Next Article in Journal
Mammalian Cell Spheroids on Mixed Organic–Inorganic Superhydrophobic Coating
Previous Article in Journal
Modulation by Phosphonium Ions of the Activity of Mitotropic Agents Based on the Chemiluminescence of Luminols
Previous Article in Special Issue
Proteomic Research on the Antitumor Properties of Medicinal Mushrooms
 
 
Font Type:
Arial Georgia Verdana
Font Size:
Aa Aa Aa
Line Spacing:
Column Width:
Background:
Article

Synthesis and Antimicrobial, Anticancer and Anti-Oxidant Activities of Novel 2,3-Dihydropyrido[2,3-d]pyrimidine-4-one and Pyrrolo[2,1-b][1,3]benzothiazole Derivatives via Microwave-Assisted Synthesis

by
Aamal A. Al-Mutairi
1,
Hend N. Hafez
2,*,
Abdel-Rhaman B. A. El-Gazzar
2 and
Marwa Y. A. Mohamed
3
1
Chemistry Department, Faculty of Science, Saudi Arabia; Imam Mohammad Ibn Saud Islamic University (IMSIU), P.O. Box 90950, Riyadh 11623, Saudi Arabia
2
Heterocyclic & Nucleosides Unit, Photochemistry Department, National Research Centre, Dokki, Giza 12622, Egypt
3
Biology Department, Faculty of Science, Saudi Arabia; Imam Mohammad Ibn Saud Islamic University (IMSIU), P.O. Box 90950, Riyadh 11623, Saudi Arabia
*
Author to whom correspondence should be addressed.
Molecules 2022, 27(4), 1246; https://doi.org/10.3390/molecules27041246
Submission received: 9 January 2022 / Revised: 6 February 2022 / Accepted: 10 February 2022 / Published: 12 February 2022
(This article belongs to the Special Issue Translational Approach to Antitumor Drugs - 2nd Edition)

Abstract

:
In our attempt towards the synthesis and development of effective antimicrobial, anticancer and antioxidant agents, a novel series of 2,3-dihydropyrido[2,3-d]pyrimidin-4-one 7ae and pyrrolo[2,1-b][1,3]benzothiazoles 9ae were synthesized. The synthesis of 2-(1,3-benzo thiazol-2-yl)-3-(aryl)prop-2-enenitrile (5ae) as the key intermediate was accomplished by a microwave efficient method. Via a new variety oriented synthetic microwave pathway, these highly functionalized building blocks allowed access to numerous fused heteroaromatic such as 7-amino-6-(1,3-benzo thiazol-2-yl)-5-(aryl)-2-thioxo-2,3dihydropyrido [2,3-d]pyrimidin-4(1H)-one 7ae and 1-amino-2-(aryl)pyrrolo[2,1-b][1,3]benzothiazole-3-carbonitrile derivatives 9ae in order to study their antimicrobial and anticancer activity. The present investigation offers effective and rapid new procedures for the synthesis of the newly polycondensed heterocyclic ring systems. All the newly synthesized compounds were evaluated for antimicrobial, anticancer and antioxidant activity. Compounds 7a,d, and 9a,d showed higher antimicrobial activity than cefotaxime and fluconazole while the remaining compounds exhibited good to moderate activity against bacteria and fungi. An anticancer evaluation of the newly synthesized compounds against the three tumor cell lines (lung cell NCI-H460, liver cancer HepG2 and colon cancer HCT-116) exhibited that compounds 7a, d, and 9a,d have higher cytotoxicity against the three human cell lines compared to doxorubicin as a reference drug. These compounds also exhibited higher antioxidant activity and a great ability to protect DNA from damage induced by bleomycin.

1. Introduction

Cancer is one of the most serious health problems globally and is one of the main causes of increases in the death rate. Accordingly, there is an urgent requirement to make more effort to modify drugs and motivate the synthesis of new chemical bioactive compounds that establish improvement through current therapies. Pyrido[2,3-d]pyrimidine is one of the most privileged heterocyclic frameworks in several efficacious pharmacological compounds. Pyrido[2,3-d]pyrimidine ring systems have assorted biological and pharmacological activities such as being analgesic, anti-inflammatory [1,2,3], antitubercular [4], antimicrobial [5,6,7], a threonine tyrosine kinase (TTK) inhibitor [8], an adenosine kinase inhibitor [9], antiviral [10], antioxidant [11,12,13,14], a dihydrofolate reductase inhibitor [15,16], and an efficient glucosidase inhibitor [17,18]. Moreover, the 1,3-benzothiazole nucleus is a highly significant scaffold in the drug design, due to important pharmacological and medicinal activities, such as being antiviral [19], antituberculosis [20], an identifier of selective CB2 receptor ligands [21], antitumor [22,23,24], antimicrobial [25,26,27], anticonvulsant [28], a schistosome BCL-2 inhibitor [29], antidiabetic [30], antioxidant [31], an anti-Alzheimer drug [32] and a urease inhibitor [33] among the heterocyclic compounds containing a pyrimidine and benzothiazole nucleus that exhibits biological activity [34,35,36] (Figure 1).
Accordingly, with all of the previous observations of the biological importance and in continuation of our program in the synthesis of pyrido[2,3-d]pyrimidine [37], this study aims to design and develop highly selective and efficacious antimicrobial and anticancer agents of a novel series of pyrido[2,3-d]pyrimidine derivatives bearing different heterocyclic and aryl moieties such as benzothiazole, thiophene, furan, piperonal, naphthalene, and fluorophenyl as a side chain and various aryl derivatives by the microwave irradiation technique.
We have also reported here the synthesis of pyrrolo[2,1-b][1,3]benzothiazole bearing aryl and heteroaryl derivatives under microwave irradiation in the hope of obtaining novel antimicrobial and anticancer agents with excellent yield. Nowadays, the microwave irradiation method is a steady and attractive method for the synthesis of polycondensed heterocyclic compounds due to rapid, simple, and high yields [38,39].

2. Results

2.1. Chemistry

The synthetic strategy of 2-(1,3-benzothiazol-2-yl)-3-(aryl)prop-2-enenitrile derivatives 5ae includes two steps outlined in Scheme 1. Synthesis of 2-cyano -methyl-1,3-benzothiazol 3 by a newly highly efficient method with high yield (92%) under microwave irradiation at 40 °C for 10 min by the reaction of 2-amino thiophenol 1 with malononitrile 2 in ethanol (10 mL) and acetic acid as a catalyst is compared to the old method with low yield and long reaction time [40]. Knoevenagel condensation of active methylene 3 with appropriate aromatic aldehyde using absolute ethanol in the presence of a catalytic amount of triethylamine under MWI at 60 °C afforded compounds 5ae as shown in Table 1. The progress of the reaction was followed by TLC (petroleum ether (80–90): ethylacetate, ratio: 3:1). The structure of the newly synthesized compounds was established by spectral data and elemental analysis.
Under microwave irradiation conditions, the treatment of the reactive intermediates 5ae with 6-aminothiouracil 6 using triethylamine as a catalyst in absolute ethanol at 100 °C generated the desired product 7ae with (49–53%) yield within 45 min. Interestingly, the use of dimethylformamide instead of ethanol as a solvent without a catalyst at 150 °C afforded the most satisfactory results of the corresponding 7-amino-(1,3-benzothiazol-2-yl)-2-thioxo-2,3-dihydropyrido[2,3-d]pyrimidin-4-one derivatives 7ae in high yield within 25 min as shown in (Table 2).
Nevertheless, heating under reflux of compounds 5ae with 6 whether in DMF or ethanol\TEA for a long time afforded (7ae) as shown in Scheme 2.
A possible mechanism for the formation of 2,3-dihydropyrido[2,3-d]pyrimidin-4-one derivatives (7ae) was proposed in Scheme 3.
In this research, we have also studied the possibility of the multicomponent reaction of 2-cyanomethyl-1,3-benzothiazol 3, 6-aminothiouracil 6, and appropriate aldehydes 4ae under microwave irradiation conditions at 150 °C and TLC control. Pyrido[2,3-d]pyrimidine derivatives 7ae were accumulated, the reaction condition has been established in Table 3. On the other hand, the same reaction was carried out by conventional heating under reflux in DMF as shown in Scheme 2.
Furthermore, in our progression in the development of the highly efficient method in the synthesis of newly fused heterocyclic compounds with expected biological activity. we report the synthesis of novel pyrrolo[2,1-b][1,3]benzothiazole derivatives 9ae, Scheme 4, via microwave-assisted three-component reactions and the evaluation of their cytotoxicity, leading to the discovery of some new heterocycles with potent cytotoxic activity higher than or similar to doxorubicin as standard drug.
Initially, under microwave irradiation of three-component of 2-cyanomethyl -1,3-benzothiazol 3, benzoyl cyanide 8 and, appropriate aldehyde such as 4-fluorobenzaldhyde 4d was employed to optimize the reaction conditions as shown in (Table 4). Firstly, (MWI, 100 °C, 25 min) solvent screening showed that the usage of methanol or ethanol as polar solvents was beneficial while in dichloroethane no reaction occurred (entry 2). The presence of bases also increases the yield percentage as shown in Table 4. DBU was shown to be an effective base catalyst more than TEA. So, EtOH/DBU was preferred as the optimal solvent/catalyst system and 120 °C was selected as the most convenient reaction temperature (Table 4, entry 7) in view of the highest yield of 9d (87%). Under the optimized reaction conditions, various aldehydes 4ae were treated with 2-cyanomethyl-1,3-benzothiazol 3 and benzoyl cyanide 8, as illustrated in Table 4, while treatment of the three components under conventional heating took a long time and afforded a moderate yield.
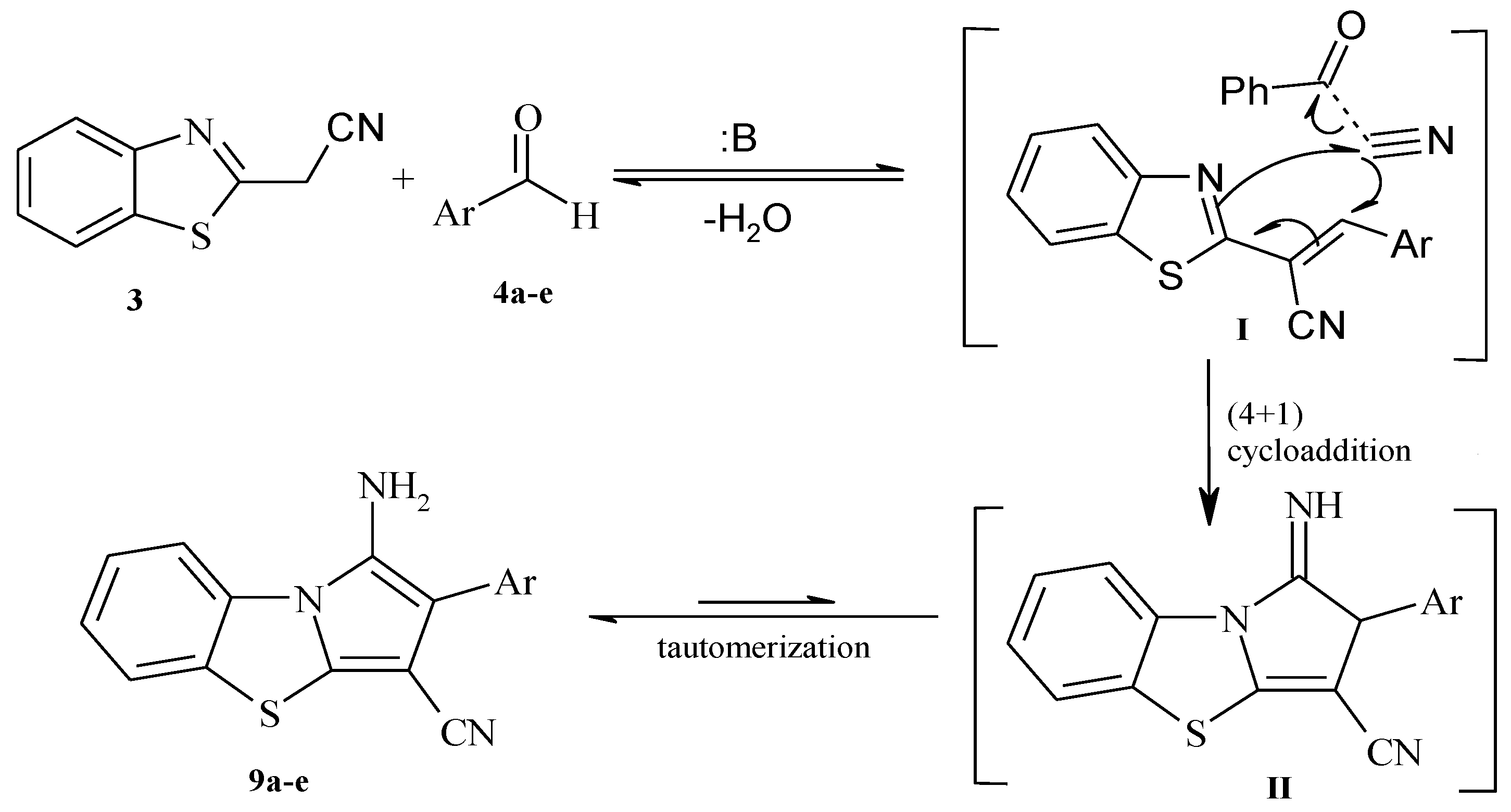
A reasonable reaction mechanism for the synthesis of 1-amino pyrrolobenzothiazole-3-carbonitrile derivatives 9ae is shown in Scheme 5. The reaction involves a base-catalyzed two-step formation of 2-arylidene cyanomethyl 1,3-benzothiazoles via a Knoevenagel condensation between 2-cyanomethyl-1,3-benzothiazol and aldehydes, followed by [4+1] cycloaddition of benzoyl cyanide.
Finally, as illustrated in Table 5, the corresponding products 9ae were successfully achieved in high yield compared with the three-component reaction through the treatment of the reactive intermediates 5ae with benzoyl cyanide 8 under microwave irradiation at 120 °C for 20–25 min in EtOH/DBU, while conventional heating in ethanol/TEA took a long time. As is evident, the yield afforded from the treatment of 5ae with benzoyl cyanide 8 was the best, compared to the yield from multicomponent reactions under microwave irradiation. So, it is now settled that microwaves can greatly speed up reactions and improve overall yield.

2.2. Biological Activities

2.2.1. Antimicrobial Activity and Structure Activity Relationship

The values of MIC of the synthesized compounds against the tested microorganisms are displayed in Table 6 and Table 7. Benzothiazole arylidine derivatives 5ae exhibited good to moderate antimicrobial activities. These derivatives increased the antimicrobial activity when treated with 6-aminothiouracil to afford 2,3-dihydropyrido [2,3-d] pyrimidine-4-one derivatives. The investigations showed significant inhibitory effects against bacteria with the majority of the compounds with MIC values of (4–20 μmol L–1) (Table 6). It was found that compounds 7a,d were found to be more potent against bacteria with MIC value ranging from (4–12 μmol L–1) than cefotaxime with MIC value (6–12 μmol L–1), while compounds 7b, 7c and 7e exhibited good activity against all the bacterial strains. This high efficacy may be attributed to the presence of a benzothiazol and thiophene moiety as compound 7a and the presence of an electron withdrawing group (fluoro) in the para-position of the phenyl ring attached to the pyridopyrimidine backbone 7d. Compound 7a had equipotent activity with MIC (6, 12 μmol L–1) as cefotaxime against Bacillus subtilis and Chlamydia pneumonia, respectively. Compound 7e was also equipotent with MIC (8 μmol L–1) as cefotaxime against Salmonella typhi. Pyrrolo[2,1-b][1,3]benzothiazole derivatives 9ae could effectively inhibit the growth of the tested bacteria strains. Compound 9a was more potent against Staphylococcus aureus while it had equipotent efficacy against Bacillus subtilis and Chlamydia pneumonia to cefotaxime; this was attributed to the presence of pyrrolo [2,1-b][1,3]benzothiazole with thiophene moiety as a side chain. Compound 9d with MIC (4–10 μmol L–1) had exceptional activity toward all bacteria due to the presence of pyrrolobenzothiazole with p-fluorophenyl substituent which increased the antibacterial potency compared to the reference drug. On the other hand, compounds 9b, 9c and 9e exhibited good inhibition activity against all bacterial strains (Table 6).
The newly synthesized compounds were evaluated for their antifungal activity against three fungal strains displayed in (Table 7). Most of the synthesized compounds exhibited good to moderate inhibition activities against all the fungal strains. Compound 9d exhibited more potent activity than fluconazole against Candida albicans and Ganoderma lucidum while it had equipotent activity against Aspergillus flavus. Compound 9a exhibited stronger activity than fluconazole against Candida albicans and excellent activity against Aspergillus flavus and Ganoderma lucidum. Compound 9b had good inhibition activity against Aspergillus flavus and Candida albicans but moderate activity toward Ganoderma lucidum. Compound 9e also had promising activity against all fungal strains.
Compounds 7a,d had good inhibition activity against all fungus, while compounds 5ae, 7b, 7c and 7e exhibited good to moderate activities. The introduction of benzothiazole, thiophene, and p-fluorophenyl moieties to the pyridopyrimidine derivatives and the presence of pyrrolobenzothiazole derivatives with thiophene and p-fluorophenyl side chains might be responsible for the antifungal activity enhancement of these compounds.

2.2.2. Cytotoxicity Screening and Structure Activity Relationship (SAR)

The cytotoxic activity of all the newly synthesized compounds benzothiazole arylidine 5ae, pyrido[2,3-d]pyrimidine 7ae and pyrrolo[2,1-b][1,3] benzothiazole derivatives 9ae were evaluated against three tumor cell lines (human lung cell NCI-H460, liver cancer HepG2 and colon cancer HCT-116) by MTT assay. The three human cancer cell lines were provided by the National Cancer Institute (NCI, Cairo, Egypt). Doxorubicin was used as the positive control. The cytotoxic activities are expressed as the median growth inhibitory concentration (IC50) and are provided in (Table 8). From the results, it is evident that most of the newly synthesized compounds showed potent to moderate cytotoxic activity against the three tumor cell lines. The results of the series of compound 5 indicated that the type of the side chain on the benzothiazole arylidine derivatives occupied significant roles in the cytotoxic activity. Compounds 5a with IC50 values of (3.61, 3.14 and 4.20 μmol L−1) and 5d with IC50 values of (3.04, 3.20 and 3.38 μmol L−1) showed good antitumor activity toward all tumor cell lines, while the other compounds 5b, 5c and 5e exhibited moderate activity in the range of (IC50 = 5.82–10.20 μmol L−1) compared to doxorubicin.
The series of 2,3-dihydropyrido[2,3-d]pyrimidine-4-one derivatives 7ae exhibited higher cytotoxic activity than the series of pyrrolo [2,1-b][1,3] benzothiazole 9ae. Table 8 shows 2,3-dihydropyrido[2,3-d]pyrimidine-4-one 7a containing benzothiazol and thiophene as a biologically active side chain with IC50 values of (0.66, 0.45 and 0.70 μmol L−1), benzothiazol and p-fluorophenyl moieties 7d with IC50 values of (0.28, 0.39 and 0.14 μmol L−1), pyrrolo[2,1-b][1,3]benzothiazole 9a with benzothiazol and thiophene with IC50 values of (1.10, 0.49 and 0.89 μmol L−1), benzothiazol and p-fluorophenyl 9d side chain moieties with IC50 values of (0.45, 0.47 and 0.59 μmol L−1) were found to be more potent and efficacious than the reference drug doxorubicin with IC50 values of (1.98, 0.52 and 1.12 μmol L−1). It was noticeable that the presence of side chain p-fluorophenyl improved the antitumor activity more than thiophene side chain in addition to the basic skeleton.
In addition, 5-methylfuranyl 7b with IC50 values of (2.56, 2.89, 2.68), 5-piperonyl- 2,3-dihydropyrido[2,3-d]pyrimidine-4-one and 7e (2.60, 3.00 and 3.08 μmol L−1) exhibited good cytotoxic effect towards the three tumor cell lines. On the other hand, 5-methylfuranyl 9b with IC50 (3. 20, 3.54 and 3.89 μmol L−1) and 2-piperonyl pyrrolo[2,1-b][1,3]benzothiazole 9e with IC50 (3.90, 4.08 and 4.50 μmol L−1) had good antitumor activity against all tumor cell lines. Compounds with 5-naphthalenyl side chain in both 2,3-dihydropyrido[2,3-d]pyrimidine-4-one 7c and pyrrolo[2,1-b][1,2]benzothiazole 9c showed moderate antitumor activity. From the above structure activity relationships (SAR), the most selective 2,3-dihydropyrido[2,3-d]pyrimidine-4-one and pyrrolo [2,1-b] [1,3]benzothiazole on the studied cancer cell lines were bearing p-fluorophenyl and thiophene moieties. Thus, among the promising candidates against cancer cell lines compounds 7a, 7d, 9a, and 9d ended up being the best pharmacophores for developing a new drug candidate for cancer.
Generally, the type of substituent plays an important role in antitumor activity and the presence of the basic skeleton of fused heterocyclic compounds improves the cytotoxic activity in cancer cells.

2.2.3. Antioxidant Activity Screening Assay

A series of 2,3-dihydropyrido[2,3-d]pyrimidine-4-one 7ae and pyrrolo[2,1-b][1,3] benzothiazole 9ae derivatives were tested for antioxidant activity as reflected in the ability to inhibit lipid peroxidation in rat brain and kidney homogenates by using (3-ethylbenzthiazoline-6-sulfonic acid) ABTS free radical scavenging, see Table 9. Compounds 7a (91.2%), 7d (92.8%) and 9d (90.4%) exhibited potent inhibition higher than Trolox (89.5%), while compound 9a (88.7%) showed nearly equipotent inhibition activity. On the other hand, the remaining compounds 7b, 7c, 7e, 9b, 9c and 9e showed good antioxidant activities Table 9.

2.2.4. Bleomycin-Dependent DNA Damage

The pro-oxidant activities of compounds 7ae and 9ae were assessed by their effects on bleomycin-induced DNA damage. Analysis of the data in Table 9 showed that, compounds 7a (0.053), 7d (0.045), and 9d (0.064) were found to be more potent than the reference drug Trolox (0.067). Moreover, compound 9a (0.069) had almost equipotent activity, that means these compounds have great ability to protect DNA from the damage induced by bleomycin. The rest of compounds 7b, 7c, 7e, 9b, 9c and 9e exhibited excellent protection against DNA damage.

3. Materials and Methods

3.1. Reagents and Materials

Melting points were recorded on an advanced melting point apparatus, SMP30, Stuart (Bibby Scientific, London, UK). Microanalytical data were gathered with a Vario Elementar apparatus (Shimadzu-Japan). Elemental analyses of all compounds were within ± 0.4% of the theoretical values. The IR spectra (KBr) were recorded on a Perkin Elmer 1650 spectrometer (USA). 1H and 13C NMR spectra (500 MHz for 1H and 125 MHz for 13C NMR) were recorded on JEOL ECA-500 (Shimadzu) instruments.
Chemical shifts were expressed in ppm relative to SiMe4 as an internal standard in DMSO-d6 or (CDCl3) as a solvent. Mass spectra were recorded on a 70 eV Finnigan SSQ 7000 spectrometer (Thermo-Instrument System Incorporation, USA). Follow up of the reaction and the purity of the compounds was checked on aluminum plates coated with silica gel (Merck, Germany) on Microwave Advanced Flexible Synthesis Platform 1900 W (flexiWAVE—Milestone, Italy), producing continuous irradiation and equipped with a simultaneous external air-cooling system. Chemicals and solvents (Analar ≥ 99%) were purchased from Sigma-Aldrich (USA).

3.2. Syntheses

  • 2-(1,3-benzothiazol-2-yl)-3-(aryl)prop-2-enenitrile (5ae).
General procedure. A mixture of compound 3 (0.87 g, 5 mmol), (5 mmol) of the appropriate aromatic aldehyde (thiophene-2-carboxaldehyde, 5-methylfuran-carbox- aldhyde, 1-naphthaldhyde, 4-fluorobenzaldhyde, and piperonal) 4ae and TEA in ethanol was subjected to MWI at 60 °C for 4–8 min. The progress of the reaction was followed by TLC (petroleum ether (80–90): ethyl acetate, ratio:3:1). After cooling, solids were obtained, filtered, and recrystallized from a proper solvent to give 5ae, respectively.
  • 2-(1,3-benzothiazol-2-yl)-3-(thiophen-2-yl)prop-2-enenitrile (5a).
Green powder, crystallized from cyclohexane, mp. 153–155 °C; IR (KBr, cm−1); 3108 (CH aryl), 2212 (CN), 1600 (C=N); 1H NMR (500 MHz, CDCl3, δ, ppm); 7.25(s, 1H, thiophene), 7.42 (t, 1H, Ar-H), 7.52 (t, 1H, Ar-H), 7.71 (d, 1H, J = 4.92 Hz, thiophene), 7.82 (d, 1H, J = 5.1 Hz, thiophene), 7.91 (d, 1H, J = 8.01 Hz, Ar-H), 8.05 (d, 1H, J = 8.01 Hz, Ar-H), 8.40 (s, 1H, =CH),; Its MS (m/z), 268 (M+); C14H8N2S2 (268.3); Anal. Calcd.; % C: 62.66, % H: 3.00, % N: 10.44; found % C: 62.64, % H: 2.98, % N: 10.41. (see Supporting Information).
  • 2-(1,3-benzothiazol-2-yl)-3-(5-methylfuran-2-yl)prop-2-enenitrile (5b).
Brown powder, crystallized from ethanol, mp. 150–151 °C; IR (KBr, cm−1); 2934, 2899 (CH aliphatic), 3054 (CH aryl), 2226 (CN), 1588 (C=N); 1H NMR (500 MHz, CDCl3, δ, ppm); 2.44 (s, 3H, CH3), 6.27(d, 1H, J = 5.6 Hz, furan), 7.19 (d, 1H, J = 5.68 Hz, furan), 7.44 (t, 1H, Ar-H), 7.48 (t, 1H, Ar-H), 7.84 (d, 1H, J = 8.10 Hz, Ar-H), 7.92 (s, 1H, =CH), 8.00 (d, 1H, J = 8.10 Hz, Ar-H); Its MS (m/z), 266 (M+); C15H10N2OS (266.3); Anal. Calcd.; % C: 67.65, % H: 3.78, % N: 10.52; found % C: 67.63, % H: 3.75, % N: 10.49.
  • 2-(1,3-benzothiazol-2-yl)-3-(naphthalen-1-yl)prop-2-enenitrile (5c).
Pale yellow powder, crystallized from dioxane, mp. 128–130 °C; IR (KBr, cm−1); 3050 (CH aryl), 2218 (CN), 1587 (C=N); 1H NMR (500 MHz, CDCl3, δ, ppm); 7.61 (t, 1H, Ar-H),7.80 (m, 4H, Ar-H), 8.02 (m, 2H, Ar-H), 8.11 (d, 1H, J = 8.76 Hz, Ar-H), 8.12 (m, 2H, Ar-H), 8.14 (d, 1H, J = 8.76 Hz, Ar-H), 9.08 (s, 1H, =CH); Its MS (m/z), 312 (M+, 80%); C20H12N2S (312.3); Anal. Calcd.; % C: 76.90, % H: 3.87, % N: 8.97; found % C: 76.88, % H: 3.85, % N: 8.94.
  • 2-(1,3-benzothiazol-2-yl)-3-(4-fluorophenyl)prop-2-enenitrile (5d).
Yellow powder, crystallized from ethanol, mp. 161–163 °C; IR (KBr, cm−1); 3054 (CH aryl), 2226 (CN), 1588 (C=N); 1H NMR (500 MHz, CDCl3, δ, ppm); 7.20 (m, 2H, Ar-H), 7.42 (t, 1H, Ar-H), 7.50 (t, 1H, Ar-H), 7.90 (d, 1H, J = 8.10 Hz, Ar-H), 8.04 (m, 3H, Ar-H), 8.19 (s, 1H, =CH); Its MS (m/z), 280 (M+, 73%); C16H9FN2S (280.3); Anal. Calcd.; % C: 68.55, % H: 3.24, % N: 9.99; found % C: 68.54, % H: 3.22, % N: 9.97.
  • 2-(1,3-benzothiazol-2-yl)-3-(piperon-2-yl)prop-2-enenitrile (5e).
Yellow powder, crystallized from dioxane, mp. 222–224 °C; IR (KBr, cm−1); 2938, 2874 (CH aliphatic), 3054 (CH aryl), 2223 (CN), 1587 (C=N); 1H NMR (500 MHz, CDCl3, δ, ppm); 6.08 (s, 2H, O-CH2-O), 6.91 (d, 1H, J = 7.05 Hz, Ar-H), 7.41–7.45 (m, 2H, Ar-H), 7.50–7.51 (t, 1H, Ar-H), 7.73 (s, 1H, Ar-H), 7.89 (d, 1H, J = 6.9 Hz, Ar-H), 8.05 (d, 1H, J = 6.9 Hz, Ar-H), 8.13 (s, 1H, =CH); Its MS (m/z), 306 (M+, 66%); C17H10N2O2S (306.3); Anal. Calcd.; % C: 66.64, % H: 3.92, % N: 9.14; found % C: 66.62, % H: 3.90, % N: 9.13.
  • 7-amino-6-(1,3-benzothiazol-2-yl)-5-(aryl)-2-thioxo-2,3dihydropyrido[2,3-d]pyrimidin-4(1H)-one (7ae).
General procedure: (Method 1) under microwave irradiation.
(Method 1a): A mixture of compounds 5ae (5 mmol) and 6-aminothiouracil 6 (0.7 g, 5 mmol) in DMF was placed in a microwave process vial. The vial was closed and subjected to microwave irradiation for 25 min at 150 °C/or in EtOH/TEA for 45 min at 100 °C. The progress of the reaction was followed by TLC. After cooling to room temperature, the solid formed was filtered off, washed with ethanol, dried, and crystallized from DMF.
(Method 1b): A mixture of 2-cyanomethyl-1,3-benzothiazol 3 (0.87 g, 5 mmol), 6-amino thiouracil 6 (0.7 g, 5 mmol), and appropriate aldehydes 4ae (5 mmol) in DMF was placed in a microwave process vial. The vial was closed and subjected to microwave irradiation for 50 min at 150 °C. The progress of the reaction was followed by TLC. After cooling to room temperature, the solid formed was filtered off, washed with ethanol, dried, and crystallized from DMF.
(Method 2) using conventional heating.
(Method 2a): A mixture of compounds 5ae (10 mmol) and 6-aminothiouracil 6 (1.43 g, 10 mmol) was heated under reflux in DMF/or EtOH/TEA for several hours. The reaction mixture was allowed to cool to room temperature and the solid formed was filtered off, dried, and crystallized from DMF.
(Method 2b): A mixture of 2-cyanomethyl-1,3-benzothiazol 3 (1.74 g, 10 mmol), 6-amino thiouracil 6 (1.43 g, 10 mmol), and appropriate aldehydes 4ae (10 mmol) was heated under reflux in DMF for several hours. The reaction mixture was allowed to cool to room temperature and the solid formed was filtered off, dried, and crystallized from DMF.
  • 7-amino-6-(1,3-benzothiazol-2-yl)-5-(thiophen-2-yl)-2-thioxo-2,3-dihydropyrido[2,3-d]pyrimidin-4(1H)-one (7a).
Brown powder, mp. > 300 °C; IR (KBr, cm−1); 3379, 3273 (NH2, NH), 3074 (CH aryl), 1680 (C=O), 1599 (C=N); 1H NMR (500 MHz, DMSO-d6, δ, ppm); 3.32–3.53 (brs, 1H, NH, D2O exchangeable), 7.19–7.21(m, 2H, Ar-H), 7.23 (m, 1H, Ar-H), 7.44 (brs, 1H, Ar-H), 7.45 (brs, 1H, Ar-H), 7.46 (brs, 1H, Ar-H), 7.59 (brs, 1H, Ar-H), 8.10 (d, 1H, J = 7.45 Hz, Ar-H), 12.31 (brs, 1H, NH), 13.00 (brs, 1H, NH) (NH2, 2NH,D2O exchangeable); 13C-NMR (125 MHz, DMSO-d6) δ ppm: 108.10, 114.00, 115.20, 118.00, 129.00, 130.00, 131.10, 131.50, 132.10, 135.80, 142.10, 149.20, 150.00, 156.80, 159.80, 160.00, 162.00 (C=O), 175.00 (C=S); Its MS (m/z), 409 (M+, 74%); C18H11N5OS3 (409.5); Anal. Calcd.; % C: 52.79, % H: 2.71, % N: 17.10; found % C: 52.76, % H: 2.70, % N: 17.08.
  • 7-amino-6-(1,3-benzothiazol-2-yl)-5-(5-methylfuran-2-yl)-2-thioxo-2,3-dihydropyrido[2,3-d]pyrimidin-4(1H)-one (7b).
Pale red powder, mp. > 300 °C; IR (KBr, cm−1); 3400, 3381 (NH2, NH), 3045 (CH aryl), 2938 (CH aliphatic), 1675 (C=O), 1608 (C=N); 1H NMR (500 MHz, DMSO-d6, δ, ppm); 2.85 (s, 3H, CH3), 3.32 (brs, 2H, NH2 + H2O), 7.20 (d, 1H, J = 6.01 Hz, furan), 7.36–7.44 (m, 4H, Ar-H), 7.93 (d, 1H, J = 6.01 Hz, furan), 12.33, 13.07 (2brs, 2NH) (NH2, 2NH, D2O exchangeable); 13C-NMR (125 MHz, DMSO-d6) δ ppm: 19.50, 108.00, 114.10, 115.00, 118.80, 129.00, 130.00, 131.10, 131.40, 132.00, 135.80, 143.00, 149.20, 153.00, 156.80, 159.80, 162.00, 164.00 (C=O), 176.00 (C=S ); Its MS (m/z), 407 (M+, 70%); C19H13N5O2S2 (407.4); Anal. Calcd.; % C: 56.01, % H: 3.22, % N: 17.19; found % C: 56.00, % H: 3.19, % N: 17.17.
  • 7-amino-6-(1,3-benzothiazol-2-yl)-5-(naphthalen-1-yl)-2-thioxo-2,3-dihydro pyrido[2,3-d]pyrimidin-4(1H)-one (7c).
Yellow powder, mp. > 300 °C; IR (KBr, cm−1); 3373, 3342 (NH2, NH), 3061 (CH aryl), 1678 (C=O), 1597 (C=N); 1H NMR (500 MHz, DMSO-d6, δ, ppm); 3.38 (brs, 2H, NH2), 7.29–7.93 (m, 11H, Ar-H), 11.88 (brs, 1H, NH), 12.76 (brs, 1H, NH) (NH2, 2NH, D2O exchangeable); 13C-NMR (125 MHz, DMSO-d6) δ ppm: 101.61, 110.42, 121.63, 122.90, 125.50, 126.04, 126.39, 126.65, 126.96, 127.46, 128.20, 129.00, 132.00, 133.90, 135.40, 135.90, 152.06, 153.41, 158.16, 160.10, 164.00 (C=O), 176.03 (C=S); Its MS (m/z), 453 (M+, 66%); C24H15N5OS2 (453.5); Anal. Calcd.; % C: 63.56, % H: 3.33, % N: 15.44; found % C: 63.53, % H: 3.31, % N: 15.40.
  • 7-amino-6-(1,3-benzothiazol-2-yl)-5-(4-fluorophenyl)-2-thioxo-2,3-dihydropyrido[2,3-d] pyrimidin-4(1H)-one (7d).
Orange powder, mp. > 300 °C; IR (KBr, cm−1); 3380, 3368 (NH2, NH), 3059 (CH aryl), 1680 (C=O), 1600 (C=N); 1H NMR (500 MHz, DMSO-d6, δ, ppm); 3.05 (br, 2H, NH2), 6.82 (d, 2H, J = 7.9 Hz, Ar-H,), 7.10–7.99 (m, 4H, Ar-H), 8.11 (d, 2H, J = 8.1 Hz, Ar-H), 11.99, 12.69 (brs, 2H, 2NH) (NH2, 2NH, D2O exchangeable); 13C-NMR (125 MHz, DMSO-d6) δ ppm: 112.33, 115.51, 121.97, 122.67, 122.91, 123.16, 125.90, 126.70, 127.34, 131.88, 131.95, 133.41, 148.24, 152.20, 153.57, 153.74, 158.60, 159.71, 164.20 (C=O), 175.99 (C=S); Its MS (m/z), 421 (M+, 89%); C20H12FN5OS2 (421.4); Anal. Calcd.; % C: 56.99, % H: 2.87, % N: 16.62; found % C: 56.97, % H: 2.84, % N: 16.60.
  • 7-amino-5-(piperon-2-yl)-6-(1,3-benzothiazol-2-yl)-2-thioxo-2,3-dihydropyrido[2,3-d]pyrimidin-4(1H)-one (7e).
Pale yellow powder, mp. > 300 °C; IR (KBr, cm−1); 3370, 3278 (NH2, NH), 3040 (CH aryl), 2924 (CH aliphatic), 1678 (C=O), 1608 (C=N); 1H NMR (500 MHz, DMSO-d6, δ, ppm); 6.08 (s, 2H, O-CH2-O), 6.90 (d, 1H, J = 6.9 Hz, Ar-H), 7.41–7.45 (m, 2H, Ar-H), 7.50–7.51 (m, 1H, Ar-H), 7.73 (s, 1H, Ar-H), 7.88 (d, 1H, J = 6.9 Hz, Ar-H), 8.05 (d, 1H, J = 7.01 Hz, Ar-H), 8.12, 9.63 and 9.73 (brs, 4H, NH2 and 2NH), (NH2, 2NH,D2O exchangeable); 13C-NMR (125 MHz, DMSO-d6) δ ppm: 102.10 (O-CH2-O), 108.00, 115.00, 118.20, 123.00, 128.00, 130.00, 132.10, 136.00, 142.00, 133.41, 153.00, 153.20, 156.40, 158.00, 162.00, 165.00, 166.00 (C=O), 175.99 (C=S); Its MS (m/z), 446 (M+, 71%); C21H13N5O3S2 (447.4); Anal. Calcd.; % C: 56.36, % H: 2.93, % N: 15.65; found % C: 56.33, % H: 2.92, % N: 15.64.
  • 1-amino-2-(aryl)pyrrolo[2,1-b][1,3]benzothiazole-3-carbonitrile (9ae).
General procedure: (Method 1) under microwave irradiation.
(Method 1a): A mixture of 2-cyanomethyl-1,3-benzothiazol 3 (0.87 g, 5 mmol), benzoyl cyanide 8 (0.65 g, 5 mmol) and appropriate aldehyde 4ae (5 mmol) in EtOH/DBU was placed in a microwave process vial. The vial was closed and subjected to microwave irradiation for 25 min at 120 °C. Cooling the mixture to room temperature the solid precipitate was collected by filtration, dried and crystallized from dioxane.
(Method 1b): A mixture of compounds 5ae and benzoyl cyanide 8 in EtOH/DBU was placed in a microwave process vial. The vial was closed and subjected to microwave irradiation for (20–25) min at 120 °C. Cooling the mixture to room temperature, the solid precipitate was collected by filtration, dried and crystallized from dioxane.
(Method 2) using conventional heating.
(Method 2a): A mixture of 2-cyanomethyl-1,3-benzothiazol 3 (5 mmol), benzoyl cyanide 8 (5 mmol) and appropriate aldehyde 4ae was heated under reflux in ethanol and trimethylamine for an appropriate time. The reaction mixture was allowed to cool to room temperature and the solid formed was filtered off, dried and crystallized from dioxane.
(Method 2b): A mixture of compounds 5ae (5 mmol) and benzoyl cyanide 8 (5 mmol) was heated under reflux in ethanol and trimethylamine for an appropriate time. The reaction mixture was allowed to cool to room temperature and the solid formed was filtered off, dried and crystallized from dioxane.
  • 1-amino-2-(thiophen-2-yl)pyrrolo[2,1-b][1,3]benzothiazole-3-carbonitrile (9a).
Deep yellow powder, mp. 255–257 °C; IR (KBr, cm−1); 3420, 3412 (NH2), 3068 (CH aryl), 2249 (CN); 1H NMR (500 MHz, DMSO-d6, δ, ppm); 7.19 (s, 1H, Ar-H), 7.38–7.69 (m, 2H, Ar-H), 7.78–7.85 (m, 2H, Ar-H), 7.87 (m, 1H, Ar-H), 8.02 (m, 1H, Ar-H), 8.34 (brs, NH, D2O exchangeable); 13C-NMR (125 MHz, DMSO-d6) δ ppm: 102.20 (CN), 121.74, 123.43, 125.88, 127.00, 128.57, 133.35, 135.08, 135.53, 136.97, 138.83, 153.74, 162.38. Its MS (m/z), 295 (M+, 90%); C15H9N3S2 (295.3); Anal. Calcd.; % C: 60.99, % H: 3.07, % N: 14.23; found % C: 60.97, % H: 3.07, % N: 14.21.
  • 1-amino-2-(5-methylfuran-2-yl)pyrrolo[2,1-b][1,3]benzothiazole-3-carbonitrile (9b).
Brown powder, mp. 232–234 °C; IR (KBr, cm−1); 3415, 3409 (NH2), 3090 (CH aryl), 2233 (CN); 1H NMR (500 MHz, DMSO-d6, δ, ppm); 2.85 (s, 3H, CH3), 7.20 (d, 1H, J = 5.9 Hz, furan), 7.22 -7.44 (m, 4H, Ar-H), 7.93 (d, 1H, J = 5.9 Hz, furan), 12.33 (d, NH, D2O exchangeable); 13C-NMR (125 MHz, DMSO-d6) δ ppm: 22.50 (CH3), 92.32 (CN), 100.00, 102.99, 115.84, 128.36, 130.03, 133.57, 136.77, 158.67, 159.08, 159.44, 161.71. Its MS (m/z), 293 (M+, 94%); C16H11N3OS (293.3); Anal. Calcd.; % C: 65.51, % H: 3.78, % N: 14.32; found % C: 65.50, % H: 3.76, % N: 14.29.
  • 1-amino-2-(naphthalen-1-yl)pyrrolo[2,1-b][1,3]benzothiazole-3-carbonitrile (9c).
Pale red powder, mp. 260–262 °C; IR (KBr, cm−1); 3430, 3411 (NH2), 3100 (CH aryl), 2235(CN); 1H NMR (500 MHz, DMSO-d6, δ, ppm); 7.45–7.58 (m, 5H, Ar-H), 7.91 (m, 2H, Ar-H), 7.99 (m, 2H, Ar-H), 8.12 (m, 1H, Ar-H) 8.30 (m, 1H, Ar-H), 9.03 (brs, NH, D2O exchangeable); 13C-NMR (125 MHz, DMSO-d6) δ ppm: 109.00 (CN), 121.83, 123.26, 123.88, 125.61, 126.23, 126.84, 127.10, 127.66, 127.82, 129.22, 129.52, 132.55, 144.78, 153.75, 162.45. Its MS (m/z), 339 (M+, 81%); C21H13N3S (339.4); Anal. Calcd.; % C: 74.31, % H: 3.86, % N: 12.38; found % C: 74.30, % H: 3.84, % N: 12.36.
  • 1-amino-2-(4-fluorophenyl)pyrrolo[2,1-b][1,3]benzothiazole-3-carbonitrile (9d).
Yellow powder, mp. 269–270 °C; IR (KBr, cm−1); 3439, 3418 (NH2), 3098 (CH aryl), 2250(CN); 1H NMR (500 MHz, DMSO-d6, δ, ppm); 7.25 (d, 2H, Ar-H, J = 8.00), 7.40–7.62 (m, 2H, Ar-H), 7.85 (d, 2H, J = 7.98, Ar-H), 8.00 -8.15 (m, 2H, Ar-H), 9.49 (brs, 2H, NH2, D2O exchangeable); 13C-NMR (125 MHz, DMSO-d6) δ ppm: 90.54 (CN), 115.65, 121.83, 128.33, 130,16, 133.84, 135.74, 141.12, 141.58, 144.78, 154.77, 157.98, 158.09, 161.35. Its MS (m/z), 307 (M+, 88%); C17H10FN3S (307.3); Anal. Calcd.; % C: 66.43, % H: 3.28, % N: 13.67; found % C: 66.40, % H: 3.26, % N: 13.66.
  • 1-amino-2-(piperon-2-yl)pyrrolo[2,1-b][1,3]benzothiazole-3-carbonitrile (9e).
White powder, mp. 248–250 °C; IR (KBr, cm−1); 3429, 3409 (NH2), 3080 (CH aryl), 2985, 2868 (CH aliphatic), 2253(CN); 1H NMR (500 MHz, DMSO-d6, δ, ppm); 6.08 (s, 2H, O-CH2-O), 7.41–7.51 (m, 3H, Ar-H), 7.73 (s, 1H, Ar-H), 7.88–7.89 (m, 1H, Ar-H), 8.04–8.12 (m, 2H, Ar-H), 9.42 (brs, 2H, NH2, D2O exchangeable); 13C-NMR (125 MHz, DMSO-d6) δ ppm: 92.32 (CN), 102.99, 115.84, 128.36, 130.03, 133.57, 136.77, 158.67, 159.08, 159.44, 161.71, 162.00, 162.89. Its MS (m/z), 333 (M+, 92%); C18H11N3O2S (333.3); Anal. Calcd.; % C: 64.85, % H: 3.33, % N: 12.60; found % C: 64.83, % H: 3.30, % N: 12.58.

3.3. Biological Evaluation

3.3.1. Antimicrobial Activity

The antimicrobial activity of the series of newly synthesized compounds 5ae, 7ae and 9ae was evaluated in vitro against three Gram-positive bacteria Staphylococcus aureus ATCC-23444, Streptococcus pneumonia ATCC 22038 and Bacillus subtilis ATCC 24431, three Gram-negative bacteria Chlamydia pneumoniae ATCC-26452, Escherichia coli MTCC 23489, and Salmonella typhi ATCC 24351 as well as three fungi Aspergillus flavus (ATCC-24866, Candida albicans ATCC 24328 and Ganoderma lucidum ATCC-46816. All microorganisms were purchased from the American Type Culture Collection (Manassas, VA, USA). Using agar disk diffusion technique [41], using cefotaxime (109.8 μmol L–1) and fluconazole (15.313 μmol L–1) as reference drugs for antibacterial and antifungal activity, respectively. A solution of 100 µg mL–1 of the test compound was applied to microplate-wells, 1 cm in diameter. Inhibition zones were measured with calipers or automated scanners after 24 h incubation at 37 °C and compared with the standard. Minimum inhibitory concentration (MIC μmol L–1), of all synthesized compounds was carried out by using serial plate dilution technique [42]. Serial dilutions were prepared from the stock solution by dissolving 5 mg of each test compound in 1 mL of DMSO. The plates were incubated at 37 °C for 24 h. DMSO was used as a solvent control which had no effect on bacterial growth. Results of antimicrobial activities are summarized in Table 6 and Table 7.

3.3.2. Antitumor Activity

Human carcinoma cell lines (lung cell NCI-H460, liver cancer HepG2 and colon cancer HCT-116) were provided by the National Cancer Institute (NCI, Cairo, Egypt). (FBS) fetal bovine serum from Gibco Invitrogen Co. (UK). Dimethyl sulfoxide (DMSO) and doxorubicin were from Sigma Chemical Co. (USA).

In Vitro Anticancer Activity by MTT Assay

Cell culture: All the synthesized compounds were tested in vitro for anticancer activity against three tumor cell lines (lung cell NCI-H460, liver cancer HepG2 and colon cancer HCT-116). Cells were cultured in humidified atmosphere at 37 °C with 5% CO2. The cell density was 2 × 103 seeded in a 96-multiwell plate in 0.1mL DMEM (Dulbecco’s Modified Eagle’s Medium) supplemented with 10% (FBS) fetal bovine serum for 24 h. The tested compounds were dissolved in DMSO as a stock solution (0.1 mol L–1). After 48 h of incubation, cells were treated with different concentrations of the tested compounds (5, 12, 25, and 50 μmol L−1). The medium cells of the control group contained 0.2% DMSO. For each individual dose triplicate wells were performed. To each well, MTT in phosphate buffered saline (PBS, 5 mg/mL) was added and incubated for 4 h at 37 °C. After that, MTT reagent was removed and added (DMSO, 100 µL) to each well to dissolve formazan crystals. A measure of 100μM of Doxorubicin was used as a standard drug and the optical density was determined at 570 nm with a DTX 880 multimode detector. The calculation of the IC50 was done by performing 4 concentrations of the compounds on the cells in triplicate and the results were analyzed using SPSS software (Version 20.0).

3.3.3. Antioxidant ABTS•+ Radical Activity

The ABTS+ isolation activity was described by Dorman and Hiltunen [43]. A sample (2 mM) of ABTS (3-ethylbenzthiazoline-6-sulfonic acid) was treated with potassium persulfate (2.45 mM) to produce ABTS+ solution and then incubated in dark room at room temperature for 16 h. The absorbance (A0) of the resulting green-blue solution (ABTS+) was adjusted before use at 0.7 ± 0.05 nm at λ 734 nm. The solution of (50 µL of 2 mM) of the tested compounds in spectroscopic grade MeOH/phosphate buffer (1:1) was treated with ABTS+. Afterwards, the absorbance (A1) was measured, then the % inhibition was calculated as
ABTS•+ scavenging effect % = [(A0 − A1)\A1] × 100
Trolox was used as standard antioxidant (positive control). The results (IC50 value) were calculated.

3.3.4. Bleomycin-Dependent DNA Damage

Assay mixtures [44] contained DNA (0.5 mg/mL), bleomycin sulfate (0.05 mg/mL), FeCl3 (50 mM), MgCl2 (5 mM), and selected synthesized compounds to be examined at different concentrations. To start the reaction, Trolox was added which was used as positive control and was incubated at 37 °C for 1 h. After the incubation period, 0.05 mL of EDTA (0.1 M) was added to terminate the reaction. the addition of 0.5 mL of (TBA) thiobarbituric acid (1%, w/v) and 0.5 mL HCI (25%, v/v) then heated in the water bath for 10 min at 80 °C to assay DNA damage. the extent of DNA damage was measured after centrifugation, by the increase in absorbance at 532 nm.

4. Conclusions

The present investigation offers effective and rapid new procedures for the synthesis of the newly polycondensed heterocyclic ring systems. All the newly synthesized compounds showed antimicrobial activity against bacteria and fungi. Among the synthesized compounds, compounds 7a,d, and 9a,d showed more potent inhibitory activities than cefotaxime and fluconazole while the remaining compounds exhibited good to moderate activity against bacteria and fungi. Compounds 7a,d, and 9a,d also exhibited higher cytotoxicity for all tested cell lines compared to doxorubicin. These derivatives exhibited higher antioxidant activity compared to Trolox, also manifested the best protective effect against DNA damage induced by Bleomycin. Based on the anticancer and antioxidant activity, we can consider 2,3-dihydropyrido[2,3-d]pyrimidine-4-one and pyrrolo[2,1-b][1,3]benzothiazole as highly potential molecules for the development of novel anticancer drugs.

Supplementary Materials

The following are available online. Figure S1. 1H-NMR and 13C-NMR spectra for all compounds.

Author Contributions

Conceptualization, H.N.H. and A.-R.B.A.E.-G.; methodology, H.N.H. and A.-R.B.A.E.-G.; validation, H.N.H.; A.-R.B.A.E.-G.; A.A.A.-M. and M.Y.A.M.; formal analysis, H.N.H.; A.-R.B.A.E.-G.; A.A.A.-M. and M.Y.A.M.; investigation, H.N.H. and A.-R.B.A.E.-G.; data curation, H.N.H.; A.-R.B.A.E.-G. and A.A.A.-M.; writing—original draft preparation, H.N.H. writing—review and editing, H.N.H. and A.-R.B.A.E.-G.; visualization and supervision, H.N.H. and A.-R.B.A.E.-G.; All authors have read and agreed to the published version of the manuscript.

Funding

This research received no external funding.

Informed Consent Statement

Not applicable.

Data Availability Statement

The data presented in this study are available.

Acknowledgments

This research was supported by the Deanship of Scientific Research, Imam Mohammad Ibn Saud Islamic University, Saudi Arabia, Grant No. (20-13-12-027). The authors are grateful to the Micro-Analytical Unit, National Research center, Cairo, Egypt, for micro-analytical data, IR, NMR and mass spectra. The authors also are grateful to the staff of the Bacteriology and pharmacology Laboratory, National Research Center (Cairo, Egypt). We also thank the antitumor Evaluation Branch of the National Cancer Institute (Cairo, Egypt) for performing biological evaluations.

Conflicts of Interest

The authors declare no conflict of interest.

Sample Availability

Samples of the compounds are not available from authors.

References

  1. El-Gazzar, A.B.A.; Hafez, H.N. Synthesis of new 4-substituted pyrido[2,3-d]pyrimidin-4(1H)-ones and their evaluation for anti-inflammatory and analgesic activities. Bioorg. Med. Chem. Lett. 2009, 19, 3392–3397. [Google Scholar] [CrossRef] [PubMed]
  2. Dasari, S.R.; Tondepu, S.; Vadali, L.R.; Seelam, N. PEG-400 mediated an efficient eco-friendly synthesis of new isoxazolyl pyrido[2,3-d]pyrimidines and their anti-inflammatory and analgesic activity. Synth. Commun. 2020, 50, 2950–2961. [Google Scholar] [CrossRef]
  3. Rani, N.V.; Kunta, R. PEG-400 promoted a simple, efficient and eco-friendly synthesis of functionalized novel isoxazolyl pyrido[2,3-d] pyrimidines and their antimicrobial and anti-inflammatory activity. Synth. Commun. 2021, 51, 1171–1183. [Google Scholar] [CrossRef]
  4. Rajesh, S.M.; Kumar, R.S.; Libertsen, L.A.; Perumal, S.; Yogeeswari, P.; Sriram, D. A green expedient synthesis of pyridopyrimidine-2-thiones and their antitubercular activity. Bioorg. Med. Chem. Lett. 2011, 21, 3012–3016. [Google Scholar] [CrossRef] [PubMed]
  5. Ibrahim, M.A.; Al-Harbi, S.A.; Allehyani, E.S. Construction, characterization, and antimicrobial evaluation of the novel heteroannulated chromeno [2′′,3′′:6′,5′] pyrido [2′,3′-d] [1,3] thiazolo[3,2-a]pyrimidines. J. Heterocycl. Chem. 2021, 58, 241–249. [Google Scholar] [CrossRef]
  6. Abdelhameed, R.M.; Darwesh, O.M.; El-Shahat, M. Synthesis of arylidene hydrazinyl pyrido [2,3-d] pyrimidin -4- ones as potent anti-microbial agents. Heliyon 2020, 6, e04956. [Google Scholar] [CrossRef] [PubMed]
  7. Elsaedanya, S.K.; Zeinb, M.A.; AbdElRehimb, E.M.; Keshk, R.M. Synthesis and Biological Activity Studies of Novel Pyrido[2,3-d]pyrimidines and Pyrido[2,3-d] triazines. Russ. J. Bioorg. Chem. 2021, 47, 552–560. [Google Scholar] [CrossRef]
  8. Huang, M.; Huang, Y.; Guo, J.; Yu, L.; Chang, Y.; Wang, X.; Luo, J.; Huang, Y.; Tu, Z.; Lu, X.; et al. Pyrido[2,3-d]pyrimidin-7(8H)-ones as new selective orally bioavailable Threonine Tyrosine Kinase (TTK) inhibitors. Eur. J. Med. Chem. 2021, 211, 113023. [Google Scholar] [CrossRef] [PubMed]
  9. Zheng, Z.G.; Mao, Y.; Lee, H.C.; Pratt, J.K.; Koenig, J.R.; Perner, R.J.; Cowart, M.D.; Gfesser, G.A.; Steve, M.; Chu, K.L.; et al. Adenosine kinase inhibitors: Polar 7-Substitutent of Pyridopyrimidine derivatives improving their locomotor selectivity. Bioorg. Med. Chem. Lett. 2003, 13, 3041–3044. [Google Scholar] [CrossRef]
  10. DeGoey, D.A.; Betebenner, D.A.; Grampovnik, D.J.; Liu, D.; Pratt, J.K.; Tufano, M.D.; He, W.; Krishnan, P.; Pilot-Matias, T.J.; Marsh, K.C.; et al. Discovery of pyrido[2,3-d]pyrimidine-based inhibitors of HCV NS5A. Bioorg. Med. Chem. lett. 2013, 23, 3627–3630. [Google Scholar] [CrossRef] [PubMed]
  11. Gouda, M.A.S.; Salem, M.A.I.; Mahmoud, N.F.H. 3D-pharmacophore study molecular docking and synthesis of pyrido[2,3-d]pyrimidine-4(1H) dione derivatives with in vitro potential anticancer and antioxidant activities. J. Heterocycl. Chem. 2020, 57, 3988–4006. [Google Scholar] [CrossRef]
  12. Khajouei, M.R.; Khodarahmi, G.; Ghaderi, A. Synthesis and cytotoxic evaluation of some novel 3-[2-(2-phenyl-thiazol-4-yl)-ethyl]-3H-pyrido[2,3-d]pyrimidin-4-one derivatives. Res. Pharm Sci. 2021, 16, 455–463. [Google Scholar]
  13. Dangolani, S.K.; Panahi, F.; Tavaf, Z.; Nourisefat, M.; Yousefi, R.; Khalafi-Nezhad, A. Synthesis and Antioxidant Activity Evaluation of Some Novel Aminocarbonitrile Derivatives Incorporating Carbohydrate Moieties. ACS Omega 2018, 3, 10341–10350. [Google Scholar] [CrossRef] [PubMed]
  14. Medjdoub, A.; Belhadj, F.; Merzouk, A.S.; Hamed, Y.B.; Kibou, Z.; Braham, N.C.; Merzouk, H. In vitro peripheral blood mononuclear cell proliferation, cytokine secretion and oxidative stress modulation by pyrido[2,3-d] pyrimidines. Chem. Pap. 2020, 74, 903–913. [Google Scholar] [CrossRef]
  15. Gangjee, A.; Adaira, O.; Queenerb, S.F. Synthesis of 2,4-Diamino-6-(thioarylmethyl) pyrido [2,3-d]pyrimidines as Dihydrofolate Reductase Inhibitors. Bioorg. Med. Chem. 2001, 9, 2929–2935. [Google Scholar] [CrossRef]
  16. Wang, M.; Yang, J.; Yuan, M.; Xue, L.; Li, H.; Tian, C.; Wang, X.; Liu, J.; Zhang, Z. synthesis and antiproliferative activity of a series of novel 6-substituted pyrido[3,2-d]pyrimidines as potential nonclassical lipophilic antifolates targeting dihydrofolate reductase. Eur. J. Med. Chem. 2017, 10, 88–97. [Google Scholar] [CrossRef] [PubMed]
  17. Panahi, F.; Yousefi, R.; Mehraban, M.H.; Khalafi-Nezhad, A. Synthesis of new pyrimidine-fused derivatives as potent and selective antidiabetic α- glucosidase inhibitors. Carbohydr. Res. 2013, 380, 81–91. [Google Scholar] [CrossRef] [PubMed]
  18. Adib, M.; Peytam, F.; Rahmanian-Jazi, M.; Mahernia, S.; Larijani, B. New 6-amino- pyrido[2,3-d] pyrimidine -2,4-diones as novel agents to treat type2 diabetes:A simple and efficient synthesis, α-glucosidase inhibition, molecular modeling and kinetic study. Eur. J. Med. Chem. 2018, 155, 353–363. [Google Scholar] [CrossRef]
  19. Maus, H.; Barthels, F.; Hammerschmidt, S.J.; Kopp, K.; Millies, B.; Gellert, A.; Ruggieri, A.; Schirmeister, T. SAR of novel benzothiazoles targeting an allosteric pocket of DENV and ZIKV NS2B/NS3 proteases. Bioorg. Chem. 2021, 47, 116392. [Google Scholar] [CrossRef] [PubMed]
  20. Dhameliya, T.M.; Tiwari, R.; Banerjee, A.; Pancholia, S.; Chakraborti, A.K. Benzo[d]thiazole-2-carbanilides as new anti-TB chemotypes: Design, synthesis, biological evaluation, and structure-activity relationship. Eur. J. Med. Chem. 2018, 155, 364–380. [Google Scholar] [CrossRef]
  21. Aly, M.W.; Ludwig, F.-A.; Deuther-Conrad, W.; Brust, P.; Abadi, A.H.; Moldovan, R.-P.; Osman, N.A. Development of fluorinated and methoxylated benzothiazole derivatives as highly potent and selective cannabinoid CB2 receptor ligands. Bioorg. Chem. 2021, 114, 105191. [Google Scholar] [CrossRef] [PubMed]
  22. Wang, Z.; Shi, X.; Wang, J. Synthesis, structure-activity relationships and preliminary antitumor evaluation of benzothiazole-2-thiol derivatives as novel apoptosis inducers. Bioorg. Med. Chem. Lett. 2011, 21, 1097–1101. [Google Scholar] [CrossRef] [PubMed]
  23. Tokala, R.; Mahajan, S.; Kiranmai, G.; Sigalaplli, D.K.; Stephy, S.S.; John, E.; Nagesh, N.; Shankaraiah, N. Development of β-carboline-benzothiazole hybrids via carboxamide formation as cytotoxic agents: DNA intercalative topoisomerase IIα inhibition and apoptosis induction. Bioorg. Chem. 2021, 106, 104481. [Google Scholar] [CrossRef] [PubMed]
  24. Almehmadi, M.A.; Aljuhani, A.; Alraqa, S.Y.; Ali, I.; Rezki, N.; Aouad, M.R.; Hagar, M. Design, synthesis, DNA binding, modeling, anticancer studies and DFT calculations of Schiff bases tethering benzothiazole-1,2,3-triazole conjugates. J. Mol. Struct. 2021, 1225, 129148. [Google Scholar] [CrossRef]
  25. Catalano, A.; Rosato, A.; Salvagno, L.; Iacopetta, D.; Ceramella, J.; Fracchiolla, G.; Sinicropi, M.S.; Franchini, C. Benzothiazole-Containing Analogues of Triclocarban with Potent Antibacterial Activity. Antibiotics 2021, 10, 803. [Google Scholar] [CrossRef] [PubMed]
  26. Alkhafaji, M.N.A.M.; Aljamali, D.N.M. Preparation of Benzothiazole-Formazane Reagents and Studying of (Spectral, Thermal, Scanning Microscopy, Biological Evaluation). Int. J. Pharm. Res. 2021, 13, 4290–4300. [Google Scholar]
  27. Sahu, P.K.; Sahu, P.K.; Lal, J.; Thavaselvam, D.; Agarwal, D. A facile green synthesis and in vitro antimicrobial activity 4H pyrimido[2,1-b][1,3]benzothiazole derivatives using aluminum trichloride under solvent free conditions. Med. Chem. Res. 2012, 21, 3826–3834. [Google Scholar] [CrossRef]
  28. Amir, M.; Asif, S.; Ali, I.; Hassan, M.Z. synthesis of benzothiazole derivatives having acetamido and carbothioamido pharmacophore as anticonvulsant agents. Med. Chem. Res. 2012, 21, 2661–2670. [Google Scholar] [CrossRef]
  29. Nguyen, W.; Lee, E.F.; Evangelista, M.; Lee, M.; Harris, T.J.; Colman, P.M.; Smith, N.A.; Williams, L.B.; Jarman, K.E.; Lowes, K.N.; et al. Optimization of Benzothiazole and Thiazole Hydrazones as Inhibitors of Schistosome BCL-2. ACS Infect. Dis. 2021, 7, 1143–1163. [Google Scholar] [CrossRef]
  30. Patil, V.S.; Nandre, K.P.; Ghosh, S.; Rao, V.J.; Chopade, B.A.; Sridhar, B.; Bhosale, S.V.; Bhosale, S.V. Synthesis, crystal structure and antidiabetic activity of substituted (E)-3-(Benzo [d]thiazol-2-ylamino) phenylprop-2-en-1-one. Eur. J. Med. Chem. 2013, 59, 304–309. [Google Scholar] [CrossRef] [PubMed]
  31. Prakash, S.; Somiya, G.; Elavarasan, N.; Subashini, K.; Kanaga, S.; Dhandapani, R.; Sivanandam, M.; Kumaradhas, P.; Thirunavukkarasu, C.; Sujatha, V. Synthesis and characterization of novel bioactive azo compounds fused with benzothiazole and their versatile biological applications. J. Mol. Struct. 2021, 1224, 129016. [Google Scholar] [CrossRef]
  32. Nepovimova, E.; Svobodova, L.; Dolezal, R.; Hepnarova, V.; Junova, L.; Jun, D.; Korabecny, J.; Kucera, T.; Gazova, Z.; Motykova, K.; et al. Tacrine—Benzothiazoles: Novel class of potential multitarget anti-Alzheimeŕs drugs dealing with cholinergic, amyloid and mitochondrial systems. Bioorg. Chem. 2021, 107, 104596. [Google Scholar] [CrossRef]
  33. Özil, M.; Tuzcuoğlu, Ö.; Emirik, M.; Baltaş, N. Developing a scaffold for urease inhibition based on benzothiazoles: Synthesis, docking analysis, and therapeutic potential. Arch. Pharm. 2021, 354, e2100200. [Google Scholar] [CrossRef] [PubMed]
  34. Kamal, Ä.; Ashraf, M.; Vishnu Vardhan, M.V.P.S.; Faazil, S.; Lakshma Nayak, V. Synthesis and anticancer potential of benzothiazole linked phenylpyridopyrimidinones and their diones as mitochondrial apoptotic inducers. Bioorg. Med. Chem. lett. 2014, 24, 147–151. [Google Scholar] [CrossRef] [PubMed]
  35. Shi, F.; Ding, J.; Zhang, S.; Hao, W.-J.; Cheng, C.; Tu, S. Substrate-controlled chemoselective synthesis and potent cytotoxic activity of novel 5,6,7-triarylpyrido[2,3-d]pyrimidin-4-one derivatives. Bioorg. Med. Chem. lett. 2011, 21, 1554–1558. [Google Scholar] [CrossRef]
  36. Kumbhare, M.R.; Kumar, V.K.; Ramaiah, J.M. Synthesis and biological evaluation of novel Mannich bases of 2-arylimidazo[2,1- b]benzothiazoles as potential anti-cancer agents. Eur. J. Med. Chem. 2011, 46, 4258–4266. [Google Scholar] [CrossRef] [PubMed]
  37. El-Gazzar, A.B.A.; Hafez, H.N.; Zaki, M.E.A.; Aly, A.S. Synthesis and Preliminary Antimicrobial Activity of New Pyrimido[4,5-b]quinolone, and Pyrido[2,3-d]pyrimidine. Phosphorus Sulfur Silicon Relat. Elem. 2008, 183, 2119–2138. [Google Scholar] [CrossRef]
  38. Ashok, D.; Ganesh, A.; Ravi, S.; Lakshmi, V.B.; Ramesh, B. Solvent free microwave assisted synthesis of (E)-1-{3-[2-(9-Ethyl-9H-carbazol-3-yl)vinyl] benzofuran-2-yl}-2,2-dimethylpropan-1-ones and their antimicrobial activity. Russ. J. Gen. Chem. 2014, 84, 2211–2217. [Google Scholar] [CrossRef]
  39. Hafez, H.N.; Al- Hussain, S.; El-Gazzar, A.B.A. One-Pot Microwave Synthesisof Pyrimido[4,5-b]quinoline and its C- and S- Glycosides with Anti-Inflammatory and Anticancer Activities. Croat. Chem. Acta 2016, 89, 285–296. [Google Scholar] [CrossRef]
  40. Saito, K.; Kambe, S.; Nakano, Y. Synthetic studies using α,β-unsaturated nitriles: A convenient preparation of 1,3-benzothiazole derivatives. Synthesis 1983, 3, 210–212. [Google Scholar] [CrossRef]
  41. Nijs, A.; Cartuyvels, R.; Mewis, A.; Peeters, V.; Rummens, J.L.; Magerman, K. Comparison and Evaluation of Osiris and Sirscan 2000 Antimicrobial Susceptibility Systems in the Clinical Microbiology Laboratory. J. Clin. Microbiol. 2003, 41, 3627–3630. [Google Scholar] [CrossRef] [PubMed] [Green Version]
  42. Naeimi, H.; Nazifi, Z.S.; Amininezhad, S.M.; Amouheidari, M. Synthesis, characterization and in vitro antimicrobial activity of some new Schiff bases and their complexes. J. Antibiot. 2013, 66, 687–689. [Google Scholar] [CrossRef] [PubMed] [Green Version]
  43. Dorman, H.J.D.; Hiltunen, R. Fe(III) reductive and free radical-scavenging properties of summer savory (Satureja hortensis L.) extract and subfractions. Food Chem. 2004, 88, 193–199. [Google Scholar] [CrossRef]
  44. Aeschlach, R.; Loliger, J.; Scott, B.C.; Murcia, A.; Butler, J.; Halliwell, B.; Aruoma, O. Antioxidant actions of thymol, carvacrol, 6-gingerol, zingerone and hydroxytyrosol. Food Chem. Toxicol. 1994, 32, 31–36. [Google Scholar] [CrossRef]
Figure 1. Chemical structure of biologically active compounds.
Figure 1. Chemical structure of biologically active compounds.
Molecules 27 01246 g001
Scheme 1. Synthesis of 2-(1,3-benzothiazol-2-yl)-3-(aryl)prop-2-enenitrile derivatives (5ae).
Scheme 1. Synthesis of 2-(1,3-benzothiazol-2-yl)-3-(aryl)prop-2-enenitrile derivatives (5ae).
Molecules 27 01246 sch001
Scheme 2. Synthesis of 5-amino-6-(1,3-benzothiazol-2-yl)-7-(substituted phenyl)-2-thioxo- 2,3-dihydro-pyrido[2,3-d]pyrimidin-4(1H)-one derivatives 7ae.
Scheme 2. Synthesis of 5-amino-6-(1,3-benzothiazol-2-yl)-7-(substituted phenyl)-2-thioxo- 2,3-dihydro-pyrido[2,3-d]pyrimidin-4(1H)-one derivatives 7ae.
Molecules 27 01246 sch002
Scheme 3. Mechanism for formation of 2,3-dihydropyrido[2,3-d]pyrimidin-4-one derivatives (7ae).
Scheme 3. Mechanism for formation of 2,3-dihydropyrido[2,3-d]pyrimidin-4-one derivatives (7ae).
Molecules 27 01246 sch003
Scheme 4. Synthesis of 1-amino-pyrrolobenzothiazole-3-carbonitrile derivatives (9ae) under microwave as assisted method.
Scheme 4. Synthesis of 1-amino-pyrrolobenzothiazole-3-carbonitrile derivatives (9ae) under microwave as assisted method.
Molecules 27 01246 sch004
Scheme 5. Synthetic mechanism of pyrrolobenzothiazole-3-carbonitrile derivatives 9ae.
Scheme 5. Synthetic mechanism of pyrrolobenzothiazole-3-carbonitrile derivatives 9ae.
Molecules 27 01246 sch005
Table 1. Microwave-assisted reaction of 2-cyanomethyl-1,3-benzothiazol and aldehydes.
Table 1. Microwave-assisted reaction of 2-cyanomethyl-1,3-benzothiazol and aldehydes.
EntrySubstrateProductTimeYield (%)
1 Molecules 27 01246 i0015a6 min87
2 Molecules 27 01246 i0025b6 min84
3 Molecules 27 01246 i0035c8 min90
4 Molecules 27 01246 i0045d4 min96
5 Molecules 27 01246 i0055e8 min92
Table 2. Reaction conditions: reaction of 2-(1,3-benzothiazol-2-yl)-3-(aryl)prop-2-enenitrile derivatives (5ae) and 6-aminothiouracil 6 was heated or irradiated by microwave.
Table 2. Reaction conditions: reaction of 2-(1,3-benzothiazol-2-yl)-3-(aryl)prop-2-enenitrile derivatives (5ae) and 6-aminothiouracil 6 was heated or irradiated by microwave.
EntrySubstrateSolventMethod/TimeMethod/Yield %Product
Conventional, h MWI,
min
Conventional, h MWI,
min
1 Molecules 27 01246 i006DMF282562897a
EtOH/TEA36454853
2 Molecules 27 01246 i007DMF272560857b
EtOH/TEA36454351
3 Molecules 27 01246 i008DMF282563887c
EtOH/TEA40454149
4 Molecules 27 01246 i009DMF252565927d
EtOH/TEA35454853
5 Molecules 27 01246 i010DMF302560847e
EtOH/TEA42453950
Table 3. Multicomponent reaction conditions by method of heating or microwave irradiation.
Table 3. Multicomponent reaction conditions by method of heating or microwave irradiation.
Comp.ReagentsMethod\Reaction TimeMethod/Yield (%)
364Conventional, hMWI, minConventionalMWI
7a364a30505165
7b364b28505968
7c364c30505370
7d364d28506273
7e364e28504463
Table 4. One pot three-component reaction optimization for the synthesis of 1-amino-pyrrolobenzothiazole-3-carbonitrile derivatives 9ae.
Table 4. One pot three-component reaction optimization for the synthesis of 1-amino-pyrrolobenzothiazole-3-carbonitrile derivatives 9ae.
Entry3 eq.8 eq.4 eq.SolventMethod/(T °C)Time, minYield (%)
1114d, 1MeOHMV, 100 °C2561
2114d, 1DCEMV, 100 °C25NR
3114d, 1EtOHMV, 100 °C2568
4114d, 1EtOH/TEAMV, 100 °C2573
5114d, 1EtOH/TEAMV, 120 °C2578
6114d, 1EtOH/DBU(1 eq.)MV, 100 °C2575
7114d, 1EtOH/DBU(1 eq.)MV, 120 °C2587
8114a, 1EtOH/DBU(1 eq.)MV, 120 °C2572
9114b, 1EtOH/DBU(1 eq.)MV, 120 °C2570
10114c, 1EtOH/DBU(1 eq.)MV, 120 °C2571
11114e, 1EtOH/DBU(1 eq.)MV, 120 °C2566
12114a, 1EtOH/TEAHeating20 h62
13114b, 1EtOH/TEAHeating22 h59
14114c, 1EtOH/TEAHeating20 h63
15114d, 1EtOH/TEAHeating19 h68
16114e, 1EtOH/TEAHeating24 h52
Table 5. Reaction condition for the synthesis of 9ae.
Table 5. Reaction condition for the synthesis of 9ae.
Comp.ReagentsMethod\Reaction TimeMethod/Yield (%)
58Conventional, hMWI, min.ConventionalMWI
9a5a815257082
9b5b813206879
9c5c815227085
9d5d812217490
9e5e814236578
Table 6. Minimum inhibitory concentration (MIC, μmol L–1) of newly synthesized compounds against bacteria.
Table 6. Minimum inhibitory concentration (MIC, μmol L–1) of newly synthesized compounds against bacteria.
EntryGram-Positive BacteriaGram-Negative Bacteria
Staphylococcus AureusStreptococcus PneumoniaBacillus SubtilisChlamydia PneumoniaEscherichia ColiSalmonella Typhi
5a141010181212
5b161619161520
5c191612191815
5d1298161315
5e201818171412
7a84612510
7b12108151214
7c121010141010
7d6561048
7e14129121010
9a810612810
9b141010141012
9c161212141010
9d1046858
9e141010131012
Cefotaxime10661268
Table 7. Minimum inhibitory concentration (MIC, μmol L–1) of newly synthesized compounds against fungi.
Table 7. Minimum inhibitory concentration (MIC, μmol L–1) of newly synthesized compounds against fungi.
Comp.Aspergillus FlavusCandida AlbicansGanoderma Lucidum
5a101210
5b111314
5c141810
5d121213
5e91012
7a8109
7b121518
7c121612
7d81010
7e91820
9a848
9b91012
9c162011
9d654
9e101010
Fluconazole686
Table 8. Inhibition of the growth of human lung cell NCI-H460, liver cancer (HepG2), colon cancer HCT-116 tumor cell lines by synthesized compounds.
Table 8. Inhibition of the growth of human lung cell NCI-H460, liver cancer (HepG2), colon cancer HCT-116 tumor cell lines by synthesized compounds.
Comp.IC50 (μmol L−1) a
NCI-H460HepG2HCT-116
5a3.61 ± 0.283.14 ± 0.164.20 ± 0.75
5b5.90 ± 0.145.82 ± 0.166.42 ± 0.17
5c10.20 ± 2.689.10 ± 2.269.54 ± 1.28
5d3.04 ± 0.153.20 ± 0.183.38 ± 0.27
5e7.50 ± 0.788.20 ± 0.449.30 ± 2.46
7a0.66 ± 0.080.45 ± 0.040.70 ± 0.14
7b2.56 ± 0.182.89 ± 0.192.68 ± 0.12
7c4.09 ± 0.335.35 ± 0.605.58 ± 0.58
7d0.28 ± 0.040.39 ± 0.040.14 ± 0.04
7e2.60 ± 0.243.00 ± 0.133.08 ± 0.64
9a1.10 ± 0.110.49 ± 0.060.89 ± 0.06
9b3.20 ± 0.183.54 ± 0.623.89 ± 0.73
9c6.08 ± 0.426.90 ± 0.137.20 ± 0.46
9d0.45± 0.060.47 ± 0.060.59 ± 0.10
9e3.90 ± 0.174.08 ± 0.634.50 ± 0.54
Doxorubicin1.98 ± 0.170.52 ± 0.061.12 ± 0.13
a IC50: 50% inhibitory concentration. Mean ± SEM of three independent experiments performed in triplicate.
Table 9. Antioxidant activity and bleomycin-dependent DNA damage assay.
Table 9. Antioxidant activity and bleomycin-dependent DNA damage assay.
Comp.AbsorbanceABTS Inhibition(%)Bleomycin-Dependent DNA Damage
7a0.0691.20.053
7b0.2078.30.121
7c0.2875.30.128
7d0.0392.80.045
7e0.2868.00.146
9a0.1088.70.069
9b0.3269.30.186
9c0.2265.50.179
9d0.0890.40.064
9e0.2672.20.132
Trolox0.0489.50.067
All experiments were performed three times.
Publisher’s Note: MDPI stays neutral with regard to jurisdictional claims in published maps and institutional affiliations.

Share and Cite

MDPI and ACS Style

Al-Mutairi, A.A.; Hafez, H.N.; El-Gazzar, A.-R.B.A.; Mohamed, M.Y.A. Synthesis and Antimicrobial, Anticancer and Anti-Oxidant Activities of Novel 2,3-Dihydropyrido[2,3-d]pyrimidine-4-one and Pyrrolo[2,1-b][1,3]benzothiazole Derivatives via Microwave-Assisted Synthesis. Molecules 2022, 27, 1246. https://doi.org/10.3390/molecules27041246

AMA Style

Al-Mutairi AA, Hafez HN, El-Gazzar A-RBA, Mohamed MYA. Synthesis and Antimicrobial, Anticancer and Anti-Oxidant Activities of Novel 2,3-Dihydropyrido[2,3-d]pyrimidine-4-one and Pyrrolo[2,1-b][1,3]benzothiazole Derivatives via Microwave-Assisted Synthesis. Molecules. 2022; 27(4):1246. https://doi.org/10.3390/molecules27041246

Chicago/Turabian Style

Al-Mutairi, Aamal A., Hend N. Hafez, Abdel-Rhaman B. A. El-Gazzar, and Marwa Y. A. Mohamed. 2022. "Synthesis and Antimicrobial, Anticancer and Anti-Oxidant Activities of Novel 2,3-Dihydropyrido[2,3-d]pyrimidine-4-one and Pyrrolo[2,1-b][1,3]benzothiazole Derivatives via Microwave-Assisted Synthesis" Molecules 27, no. 4: 1246. https://doi.org/10.3390/molecules27041246

APA Style

Al-Mutairi, A. A., Hafez, H. N., El-Gazzar, A.-R. B. A., & Mohamed, M. Y. A. (2022). Synthesis and Antimicrobial, Anticancer and Anti-Oxidant Activities of Novel 2,3-Dihydropyrido[2,3-d]pyrimidine-4-one and Pyrrolo[2,1-b][1,3]benzothiazole Derivatives via Microwave-Assisted Synthesis. Molecules, 27(4), 1246. https://doi.org/10.3390/molecules27041246

Article Metrics

Back to TopTop