molecules 2022, 27, 4349. https://doi.org/10.3390/molecules27144349
Kowalkowska A, Chojnacki K, Multan M, Maurin JK, Łukowska-Chojnacka E, Wińska P. N-Phenacyldibromobenzimidazoles—Synthesis Optimization and Evaluation of Their Cytotoxic Activity. Molecules. 2022; 27(14):4349. https://doi.org/10.3390/molecules27144349
Chicago/Turabian StyleKowalkowska, Anna, Konrad Chojnacki, Maciej Multan, Jan K. Maurin, Edyta Łukowska-Chojnacka, and Patrycja Wińska. 2022. "N-Phenacyldibromobenzimidazoles—Synthesis Optimization and Evaluation of Their Cytotoxic Activity" Molecules 27, no. 14: 4349. https://doi.org/10.3390/molecules27144349
APA StyleKowalkowska, A., Chojnacki, K., Multan, M., Maurin, J. K., Łukowska-Chojnacka, E., & Wińska, P. (2022). N-Phenacyldibromobenzimidazoles—Synthesis Optimization and Evaluation of Their Cytotoxic Activity. Molecules, 27(14), 4349. https://doi.org/10.3390/molecules27144349

