Controlled Synthesis of Diphosphine-Protected Gold Cluster Cations Using Magnetron Sputtering Method
Abstract
:1. Introduction
2. Results and Discussion
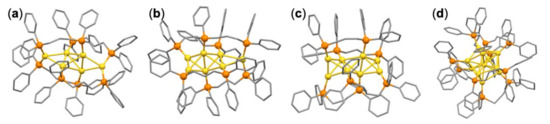
2.1. Formation and Characterization of Au Clusters Synthesized by Magnetron Sputtering
2.2. Mechanism of the Formation of Au Cluster Cations by Magnetron Sputtering
3. Materials and Methods
3.1. Materials
3.2. Preparation of Au Clusters by Sputtered Deposition
3.3. Purification of Au Cluster Products
3.4. Characterization
3.5. Theoretical Calculation
4. Conclusions
Supplementary Materials
Author Contributions
Funding
Institutional Review Board Statement
Informed Consent Statement
Data Availability Statement
Acknowledgments
Conflicts of Interest
Sample Availability
References
- Konishi, K. Phosphine-Coordinated Pure-Gold Clusters: Diverse Geometrical Structures and Unique Optical Properties/Responses. In Gold Clusters, Colloids and Nanoparticles I; Mingos, D.M.P., Ed.; Springer International Publishing: Cham, Switzerland, 2014; Volume 161, pp. 49–86. [Google Scholar]
- Jin, R.; Zeng, C.; Zhou, M.; Chen, Y. Atomically Precise Colloidal Metal Nanoclusters and Nanoparticles: Fundamentals and Opportunities. Chem. Rev. 2016, 116, 10346–10413. [Google Scholar] [CrossRef] [PubMed]
- Chakraborty, I.; Pradeep, T. Atomically Precise Clusters of Noble Metals: Emerging Link between Atoms and Nanoparticles. Chem. Rev. 2017, 117, 8208–8271. [Google Scholar] [CrossRef] [PubMed]
- Du, Y.; Sheng, H.; Astruc, D.; Zhu, M. Atomically Precise Noble Metal Nanoclusters as Efficient Catalysts: A Bridge Between Structure and Properties. Chem. Rev. 2019, 120, 526–622. [Google Scholar] [CrossRef] [PubMed]
- Omoda, T.; Takano, S.; Tsukuda, T. Toward Controlling the Electronic Structures of Chemically Modified Superatoms of Gold and Silver. Small 2021, 17, 2001439. [Google Scholar] [CrossRef]
- Xiao, Y.; Wu, Z.; Yao, Q.; Xie, J. Luminescent Metal Nanoclusters: Biosensing Strategies and Bioimaging Applications. Aggregate 2021, 2, 114–132. [Google Scholar] [CrossRef]
- Mckenzie, L.C.; Zaikova, T.O.; Hutchison, J.E. Structurally Similar Triphenylphosphine-Stabilized Undecagolds, Au11(PPh3)7Cl3 and [Au11(PPh3)8Cl2]Cl, Exhibit Distinct Ligand Exchange Pathways with Glutathione. J. Am. Chem. Soc. 2014, 136, 13426–13435. [Google Scholar] [CrossRef] [Green Version]
- Matsuo, S.; Takano, S.; Yamazoe, S.; Koyasu, K.; Tsukuda, T. Selective and High-Yield Synthesis of Oblate Superatom [PdAu8(PPh3)8]2+. ChemElectroChem 2016, 3, 1206–1211. [Google Scholar] [CrossRef]
- Takano, S.; Yamazoe, S.; Tsukuda, T. A Gold Superatom with 10 Electrons in Au13(PPh3)8(p-SC6H4CO2H)3. APL Mater. 2017, 5, 053402. [Google Scholar] [CrossRef] [Green Version]
- Kelly, P.J.; Arnell, R.D. Magnetron Sputtering: A Review of Recent Developments and Applications. Vacuum 2000, 56, 159–172. [Google Scholar] [CrossRef]
- Gudmundsson, J.T. Physics and Technology of Magnetron Sputtering Discharges. Plasma Sources Sci. Technol. 2020, 29, 113001. [Google Scholar] [CrossRef]
- Wagener, M.; Günther, B. Sputtering on Liquids—a Versatile Process for the Production of Magnetic Suspensions? J. Magn. Magn. Mater. 1999, 201, 41–44. [Google Scholar] [CrossRef]
- Ishida, Y.; Morita, A.; Tokunaga, T.; Yonezawa, T. Sputter Deposition toward Short Cationic Thiolated Fluorescent Gold Nanoclusters: Investigation of Their Unique Structural and Photophysical Characteristics Using High-Performance Liquid Chromatography. Langmuir 2018, 34, 4024–4030. [Google Scholar] [CrossRef] [PubMed]
- Porta, M.; Nguyen, M.T.; Yonezawa, T.; Tokunaga, T.; Ishida, Y.; Tsukamoto, H.; Shishino, Y.; Hatakeyama, Y. Titanium Oxide Nanoparticle Dispersions in a Liquid Monomer and Solid Polymer Resins Prepared by Sputtering. New J. Chem. 2016, 40, 9337–9343. [Google Scholar] [CrossRef] [Green Version]
- Torimoto, T.; Okazaki, K.-I.; Kiyama, T.; Hirahara, K.; Tanaka, N.; Kuwabata, S. Sputter Deposition onto Ionic Liquids: Simple and Clean Synthesis of Highly Dispersed Ultrafine Metal Nanoparticles. Appl. Phys. Lett. 2006, 89, 243117. [Google Scholar] [CrossRef]
- Wender, H.; De Oliveira, L.F.; Migowski, P.; Feil, A.F.; Lissner, E.; Prechtl, M.H.G.; Teixeira, S.R.; Dupont, J. Ionic Liquid Surface Composition Controls the Size of Gold Nanoparticles Prepared by Sputtering Deposition. J. Phys. Chem. C 2010, 114, 11764–11768. [Google Scholar] [CrossRef] [Green Version]
- Vanecht, E.; Binnemans, K.; Patskovsky, S.; Meunier, M.; Seo, J.W.; Stappers, L.; Fransaer, J. Stability of Sputter-Deposited Gold Nanoparticles in Imidazolium Ionic Liquids. Phys. Chem. Chem. Phys. 2012, 14, 5662–5671. [Google Scholar] [CrossRef] [Green Version]
- Hatakeyama, Y.; Judai, K.; Onishi, K.; Takahashi, S.; Kimura, S.; Nishikawa, K. Anion and Cation Effects on the Size Control of Au Nanoparticles Prepared by Sputter Deposition in Imidazolium-Based Ionic Liquids. Phys. Chem. Chem. Phys. 2016, 18, 2339–2349. [Google Scholar] [CrossRef]
- Meischein, M.; Wang, X.; Ludwig, A. Unraveling the Formation Mechanism of Nanoparticles Sputtered in Ionic Liquid. J. Phys. Chem. C 2021, 125, 24229–24239. [Google Scholar] [CrossRef]
- Ishida, Y.; Corpuz, R.D.; Yonezawa, T. Matrix Sputtering Method: A Novel Physical Approach for Photoluminescent Noble Metal Nanoclusters. Acc. Chem. Res. 2017, 50, 2986–2995. [Google Scholar] [CrossRef]
- Van Der Velden, J.W.A.; Bour, J.J.; Steggerda, J.J.; Beurskens, P.T.; Roseboom, M.; Noordik, J.H. Gold Clusters. Tetrakis[1,3-bis(diphenylphosphino)propane]hexagold Dinitrate: Preparation, X-ray Analysis, and 197Au Mössbauer and 31P{1H} NMR Spectra. Inorg. Chem. 1982, 21, 4321–4324. [Google Scholar] [CrossRef]
- Shichibu, Y.; Zhang, M.; Kamei, Y.; Konishi, K. [Au7]3+: A Missing Link in the Four-Electron Gold Cluster Family. J. Am. Chem. Soc. 2014, 136, 12892–12895. [Google Scholar] [CrossRef]
- Kamei, Y.; Shichibu, Y.; Konishi, K. Generation of Small Gold Clusters with Unique Geometries through Cluster-to-Cluster Transformations: Octanuclear Clusters with Edge-sharing Gold Tetrahedron Motifs. Angew. Chem. Int. Ed. 2011, 50, 7442–7445. [Google Scholar] [CrossRef]
- Smits, J.M.M.; Bour, J.J.; Vollenbroek, F.A.; Beurskens, P.T. Preparation and X-ray Structure Determination of [pentakis{1,3-bis(diphenylphosphino)propane}] Undecagoldtris(thiocyanate), [Au11{PPh2C3H6PPh2}5](SCN)3. J. Crystallogr. Spectrosc. Res. 1983, 13, 355–363. [Google Scholar] [CrossRef]
- Shichibu, Y.; Konishi, K. Electronic Properties of [Core + exo]-Type Gold Clusters: Factors Affecting the Unique Optical Transitions. Inorg. Chem. 2013, 52, 6570–6575. [Google Scholar] [CrossRef]
- Shichibu, Y.; Kamei, Y.; Konishi, K. Unique [core + two] Structure and Optical Property of a Dodeca-Ligated Undecagold Cluster: Critical Contribution of the exo Gold Atoms to the Electronic Structure. Chem. Commun. 2012, 48, 7559–7561. [Google Scholar] [CrossRef] [Green Version]
- Vollenbroek, F.A.; Bouten, P.C.P.; Trooster, J.M.; Van Den Berg, J.P.; Bour, J.J. Mössbauer Investigation and Novel Synthesis of Gold Cluster Compounds. Inorg. Chem. 1978, 17, 1345–1347. [Google Scholar] [CrossRef]
- Van Der Velden, J.W.A.; Vollenbroek, F.A.; Bour, J.J.; Beurskens, P.T.; Smits, J.M.M.; Bosnian, W.P. Gold Clusters Containing Bidentate Phosphine Ligands. Preparation and X-Ray Structure Investigation of [Au5(dppmH)3(dppm)](NO3)2 and [Au13(dppmH)6](NO3)n. Recueil Travaux Chimiques Pays-Bas 1981, 100, 148–152. [Google Scholar] [CrossRef]
- Healy, P.C.; Loughrey, B.T.; Williams, M.L. Synthesis and Structural Studies of Tetrahedral [M(Ph2P(CH=CH)PPh2)2]BPh4 and [M(Ph2P(CH2)nPPh2)2]BPh4 (n = 2, 3) Complexes for M = Copper(I), Silver(I), and Gold(I). Aust. J. Chem. 2012, 65, 811–818. [Google Scholar] [CrossRef]
- Sansonetti, J.E.; Martin, W.C. Handbook of Basic Atomic Spectroscopic Data. J. Phys. Chem. Ref. Data 2005, 34, 1559–2259. [Google Scholar] [CrossRef] [Green Version]
- TURBOMOLE V7.5.1; University of Karlsruhe and Forschungszentrum Karlsruhe GmbH (1989–2007) and TURBOMOLE GmbH (since 2007). 2019. Available online: http://www.turbomole.com (accessed on 17 January 2022).





Publisher’s Note: MDPI stays neutral with regard to jurisdictional claims in published maps and institutional affiliations. |
© 2022 by the authors. Licensee MDPI, Basel, Switzerland. This article is an open access article distributed under the terms and conditions of the Creative Commons Attribution (CC BY) license (https://creativecommons.org/licenses/by/4.0/).
Share and Cite
Wang, L.; Omoda, T.; Koyasu, K.; Tsukuda, T. Controlled Synthesis of Diphosphine-Protected Gold Cluster Cations Using Magnetron Sputtering Method. Molecules 2022, 27, 1330. https://doi.org/10.3390/molecules27041330
Wang L, Omoda T, Koyasu K, Tsukuda T. Controlled Synthesis of Diphosphine-Protected Gold Cluster Cations Using Magnetron Sputtering Method. Molecules. 2022; 27(4):1330. https://doi.org/10.3390/molecules27041330
Chicago/Turabian StyleWang, Lewei, Tsubasa Omoda, Kiichirou Koyasu, and Tatsuya Tsukuda. 2022. "Controlled Synthesis of Diphosphine-Protected Gold Cluster Cations Using Magnetron Sputtering Method" Molecules 27, no. 4: 1330. https://doi.org/10.3390/molecules27041330
APA StyleWang, L., Omoda, T., Koyasu, K., & Tsukuda, T. (2022). Controlled Synthesis of Diphosphine-Protected Gold Cluster Cations Using Magnetron Sputtering Method. Molecules, 27(4), 1330. https://doi.org/10.3390/molecules27041330

